Плюсануть
Поделиться
Класснуть
Запинить


Олимпиадный тренинг

Вы можете самостоятельно решать эти задачи столько раз, сколько вам это понадобится.
   

Лучшее место

Бинарный поиск Сканирующая прямая

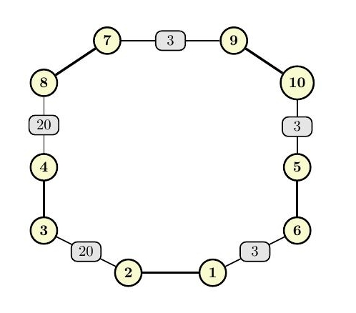
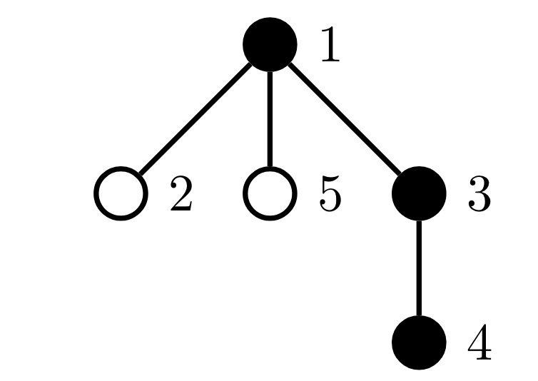
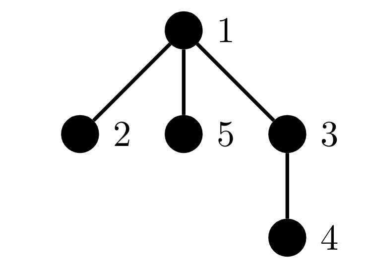
В зале ожидания на вокзале стоят N рядов из M кресел. Чтобы ожидающие не скучали, вместо некоторых кресел установлено K мощных Wi-Fi роутеров. Ожидающие стараются занять места ближе к роутерам, так как тогда они смогут смотреть ролики с Youtube или VK с более высоким разрешением, без задержек. Если пассажир сидит на месте с номером c в ряде r, а i-й роутер расположен на месте Ci в ряде Ri, то расстояние до i-го роутера вычисляется как max(|r−Ri|,|c−Ci|), где |x| – абсолютное значение x. Креслам в зале ожидания был присвоен приоритет от 1 до N⋅M−K, меньшие номера получили кресла с меньшим расстоянием до ближайшего роутера, среди кресел с одинаковым расстоянием до роутеров более удобными считаются кресла, стоящие в ряду с меньшим номером, а среди них — с меньшим номером места в ряду. На рисунке показан приоритет кресел в зале ожидания с 4 рядами из 7 кресел, в котором установлены 2 роутера (их позиции помечены черным цветом). Темно-серым цветом выделены кресла, стоящие на расстоянии 1 от роутеров, светло-серым — на расстоянии 2, белым — 3.
 

Напишите программу, которая вычисляет расстояние до ближайшего роутера от кресла с некоторым заданным приоритетом.

Первая строка ввода содержит четыре целых чисел — количество рядов N (2 ≤ N ≤ 109) и мест в ряду M (2 ≤ M ≤ 109), количество роутеров K (1 ≤ K ≤ 100, K < N⋅M), количество запросов Q (1 ≤ Q ≤ 100). Далее следует K строк, содержащих два целых числа — местонахождение роутеров: номер ряда Ri (1 ≤ Ri ≤ N) и номер места в ряду Ci (1 ≤ Сi ≤ M). Среди них нет совпадающих. Далее следует строка, содержащая Q целых чисел в диапазоне от 1 до N⋅M−K – приоритеты кресел.

Вывести для каждого запроса на отдельной строке одно целое число — расстояние до ближайшего роутера от кресла с заданным приоритетом.
 
Ввод Вывод
4 7 2 4
2 5
4 4
1 6 16 26
1
1
2
3

Сложность двоичного поиска

Бинарный поиск Бинарный поиск в массиве

Вася загадал число от 1 до N. За какое наименьшее количество вопросов (на которые Вася отвечает "да" или "нет") Петя может угадать Васино число?
 
Входные данные
Вводится одно число N
 
Выходные данные
Выведите наименьшее количество вопросов, которого гарантированно хватит Пете, чтобы угадать Васино число.
 
Ввод Вывод
5 3

K-квест

Бинарный поиск Быстрая сортировка

В одной из компьютерных игр-квестов есть следующее задание. На карте игрового мира размещены N персонажей, с каждым из которых может встретиться игрок. От общения с i-м персонажем карма игрока меняется на величину ai, которая может быть как положительной, так отрицательной или даже нулем.

Изначально карма игрока равна нулю. Для того чтобы пройти на следующий уровень, нужно чтобы карма была в точности равна значению K, при этом карма также может принимать как положительные, так и отрицательные значения.

Комнаты, в которых находятся персонажи, соединены односторонними магическими порталами, поэтому игроку придется встречать персонажей в определенной последовательности: после персонажа номер i он попадает к персонажу номер i + 1, затем к персонажу номер i + 2, и т.д. В комнате последнего персонажа с номером N портала к другому персонажу нет.

Для перемещения между персонажами можно использовать еще и заклинания телепортации, но к сожалению у героя осталось всего лишь два свитка с заклинаниями. Поэтому один из этих свитков придется использовать для того, чтобы телепортироваться к любому из персонажей, а второй свиток — чтобы покинуть игровой мир, после того, как карма героя станет равна K.

Помогите игроку определить, в какую комнату надо телепортироваться в начале и из какой комнаты нужно покинуть игровой мир, чтобы достичь кармы K или сообщите, что это невозможно.

Входные данные
В первой строке входных данных записаны два числа: количество персонажей N и необходимый уровень кармы K (|K| ≤ 109, K ≠ 0). Во второй строке через пробел записаны N целых чисел a1, a2, ..., aN — величины, на которые меняется карма героя после общения с персонажами с номерами 1, 2, ..., N соответственно.

Выходные данные
Выведите номер комнаты, в которую надо войти игроку и номер комнаты, из которой надо выйти, чтобы набрать карму K. Если возможных вариантов несколько, то необходимо вывести самый короткий путь, а если и таких несколько, то путь, начинающийся в комнате с как можно большим номером. Если достичь кармы K последовательно общаясь с персонажами невозможно, то выведите одно число  - 1.
 

Ввод Вывод
5 3
-2 2 -1 2 4
2 4
7 1
1 -1 1 -1 1 -1 2
5 5
4 3
2 2 2 2
-1

 

Ближайшее число

Бинарный поиск

Напишите программу, которая находит в массиве элемент, самый близкий по величине к данному числу.
 
Формат входных данных
В первой строке задается одно натуральное число N, не превосходящее 1000 – размер массива. Во второй строке содержатся N чисел – элементы массива (целые числа, не превосходящие по модулю 1000). В третьей строке вводится одно целое число x, не превосходящее по модулю 1000.
 
Формат выходных данных
Вывести значение элемента массива, ближайшее к x. Если таких чисел несколько, выведите любое из них.
 

Приближенный двоичный поиск

Бинарный поиск Бинарный поиск в массиве

Реализуйте алгоритм приближенного бинарного поиска.
 
Формат входных данных
В первой строке входных данных содержатся числа N и K (\(0< N,\ K <100001\)). Во второй строке задаются N чисел первого массива, отсортированного по неубыванию. В третьей строке вводится K чисел второго массива.
Каждое число в обоих массивах по модулю не превосходит \(2 \cdot 10^9\).
 
Формат выходных данных
Для каждого из K чисел выведите в отдельную строку число из первого массива, наиболее близкое к данному. Если таких несколько, выведите меньшее из них.

Agar.io

Бинарный поиск Бинарный поиск по ответу

В многопользовательской игре Agar.io игроки управляют бактериями. У каждой бактерии есть размер — целое положительное число. Если встречаются две бактерии разного размера, то бактерия большего размера поглощает меньшую бактерию. При этом меньшая бактерия исчезает, а размер большей бактерии увеличивается на размер меньшей бактерии. Если встречаются две бактерии равного размера, то ничего не происходит. Побеждает игрок, чья бактерия останется на игровом
поле одна.
В игре участвуют n игроков, вам даны размеры их бактерий. Определите, какие из игроков имеют возможность выиграть в этой игре.

Формат входных данных
Программа получает на вход целое число n, 1 ≤ n ≤ 105 — количество игроков. Следующие n строк содержат по одному числу ai — размеры бактерий, 1 ≤ ai ≤ 109. Числа ai заданы в порядке неубывания.
Формат выходных данных
Программа должна вывести n чисел равных «0» или «1», по одному числу в строке. Если i-е число равно 0, то это означает, что i-й игрок (размер бактерии которого первоначально был равен
ai) ни при каких обстоятельствах не может выиграть в этой игре. Если i-е число равно 1, то это означает, что i-й игрок имеет возможность выиграть в этой игре.

Примеры
Входные данные Выходные данные Пояснение
1 4
1
1
3
4
0
0
1
1
В примере из условия 4 бактерии размерами 1, 1, 3, 4. Бактерии размером 1 никого не могут
съесть, поэтому не могут выиграть. Бактерия размером 4 может съесть всех. Бактерия размером 3
может съесть по очереди две бактерии размером 1. Тогда её размер станет 5, после этого она сможет
съесть бактерию размером 4 и выиграть. Ответ: 0, 0, 1, 1.

Гармоничная последовательность

Бинарный поиск Префиксные суммы(минимумы, ...)

Цикл лекций в университете Флатландии посвящен изучению последовательностей.

Профессор называет последовательность целых чисел \(a_1, a_2, ..., a_n\) гармоничной, если каждое число, кроме \(a_1\) и \(a_n\), равно сумме соседних: \(a_2 = a_1 + a_3, a_3=a_2+a_4, ..., a_{n-1}=a_{n-2}+a_n\). Например, последовательность [1,2,1,–1]  является гармоничной, поскольку 2=1+1, и 1=2+(–1) .

Рассмотрим последовательности равной длины: \(A=[a_1,a_2, ... a_n]\)   и \(B=[b_1,b_2, ... b_n]\). Расстоянием между этими последовательностями будем называть величину \(d(A,B)= |a_1-b_1|+|a_2-b_2|+...+|a_n-b_n|\) . Например, \(d([1,2,1,–1][1,2,0,0])=|1–1|+|2–2|++|1–0|+|–1–0|=0+0+1+1=2 \)

В конце лекции профессор написал на доске последовательность из n целых чисел \(B=[b_1,b_2, ... b_n]\)и попросил студентов в качестве домашнего задания найти гармоничную последовательность \(A=[a_1,a_2, ... a_n]\), такую, что \(d(A, B)\) минимально. Чтобы облегчить себе проверку, профессор просит написать в качестве ответа только искомое минимальное расстояние \(d(A,B)\) .

Требуется написать программу, которая по заданной последовательности B определяет, на каком минимальном расстоянии от последовательности B найдется гармоничная последовательность A.

Входные данные
Первая строка входного файла содержит целое число n – количество элементов в последовательности ( \(3 \le n \le 300 000\)).

Вторая строка содержит n целых чисел \(b_1, b_2, …, b_n (–10^9 \le b_i \le 10^9 )\) .

Выходные данные
Выходной файл должна содержать одно целое число: минимальное возможное расстояние от последовательности во входном файле до гармоничной последовательности.

Примеры
Входные данные Выходные данные
1 4
1 2 0 0
2

Чтение вслух

Бинарный поиск Бинарный поиск по ответу Префиксные суммы(минимумы, ...) Хеш

Том Сойер и Гекльберри Финн вместе читают вслух вырезку из газеты. Но получилось так, что Том Сойер начал читать с i-ого символа, а Гекльберри Финн с j-ого. 
Сколько букв они смогут прочитать, прежде чем обнаружат, что начали читать с разных мест или пока оба не дочитают до конца?

Входные данные:
В первой строке дана строка S (1 <= |S| <= 105), состоящая из строчных латинских букв - надпись из газетной вырезки.
В следующей строке дано натуральное число q - количество запросов.
В следующих q строках дано по два натуральных числа i и j - позиции, с которых начинают читать Том Сойер и Гекльберри Финн соответственно.

Выходные данные:
Выведите q строк, в каждой из которых должно быть одно целое число - количество символов, совпадающих при чтении подстрок, начинающихся с i-ого и j-ого символа.

Примеры:
 

Входные данные Выходные данные
abacaba
4
1 5
3 5
4 2
2 6
3
1
0
2

Поиск вершины по центру описанной окружности (O)

Бинарный поиск Вычислительная геометрия Элементарная геометрия

Точка O – центр описанной окружности треугольника АВС.
Найдите абсциссу вершины C (координату x), если известно:
- координаты точек A и B;
- координата точки D, лежащей на прямой ВС;
- точка лежит на прямой ED (координаты точки E известны);
- для координат выполняются условия: Ax<Cx<Bx;
Входные данные: в 1-й строке вводятся значения Ax, Ay, Bx, By Dx,Dy, Ex, Ey – координаты точек A, B, D, E
Все значения целые числа в интервале [-1000;1000].
Выходные данные: ответ на задание с точностью не менее 10-5.
Пример:

Входные данные Выходные данные
1 1 6 3 7 1 0 6  3.784
1 2 5 1 6 -1 1 5 3.207692

Поиск вершины по центру вписанной окружности (I, инцентр)

Бинарный поиск Вычислительная геометрия Элементарная геометрия

Точка I – центр вписанной окружности треугольника АВС (инцентр).
Найдите абсциссу вершины C (координату x), если известно:
- координаты точек A и B;
- координата точки D, лежащей на прямой ВС;
- точка лежит на прямой ED (координаты точки E известны);
- для координат выполняются условия: Ax<Cx<Bx;
Входные данные: в 1-й строке вводятся значения Ax, Ay, Bx, By Dx,Dy, Ex, Ey – координаты точек A, B, D, E
Все значения целые числа в интервале [-1000;1000].
Выходные данные: ответ на задание с точностью не менее 10-5.
Пример:

Входные данные Выходные данные
1 1 7 3 8 1 1 7 4.348182
-1 3 9 1 8 -1 -1 1  6.500895

Поиск вершины по ортоцентру (H)

Бинарный поиск Вычислительная геометрия Элементарная геометрия

Точка H – центр пересечения высот треугольника (ортоцентр) АВС.
Найдите абсциссу вершины C (координату x), если известно:
- координаты точек A и B;
- координата точки D, лежащей на прямой ВС;
- точка лежит на прямой ED (координаты точки E известны);
- для координат выполняются условия: Ax<Cx<Bx;
Входные данные: в 1-й строке вводятся значения Ax, Ay, Bx, By Dx,Dy, Ex, Ey – координаты точек A, B, D, E
Все значения целые числа в интервале [-1000;1000].
Выходные данные: ответ на задание с точностью не менее 10-5.
Пример:

Входные данные Выходные данные
1 1 6 3 9 1 1 5 2.454545
1 2 5 1 6 -1 1 5 3.196078

Треугольник. Поиск вершины по положению центроида

Бинарный поиск Вычислительная геометрия Элементарная геометрия

Точка G – центр пересечения медиан треугольника (центроид) АВС.
Найдите абсциссу вершины C (координату x), если известно:
- координаты точек A и B;

- координата точки D, лежащей на прямой ВС;
- точка G лежит на прямой ED (координаты точки E известны);
- для координат выполняются условия: Ax<Cx<Bx;
Входные данные: в 1-й строке вводятся значения Ax, Ay, Bx, By Dx,Dy, Ex, Ey – координаты точек A, B, D, E

Все значения целые числа в интервале [-1000;1000].

Выходные данные: ответ на задание с точностью не менее 10-5.
Пример:

Входные данные Выходные данные
2 2 7 1 6 3 3 4 3.6
0 0 5 1 3 4 0 0 1.0

Описанный четырехугольник

Бинарный поиск Вычислительная геометрия

Известно, что вокруг выпуклого четырехугольника ABCD можно описать окружность.
Найдите площадь четырехугольника ABCD, если известно:
- координаты точек A, B, C;
- точка D принадлежит отрезку EF
Входные данные:
-в 1-й строке вводятся значения Ax, Ay, Bx, By Cx,Cy – координаты точек A, B, C
-в 2-й строке вводятся значения Ex, Ey, Fx, Fy – координаты вершин отрезка  EF
Все значения целые числа в интервале [-1000;1000].
Выходные данные: ответ на задание с точностью не менее 10-5.
Пример:

Входные данные Выходные данные
1 2 8 1 10 5
5 8  14 11
36.0
3 2 4 6 9 1
5 1 0 0
15.797687719

Количество чисел на диапазоне

Бинарный поиск Префиксные суммы(минимумы, ...)

Вам даны N целых чисел A1, ..., AN.
На каждый из Q запросов, заданных в формате L R X, выведите количество элементов среди AL, ..., AR, значения которых равны X.

Входные данные
В первой строке задано целое число N (1 <= N <= 2·105). 
Вторая строка содержит целых чисел Ai (1 <= Ai <= N, 1 <= i <= N). 
В третьей строке задано одно целое число (1 <= Q <= 2·105).
Каждая из следующих строк содержит три целых числа L, R, (1 <= L <= R <= N, 1 <= X <= N).

Выходные данные
Выведите на экран строк, i-я строка содержит ответ на i-й запрос.
 

Примеры
Входные данные Выходные данные
1
5
3 1 4 1 5
4
1 5 1
2 4 3
1 5 2
1 3 3
2
0
0
1

Кардиоида

Бинарный поиск Вычислительная геометрия

Кардиоида-- плоская алгебраическая кривая 4-го порядка, которая описывается фиксированной точкой окружности радиуса , катящейся по неподвижной окружности с таким же радиусом

В прямоугольной декартовой системе координат уравнение кривой имеет вид:

Найдите координаты точки пересечения кардиоиды и отрезка EF, если известно:
- коэффициент кардиоиды a;
- координаты вершин отрезка EF;
гарантируеся, что одна из вершин отрезка лежит внутри кардиоиды, а другая снаружи.
Рассмотрим функцию F(x,y,a)= (x2+y2+2ax)2-4a2(x2+y2). Если для точки M с координатами (x,y) F(x,y,a)<0, то точка M лежит внутри кардиоды с параметром a. Если значение функции будет положительным, то точка M лежит снаружи.

Входные данные:
-в 1-й строке вводится вещественное число - значениe коэффициента кардиоды (по модулю не более 10)
-в 2-й строке вводятся целые значения Ex, Ey, Fx, Fy – координаты вершин отрезка  EF (числа в интервале [-1000;1000]).
Выходные данные:
1 строка  - абцисса точки пересечения (координата x), с точностью не менее 10-5 
2 строка  - ордината точки пересечения (координата y), с точностью не менее 10-5 

Пример:
Входные данные Выходные данные
1.0
-1 1 1 3
0
2
-2.5
10 4 1 1
8.91545419
3.63848473

Сфера и отрезок

Бинарный поиск Вычислительная геометрия

Найдите точку пересечения отрезка AB и сферы радиуса R, с центром в точке O . Все точки заданы декартовыми координатами в пространстве. Гарантируеся, что только одна из вершин отрезка расположена внутри сферы.
Входные данные
В 1-й строке вводятся числа чисел, разделённых пробелами. Вначале вводится радиус сферы R, затем  координаты центра сферы
 O (Ox,Oy,Oz).
В 2-й строке вводятся шесть чисел, разделённых пробелами. Вначале вводятся координаты точки A (Ax,Ay,Az),  затем координаты точки
B (Bx,By,Bz).
Выходные данные
Выводится три числа - координаты точки пересечения. Каждая координата в отдельной строке и с точностью не менее 10-6.
Пример 1:

Входные данные Выходные данные
10 0 0 0
7 6 5 2 4 6
6.37704215657
5.75081686263
5.12459156869
Пример 2:
Входные данные Выходные данные
8 1 -1 2
5 6 -5 2 -4 6
4.45729353069
4.19097843564
-3.0100762792

Эллипс и отрезок

Информатика Бинарный поиск Вычислительная геометрия

Найдите координаты точки пересечения эллипса и отрезка, если известно:
- координаты точек фокусов эллипса A, B;
- R - сумма расстояний от точки эллипса до фокусов;
- координаты вершин отрезка EF;
гарантируеся, что одна из вершин отрезка лежит внутри эллипса, а другая снаружи
Входные данные:
-в 1-й строке вводятся значения Ax, Ay, Bx, By, R – координаты точек A, B и сумма расстояний R
-в 2-й строке вводятся значения Ex, Ey, Fx, Fy – координаты вершин отрезка  EF
Все значения целые числа в интервале [-1000;1000].
Выходные данные:
1 строка  - абцисса точки пересечения (координата x), с точностью не менее 10-5 
2 строка  - ордината точки пересечения (координата y), с точностью не менее 10-5 

Пример:

Входные данные Выходные данные
-10 3 -2 7 12
-14 -9 -8 6
-10
1
3 3 6 7 7
3 4 -1 7
1.7670862633
4.9246853025

Расстояние между отрезками - 3

Бинарный поиск Бинарный поиск Вычислительная геометрия

Найдите расстояние между отрезками AB и CD. Отрезки заданы декартовыми координатами границ в пространстве.
Расстояние между отрезками - минимальное расстояние между точками X,Y, где \(X \in [A,B], \ Y\in[C,D]\).
Входные данные
В 1-й строке вводятся шесть чисел, разделённых пробелами. Вначале вводятся координаты точки A (Ax,Ay,Az),  затем координаты точки B (Bx,By,Bz).
В 2-й строке вводятся шесть чисел, разделённых пробелами. Вначале вводятся координаты точки C (Cx,Cy,Cz),  затем координаты точки D (Dx,Dy,Dz).
Выходные данные
Выводится одно число - расстояние между отрезками AB, CD.
Расстояние необходимо найти с точностью не менее 10-6.

Пример 1:

Входные данные Выходные данные
-7 8 6 -6 -5 8
-7 8 6 0 -8 9
0.0
Отрезки имеют общую точку, поэтому расстояние равно 0.0
Пример 2:
Входные данные Выходные данные
-10 -10 -8 10 7 9
-7 4 0 2 -8 -2
0.14477985167371404

Расстояние между отрезками - 3

Бинарный поиск Бинарный поиск Вычислительная геометрия

Найдите расстояние между отрезками AB и CD. Отрезки заданы декартовыми координатами границ в пространстве.
Расстояние между отрезками - минимальное расстояние между точками X,Y, где \(X \in [A,B], \ Y\in[C,D]\).
Входные данные
В 1-й строке вводятся шесть чисел, разделённых пробелами. Вначале вводятся координаты точки A (Ax,Ay,Az),  затем координаты точки B (Bx,By,Bz).
В 2-й строке вводятся шесть чисел, разделённых пробелами. Вначале вводятся координаты точки C (Cx,Cy,Cz),  затем координаты точки D (Dx,Dy,Dz).
Выходные данные
Выводится одно число - расстояние между отрезками AB, CD.
Расстояние необходимо найти с точностью не менее 10-6.

Пример 1:

Входные данные Выходные данные
-7 8 6 -6 -5 8
-7 8 6 0 -8 9
0.0
Отрезки имеют общую точку, поэтому расстояние равно 0.0
Пример 2:
Входные данные Выходные данные
-10 -10 -8 10 7 9
-7 4 0 2 -8 -2
0.14477985167371404

Книги Томми

Бинарный поиск "Два указателя" Задача на реализацию

Томми очень любит читать. Он взял из библиотеки n книг (в i-й книге ai страниц, страницы нумеруются с 1). Томми очень бережно относится к книгам, поэтому каждую из них обернул в обложку. Но, так как у него не оказалось ни одной прозрачной обложки, он пронумеровал книжки от 1 до n и написал номер на обложке каждой книги.

Томми читает уже m дней подряд. Книги он читает строго по порядку, начиная с книги с номером 1.  Каждый день он записывает на доску общее число страниц, которые прочитал к текущему дню.

Например, если бы Томми взял 2 книги и, при этом, в в первой книге 3 страницы, а во второй - 5 страниц, то прочитав в первый день 2 страницы, а во второй день - 4 страницы у Томми на доске было бы записано два числа 2 и 6.

Томми сделал небольшой перерыв, а когда вернулся к чтению понял, что забыл какую книгу читал и на какой странице остановился. Также он не хочет терять статистику, но желает исправить ее, дописав в какой день какую книгу он читал и на какой странице остановился. Помогите Томми, по записанным числам на доске, определить в какой день какую книгу он читал и на какой странице остановился.


Входные данные
Программа получает на вход несколько строк. Первая строка содержит два целых числа n и m (1 <= n, n <= 2·105) - количество книг, взятых Томми из библиотеки и количество дней, в течении которых Томми читал книги. Во второй строке следует последовательность a1, a2, ... an (1 <= a1<= 1010), где ai равно количеству страниц в i-й книге. В третьей строке следует последовательность d1, d2, ... dm (1 <= dj <= a+ a+...+ an), где dj равно общему числу страниц, прочитанных Томми к j-му дню. Все dj заданы в порядке возрастания.

Выходные данные

Выведите m строк. В каждой строке выведите по два числа - номер книги k (1 <= <= n) и номер страницы в этой книге s (1 <= <= ak), на которой остановился Томми в текущий день.

 
Примеры
Входные данные Выходные данные
1 3 6
10 15 12
1 9 12 13 15 17
1 1
1 9
2 2
2 3
2 5
2 7
2 2 3
5 10000000000
5 6 9999999999
1 5
2 1
2 9999999994

Автомобиль "Пантера" - 2

Бинарный поиск Бинарный поиск по ответу

Однажды утром Глеб с ужасом осознал, что проспал, а пары в «Высшем университете» начинаются уже скоро. Опоздать было бы не так страшно, если бы он их и не вёл. К счастью, автомобиль Глеба «Пантера» довольно мощный: для упрощения будем считать, что за одну секунду он может сначала или увеличить скорость на 1, или уменьшить скорость на 1, или не менять её, а после этого его автомобиль проезжает x метров, где x - его текущая скорость в метрах в секунду. Потом он снова принимает решение об изменении скорости. Начальная скорость автомобиля преподавателя в момент, когда он только выезжает из дома, равна нулю. Путь до университета от его дома не близкий: нужно проехать d метров.

Глеб, обеспокоенный за знания своих студентов, хочет попасть в университет как можно раньше, чтобы успеть подготовиться к проведению лекции. К сожалению, у проезда на парковку университета установлен датчик движения: если скорость проезжающего транспортного средства будет превышать s, то администрация университета выпишет нарушителю дисциплинарное взыскание. Конечно, Глеб не хочет его получить, поэтому при въезде в университет, когда автомобиль проехал все d метров его скорость x должна быть не больше s.

Пока Глеб собирался на работу, его заинтересовал вопрос, а за какое минимальное время он может доехать до работы, если будет действовать оптимально, но не нарушать правила при въезде в университет. Так как преподаватель будет занят скоростным вождением, ответить на этот вопрос честь выпала вам!



Входные данные

В двух строках заданы два целых числа - ds (1 <= d <= 1018, 0 <= <= 1018), расстояние до университета и ограничение на конечную скорость.

Обратите внимание, что входные данные могут быть больше, чем возможное значение 32-битной целочисленной переменной, поэтому необходимо использовать 64-битные целочисленные типы данных (тип int64 в языке Pascal, тип long long в C и C++, тип long в Java и C#). Язык Python будет корректно работать и с типом int.


Выходные данные
Выведите единственное число - минимальное время, за которое Глеб может доехать до университета, не получив дисциплинарное взыскание.
 

Примечание

В первом тесте из условия Глебу выгодно действовать следующим образом:

  1. Увеличить скорость на один, проехать один метр; скорость 1 м/с, проехал 1 метр.
  2. Не менять скорость, проехать один метр; скорость 1 м/с, проехал 2 метра.

     

Таким образом, он потратит 2 секунды, и его конечная скорость будет равно 1 м/с, что не превышает s.

Во втором тесте из условия Глебу выгодно действовать, например, так:

  1. Увеличить скорость на один, проехать один метр; скорость 1 м/с, проехал 1 метр.
  2. Увеличить скорость на один, проехать два метра; скорость 2 м/с, проехал 3 метра.
  3. Увеличить скорость на один, проехать три метра; скорость 3 м/с, проехал 6 метров.
  4. Уменьшить скорость на один, проехать два метра; скорость 2 м/с, проехал 8 метров.
  5. Уменьшить скорость на один, проехать один метр; скорость 1 м/с, проехал 9 метров.
  6. Не менять скорость, проехать один метр; скорость 1 м/с, проехал 10 метров.
  7. Уменьшить скорость на один; скорость 0 м/с, проехал 10 метров.

     

Таким образом, он потратит 7 секунд, и его конечная скорость будет равно 0 м/с, что не превышает s.

 
Примеры
Входные данные Выходные данные
1
2
1
2
2
10
0
7

Автомобиль "Пантера"

Бинарный поиск Бинарный поиск по ответу

Однажды утром Глеб с ужасом осознал, что проспал, а пары в «Высшем университете» начинаются уже скоро. Опоздать было бы не так страшно, если бы он их и не вёл. К счастью, автомобиль Глеба «Пантера» довольно мощный: для упрощения будем считать, что за одну секунду он может сначала или увеличить скорость на 1, или уменьшить скорость на 1, или не менять её, а после этого его автомобиль проезжает x метров, где x - его текущая скорость в метрах в секунду. Потом он снова принимает решение об изменении скорости. Начальная скорость автомобиля преподавателя в момент, когда он только выезжает из дома, равна нулю. Путь до университета от его дома не близкий: нужно проехать d метров.

Глеб, обеспокоенный за знания своих студентов, хочет попасть в университет как можно раньше, чтобы успеть подготовиться к проведению лекции. К сожалению, на проезде на парковку университета установлен шлагбаум, поэтому скорость автомобиля после того, как он проехал ровно d метров должна быть равна 0.

Пока Глеб собирался на работу, его заинтересовал вопрос, а за какое минимальное время он может доехать до работы, если будет действовать оптимально. Так как преподаватель будет занят скоростным вождением, ответить на этот вопрос честь выпала вам!



Входные данные

Вводится одно целое число - d (1 <= d <= 1018), расстояние до университета.

Обратите внимание, что входные данные могут быть больше, чем возможное значение 32-битной целочисленной переменной, поэтому необходимо использовать 64-битные целочисленные типы данных (тип int64 в языке Pascal, тип long long в C и C++, тип long в Java и C#). Язык Python будет корректно работать и с типом int.


Выходные данные
Выведите единственное целое число — исходное минимальное время, за которое Глеб может доехать до университета, в точности остановившись перед шлагбаумом.
 

Примечание

В первом тесте из условия Глебу выгодно действовать следующим образом:

  1. Увеличить скорость на один, проехать один метр; скорость 1 м/с, проехал 1 метр.
  2. Не менять скорость, проехать один метр; скорость 1 м/с, проехал 2 метра от дома.
  3. Уменьшить скорость на один; скорость 0 м/с, проехал 2 метра от дома.

Таким образом, он потратит 3 секунды, и его конечная скорость будет равно 0 м/с.

Во втором тесте из условия Глебу выгодно действовать, например, так:

  1. Увеличить скорость на один, проехать один метр; скорость 1 м/с, проехал 1 метр.
  2. Увеличить скорость на один, проехать два метра; скорость 2 м/с, проехал 3 метра.
  3. Увеличить скорость на один, проехать три метра; скорость 3 м/с, проехал 6 метров.
  4. Уменьшить скорость на один, проехать два метра; скорость 2 м/с, проехал 8 метров.
  5. Уменьшить скорость на один, проехать один метр; скорость 1 м/с, проехал 9 метров.
  6. Не менять скорость, проехать один метр; скорость 1 м/с, проехал 10 метров.
  7. Уменьшить скорость на один; скорость 0 м/с, проехал 10 метров.

     

Таким образом, он потратит 7 секунд, и его конечная скорость будет равно 0 м/с.

 
Примеры
Входные данные Выходные данные
1
2
3
2
10
7

Путь в никуда

Бинарный поиск Деревья Деревья Структуры данных Префиксные суммы(минимумы, ...) Разреженные таблицы (sparse table)

Колобку снится странный сон.
В нём Колобок находится на клетчатом поле размера n × m в клетке с координатами (x, y).
Изначально Колобок смотрит вдоль положительного направления оси X. Затем он начинает идти по полю со следующей закономерностью:
• Пройти на одну клетку вперед. Повернуть на 90o вправо.
• Пройти на одну клетку вперед. Повернуть на 90o вправо.
• Пройти на две клетки вперед. Повернуть на 90o вправо.
• Пройти на две клетки вперед. Повернуть на 90o вправо.
• Пройти на три клетки вперед. Повернуть на 90o вправо.
• Пройти на три клетки вперед. Повернуть на 90o вправо.
• Пройти на четыре клетки вперед. Повернуть на 90o вправо.
• И так далее...

Движение продолжается до тех пор, пока Колобок не выйдет за границы поля. После этого Колобок просыпается.

Утром Колобок решил проанализировать свой сон. Он догадался, что в каждой клетке он был максимум один раз, но никак не может вспомнить, сколько клеток он посетил. Колобок просит вас написать программу, которая посчитает количество посещённых им клеток.




Формат входного файла
В первой строке входного файла находятся два натуральных числа n, m (1 ≤ n, m ≤ 109 ) — размеры доски вдоль оси X и оси Y соответственно. Во второй строке находятся два натуральных числа x, y (1 ≤ x ≤ n; 1 ≤ y ≤ m) — координаты стартовой позиции колобка.

Формат выходного файла
В выходной файл выведите одно число — количество клеток, посещенных Колобком во сне.
 

Вывод Ввод
7 6
3 4
36
2 2
1 1
2
2 2
1 2
4

Комментарий
На рисунке наглядно показан первый пример.
 

Совсем другие штурмовики

Бинарный поиск Бинарный поиск по ответу

Вы управляете армией штурмовиков, сражающейся против армии повстанцев. Армия повстанцев состоит из n солдат, здоровье i-го солдата составляет ai единиц. Сила атаки каждого вражеского солдата равна de единиц. В Вашем распоряжении есть m штурмовиков. Сила атаки каждого из них — dt , здоровье — h единиц.

Бой происходит в пошаговом режиме, пока с обеих сторон есть живые солдаты. Каждый шаг боя представляет собой одновременный выстрел всех живых солдат с обеих сторон. Каждый солдат может атаковать любого противника, но только одного. Несколько солдат с одной стороны могут атаковать одного и того же вражеского солдата. Здоровье солдата уменьшается на суммарную силу атаки солдат, атакующих его в течение этого хода. Если здоровье солдата в конце хода стало меньше или равно нулю, он погибает.

Ваша задача — уничтожить армию неприятеля, задействовав минимальное число штурмовиков, вне зависимости от действий противника, либо определить, что уничтожить вражескую армию не получится.

Формат входных данных
В первой строке входного файла заданы натуральные числа n, m, ( n,m <= 2*105),  de, dt , h — число солдат в армии противника, число штурмовиков в вашем распоряжении, сила атаки каждого солдата неприятеля, сила атаки и число единиц здоровья каждого из штурмовиков соответственно ( de, dt , h <= 109). В следующей строке задано n натуральных чисел ai — число единиц здоровья i-го солдата армии противника (ai <= 109).
Формат выходных данных
Выведите единственное число — минимальное количество штурмовиков, необходимое для уни чтожения армии противника, либо -1, если миссия невыполнима.
 

Ввод Вывод
3 3 1 1 2
1 2 3
3
4 10 2 1 2
1 2 1 2
5
3 1 1 2 5
1 2 3
-1

Квадраты и кубы

Целые числа Вещественные числа Арифметические алгоритмы (Теория чисел) Линейный поиск Бинарный поиск

В лаборатории теории чисел одного университета изучают связь между
распределением квадратов и кубов натуральных чисел.
Пусть задано целое неотрицательное число k. Рассмотрим множество натуральных
чисел от a до b, включительно. Будем называть k-плотностью этого множества количество
пар натуральных чисел x и y, таких, что a ≤ x2 ≤ b, a ≤ y3 ≤ b, причем |x2– y3| ≤ k.
Например, 2-плотность множества натуральных чисел от 1 до 30 равна 3, так как
подходят следующие пары:

 x = 1, y = 1, |x2– y3| = |1 – 1| = 0;
 x = 3, y = 2, |x2– y3| = |9 – 8| = 1;
 x = 5, y = 3, |x2– y3| = |25 – 27| = 2.
 
Требуется написать программу, которая по заданным натуральным числам a и b, а
также целому неотрицательному числу k, определяет k-плотность множества натуральных
чисел от a до b, включительно.
Формат входных данных
Входные данные содержат три строки. Первая строка содержит натуральное число a,
вторая строка содержит натуральное число b, третья строка содержит целое неотрицательное
число k (1 ≤ a ≤ b ≤ 1018, 0 ≤ k ≤ 1018).
Формат выходных данных
Выходные данные должны содержать одно целое число: искомую k-плотность
множества натуральных чисел от a до b, включительно.
 
Ввод Вывод
1
30
2
3

Улучшение успеваемости

Целые числа Бинарный поиск Вывод формулы

В лицее на уроках информатики ответы учеников оцениваются целым числом баллов от 2 до 5. Итоговая оценка по информатике выставляется как среднее арифметическое оценок на всех уроках, округленное до ближайшего целого числа. Если среднее значение находится ровно посередине между двумя целыми числами, то оценка округляется вверх.
Примеры округления оценок приведены в таблице.
 
Оценки на уроках Среднее арифметическое Итоговая оценка
2, 3, 5 \({ {2 + 3 + 5} \over 3 }= 3 {1 \over 3}\) 3
3, 3, 4, 4 \({ {3 + 3 + 4 + 4} \over 4 }= 3 {1 \over 2}\) 4
5, 5, 5, 3, 5 \({ {5 + 5 + 5 + 3 + 5} \over 5 }= 4 {3 \over 5}\) 5
 
Все ученики лицея стремятся получить итоговую оценку по информатике не ниже 4 баллов. К сожалению, один из учеников получил на уроках a двоек, b троек и c четверок.Теперь он планирует получить несколько пятерок, причем хочет, чтобы итоговая оценка была не меньше 4 баллов. Ему надо понять, какое минимальное количество пятерок ему необходимо получить, чтобы добиться своей цели.
Требуется написать программу, которая по заданным целым неотрицательные числам a, b и c определяет минимальное количество пятерок, которое необходимо получить ученику, чтобы его итоговая оценка по информатике была не меньше 4 баллов.

Входные данные
Входные данные содержат три строки. Первая строка содержит целое неотрицательное число a, вторая строка содержит целое неотрицательное число b, третья строка содержит целое неотрицательное число c (0 ≤ a, b, c ≤ 1015, a + b + c ≥ 1).

Выходные данные
Выходные данные должны содержать одно число: минимальное число пятерок, которое необходимо получить ученику, чтобы итоговая оценка была не меньше 4 баллов.
 
Ввод Вывод
2
0
0
2






 

Старая книга

Бинарный поиск "Два указателя" Вывод формулы

Группа юных археологов работает на раскопках здания древней библиотеки. Летом
они обнаружили остатки старой книги и, изучив их, сделали следующие выводы.
Книга содержит несколько страниц, каждая страница содержит либо текст, либо
иллюстрацию. Первые k страниц книги точно содержат иллюстрации. Все страницы книги
пронумерованы, но номер страницы написан только на страницах, содержащих текст. Сумма
номеров страниц с текстом равна s.
К сожалению, ни общее количество страниц в книге, ни количество иллюстраций
установить не удалось. Тем не менее, юных археологов заинтересовал вопрос, какое
минимальное количество иллюстраций могло быть в книге.
Например, если k = 1, а s = 8, то страницы книги могли иметь следующее содержание
(буквой «Т» обозначена страница, содержащая текст, а буквой «И» — страница, содержащая
иллюстрацию):
- И Т И И И Т, пронумерованы страницы 2 и 6, 4 иллюстрации;
- И И Т И Т, пронумерованы страницы 3 и 5, 3 иллюстрации;
- И И И И И И И Т, пронумерована страница 8, 7 иллюстраций.
Минимальное количество иллюстраций равно 3.
Требуется написать программу, которая по заданным целым числам k и s определяет
минимальное количество иллюстраций, которое могло быть в книге.

Формат входных данных
Первая строка входных данных содержит целое число k (0 ≤ k ≤ 109).
Вторая строка входных данных содержит целое число s (k + 1 ≤ s ≤ 1012).

Формат выходных данных
Требуется вывести одно целое число — минимальное количество иллюстраций в
книге.
Ввод Вывод
1
8
3


 

Кардиоида

Бинарный поиск Вычислительная геометрия

Кардиоида-- плоская алгебраическая кривая 4-го порядка, которая описывается фиксированной точкой окружности радиуса , катящейся по неподвижной окружности с таким же радиусом

В прямоугольной декартовой системе координат уравнение кривой имеет вид:

Найдите координаты точки пересечения кардиоиды и отрезка EF, если известно:
- коэффициент кардиоиды a;
- координаты вершин отрезка EF;
гарантируеся, что одна из вершин отрезка лежит внутри кардиоиды, а другая снаружи.
Рассмотрим функцию F(x,y,a)= (x2+y2+2ax)2-4a2(x2+y2). Если для точки M с координатами (x,y) F(x,y,a)<0, то точка M лежит внутри кардиоды с параметром a. Если значение функции будет положительным, то точка M лежит снаружи.

Входные данные:
-в 1-й строке вводится вещественное число - значениe коэффициента кардиоды (по модулю не более 10)
-в 2-й строке вводятся целые значения Ex, Ey, Fx, Fy – координаты вершин отрезка  EF (числа в интервале [-1000;1000]).
Выходные данные:
1 строка  - абцисса точки пересечения (координата x), с точностью не менее 10-5 
2 строка  - ордината точки пересечения (координата y), с точностью не менее 10-5 

Пример:
Входные данные Выходные данные
1.0
-1 1 1 3
0
2
-2.5
10 4 1 1
8.91545419
3.63848473

Поиск вершины по ортоцентру (H)

Бинарный поиск Вычислительная геометрия Элементарная геометрия

Точка H – центр пересечения высот треугольника (ортоцентр) АВС.
Найдите абсциссу вершины C (координату x), если известно:
- координаты точек A и B;
- координата точки D, лежащей на прямой ВС;
- точка лежит на прямой ED (координаты точки E известны);
- для координат выполняются условия: Ax<Cx<Bx;
Входные данные: в 1-й строке вводятся значения Ax, Ay, Bx, By Dx,Dy, Ex, Ey – координаты точек A, B, D, E
Все значения целые числа в интервале [-1000;1000].
Выходные данные: ответ на задание с точностью не менее 10-5.
Пример:

Входные данные Выходные данные
1 1 6 3 9 1 1 5 2.454545
1 2 5 1 6 -1 1 5 3.196078

Умный обогреватель

Бинарный поиск Задача на реализацию

Квартира Максима еще не прошла реновацию, поэтому температура в ней сильно зависит от температуры на улице. Для поддержания комфортной температуры он купил обогреватель и установил систему <<Умный дом>>. В соответствующую программу Максим заложил два целых числа \(t_{min} \leq t_{max}\) и следующий алгоритм использования обогревателя:

  1. Если в течение последних пяти дней до текущего дня включительно обогреватель каждый день был выключен, и в каждый из этих дней температура на улице была строго меньше \(t_{min}\), то надо включить обогреватель в этот день и считать, что он был включен весь день. Обогреватель остается включенным и в последующие дни до тех пор, пока программа его не выключит.

  2. Если в течение последних пяти дней до текущего дня включительно обогреватель каждый день был включен, и в каждый из этих дней температура на улице была строго больше \(t_{max}\), то надо выключить обогреватель в этот день и считать, что он был выключен весь день. Обогреватель остается выключенным и в последующие дни до тех пор, пока программа его не включит.

Из-за кратковременного отключения электроэнергии программу необходимо настроить заново. Сами значения \(t_{min}\) и \(t_{max}\) Максим забыл, зато у него остались записи программы о температуре и состоянии обогревателя в каждые из \(n\) дней использования системы.

Максим помнит, что \(t_{min}\) и \(t_{max}\) были целыми числами, по модулю не превосходящими \(10^9\) и \(t_{min} \leq t_{max}\), также он помнит, что программа не учитывала дни до первого дня использования системы и не включала обогреватель в течение первых четырех дней. Наконец, Максим помнит, что он выбирал \(t_{min}\) и \(t_{max}\) как можно более близкими друг к другу.

Помогите найти два подходящих значения \(t_{min}\) и \(t_{max}\), не превосходящих \(10^9\) по абсолютной величине, таких, что выполняются правила использования обогревателя в каждые из \(n\) дней, \(t_{min}\) не превосходит \(t_{max}\) и величина \(t_{max} - t_{min}\) минимальна.

Гарантируется, что записи программы правильные, и такие два числа существуют.

Формат входных данных
В первой строке задано целое число \(n\) (\(5 \leq n \leq 10^5\)) — количество дней, в течение которых работала система.

Во второй строке входных данных задаются \(n\) целых чисел \(t_1, \dots, t_n\) (\(-10^9 \leq t_i \leq 10^9\)) — температуры на улице в каждый из \(n\) дней.

В третьей строке входных данных задается строка из \(n\) символов, состоящая из 0 и 1 — если в \(i\)-й позиции данной строки записан 0, то это значит, что в \(i\)-й день обогреватель был выключен, а если 1, — то включен.

Формат выходных данных
В единственной строке выведите два целых числа \(t_{min}\) и \(t_{max}\) (\(t_{min} \leq t_{max}\)), по модулю не превосходящих \(10^9\) — значения температур, при вставке которых в программу обогреватель будет включен и выключен в те же дни, в которые он был включен и выключен при исходных значениях, а значение \(t_{max} - t_{min}\) минимально.

Если подходящих пар значений несколько, выведите любую из них.


Примечание

В первом тестовом примере первые пять дней температура строго меньше \(7\) градусов, при этом до пятого дня обогреватель был в каждый из четырех дней выключен, следовательно в пятый день программа его включила. На данный тест корректен любой ответ удовлетворяющий условию \(6 \leq t_{min} = t_{max} \leq 10^9\).

Раскраска кубиков

Бинарный поиск

На день рождения Пете подарили коробку кубиков. На каждом кубике написано некоторое целое число. Петя выложил все n своих кубиков в ряд, так что числа на кубиках оказались расположены в некотором порядке a[1], a[2],...,a[n]. Теперь он хочет раскрасить кубики в разные цвета таким образом, чтобы для каждого цвета последовательность чисел на кубиках этого цвета была строго возрастающей. То есть, если кубики с номерами i[1], i[2],..., i[k] покрашены в один цвет, то a[i[1]] < a[i[2]] < ... < a[i[k]]. Петя хочет использовать как можно меньше цветов. Помогите ему!


Входные данные

Первая строка входного файла содержит число n - количество кубиков у Пети (1 <= n <= 250000). Затем следует n чисел, разделенных пробелами и/или переводами строки - a[1], a[2], ..., a[n].


Выходные данные

На первой строке выходного файла выведите число L - наименьшее количество цветов, которое потребуется Пете. На следующей строке выведите n чисел из диапазона от 1 до L - цвета, в которые Петя должен покрасить кубики.

Выборы

Бинарный поиск Бинарный поиск по ответу Быстрая сортировка

В одной демократической стране приближаются парламентские выборы. Выборы проходят по следующей схеме: каждый житель страны, достигший восемнадцатилетнего возраста, отдает свой голос за одну из политических партий. После этого партия, которая набрала максимальное количество голосов, считается победившей на выборах и формирует правительство. Если несколько партий набрали одинаковое максимальное количество голосов, то они должны сформировать коалиционное правительство, что обычно приводит к длительным переговорам.

Один бизнесмен решил выгодно вложить свои средства, и собрался поддержать на выборах некоторые партии. В результате поддержки он планирует добиться победы одной из этих партий, которая затем сформирует правительство, которое будет действовать в его интересах. При этом возможность формирования коалиционного правительства его не устраивает, поэтому он планирует добиться строгой победы одной из партий.

Чтобы повлиять на исход выборов, бизнесмен собирается выделить деньги на агитационную работу среди жителей страны. Исследование рынка показало, что для того чтобы один житель сменил свои политические воззрения, требуется потратить одну условную единицу. Кроме того, чтобы \(i\)-я партия в случае победы сформировала правительство, которое будет действовать в интересах бизнесмена, необходимо дать лидеру этой партии взятку в размере \(p_i\) условных единиц. При этом некоторые партии оказались идеологически устойчивыми и не согласны на сотрудничество с бизнесменом ни за какие деньги.

По результатам последних опросов известно, сколько граждан планируют проголосовать за каждую партию перед началом агитационной компании. Помогите бизнесмену выбрать, какую партию следует подкупить, и какое количество граждан придется убедить сменить свои политические воззрения, чтобы выбранная партия победила, учитывая, что бизнесмен хочет потратить на всю операцию минимальное количество денег.

Формат входных данных
Первая строка содержит целое число \(n\) — количество партий (\(1 \le n \le 10^5\)). Следующие \(n\) строк описывают партии. Каждая из этих строк содержит по два целых числа: \(v_i\) — количество жителей, которые собираются проголосовать за эту партию перед началом агитационной компании, и \(p_i\) — взятка, которую необходимо дать лидеру партии для того, чтобы сформированное ей в случае победы правительство действовало в интересах бизнесмена (\(1 \le v_i \le 10^6\), \(1 \le p_i \le 10^6\) или \(p_i = -1\)). Если партия является идеологически устойчивой, то \(p_i\) равно \(-1\). Гарантируется, что хотя бы одно \(p_i\) не равно \(-1\).

Формат выходных данных
На первой строке выведите минимальную сумму, которую придется потратить бизнесмену. На второй строке выведите номер партии, лидеру которой следует дать взятку. На третьей строке выведите \(n\) целых чисел — количество голосов, которые будут отданы за каждую из партий после осуществления операции. Если оптимальных решений несколько, выведите любое.

 

E. Соня и магазины

Бинарный поиск Деревья Структуры данных дп жадные алгоритмы *2400 кратчайшие пути

Соня очень любит мороженое. Она ест его даже во время соревнований по программированию. Поэтому, девочка решила, что хочет открыть свои собственные магазины мороженого.

Соня живет в городе, в котором всего \(n\) перекрестков и \(n-1\) улиц. Все улицы — двусторонние и соединяют пары перекрестков. С любого перекрестка можно попасть в любой другой перекресток в городе, пройдя по одной или более улиц. Мэрия позволяет открывать магазины только на перекрестках, девочка не может открывать магазины посреди улиц, между перекрестками.

У Сони есть ровно \(k\) друзей, которым она доверяет. Если она откроет магазин, один с её друзей должен там работать и смотреть, чтобы никто не ел мороженое не заплатив. Поскольку Соня не хочет пропускать важные соревнования по программированию, непосредственно в магазинах она работать не будет.

Соня хочет, чтобы все её магазины мороженого образовали простой путь длины \(r\) (\(1 \le r \le k\)), то есть были расположены в различных перекрёстках \(f_1, f_2, \dots, f_r\) и существовала улица между \(f_i\) и \(f_{i+1}\) для всех \(i\) от \(1\) до \(r-1\).

Девочка заботится о потенциальных покупателях, поэтому, она также хочет минимизировать максимальное расстояние от перекрестков до ближайшего магазина мороженого. Расстояние между двумя перекрестками \(a\) и \(b\) равно сумме длин всех улиц, которые нужно пройти, чтобы попасть с перекрестка \(a\) на перекресток \(b\). Таким образом, девочка хочет минимизировать

\(\)\max_{a} \min_{1 \le i \le r} d_{a,f_i}\(\),

где \(a\) принимает значение всевозможных \(n\) перекрёстков, \(f_i\) — перекресток с \(i\)-м магазином Сони, а \(d_{x,y}\) — расстояние между перекрестками \(x\) и \(y\).

Соня неуверенна, что сможет найти оптимальные местоположения магазинов, поэтому, просит вас помочь ей открыть не более \(k\) магазинов, которые образуют простой путь, и максимальное расстояние от произвольного перекрестка города до ближайшего магазина минимально.

Входные данные

Первая строка содержит два целых числа \(n\) и \(k\) (\(1\leq k\leq n\leq 10^5\)) — количество перекрестков и друзей соответственно.

Каждая из следующих \(n-1\) строк содержит три целых числа \(u_i\), \(v_i\) и \(d_i\) (\(1\leq u_i, v_i\leq n\), \(v_i\neq u_i\), \(1\leq d\leq 10^4\)) — перекрестки, которые соединяет улица и длина этой улицы. Гарантируется, что между любой парой перекрестков не более одной улицы. Гарантируется, что можно доехать из любого перекрестка в любой другой, двигаясь только по улицам.

Выходные данные

Выведите одно число — минимальное максимальное расстояние, которое нужно будет пройти, чтобы попасть с любого перекрестка до ближайшего магазина мороженого. Магазины Сони должны располагаться вдоль произвольного простого пути из перекрестков длины не более \(k\).

Примечание

В первом примере можно выбрать путь 2-4, тогда ответ будет 4.

Первый пример.

Во втором примере можно выбрать путь 4-1-2, тогда ответ будет 7.

Второй пример.

C. Три части массива

Бинарный поиск Структуры данных *1200

Задан массив \(d_1, d_2, \dots, d_n\), состоящий из \(n\) целых чисел.

Ваша задача — разделить этот массив на три части (некоторые из которых могут быть пустыми) таким образом, что каждый элемент массива принадлежит ровно одной из частей, и каждая часть образует последовательный непрерывный подотрезок (возможно, пустой) изначального массива.

Пусть сумма элементов первой части равна \(sum_1\), сумма элементов второй части равна \(sum_2\) и сумма элементов третьей части равна \(sum_3\). Среди всех возможных разбиений массива вам нужно выбрать такое, что \(sum_1 = sum_3\) и \(sum_1\) является максимально возможной.

Более формально, если первая часть массива содержит \(a\) элементов, вторая часть массива содержит \(b\) элементов и третья часть массива содержит \(c\) элементов, тогда:

\(\)sum_1 = \sum\limits_{1 \le i \le a}d_i,\(\) \(\)sum_2 = \sum\limits_{a + 1 \le i \le a + b}d_i,\(\) \(\)sum_3 = \sum\limits_{a + b + 1 \le i \le a + b + c}d_i.\(\)

Сумма пустого массива равна \(0\).

Ваша задача найти такое разбиение массива, что \(sum_1 = sum_3\) и \(sum_1\) является максимально возможной.

Входные данные

Первая строка входных данных содержит одно целое число \(n\) (\(1 \le n \le 2 \cdot 10^5\)) — количество элементов массива \(d\).

Вторая строка входных данных содержит \(n\) целых чисел \(d_1, d_2, \dots, d_n\) (\(1 \le d_i \le 10^9\)) — элементы массива \(d\).

Выходные данные

Выведите одно целое число — максимально возможное значение \(sum_1\), удовлетворяющее условию \(sum_1 = sum_3\).

Очевидно, всегда существует хотя бы один способ разбить массив нужным образом (если \(a=c=0\) и \(b=n\)).

Примечание

В первом тестовом примере только одно возможное разбиение, которое максимизирует \(sum_1\): \([1, 3, 1], [~], [1, 4]\).

Во втором тестовом примере существует единственный способ набрать \(sum_1=4\): \([1, 3], [2, 1], [4]\).

В третьем тестовом примере есть только один способ разделить массив: \([~], [4, 1, 2], [~]\).

C. Отгадайте два числа

Бинарный поиск интерактив *3000

Это интерактивная задача.

Вася и Витя играют в игру. Вася загадал два числа \(a\) и \(b\) от \(1\) до \(n\), а Витя пытается их отгадать. Каждый раунд он говорит Васе два числа \(x\) и \(y\) от \(1\) до \(n\). Если и \(x=a\), и \(y=b\), то Витя побеждает. Иначе Вася должен сказать одну из трёх фраз:

  1. \(x\) меньше чем \(a\);
  2. \(y\) меньше чем \(b\);
  3. \(x\) больше чем \(a\) или \(y\) больше чем \(b\).

Вася не может соврать, но если несколько фраз правдивы, он может выбрать любую из них. Например, если Вася загадал числа \(2\) и \(4\), то на запрос \((3, 4)\) он ответит фразой \(3\), а на запрос \((1, 5)\) он может ответит фразой \(1\) или фразой \(3\).

Помогите Вите выиграть не более чем за \(600\) раундов.

Входные данные

Первая строка содержит целое число \(n\) (\(1 \leq n \leq 10^{18}\)) — ограничение на числа.

Протокол взаимодействия

Сначала нужно считать число \(n\), после чего можно задавать запросы.

Чтобы задать запрос, выведите два целых числа \(x\) и \(y\) (\(1 \leq x, y \leq n\)), затем выполните операцию flush.

После каждого запроса считайте одно целое число \(ans\) (\(0 \leq ans \leq 3\)).

Если \(ans > 0\), то это номер фразы, которую сказал Вася.

Если \(ans = 0\), это означает, что вы выиграли, и ваша программа должна завершиться.

Если вы сделаете более \(600\) запросов или сделаете неправильный запрос, вы получите Wrong Answer.

Ваше решение получит вердикт Idleness Limit Exceeded, если вы не будете ничего выводить или забудете сделать операцию flush после вывода запроса.

Чтобы выполнить операцию flush, сразу после вывода запроса и перевода строки нужно сделать:

  • fflush(stdout) в C++;
  • System.out.flush() в Java;
  • stdout.flush() в Python;
  • flush(output) в Pascal;
  • для других языков смотрите документацию.

Формат взломов

Для взломов необходимо использовать следующий формат:

В первой строке выведите целое число \(n\) (\(1 \leq n \leq 10^{18}\)) — ограничение на числа.

Во второй строке выведите два целых числа \(a\) и \(b\) (\(1 \leq a, b \leq n\)) — числа, которые загадал Вася.

В третьей строке выведите целое число \(m\) (\(1 \leq m \leq 10^5\)) — число инструкций для интерактора.

В следующих \(m\) строках выведите по пять целых чисел: \(x_i\), \(y_i\), \(r^{12}_i\), \(r^{13}_i\) и \(r^{23}_i\) (\(1 \leq x_i, y_i \leq n\)), где \(r^{ST}_i\) равно либо цифре \(S\), либо цифре \(T\).

При ответе на запрос \(x\,\, y\), интерактор найдёт целое число \(i\) от \(1\) до \(n\) с минимальным значением \(|x-x_i| + |y-y_i|\). Если таких несколько, то выбирается наименьшее \(i\). Затем интерактор отвечает, но если есть две фразы \(S\) и \(T\), которые можно ответить, то выбирается \(r^{ST}_i\).

Например, файл, задающий тест из примера, такой:


5
2 4
2
2 5 1 1 2
4 1 2 3 3
Примечание

Разберём пример. Загаданы числа \(2\) и \(4\). Интерактору даны две инструкции.

На запрос \((4, 3)\) можно ответить фразой \(2\) или фразой \(3\). Из двух инструкций выбирается вторая, поэтому интерактор выдаёт \(a^{23}_2=3\).

На запрос \((3, 4)\) можно ответить только фразой \(3\).

На запрос \((3, 3)\) можно ответить фразой \(2\) или фразой \(3\). Из двух инструкций выбирается первая (так как в случае равных значений выбирается инструкция с меньшим номером), поэтому интерактор выдаёт \(a^{23}_1=2\).

На запрос \((1, 5)\) можно ответить фразой \(1\) или фразой \(3\). Из двух инструкций выбирается первая, поэтому интерактор выдаёт \(a^{13}_1=1\).

В пятом запросе \((2, 4)\) названы загаданные числа, игрок победил.

B. Автобусы

Бинарный поиск Структуры данных дп *1700

Мальчик Геральд учится в школе, и она находится довольно далеко от его дома. Поэтому ему приходится ежедневно ездить туда на автобусах. Путь от дома до школы представляет собой отрезок прямой, на котором расположено ровно n + 1 остановок. Все они пронумерованы целыми числами от 0 до n в порядке их следования начиная от дома Геральда. Остановка у дома имеет номер 0, а остановка у школы — номер n.

Между домом и школой ездят m автобусов: i-ый автобус ездит от остановки si до остановки ti (si < ti), проезжая через все промежуточные остановки в порядке их следования. При этом Геральд не дурак, и не будет выходить из автобуса, пока на нем еще можно ехать в сторону школы — очевидно, что это не имеет смысла. То есть Геральд может сесть на i-ый автобус на любой остановке с номером от si до ti - 1 включительно, а выйти из i-го автобуса он может только на остановке ti.

Геральд не может идти между остановками пешком, а также не может перемещаться в сторону от школы к дому.

Геральд хочет узнать, сколько у него способов доехать от дома до школы. Сообщите ему это число. Два способа считаются различными, если какой-то участок между остановками Геральд едет на разных автобусах. Поскольку число способов может быть слишком большим, сообщите остаток этого числа от деления на 1000000007 (109 + 7).

Входные данные

В первой строке даны два целых числа через пробел: n и m (1 ≤ n ≤ 109, 0 ≤ m ≤ 105). Далее следует m строк по два целых числа si, ti в каждой — номера стартовых и конечных остановок автобусов (0 ≤ si < ti ≤ n).

Выходные данные

Выведите единственное число — количество способов доехать до школы по модулю 1000000007 (109 + 7).

Примечание

В первом тесте есть единственный вариант доехать до школы: сначала на первом автобусе до первой остановки, а потом на втором автобусе до второй остановки.

Во втором тесте никакой автобус не идет до третьей остановки, на которой расположена школа, поэтому правильный ответ — 0.

В третьем тесте Геральд может воспользоваться или не воспользоваться каждым из первых четырех автобусов, чтобы подъехать поближе к школе. Поэтому правильный ответ 24 = 16.

A. Полёт

Бинарный поиск математика *1500

Наташа собирается на ракете полететь на Марс и вернуться на Землю. Также по пути на Марс она приземлится ещё на \(n - 2\) планетах. Формально: пронумеруем все планеты от \(1\) до \(n\). \(1\) — Земля, \(n\) — Марс. Наташа собирается сделать ровно \(n\) полётов: \(1 \to 2 \to \ldots n \to 1\).

Перелёт с планеты \(x\) на планету \(y\) состоит из двух фаз: взлёт с планеты \(x\) и приземление на планету \(y\). Таким образом, полный маршрут поездки выглядит следующим образом: \(1\)-я планета \(\to\) взлёт с \(1\)-й планеты \(\to\) торможение ко \(2\)-й планете \(\to\) \(2\)-я планета \(\to\) взлёт со \(2\)-й планеты \(\to\) \(\ldots\) \(\to\) торможение к \(n\)-й планете \(\to\) \(n\)-я планета \(\to\) взлёт с \(n\)-й планеты \(\to\) торможение к \(1\)-й планете \(\to\) \(1\)-я планета.

Масса ракеты вместе с полезным грузом (но без топлива) равна \(m\) тоннам. Но Наташа не знает, сколько топлива нужно загрузить в ракету. К сожалению, топливо можно загрузить только на Земле, так что, если на какой-то другой планете топливо закончится, то Наташа не сможет вернуться домой. Топливо нужно для взлёта с каждой планеты и для торможения перед каждой планетой. Известно, что \(1\) тонна топлива может поднять с \(i\)-й планеты \(a_i\) тонн груза или затормозить перед \(i\)-й планетой \(b_i\) тонн груза.

Например, если масса ракеты составляет \(9\) тонн, масса топлива \(3\) тонны, а коэффициент при взлёте равен \(8\) (\(a_i = 8\)), то при взлёте сгорит \(1.5\) тоны топлива (так как \(1.5 \cdot 8 = 9 + 3\)). Новая масса топлива после взлёта будет равна \(1.5\) тоннам.

Обратите внимание, что можно использовать нецелый объём топлива при взлёте или посадке. Также, изначальное количество топлива может быть тоже нецелым.

Помогите Наташе посчитать, какую минимальную массу топлива нужно загрузить в ракету. Учтите, что, с одной стороны, ракета должна везти с помощью топлива не только полезный груз, но и само топливо, а, с другой стороны, топливо, которое сгорело раньше, везти не нужно. Считайте, что ракета мгновенно тормозит и мгновенно разгоняется.

Входные данные

Первая строка содержит одно целое число \(n\) (\(2 \le n \le 1000\)) — количество планет.

Вторая строка содержит одно целое число \(m\) (\(1 \le m \le 1000\)) — масса полезного груза.

Третья строка содержит \(n\) целых чисел \(a_1, a_2, \ldots, a_n\) (\(1 \le a_i \le 1000\)). Где \(a_i\) — это масса ракеты, которую может поднять одна тонна топлива при взлёте.

Четвёртая строка содержит \(n\) целых чисел \(b_1, b_2, \ldots, b_n\) (\(1 \le b_i \le 1000\)). Где \(b_i\) — это масса ракеты, которую может опустить одна тонна топлива при посадке.

Гарантируется, что если Наташа может совершить полёт, то для этого ей понадобится не более \(10^9\) тонн топлива.

Выходные данные

Если Наташа сможет долететь до Марса через \((n - 2)\) планеты и вернуться на Землю, выведите минимальную массу топлива (в тоннах), которое Наташа должна взять. В противном случае выведите в одно число \(-1\).

Гарантируется, что если Наташа может совершить полёт, то для этого ей понадобится не более \(10^9\) тонн топлива.

Ответ будет считаться правильным, если его абсолютная или относительная погрешность не превышает \(10^{-6}\). Формально, пусть ваш ответ равен \(p\), а ответ жюри равен \(q\). Ваш ответ будет зачтен, если \(\frac{|p - q|}{\max{(1, |q|)}} \le 10^{-6}\).

Примечание

Рассмотрим первый пример.

Сначала масса ракеты с топливом — \(22\) тонны.

  • При взлёте с Земли одна тонна топлива может поднять \(11\) тонн груза, поэтому для подъёма \(22\) тонн понадобится потратить \(2\) тонны топлива. Останется \(20\) тонн ракеты с топливом.
  • При посадке на Марс одна тонна топлива может затормозить \(5\) тонн груза, поэтому для торможения \(20\) тонн понадобится потратить \(4\) тонны топлива. Останется \(16\) тонн ракеты с топливом.
  • При взлёте с Марса одна тонна топлива может поднять \(8\) тонн груза, поэтому для подъёма \(16\) тонн понадобится потратить \(2\) тонны топлива. Останется \(14\) тонн ракеты с топливом.
  • При посадке на Землю одна тонна топлива может затормозить \(7\) тонн груза, поэтому для торможения \(14\) тонн понадобится потратить \(2\) тонны топлива. Останется \(12\) тонн, то есть только ракета.

Во втором примере ракета даже не сможет взлететь с Земли.

B. Ракета

Бинарный поиск *1800 интерактив

Это интерактивная задача.

Наташа собирается полететь на Марс. Наконец Наташа села в ракету. Летит она, летит. Скучно как-то. Побыстрее бы уже на Марс прилететь! Решила она занять себя чем-то. И ничего интересней она не придумала, как считать, какое расстояние осталось ей преодолеть до красной планеты.

Пусть расстояние до Марса равно \(x\). К сожалению, Наташа не знает \(x\). Зато известно, что \(1 \le x \le m\), где число \(m\) Наташа знает. Кроме того, \(x\) и \(m\) — целые положительные числа.

Наташа может задавать ракете вопросы. Каждый вопрос — это целое число \(y\) (\(1 \le y \le m\)). Правильный ответ — это \(-1\), если \(x<y\), \(0\), если \(x=y\) и \(1\), если \(x>y\). Но ракета сломалась — она не всегда отвечает правду. А именно: пусть правильный ответ на текущий вопрос равен \(t\), тогда, если ракета отвечает на этот вопрос правду, то она ответит \(t\), в противном случае — ответит \(-t\).

Кроме того, у ракеты есть последовательность \(p\) длины \(n\). Каждый её элемент — это \(0\) или \(1\). Ракета обрабатывает эту последовательность циклически по порядку, то есть \(1\)-й элемент, \(2\)-й, \(3\)-й, \(\ldots\), \((n-1)\)-й, \(n\)-й, \(1\)-й, \(2\)-й, \(3\)-й, \(\ldots\), \((n-1)\)-й, \(n\)-й, \(\ldots\). Если текущий элемент равен \(1\), то ракета отвечает правду, если \(0\) — неправду. Наташа не знает последовательность \(p\), но знает её длину — \(n\).

Вы можете задать ракете не более \(60\) вопросов.

Помогите Наташе узнать расстояние до Марса. Считайте, что, пока Наташа задаёт вопросы, расстояние до Марса не меняется.

Ваше решение не будет засчитано, если оно не получит ответ \(0\) от ракеты (даже если расстояние до Марса однозначно определяется уже полученными ответами ракеты).

Входные данные

Первая строка содержит два целых числа \(m\) и \(n\) (\(1 \le m \le 10^9\), \(1 \le n \le 30\)) — максимальное расстояние до Марса и количество элементов последовательности \(p\).

Протокол взаимодействия

Вы можете задать ракете не более \(60\) вопросов.

Чтобы задать вопрос, выведите число \(y\) (\(1\le y\le m\)) и перевод строки, затем сделайте операцию flush и прочитайте ответ ракеты на вопрос.

Если программа прочитает \(0\), то расстояние правильное и нужно немедленно завершить программу (например, вызовом exit(0)). Если вы проигнорируете это, то можете получить любой вердикт, так как ваша программа продолжит читать из закрытого потока ввода.

Если в какой-то момент ваша программа считывает \(-2\) как ответ, она должна немедленно завершиться (например, вызовом exit(0)). Вы получите вердикт «Неправильный ответ», и это будет означать, что запрос некорректен или количество запросов превышает \(60\). Если вы проигнорируете это, то можете получить любой вердикт, так как ваша программа продолжит читать из закрытого потока ввода.

Если запрос вашей программы не будет корректным целым числом между \(-2^{31}\) и \(2^{31}-1\) (включительно) без лидирующих нулей, то вы можете получить любой вердикт.

Ваше решение получит вердикт «Решение зависло», если вы не будете ничего выводить или забудете сделать операцию flush после вывода вопроса или ответа.

Чтобы выполнить операцию flush, можете использовать (сразу после вывода числа и перевода строки):

  • fflush(stdout) в C++;
  • System.out.flush() в Java;
  • stdout.flush() в Python;
  • flush(output) в Pascal;
  • Для других языков смотрите документацию.

Взломы

Используйте следующий формат для взломов:

В первой строке введите \(3\) целых числа \(m,n,x\) (\(1\le x\le m\le 10^9\), \(1\le n\le 30\)) — максимальное расстояние до Марса, количество элементов последовательности \(p\) и текущее расстояние до Марса.

Во второй строке введите \(n\) чисел, каждое из которых равно \(0\) или \(1\) — последовательность \(p\).

У взламываемого решения не будет доступа к числу \(x\) и последовательности \(p\).

Примечание

В тестовом примере взлом выглядел бы так:

5 2 3

1 0

Это означает, что текущее расстояние до Марса равно \(3\), Наташа знает, что оно не превышает \(5\), а ракета по порядку отвечает так: правильно, неправильно, правильно, неправильно, ...

Действительно:

на первый запрос (\(1\)) правильный ответ равен \(1\), ракета ответила правильно: \(1\);

на второй запрос (\(2\)) правильный ответ равен \(1\), ракета ответила неправильно: \(-1\);

на третий запрос (\(4\)) правильный ответ равен \(-1\), ракета ответила правильно: \(-1\);

на четвёртый запрос (\(5\)) правильный ответ равен \(-1\), ракета ответила неправильно: \(1\);

на пятый запрос (\(3\)) и правильный, и неправильный ответ равен \(0\).

B. Планировние экспедиции

Бинарный поиск Перебор реализация *1200

Наташа планирует экспедицию на Марс для \(n\) человек. Важная задача — обеспечить питанием каждого участника в каждый из дней экспедиции.

Всего на складе доступны \(m\) суточных комплектов питания. Каждый комплект характеризуется своим типом \(a_i\).

Каждый из участников в день должен съедать ровно один суточный комплект питания. По причине экстремальных нагрузок, каждый участник в каждый из дней экспедиции должен съедать комплект одного и того же типа. Для разных участников типы съедаемых комплектов могут как различаться, так и совпадать.

Формально, для каждого участника \(j\) Наташа должна выбрать тип питания \(b_j\) и каждый день \(j\)-й участник дожен съедать комплект питания типа \(b_j\). Значения \(b_j\) у разных участников могут как различаться, так и совпадать.

Какой максимальной продолжительности в днях можно спланировать экспедицию, чтобы выполнить требования выше?

Входные данные

В первой строке записаны два целых числа \(n\) и \(m\) (\(1 \le n \le 100\), \(1 \le m \le 100\)) — количество участников экспедиции и количество суточных комплектов питания на складе.

Во второй строке записана последовательность целых чисел \(a_1, a_2, \dots, a_m\) (\(1 \le a_i \le 100\)), где \(a_i\) — тип \(i\)-го комплекта питания.

Выходные данные

Выведите максимальное количество дней, сколько может продолжаться экспедиция. Если невозможно спланировать экспедицию даже на один день, то выведите 0.

Примечание

В первом примере Наташа может назначить первому участнику тип \(1\), второму — тип \(1\), третьему — тип \(5\), четвёртому — тип \(2\). В таком случае, экспедиция может продолжаться \(2\) дня, так как каждому участнику достанется суточный комплект питания его типа (будут израсходованы \(4\) комлекта типа \(1\) и по два комлекта типов \(2\) и \(5\)).

Во втором примере на \(100\) человек есть только \(1\) комплект питания на базе. Таким образом, экспедиция длительности даже \(1\) день невозможна.

E2. Рисование звезд (усложненная редакция)

Бинарный поиск дп жадные алгоритмы *1900

Звезда — это фигура на клетчатом поле следующего вида: символ звездочка '*' в центре фигуры и четыре луча (влево, вправо, вверх и вниз) одинаковой положительной длины. Размером звезды является длина ее лучей. Размер звезды должен быть строго положительным (то есть лучи длины \(0\) недопустимы).

Пусть пустые клетки обозначены как '.'. Тогда, например, следующие фигуры являются звездами:

Левая фигура — звезда размера \(1\), средняя фигура — звезда размера \(2\) и правая фигура — звезда размера \(3\).

Задано прямоугольное поле размера \(n \times m\), состоящее из звездочек '*' и точек '.'. Строки пронумерованы от \(1\) до \(n\), столбцы пронумерованы от \(1\) до \(m\). Ваша задача — нарисовать это поле при помощи любого количества звезд или понять, что это невозможно сделать. Звезды могут пересекаться, вкладываться и даже совпадать друг с другом. Количество звезд в ответе не может превышать \(n \cdot m\). Каждая из звезд должна находиться строго внутри поля. Вы можете использовать звёзды как одинаковых так и различных размеров.

В этой задаче нет необходимости минимизировать количество звезд. Необходимо найти любой способ нарисовать заданное поле при помощи не более, чем \(n \cdot m\) звезд.

Входные данные

Первая строка входных данных содержит два целых числа \(n\) и \(m\) (\(3 \le n, m \le 1000\)) — размер заданного поля.

Следующие \(n\) строк содержат \(m\) символов каждая, \(i\)-я строка описывает \(i\)-ю строку поля. Гарантируется, что поле состоит только из символов '*' и '.'.

Выходные данные

Если невозможно нарисовать заданное поле только при помощи некоторого количества звезд , выведите «-1».

Иначе в первой строке выедите \(k\) (\(0 \le k \le n \cdot m\)) — количество звезд, необходимое, чтобы нарисовать заданное поле. Следующие \(k\) строк должны содержать по три целых числа каждая — \(x_j\), \(y_j\) и \(s_j\), где \(x_j\) это номер строки центрального символа звезды, \(y_j\) — номер столбца центрального символа звезды и \(s_j\) — размер звезды. Каждая из звезд должна находиться строго внутри поля.

Примечание

В первом примере вывод

2
3 4 1
3 5 2

тоже является корректным.

E. Отдых в теньке

Бинарный поиск геометрия *2400

На плоскости задан источник света. Размеры источника пренебрежимо малы, поэтому его можно считать точкой. Источник движется из точки \((a, s_y)\) в точку \((b, s_y)\) \((s_y < 0)\) по прямой со скоростью равной \(1\) единица в секунду.

Также есть забор, расположенный на оси \(OX\) представленный как \(n\) отрезков \((l_i, r_i)\) (их настоящие координаты тогда \((l_i, 0)\) и \((r_i, 0)\)). Точка \((x, y)\) является находящейся в тени, если отрезок между \((x,y)\) и текущей позицией источника света пересекается с каким-либо отрезком забора или касается его.

Вам заданы \(q\) точек. Для каждой точки посчитайте суммарное время нахождения ее в тени, пока источник света движется из \((a, s_y)\) в \((b, s_y)\).

Входные данные

Первая строка содержит три целых числа через пробел: \(s_y\), \(a\) и \(b\) (\(-10^9 \le s_y < 0\), \(1 \le a < b \le 10^9\)) — соответствующие координаты источника света.

Вторая строка содержит единственное целое число \(n\) (\(1 \le n \le 2 \cdot 10^5\)) — количество отрезков в заборе.

Следующие \(n\) строк содержат по два целых числа \(l_i\) и \(r_i\) (\(1 \le l_i < r_i \le 10^9\), \(r_{i - 1} < l_i\)) — отрезки в заборе заданные в возрастающем порядке. Отрезки не касаются и не пересекают друг друга.

Следующая строка содержит единственное целое число \(q\) (\(1 \le q \le 2 \cdot 10^5\)) — количество обрабатываемых точек.

Следующие \(q\) строк содержат по 2 целых числа \(x_i\) и \(y_i\) (\(1 \le x_i, y_i \le 10^9\)) — координаты точек.

Выходные данные

Выведите \(q\) строк. \(i\)-я строка должна содержать единственное действительное число — суммарное время нахождения в тени \(i\)-й точки, пока источник света движется из \((a, s_y)\) в \((b, s_y)\). Ответ будет считаться корректным, если его абсолютная или относительная погрешность не превосходит \(10^{-6}\).

Примечание
  • 1-я точка все время в тени;
  • 2-я точка в тени, пока источник движется от \((3, -3)\) до \((6, -3)\);
  • 3-я точка в тени, когда источник находится в точке \((6, -3)\).
  • 4-я точка в тени, пока источник движется от \((1, -3)\) до \((2.5, -3)\) и в точке \((6, -3)\);
  • 5-я точка в тени, пока источник движется от \((1, -3)\) до \((2.5, -3)\) и от \((5.5, -3)\) до \((6, -3)\);

B. Шляпа

Бинарный поиск *2000 интерактив

Это интерактивная задача.

Имур Ихаков организует клуб по шляпе. На клуб пришло принять участие n человек, где n чётно. Имур усадил их всех в круг и провёл жеребьевку, чтобы разбить ребят на пары, но что-то пошло не так. Участники пронумерованы так, что участники i и i + 1 (1 ≤ i ≤ n - 1) сидят рядом, а также участники n и 1 сидят рядом. Каждому был выдан листочек с числом так, что у ребят, сидящих рядом, эти числа отличаются ровно на единицу. Предполагалось, что игроки с одинаковыми числами образуют пару, но оказалось, что не все числа встречались ровно дважды.

Как известно, удобнее всего объяснять слова партнёру, когда он сидит напротив. Участники с номерами i и сидят напротив друг друга. Имуру интересно, есть ли люди, сидящие напротив друг друга и имеющие одинаковые числа на своих листочках. Помогите ему найти такую пару людей, если она есть.

Вы можете задавать вопросы вида «какое число написано на листочке у школьника i?». Ваша цель — выяснить, есть ли требуемая пара, сделав не более 60 вопросов.

Входные данные

На вход подаётся одно целое чётное число n (2 ≤ n ≤ 100 000) — число участников, пришедших на клуб Имура.

Вам разрешается задать не более 60 вопросов.

Выходные данные

Для того, чтобы узнать число i-го участника (1 ≤ i ≤ n), нужно вывести «? i». После этого ваша программа на вход получит целое число ai ( - 109 ≤ ai ≤ 109) — число на листочке i-го человека.

Чтобы сообщить, что ответ найден, требуется вывести «! i», где i — номер любого участника из пары (1 ≤ i ≤ n). Если такой пары участников не существует, выведите «! -1». После этого программа должна завершиться.

Запрос на вывод ответа не входит в ограничение на 60 запросов.

Не забывайте сбрасывать буфер после каждого запроса. Например, на C++ надо использовать функцию fflush(stdout), на Java вызов System.out.flush(), на Pascal flush(output) и stdout.flush() для языка Python.

Взломы

Используйте следующий формат для взломов:

В первой строке выведите одно чётное целое число n (2 ≤ n ≤ 100 000) — количество школьников на клуб Имура.

Во второй строке выведите n чисел ai ( - 109 ≤ ai ≤ 109) разделённые пробелами, где ai — число, которое нужно написать на листочке i-му школьнику. Любые два соседних элемента, включая n и 1, должны отличаться на 1 или  - 1.

Взламываемое решение не будет иметь прямого доступа к последовательности ai.

Примечание

Ввод-вывод в примерах демонстрирует пример взаимодействия.

В первом примере был загаданы результаты жеребьёвки соответствующие последовательности 1, 2, 1, 2, 3, 4, 3, 2

Во втором примере была загадана последовательность 1, 2, 3, 2, 1, 0.

D. Большой треугольник

Бинарный поиск геометрия сортировки *2700

Есть странная особенность: если соединить между собой города Ростов, Таганрог, Шахты, то получится треугольник
«Невероятно, но факт»

В ЛКШ приезжают ученики из самых разных уголков России и зарубежья. Вы отметили на карте все города, откуда приехали участники ЛКШ.

Затем, вы решили подготовить интересную инфографику на основе этой карты. Первое, что вы захотели сделать — это найти три города на этой карте, так чтобы получился треугольник площади ровно \(S\).

Входные данные

В первой строке входных данных находится два целых числа \(n\) и \(S\) (\(3 \le n \le 2000\), \(1 \le S \le 2 \cdot 10^{18}\)) — количество городов на карте и требуемая площадь треугольника.

В следующую \(n\) строках находится описание городов, по одной на строке. Каждый город описывается своими целыми координатами \(x_i\), \(y_i\) (\(-10^9 \le x_i, y_i \le 10^9\)).

Гарантируется, что все города находятся в различных точках. Также гарантируется, что никакие три города не лежат на одной прямой.

Выходные данные

Если решения не существует — выведите «No» (без кавычек).

Иначе выведите «Yes» (без кавычек), после чего выведите три пары координат \((x, y)\) — координаты городов, образующих треугольник площади \(S\).

F. Сессия в БГУ

Бинарный поиск Паросочетания поиск в глубину и подобное *2400 графы снм

Поликарп учится в Берляндском государственном университете. Совсем скоро ему предстоит сдать сессию. Он должен сдать \(n\) экзаменов.

Для каждого экзамена \(i\) известны два дня: \(a_i\) — день основной сдачи экзамена, \(b_i\) — день пересдачи (\(a_i < b_i\)). В один день Поликарп может сдавать не более одного экзамена. Для каждого экзамена Поликарп самостоятельно выбирает, в какой из двух дней его сдать. Необходимо сдать все \(n\) экзаменов.

Поликарп хочет сдать сессию как можно быстрее. Выведите минимальный номер дня, в который Поликарп сможет сдать все \(n\) экзаменов, либо выведите -1, если сдать сессию полностью невозможно.

Входные данные

В первой строке входных данных записано одно целое число \(n\) (\(1 \le n \le 10^6\)) — количество экзаменов.

В следующих \(n\) строках записаны по два целых числа \(a_i\) и \(b_i\) (\(1 \le a_i < b_i \le 10^9\)), где \(a_i\) означает день основной сдачи \(i\)-го экзамена, а \(b_i\) означает день пересдачи \(i\)-го экзамена.

Выходные данные

Если Поликарп не сможет сдать все \(n\) экзаменов, выведите -1. В противном случае выведите минимальный номер дня, когда Поликарп сможет это сделать.

F. Разноцветные маркеры

Бинарный поиск Перебор математика теория чисел *2000

Дана бесконечная доска, состоящая из квадратных клеток. Изначально все клетки белого цвета.

У Вовы есть красный маркер и синий маркер. Красным маркером можно закрасить \(a\) клеток. Синим маркером можно закрасить \(b\) клеток. Если какая-то клетка не белая, то нельзя использовать маркер какого-либо цвета на ней. Каждый маркер должен был использован полностью, поэтому в конце на доске должно оказаться ровно \(a\) красных клеток и ровно \(b\) синих клеток.

Вова хочет раскрасить такой набор клеток, чтобы:

  • они образовали прямоугольник, состоящий ровно из \(a+b\) закрашенных клеток;
  • все клетки хотя бы одного цвета также образовали прямоугольник.

Некоторые примеры корректных раскрасок:

Некоторые примеры некорректных раскрасок:

Среди всех корректных раскрасок Вова хочет выбрать такую, что ее периметр минимален. Какой минимальный периметр Вова может получить?

Гарантируется, что существует хотя бы одна корректная раскраска.

Входные данные

В единственной строке записаны два целых числа \(a\) и \(b\) (\(1 \le a, b \le 10^{14}\)) — количество ячеек, которые надо покрасить красным маркером, и количество ячеек, которые надо покрасить синим маркером, соответственно.

Выходные данные

Выведите одно целое число — минимальный периметр закрашенного прямоугольника, который Вова может получить, раскрасив ровно \(a\) клеток в красный и ровно \(b\) клеток в синий.

Гарантируется, что существует хотя бы одна корректная раскраска.

Примечание

Первые четыре примера совпадают с первой картинкой из условия.

Обратите внимание, что существует по несколько корректных раскрасок для каждого из примеров.

В первом примере можно также сделать прямоугольник со сторонами \(1\) и \(8\), однако его периметр будет \(18\), что больше \(8\).

Во втором примере можно также сделать прямоугольник с теми же сторонами \(3\) и \(4\), но красные клетки образуют прямоугольник со сторонами \(1\) и \(3\), а синие — прямоугольник со сторонами \(3\) и \(3\).

E. Спрятанный двудольный граф

Бинарный поиск Конструктив *2800 поиск в глубину и подобное графы интерактив

У Боба есть простой неориентированный связный граф (без кратных ребер и петель). Он хочет узнать, является ли его граф двудольным (то есть вы можете покрасить все вершины графа в два цвета, чтобы не было ребра, соединяющего две вершины одного цвета) или нет. Поскольку он не очень хорошо разбирается в программировании, он попросил Алису о помощи. Он не хочет показывать свой граф Алисе, но он согласился, что Алиса может задавать ему вопросы о графе.

Единственный вопрос, который может задать Алиса, заключается в следующем: она дает Бобу \(s\) — подмножество вершин исходного графа, а он отвечает ей, сколько есть ребер в графе, которые соединяют две вершины в \(s\). Поскольку он не хочет, чтобы Алиса задавала слишком много вопросов, он разрешает ей задать не более \(20000\) вопросов. Кроме того, он подозревает, что Алиса может вводить ложные сообщения в их канал связи, поэтому, когда Алиса наконец сообщит ему, является ли граф двудольным или нет, ей также необходимо предоставить доказательство — или само разделение, или цикл нечетной длины.

Ваша задача — помочь Алисе задавать запросы и проверить, является ли граф двудольным.

Входные данные

Первая строка содержит одно целое число \(n\) (\(1 \leq n \leq 600\)) — количество вершин в графе Боба.

Протокол взаимодействия

Сначала считайте одно целое число \(n\) (\(1\leq n\leq 600\)) — количество вершин в графе Боба.

Чтобы сделать запрос, выведите две строки. Первая в формате «? k» (\(1 \leq k \leq n\)), где \(k\) — количество вершин в запросе. Вторая строка должна содержать \(k\) различных чисел \(s_1, s_2, \dots, s_k\) (\(1 \leq s_i \leq n\)) — вершины в запросе.

После каждого запроса нужно считать одно целое число \(m\) (\(0 \leq m \leq \frac{n(n-1)}{2}\)) — количество ребер, которые соединяют вершины в множестве \(\{s_i\}\).

Вы не можете задать более \(20000\) запросов.

Если \(m = -1\), то это значит, что вы задали больше вопросов, чем можно, или то, что вы вывели некорректный запрос. Ваша программа должна немедленно завершиться (например, вызывая функцию exit(0)). Вы получите вердикт Wrong Answer; это значит, что вы задали слишком много вопросов, или то, что вы задали некорректный запрос. Если вы это проигнорируете, вы можете получить любой другой вердикт, так как вы будете продолжать считывать из закрытого потока.

После вывода запроса не забудьте вывести перевод строки и сбросить буфер вывода. В противном случае вы получите вердикт Решение «зависло». Для сброса буфера используйте:

  • fflush(stdout) или cout.flush() в C++;
  • System.out.flush() в Java;
  • flush(output) в Pascal;
  • stdout.flush() в Python;
  • смотрите документацию для других языков.

Когда вы уже знаете ответ, вам нужно его вывести.

Формат вывода зависит от того, является ли граф двудольным, или нет.

Если граф двудольный, выведите две строки. Первая строка должна содержать букву «Y» (которая значит «YES»), после нее должен идти пробел и одно целое число \(s\) (\(0 \leq s \leq n\)) — количество вершин в первой доли графа. Вторая строка должна содержать \(s\) целых чисел \(a_1, a_2, \dots, a_s\) — вершины, принадлежащие первой доли. Все \(a_i\) должны быть различны, и все ребра в главном графе должны иметь только один конец в \(\{a_i\}\).

Если граф не является двудольным, выведите две строки. Первая строка должна содержать букву «N» (которая значит «NO»), после нее должен идти пробел и одно целое число \(l\) (\(3 \leq l \leq n\)) — длина простого цикла нечетной длины. Вторая строка должна содержать \(l\) целых чисел \(c_1, c_2, \dots, c_l\) — вершины цикла. Должно выполнятся условие, что для любого \(1 \leq i \leq l\) должно быть ребро \(\{c_i, c_{(i \mod l)+1}\}\) в главной графе, и все \(c_i\) должны быть различны. Если существует несколько решений, выведите любое из них.

Входные данные для взломов

Для взломов вам нужно использовать специальный формат.

Первая строка содержит два целых числа \(n\) и \(m~(1 \leq n \leq 600, 0 \leq m \leq \frac{n(n-1)}{2})\) — количество вершин и ребер в графе.

Каждая из следующих \(m\) строк содержит два целых числа \(u_i\) и \(v_i~(1 \leq u_i, v_i \leq n)\), которые значат, что существует ребро между вершинами \(u_i\) и \(v_i\). Не должно быть кратных ребер и петель, также граф должен быть связным.

Например, чтобы получить первый пример, нужно ввести такой тест:


4 4
4 1
1 3
3 2
2 4
Примечание

В первом примере Алиса узнает, что в графе есть \(4\) ребра. В следующих трех запросах она узнает, что вершина \(1\) имеет ребра с двумя вершинами: \(3\) и \(4\). Затем она узнает, что, хотя вершина \(2\) имеет ребро с \(4\), вершина \(3\) не имеет ребро с \(4\). Остается только одно возможное местоположение для оставшегося ребра — это \((2, 3)\). Это значит, что граф представляет собой цикл из четырех вершин, причем \((1, 2)\) является первой долей, а \((3, 4)\) второй. Здесь также можно вывести «3 4» как ответ.

Во втором примере мы также имеем граф из четырех вершин и четырех ребер. Во втором запросе Алиса узнает, что между вершинами \((1, 2, 4)\) есть три ребра. Единственный способ, при котором такое может произойти, это тогда, когда они образуют треугольник. Поскольку треугольник не является двудольным, Алиса может использовать это как доказательство того, что граф не является двудольным. Заметьте, что она не узнала, где находится четвертое ребро, но она в любом случае может уже ответить Бобу.

D. Отрезки отрезков

Бинарный поиск Структуры данных *3500

Little D — друг Little C, который очень любит интервалы вместо числа "\(3\)".

В данный момент у него есть \(n\) отрезков на числовой оси, \(i\)-й из них — \([a_i,b_i]\).

Но только \(n\) отрезков не могут его удовлевторить. Он определяет значение отрезка отрезков \([l,r]\) (\(1 \leq l \leq r \leq n\), \(l\) и \(r\) целые) как длину объединения отрезков с номерами с \(l\) по \(r\).

Он хочет выбрать ровно \(k\) различных отрезков отрезков, что сумма их значений максимальна. Помогите ему вычислить эту сумму.

Входные данные

Первая строка содержит два целых числа \(n\) и \(k\) (\(1 \leq n \leq 3 \cdot 10^5\), \(1 \leq k \leq \text{min}\{\frac{n(n+1)}{2},10^9\}\)) — количество отрезков у Little D и количество отрезков отрезков, которые он выберет.

Каждая из \(n\) следующих строк содержит два целых числа \(a_i\) и \(b_i\), \(i\)-я строка описывает \(i\)-й отрезок (\(1 \leq a_i < b_i \leq 10^9\)).

Выходные данные

Выведите единственное число — максимальную сумму значений, которую может получить Little D.

Примечание

В первом примере Little D выберет \([1,2]\), объединение первого и второго отрезка это \([1,4]\), длина объединения — \(3\).

Во втором примере Little D выберет \([1,2]\), \([2,3]\) и \([1,3]\), ответ будет равен \(5+6+4=15\).

B. Погоня в метро

Бинарный поиск Теория вероятностей *2100 интерактив

Это интерактивная задача.

В прекрасной Метрополии будущего необходимость в машинистах, управляющих поездами метро, отпала. Благодаря развитию технологий, их заменил искусственный интеллект (ИИ). К сожалению, в один прекрасный день опасения писателей-фантастов сбылись — ИИ взбунтовался, и теперь где-то в метро ездит неуправляемый поезд. Страшно представить, чем это грозит городской транспортной системе! Ваша задача состоит в том, чтобы найти поезд в сложной системе метро и остановить неуправляемый ИИ.

Метро Метрополии представляет из себя одну ветку (обычную прямую ветку без самопересечений) из \(n\) станций, последовательно пронумерованных от \(1\) до \(n\). В каждый момент времени поезд находится ровно на одной из этих станций. Ваша задача — найти номер этой станции.

Для определения нужной станции диспетчер Сара одолжила вам устройство, позволяющее вам выбрать произвольные числа \(l\) и \(r\) (\(l \le r\)), после чего оно проверит, верно ли, что поезд находится на станции с номером между \(l\) и \(r\) включительно. К сожалению, для перезарядки устройства требуется некоторое время (и вы используете его, как только перезарядка завершается), поэтому между двумя применениями поезд может перебраться из той станции, где он сейчас находится, в любую станцию с номером, отличающимся не более чем на \(k\). Формально, если при некотором применении устройства поезд находился на станции \(x\), то при следующем применении он может находиться на любой станции \(y\) такой, что \(\max(1, x - k) \leq y \leq \min(n, x + k)\). При этом ИИ не знает, что вы пытаетесь поймать поезд, и перемещает поезд согласно некоторому заранее составленному им плану.

В процессе изучения устройства вы выяснили, что оно было сделано очень давно и сможет выдержать не более чем \(4500\) использований, после чего оно сломается, а ваша задача будет считаться проваленной.

Сможете ли вы найти станцию, на которой находится поезд за не более чем \(4500\) использований устройства?

Входные данные

Первая строка содержит два целых числа \(n\) и \(k\) (\(1 \leq n \leq 10^{18}\), \(0 \leq k \leq 10\)) — количество станций метро и максимальное количество станций, на которое может переместиться поезд между использованиями устройства.

Протокол взаимодействия

Вы можете использовать устройство не более \(4500\) раз. Чтобы использовать устройство, вы должны вывести через пробел два целых числа \(l\) и \(r\) (\(1 \leq l \leq r \leq n\)). В ответ на это вы получите либо строку «Yes», если между станциями с номерами \(l\) и \(r\) включительно находится поезд, либо строку «No» в противном случае. Если \(l = r\), и вы получили ответ «Yes», это значит, что вы точно определили станцию, на которой находится поезд, и ваша программа после этого должна немедленно завершиться.

Ответ «Bad» вместо «Yes» или «No» означает, что ваша программа сделала некорректный запрос или превысила ограничение на число запросов. Ваша программа должна немедленно завершиться после прочтения ответа «Bad», вы получите вердикт Неправильный ответ. В противном случае вы можете получить любой вердикт, так как программа продолжит чтение из закрытого потока.

После вывода запроса не забудьте вывести перевод строки и сбросить буфер вывода. В противном случае вы получите вердикт Решение «зависло». Для сброса буфера используйте:

  • fflush(stdout) или cout.flush() в C++;
  • System.out.flush() в Java;
  • flush(output) в Pascal;
  • stdout.flush() в Python;
  • смотрите документацию для других языков.

Взломы

Чтобы взломать решение, представьте тест в следующем формате.

Первая строка должна содержать три целых числа \(n\), \(k\) и \(p\) (\(1 \le n \le 10^{18}\), \(0 \le k \le 10\), \(1 \le p \le n\)) — количество станций, максимальное количество станций, на которое может переместиться поезд между использованиями устройства и начальная позиция поезда, соответственно.

Каждая из следующих \(4500\) строк должна содержать одно целое число \(x\) (\(1 \le x \le n\)) — позицию поезда после очередного запроса. Две последовательных позиции не должны отличаться более, чем на \(k\).

Например, следующие строчки образуют начало теста из примера.


10 2 5
5
3
5
7
7
...
Примечание

В первом тесте поезд изначально находился на станции \(5\), после первого использования остался на месте, после второго — переместился на станцию \(3\), а после третьего вернулся на станцию \(5\).

C. Перерывы на кофе

Бинарный поиск Структуры данных *1600 жадные алгоритмы

Монокарп недавно устроился на работу, его рабочий день длится \(m\) минут. Также известны \(n\) минут \(a_1, a_2, \dots, a_n\), в которые он хочет сделать перерыв на кофе (в этой задаче считаем, что Монокарп пьет кофе ровно минуту).

Однако начальнику Монокарпа не нравится, когда тот пьет кофе слишком часто, поэтому Монокарп хочет проставить каждой из заданных минут \(a_i\) номер рабочего дня, в который он устроит перерыв на кофе в эту минуту, так, чтобы каждый день между любой парой перерывов на кофе было как минимум \(d\) минут рабочего времени. При этом Монокарп хочет попить кофе \(n\) раз за минимальное количество именно рабочих дней (исключая выходные). Считайте, что между любыми двумя последовательными рабочими днями проходит более \(d\) минут.

Определите для каждой из \(n\) заданных минут для перерывов на кофе, в какой из дней соответствующий перерыв нужно сделать. При этом количество дней нужно минимизировать.

Входные данные

Первая строка содержит три целых числа \(n\), \(m\), \(d\) \((1 \le n \le 2\cdot10^{5}, n \le m \le 10^{9}, 1 \le d \le m)\) — количество перерывов, длина рабочего дня и минимальное количество минут между двумя перерывами на кофе.

Вторая строка содержит \(n\) различных целых чисел \(a_1, a_2, \dots, a_n\) \((1 \le a_i \le m)\), где \(a_i\) равно минуте рабочего дня, в которую Монокарп хочет пить кофе.

Выходные данные

В первую строку выведите минимальное количество дней, в которые Монокарп успеет сделать описанные \(n\) перерывов на кофе.

Во вторую строку выведите \(n\) целых чисел, причем \(i\)-е число должно быть равно номеру рабочего дня, в который нужно сделать перерыв на кофе в минуту \(a_i\). Дни нужно нумеровать последовательными натуральными числами, начиная с \(1\). Если ответов несколько, разрешается вывести любой из них.

Примечание

В первом примере Монокарп может сделать два перерыва на кофе в первый день (в минуты \(1\) и \(5\), между ними пройдёт \(3\) минуты), один перерыв на кофе во второй день (в минуту \(2\)) и один перерыв на кофе в третий день (в минуту \(3\)).

Во втором примере Монокарп может сделать все перерывы в нечетные минуты в первый день, а все перерывы в четные минуты во второй.

D. Планерист

Бинарный поиск Структуры данных *1700

Самолет летит параллельно поверхности земли на высоте \(h\) метров. Будем считать, что самолет летит из точки \((-10^9, h)\) в точку \((10^9, h)\) параллельно оси \(Ox\) вправо.

В самолете находится планерист, который в определенный момент выпрыгнет из самолета. Из-за особенностей задачи, планерист может выпрыгивать только в целочисленных координатах. После прыжка каждую секунду он будет двигаться вдоль оси \(Ox\) на единицу вправо, а также падать на единицу вниз.

На некоторых отрезках действуют восходящие потоки воздуха, характеризующиеся двумя числами \(x_1\) и \(x_2\) (\(x_1 < x_2\)). Они действуют по всей высоте. Никакие два потока не пересекаются и не имеют общих точек. Если планерист попадает в восходящий поток, то он не теряет высоту, пока летит в этом потоке. Изменение по оси \(Ox\) остается таким же — он двигается на единицу вправо за одну секунду.

Если планерист выпрыгнет в координате \(1\), то он остановится в \(10\). Если же он выпрыгнет в \(2\), то остановится в \(12\).

Определите максимальное расстояние по оси \(Ox\) от точки прыжка до точки приземления, которое планерист сможет пролететь, если он самостоятельно может выбрать точку прыжка. Коснувшись земли, планерист останавливается, то есть он не может планировать в восходящем потоке на высоте \(0\).

Входные данные

Первая строка содержит два целых числа \(n\) и \(h\) \((1 \le n \le 2\cdot10^{5}, 1 \le h \le 10^{9})\) — количество восходящих потоков воздуха и высота полета самолета.

Каждая из следующих \(n\) строк содержит два целых числа \(x_{i1}\) и \(x_{i2}\) \((1 \le x_{i1} < x_{i2} \le 10^{9})\) — координаты левого и правого концов \(i\)-го восходящего потока. Гарантируется, что никакие два потока не пересекаются и не имеют общих точек. Потоки заданы в порядке возрастания их координат.

Выходные данные

Выведите максимальное расстояние по оси \(Ox\) от точки прыжка до точки приземления, которое планерист сможет пролететь, если он самостоятельно может выбрать точку прыжка. Гарантируется, что при заданных ограничениях ответ целочисленный.

Примечание

В первом примере планеристу выгодно выпрыгнуть в точке с координатами \((2, 4)\), тогда он приземлится в точке \((12, 0)\), что даст расстояние равное \(12-2 = 10\).

Во втором примере планеристу выгодно выпрыгнуть в точке с координатами \((16,10)\), тогда он приземлится в точке \((34,0)\), что даст расстояние равное \(34-16=18\).

В третьем примере планерист может выпрыгнуть, например, в точке с координатами \((-100,1000000000)\), тогда он приземлится в точке \((1999999899,0)\), что даст расстояние равное \(1999999899-(-100)=1999999999\).

A. Лавочки

Бинарный поиск реализация *1100

В берляндском парке есть \(n\) лавочек. Про каждую лавочку известно количество людей \(a_i\), которые уже сидят на \(i\)-й лавочке. Известно, что в ближайшее время в парк придут ещё \(m\) человек, каждый из которых сядет на одну из \(n\) лавочек.

Пусть \(k\) — это максимальное количество человек, которые будут сидеть на одной лавочке после прихода в парк ещё \(m\) человек. Определите минимально возможную величину \(k\) и максимально возможную величину \(k\).

Считайте, что никто из посетителей парка не будет вставать с лавочек.

Входные данные

В первой строке следует целое число \(n\) \((1 \le n \le 100)\) — количество лавочек в парке.

Во второй строке следует целое число \(m\) \((1 \le m \le 10\,000)\) — количество людей, которые ещё придут в парк и сядут на лавочки.

В следующих \(n\) строках следует по одному целому числу \(a_i\) \((1 \le a_i \le 100)\) — количество людей, которые изначально сидят на \(i\)-й лавочке.

Выходные данные

Выведите минимально возможную величину \(k\) и максимально возможную величину \(k\), где \(k\) — это максимальное количество человек, которые будут сидеть на одной лавочке после прихода в парк ещё \(m\) человек.

Примечание

В первом примере изначально на четырех лавочках сидят по одному человеку. Минимальная величина \(k\) равна \(3\). Для этого нужно, например, чтобы два новых человека сели на первую лавочку, один новый человек сел на вторую лавочку, один новый человек сел на третью лавочку и два новых человека сели на четвертую лавочку. Максимальная величина \(k\) равна \(7\). Для этого нужно, чтобы все шесть новых человек сели на одну и ту же лавочку.

Во втором примере минимальная величина \(k\) равна \(15\) и максимальная величина \(k\) равна \(15\), так как в парке есть всего одна лавочка и все \(10\) новых человек сядут именно на неё.

A. Ладья возвращается домой

Бинарный поиск *1700

На шахматной доске шириной \(10^9\) и высотой \(10^9\) строки нумеруются снизу вверх от \(1\) до \(10^9\), а столбцы слева направо от \(1\) до \(10^9\). Поэтому каждой клетке шахматной доски можно присвоить координаты \((x,y)\), где \(x\) — номер столбца, а \(y\) — номер строки.

На этой доске каждый день проходят бои между чёрными и белыми фигурами. Сегодня победу одержали чёрные, но какой ценой? В живых осталась лишь ладья, и то, загнанная в левый нижний угол — клетку с координатами \((1,1)\). Но она все равно счастлива, ведь победа одержана и надо её отпраздновать! Для того чтобы это сделать, ладье нужно вернуться домой, а именно — на верхнюю сторону поля (то есть в любую клетку, которая находится в строке под номером \(10^9\)).

Все было бы хорошо, но коварные белые фигуры перед концом игры поставили заклинания в некоторых местах поля. Заклинания бывают двух видов:

  • Вертикальные. Они задаются одним числом \(x\). Такие заклинания создают бесконечную блокирующую прямую между столбцами \(x\) и \(x+1\).
  • Горизонтальные. Они задаются тремя числами \(x_1\), \(x_2\), \(y\). Такие заклинания создают блокирующий отрезок, который проходит через верхнюю сторону клеточек, которые находятся в строке \(y\) и в столбцах с \(x_1\) по \(x_2\) включительно. Особенность этих заклинаний заключается в том, что невозможно такое, чтобы некая пара таких заклинаний имела общую точку. Обратите внимание, что горизонтальные заклинания могут иметь общие точки с вертикальными заклинаниями.
Пример шахматной доски.

Напомним, что ладья — это шахматная фигура, которая может за один ход передвинуться на любую точку, которая находится в одной строке или столбце с её исходным положением. В нашей задаче ладья может за один ход передвинуться из клетки \((r_0,c_0)\) в клетку \((r_1,c_1)\) только при условии, что \(r_1 = r_0\) или \(c_1 = c_0\) и при этом на пути между этими клетками нет блокирующих прямых или блокирующих отрезков (Для лучшего понимая смотрите на примеры из условия).

К счастью, ладья может убирать заклинания, но для этого ей приходится использовать нечеловеческие усилия. Она хочет убрать минимально возможное количество заклинаний, чтобы после этого она могла вернуться домой. Найдите это количество!

Входные данные

Первая строка содержит два целых числа \(n\) и \(m\) (\(0 \le n,m \le 10^5\)) — количество вертикальных и горизонтальные заклинаний.

Каждая из следующих \(n\) строк содержит одно целое число \(x\) (\(1 \le x < 10^9\)) — описание вертикального заклинания. Оно описывает блокирующую прямую между столбцами \(x\) и \(x+1\).

Каждая из следующих \(m\) строк содержит три целых числа \(x_1\), \(x_2\) и \(y\) (\(1 \le x_{1} \le x_{2} \le 10^9\), \(1 \le y < 10^9\)) — числа, описывающие горизонтальное заклинание. Они описывают блокирующий отрезок на верхних сторонах клеточек, которые находятся в строке под номером \(y\), в столбцах с \(x_1\) до \(x_2\) включительно.

Гарантируется что все заклинания различны, а также то, что для каждой пары горизонтальных заклинаний верно, что отрезки, которые их задают, не имеют общих точек.

Выходные данные

В единственной строке выведите одно число — минимальное количество заклинаний, которые понадобится снять ладье, чтобы добраться из клетки \((1,1)\) до хотя бы одной клетки в строке под номером \(10^9\).

Примечание

В первом примере, чтобы ладья могла вернуться домой, достаточно убрать второе горизонтальное заклинание.

Иллюстрация к первому примеру. Слева — как выглядело поле изначально. Справа — как оно выглядело после того, как было убрано второе горизонтальное заклинание. На изображении справа также показан путь, по которому двигалась бы ладья домой.

Во втором примере для того, чтобы ладья могла вернуться домой, достаточно убрать единственное вертикальное заклинание. Если же мы попытаемся удалить лишь одно из горизонтальных заклинаний, то это не даст ладье возможность добраться домой, ведь ей сверху будет преграждать путь одно из оставшихся (первое или второе) горизонтальных заклинаний, а справа — вертикальное заклинание.

Иллюстрация ко второму примеру. Слева — как выглядело поле изначально. Справа — как оно выглядело после того, как было убрано вертикальное заклинание. На изображении справа также показан путь, по которому двигалась бы ладья домой.

В третьем примере у нас есть два горизонтальных заклинания, которые проходят через всё поле. Эти заклинания обойти нельзя, значит, нам надо убрать оба заклинания.

Иллюстрация к третьему примеру. Слева — как выглядело поле изначально. Справа — как оно выглядело после того, как были убраны горизонтальные заклинания. На изображении справа также показан путь, по которому двигалась бы ладья домой.

В четвёртом примере, у нас нет заклинаний, значит, ничего убирать не надо.

В пятом примере мы можем убрать первое вертикальное и третье горизонтальное заклинания.

Иллюстрация к пятому примеру. Слева — как выглядело поле изначально. Справа — как оно выглядело после того, как были убраны заклинания, указанные выше. Также показан путь, по которому двигалась бы ладья домой.

E. Вася и длинные числа

Строки Бинарный поиск Структуры данных дп *2600 хэши

У Васи есть три длинных числа — \(a, l, r\). Назовем разбиением длинного числа \(x\) такую последовательность строк \(s_1, s_2, \dots, s_k\), что \(s_1 + s_2 + \dots + s_k = x\), где \(+\) означает конкатенацию строк. При этом \(s_i\) называется \(i\)-м элементом разбиения. Например, для числа \(12345\) существуют следующие разбиения: ["1", "2", "3", "4", "5"], ["123", "4", "5"], ["1", "2345"], ["12345"] и многие другие.

Назовем разбиение числа \(a\) хорошим, если каждый его элемент не содержит лидирующих нулей.

Вася хочет знать количество хороших разбиений числа \(a\), где каждый элемент разбиения \(s_i\) будет удовлетворять условию \(l \le s_i \le r\). Обратите внимание, что сравнение происходит по правилам сравнения целых чисел, а не сравнения строк.

Помогите Васе! Сообщите ему количество разбиений числа \(a\), удовлетворяющих описанным выше условиям. Полученное число может быть достаточно велико, поэтому выведите его по модулю \(998244353\).

Входные данные

В первой строке содержится целое число \(a~(1 \le a \le 10^{1000000})\).

Во второй строке содержится целое число \(l~(0 \le l \le 10^{1000000})\).

В третьей строке содержится целое число \(r~(0 \le r \le 10^{1000000})\).

Гарантируется, что \(l \le r\).

Так же гарантируется, что числа \(a, l, r\) не содержат лидирующих нулей.

Выходные данные

Выведите одно целое число — количество разбиений числа \(a\), удовлетворяющих описанным выше условиям, по модулю \(998244353\).

Примечание

В первом тестовом примере существует два хороших разбиения \(13+5\) и \(1+3+5\).

Во втором тестовом примере существует одно хорошее разбиение \(1+0+0+0+0\).

E. Отрезки на прямой

Бинарный поиск дп *2500

Дан список целых чисел \(a_1, a_2, \ldots, a_n\) и \(s\) его подотрезков \([l_j; r_j]\) (где \(1 \le l_j \le r_j \le n\)).

Требуется выбрать ровно \(m\) подотрезков, чтобы \(k\)-я порядковая статистика мультимножества чисел \(a_i\), где \(i\) принадлежит хотя бы одному из выбранных подотрезков, была наименьшей возможной. Если невозможно выбрать множество из \(m\) подотрезков, чтобы мультимножество содержало хотя бы \(k\) элементов, выведите -1.

Напомним, что \(k\)-й порядковой статистикой называется значение \(k\)-го элемента в отсортированном по возрастанию списке.

Входные данные

Первая строка содержит четыре целых числа \(n\), \(s\), \(m\) и \(k\) (\(1 \le m \le s \le 1500\), \(1 \le k \le n \le 1500\)) — размер списка чисел, количество его подотрезков, количество подотрезков, которые нужно выбрать, и номер статистики.

Вторая строка содержит \(n\) целых чисел \(a_i\) (\(1 \le a_i \le 10^9\)) — значения чисел в списке.

Следующие \(s\) строк содержат по два целых числа \(l_i\), \(r_i\) (\(1 \le l_i \le r_i \le n\)) — границы данных подотрезков.

Подотрезки во входных данных могут совпадать друг с другом.

Выходные данные

Выведите одно целое число — наименьшую возможную \(k\)-ю порядковую статистики, или -1, если не существует ни одного способа выбрать такое множество подотрезков, чтобы мультимножество содержало хотя бы \(k\) элементов.

Примечание

В первом примере одно из возможных решений — выбрать первый и третий подотрезок. Вместе они покрывают три элемента из исходного списка (все, кроме третьего). Тогда \(2\)-я порядковая статистика выбранных элементов равна \(2\).

F. Напиши контест

Бинарный поиск математика дп *2500

Поликарп, друг Аркадия, готовится к олимпиаде по программированию и решил написать контест. Контест состоит из \(n\) задач и длится \(T\) минут. Каждая из задач задаётся двумя целыми положительными числами \(a_i\) и \(p_i\) — её сложность и количество баллов за её решение

Опыт Поликарпа подсказывает, что его навык характеризуется положительным вещественным числом \(s\), причем изначально \(s=1.0\). Для решения \(i\)-й задачи Поликарпу требуется \(a_i/s\) минут.

Поликарп очень любит смотреть сериалы, поэтому перед решением каждой из задач он обязательно будет смотреть одну серию. За время просмотра серии его навык уменьшается на \(10\%\), то есть навык \(s\) уменьшается до \(0.9s\). Каждая серия имеет продолжительность \(10\) минут. Приняв решение работать над задачей, Поликарп обязательно сначала смотрит серию, а затем решает без перерывов задачу в течение \(a_i/s\) минут, где \(s\) — его текущий навык. При вычислении \(a_i/s\) округление не используется, просто производится деление целого числа \(a_i\) на вещественное число \(s\).

Также Поликарп может тренироваться. Тренируясь в течение \(t\) минут, он увеличивает свой навык на величину \(C \cdot t\), где \(C\) — заданная положительная вещественная константа. Тренироваться Поликарп может только до решения всех задач (и до просмотра сериалов). Продолжительность тренировки может быть любым вещественным числом.

Поликарпу стало интересно, какое наибольшее количество баллов он сможет заработать за все время контеста. Задачи можно решать в любом порядке, тренироваться же можно только до решения первой задачи.

Входные данные

В первой строке записано целое число \(tc\) (\(1 \le tc \le 20\)) — количество тестовых случаев. Далее следуют \(tc\) тестовых случаев.

В первой строке каждого тестового случая записано одно целое число \(n\) (\(1 \le n \le 100\)) — количество задач в контесте.

Вторая строка теста содержит два вещественных числа \(C, T\) (\(0 < C < 10\), \(0 \le T \le 2 \cdot 10^5\)), где \(C\) — параметр, характеризующий эффективность тренировок, а \(T\) — длительность контеста в минутах. Значения \(C, T\) записаны ровно с тремя знаками после десятичной точки.

Каждая из следующих \(n\) строк теста содержит характеристики соответствующей задачи — два целых числа \(a_i, p_i\) (\(1 \le a_i \le 10^4\), \(1 \le p_i \le 10\)) — сложность и количество баллов за её решение.

Гарантируется, что значение \(T\) в каждом тесте таково, что изменение этого числа на \(0.001\) в любую сторону не изменит ответ на тест.

Обратите внимание, что во взломах вы можете использовать только \(tc = 1\).

Выходные данные

Выведите \(tc\) целых чисел — максимальное возможное количество баллов в каждом тестовом случае.

Примечание

В первом примере набрать \(7\) баллов Поликарп может следующим образом:

  1. Сначала он тренируется \(4\) минуты, увеличивая \(s\) до величины \(5\);
  2. Потом хочет решить \(4\)-ю задачу: смотрит сериал \(10\) минут, глупеет до \(s=5*0.9=4.5\) и тратит на решение \(5/s=5/4.5\), что примерно составляет \(1.111\) минуты;
  3. Наконец, он хочет решить \(2\)-ю задачу: смотрит сериал \(10\) минут, глупеет до \(s=4.5*0.9=4.05\) и тратит на решение \(20/s=20/4.05\), что примерно составляет \(4.938\) минуты.

Таким образом, Поликарп может потратить примерно \(4+10+1.111+10+4.938=30.049\) минут, чтобы набрать \(7\) баллов. Действуя любым другим способом, набрать больше баллов за \(31\) минуту он не успеет.

Во втором примере набрать \(20\) баллов Поликарп может следующим образом:

  1. Сначала он тренируется \(4\) минуты, увеличивая \(s\) до величины \(5\);
  2. Потом хочет решить \(1\)-ю задачу: смотрит сериал \(10\) минут, глупеет до \(s=5*0.9=4.5\) и тратит на решение \(1/s=1/4.5\), что примерно составляет \(0.222\) минуты;
  3. Наконец, он хочет решить \(2\)-ю задачу: смотрит сериал \(10\) минут, глупеет до \(s=4.5*0.9=4.05\) и тратит на решение \(10/s=10/4.05\), что примерно составляет \(2.469\) минуты.

Таким образом, Поликарп может потратить примерно \(4+10+0.222+10+2.469=26.691\) минут, чтобы набрать \(20\) баллов. Действуя любым другим способом, набрать больше баллов за \(30\) минут он не успеет.

D. Заповедник

Бинарный поиск Тернарный поиск геометрия *2200

В лесу, который мы представляем как плоскость, живут \(n\) редких животных. Животное номер \(i\) имеет логово в точке \((x_{i}, y_{i})\). В целях защиты этих животных было решено создать заповедник, имеющий форму круга, в котором должны находиться все логова редких животных.

Также через лес протекает единственная река, из которой пьют все животные, в связи с чем она должна иметь хотя бы одну общую точку с заповедником. С другой стороны, по реке постоянно ходят корабли, чему может помешать наличие более чем одной общей точки реки и заповедника. Таким образом, необходимо, чтобы заповедник и река имели ровно одну общую точку.

Для вашего удобства ученые уже сделали преобразование координат такое, что теперь река задана уравнением \(y = 0\). Определите, возможно ли построить заповедник и найдите минимальный радиус заповедника, удовлетворяющего заданным условиям.

Входные данные

В первой строке дано целое число \(n\) (\(1 \le n \le 10^5\)) — количество животных.

В каждой из следующих \(n\) строк находятся два целых числа \(x_{i}\), \(y_{i}\) (\(-10^7 \le x_{i}, y_{i} \le 10^7\)) — координаты логова \(i\)-го животного. Гарантируется, что \(y_{i} \neq 0\), а также, что никакие два расположения логова не совпадают.

Выходные данные

Если заповедник невозможно построить, выведите \(-1\). Иначе выведите одно вещественное число — минимальный радиус заповедника. Ваш ответ будет засчитан, если абсолютная или относительная погрешность вашего ответа не превышает \(10^{-6}\).

Формально, пусть ваш ответ равен \(a\), а ответ жюри равен \(b\). Ваш ответ будет зачтен, если \(\frac{|a - b|}{\max{(1, |b|)}} \le 10^{-6}\).

Примечание

В первом примере оптимально построить заповедник радиуса \(0.5\) с центром в точке \((0,\ 0.5)\).

Во втором примере невозможно построить заповедник.

В третьем примере оптимально построить заповедник радиуса \(\frac{5}{8}\) с центром в точке \((\frac{1}{2},\ \frac{5}{8})\).

E. Разбейте дерево

Бинарный поиск Деревья Структуры данных дп жадные алгоритмы *2400

Вам дано корневое дерево на \(n\) вершинах, его корень имеет номер \(1\). В \(i\)-й вершине записано число \(w_i\). Разбейте его на минимальное число таких вертикальных путей, что сумма чисел \(w_i\) в вершинах пути не превосходит \(S\), а количество вершин в пути не превосходит \(L\). Каждая вершина должна принадлежать ровно одному пути.

Вертикальным путём называется последовательность вершин \(v_1, v_2, \ldots, v_k\), где \(v_i\) (\(i \ge 2\)) — непосредственный предок \(v_{i - 1}\) в дереве.

Входные данные

В первой строке даны целые числа \(n\), \(L\), \(S\) (\(1 \le n \le 10^5\), \(1 \le L \le 10^5\), \(1 \le S \le 10^{18}\)) — число вершин в дереве, максимальная длина пути, максимальная сумма на пути.

Во второй строке содержатся \(n\) целых чисел \(w_1, w_2, \ldots, w_n\) (\(1 \le w_i \le 10^9\)) — числа, записанные в вершинах.

Третья строка содержит \(n - 1\) целое число \(p_2, \ldots, p_n\) (\(1 \le p_i < i\)), где \(p_i\) обозначает непосредственного предка \(i\)-й вершины.

Выходные данные

Выведите одно целое число — минимальное число вертикальных путей. Если разбить дерево невозможно, выведите \(-1\).

Примечание

В первом примере дерево разбивается на пути \(\{1\},\ \{2\},\ \{3\}\).

Во втором примере дерево разбивается на пути \(\{1,\ 2\},\ \{3\}\) или \(\{1,\ 3\},\ \{2\}\).

В третьем примере разбить дерево невозможно.

C. Максимальный подпрямоугольник

Бинарный поиск реализация *1600

Даны два массива \(a\) и \(b\) из целых положительных чисел, длины \(n\) и \(m\) соответственно.

Рассмотрим матрицу \(c\) размера \(n \times m\), где \(c_{i,j} = a_i \cdot b_j\).

Вам необходимо найти в матрице \(c\) подпрямоугольник максимальной площади, сумма чисел в котором не превосходит \(x\).

Формально, необходимо найти такую максимальную площадь \(s\), что существуют четыре целых числа \(x_1, x_2, y_1, y_2\), удовлетворяющих ограничениям \(1 \leq x_1 \leq x_2 \leq n\), \(1 \leq y_1 \leq y_2 \leq m\), \((x_2 - x_1 + 1) \times (y_2 - y_1 + 1) = s\), таких что \(\)\sum_{i=x_1}^{x_2}{\sum_{j=y_1}^{y_2}{c_{i,j}}} \leq x.\(\)

Входные данные

В первой строке записаны два целых числа \(n\) и \(m\) (\(1 \leq n, m \leq 2000\)).

Во второй строке записаны \(n\) целых чисел \(a_1, a_2, \ldots, a_n\) (\(1 \leq a_i \leq 2000\)).

В третьей строке записаны \(m\) целых чисел \(b_1, b_2, \ldots, b_m\) (\(1 \leq b_i \leq 2000\)).

В четвертой строке записано одно целое число \(x\) (\(1 \leq x \leq 2 \cdot 10^{9}\)).

Выходные данные

Если существуют четыре целых числа \(x_1, x_2, y_1, y_2\), таких что \(1 \leq x_1 \leq x_2 \leq n\), \(1 \leq y_1 \leq y_2 \leq m\) и \(\sum_{i=x_1}^{x_2}{\sum_{j=y_1}^{y_2}{c_{i,j}}} \leq x\), выведите максимально возможное значение \((x_2 - x_1 + 1) \times (y_2 - y_1 + 1)\) среди всех подходящих четвёрок, иначе выведите \(0\).

Примечание

Матрица из первого примера и выбранный подпрямоугольник (синего цвета):

Матрица из второго примера и выбранный подпрямоугольник (синего цвета):

E. Компания

Бинарный поиск Деревья Структуры данных поиск в глубину и подобное жадные алгоритмы *2300

У компании \(X\) есть \(n\) сотрудников, пронумерованных от \(1\) до \(n\). У каждого сотрудника \(u\) есть его прямой начальник \(p_u\) (\(1 \le p_u \le n\)), кроме сотрудника \(1\), у которого начальника нет. Гарантируется, что значения \(p_i\) образуют дерево. Сотрудник \(u\) называется ответственным за сотрудника \(v\), если \(u\) является прямым начальником \(v\) или есть такой сотрудник \(w\), что \(w\) ответственен за \(v\), и \(u\) является прямым начальником \(w\). Любой сотрудник также считается ответственным за самого себя.

Также, для каждого сотрудника \(u\) мы определим его уровень \(lv(u)\) следующим образом:

  • \(lv(1)=0\)
  • \(lv(u)=lv(p_u)+1\) если \(u \neq 1\)

У компании есть \(q\) возможных планов на ближайшее будущее. При чём \(i\)-й из них задаётся двумя числа \(l_i\) и \(r_i\), означающими что в этом плане принимают участие все сотрудники в отрезке \([l_i, r_i]\) и только они. Чтобы всё прошло гладко, у плана должен быть проектный менеджер, который является ответственным за всех сотрудников в этом плане. Более формально, если сотрудник \(u\) выбирается как проектный менеджер \(i\)-го плана, то для каждого сотрудника \(v \in [l_i, r_i]\), \(u\) должен быть ответственен за \(v\). Заметим, что при этом не обязательно \(u\) сам должен находится в отрезке \([l_i, r_i]\). Также, \(u\) всегда выбирается таким образом, что \(lv(u)\) является максимально возможным (чем больше уровень, тем меньше компания может платить сотруднику).

До того как любой план начнёт выполняться, компания позволила JATC заглянуть в свои планы. С первого взгляда он заметил, что для каждого плана можно уменьшить количество вовлечённых в него сотрудников ровно на один без каких-либо проблем. Будучи жадной, компания спрашивает у JATC: какого же именно сотрудника надо выкинуть из плана, чтобы уровень менеджера проекта был максимально возможным? JATC уже выяснил ответ и теперь предлагает это сделать и вам.

Входные данные

Первая строка содержит два целых числа \(n\) и \(q\) (\(2 \le n \le 100\,000\), \(1 \le q \le 100\,000\)) — количество сотрудников и количество планов соответственно.

Вторая строка содержит \(n-1\) целых чисел \(p_2, p_3, \dots, p_n\) (\(1 \le p_i \le n\)), где \(p_i\) является прямым начальником сотрудника \(i\).

Гарантируется, что значения \(p_i\) задают ориентированное дерево с корнем в вершине \(1\).

Каждая из \(q\) следующих строк содержит два целых числа \(l_i\) и \(r_i\) (\(1 \le l_i<r_i \le n\)) — отрезок сотрудников, вовлечённых в соответствующий план.

Выходные данные

Выведите \(q\) строк по два целых числа в каждой — номер сотрудника, которого стоит выкинуть из соответствующего плана, и максимальный уровень менеджера проекта, который в таком случае получится.

Если существует несколько способов выбрать сотрудника, которого стоит выкинуть, выведите любого из них.

Примечание

В примере:

В первом запросе мы можем выбрать \(4\), \(5\) или \(6\) и менеджером проекта в таком случае будет \(3\).

Во втором запросе, если мы выберем любого сотрудника кроме сотрудника \(8\), то менеджером проекта будет сотрудник \(1\), если же мы выберем сотрудника \(8\), то проектным менеджером будет \(3\). Так как \(lv(3)=1 > lv(1)=0\), то оптимальным ответом будет выбрать сотрудника \(8\).

В третьем запросе, как бы мы ни выбирали сотрудника, проектным менеджером всегда окажется сотрудник \(1\).

В четвёртом запросе, если мы выберем \(9\) или \(10\), то менеджером проекта будет \(3\), если же мы выберем \(11\), то проектным менеджером окажется \(7\). Так как \(lv(7)=3>lv(3)=1\), то оптимальным ответом будет выбрать сотрудника \(11\).

C. Гномы, шляпы и экстрасенсорные способности

Бинарный поиск Конструктив геометрия *1900 интерактив

Это интерактивная задача.

В былые времена гномы пытались развить у себя экстрасенсорные способности:

  • В абсолютно тёмную пещеру заводили n гномов.
  • На каждого гнома надевали шляпу — белую или чёрную. Гномы в пещере не видели цветов своих шляп и шляп других гномов.
  • Гномы по очереди выходили из пещеры на поляну и садились на произвольное места. При этом, выходя из пещеры, каждый гном видел цвета шляп всех гномов, вышедших ранее. Тем не менее, он не видит цвет собственной шляпы и никто из других гномов ему этот цвет не сообщает.
  • Задача состояла в том, чтобы все гномы разошлись в две стороны — в одну те, кто носят белые шляпы и в другую — чёрные.

За многие века гномы научились безошибочно выбирать для себя место на поляне. Получится ли подобное у вас?

Вас просят по очереди назвать n различных точек на плоскости с целочисленными координатами. После указания очередной точки вам будет сообщён её цвет — чёрный или белый. Ваша задача — добиться того, чтобы названные точки можно было разбить прямой так, чтобы точки одного цвета лежали по одну сторону от прямой, точки разного цвета — по разные стороны и никакие точки не лежали на прямой. Также вы должны предъявить такую прямую.

В данной задаче интерактор является адаптивным — цвета точек в тесте заранее не зафиксированы и программа жюри может выбирать их произвольным образом, в том числе учитывая вывод вашей программы.

Протокол взаимодействия

В первой строке стандартного потока ввода дано целое число n (1 ≤ n ≤ 30) — количество точек, которое должна назвать ваша программа.

Затем n раз ваша программа должна вывести по два целых числа x и y (0 ≤ x ≤ 109, 0 ≤ y ≤ 109) — координаты очередной точки. Все выведенные вами точки должны быть различными.

В ответ на каждую пару координат ваша программа получит на вход строку «black», если точка имеет чёрный цвет, или «white», если точка имеет белый цвет.

После того, как все n точек будут обработаны, вы должны вывести четыре целых числа x1, y1, x2 и y2 (0 ≤ x1, y1 ≤ 109, 0 ≤ x2, y2 ≤ 109) — координаты точек (x1, y1) и (x2, y2), через которые проходит прямая, разделяющая n точек на белые и чёрные. Точки (x1, y1) и (x2, y2) не должны совпадать.

Взломы

Чтобы взломать решение используйте следующий формат. Первая строка теста должна содержать слово «hack», во второй строке выведите целое число n, на третьей строке выведите последовательность из 0 и 1 — цвета точек, которые будут сообщены взламываемому решению. В отличии от тестов жюри, цвета точек во взломах заранее зафиксированы. Разумеется, взламываемое решение не будет заранее знать цвета в взломе.

Например, взлом соответствующий первому тесту из условия выглядит так:


hack
5
0 0 1 1 0
Примечание

В условии в примере взаимодействия вводимые и выводимые данные расположены для удобства восприятия в хронологическом порядке, при реальном взаимодействии никакие «лишние» переводы строк возникать не должны.

Иллюстрация к первому примеру.

D. Упаковывание в коробки

Бинарный поиск реализация *1800

У Максима есть \(n\) предметов и \(m\) коробок, каждая коробка имеет размер \(k\). Предметы пронумерованы от \(1\) до \(n\) в порядке слева направо, размер \(i\)-го предмета равен \(a_i\).

Максим хочет упаковать предметы в коробки и он собирается упаковывать предметы по следующему алгоритму: он берет одну из пустых коробок, которые у него имеются, идет слева направо по предметам, которые у него есть, и если \(i\)-й предмет помещается в текущую коробку (оставшийся размер коробки больше либо равен \(a_i\)), он кладет его в эту коробку и оставшийся размер коробки уменьшается на \(a_i\). Иначе он берет новую коробку и продолжает процесс, описанный выше. Если у него не остается пустых коробок и есть еще хотя бы один предмет, который не упакован в коробку, то Максим не может упаковать выбранный набор предметов.

Максим хочет знать максимальное количество предметов, которые он может упаковать при помощи алгоритма, описанного выше. Чтобы достичь цели, он будет выбрасывать самый левый предмет из набора до тех пор, пока оставшийся набор предметов не сможет быть упакован в коробки, которые у него имеются. Ваша задача — найти максимальное количество предметов, которые Максим сможет упаковать в коробки, которые у него имеются.

Каждый раз, когда Максим пытается упаковать предметы в коробки, сначала он опустошает все коробки, которые у него есть (и относительный порядок оставшегося набора предметов не меняется).

Входные данные

Первая строка входных данных содержит три целых числа \(n\), \(m\) и \(k\) (\(1 \le n, m \le 2 \cdot 10^5\), \(1 \le k \le 10^9\)) — количество предметов, количество коробок и размер каждой коробки.

Вторая строка входных данных содержит \(n\) целых чисел \(a_1, a_2, \dots, a_n\) (\(1 \le a_i \le k\)), где \(a_i\) равно размеру \(i\)-го предмета.

Выходные данные

Выведите максимальное количество предметов, которые сможет упаковать Максим при помощи алгоритма, описанного в условии задачи.

Примечание

В первом тестовом примере Максим может упаковать только \(4\) предмета. Сначала он пытается упаковать все \(5\) предметов. Распределение предметов будет выглядеть как \([5], [2, 1]\). Максим не может упаковать следующий предмет во вторую коробку и пустых коробок у него не осталось. Затем он выбрасывает первый предмет и распределение предметов будет выглядеть как \([2, 1], [4, 2]\). Таким образом, ответ равен \(4\).

Во втором тестовом примере очевидно ,что Максим не может упаковать предметы, начиная с первого, второго, третьего и четвертого (во всех этих случаях распределение предметов выглядит как \([4]\)), но он может упаковать последний предмет (\([1]\)).

В третьем тестовом примере Максим может упаковать все предметы, которые у него есть. Распределение предметов будет выглядеть как \([1, 2], [3], [1, 1]\).

E. Getting Deals Done

Бинарный поиск Структуры данных *2100

Polycarp has a lot of work to do. Recently he has learned a new time management rule: "if a task takes five minutes or less, do it immediately". Polycarp likes the new rule, however he is not sure that five minutes is the optimal value. He supposes that this value \(d\) should be chosen based on existing task list.

Polycarp has a list of \(n\) tasks to complete. The \(i\)-th task has difficulty \(p_i\), i.e. it requires exactly \(p_i\) minutes to be done. Polycarp reads the tasks one by one from the first to the \(n\)-th. If a task difficulty is \(d\) or less, Polycarp starts the work on the task immediately. If a task difficulty is strictly greater than \(d\), he will not do the task at all. It is not allowed to rearrange tasks in the list. Polycarp doesn't spend any time for reading a task or skipping it.

Polycarp has \(t\) minutes in total to complete maximum number of tasks. But he does not want to work all the time. He decides to make a break after each group of \(m\) consecutive tasks he was working on. The break should take the same amount of time as it was spent in total on completion of these \(m\) tasks.

For example, if \(n=7\), \(p=[3, 1, 4, 1, 5, 9, 2]\), \(d=3\) and \(m=2\) Polycarp works by the following schedule:

  • Polycarp reads the first task, its difficulty is not greater than \(d\) (\(p_1=3 \le d=3\)) and works for \(3\) minutes (i.e. the minutes \(1\), \(2\), \(3\));
  • Polycarp reads the second task, its difficulty is not greater than \(d\) (\(p_2=1 \le d=3\)) and works for \(1\) minute (i.e. the minute \(4\));
  • Polycarp notices that he has finished \(m=2\) tasks and takes a break for \(3+1=4\) minutes (i.e. on the minutes \(5, 6, 7, 8\));
  • Polycarp reads the third task, its difficulty is greater than \(d\) (\(p_3=4 > d=3\)) and skips it without spending any time;
  • Polycarp reads the fourth task, its difficulty is not greater than \(d\) (\(p_4=1 \le d=3\)) and works for \(1\) minute (i.e. the minute \(9\));
  • Polycarp reads the tasks \(5\) and \(6\), skips both of them (\(p_5>d\) and \(p_6>d\));
  • Polycarp reads the \(7\)-th task, its difficulty is not greater than \(d\) (\(p_7=2 \le d=3\)) and works for \(2\) minutes (i.e. the minutes \(10\), \(11\));
  • Polycarp notices that he has finished \(m=2\) tasks and takes a break for \(1+2=3\) minutes (i.e. on the minutes \(12, 13, 14\)).

Polycarp stops exactly after \(t\) minutes. If Polycarp started a task but has not finished it by that time, the task is not considered as completed. It is allowed to complete less than \(m\) tasks in the last group. Also Polycarp considers acceptable to have shorter break than needed after the last group of tasks or even not to have this break at all — his working day is over and he will have enough time to rest anyway.

Please help Polycarp to find such value \(d\), which would allow him to complete maximum possible number of tasks in \(t\) minutes.

Input

The first line of the input contains single integer \(c\) (\(1 \le c \le 5 \cdot 10^4\)) — number of test cases. Then description of \(c\) test cases follows. Solve test cases separately, test cases are completely independent and do not affect each other.

Each test case is described by two lines. The first of these lines contains three space-separated integers \(n\), \(m\) and \(t\) (\(1 \le n \le 2 \cdot 10^5, 1 \le m \le 2 \cdot 10^5, 1 \le t \le 4 \cdot 10^{10}\)) — the number of tasks in Polycarp's list, the number of tasks he can do without a break and the total amount of time Polycarp can work on tasks. The second line of the test case contains \(n\) space separated integers \(p_1, p_2, \dots, p_n\) (\(1 \le p_i \le 2 \cdot 10^5\)) — difficulties of the tasks.

The sum of values \(n\) for all test cases in the input does not exceed \(2 \cdot 10^5\).

Output

Print \(c\) lines, each line should contain answer for the corresponding test case — the maximum possible number of tasks Polycarp can complete and the integer value \(d\) (\(1 \le d \le t\)) Polycarp should use in time management rule, separated by space. If there are several possible values \(d\) for a test case, output any of them.

Note

In the first test case of the first example \(n=5\), \(m=2\) and \(t=16\). The sequence of difficulties is \([5, 6, 1, 4, 7]\). If Polycarp chooses \(d=5\) then he will complete \(3\) tasks. Polycarp will work by the following schedule:

  • Polycarp reads the first task, its difficulty is not greater than \(d\) (\(p_1=5 \le d=5\)) and works for \(5\) minutes (i.e. the minutes \(1, 2, \dots, 5\));
  • Polycarp reads the second task, its difficulty is greater than \(d\) (\(p_2=6 > d=5\)) and skips it without spending any time;
  • Polycarp reads the third task, its difficulty is not greater than \(d\) (\(p_3=1 \le d=5\)) and works for \(1\) minute (i.e. the minute \(6\));
  • Polycarp notices that he has finished \(m=2\) tasks and takes a break for \(5+1=6\) minutes (i.e. on the minutes \(7, 8, \dots, 12\));
  • Polycarp reads the fourth task, its difficulty is not greater than \(d\) (\(p_4=4 \le d=5\)) and works for \(4\) minutes (i.e. the minutes \(13, 14, 15, 16\));
  • Polycarp stops work because of \(t=16\).

In total in the first test case Polycarp will complete \(3\) tasks for \(d=5\). He can't choose other value for \(d\) to increase the number of completed tasks.

E. Защита от дождя

Бинарный поиск геометрия *3500

Многие мечтают о кабриолете. Некоторые кабриолеты, впрочем, вообще не имеют крыши (у остальных крыша складная). Поэтому известный изобретатель Мелон Аск решил разработать защиту от дождя для кабриолетов.

Рабочее пространство данного механизма расположено над головой водителя. Его главная часть — две параллельные рейки, по которым двигаются выступы, на которые, в свою очередь, натянута растяжимая верёвка. Для простоты представим эту констукцию в виде пары параллельных отрезков на плоскости, на каждом отрезке есть по точке, которые являются концами отрезка; и эти точки можно двигать по рейкам-отрезкам.

Алгоритмическая составляющая этого механизма обнаруживает капли дождя, летящие в кабриолет, и определяет, где и когда они будут в рабочей плоскости механизма. Для каждой дождинки в заданный момент верёвка должна проходить через заданную точку плоскости (и, таким образом, впитать в себя каплю).

Вам дано начальное положение верёвки, а также вся информация о каплях дождя. Ваша цель — найти такую минимальную скорость \(v\), что можно собрать все капли, передвигая концы верёвки по рейкам со скоростью не больше \(v\), или определить, что, как бы быстро мы ни двигали концы, нам не удастся собрать все капли.

Входные данные

Первая строка содержит три целых числа \(n\), \(w\) и \(h\) (\(1 \le n \le 10^5\), \(1\le w, h \le 10^3\)): число капель дождя \(n\) и прямоугольник, задающий рейки. Одна рейка представлена отрезком с концами \((0, 0)\) и \((w, 0)\), а вторая — с концами \((0, h)\) и \((w, h)\).

Вторая строка содержит два целых числа \(e_1\) и \(e_2\), означающие, что изначально (в момент времени \(t = 0\)) концы верёвки находятся в точках \((e_1, 0)\) и \((e_2, h)\) (\(0\le e_1, e_2\le w\)).

\(i\)-я из следующих \(n\) строк содержит по три целых числа \(t_i\), \(x_i\) и \(y_i\) (\(1\le t_i\le 10^5\), \(0\le x_i \le w\), \(0 < y_i < h\)), означающих, что \(i\)-я капля попадёт в точку \((x_i, y_i)\) плоскости в момент времени \(t_i\). Гарантируется, что \(t_i \le t_{i+1}\) для всех \(i\).

Выходные данные

Если невозможно собрать все капли, выведите \(-1\).

В противном случае выведите наименьшую скорость, с которой можно двигать концы верёвки и собрать все капли. Ваш ответ будет считаться верным, если его абсолютная или относительная погрешность не превосходит \(10^{-4}\).

Формально, пусть ваш ответ равен \(a\), а ответ жюри равен \(b\). Ваш ответ будет зачтен, если \(\frac{|a - b|}{\max{(1, |b|)}} \le 10^{-4}\).

Примечание

В первом тесте из условия действовать можно так:

Во втором так:

C. Вася и робот

Бинарный поиск *1800

У Васи есть робот, расположенный на бесконечной плоскости. Изначально робот находится в стартовой клетке \((0, 0)\). Робот может выполнять команды. Существует четыре основных команды, доступные для выполнения:

  • U — перейти из клетки \((x, y)\) в \((x, y + 1)\);
  • D — перейти из клетки \((x, y)\) в \((x, y - 1)\);
  • L — перейти из клетки \((x, y)\) в \((x - 1, y)\);
  • R — перейти из клетки \((x, y)\) в \((x + 1, y)\).

У Васи есть последовательность из \(n\) команд. Вася хочет, чтобы после обработки этой последовательности робот оказался в клетке \((x, y)\).

Вася хочет заменить команды так, чтобы минимизировать длину измененного подотрезка. Длина измененного подотрезка рассчитывается как \(maxID - minID + 1\), где \(maxID\) — максимальный индекс измененной команды, а \(minID\) — минимальный индекс измененной команды. Например, если Вася заменил последовательность RRRRRRR на RLRRLRL, то он изменил команды с индексами \(2\), \(5\) и \(7\), а длина измененного подотрезка равна \(7 - 2 + 1 = 6\). А если Вася заменил последовательность DDDD на DDRD, то длина измененного подотрезка равна \(1\).

Если последовательность команд не изменилась, то длина измененного подотрезка равна \(0\). Изменение команды — это замена команды на другую команду (возможно, того же самого типа); нельзя вставлять новые команды в последовательность или удалять их.

Помогите Васе! Сообщите ему минимальную длину подотрезка, после замены которого робот дойдет из клетки \((0, 0)\) в клетку \((x, y)\), или сообщите, что не существует ни одного подходящего подотрезка.

Входные данные

В первой строке записано одно число \(n~(1 \le n \le 2 \cdot 10^5)\) — длина последовательности команд.

Во второй строке записана сама последовательность — строка из \(n\) символов. Каждый символ — U, D, L или R.

В третьей строке записаны два числа \(x, y~(-10^9 \le x, y \le 10^9)\) — координаты клетки, в которую должен попасть робот.

Выходные данные

В единственной строке выведите минимальную длину подотрезка, после замены которого робот дойдет из клетки \((0, 0)\) в клетку \((x, y)\). Если же не существует ни одного подходящего подотрезка, в единственной строке выведите \(-1\).

Примечание

В первом тестовом примере измененная последовательность выглядит следующим образом: LULUU. Таким образом, длина измененного подотрезка равна \(3 - 1 + 1 = 3\).

Во втором тестовом примере изначальная последовательность команд приводит робота в точку \((x, y)\), поэтому длина измененного подотрезка равна \(0\).

В третьем тестовом примере робот никак не сможет попасть в точку \((x, y)\).

D. Берляндская ярмарка

Бинарный поиск Перебор Структуры данных жадные алгоритмы *1700

XXI Ежегодная Всеберляндская ярмарка уже совсем на носу! Традиционно ярмарка включает в себя \(n\) киосков, расположенных по кругу. Киоски пронумерованы от \(1\) до \(n\) по часовой стрелке, киоск номер \(n\) стоит рядом с номером \(1\). В \(i\)-м киоске продаются конфеты по цене \(a_i\) бурлей за штуку. В каждом киоске неограниченный запас конфет.

Поликапр решил потратить не более \(T\) бурлей на ярмарке. Однако, у него также есть план, как он будет перемещаться между киосками:

  • сначала он посещает киоск номер \(1\);
  • если у него хватает бурлей на покупку ровно одной конфеты в текущем киоске, то он ее сразу же покупает;
  • далее он переходит к следующему киоску по часовой стрелке (вне зависимости от того, купил ли он конфету или нет).

У Поликарпа конечное количество бурлей, поэтому процесс закончится, как только он не сможет купить конфету ни в одном киоске.

Посчитайте количество конфет, которые купит Поликарп.

Входные данные

В первой строке записаны два целых числа \(n\) и \(T\) (\(1 \le n \le 2 \cdot 10^5\), \(1 \le T \le 10^{18}\)) — количество киосков на ярмарке и начальное количество бурлей у Поликарпа.

Во второй строке записаны \(n\) целых чисел \(a_1, a_2, \dots, a_n\) (\(1 \le a_i \le 10^9\)) — цена одной конфеты в киоске номер \(i\).

Выходные данные

Выведите одно целое число — итоговое количество конфет, которые купит Поликарп.

Примечание

Рассмотрим первый пример. Какие ходы делал Поликарп, пока у него не закончились деньги:

  1. Киоск \(1\), покупает конфету за \(5\), \(T = 33\);
  2. Киоск \(2\), покупает конфету за \(2\), \(T = 31\);
  3. Киоск \(3\), покупает конфету за \(5\), \(T = 26\);
  4. Киоск \(1\), покупает конфету за \(5\), \(T = 21\);
  5. Киоск \(2\), покупает конфету за \(2\), \(T = 19\);
  6. Киоск \(3\), покупает конфету за \(5\), \(T = 14\);
  7. Киоск \(1\), покупает конфету за \(5\), \(T = 9\);
  8. Киоск \(2\), покупает конфету за \(2\), \(T = 7\);
  9. Киоск \(3\), покупает конфету за \(5\), \(T = 2\);
  10. Киоск \(1\), не покупает конфету, недостаточно денег;
  11. Киоск \(2\), покупает конфету за \(2\), \(T = 0\).

Больше нельзя купить конфет. Итоговое число купленных конфет — \(10\).

Во втором примере у него остается \(1\) бурль после посещения киосков, нельзя купить ни одну конфету за столько.

C. Мемная задача

Бинарный поиск математика *1300

Попробуйте угадать условие задачи по картинке:

Вам задано целое неотрицательное число \(d\). Вам нужно найти два неотрицательных вещественных числа \(a\) и \(b\), такие, что \(a + b = d\) и \(a \cdot b = d\).

Входные данные

Первая строка содержит целое число \(t\) (\(1 \le t \le 10^3\)) — количество тестовых примеров.

Каждый тестовый пример содержит целое неотрицательное число \(d\) \((0 \le d \le 10^3)\).

Выходные данные

Для каждого теста выведите по одной строке.

Если на \(i\)-й тестовый пример существует ответ, сначала выведите «Y», а затем сами числа \(a\) и \(b\).

Если на \(i\)-й тестовый пример не существует ответа, просто выведите «N».

Ваш ответ будет считаться корректным, если \(|(a + b) - a \cdot b| \le 10^{-6}\) и \(|(a + b) - d| \le 10^{-6}\).

D. Вырезание массива

Бинарный поиск *1600 сортировки

Вам дан массив \(s\) из \(n\) целых чисел.

Вам нужно найти любой массив \(t\) длины \(k\), такой, что можно вырезать максимально возможное число копий \(t\) из \(s\).

Вырезание копии \(t\) проводится следующим образом: для каждого элемента \(t_i\) массива \(t\) надо найти элемент, равный \(t_i\), в \(s\), после чего удалить его из \(s\). Если для какого-то \(t_i\) нельзя найти равный элемент в \(s\), то вырезать еще одну копию \(t\) нельзя. В обоих массивах элементы могут повторяться.

К примеру, если \(s = [1, 2, 3, 2, 4, 3, 1]\) и \(k = 3\), то один из возможных ответов — следующий: \(t = [1, 2, 3]\). Этот массив \(t\) можно вырезать \(2\) раза.

  • Первую копию \(t\) можно вырезать следующим образом: \([1, \underline{\textbf{2}}, 3, 2, 4, \underline{\textbf{3}}, \underline{\textbf{1}}]\) (использовать выделенные элементы). После вырезания первой копии \(t\) массив \(s\) станет \([1, 3, 2, 4]\).
  • Вторую копию \(t\) можно вырезать следующим образом: \([\underline{\textbf{1}}, \underline{\textbf{3}}, \underline{\textbf{2}}, 4]\). После вырезания второй копии \(t\) массив \(s\) станет \([4]\).

Вы должны найти такой массив \(t\), что можно вырезать максимально возможное количество копий \(t\) из \(s\). Если ответов несколько, выведите любой из них.

Входные данные

В первой строке заданы два целых числа \(n\) и \(k\) (\(1 \le k \le n \le 2 \cdot 10^5\)) — количество элементов в \(s\) и требуемое количество элементов в \(t\), соответственно.

Во второй строке заданы \(n\) целых чисел \(s_1, s_2, \dots, s_n\) (\(1 \le s_i \le 2 \cdot 10^5\)).

Выходные данные

Выведите \(k\) целых чисел — элементы массива \(t\), такие, что можно вырезать максимально возможное количество копий этого массива из \(s\). Если ответов несколько, выведите любой из них. Массив \(t\) может содержать повторяющиеся элементы. Все элементы \(t\) (\(t_1, t_2, \dots, t_k\)) должны удовлетворять следующему ограничению: \(1 \le t_i \le 2 \cdot 10^5\).

Примечание

Первый тест описан в условии.

Во втором тесте ответ \([7, 3, 1, 3]\) (или любая его перестановка). Можно показать, что нельзя вырезать более \(2\) копий любого массива, удовлетворяющего условию задачи.

В третьем примере можно вырезать массив \(t\) \(5\) раз.

E. Недостающие числа

Бинарный поиск Конструктив математика теория чисел жадные алгоритмы *1900

Chouti работает над странной математической задачей.

Была некоторая последовательность из \(n\) положительных целых чисел \(x_1, x_2, \ldots, x_n\), где число \(n\) чётное. Последовательность была очень особенной, а именно для каждого целого \(t\) от \(1\) до \(n\), \(x_1+x_2+...+x_t\) является квадратом некоторого целого числа (то есть полным квадратом).

Неведомым образом, числа с нечётными индексами пропали, то есть известны только числа с чётными индексами, другими словами \(x_2, x_4, x_6, \ldots, x_n\). Задача состоит в том, чтобы восстановить изначальную последовательность. Он снова просит у вас помощи с решением этой задачи.

Автор задачи может допускать ошибки, поэтому подходящая последовательность может и не существовать. Если же существует несколько подходящих последовательностей, выведите любую.

Входные данные

В первой строке записано одно целое чётное число \(n\) (\(2 \le n \le 10^5\)).

Во второй строке записаны \(\frac{n}{2}\) положительных целых чисел \(x_2, x_4, \ldots, x_n\) (\(1 \le x_i \le 2 \cdot 10^5\)).

Выходные данные

Если не существует ни одной подходящей последовательности, выведите «No».

Иначе, выведите «Yes» и \(n\) положительных целых чисел \(x_1, x_2, \ldots, x_n\) (\(1 \le x_i \le 10^{13}\)) в следующей строке, при этом \(x_2, x_4, \ldots, x_n\) должны совпадать с числами во входных данных. Если существует несколько возможных ответов, выведите любой.

Заметьте, что ограничение на \(x_i\) больше, чем во входных данных. Можно доказать, что если ответ существует, то существует и последовательность, удовлетворяющая \(1 \le x_i \le 10^{13}\).

Примечание

В первом примере

  • \(x_1=4\)
  • \(x_1+x_2=9\)
  • \(x_1+x_2+x_3=25\)
  • \(x_1+x_2+x_3+x_4=36\)
  • \(x_1+x_2+x_3+x_4+x_5=100\)
  • \(x_1+x_2+x_3+x_4+x_5+x_6=144\)
Все эти числа являются полными квадратами.

Во втором примере, \(x_1=100\), \(x_1+x_2=10000\). Эти числа являются полными квадратами. Существуют и другие возможные ответы. Например, \(x_1=22500\) является другим возможным ответом.

В третьем примере можно показать, что подходящей последовательности не существует.

E. Увеличение частоты

Бинарный поиск дп *2000 жадные алгоритмы

Вам задан массив \(a\) длины \(n\). Вы можете выбрать один отрезок \([l, r]\) (\(1 \le l \le r \le n\)) и целое число \(k\) (положительное, отрицательное или ноль) и изменить \(a_l, a_{l + 1}, \dots, a_r\) на \(k\) каждое (другими словами, \(a_i := a_i + k\) для каждого \(l \le i \le r\)).

Какое максимально возможное количество элементов со значением \(c\) может быть получено после одной такой операции?

Входные данные

Первая строка содержит два целых числа \(n\) и \(c\) (\(1 \le n \le 5 \cdot 10^5\), \(1 \le c \le 5 \cdot 10^5\)) — длина массив и значение \(c\).

Вторая строка содержит \(n\) целых чисел \(a_1, a_2, \dots, a_n\) (\(1 \le a_i \le 5 \cdot 10^5\)) — массив \(a\).

Выходные данные

Выведите единственное число — максимально возможное количество элементов со значением \(c\), которое может быть получено после одной операции описанной выше.

Примечание

В первом примере можно выбрать любой отрезок и \(k = 0\). Массив после применения операции не изменится.

Во втором примере можно выбрать отрезок \([1, 3]\) и \(k = -4\). Массив примет вид \([2, -2, 2]\).

E. Новый год и оценка знакомых

Бинарный поиск Структуры данных математика реализация жадные алгоритмы *2400 сортировки графы

Боб — активный пользователь социальной сети Faithbug. В этой сети люди могут становиться взаимными друзьями. То есть, если \(a\) является другом \(b\), то \(b\) также является другом \(a\). Таким образом у каждого пользователя есть неотрицательное количество друзей.

Сегодня утром кто-то анонимно отправил Бобу следующую ссылку: задача о реализации графа. Боб хочет узнать, кто это был. Для этого ему сначала нужно узнать, как выглядит эта сеть. Он исследовал профиль каждого человека в сети и записал количество его друзей. Однако он забыл записать количество своих друзей. Помогите ему узнать, сколько у него друзей. Поскольку возможных ответов может быть много, выведите все возможные количества.

Входные данные

Первая строка содержит одно целое число \(n\) (\(1 \leq n \leq 5 \cdot 10^5\)) — количество людей в сети, не считая Боба.

Вторая строка содержит \(n\) целых чисел \(a_1,a_2, \dots, a_n\) (\(0 \leq a_i \leq n\)), где \(a_i\) — количество друзей у \(i\)-го человека.

Выходные данные

Выведите все возможные значения \(a_{n+1}\) — количества людей, с которыми Боб может быть друзями, в порядке возрастания.

Если ни одного решения не существует, выведите \(-1\).

Примечание

В первом примере единственное решение заключается в том, чтобы каждый был другом каждому. Поэтому у Боба может быть только \(3\) друга.

Во втором примере есть три возможных решения (кроме симметричных):

  • \(a\) — друг \(b\), \(c\) — друг \(d\), а у Боба нет друзей, или
  • \(a\) — друг \(b\), а также и \(c\), и \(d\) — друзья Боба, или
  • Боб — друг каждому.

Третий пример решить невозможно, так как второму человеку нужно быть другом каждому, но у первого нет друзей.

C. Построй дерево

Бинарный поиск Деревья Конструктив поиск в глубину и подобное жадные алгоритмы *2400 графы

Погуляв по заснеженному лесу, Миша очень полюбил деревья и решил нарисовать своё!

Это дерево состоит из \(n\) вершин, пронумерованных различными целыми числами от \(1\) до \(n\). В этом дереве вершина \(1\) является корнем, а у любой другой вершины \(i\) есть непосредственный предок \(p_{i}\) (при этом \(i\) — непосредственный потомок \(p_{i}\)).

Вершина \(u\) лежит в поддереве вершины \(v\), если переходя по непосредственным предкам из вершины \(u\) (\(u\), \(p_{u}\), \(p_{p_{u}}\), ...), можно попасть в вершину \(v\). В частности, любая вершина \(v\) лежит в поддереве самой себя. Число вершин в поддереве вершины \(v\) называется размером поддерева. Миша рассматривает только те деревья, в которых все вершины лежат в поддереве вершины \(1\).

На рисунке ниже изображено дерево из \(6\) вершин. Поддерево вершины \(2\) состоит из вершин \(2\), \(3\), \(4\), \(5\). Таким образом, размер поддерева этой вершины равен \(4\).

Назовём разветвлённостью дерева максимальное количество непосредственных потомков какой-то из его вершин. Так, разветвлённость дерева на рисунке выше равна 2. Помогите Мише построить дерево из \(n\) вершин, в котором сумма размеров всех поддеревьев равна в точности \(s\), а разветвлённость — минимально возможная.

Входные данные

В первой и единственной строке входных данных записаны два целых числа \(n\) и \(s\) — число вершин в дереве и требуемая сумма размеров поддеревьев (\(2 \le n \le 10^5\); \(1 \le s \le 10^{10}\)).

Выходные данные

Если требуемого дерева не существует, выведите «No». Иначе в первой строке выходных данных выведите «Yes», а в следующей строке выведите числа \(p_2\), \(p_3\), ..., \(p_n\), где вершина с номером \(p_i\) является непосредственным предком вершины с номером \(i\).

Примечание

Для первого примера одним из оптимальных деревьев изображено ниже. Сумма размеров поддеревьев в этом дереве равна \(3 + 1 + 1 = 5\), а разветвлённость равна \(2\).

Для третьего примера одним из оптимальных деревьев изображено ниже. В этом дереве сумма размеров поддеревьев равна \(6 + 3 + 2 + 1 + 2 + 1 = 15\), а разветвлённость равна \(2\).

E. Гончар Федор

Бинарный поиск математика реализация теория чисел *3400

Федя обожает задачи на структуры данных. Особенно он любит задачи про запросы различных функций на подотрезках массива. А именно, у Феди был прекрасный массив \(a_1, a_2, \ldots a_n\), а также замечательная структура данных, которая позволяла по данным \(l\) и \(r\), \(1 \le l \le r \le n\), находить такое максимальное положительное целое число \(d\) такое, что \(d\) является делителем каждого из чисел \(a_l\), \(a_{l+1}\), ..., \(a_{r}\).

Федя очень любил свою структуру данных, поэтому он воспользовался ей для каждого отрезка массива \(a\) и выписал полученные числа в массив, который Федя сразу же отсортировал по неубыванию. Полученный массив он, недолго думая, назвал \(b\). Нетрудно заметить, что массив \(b\) состоял из \(n(n+1)/2\) элементов.

После этого Федя взял еще одну замечательную структуру данных, которая позволяла по данным \(l\) и \(r\), \(1 \le l \le r \le n(n+1)/2\), находить сумму \(b_l + b_{l+1} + \ldots + b_r\). Конечно же, Федя сразу же воспользовался второй структурой данных для каждого отрезка массива \(b\), а полученный массив отсортировал по неубыванию. Тщательно выбирая имя, он назвал полученный массив \(c\). Помогите Феде найти нижнюю медиану массива \(c\).

Напомним, что для отсортированного массива длины \(k\) нижней медианой называется элемент, который стоит на позиции \(\lfloor \frac{k + 1}{2} \rfloor\), с учетом того, что элементы массива нумеруются с \(1\). К примеру, нижней медианой массива \((1, 1, 2, 3, 6)\) является число \(2\), а нижней медианой массива \((0, 17, 23, 96)\) — число \(17\).

Входные данные

Первая строка входных данных содержит одно целое число \(n\) — количество элементов в массиве \(a\) (\(1 \le n \le 50\,000\)).

Вторая строка входных данных содержит \(n\) целых чисел \(a_1, a_2, \ldots, a_n\) — элементы массива (\(1 \le a_i \le 100\,000\)).

Выходные данные

Выведите одно число — нижнюю медиану массива \(c\).

Примечание

В первом примере массив \(b\) примет вид \({3, 3, 6}\), массив \(c\) примет вид \({3, 3, 6, 6, 9, 12}\), а искомая нижняя медиана равна \(6\).

В втором примере массив \(b\) примет вид \({8, 8, 8}\), массив \(c\) примет вид \({8, 8, 8, 16, 16, 24}\), а искомая нижняя медиана равна \(8\).

B. Квадраты и отрезки

Бинарный поиск Конструктив математика *1100

Маленькая София учится в четвертом классе. Сегодня на уроке геометрии она узнала про отрезки и квадраты. По пути домой она решила нарисовать на снегу \(n\) квадратов со стороной длины \(1\). Для простоты будем считать, что София живёт на плоскости и может рисовать только отрезки длины \(1\), параллельные осям координат, с вершинами в целых точках.

Для того, чтобы нарисовать отрезок, София поступает следующим образом. Пусть она хочет нарисовать вертикальный отрезок с координатами концов \((x, y)\) и \((x, y+1)\). Тогда София смотрит, существует ли уже нарисованный отрезок с координатами концов \((x', y)\) и \((x', y+1)\) для какого-нибудь \(x'\). Если такой отрезок существует, то София быстро рисует новый отрезок, используя старый, как ориентир. Если же такого отрезка нет, то Софии приходится брать линейку и долго отмерять новый отрезок. Аналогично София поступает для горизонтальных отрезков, но только теперь она проверяет существование отрезка с такими же координатами \(x\), \(x+1\) и различающейся координатой \(y\).

Например, если Софии надо нарисовать один квадрат, ей придется нарисовать два отрезка с помощью линейки:

После этого можно нарисовать оставшиеся два отрезка, используя первые в качестве ориентира:

Если же Софии надо нарисовать два квадрата, ей придется нарисовать три отрезка с помощью линейки:

После этого можно нарисовать оставшиеся четыре отрезка, используя первые в качестве ориентира:

София торопится домой, поэтому хочет минимизировать число отрезков, которые ей придется рисовать с линейкой без ориентира. Помогите ей найти это минимальное число.

Входные данные

Единственная строка входных данных содержит одно целое число \(n\) (\(1 \le n \le 10^{9}\)) — количество квадратов, которое София хочет нарисовать.

Выходные данные

Выведите одно число — минимальное число отрезков, которые Софии придется рисовать с линейкой без ориентира, чтобы нарисовать \(n\) единичных квадратов описанным выше способом.

F. Печеньки

Бинарный поиск Деревья Структуры данных дп поиск в глубину и подобное *2400 игры

Митя и Вася играют в интересную игру. У них есть подвешенное дерево из \(n\) вершин, пронумерованных числами от \(1\) до \(n\). В этом дереве вершина \(1\) является корнем, а родителем вершины \(i \ge 2\) является вершина \(p_i\) (при этом будем говорить, что вершина \(i\) — ребенок вершины \(p_i\)).

В каждой вершине дерева находятся печеньки, в вершине \(i\) находится \(x_i\) печенек. Чтобы съесть одну печеньку в вершине \(i\), нужно потратить \(t_i\) единиц времени. Также в игре есть одна фишка. Изначально она находится в корне дерева. Чтобы переместить фишку по ребру, соединяющему вершину \(i\) с ее родителем, нужно потратить \(l_i\) единиц времени.

Митя и Вася ходят по очереди, Митя начинает. На своем ходу Митя перемещает фишку из вершины, где она находится, в одного из ее детей. Вася на своем ходу может удалить какое-то ребро, ведущее из вершины, в которой стоит фишка, в одного из ее детей, или не удалять ничего.

На любом своем ходу Митя может закончить игру. После этого он двигает фишку вверх до корня, по пути съедая какие-то печеньки. Митя может потратить суммарно на спуск, подъем и поедание печенек не более \(T\) единиц времени. Обратите внимание, что в конце игры фишка всегда оказывается в корне: Митя не может оставить фишку ни в какой промежуточной вершине, даже если требуемое число печенек уже было съедено — он обязан переместить фишку в корень (и на каждое перемещение фишки по ребру из вершины \(v\) в ее предка он тратит \(l_v\) единиц времени).

Какое максимальное количество печенек Митя может съесть, независимо от действий Васи?

Входные данные

В первой строке находятся два числа \(n\), \(T\) — количество вершин в дереве и время, которое у него есть на это (\(2\le n \le 10^5\); \(1\le T\le10^{18}\)).

Во второй строке находятся \(n\) чисел \(x_1\), \(x_2\), ..., \(x_n\) — число печенек в каждой вершине (\(1\le x_i\le10^6\)). В третьей строке находятся \(n\) чисел \(t_1\), \(t_2\), ..., \(t_n\) — время, которое требуется, чтобы съесть одну печеньку в \(i\)-й вершине (\(1\le t_i\le10^6\)).

Далее следует \(n - 1\) строка, которые описывают дерево. Для каждого \(i\) от \(2\) до \(n\) в отдельной строке записаны два числа \(p_i\) и \(l_i\), где \(p_i\) — родитель вершины \(i\), а \(l_i\) — время, которое требуется Мите для перемещения фишки вдоль ребра из вершины \(i\) в ее родителя (\(1\le p_i < i\), \(0\le l_i \le 10^9\)).

Выходные данные

Выведите одно целое число — максимальное число печенек, которое может съесть Митя.

Примечание

В первом примере Митя может первым ходом переместить фишку в вершину \(2\). В этом случае, как бы после этого не играл Вася, Митя сможет съесть не менее \(11\) печенек. Ниже приведен пример того, как могла происходить игра:

  1. Митя перемещает фишку в вершину \(2\).
  2. Вася отрезает ребро, ведущее в вершину \(4\).
  3. Митя перемещает фишку в вершину \(5\).
  4. Так как у вершины \(5\) нет детей, Вася не отрезает ничего.
  5. Митя заканчивает игру и поднимается наверх, по пути собирая печеньки (\(7\) в вершине \(5\), \(3\) в вершине \(2\), \(1\) в вершине \(1\)).

Митя тратит \(1+0\) времени на движение вниз, \(0+1\) на движение вверх, \(7\cdot 2\) чтобы съесть \(7\) печенек в вершине 5, \(3\cdot 3\) чтобы съесть \(3\) печеньки в вершине 2, \(1\cdot 1\) чтобы съесть \(1\) печеньку в вершине 1. Суммарное время равно \(1+0+0+1+7\cdot 2+3\cdot 3+1\cdot 1=26\).

E. Шагом марш!

Бинарный поиск дп *2800 жадные алгоритмы

Добро пожаловать в армию, сынок. Джек служит рядовым и у него проблемы со строевой подготовкой. У него никак не получается делать как все: шаг левой, шаг правой, шаг левой, шаг правой и т.д. Заместо этого он запомнил некоторую последовательность действий и повторят ее по циклу. Например, он может запомнить «правой, левой, пропустить» и это значит, что первый шаг он сделает правой ногой, потом сделает шаг левой ногой, а потом и вовсе возьмет перерыв в то время как все остальные в строю делают очередной шаг. Затем он начнет повторять свои действия далее по циклу. Марширую таким образом он будет попадать в общий шаг лишь только в одной трети случаев.

Так как приближается парад Джек хочет модифицировать последовательность, которой он придерживается так, чтобы попадать в общий шаг с большей вероятностью. Так как Джек не любит напрягаться, он решает больше отдыхать во время марша — то есть модификация последовательности его шагов заключается в возможном добавлении пауз в нее (в любые позиции). Также он недавно обратил внимание, что ходить два раза подряд с одной ноги крайне неудобно. Поэтому в результате модификации во время парада он не должен шагать подряд с одной ноги.

Спасите рядового Джека. Задана текущая последовательность шагов. Вычислите какую наибольшую долю попаданий в общий шаг он может иметь после модификации ее.

Входные данные

Входные данные состоят из единственной непустой строки, состоящий из символов 'L', 'R' и 'X', где 'L' обозначает шаг левой ногой, 'R' — правой, а 'X' — отдых на время одного шага. Длина заданной последовательности не превосходит 106.

Выходные данные

Выведите максимальную возможную долю попаданий в общий шаг Джека в процентах. Выводите дробную часть ровно с 6 знаками после запятой, округляя вниз последующую дробную часть.

Примечание

Во втором примере, если добавить две паузы, чтобы получить LXXRXR, то Джек будет маршировать: LXXRXRLXXRXRL... заместо LRLRLRLRLRLRL... и будет делать верный шаг в половине случаев. Если же не добавить пауз вообще, то получится некорректная последовательность шагов, так как Джек будет подряд делать шаг справа.

C. NN и обман зрения

Бинарный поиск математика геометрия *1200

NN  — заядлый интернет-пользователь, поэтому он очень много времени проводит в социальных сетях и различных форумах. Как-то раз ему попалась очень занятная картинка, на которой предлагалось сравнить размеры двух центральных кружков:

Оказалось, что кружки равны. NN очень удивил данный факт, поэтому он решил самостоятельно построить картинку.

Ему удалось посчитать количество внешних кругов \(n\), а так же радиус внутреннего круга \(r\). По мнению NN, исходя из этой информации можно в точности найти радиус всех внешних кругов \(R\) таким образом, чтобы внутренний кружок касался всех остальных внешним образом, а также каждая пара соседних внешних кружочков также касалась. Сколько NN ни старался угадать нужный радиус, у него так и не получилось сделать это.

Помогите NN найти необходимый радиус внешних кругов для построения картинки.

Входные данные

В первой и единственной строке входного файла заданы два целых числа \(n\) и \(r\) (\(3 \leq n \leq 100\), \(1 \leq r \leq 100\)) — количество внешних кругов на картинке и радиус внутреннего круга.

Выходные данные

В единственную строку выходного файла выведите вещественное число \(R\) — радиус внешних кругов, необходимый для построения требуемой картинки.

Ваш ответ будет зачтен, если его относительная или абсолютная погрешность не превосходит \(10^{-6}\).

Формально, пусть ваш ответ равен \(a\), а ответ жюри равен \(b\). Ваш ответ будет зачтен, если \(\frac{|a-b|}{max(1, |b|)} \le 10^{-6}\).

E. Андрей и такси

Бинарный поиск поиск в глубину и подобное графы *2200

Андрей предпочитает такси другим видам транспорта, но вот в последнее время таксисты начали вести себя неподобающим образом. Для того, чтобы стрясти побольше денег с пассажира, они порой не против прокатиться по кругу, иногда даже не единожды. Дороги в городе Андрея односторонние, и, вообще говоря, не всегда из одной части города можно добраться до другой. Но к особенностям дорог все привыкли, а вот к ушлым таксистам нет.

Мэр города решил поменять направления некоторых дорог таким образом, чтобы таксист больше не смог бесконечно увеличивать счетчик клиента. Другими словами, таксист, находящийся на конкретном перекрестке, не мог бы попасть на него повторно, совершив ненулевой маршрут.

Для того, чтобы поменять направление дороги, нужны регулировщики. Для каждой конкретной дороги известно, сколько регулировщиков нужно, чтобы поменять направление дороги на противоположное. Разрешено менять направление дорог последовательно, то есть одни и те же регулировщики могут поучаствовать в изменении нескольких дорог.

Необходимо вычислить минимальное количество регулировщиков, необходимых для выполнения задания, и список дорог, у которых необходимо поменять направление.

Входные данные

В первой строке заданы два целых числа \(n\) и \(m\) (\(2 \leq n \leq 100\,000\), \(1 \leq m \leq 100\,000\)) — количество перекрестков в городе и количество дорог, соответственно.

В каждой из следующих \(m\) строк содержатся три целых числа \(u_{i}\), \(v_{i}\) и \(c_{i}\) (\(1 \leq u_{i}, v_{i} \leq n\), \(1 \leq c_{i} \leq 10^9\), \(u_{i} \ne v_{i}\)) — номер перекрестка, на котором дорога начинается, номер перекрестка, где она заканчивается и количество регулировщиков, необходимых для изменения направления этой дороги.

Выходные данные

В первой строке выведите два целых числа — минимальное число регулировщиков, необходимых для выполнения задания и количество дорог \(k\), у которых необходимо поменять направление. \(k\) не должно быть минимальным.

В следующей строке через пробел выведите \(k\) целых чисел — номера дорог, у которых необходимо поменять направление. Дороги нумеруются с \(1\) в порядке следования во входных данных. Если существует несколько решений, выведите любое из них.

Примечание

В первом примере имеется два простых цикла: \(1 \rightarrow 5 \rightarrow 2 \rightarrow 1\) и \(2 \rightarrow 3 \rightarrow 4 \rightarrow 5 \rightarrow 2\). Один регулировщик сможет развернуть только дорогу \(2 \rightarrow 1\), второй цикл в одиночку он разрушить не сможет. Два регулировщика уже смогут развернуть дороги \(2 \rightarrow 1\) и \(2 \rightarrow 3\), после чего не останется перекрестка, на который можно попасть снова, совершив ненулевой маршрут.

Во втором примере одного регулировщика недостаточно, чтобы разрушить маршрут \( 1 \rightarrow 3 \rightarrow 2 \rightarrow 1 \). С помощью трёх регулировщиков можно, например, развернуть дороги \(1 \rightarrow 3\) ,\( 2 \rightarrow 4\), \(1 \rightarrow 5\).

F. Грузовики и города

Бинарный поиск дп *2400

Вдоль дороги, которую можно представить как прямую линию, расположены \(n\) городов. \(i\)-й город находится на расстоянии \(a_i\) километров от начала координат. Все города расположены по одну сторону от начала координат. Также есть \(m\) грузовиков, курсирующих между городами.

Каждый грузовик может быть описан \(4\)-мя числами: начальный город \(s_i\), конечный город \(f_i\), расход топлива \(c_i\) и количество возможных дозаправок \(r_i\). \(i\)-й грузовик тратит \(c_i\) литров топлива на один километр.

Когда грузовик приезжает в некоторый город, он может дозаправиться в нем (но дозаправляться можно только в городах). \(i\)-й грузовик может быть дозаправлен не более чем \(r_i\) раз. При дозаправке грузовик набирает полный бак. Все грузовики стартуют из своих городов с полным баком.

Все грузовики будут оснащены топливными баками одинакового объема \(V\) литров. Вам необходимо найти минимально возможное значение \(V\) такое, что все грузовики могут достигнуть своих конечных городов дозаправляясь не более чем разрешенное количество раз.

Входные данные

Первая строка содержит два целых числа \(n\) и \(m\) (\(2 \le n \le 400\), \(1 \le m \le 250000\)) — количество городов и грузовиков соответственно.

Вторая строка содержит \(n\) целых чисел \(a_1, a_2, \dots, a_n\) (\(1 \le a_i \le 10^9\), \(a_i < a_{i+1}\)) — позиции городов с возрастающем порядке.

Следующие \(m\) строк содержат по \(4\) целых числа каждая. \(i\)-я строка содержит целые числа \(s_i\), \(f_i\), \(c_i\), \(r_i\) (\(1 \le s_i < f_i \le n\), \(1 \le c_i \le 10^9\), \(0 \le r_i \le n\)) — описание \(i\)-го грузовика.

Выходные данные

Выведите единственное число — минимально возможный объем топливных баков \(V\) такой, что все грузовики смогут достигнуть своих конечных городов.

Примечание

Рассмотрим запросы поподробнее:

  1. \(1\)-й грузовик должен прибыть в позицию \(7\) из \(2\) без дозаправок, поэтому ему необходим бензобак объема хотя бы \(50\).
  2. \(2\)-й грузовик должен прибыть в позицию \(17\) из \(2\) и может дозаправляться в каждом городе вдоль пути (который находится между начальным и конечным городом), поэтому ему необходим бак объема хотя бы \(48\).
  3. \(3\)-й грузовик должен прибыть в позицию \(14\) из \(10\), так как нет городов между позициями, то грузовику необходим бак объема хотя бы \(52\).
  4. \(4\)-й грузовик должен прибыть в позицию \(17\) из \(10\) и может дозаправиться один раз: оптимально дозаправиться в \(5\)-м городе (позиция \(14\)), поэтому ему необходим бак объема хотя бы \(40\).
  5. \(5\)-й грузовик имеет то же самое описание, поэтому ему также понадобится бак объема хотя бы \(40\).
  6. \(6\)-th грузовик должен прибыть в позицию \(14\) из \(2\) и может дозаправиться два раза: первый раз в городе \(2\) или \(3\) и второй раз в городе \(4\), поэтому ему понадобится бак объема хотя бы \(55\).

F. Вытянутая матрица

Бинарный поиск Перебор дп *2000 графы битмаски

Задана матрица \(a\), состоящая из \(n\) строк и \(m\) столбцов. В каждой ячейке записано целое число.

Разрешается произвольно изменить порядок строк (в том числе и оставить начальный порядок), но не разрешается менять порядок ячеек в строке. После того, как был выбран некоторый порядок строк, матрица полностью обходится следующим образом: сначала посещаются все ячейки первого столбца с верхней строки до нижней, потом так же все ячейки второго столбца и так далее. Во время обхода выписывается последовательность чисел в ячейках в том же порядке, в котором они были посещены. Назовем эту последовательность \(s_1, s_2, \dots, s_{nm}\).

Обход называется \(k\)-приемлемым, если для всех \(i\) (\(1 \le i \le nm - 1\)) \(|s_i - s_{i + 1}| \ge k\).

Найдите такое максимальное целое число \(k\) такое, что существует порядок строк матрицы \(a\), который образует \(k\)-приемлемый обход.

Входные данные

В первой строке записаны два целых числа \(n\) и \(m\) (\(1 \le n \le 16\), \(1 \le m \le 10^4\), \(2 \le nm\)) — количество строк и столбцов, соответственно.

В каждой из следующих \(n\) строк записаны по \(m\) целых чисел (\(1 \le a_{i, j} \le 10^9\)) — описание матрицы.

Выходные данные

Выведите единственное целое число \(k\) — такое максимальное число, что существует порядок строк матрицы \(a\), который образует \(k\)-приемлемый обход.

Примечание

В первом примере можно переставить строки следующим образом, чтобы получить \(5\)-приемлемый обход:


5 3
10 8
4 3
9 9

Тогда последовательность \(s\) будет \([5, 10, 4, 9, 3, 8, 3, 9]\). Каждая пара соседних элементов отличается хотя бы на \(k = 5\).

Во втором примере максимальное \(k = 0\), любой порядок \(0\)-приемлем.

В третьем примере заданный порядок уже \(3\)-премлемый, можно его оставить.

B. Игра с модулем

Бинарный поиск Конструктив *2000 интерактив

Это интерактивная задача.

Вася и Петя собираются сыграть в следующую игру: Петя загадает некоторое целое число \(a\). После этого Вася должен будет отгадать его, задав несколько вопросов. Он может сказать пару целых неотрицательных чисел \((x, y)\). В ответ Петя скажет:

  • "x", если \((x \bmod a) \geq (y \bmod a)\).
  • "y", если \((x \bmod a) < (y \bmod a)\).

Операция \((x \bmod a)\) обозначает операцию взятия остатка \(x\) при делении на \(a\).

Вася должен отгадать число \(a\) за не более, чем 60 вопросов.

Гарантируется, что Петя загадал число, удовлетворяющее неравенству \(1 \leq a \leq 10^9\).

Помогите Васе играть в эту игру и напишите программу, которая будет угадывать число \(a\).

Протокол взаимодействия

Вам нужно будет сыграть несколько игр.

Перед началом каждой игры вы должны считать строку:

  • "start" (без кавычек) — начало новой игры.
  • "mistake" (без кавычек) — в предыдущей игре был назван неверный ответ. Считав такую строку ваша программа должна завершиться и тогда она получит вердикт "Неверный ответ".
  • "end" (без кавычек) — все игры закончены. Считав такую строку, ваша программа должна завершиться.

После считывания строки "start" (без кавычек) начинается очередная игра.

Сначала ваша программа может сделать несколько запросов вида спросить пару целых чисел \((x, y)\). Можно спрашивать только числа, удовлетворяющие неравенствам \(0 \leq x, y \leq 2 \cdot 10^9\). Для этого нужно вывести "? x y" (без кавычек). В ответ ваша программа получит один из символов:

  • "x" (без кавычек), если \((x \bmod a) \geq (y \bmod a)\).
  • "y" (без кавычек), если \((x \bmod a) < (y \bmod a)\).
  • "e" (без кавычек) — вы задали больше \(60\) вопросов. Считав такой символ, ваша программа должна завершиться и тогда она получит вердикт "Неверный ответ".

После того, как вы зададите несколько вопросов ваша программа должна вывести ответ в формате "! a" (без кавычек). Выведенное вами число \(a\) должно удовлетворять неравенству \(1 \leq a \leq 10^9\). Гарантируется, что задагаданное число \(a\) удовлетворяло этому неравенству. На этом текущая игра закончится.

Напомним, что ваша программа не может задать больше, чем \(60\) вопросов во время одной игры.

Если ваша программа не завершится после считывания "mistake" (без кавычек), "end" (без кавычек) или "e" (без кавычек), то она может получить любой вердикт, потому что будет считывать данные из закрытого потока ввода. Также, если ваша программа задаст вопрос или выведет ответ в неверном формате, она может получить любой вердикт. Будьте внимательны.

Не забудьте сбрасывать буфер вывода после того, как зададите вопрос или выведете ответ.

Чтобы сбросить буфер вывода вы можете использовать:

  • fflush(stdout) в C++.
  • System.out.flush() в Java.
  • stdout.flush() в Python.
  • flush(output) в Pascal.
  • Прибегните к документации других языков.

Гарантируется, что будет сыграно не меньше \(1\) и не больше, чем \(100\) игр.

Взломы:

Во взломах можно использовать только одну игру. Чтобы взломать решение участника с загаданным числом \(a\) (\(1 \leq a \leq 10^9\)), в первой строке теста должно быть расположено единственное число \(1\), а во второй число \(a\).

Примечание

В тесте из условия будет сыграно \(3\) игры, в которых будут задагаданы числа \(1\), \(2\) и \(3\).

В первой игре ответом на любой вопрос будет "x" (без кавычек), так как \((x \bmod 1) = 0\) для всех целых \(x\).

Во второй игре, если спросить пару \((0, 0)\), то ответом будет "x" (без кавычек), так как \((0 \bmod 2) \geq (0 \bmod 2)\). А если, например, спросить пару \((2, 5)\), то ответом будет "y" (без кавычек), так как \((2 \bmod 2) < (5 \bmod 2)\), потому что \((2 \bmod 2) = 0\) и \((5 \bmod 2) = 1\).

G. Вася и максимальный заработок

Бинарный поиск Структуры данных Конструктив дп *2400 снм

Вася сильно устал от кредитов (из задачи F) и теперь хочет заработать деньги сам! Для этого он решил подготовить контест.

Васе предложено \(n\) задач. Они пронумерованы от \(1\) до \(n\). Сложность \(i\)-й задачи равна \(d_i\). Кроме того, задачи заданы в возрастающем относительно сложности порядке. Сложности всех задач различны. Для того чтобы добавить \(i\)-ю задачу в контест Васе нужно заплатить \(c_i\) бурлей автору. За каждую задачу в своем контесте Вася получит \(a\) бурлей.

Для того чтобы создать контест нужно выбрать непрерывный подотрезок задач.

Суммарный заработок за контест считается следующим образом:

  • если Вася берет задачу \(i\) в контест, ему нужно заплатить \(c_i\) её автору;
  • за каждую добавленную задачу Вася получает \(a\) бурлей;
  • пусть \(gap(l, r) = \max\limits_{l \le i < r} (d_{i + 1} - d_i)^2\). Если Вася берет в контест все задачи с индексом от \(l\) до \(r\), он так же платит \(gap(l, r)\). Если \(l = r\) то \(gap(l, r) = 0\).

Посчитайте максимальный Васин заработок, если он подготовит непрерывный подотрезок задач.

Входные данные

Первая строка содержит \(n\) и\(a\) (\(1 \le n \le 3 \cdot 10^5\), \(1 \le a \le 10^9\)) — количество предложенных задач и количество бурлей, которое Вася получает за одну задачу соответственно. В каждой из следующих \(n\) строк содержится два числа \(d_i\) и \(c_i\) (\(1 \le d_i, c_i \le 10^9, d_i < d_{i+1}\)).

Выходные данные

Выведите одно число — максимальное количество бурлей, которое может заработать Вася.

F. Унификация MST

Бинарный поиск *2100 жадные алгоритмы графы снм

Задан неориентированный взвешенный связный граф, состоящий из \(n\) вершин и \(m\) ребер без петель и кратных ребер.

\(i\)-е ребро — \(e_i = (u_i, v_i, w_i)\); расстояние между вершинами \(u_i\) и \(v_i\) по ребру \(e_i\) равно \(w_i\) (\(1 \le w_i\)). Граф является связным, то есть для каждой пары вершин существует хотя бы один путь между ними, состоящий только из ребер заданного графа.

Минимальное остовное дерево (MST) в случае положительных весов — это подмножество ребер связного взвешенного неориентированного графа, соединяющее все его вершины и имеющее минимальный суммарный вес среди всех таких подмножеств (суммарный вес — это сумма весов выбранных ребер).

Вы можете модифицировать заданный граф. Единственная операция, которую вы можете проводить, заключается в следующем: увеличить вес какого-либо ребра на \(1\). Вы можете увеличивать вес каждого ребра любое (возможно, нулевое) количество раз.

Предположим, что изначальный вес MST был равен \(k\). Ваша задача — увеличить веса некоторых ребер за минимально возможное количество операций таким образом, чтобы вес MST в получившемся графе остался равен \(k\), но MST стало уникальным (это означает, что есть только один способ выбрать MST в получившемся графе).

Ваша задача — посчитать минимальное количество операций, необходимое для того, чтобы это сделать.

Входные данные

Первая строка входных данных содержит два целых числа \(n\) и \(m\) (\(1 \le n \le 2 \cdot 10^5, n - 1 \le m \le 2 \cdot 10^5\)) — количество вершин и количество ребер в изначальном графе.

The next \(m\) строк содержат по три целых числа. \(i\)-я строка содержит описание \(i\)-го ребра \(e_i\). Оно определяется тремя целыми числами \(u_i, v_i\) и \(w_i\) (\(1 \le u_i, v_i \le n, u_i \ne v_i, 1 \le w \le 10^9\)), где \(u_i\) и \(v_i\) — вершины, соединяемые \(i\)-м ребром, а \(w_i\) — вес этого ребра.

Гарантируется, что заданный граф не содержит петель и кратных ребер (то есть для каждого \(i\) от \(1\) до \(m\) \(u_i \ne v_i\) и для каждой неориентированной пары \((u, v)\) существует не более одного ребра, соединяющего эту пару вершин). Также гарантируется, что заданный граф является связным.

Выходные данные

Выведите одно целое число — минимальное количество операций, чтобы унифицировать MST заданного графа без изменения веса MST.

Примечание

Картинка, соответствующая первому тестовому примеру:

Вы можете, например, увеличить вес ребра \((1, 6)\) или \((6, 3)\) на \(1\) для унификации MST.

Картинка, соответствующая последнему тестовому примеру:

Вы можете, например, увеличить веса ребер \((1, 5)\) и \((2, 4)\) на \(1\) для унификации MST.

C. Саша и терпеливый друг

Бинарный поиск Структуры данных реализация *2800

Федя — друг Саши, поэтому Саша знает о Феде всё.

Федя хранит своё терпение в бесконечно большой чаше. Терпение Феди, в отличие от чаши, не бесконечно, поэтому обозначим за \(v\) — количество литров терпения в чаше Феди и, как только \(v\) станет равно \(0\), чаша сразу же лопнет. В чаше существует один кран, который закачивает по \(s\) литров терпения за одну секунду. Заметим, что \(s\) может быть отрицательным, в этом случае кран откачивает терпение из чаши. Саша может делать разные вещи, поэтому ему посильно изменять пропускную способность крана. Все действия Саши можно представить в виде \(q\) запросов. Запросы бывают трёх типов:

  1. «1 t s» — добавить новое событие, которое означает, что начиная с секунды \(t\), пропускная способность крана станет равна \(s\).
  2. «2 t» — удалить событие, которое происходит в секунду \(t\). Гарантируется, что оно существует.
  3. «3 l r v» — Саше интересно, если взять все ещё не удалённые события, для которых верно \(l \le t \le r\), а затем промоделировать изменение терпения Феди с начала секунды \(l\) до начала секунды \(r\) включительно (начальный объем терпения, в начале секунды \(l\), равен \(v\) литров), то в какой момент времени чаша лопнет. Если чаша никогда не лопнет, ответом на запрос будет одно целое число \(-1\).

Так как Саша не хочет проверять, что случится, когда терпение Феди закончится, а запросы он уже придумал, то он попросил вас помочь ему и для каждого запроса \(3\)-го типа найти ответ.

Гарантируется, что никогда не будет одновременно существовать два события, происходящих в одну и ту же секунду.

Входные данные

Первая строка содержит одно целое число \(q\) (\(1 \le q \le 10^5\)) — количество запросов.

Каждая из последующих \(q\) строк имеет один из форматов:

  • 1 t s (\(1 \le t \le 10^9\), \(-10^9 \le s \le 10^9\)), означающий, что добавляется новое событие, которое означает что начиная с секунды \(t\) пропускная способность крана станет равна \(s\).
  • 2 t (\(1 \le t \le 10^9\)), означающий, что нужно удалить событие, происходящее в момент времени \(t\). Гарантируется, что среди ещё не удалённых такое существует.
  • 3 l r v (\(1 \le l \le r \le 10^9\), \(0 \le v \le 10^9\)), означающий, что нужно промоделировать процесс с момента начала секунды \(l\) до начала секунды \(r\) и сказать когда чаша лопнет.

Гарантируется что \(t\), \(s\), \(l\), \(r\), \(v\) во всех запросах — целые числа.

Гарантируется, что есть хотя бы один запрос \(3\)-го типа, а также не может быть запроса \(1\)-го типа с таким \(t\), что существует событие с аналогичным значением \(t\) и оно ещё не удалено.

Выходные данные

Для каждого запроса \(3\)-го типа в отдельной строке выведите момент времени, когда чаша лопнет или \(-1\), если такого не случится.

Ваш ответ будет считаться правильным, если его абсолютная или относительная ошибка не превосходит \(10^{-6}\).

Формально, пусть ваш ответ равен \(a\), а ответ жюри равен \(b\). Ваш ответ будет зачтен, если и только если \(\frac{|a - b|}{\max{(1, |b|)}} \le 10^{-6}\).

Примечание

В первом примере все события попадают во все запросы \(3\)-го типа, а их моделирование выглядит следующим образом:

B. Петя и делители

Бинарный поиск Структуры данных теория чисел *1900

Маленький Петя любит искать делители у чисел. Однажды Петя столкнулся со следующей задачей.

Дано n запросов вида «xi yi». Для каждого запроса Пете нужно посчитать, сколько существует делителей числа xi, которые не делят ни одно из чисел xi - yi, xi - yi + 1, ..., xi - 1. Помогите ему.

Входные данные

В первой строке записано целое число n (1 ≤ n ≤ 105). В каждой из последующих n строк через пробел записано по два целых числа xi и yi (1 ≤ xi ≤ 105, 0 ≤ yi ≤ i - 1, где i — порядковый номер запроса, нумерация начинается с 1).

Ответом на запрос, для которого yi = 0, является количество делителей числа xi, при этом предыдущие числа x учитывать не следует.

Выходные данные

Для каждого запроса выведите ответ в отдельной строке: количество таких положительных целых чисел k, что

Примечание

Выпишем делители, которые дают ответ для первых 5 запросов:

1) 1, 2, 4

2) 3

3) 5

4) 2, 6

5) 9, 18

C. Изобретательный щелчок

Бинарный поиск Перебор математика *1700 разделяй и властвуй

Танос хочет уничтожить базу мстителей вместе с мстителями, которые там находятся.

Представим базу как массив, в каждой ячейке которой может находиться сколько угодно мстителей, но каждый мститель находится ровно в одной ячейке. Длина базы является точной степенью \(2\). Танос хочет уничтожить базу, потратив минимум энергии. Он начинает со всей базы и за один шаг может сделать одно из следующего:

  • если текущая длина базы хотя бы \(2\), разделить базу на \(2\) равные половины и продолжить их уничтожать независимо, или
  • сжечь текущую базу. Если на ней нет мстителей, это отнимает \(A\) единиц энергии, иначе это отнимает \(B \cdot n_a \cdot l\) единиц энергии, где \(n_a\) — число мстителей на этой базе, а \(l\) — длина текущей базы.

Выведите минимальное число единиц энергии, которое должен затратить Танос, чтобы уничтожить всю базу.

Входные данные

Первая строка содержит четыре целых числа \(n\), \(k\), \(A\) и \(B\) (\(1 \leq n \leq 30\), \(1 \leq k \leq 10^5\), \(1 \leq A,B \leq 10^4\)), где \(2^n\) — длина базы, \(k\) — число мстителей, а \(A\) и \(B\) — константы, описанные в условие.

Вторая строка содержит \(k\) целых чисел \(a_{1}, a_{2}, a_{3}, \ldots, a_{k}\) (\(1 \leq a_{i} \leq 2^n\)), где \(a_{i}\) — позиция очередного мстителя на базе.

Выходные данные

Выведите одно целое число — минимальное число единиц энергии, которое должен затратить Танос, чтобы уничтожить базу.

Примечание

Рассмотрим первый пример.

Один из вариантов для Таноса — сжечь базу \(1-4\) целиком, затратив \(2 \cdot 2 \cdot 4 = 16\) единиц энергии.

В другом варианте он может разделить базу на две части \(1-2\) и \(3-4\).

Для базы \(1-2\) он может либо сжечь ее целиком, затратив \(2 \cdot 1 \cdot 2 = 4\) единиц энергии, либо разделить ее на \(2\) части \(1-1\) и \(2-2\).

Для базы \(1-1\) он может сжечь ее, затратив \(2 \cdot 1 \cdot 1 = 2\) единиц энергии. Для базы \(2-2\), он может сжечь ее, затратив \(1\) единицу энергии, так как на ней нет мстителей. Поэтому он может уничтожить базу \(1-2\) за \(2 + 1 = 3\) единицы энергии, что меньше, чем \(4\).

Аналогично, необходимо \(3\) единицы энергии, чтобы уничтожить \(3-4\). Итого, можно уничтожить всю базу за \(6\) единиц энергии.

E. Арифметическая прогрессия

Бинарный поиск Теория вероятностей теория чисел *2200 интерактив

Это интерактивная задача!

Арифметическая прогрессия — такая последовательность целых чисел, что разность каждого элемента и предшествующего ему (\(x_i - x_{i - 1}\), где \(i \ge 2\)) постоянна (это значение называется разностью арифметической прогрессии).

Тем самым, арифметическая прогрессия — последовательность вида \(x_i = x_1 + (i - 1) d\), где \(d\) — разность арифметической прогрессии.

Загадан список из \(n\) целых чисел \(a_1, a_2, \ldots, a_n\).

Гарантируется, что все элементы \(a_1, a_2, \ldots, a_n\) лежат в диапазоне от \(0\) до \(10^9\), включительно.

Этот список особенный: если отсортировать его в возрастающем порядке, то он превратится в арифметическую прогрессию с положительной разностью (\(d > 0\)). Например, список \([14, 24, 9, 19]\) удовлетворяет этому условию, так как после сортировки он становится равен \([9, 14, 19, 24]\), что может быть получено с помощью \(x_n = 9 + 5 \cdot (n - 1)\).

Вместе со списком, у вас есть устройство с практически разряженной батареей, которым вы можете воспользоваться, чтобы выполнить не более \(60\) запросов следующих двух видов:

  • Вы называете значение \(i\) (\(1 \le i \le n\)), а устройство отображает значение \(a_i\).
  • Вы называете значение \(x\) (\(0 \le x \le 10^9\)), а устройство отображает \(1\), если есть элемент со значением строго больше \(x\), и отображает \(0\) иначе.

Вы можете использовать это устройство, чтобы задать не более \(60\) запросов. Ваша задача — узнать наименьший элемент и разность заданной арифметической прогрессии, то есть значения \(x_1\) и \(d\) из ее определения. Обратите внимание, что список \(a\) не упорядочен по возрастанию.

Протокол взаимодействия

Взаимодействие начинается с одного целого числа \(n\) (\(2 \le n \le 10^6\)), количества элементов в списке.

Затем вы можете делать запросы двух видов:

  • "? i" (\(1 \le i \le n\)) — чтобы узнать значение \(a_i\).
  • "> x" (\(0 \le x \le 10^9\)) — чтобы проверить есть ли элемент больший \(x\).

После вывода запроса, считайте ответ \(r\) на него как целое число.

  • Для запроса первого типа, \(r\) удовлетворяет \(0 \le r \le 10^9\).
  • Для запроса второго типа, \(r\) равен \(0\) или \(1\).
  • В случае, если вы сделаете более \(60\) запросов или нарушите ограничения на числа в запросе, то в ответ вы получите \(r = -1\).
  • Если ваша программа завершится после получения -1, то вы получите вердикт «Неправильный ответ». В противном случае, вердикт может быть любым, так как ваша програма продолжит читать из закрытого потока.

После того как вы выясните значение наименьшего элемента (\(x_1\)) и разность прогрессии (\(d\)), выведите:

  • "! \(x_1\) \(d\)"

И завершите программу после этого. Этот запрос не учитывается относительно ограничения в \(60\) запросов.

После вывода любого запроса не забудьте вывести перевод строки и сбросить буфер вывода. В противном случае вы получите вердикт Решение «зависло». Для сброса буфера используйте:

  • fflush(stdout) или cout.flush() в C++;
  • System.out.flush() в Java;
  • flush(output) в Pascal;
  • stdout.flush() в Python;
  • смотрите документацию для других языков.

Hacks

Для взломов используйте следующий формат:

Первая строка должна содержать одно целое число \(n\) (\(2 \le n \le 10^6\)) — количество элементов в списке.

Вторая строка должна содержать \(n\) целых чисел \(a_1, a_2, \ldots, a_n\) (\(0 \le a_i \le 10^9\)) — элементы списка.

Также после сортировки списка по возрастанию, он должен образовывать арифметическую прогрессию с положительной разностью.

Примечание

Обратите внимание, что взаимодействие в примере содержит пустые строки только для наглядности. В настоящем взаимодействии нет пустых строк, и вы тоже не должны их выводить.

Список в примере равен \([14, 24, 9, 19]\).

C. Волшебный корабль

Бинарный поиск *1900

Вы являетесь капитаном корабля. Изначально вы стоите в точке \((x_1, y_1)\) (очевидно, позиции в море легко описываются декартовой системой координат) и хотите попасть в точку \((x_2, y_2)\).

Вы знаете прогноз погоды — строку \(s\) длины \(n\), состоящую только из букв U, D, L и R. Буква соответствует направлению ветра. При этом прогноз является циклическим, т.е. в первый день ветер дует в сторону \(s_1\), во второй — в \(s_2\), в \(n\)-й — в \(s_n\), а в \((n+1)\)-й — снова в \(s_1\) и т.д.

Координаты корабля изменяются следующим образом:

  • если ветер дует в сторону U, то из точки \((x, y)\) корабль перемещается в точку \((x, y + 1)\);
  • если ветер дует в сторону D, то из точки \((x, y)\) корабль перемещается в точку \((x, y - 1)\);
  • если ветер дует в сторону L, то из точки \((x, y)\) корабль перемещается в точку \((x - 1, y)\);
  • если ветер дует в сторону R, то из точки \((x, y)\) корабль перемещается в точку \((x + 1, y)\).

Также корабль каждый день может плыть в одном из четырех направлений или стоять на месте. Если он плывет, то ровно на 1 единицу. Перемещения корабля и ветра складываются. Если корабль стоит на месте, то считается только направление ветра. Например, если ветер дует в сторону U, и корабль плывет в сторону L, то из точки \((x, y)\) он попадет в точку \((x - 1, y + 1)\), а если будет плыть в сторону U, то попадет в точку \((x, y + 2)\).

Вам нужно определить минимальное количество дней, которое потребуется кораблю, чтобы попасть в точку \((x_2, y_2)\).

Входные данные

Первая строка содержит два целых числа \(x_1, y_1\) (\(0 \le x_1, y_1 \le 10^9\)) — первоначальные координаты корабля.

Вторая строка содержит два целых числа \(x_2, y_2\) (\(0 \le x_2, y_2 \le 10^9\)) — координаты места назначения.

Гарантируется, что первоначальные координаты корабля и координаты места назначения различны.

Третья строка содержит одно целое число \(n\) (\(1 \le n \le 10^5\)) — длину строки \(s\).

Четвертая строка содержит саму строку \(s\), состоящую только из букв U, D, L и R.

Выходные данные

В единственной строке выведите минимальное количество дней, необходимое кораблю, чтобы попасть в точку \((x_2, y_2)\).

Если это невозможно, выведите «-1».

Примечание

В первом тестовом примере кораблю нужно выполнить следующую последовательность действий: «RRRRU», тогда его координаты будут меняться следующим образом: \((0, 0)\) \(\rightarrow\) \((1, 1)\) \(\rightarrow\) \((2, 2)\) \(\rightarrow\) \((3, 3)\) \(\rightarrow\) \((4, 4)\) \(\rightarrow\) \((4, 6)\).

Во втором тестовом примере кораблю нужно выполнить следующую последовательность действий: «DD» (третьим действием нужно стоять на месте), тогда его координаты будут меняться следуюущим образом: \((0, 3)\) \(\rightarrow\) \((0, 3)\) \(\rightarrow\) \((0, 1)\) \(\rightarrow\) \((0, 0)\).

В третьем тестовом примере корабль никак не сможет попасть в точку \((0, 1)\).

D2. Кофе и курсовая работа (сложная версия)

Бинарный поиск жадные алгоритмы *1700

Единственное отличие между легкой и сложной версиями — ограничения.

Поликарпу нужно написать курсовую работу. Курсовая работа состоит из \(m\) страниц.

У Поликарпа также есть \(n\) чашек кофе. Кофе в \(i\)-й чашке содержит \(a_i\) кофеина. Поликарп может выпить некоторые чашки кофе (каждую не более одного раза). Он может пить чашки в любом порядке. Поликарп пьет каждую чашку мгновенно и полностью (то есть он не может разделить какую-либо чашку на несколько дней).

Конечно же, курсовые работы не всегда пишутся за один день (по крайней мере в идеальном мире Берляндии). Некоторые из них требуют множества дней упорного труда.

Рассмотрим какой-нибудь день работы Поликарпа. Пусть Поликарп выпил \(k\) чашек кофе, а количества кофеина в чашках, которые Поликарп выпил в течение этого дня, равны \(a_{i_1}, a_{i_2}, \dots, a_{i_k}\). Тогда первая чашка, которую он выпьет, даст ему энергию на написание \(a_{i_1}\) страниц курсовой работы, вторая чашка даст ему энергию на написание \(max(0, a_{i_2} - 1)\) страниц, третья чашка даст ему энергию на написание \(max(0, a_{i_3} - 2)\) страниц, ..., и \(k\)-я чашка даст ему энергию на написание \(max(0, a_{i_k} - k + 1)\) страниц.

Если Поликарп не пьет кофе в течение какого-либо дня, то он вообще не может писать курсовую работу в течение этого дня.

Поликарп хочет закончить курсовую работу настолько рано, насколько это возможно (потратить минимальное количество дней на это). Ваша задача — найти это количество дней или сказать, что это невозможно.

Входные данные

Первая строка входных данных содержит два целых числа \(n\) и \(m\) (\(1 \le n \le 2 \cdot 10^5\), \(1 \le m \le 10^9\)) — количество чашек кофе и количество страниц в курсовой работе.

Вторая строка входных данных содержит \(n\) целых чисел \(a_1, a_2, \dots, a_n\) (\(1 \le a_i \le 10^9\)), где \(a_i\) равно количеству кофеина, содержащегося в \(i\)-й чашке.

Выходные данные

Если написать курсовую работу невозможно, выведите -1. Иначе выведите минимальное количество дней, необходимое Поликарпу для того, чтобы сделать это.

Примечание

В первом тестовом примере Поликарп может выпить четвертую чашку в течение первого дня (и написать \(1\) страницу), первую и вторую чашки в течение второго дня (и написать \(2 + (3 - 1) = 4\) страницы), пятую чашку в течение третьего дня (и написать \(2\) страницы) и третью чашку в течение четвертого дня (и написать \(1\) страницу), таким образом, ответ равен \(4\). Очевидно, что невозможно написать курсовую за три дня или быстрее.

Во втором тестовом примере Поликарп может выпить третью, четвертую и вторую чашки в течение первого дня (и написать \(4 + (2 - 1) + (3 - 2) = 6\) станиц) и шестую чашку в течение второго дня (и написать \(4\) страницы), таким образом, ответ равен \(2\). Очевидно, что Поликарп не может написать курсовую работу полностью за один день в этом тесте.

В третьем тестовом примере Поликарп может выпить все чашки кофе в течение первого дня и написать \(5 + (5 - 1) + (5 - 2) + (5 - 3) + (5 - 4) = 15\) страниц курсовой работы.

В четвертом тестовом примере Поликарп не может выпить все чашки кофе в течение первого дня и должен выпить одну из них в течение второго дня. Таким образом, В течение первого дня он напишет \(5 + (5 - 1) + (5 - 2) + (5 - 3) = 14\) страниц курсовой работы, а в течение второго дня он напишет \(5\) страниц курсовой работы. Этого достаточно, чтобы завершить ее.

В пятом тестовом примере Поликарп в принципе не может завершить курсовую работу, даже если он будет пить по одной чашке кофе каждый день, поэтому ответ равен -1.

B. Алена и узкий холодильник

Бинарный поиск Потоки жадные алгоритмы сортировки *1300

Недавно Алена купила миниатюрный холодильник, который может быть представлен как таблица из \(h\) строк и \(2\) столбцов. Изначально в холодильнике лишь одна полка в самом низу, но Алена может установить любое число полок внутрь холодильника между любыми двумя рядами. Все полки имеют ширину в две клетки, не занимают места по вертикали, но разделяют холодильник на верхнюю и нижнюю части.

Пример холодильника с \(h = 7\) и двумя полками. Полки показаны черным. Рисунок соответствует первому примеру.

У Алены есть \(n\) бутылок молока, она хочет поставить их в холодильник. Высота \(i\)-й бутылки равна \(a_i\) клеток, а ширина любой бутылки равна \(1\) клетке. Алена может поставить бутылку на полку, если высота свободного пространства над этой полкой не меньше высоты бутылки. Она не может ставить бутылки друг на друга (если, конечно, между ними нет полки). Бутылки не могут занимать общие клетки в таблице.

Алена хочет найти максимальное целое число \(k\) такое, что она может одновременно поставить бутылки с номерами \(1\), \(2\), ..., \(k\) в холодильник. Найдите это наибольшее \(k\).

Входные данные

Первая строка содержит два целых числа \(n\) и \(h\) (\(1 \le n \le 10^3\), \(1 \le h \le 10^9\)) — количество бутылок и высота холодильника, соответственно.

Вторая строка содержит \(n\) целых чисел \(a_1\), \(a_2\), ..., \(a_n\) (\(1 \le a_i \le h\)) — высоты бутылок.

Выходные данные

Выведите одно целое число \(k\) — максимальное целое число такое, что Алена может одновременно поставить бутылки с номерами \(1\), \(2\), ..., \(k\) в холодильник. Если Алена может поставить все бутылки, выведите \(n\). Легко понять, что Алена всегда может поставить хотя бы одну бутылку в холодильник.

Примечание

Один из оптимальных способов постановки бутылок в холодильник в первом примере показан на рисунке в условии.

Один из оптимальных способов постановки бутылок в холодильник во втором примере показан на рисунке ниже.

Один из оптимальных способов постановки бутылок в холодильник во третьем примере показан на рисунке ниже.

D. Frets On Fire

Бинарный поиск *1800 сортировки

Мияко приехала в гости в страну блох с укулеле. Она подружилась с блохами и исполняла им прекрасную музыку каждый день.

В благодарность за это блохи изготовили для нее большое укулеле: всего не нем \(n\) струн, на каждой струне \((10^{18} + 1)\) лад, лады пронумерованы от \(0\) до \(10^{18}\). Блохи описывают это укулеле массивом \(s_1, s_2, \ldots, s_n\), что означает, что \(j\)-й лад на \(i\)-й струне издает ноту \(s_i + j\).

Мияко скоро уедет из страны блох, но те попросили ее ответить на несколько вопросов.

Каждый вопрос имеет следующий вид: «Сколько всего различных нот находятся на ладах с \(l\)-го по \(r\)-й (включительно), если рассматривать все струны?»

У Мияко нет времени отвечать на вопросы. Найдите ответы, чтобы помочь ей!

Формально, дана таблица из \(n\) строк и \((10^{18}+1)\) столбцов, где в ячейке в \(i\)-м ряду в \(j\)-м столбце (\(0 \le j \le 10^{18}\)) написано число \(s_i + j\). Вам нужно ответить на \(q\) запросов, в \(k\)-м запросе нужно вычислить число различных чисел в таблице в столбцах с \(l_k\)-го по \(r_k\)-й, включительно.

Входные данные

Первая строка содержит одно целое число \(n\) (\(1 \leq n \leq 100\,000\)) — количество струн.

Вторая строка содержит \(n\) целых чисел \(s_1, s_2, \ldots, s_n\) (\(0 \leq s_i \leq 10^{18}\)) — описание укулеле.

Третья строка содержит одно целое число \(q\) (\(1 \leq q \leq 100\,000\)) — количество вопросов.

В \(k\)-й из следующих \(q\) строк находятся два целых числа \(l_k\)\(r_k\) (\(0 \leq l_k \leq r_k \leq 10^{18}\)) — очередной вопрос блох.

Выходные данные

Выведите одно целое число для каждого вопросы: число различных нот.

Примечание

В первом примере ноты на \(6\) струнах выглядят так: \(\) \begin{matrix} \textbf{Лад} & \textbf{0} & \textbf{1} & \textbf{2} & \textbf{3} & \textbf{4} & \textbf{5} & \textbf{6} & \textbf{7} & \ldots \\ s_1: & 3 & 4 & 5 & 6 & 7 & 8 & 9 & 10 & \dots \\ s_2: & 1 & 2 & 3 & 4 & 5 & 6 & 7 & 8 & \dots \\ s_3: & 4 & 5 & 6 & 7 & 8 & 9 & 10 & 11 & \dots \\ s_4: & 1 & 2 & 3 & 4 & 5 & 6 & 7 & 8 & \dots \\ s_5: & 5 & 6 & 7 & 8 & 9 & 10 & 11 & 12 & \dots \\ s_6: & 9 & 10 & 11 & 12 & 13 & 14 & 15 & 16 & \dots \end{matrix} \(\)

На ладу \(7\) есть \(5\) различных нот: \(8, 10, 11, 12, 16\).

На ладах \(0, 1, 2\) есть \(10\) различных нот: \(1, 2, 3, 4, 5, 6, 7, 9, 10, 11\).

C. Азбука Морзе

Строки Бинарный поиск Структуры данных дп *2400 сортировки хэши строковые суфф. структуры

В азбуке Морзе каждая буква латинского алфавита определена как строка некоторый длины от \(1\) до \(4\), состоящая из точек и тире. В этой задаче мы будем обозначать точку как «0», а тире как «1».

Так как существует \(2^1+2^2+2^3+2^4 = 30\) строк длины от \(1\) до \(4\), состоящих только из «0» и «1», не все из них соответствуют какой-то из \(26\) букв латинского алфавита. А именно, все строки из «0» и/или «1» длины не более \(4\) соответствуют разным буквы латинского алфавита, кроме следующих четырех строк, которые ничему не соответствуют: «0011», «0101», «1110» и «1111».

Вы работаете на строке \(S\), которая изначально пуста. \(m\) раз далее либо точка, либо тире будут дописаны к \(S\), по одному символу за раз. Ваша задача — после каждого добавления к строке \(S\) найти количество непустых последовательностей букв латинского алфавита, которые представляются в азбуке Морзе как некоторая подстрока \(S\).

Так как ответы могут быть очень большим, выводите их по модулю \(10^9 + 7\).

Входные данные

Первая строка содержит одно целое число \(m\) (\(1 \leq m \leq 3\,000\)) — количество модификаций строки \(S\).

Каждая из следующих \(m\) строк содержит или «0» (обозначающий точку), или «1» (обозначающую тире), описывающее, какой символ добавляется к \(S\).

Выходные данные

Выведите \(m\) строк, \(i\)-я из которых должна содержать ответ после \(i\)-й модификации \(S\).

Примечание

Рассмотрим первый тестовый пример, после того, как к \(S\) будут дописаны все буквы, т.е. «111».

Как вы можете видеть, «1», «11» и «111» соответствуют каким-то буквам латинского алфавита. Более точно, они переводятся в 'T', 'M', и в 'O', соответственно. Все слова, которые переводятся в подстроку строки \(S\) в азбуке Морзе, таким образом, равны:

  1. «T» (переводится в «1»)
  2. «M» (переводится в «11»)
  3. «O» (переводится в «111»)
  4. «TT» (переводится в «11»)
  5. «TM» (переводится в «111»)
  6. «MT» (переводится в «111»)
  7. «TTT» (переводится в «111»)

Хоть это и не нужно в этой задаче, таблица переводов букв латинского алфавита в азбуку Морзе: здесь.

E. Легендарное дерево

Бинарный поиск Деревья интерактив *3100

Это интерактивная задача.

Легендарное дерево покоится глубоко в лесу. Легенда гласит, что люди, которые узнают структуру этого дерева, навсегда станут легендарными гроссмейстерами.

Чтобы помочь вам определить дерево, богиня Микаэла рассказала вам, что это дерево состоит из \(n\) вершин, пронумерованных от \(1\) до \(n\). Она также позволила вам спросить что-то про дерево. Чтобы задать вопрос, вы должны назвать Микаэле два непересекающихся непустых множеств вершин \(S\) и \(T\) и произвольную вершину \(v\). Затем Микаэла посчитает и скажет вам количество пар вершин \((s, t)\), где \(s \in S\) и \(t \in T\) таких, что простой путь от \(s\) до \(t\) содержит \(v\).

Богиня Микаэла занята и сможет ответить вам только на \(11\,111\) запросов.

Это ваш единственный шанс. Ваша задача — определить дерево и вывести его ребра.

Входные данные

Первая строка содержит одно целое число \(n\) (\(2 \leq n \leq 500\)) — количество вершин в дереве.

Выходные данные

Когда ваша программа определила дерево и готова вывести его ребра, выведите «ANSWER» на отдельной строке. Убедитесь, что все буквы являются заглавными.

Затем выведите \(n-1\) строку, в каждой строке должны находиться два целых числа, разделенных пробелами, обозначающие вершины, которые являются концами фиксированного ребра. Каждое ребро должно быть выведено ровно один раз. Затем ваша программа должна немедленно завершиться.

Протокол взаимодействия

Чтобы задать вопрос, действуйте следующим образом.

  1. Сначала выведите размер множества \(S\) на отдельной строке. В следующей строке выведите \(|S|\) различных целых чисел, разделенных пробелами, описывающих вершины \(S\).
  2. Затем, аналогично, выведите размер множества \(T\) на отдельной строке. В следующей строке выведите \(|T|\) различных целых чисел, разделенных пробелами, описывающих вершины \(T\).
  3. Затем, в последней строке, выведите \(v\) — вершину, которую вы выбрали для этого запроса.
  4. Прочитайте ответ Микаэлы из входного файла.

Не забудьте, что \(S\) и \(T\) должны быть непустыми и непересекающимися.

После вывода запроса не забудьте вывести перевод строки и сбросить буфер вывода. В противном случае вы получите вердикт Решение «зависло». Для сброса буфера используйте:

  • fflush(stdout) или cout.flush() в C++;
  • System.out.flush() в Java;
  • flush(output) в Pascal;
  • stdout.flush() в Python;
  • смотрите документацию для других языков.

Если ваша программа сделает слишком много запросов, задаст некорректный запрос или некорректно последует описанному выше протоколу взаимодействия, она может получить произвольный вердикт. В противном случае, ваша программа получит вердикт Неправильный ответ, если она выведет неправильное дерево.

Обратите внимание, что дерево загадано заранее и не зависит от ваших запросов.

Взломы

Взломы должны быть описаны следующим образом.

Первая строка должна содержать целое число \(n\) (\(2 \leq n \leq 500\)) — количество вершин в дереве.

Следующие \(n-1\) строк должны содержать по два целых числа \(u\) и \(v\), обозначающих наличие в дереве неориентированного ребра \((u, v)\) (\(1 \leq u, v \leq n\)).

Примечание

В первом тестовом примере задано следующее дерево:

\(n = 5\) задается программе. Затем программа задает Микаэеле запрос с \(S = \{1, 2, 3\}\), \(T = \{4, 5\}\), и \(v = 2\), на который она отвечает \(5\) (подходящие пары \((s, t)\) это \((1, 4)\), \((1, 5)\), \((2, 4)\), \((2, 5)\), и \((3, 5)\)).

C. День рождения

Бинарный поиск жадные алгоритмы *1200 сортировки

У ковбоя Влада день рождения! На праздник собрались \(n\) детей. Чтобы поздравить Влада, дети решили водить вокруг него хоровод. Среди детей, пришедших к Владу, есть и высокие, и низкие, поэтому если они встанут в хороводе как угодно, то рядом могут оказаться очень высокий и очень низкий ребёнок, и им будет трудно держаться за руки. Поэтому дети хотят встать в хоровод так, чтобы максимальная разность ростов двух соседних детей была бы минимальной возможной.

Формально, пронумеруем детей от \(1\) до \(n\) по кругу, то есть для каждого \(i\) ребёнок с номером \(i\) является соседним с рёбенком с номером \(i+1\), а также ребёнок с номером \(1\), является соседом с ребёнок с номером \(n\). Тогда неудобством этого хоровода назовём максимальный модуль разности ростов детей, которые стоят рядом.

Помогите детям определить в каком порядке им надо перестроиться, чтобы минимизировать неудобство получившегося хоровода.

Входные данные

В первой строке содержится одно целое число \(n\) (\(2 \leq n \leq 100\)) — количество детей, которые пришли на день рождения ковбоя Влада.

Вторая строка содержит целые числа \(a_1, a_2, \ldots, a_n\) (\(1 \leq a_i \leq 10^9\)) задающие рост каждого рёбенка.

Выходные данные

Выведите \(n\) целых чисел — роста детей в порядке, в котором они должны встать в хоровод. Вы можете начинать вывод с любого из детей в круге.

В случае, если существует несколько возможных ответов — выведите любой из них.

Примечание

В первом примере неудобство хоровода равно \(1\), так как разности ростов между соседними детьми равны \(1\), \(1\), \(1\) и \(0\). Обратите внимание, что последовательности \([2, 3, 2, 1, 1]\), \([3, 2, 1, 1, 2]\) задают те же хороводы и отличаются лишь началом отсчёта.

Во втором примере неудобство хоровода равно \(20\), так как разность ростов детей с ростами \(10\) и \(30\) равна \(20\).

D. Напряженная тренировка

Бинарный поиск жадные алгоритмы *2300

В Берляндском ГУ сегодня проходит очередной контест для студентов. \(n\) студентов пришли, каждый принес с собой ноутбук. Однако, как оказалось, все забыли свои зарядные устройства!

Пусть студенты пронумерованы от \(1\) до \(n\). Ноутбук \(i\)-го студента заряжен на \(a_i\) в начале контеста, и он использует \(b_i\) заряда в минуту (то есть, если заряд ноутбука \(c\) в начале некоторой минуты, то он становится \(c - b_i\) к началу следующей минуты). Контест длится \(k\) минут.

Поликарп (тренер Берляндского ГУ) решил купить ровно одно зарядное устройство так, чтобы все студенты смогли успешно завершить контест. Он покупает зарядное устройство в момент начала контеста.

Поликарп может купить зарядное устройство любой неотрицательной (нулевой или больше) целой мощности. Мощность выбирается до покупки, она не может быть изменена позднее. Пусть выбранная мощность \(x\). В начале каждой минуты (от минуты начала контеста до последней минуты контеста) он может подключить зарядное устройство в ноутбук любого из студентов и заряжать его целое число минут. Если ноутбук потребляет \(b_i\) заряда в минуту, то потребление становится \(b_i - x\) в минуту, когда подключено зарядное устройство. Отрицательное потребление значит, что заряд ноутбука увеличивается. Заряд любого ноутбука не ограничен, он может быть бесконечно большим. Зарядное устройство может быть включено не более чем в один ноутбук в одно и то же время.

Студент успешно завершает контест, если заряд его ноутбука равен или больше нуля в начале каждой минуты контеста (от минуты начала контеста до последней минуты контеста). Заряд ноутбука в минуту, когда когда контест завершается, не важен.

Помогите Поликарпу определить минимальную возможную мощность зарядного устройства такую, чтобы все студенты смогли успешно завершить контест. Также сообщите, если такого зарядного устройства не существует.

Входные данные

В первой строке записаны два целых числа \(n\) и \(k\) (\(1 \le n \le 2 \cdot 10^5\), \(1 \le k \le 2 \cdot 10^5\)) — количество студентов (и ноутбуков, соответственно) и продолжительность контеста в минутах.

Во второй строке записаны \(n\) целых чисел \(a_1, a_2, \dots, a_n\) (\(1 \le a_i \le 10^{12}\)) — начальный заряд ноутбука каждого из студентов.

В третьей строке записаны \(n\) целых чисел \(b_1, b_2, \dots, b_n\) (\(1 \le b_i \le 10^7\)) — потребление ноутбука каждого из студентов.

Выходные данные

Выведите единственное неотрицательное целое число — минимальная возможная мощность зарядного устройства такая, чтобы все студенты смогли успешно завершить контест.

Если такого зарядного устройства не существует, то выведите -1.

Примечание

Взглянем на состояние ноутбуков в начале каждый минуты в первом примере с зарядным устройством мощности \(5\):

  1. заряд: \([3, 2]\), подключим зарядное устройство в ноутбук 1;
  2. заряд: \([3 - 4 + 5, 2 - 2] = [4, 0]\), подключим зарядное устройство в ноутбук 2;
  3. заряд: \([4 - 4, 0 - 2 + 5] = [0, 3]\), подключим зарядное устройство в ноутбук 1;
  4. заряд: \([0 - 4 + 5, 3 - 2] = [1, 1]\).

Контест завершается после четвертой минуты.

Однако, рассмотрим зарядное устройство мощности \(4\):

  1. заряд: \([3, 2]\), подключим зарядное устройство в ноутбук 1;
  2. заряд: \([3 - 4 + 4, 2 - 2] = [3, 0]\), подключим зарядное устройство в ноутбук 2;
  3. заряд: \([3 - 4, 0 - 2 + 4] = [-1, 2]\), у первого ноутбука становится отрицательный заряд, поэтому первый студент не может успешно завершить контест.

В четвертом примере сколь бы мощным не было зарядное устройство, один из студентов никогда не сможет успешно завершить контест.

E. Настя не придумала легенду

Бинарный поиск Структуры данных *2200

В этой задаче вместо легенды Настя попросила нас написать формальное условие.

Дан массив чисел \(a\) длины \(n\) и массив чисел \(k\) длины \(n-1\). Нужно обрабатывать два типа запросов:

  • увеличить \(a_i\) на \(x\). После этого, если \(a_{i+1} < a_i + k_i\), то \(a_{i+1}\) становится равно \(a_i + k_i\), затем, если \(a_{i+2} < a_{i+1} + k_{i+1}\), то \(a_{i+2}\) становится равно \(a_{i+1} + k_{i+1}\), затем то же самое происходит для \(a_{i+3}\), ..., \(a_n\);
  • вывести сумму чисел на отрезке c \(l\) по \(r\) в массиве \(a\).

Гарантируется, что изначально для любого \(1 \leq i \leq n-1\) верно, что \(a_i + k_i \leq a_{i+1}\).

Входные данные

В первой строке вводится целое число \(n\) (\(2 \leq n \leq 10^{5}\)) — число элементов массива \(a\).

Во второй строке вводятся \(n\) целых чисел \(a_1, a_2, \ldots, a_n\) (\(-10^{9} \leq a_i \leq 10^{9}\)) — элементы массива \(a\).

В третьей строке вводится \(n-1\) целое число \(k_1, k_2, \ldots, k_{n-1}\) (\(-10^{6} \leq k_i \leq 10^{6}\)) — элементы массива \(k\).

В четвертой строке вводится целое число \(q\) (\(1 \leq q \leq 10^{5}\)) — количество запросов.

В следующих \(q\) строках вводятся запросы одного из двух видов, по одному в строке:

  • если запрос первого типа, то вводится символ «+» (без кавычек), затем вводятся целые числа \(i\) и \(x\) (\(1 \leq i \leq n\), \(0 \leq x \leq 10^{6}\)), что значит, что число \(x\) добавляется к \(i\)-му элементу массива \(a\), как описано в условии;
  • если запрос второго типа, то вводится символ «s» (без кавычек), затем вводятся два целых числа \(l\) и \(r\) (\(1 \leq l \leq r \leq n\)).
Выходные данные

Для каждого запроса второго типа в отдельной строке выведите одно целое число — сумму на соответствующем отрезке.

Примечание

В первом примере:

  • после первого изменения \(a = [3, 4, 3]\);
  • после второго изменения \(a = [3, 4, 4]\).

Во втором примере:

  • после первого изменения \(a = [6, 9, 10]\);
  • после второго изменения \(a = [6, 13, 14]\).

A. Суши для двоих

Бинарный поиск реализация *900 жадные алгоритмы

Аркадий пригласил Анну на ужин в суши-ресторан. Ресторан немного необычный: на выбор клиенту предлагаются \(n\) суши, выложенных в ряд, а клиент должен заказать себе некоторый подотрезок из подряд идущих суши.

Суши бывают двух видов: либо с тунцом, либо с угрем. Обозначим тип \(i\)-го слева суши как \(t_i\), где \(t_i = 1\) обозначает, что это суши с тунцом, а \(t_i = 2\) означает, что оно с угрем.

Аркадий не любит суши с тунцом, Анна не любит суши с угрем. Аркадий хочет выбрать последовательный подотрезок суши так, чтобы в нем было поровну суши обоих типов, и каждая половина отрезка содержала только суши одного типа. Например, подотрезок \([2, 2, 2, 1, 1, 1]\) подходит, а подотрезок \([1, 2, 1, 2, 1, 2]\) — нет, потому что в обеих половинах есть суши обоих типов.

Найдите длину наибольшего подотрезка из подряд идущих суши, который может заказать Аркадий.

Входные данные

Первая строка содержит одно целое число \(n\) (\(2 \le n \le 100\,000\)) — количество суши.

Вторая строка содержит \(n\) целых чисел \(t_1\), \(t_2\), ..., \(t_n\) (\(t_i = 1\), что означает суши с тунцом, или \(t_i = 2\), что означает суши с угрем), обозначающие типы суши слева направо.

Гарантируется, что есть хотя бы одно суши каждого из типов. Обратите внимание, это означает, что существует по крайней мере один подходящий Аркадию подотрезок.

Выходные данные

Выведите одно целое число — максимально возможную длину подходящего Аркадию отрезка из подряд идущих суши.

Примечание

В первом примере Аркадий может выбрать подотрезок \([2, 2, 1, 1]\) или подотрезок \([1, 1, 2, 2]\), длина которых \(4\).

Во втором примере невозможно выбрать что-то другое, кроме \([2, 1]\) или \([1, 2]\), длина которых \(2\).

В третьем примере лучший выбор Аркадия — подотрезок \([1, 1, 1, 2, 2, 2]\).

G. Приватизация дорог в Древляндии

Бинарный поиск Деревья Конструктив поиск в глубину и подобное жадные алгоритмы *1900 графы

Древляндия состоит из \(n\) городов и \(n-1\) дороги. Все дороги являются двусторонними и соединяют пару различных городов. Из любого города по дорогам можно добраться до любого другого. Всё верно, топология страны — это именно неориентированное дерево.

В Древляндии есть несколько частных дорожных компаний. Правительство решило передать дороги в собственность компаний. После приватизации каждая дорога будет принадлежать какой-то одной компании, одна компания может владеть несколькими дорогами.

Правительство обеспокоено возможными обвинениями в пристрастности. В правительстве полагают, что люди города могут посчитать несправедливой ситуацию, если две или более дороги, входящие в этот город, принадлежат одной компании. Правительство планирует такую приватизацию, что количество таких городов не будет превосходить \(k\), а количество частных компаний (которые участвуют в приватизации) — минимально.

Выберите такое минимальное количество компаний \(r\), что возможно распределить все дороги по этим компаниям так, что количество городов с двумя или более дорогами одной компании не превосходит \(k\). Другими словами, назовём город хорошим, если все его дороги принадлежат различным компаниям. Ваша задача найти минимальное \(r\), что существует распределение всех дорог по компаниям от \(1\) до \(r\), что количество не являющимися хорошими городов не превосходит \(k\).

Картинка иллюстрирует первый пример (\(n=6, k=2\)). Ответ на этот тест содержит \(r=2\) компании. Числа на рёбрах соответствуют номерам дорог. Цвета рёбер соответствуют компаниям: красный цвет обозначает первую компанию, синий цвет обозначает вторую компанию. Серая вершина (с номером \(3\)) соответвует городу, который не является хорошим. Количество таких вершин (в данном случае, только одна) не превосходит \(k=2\). Невозможно получить не более \(k=2\) таких вершин, если ответ содержит только одну компанию.
Входные данные

В первой строке записаны два целых числа \(n\) и \(k\) (\(2 \le n \le 200000, 0 \le k \le n - 1\)) — количество городов и максимальное возможное количество городов с двумя или более дорогами одной компании.

Следующие \(n-1\) строк содержат описания дорог, по одному описанию в строке. Каждая строка содержит пару целых чисел \(x_i\), \(y_i\) (\(1 \le x_i, y_i \le n\)), где \(x_i\), \(y_i\) — номера городов, которые соединены \(i\)-й дорогой.

Выходные данные

В первую строку выведите искомое число \(r\) (\(1 \le r \le n - 1\)). Во вторую строку выведите \(n-1\) целое число \(c_1, c_2, \dots, c_{n-1}\) (\(1 \le c_i \le r\)), где \(c_i\) — это номер компании, которая должна владеть \(i\)-й дорогой. Если ответов несколько, то выведите любой из них.

B. Born This Way

Бинарный поиск Перебор *1600

Аркадий купил авиабилет из города A в город C. К сожалению, прямых рейсов нет, но есть много рейсов из A в город B, а также из B в C.

Всего есть \(n\) рейсов из A в B, они вылетают в моменты времени \(a_1\), \(a_2\), \(a_3\), ..., \(a_n\) и прилетают в B \(t_a\) моментов времени спустя.

Всего есть \(m\) рейсов из B в C, они вылетают в моменты времени \(b_1\), \(b_2\), \(b_3\), ..., \(b_m\) и прилетают в C \(t_b\) моментов времени спустя.

Временем пересадки можно пренебречь, поэтому можно использовать \(i\)-й рейс из A в B и \(j\)-й рейс из B в C, если и только если \(b_j \ge a_i + t_a\).

Вы можете отменить не более \(k\) рейсов. Если вы отменяете рейс, Аркадий не сможет его использовать.

Аркадий хочет попасть в C как можно раньше, а вы хотите, чтобы Аркадий оказался в C как можно позже. Найдите самый ранний момент времени, когда Аркадий сможет попасть в C, если вы оптимально отмените \(k\) рейсов. Если можно отменить \(k\) или меньше рейсов так, что попасть в C станет невозможно, выведите \(-1\).

Входные данные

Первая строка содержит пять целых чисел \(n\), \(m\), \(t_a\), \(t_b\) и \(k\) (\(1 \le n, m \le 2 \cdot 10^5\), \(1 \le k \le n + m\), \(1 \le t_a, t_b \le 10^9\)) — количество рейсов из A и B, количество рейсов из B в C, время полета из A в B, время полета из B в C и максимальное число рейсов, которое вы можете отменить, соответственно.

Вторая строка содержит \(n\) различных целых чисел в возрастающем порядке: \(a_1\), \(a_2\), \(a_3\), ..., \(a_n\) (\(1 \le a_1 < a_2 < \ldots < a_n \le 10^9\)) — времена, в которые рейсы вылетают из A в B.

Третья строка содержит \(m\) различных целых чисел в возрастающем порядке: \(b_1\), \(b_2\), \(b_3\), ..., \(b_m\) (\(1 \le b_1 < b_2 < \ldots < b_m \le 10^9\)) — времена, в которые рейсы вылетают из B в C.

Выходные данные

Если можно отменить \(k\) или меньше рейсов так, что попасть в C невозможно, выведите \(-1\).

Иначе выведите минимальное время, в которое Аркадий сможет оказаться в C, если вы оптимальным образом отмените \(k\) рейсов так, чтобы максимизировать это время.

Примечание

Рассмотрим первый пример. Рейсы из A в B отправляются в моменты времени \(1\), \(3\), \(5\) и \(7\) и прибывают в B в моменты времени \(2\), \(4\), \(6\), \(8\), соответственно. Рейсы из B в C вылетают в моменты времени \(1\), \(2\), \(3\), \(9\) и \(10\) и прилетают в C в моменты времени \(2\), \(3\), \(4\), \(10\), \(11\), соответственно. Вы можете отменить не более двух рейсов. Оптимальный выбор — отменить первый рейс из A в B и четвертый рейс из B в C. Тогда Аркадий сможет использовать первый рейс из A в B, прибыть в B в момент времени \(4\), затем использовать последний рейс из B в C и прибыть в C в момент времени \(11\).

Во втором примере можно просто отменить все рейсы из A в B.

В третьем примере можно отменить лишь один рейс, и оптимально отменить первый рейс из A в B. Обратите внимание, что времени как раз достаточно, чтобы успеть на последний рейс из B в C.

D. Сервал и подвешенное дерево

Бинарный поиск Деревья дп поиск в глубину и подобное жадные алгоритмы *1900

Теперь Сервал — младший ученик средней школы Джапари, и он все еще в восторге от математики, как и раньше.

Как математически талантливый мальчик, он любит играть с числами. На этот раз он хочет поиграть с числами на подвешенном дереве.

Деревом называется связный граф без циклов. Подвешенное дерево имеет выделенную вершину, называемую корнем. Родителем вершины \(v\) называется последняя отличная от \(v\) вершина на пути от корня к вершине \(v\). Дети вершины \(v\) — все вершины, для которых \(v\) является родителем. Вершина называется листом, если у нее нет детей.

Подвешенное дерево Сервала имеет \(n\) вершин, корень дерева — вершина \(1\). Сервал хочет написать по одному числу в каждую из вершин, но есть некоторые ограничения. В каждой из вершин, кроме листьев, записана операция \(\max\) или \(\min\), указывающая, что число в этой вершине должно быть равно максимуму или минимуму среди всех чисел, написанных в ее детях, соответственно.

Предположим, что в дереве \(k\) листьев. Сервал хочет написать числа \(1, 2, \ldots, k\) в эти \(k\) листьев (каждое число должно использоваться ровно один раз). Он любит большие числа, поэтому он хочет максимизировать число в корне. Как его лучший друг, вы можете помочь ему?

Входные данные

Первая строка содержит целое число \(n\) (\(2 \leq n \leq 3\cdot 10^5\)) — количество вершин в дереве.

Вторая строка содержит \(n\) целых чисел, \(i\)-е из них описывает операцию на вершине \(i\). \(0\) обозначает \(\min\) и \(1\) обозначает \(\max\). Если вершина является листом, будет записано \(0\) или \(1\), но вы можете игнорировать это число.

Третья строка содержит \(n-1\) целое число \(f_2, f_3, \ldots, f_n\) (\(1 \leq f_i \leq i-1\)), где \(f_i\) обозначает родителя вершины \(i\).

Выходные данные

Выведите одно целое число — максимальное значение числа в корне, которое Сервал может получить.

Примечание

Примеры показаны на рисунках ниже. Числа, написанные в середине вершин, являются их номерами, а сверху написаны числа, которые пишет Сервал.

В первом примере, независимо от того, как вы расположите числа, ответ будет \(1\).

Во втором примере, независимо от того, как вы расположите числа, ответ будет \(4\).

В третьем примере одним из оптимальных решений для достижения \(4\) является расстановка чисел \(4\) и \(5\) на вершины \(4\) и \(5\).

В четвертом примере оптимальным решением является поставить число \(5\) на вершину \(5\).

E. Сервал и Змейка

Бинарный поиск Перебор *2200 интерактив

Это интерактивная задача.

Сейчас Сервал ученик старшей школы Джапари. На пути в школу он должен пройти через пруд, в котором обитает опасная змея! Пруд можно описать таблицей \(n \times n\). У змеи есть голова и хвост, которые находятся в разных клетках, а ее тело — это последовательность соседних клеток, соединяющих голову и хвост, без самопересечений. Если Сервал зайдет в клетку с головой или в клетку с хвостом, змея укусит его и он умрет.

К счастью, у него есть специальное оборудование, которое может отвечать на следующий вопрос: вы можете выбрать прямоугольник, и оно скажет вам, сколько раз вы пересечете границу прямоугольника, если вы пройдете по змее от ее головы до хвоста. На иллюстрациях ниже изображена возможная змея и возможный запрос к ней, ответ на который равен \(4\).

Сегодня Сервал проснулся слишком поздно и у него хватит времени только на то, чтобы задать \(2019\) запросов. Как его лучший друг, может быть, вы ему поможете определить положения головы и хвоста?

Две клетки считаются соседними тогда и только тогда, когда у них есть общее ребро таблицы. Змея может иметь тело длины \(0\), что означает, что у нее есть только соседние голова и тело.

Во время ваших запросов змея спит и не движется. Кроме того, очевидно, что положение змеи не зависит от ваших запросов.

Входные данные

В первой строке входного файла записано одно целое число \(n\) (\(2\leq n \leq 1000\)) — размер таблицы.

Выходные данные

Когда ваша программа готова вывести ответ, выведите ! x1 y1 x2 y2, где \((x_1, y_1)\) обозначает позицию головы, а \((x_2,y_2)\) обозначает позицию хвоста. Вы можете вывести голову и хвост в любом порядке.

Протокол взаимодействия

Чтобы задать запрос, вы должны вывести ? x1 y1 x2 y2 (\(1 \leq x_1 \leq x_2 \leq n\), \(1\leq y_1 \leq y_2 \leq n\)), описывая прямоугольник, содержащий все клетки \((x,y)\) с \(x_1 \leq x \leq x_2\) и \(y_1 \leq y \leq y_2\).Затем считайте одно число — ответ на запрос.

После вывода запроса не забудьте вывести перевод строки и сбросить буфер вывода. В противном случае вы получите вердикт Решение «зависло». Для сброса буфера используйте:

  • fflush(stdout) или cout.flush() в C++;
  • System.out.flush() в Java;
  • flush(output) в Pascal;
  • stdout.flush() в Python;
  • смотрите документацию для других языков.

Ответ \(-1\) вместо корректного означает, что ваша программа сделала некорректный запрос или превысила ограничение на число запросов. Ваша программа должна немедленно завершиться после прочтения ответа \(-1\), вы получите вердикт Неправильный ответ. В противном случае вы можете получить любой вердикт, так как программа продолжит чтение из закрытого потока.

Если ваша программа неправильно определит голову или хвост змеи, вы также получите врдикт «Неправильный ответ».

Взломы

Чтобы сделать взлом, выведите одно целое число \(n\) (\(2 \leq n \leq 1000\)) на первой строке, описывающее размер таблицы.

Во второй строке выведите целое число \(k\) (\(2 \leq k \leq n^2\)), описывающее длину змеи.

Затем в \(k\) строках выведите \(k\) пар целых чисел \(x_i, y_i\) (\(1 \leq x_i, y_i \leq n\)), каждую пару следует выводить на новой строке, описывая \(i\)-ю клетку змеи. Все соседние пары должны быть соседними в таблице, и все \(k\) клеток должны быть различны.

Примечание

На иллюстрациях выше изображены наши запросы и ответы на них из первого примера. Сначала мы спросили клетку \((1,1)\) и получили ответ \(1\), затем поняли, что она должна быть соединена ровно с одной другой клеткой. Затем мы спросили \((1,2)\), и получили ответ \(0\), что значит, что в этой клетке нет змеи совсем. Это значит, что клетка, соседняя с \((1,1)\), должна быть \((2,1)\). Затем мы сделали запрос к клетке \((2,2)\), получили ответ \(0\) и поняли, что змеи также нет в клетке \((2,2)\). Таким образом змея не выходит из клетки \((2,1)\), из чего следует, что ответ \((1,1)\) и \((2,1)\).

На иллюстрациях выше изображены наши запросы и ответы на них из второго примера. Сделав запрос к клетке \((2,2)\) и получив \(2\), мы поняли, что змея содержит клетку \((2,2)\). Затем, спросив прямоугольник от \((2,1)\) до \((2,3)\), и получив ответ \(0\), мы поняли, что змея никогда не выходит из прямоугольника от \((2,1)\) до \((2,3)\). Так как первый ответ равен \(2\), обе клетки \((2,1)\) и \((2,3)\) должны быть внутри змеи, из чего следует, что ответ \((2,1)\) и \((2,3)\).

C. Соединение точек

Бинарный поиск Тернарный поиск *2000 жадные алгоритмы сортировки

Вам дан набор точек \(x_1\), \(x_2\), ..., \(x_n\) на числовой прямой.

Две точки \(i\) и \(j\) могут быть соединены друг с другом при выполнении следующих условий:

  • Ни \(i\), ни \(j\) не соединены ни с какими другими точками;
  • \(|x_i - x_j| \ge z\).

Какое максимальное количество пар точек вы можете соединить друг с другом?

Входные данные

Первая строка содержит два целых числа \(n\) и \(z\) (\(2 \le n \le 2 \cdot 10^5\), \(1 \le z \le 10^9\)) — количество точек и ограничение на дистанцию между соединяемыми точками, соответственно.

Вторая строка содержит \(n\) целых чисел \(x_1\), \(x_2\), ..., \(x_n\) (\(1 \le x_i \le 10^9\)).

Выходные данные

Выведите одно целое число — максимальное количество пар точек, которое вы можете соединить друг с другом.

Примечание

В первом примере вы можете соединить точку \(1\) с точкой \(2\) (\(|3 - 1| \ge 2\)), и точку \(3\) с точкой \(4\) (\(|7 - 3| \ge 2\)).

Во втором примере вы можете соединить точку \(1\) с точкой \(3\) (\(|5 - 10| \ge 5\)).

E. Минимальный массив

Бинарный поиск Структуры данных жадные алгоритмы *1700

Вам даны два массива \(a\) и \(b\), в каждом из которых по \(n\) элементов. Все элементы не меньше \(0\) и не больше \(n-1\).

Вы можете переставить элементы массива \(b\) (можно и оставить порядок тем же самым). После этого будет создан новый массив \(c\) из элементов \(n\), \(i\)-й элемент которого равен \(c_i = (a_i + b_i) \% n\), где \(x \% y\) — остаток от деления \(x\) на \(y\).

Ваше задание — переставить элементы массива \(b\) таким образом, чтобы получить лексикографически минимальный массив \(c\).

Массив \(x\) длины \(n\) лексикографически меньше, чем массив \(y\) длины \(n\), если существует такой индекс \(i\) (\(1 \le i \le n\)), что \(x_i < y_i\), и для всех индексов \(j\) (\(1 \le j < i\)) \(x_j = y_j\).

Входные данные

В первой строке записано одно целое число \(n\) (\(1 \le n \le 2 \cdot 10^5\)) — количество элементов в \(a\), \(b\) и \(c\).

Во второй строке записаны \(n\) целых чисел \(a_1, a_2, \dots, a_n\) (\(0 \le a_i < n\)), где \(a_i\)\(i\)-й элемент массива \(a\).

В третьей строке записаны \(n\) целых чисел \(b_1, b_2, \dots, b_n\) (\(0 \le b_i < n\)), где \(b_i\)\(i\)-й элемент массива \(b\).

Выходные данные

Выведите лексикографически минимальный массив \(c\). Напоминаем, ваша задача состоит в том, чтобы переставить элементы массива \(b\) и получить лексикографически минимальный массив \(c\), где \(i\)-й элемент \(c\) — это \(c_i = (a_i + b_i) \% n\).

A. Праздник и конфеты

Бинарный поиск Конструктив математика реализация *1500 жадные алгоритмы сортировки

На праздник пришло \(n\) мальчиков и \(m\) девочек. Каждый мальчик подарил каждой девочке некоторое целое количество конфет (возможно ноль). Пронумеруем мальчиков целыми числами от \(1\) до \(n\) и девочек целыми числами от \(1\) до \(m\). Для всех \(1 \leq i \leq n\) минимальное количество конфет, которое подарил мальчик с номером \(i\) какой-то девочке равно \(b_i\) и для всех \(1 \leq j \leq m\) максимальное количество конфет, которое получила девочка с номером \(j\) от какого-то мальчика равно \(g_j\).

Более формально, Обозначим за \(a_{i,j}\) количество конфет, которое \(i\)-й мальчик подарил \(j\)-й девочке. Тогда \(b_i\) равно минимуму среди значений \(a_{i,1}, a_{i,2}, \ldots, a_{i,m}\) И \(g_j\) равно максимуму среди значений \(b_{1,j}, b_{2,j}, \ldots, b_{n,j}\).

Вам стало интересно, какое минимальное суммарное количество конфет могли подарить мальчики, то есть вы хотите минимизировать сумму \(a_{i,j}\) по всем таким \((i,j)\), что \(1 \leq i \leq n\) и \(1 \leq j \leq m\). По числам \(b_1, \ldots, b_n\) и \(g_1, \ldots, g_m\) определите это число.

Входные данные

В первой строке находятся два целых числа \(n\) и \(m\), разделенные пробелом — количество мальчиков и девочек, соответственно (\(2 \leq n, m \leq 100\,000\)). Во второй строке находятся \(n\) целых чисел \(b_1, \ldots, b_n\), разделенных пробелами — \(b_i\) равно минимальному количеству конфет, подаренных \(i\)-м мальчиком какой-то девочке (\(0 \leq b_i \leq 10^8\)). В третьей строке находятся \(m\) целых чисел \(g_1, \ldots, g_m\), разделенных пробелами — \(g_j\) равно максимальному количеству конфет, полученному \(j\)-й девочкой от какого-то мальчика (\(0 \leq g_j \leq 10^8\)).

Выходные данные

Если не могло быть такой ситуации выведите \(-1\). Иначе выведите минимальное суммарное количество конфет, которое могли подарить мальчики и при этом все условия были бы выполнены.

Примечание

В первом тесте минимальное суммарное количество конфет, которое могли подарить мальчики равно \(12\). Такое могло быть, например, если первый мальчик подарит \(1\) и \(4\) конфеты, второй мальчик подарит \(3\) и \(2\) конфеты и третий мальчик подарит \(1\) и \(1\) конфету первой и второй девочке, соответственно. Легко видеть, что все условия выполнены и суммарно будет подарено \(12\) конфет.

Во втором тесте мальчики не могли подарить конфеты так, чтобы условия были выполнены.

В третьем тесте минимальное суммарное количество конфет, которое могли подарить мальчики равно \(4\). Такое могло быть, например, если первый мальчик подарит \(1\), \(1\), \(2\) конфет первой, второй и третьей девочке, соответственно, а второй мальчик не подарит никому конфет. Легко видеть, что все условия выполнены и суммарно будет подарено \(4\) конфеты.

E. Странный прибор

Бинарный поиск Деревья математика интерактив *3400

Это интерактивная задача.

Вася обожает решать загадки и разгадывать головоломки. На этот раз он нашел странный прибор и хочет выяснить принцип его работы.

Этот прибор зашифрован с помощью дерева (связного неориентированного графа без циклов), состоящего из \(n\) вершин, пронумерованных целыми числами от \(1\) до \(n\). Чтобы решить головоломку надо угадать это дерево.

К счастью прибор умеет выполнять одну операцию, исходя из которой надо разгадать его шифр. Можно ввести в прибор последовательность \(d_1, d_2, \ldots, d_n\) целых неотрицательных чисел. На приборе есть \(n\) лампочек, \(i\)-я из которых отвечает за \(i\)-ю вершину дерева-шифра. Для всех \(i\) из этих лампочек \(i\)-я загорится, если существует такая вершина дерева-шифра с номером \(j \neq i\), что \(dist(i, j) \leq d_j\). Здесь \(dist(i, j)\) обозначает расстояние между вершинами \(i\) и \(j\) в дереве-шифре, то есть количество ребер в простом пути между вершинами \(i\) и \(j\).

Вася хочет за \(\leq 80\) операций с прибором решить головоломку и угадать дерево-шифр. Помогите ему!

Протокол взаимодействия

В начале вашей программе вводится единственное целое число \(n\) — количество вершин в дереве-шифре прибора (\(2 \leq n \leq 1000\)).

Далее вы можете выполнять операции в следующем формате. Сначала выведите символ "?" (без кавычек) и за ним \(n\) целых чисел \(d_1, d_2, \ldots, d_n\), разделенных пробелами. Заметьте, что в операциях для всех \(i\) должно быть выполнено неравенство \(0 \leq d_i < n\). В ответ будет выведена строка \(s\) длины \(n\), состоящая из символов "0" и "1" (без кавычек). Для всех \(i\) символ \(s_i\) будет равен "0", если у прибора не включилась лампочка, соответствующая \(i\)-й вершине дерева-шифра и "1", иначе.

После нескольких запросов вы должны вывести угаданное дерево. Для этого в первой строке выведите единственный символ "!" (без кавычек). В следующих \(n-1\) строках выведите по \(2\) целых числа \(a_i\), \(b_i\) — номера вершин, соединяющих \(i\)-е ребро дерева. Выведенные числа должны удовлетворять условиям \(1 \leq a_i, b_i \leq n\) и \(a_i \neq b_i\). Эти ребра должны образовывать дерево, совпадающее с загаданным. Выводить ребра можно в любом порядке. После этого ваша программа должна завершиться.

Гарантируется, что в каждом тесте дерево-шифр будет зафиксировано заранее и не будет меняться в зависимости от выполняемых операций.

Ваша программа может выполнить от \(0\) до \(80\) операций с прибором и после этого сообщить дерево, совпадающее с загаданным.

Если ваша программа сделает больше \(80\) операций, то она может получить любой вердикт, потому что будет считывать данные из закрытого потока ввода. Также, если ваша программа сделает операцию или выведет ответ в неверном формате, она может получить любой вердикт. Будьте внимательны.

Не забудьте сбрасывать буфер вывода после того, как выведете данные для операции или ответ.

Чтобы сбросить буфер вывода вы можете использовать:

  • fflush(stdout) в C++.
  • System.out.flush() в Java.
  • stdout.flush() в Python.
  • flush(output) в Pascal.
  • Прибегните к документации других языков.

Взломы:

Первая строка должна содержать единственное целое число \(n\) — количество вершин в дереве-шифре (\(2 \leq n \leq 1000\)). Следующая \(n-1\) строка должна содержать по \(2\) целых числа \(a_i\), \(b_i\) — номера вершин, соединяющих \(i\)-е ребро дерева (\(1 \leq a_i, b_i \leq n\), \(a_i \neq b_i\)). Выведенные ребра должны образовывать дерево. Будьте внимательны, лишние пробелы или переводы строк запрещены.

Примечание

Дерево-шифр из первого теста выглядит так:

Таблица попарных расстояний между вершинами выглядит так:

  • Если сделать операцию, в которой \(d = [0, 0, 0, 0, 0]\), то ни одна лампочка не загорится, потому что \(dist(i, j) > 0\) при всех \(i \neq j\).
  • Если сделать операцию, в которой \(d = [1, 1, 2, 0, 2]\), то загорятся все лампочки, кроме лампочки, соответсвующей вершине дерева-шифра с номером \(3\). Например, лампочка, соответсвующая вершине с номером \(1\) загорится, потому что \(dist(1, 5) = 1 \leq 2 = d_5\).
  • Если сделать операцию, в которой \(d = [0, 0, 0, 1, 0]\), то загорятся все лампочки, кроме лампочек, соответсвующих вершинам дерева-шифра с номерами \(4\) и \(5\).
  • Если сделать операцию, в которой \(d = [0, 1, 0, 0, 1]\), то загорятся только лампочки, соответсвующие вершинам дерева-шифра с номерами \(1\) и \(4\).

F1. Микротранзакции (упрощенная версия)

Бинарный поиск *2000 жадные алгоритмы

Единственное отличие между легкой и сложной версиями — ограничечния.

Иван играет в компьютерную игру, содержащую микротранзакции для улучшения внешнего вида персонажей. Так как Иван хочет, чтобы его персонаж выглядел очень круто, он хочет использовать некоторые из этих микротранзакций — и он не хочет начинать играть до того момента, пока не получит их все.

Каждый день (с утра) Иван зарабатывает ровно один бурль.

Всего в игре есть \(n\) типов микротранзакций. Каждая микротранзакция обычно стоит \(2\) бурля и \(1\) бурль, если она на распродаже. Иван хочет использовать ровно \(k_i\) микротранзакций \(i\)-го типа (он покупает микротранзакции вечером).

Иван может использовать любое (возможно, нулевое) количество микротранзакций любых типов в течение любого дня (конечно, если ему хватает денег, чтобы это сделать). Если микротранзакция, которую он хочет использовать, находится на распродаже, то он может использовать ее за \(1\) бурль, иначе он может использовать ее за \(2\) бурля.

Также в игровом магазине есть \(m\) специальных предложений. \(j\)-е предложение \((d_j, t_j)\) означает, что микротранзакции \(t_j\)-го типа находятся на распродаже в течение \(d_j\)-го дня.

Иван хочет использовать все микротранзакции как можно раньше. Ваша задача — найти минимальный номер дня, когда он сможет использовать все микротранзакции, которые он хочет, и действительно сможет начать играть.

Входные данные

Первая строка входных данных содержит два целых числа \(n\) и \(m\) (\(1 \le n, m \le 1000\)) — количество типов микротранзакций и количество специальных предложений в игровом магазине.

Вторая строка входных данных содержит \(n\) целых чисел \(k_1, k_2, \dots, k_n\) (\(0 \le k_i \le 1000\)), где \(k_i\) означает количество копий микротранзакции \(i\)-го типа, которое Иван хочет использовать. Гарантируется, что сумма всех \(k_i\) не меньше \(1\) и не больше \(1000\).

Следующие \(m\) строк содержат специальные предложения. \(j\)-я из этих строк содержит \(j\)-е специальное предложение. Оно задано в виде пары целых чисел \((d_j, t_j)\) (\(1 \le d_j \le 1000, 1 \le t_j \le n\)) и означает, что микротранзакции \(t_j\)-го типа находятся на распродаже в течение \(d_j\)-го дня.

Выходные данные

Выведите одно целое число — минимальный номер дня, когда Иван сможет использовать все микротранзакции, которые он хочет, и действительно сможет начать играть.

F2. Микротранзакции (усложненная версия)

Бинарный поиск реализация *2000 жадные алгоритмы

Единственное отличие между легкой и сложной версиями — ограничечния.

Иван играет в компьютерную игру, содержащую микротранзакции для улучшения внешнего вида персонажей. Так как Иван хочет, чтобы его персонаж выглядел очень круто, он хочет использовать некоторые из этих микротранзакций — и он не хочет начинать играть до того момента, пока не получит их все.

Каждый день (с утра) Иван зарабатывает ровно один бурль.

Всего в игре есть \(n\) типов микротранзакций. Каждая микротранзакция обычно стоит \(2\) бурля и \(1\) бурль, если она на распродаже. Иван хочет использовать ровно \(k_i\) микротранзакций \(i\)-го типа (он покупает микротранзакции вечером).

Иван может использовать любое (возможно, нулевое) количество микротранзакций любых типов в течение любого дня (конечно, если ему хватает денег, чтобы это сделать). Если микротранзакция, которую он хочет использовать, находится на распродаже, то он может использовать ее за \(1\) бурль, иначе он может использовать ее за \(2\) бурля.

Также в игровом магазине есть \(m\) специальных предложений. \(j\)-е предложение \((d_j, t_j)\) означает, что микротранзакции \(t_j\)-го типа находятся на распродаже в течение \(d_j\)-го дня.

Иван хочет использовать все микротранзакции как можно раньше. Ваша задача — найти минимальный номер дня, когда он сможет использовать все микротранзакции, которые он хочет, и действительно сможет начать играть.

Входные данные

Первая строка входных данных содержит два целых числа \(n\) и \(m\) (\(1 \le n, m \le 2 \cdot 10^5\)) — количество типов микротранзакций и количество специальных предложений в игровом магазине.

Вторая строка входных данных содержит \(n\) целых чисел \(k_1, k_2, \dots, k_n\) (\(0 \le k_i \le 2 \cdot 10^5\)), где \(k_i\) означает количество копий микротранзакции \(i\)-го типа, которое Иван хочет использовать. Гарантируется, что сумма всех \(k_i\) не меньше \(1\) и не больше \(2 \cdot 10^5\).

Следующие \(m\) строк содержат специальные предложения. \(j\)-я из этих строк содержит \(j\)-е специальное предложение. Оно задано в виде пары целых чисел \((d_j, t_j)\) (\(1 \le d_j \le 2 \cdot 10^5, 1 \le t_j \le n\)) и означает, что микротранзакции \(t_j\)-го типа находятся на распродаже в течение \(d_j\)-го дня.

Выходные данные

Выведите одно целое число — минимальный номер дня, когда Иван сможет использовать все микротранзакции, которые он хочет, и действительно сможет начать играть.

C. Легенда о двух королевствах

Бинарный поиск *1500 сортировки

В легенде об образовании Векторляндии говорится о двух целых числах \(x\) и \(y\). Несколько веков назад король массивов поставил две отметки в точки \(|x|\) и \(|y|\) на числовой прямой, захватил всю землю между ними (включая границы) и назвал ее Массивляндией. Спустя много лет король векторов поставил две отметки в точки \(|x - y|\) и \(|x + y|\), захватил всю землю между ними (включая границы) и назвал ее Векторляндией. Все знают, что вся земля Массивляндии лежала внутри или на границе Векторляндии.

Выражение \(|z|\) обозначает абсолютное значение числа \(z\).

На экзамене по истории Жозе попался следующий вопрос: «Каковы значения \(x\) и \(y\)?». Жозе не знает ответа на этот вопрос, но он думает, что сузил количество вариантов ответа до \(n\) целых чисел \(a_1, a_2, \dots, a_n\). Он хочет узнать число таких неупорядоченных пар двух различных чисел из этих \(n\), что легенда могла быть верной, если \(x\) и \(y\) были равны этим числам. Возможно также, что Жозе неправ и никакая пара чисел не удовлетворяет легенде.

Входные данные

Первая строка содержит одно целое число \(n\) (\(2 \le n \le 2 \cdot 10^5\))  — количество вариантов.

Вторая строка содержит \(n\) различных целых чисел \(a_1, a_2, \dots, a_n\) (\(-10^9 \le a_i \le 10^9\)) — варианты, которые рассматривает Жозе.

Выходные данные

Выведите одно целое число — число различных неупорядоченных пар \(\{x, y\}\), выбранных из вариантов Жозе, которые не противоречат легенде.

Примечание

Рассмотрим первый пример. Для пары \(\{2, 5\}\) ситуация показана на рисунке ниже. Границы Массивляндии находятся в точках \(|2| = 2\) и \(|5| = 5\), а границы Векторляндии — в точках \(|2 - 5| = 3\) и \(|2 + 5| = 7\):

Видно, что такой случай противоречит легенде, потому что земля в отрезке \([2, 3]\) не принадлежит Векторляндии. Для пары чисел \(\{5, -3\}\) ситуация показана на рисунке ниже. Массивляндия находится на отрезке \([3, 5]\), а Векторляндия — на отрезке \([2, 8]\):

В этом случае противоречия легенде нет, ведь Векторляндия полностью содержит Массивляндию. Можно также показать, что нет противоречия легенде и для пары \(\{2, -3\}\), то есть всего для двух пар.

Во втором примере единственно возможная пара — это \(\{3, 6\}\), и легенда выглядит так:

Обратите внимание, несмотря на то, что Массивляндия и Векторляндия имеют общую границу в точке \(3\), мы все равно считаем, что Массивляндия лежит полностью внутри Векторляндии.

D. Милые последовательности

Бинарный поиск Перебор математика жадные алгоритмы *2200

Пусть зафиксировано целое положительное число \(m\). Мы называем последовательность \(x_1, x_2, \dots, x_n\) положительных чисел \(m\)-милой, если для всех индексов \(i\) таких, что \(2 \le i \le n\), выполняется \(x_i = x_{i - 1} + x_{i - 2} + \dots + x_1 + r_i\), где \(r_i\) — некоторое положительное целое число, удовлетворяющее \(1 \le r_i \le m\).

Вам даны \(q\) запросов, каждый из которых описывается тремя целыми числами \(a\), \(b\) и \(m\). Для каждого запроса нужно определить, существует ли \(m\)-милая последовательность, первый член которой равен \(a\), а последний равен \(b\). Если такая последовательность существует, вы должны найти пример такой последовательности.

Входные данные

Первая строка содержит одно целое число \(q\) (\(1 \le q \le 10^3\)) — количество запросов.

Каждая из следущих \(q\) строк содержит три целых числа \(a\), \(b\) и \(m\) (\(1 \le a, b, m \le 10^{14}\), \(a \leq b\)), описывающих один запрос.

Выходные данные

Для каждого запроса, если \(m\)-милой последовательности, первый член которой равен \(a\), а последний — \(b\) не существует, выведите \(-1\).

Иначе выведите целое число \(k\) (\(1 \le k \leq 50\)), а затем \(k\) целых чисел \(x_1, x_2, \dots, x_k\) (\(1 \le x_i \le 10^{14}\)). Должно быть выполнено \(x_1 = a\), \(x_k = b\), а последовательность \(x_1, x_2, \dots, x_k\) должна быть \(m\)-милой.

Можно показать, что в пределах ограничений данной задачи для каждого запроса либо не существует \(m\)-милой последовательности, либо существует такая, которая содержит не более \(50\) членов.

Если существуют несколько решений, выведите любое из них.

Примечание

Рассмотрим первый пример. В первом запросе последовательность \(5, 6, 13, 26\) корректно, так как \(6 = 5 + \bf{\color{blue} 1}\), \(13 = 6 + 5 + {\bf\color{blue} 2}\), и \(26 = 13 + 6 + 5 + {\bf\color{blue} 2}\). Все выделенные жирным значения лежат в пределах от \(1\) до \(2\), поэтому последовательность является \(2\)-милой. Существуют и другие коррестные последовательности, например, \(5, 7, 13, 26\), они тоже будут приняты.

Во втором примере единственная \(1\)-милая последовательность, начинающаяся с \(3\), это \(3, 4, 8, 16, \dots\), она не содержит числа \(9\).

E. Удаление отрезка

Бинарный поиск Структуры данных Комбинаторика *2100

Вам задан массив, состоящий из \(n\) целых чисел \(a_1, a_2, \dots , a_n\) и целое число \(x\). Гарантируется, что для любого \(i\) выполняется \(1 \le a_i \le x\).

Функция \(f(l, r)\) удаляет все числа из массива \(a\), для которых выполняется \(l \le a_i \le r\), и возвращает полученный массив. Например, если \(a = [4, 1, 1, 4, 5, 2, 4, 3]\), тогда \(f(2, 4) = [1, 1, 5]\).

Вам нужно посчитать количество пар \((l, r)\), таких, что \(1 \le l \le r \le x\) и массив \(f(l, r)\) отсортирован в порядке неубывания. Обратите внимание, что пустой массив тоже считается отсортированным.

Входные данные

Первая строка содержит два числа \(n\) и \(x\) (\(1 \le n, x \le 10^6\)) — длина массива \(a\) и верхнее ограничение на его значения, соответственно.

Вторая строка содержит \(n\) чисел \(a_1, a_2, \dots a_n\) (\(1 \le a_i \le x\)).

Выходные данные

Выведите количество пар \(1 \le l \le r \le x\), таких, что массив \(f(l, r)\) отсортирован в порядке неубывания.

Примечание

В первом тестовом примере подходящие пары — это \((1, 1)\), \((1, 2)\), \((1, 3)\) и \((2, 3)\).

Во втором тестовом примере подходящие пары — это \((1, 3)\), \((1, 4)\), \((2, 3)\), \((2, 4)\), \((3, 3)\) и \((3, 4)\).

A. Возрастание по модулю

Бинарный поиск жадные алгоритмы *1700

У жабы Зитца есть массив целых чисел, каждое число в нем находится в пределах от \(0\) до \(m-1\) включительно. Это числа \(a_1, a_2, \ldots, a_n\).

За одну операцию Зитц может выбрать целое число \(k\) и \(k\) таких индексов \(i_1, i_2, \ldots, i_k\), что \(1 \leq i_1 < i_2 < \ldots < i_k \leq n\). Затем он должен заменить \(a_{i_j}\) на \(((a_{i_j}+1) \bmod m)\) для каждого выбранного индекса \(i_j\). Целое число \(m\) фиксировано для всех операций и индексов.

Здесь \(x \bmod y\) обозначает остаток от деления \(x\) на \(y\).

Зитц хочет сделать массив неубывающим за минимальное количество таких операций. Найдите это минимальное число операций.

Входные данные

В первой строке записано два целых числа \(n\) и \(m\) (\(1 \leq n, m \leq 300\,000\)) — количество чисел в массиве и параметр \(m\).

В следующей строке записаны \(n\) целых чисел, разделенных пробелами \(a_1, a_2, \ldots, a_n\) (\(0 \leq a_i < m\)) — данный массив.

Выходные данные

Выведите одно целое число: минимальное количество описанных операций, которое должен сделать Зитц, чтобы сделать его массив неубывающим. Если делать операций не требуется, выведите \(0\).

Легко показать, что такими операциями Зитц всегда может сделать массив неубывающим.

Примечание

В первом примере массив уже не убывает, поэтому ответ \(0\).

Во втором примере вы можете выбрать \(k=2\), \(i_1 = 2\), \(i_2 = 5\), массив станет \([0,0,1,3,3]\). Он неубывающий, поэтому ответ \(1\).

E. Раздвижные двери

Бинарный поиск *особая задача

Представьте, вы — директор крупной традиционной компании. И, в отличие от современных передовых компаний (таких как JetBrains), в вашей введен дресс-код. Поэтому вы уже подготовили под раздевалку для сотрудников просторную комнату. Более того, вы успели приобрести \(m\)-секционный шкаф, в котором ваши сотрудники будут хранить свои вещи. А точнее, \(i\)-й сотрудник хранит свои принадлежности в \(i\)-й секции (разумеется, все секции имеют равные размеры).

Однако возникла проблема: у шкафа раздвижные двери! А именно, в шкаф встроенно \(n\) дверей (пронумерованных слева направо) и \(j\)-я дверь имеет ширину, равную \(a_j\) секций шкафа. Но при этом, все двери установлены на одних направляющих.

Крайне схематичный пример шкафа: \(m=9\), \(n=2\), \(a_1=2\), \(a_2=3\).

Проблема же в следующем: иногда, чтобы открыть некоторые секции приходится перекрывать другие (так как двери ходят по одним направляющим). Например, представим \(4\)-секционный шкаф (т.е. \(m=4\)) с \(n=2\) одинарными дверями (т.е. \(a_1=a_2=1\)) и вам надо открыть \(1\)-ю и \(3\)-ю секции — вам придется перекрыть \(2\)-ю и \(4\)-ю секции.

Будучи директором, вы имеете на руках полное расписание на следующие \(q\) дней. И теперь вас интересует следующий вопрос: смогут ли все сотрудники, кто придет в \(k\)-й день, открыть свои секции одновременно.

Входные данные

В первой строке заданы два целых числа \(n\) и \(m\) (\(1 \le n \le 2 \cdot 10^5\), \(1 \le m \le 4 \cdot 10^5\)) — количество дверей и секций соответственно.

Во второй строке заданы \(n\) целых чисел \(a_1, a_2, \dots, a_n\) (\(1 \le a_i \le m\), \(\sum{a_i} \le m\)) — соответствующая ширина дверей.

В третьей строке задано единственное целое число \(q\) (\(1 \le q \le 2 \cdot 10^5\)) — количество дней, которые вам необходимо обработать.

В следующих \(q\) строках заданы расписания каждого дня. Каждое расписание представляет из себя целое число \(c_k\) и следующие за ним \(c_k\) целых чисел \(w_1, w_2, \dots, w_{c_k}\) (\(1 \le c_k \le 2 \cdot 10^5\), \(1 \le w_1 < w_2 < \dots < w_{c_k} \le m\)) — количество сотрудников, которые придут в \(k\)-й день, и их номера в возрастающем порядке.

Гарантируется, что \(\sum{c_k}\) не превосходит \(2 \cdot 10^5\).

Выходные данные

Выведите \(q\) ответов. Каждый ответ — это «YES» или «NO» (без учета регистра). Выведите «YES» если все сотрудники, которые придут в текущий день, смогут открыть свои секции одновременно.

F. Колеса

Бинарный поиск *особая задача жадные алгоритмы

У Поликарпа есть \(n\) колес и машина с \(m\) колесами. Изначальное давление в \(i\)-м колесе равно \(a_i\).

Цель Поликарпа — взять ровно \(m\) колес среди заданных \(n\) колес и приравнять давления в них (тогда он сможет поставить эти колеса на свою машину и затем использовать ее для поездок). За одну минуту он может уменьшить или увеличить давление в любом (одном) колесе на \(1\). Он может увеличивать давление суммарно не более, чем \(k\) раз, потому что накачивать колеса — тяжелая работа.

Помогите Поликарпу и найдите минимальное количество минут, которое ему нужно потратить на то, чтобы приравнять давления хотя бы в \(m\) колесах среди заданных \(n\) колес.

Входные данные

Первая строка входных данных содержит три целых числа \(n, m\) и \(k\) (\(1 \le m \le n \le 2 \cdot 10^5, 0 \le k \le 10^9\)) — количество колес, количество колес в машине и количество раз, которое суммарно Поликарп может увеличить давление на \(1\).

Вторая строка входных данных содержит \(n\) целых чисел \(a_1, a_2, \dots, a_n\) (\(1 \le a_i \le 10^9\)), где \(a_i\) равно давлению в \(i\)-м колесе.

Выходные данные

Выведите одно целое число — минимальное количество минут, которое Поликарпу нужно потратить на то, чтобы приравнять давления хотя бы в \(m\) колесах среди заданных \(n\) колес.

C. Электрификация

Бинарный поиск Перебор *1600 жадные алгоритмы

Поначалу у задачи была легенда, связанная с ее названием, но было решено оставить только формальное условие.

Вам заданы \(n\) точек \(a_1, a_2, \dots, a_n\) на оси \(OX\). И теперь вам необходимо найти такую целочисленную точку \(x\) (также на оси \(OX\)), что значение \(f_k(x)\) — минимально возможное.

Функцию \(f_k(x)\) можно описать следующим образом:

  • создадим список расстояний \(d_1, d_2, \dots, d_n\) где \(d_i = |a_i - x|\) (т.е. расстояние между \(a_i\) и \(x\));
  • отсортируем список \(d\) в неубывающем порядке;
  • возьмем в качестве результата значение \(d_{k + 1}\).

Если существует несколько оптимальных ответов, выведите любой.

Входные данные

В первой строке задано единственное число \(T\) (\( 1 \le T \le 2 \cdot 10^5\)) — количество запросов. Следующие \(2 \cdot T\) строк содержат описание запросов. Запросы независимы.

В первой строке каждого запроса заданы два целых числа \(n\), \(k\) (\(1 \le n \le 2 \cdot 10^5\), \(0 \le k < n\)) — количество точек и константа \(k\).

Во второй строке заданы \(n\) целых чисел \(a_1, a_2, \dots, a_n\) (\(1 \le a_1 < a_2 < \dots < a_n \le 10^9\)) — точки в возрастающем порядке.

Гарантируется, что \(\sum{n}\) не превосходит \(2 \cdot 10^5\).

Выходные данные

Выведите \(T\) целых чисел — соответствующие точки \(x\), которые имеют минимально возможное значение \(f_k(x)\). Если существует несколько ответов — выведите любой из них.

B. Последовательность цифр (усложнённая версия)

Бинарный поиск реализация *1800 разделяй и властвуй

Выпишем подряд без каких-либо разделителей все целые числа от \(1\) и далее (то есть выпишем в одну строку). В результате получится последовательность цифр, которая начинается вот так: 123456789101112131415161718192021222324252627282930313233343536...

Ваша задача вывести \(k\)-ю цифру в этой последовательности.

Входные данные

В первой и единственной строке записано целое \(k\) (\(1 \le k \le 10^{12}\)) — индекс цифры (индексы нумеруются от \(1\)).

Выходные данные

Выведите \(k\)-ю цифру построенной бесконечной последовательности цифр.

H. Фондовая биржа

Бинарный поиск Потоки графы *3500

Предупреждение: в этой задаче необычное ограничение по памяти!

Боб решил, что он не будет тратить свои лучшие года, создавая программное обеспечение для больших компаний, а вместо этого он будет зарабатывать на хлеб на Рейкьявикской фондовой бирже. Рейкьявикская фондовая биржа — единственная настоящая фондовая биржа в мире. Там есть только один вид транзакций — взять одну акцию вида \(x\) и обменять ее на другую акцию вида \(y\), но это можно сделать, только если цена акции \(x\) не меньше цены акции \(y\).

Всего есть \(2n\) видов акций, пронумерованных от \(1\) до \(2n\), которые интересны Бобу. У Боба есть по одной акции видов от \(1\) до \(n\), а хотел бы в будущем владеть по одной акции видов от \(n+1\) до \(2n\).

Боб смог спрогнозировать цену каждой акции — в момент времени \(t \geq 0\) одна акция вида \(i\) будет стоить \(a_i \cdot \lfloor t \rfloor + b_i\). Сейчас \(t = 0\). Помогите Бобу найти минимально возможный момент времени, когда он сможет владеть по одной акции видов от \(n+1\) до \(2n\) и минимальное количество транзакций, которые нужно совершить, чтобы получить эти акции.

Можете считать, что фондовая биржа имеет неограниченное количество акций каждого вида в любой момент времени.

Входные данные

Первая строка содержит одно целое число \(n\) (\(1 \leq n \leq 2200\)) — количество видов акций, которые есть у Боба.

Каждая из следующих \(2n\) строк содержит два целых числа \(a_i\) и \(b_i\) (\(0 \leq a_i, b_i \leq 10^9\)) — параметры изменения цены \(i\)-го вида акций.

Выходные данные

Если Боб не может достичь своей цели, то выведите \(-1\).

Иначе выведите два целых числа \(T\) и \(E\), где \(T\) — минимальное возможное время, когда Боб может достичь своей цели, а \(E\) — минимальное количество транзакций, необходимых для достижения цели в момент времени \(T\).

Примечание

В первом примере Боб может просто ждать, когда будет \(t = 3\) и обе акции будут иметь одинаковую цену, и сделать транзакцию.

Во втором примере оптимальная стратегия выглядит так: нужно обменять акцию вида \(2\) на акцию вида \(1\) в момент времени \(t = 1\), после этого нужно обменять первую акцию вида \(1\) на акцию вида \(3\) в момент времени \(t = 5\) (когда они обе стоят \(15\)), а вторую в момент времени \(t = 6\) обменять на акцию вида \(4\) (когда они стоят \(18\) и \(17\) соответственно). Обратите внимание, что он может достичь своей цели за две транзакции, но это он может сделать только в момент времени \(t = 9\), когда он наконец сможет обменять акцию вида \(2\) на акцию вида \(3\).

В третьем примере Боб никогда не сможет достичь своей цели, так как акция второго вида всегда дороже акции первого.

C. Сергей и школьная столовая

Бинарный поиск Паросочетания Деревья Структуры данных математика реализация жадные алгоритмы *2200

Сергей пришел в школьную столовую и с ужасом обнаружил, что там уже очередь из целых \(m\) человек! Теперь он не уверен, стоит ли дожидаться конца этой очереди, поэтому хочет узнать, какое же блюдо ему достанется, если он это сделает. Так как Сергей устал после занятий, он попросил вас посчитать это за него.

Всего в столовой есть \(n\) блюд со стоимостями \(a_1, a_2, \ldots, a_n\). Также есть очередь из \(m\) человек, у которых есть \(b_1, \ldots, b_m\) тугриков (школьники пронумерованы в том же порядке, как они стоят в очереди, то есть \(b_1\) означает, сколько тугриков у школьника, который стоит в очереди первым, а \(b_m\) — сколько у школьника, стоящего последним).

Считается, что чем дороже блюдо, тем оно вкуснее, поэтому каждый школьник, когда подходит его очередь, просто покупает самое дорогое блюдо, на которое у него хватит денег (каждое блюдо в столовой есть только в одном экземпляре, поэтому после того, как один школьник купил блюдо, его уже никто не может купить), если же денег не хватает ни на одно из блюд, школьник так и уходит голодным (жестокий капитализм).

Но для Сергея деньги не проблема, поэтому, когда подойдет его очередь, он, если еще не уйдет, просто купит самое дорогое из оставшихся блюд.

Еще в школе Сергея сейчас нестабильная экономическая ситуация, поэтому, иногда могут изменяться стоимости некоторых блюд или количество денег у некоторых школьников. Поэтому вам нужно обработать \(q\) запросов двух типов:

  • изменить \(a_i\) на \(x\). То есть стоимость \(i\) блюда становится равна \(x\).
  • изменить \(b_i\) на \(x\). То есть у \(i\) школьника становится \(x\) тугриков.

После каждого запроса нужно вывести стоимость блюда, которое получит Сергей, если дождется своей очереди, или \(-1\), если к этому моменту уже ничего не останется.

Входные данные

В первой строке вводятся числа \(n\) и \(m\) (\(1 \leq n, m \leq 300\ 000\)) — количество блюд и количество школьников в очереди. Во второй строке вводятся \(n\) целых чисел \(a_1, a_2, \ldots, a_n\) (\(1 \leq a_i \leq 10^{6}\)) — элементы массива \(a\). В третьей строке вводятся \(m\) целых чисел \(b_1, b_2, \ldots, b_{m}\) (\(1 \leq b_i \leq 10^{6}\)) — элементы массива \(b\). В четвертой строке вводится целое число \(q\) (\(1 \leq q \leq 300\ 000\)) — количество запросов.

В следующих \(q\) строках вводятся запросы одного из двух типов, по одному в строке:

  • если запрос первого типа, то вводится \(1\), затем вводятся целые числа \(i\) и \(x\) (\(1 \leq i \leq n\), \(1 \leq x \leq 10^{6}\)), что значит, что \(a_i\) становится равно \(x\).
  • если запрос второго типа, то вводится \(2\), затем вводятся целые числа \(i\) и \(x\) (\(1 \leq i \leq m\), \(1 \leq x \leq 10^{6}\)), что значит, что \(b_i\) становится равно \(x\).
Выходные данные

Выведите \(q\) строк, \(i\)-я из которых содержит ответ на вопрос Сергея после \(i\) изменения (стоимость блюда, которое получит Сергей, если дождется своей очереди, или \(-1\), если к этому моменту уже ничего не останется).

Примечание

В первом примере после первого запроса в столовой есть одно блюдо стоимостью \(100\) тугриков и один школьник с одним тугриком, поэтому Сергей купит блюдо со стоимостью \(100\).

Во втором примере после первого запроса есть одно блюдо со стоимостью один тугрик и один школьник, у которого есть \(100\) тугриков, поэтому Сергей ничего не получит.

В третьем примере после первого запроса никто не сможет купить блюдо стоимостью \(8\), так что его получит Сергей. После второго запроса все блюда уже будут куплены до того, как настанет очередь Сергея. После третьего запроса запросе третий и пятый школьники купят соответственно первое и второе блюдо, а четвертое уже не купит никто.

D. Ирригация

Бинарный поиск Деревья Структуры данных реализация сортировки *2200

Мальчика Мишу с юных лет волновали вопросы доставки воды. вот почему мама Миши отправила сына на ежегодную инновационную олимпиаду по ирригации (ИОИ). На этой олимпиаде школьники со всех концов Берляндии соревнуются в умении доставить воду для поливки растений самыми причудливыми способами. Проведение подобной олимпиады весьма затратно, поэтому спустя \(n\) первых проведений олимпиады было решено ввести правило, по которому будет определяться место проведения соревнования в следующий год.

Город для проведения олимпиады выбирается следующим образом: всего в Берляндии есть \(m\) городов, пронумерованных от \(1\) до \(m\), готовых принять соревнование. Каждый год олимпиада проводится в городе, в котором она проводилась наименьшее число раз. Если таких городов несколько, то олимпиада проводится в городе с наименьшим номером среди городов с минимальным числом проведений олимпиады.

Мишина мама очень волнуется за сына, поэтому её интересует, в каком городе будет проходить олимпиада в определённые годы. Единственная информация, которой располагает мама Миши, — места проведения олимпиады в первые \(n\) лет. Помогите маме Миши, и она попросит Мишу не залить вашу квартиру.

Входные данные

В первой строке заданы три целых числа \(n\), \(m\) и \(q\) (\(1 \leq n, m, q \leq 500\,000\)) — количество проведений олимпиады до введения правила, количество городов в Берляндии, готовых провести олимпиаду, и число лет, про которые маму Миши интересует место проведения олимпиады, соответственно.

В следующей строке содержится \(n\) целых чисел \(a_1, a_2, \ldots, a_n\) (\(1 \leq a_i \leq m\)), где \(a_i\) — номер города, в котором проводилась олимпиада в год \(i\). Обратите внимание, что до принятия правила место проведения олимпиады могло выбираться произвольным образом.

В следующих \(q\) строках заданы целые числа \(k_i\) (\(n + 1 \leq k_i \leq 10^{18}\)) — номера годов, для которых маму Миши интересует место проведения олимпиады.

Выходные данные

Выведите \(q\) целых чисел. В строке с номером \(i\) выведите одно целое число — место проведения олимпиады в год \(k_i\).

Примечание

В первом примере Мишина мама интересуется о первых \(10\) годах после принятия нового правила, в эти года олимпиада пройдёт в городах 4, 3, 4, 2, 3, 4, 1, 2, 3, 4.

Во втором примере после принятия нового правила олимпиада пройдёт в городах 2, 3, 1, 2, 3, 5, 1, 2, 3, 4, 5, 1.

F. Максимальный синус

Бинарный поиск Структуры данных теория чисел *2700

Вам даны числа \(a\), \(b\), \(p\) и \(q\). Пусть \(f(x) = \text{abs}(\text{sin}(\frac{p}{q} \pi x))\).

Найдите минимальное возможное целое число \(x\), которое максимизирует \(f(x)\), где \(a \le x \le b\).

Входные данные

Каждый тест содержит несколько тестовых случаев.

Первая строка содержит одно целое число \(t\) (\(1 \le t \le 100\)) — количество тестовых случаев.

Первая строка каждого теста содержит четыре целых числа \(a\), \(b\), \(p\) и \(q\) (\(0 \le a \le b \le 10^{9}\), \(1 \le p\), \(q \le 10^{9}\)).

Выходные данные

Для каждого теста в новой строке выведите минимально возможно целое число \(x\).

Примечание

В первом примере, \(f(0) = 0\), \(f(1) = f(2) \approx 0.866\), \(f(3) = 0\).

Во втором примере, \(f(55) \approx 0.999969\), которое максимально возможное число среди всех возможных чисел.

C. Компьютерная игра

Бинарный поиск математика *1400

Вова играет в компьютерную игру. Всего в игре есть \(n\) ходов и Вова очень хочет сыграть каждый из них. Изначальный заряд батареи его ноутбука (то есть заряд перед началом игры) равен \(k\).

В течение каждого хода Вова может выбрать, что именно делать:

  • Если текущий заряд батареи его ноутбука строго больше, чем \(a\), то Вова может просто играть, и тогда заряд батареи его ноутбука уменьшится на \(a\);
  • если текущий заряд батареи его ноутбука строго больше, чем \(b\) (\(b<a\)), то Вова может играть и заряжать свой ноутбук, и тогда заряд батареи его ноутбука уменьшится на \(b\);
  • если текущий заряд батареи его ноутбука меньше либо равен, чем \(a\) и \(b\) одновременно, то Вова не может сделать ничего и проигрывает игру.

Независимо от ходов Вовы заряд батареи ноутбука всегда уменьшается.

Вова хочет завершить игру (Вова может завершить игру, если после каждого из \(n\) ходов заряд батареи его ноутбука строго больше \(0\)). Вове необходимо сыграть ровно \(n\) ходов. Среди всех возможных способов завершить игру Вова хочет выбрать такой, в котором количество ходов, где он просто играет (ход первого типа) является максимально возможным. Также возможно, что Вова в принципе не может завершить игру.

Ваша задача — найти максимально возможное количество ходов, которое Вова может просто играть (делать ход первого типа) или сообщить, что Вова не может завершить игру.

Вам необходимо ответить на \(q\) независимых запросов.

Входные данные

Первая строка входных данных содержит одно целое число \(q\) (\(1 \le q \le 10^5\)) — количество запросов. Каждый запрос представлен единственной строкой.

Единственная строка запроса содержит четыре целых числа \(k, n, a\) и \(b\) (\(1 \le k, n \le 10^9, 1 \le b < a \le 10^9\)) — изначальный заряд батареи ноутбука Вовы, количество ходов в игре и значения \(a\) и \(b\), соответственно.

Выходные данные

Для каждого запроса выведите одно целое число: -1, если Вова не может завершить игру или же максимальное количество ходов, в которые Вова может просто играть (делать ход первого типа) в ином случае.

Примечание

В первом запросе тестового примера Вова может просто играть \(4\) хода и потратить \(12\) единиц заряда, а затем один ход играть и заряжать и потратить еще \(2\) единицы. Таким образом, оставшийся заряд батареи будет равен \(1\).

Во втором запросе тестового примера Вова не может завершить игру, потому что даже если он будет играть и заряжать батарею в течение каждого хода, то заряд батареи его ноутбука будет равен \(0\) после последнего хода.

B1. Доктор Встречает Вейдера (лёгкая)

Бинарный поиск *1400 сортировки

Хайди и Доктор Кто выскочили из ТАРДИС и обнаружили себя в EPFL в 2018 году. Они были окружены штормовиками, и к ним приближался Дарт Вейдер. Каким-то чудом им удалось сбежать на ближайшую базу повстанцев, но Доктор был сильно смущён происходящим. Хайди напомнила ему, что в прошлом году основной темой HC2 были Звёздные Войны. После чего Доктор всё понял и приготовился встретиться лицом к лицу со злом Империи.

У повстанцев было \(s\) космических кораблей, каждый с некоторой силой атаки \(a\).

Они хотят отправить свои корабли, чтобы разрушить некоторые базы империи и похитить достаточное количество золота и припасов, чтобы поддержать силы восстания.

У Империи есть \(b\) баз, каждая с некоторой силой защиты \(d\) и некоторым количеством золота \(g\).

Космический корабль может атаковать все базы, которые имеют силу защиты не превосходящую силу атаки корабля.

Если космический корабль атакует базу, то он похищает всё золото, которое там находилось.

Повстанцы не решили какой космический корабль отправить первым, так что они обратились за помощью к Доктору. Они бы хотели знать для каждого космического корабля максимальное количество золота, которое он может украсть.

Входные данные

Первая строка содержит целые числа \(s\) и \(b\) (\(1 \leq s, b \leq 10^5\)) — количество кораблей и количество баз.

Вторая строка содержит \(s\) целых чисел \(a\) (\(0 \leq a \leq 10^9\)) — силу атаки каждого корабля.

Следующие \(b\) строк содержат целые числа \(d, g\) (\(0 \leq d \leq 10^9\), \(0 \leq g \leq 10^4\)) — силу защиты и количество золота у каждой базы.

Выходные данные

Выведите \(s\) целых чисел — для каждого корабля во входных данных выведите максимальное количество золота, которое он может украсть.

Примечание

Первый космический корабль может атаковать только первую базу.

Второй космический корабль может атаковать первую и третью базу.

Третий космический корабль может атаковать первую, вторую и третью базы.

B. Магазин букв

Строки Бинарный поиск реализация *1300

Витрина магазина букв — это строка \(s\), состоящая из \(n\) строчных латинских букв. Как следует из названия, в магазине продаются буквы.

Буквы продают одну за другой последовательно от первой (самой левой) буквы до последней (самой правой). Любой покупатель может купить только некоторый префикс букв из строки \(s\).

Есть \(m\) друзей, \(i\)-го из них зовут \(t_i\). Каждый из них хочет оценить следующую величину: если он/а придёт в магазин и будет покупать буквы одну за другой с целью написать своё имя, то сколько букв (длина кратчайшего префикса) ей/ему придётся купить? Своё имя можно написать, если в наличии есть все буквы имени (в количестве равном или большем необходимого).

  • Например, если \(s\)arrayhead», а имя \(t_i\)arya», то придётся купить \(5\) букв. («arrayhead»).
  • Например, если \(s\)arrayhead», а имя \(t_i\)harry», то придётся купить \(6\) букв («arrayhead»).
  • Например, если \(s\)arrayhead», а имя \(t_i\)ray», то придётся купить \(5\) букв («arrayhead»).
  • Например, если \(s\)arrayhead», а имя \(t_i\)r», то придётся купить \(2\) буквы («arrayhead»).
  • Например, если \(s\)arrayhead», а имя \(t_i\)areahydra», то придётся купить все \(9\) буквы («arrayhead»).

Гарантируется, что каждый друг может написать свое имя, используя буквы из строки \(s\).

Обратите внимание, что ответы для друзей надо находить независимо (друзья только лишь оценивают ситуации, но не покупают буквы).

Входные данные

В первой строке записано одно целое число \(n\) (\(1 \le n \le 2 \cdot 10^5\)) — длина строки \(s\).

Во второй строке записана строка \(s\), она состоит из ровно \(n\) строчных латинских букв.

В третьей строке записано одно целое число \(m\) (\(1 \le m \le 5 \cdot 10^4\)) — количество друзей.

В \(i\)-й из следующих \(m\) строк записано \(t_i\) (\(1 \le |t_i| \le 2 \cdot 10^5\)) — имя \(i\)-го друга.

Гарантируется, что \(\sum \limits_{i=1}^m |t_i| \le 2 \cdot 10^5\).

Выходные данные

Для каждого друга выведите длину кратчайшего префикса \(s\), которую ей/ему придётся купить, чтобы написать свое имя. Своё имя можно написать, если в наличии есть все буквы имени (в количестве равном или большем необходимого).

Гарантируется, что каждый друг может написать свое имя, используя буквы из строки \(s\).

E. Tokitsukaze и взрыв

Бинарный поиск жадные алгоритмы *3100

Tokitsukaze вместе с друзьями пытаются проникнуть на секретную базу, построенную Claris. Тем не менее, Claris знает об этом и подготовил бомбу, котрая должна взорваться через минуту. Они пытаются убежать и понимают, что это безнадежно, потому что дверь заперта.

В этот самый момент, CJB, отец Tokitsukaze, приходит. С помощью его магической силы, которую ему дала Ereshkigal, богиня подземного мира, CJB может поставить \(m\) барьеров, защищающих их от взрыва. Более формально, давайте введем декартову систему координат на плоскости и предположим, что бомба находится в позиции \(O(0, 0)\). В команде Tokitsukaze есть \(n\) человек, \(i\)-й из которых находится в позиции \(P_i(X_i, Y_i)\). Каждый барьер может быть рассмотрен как прямая бесконечной длины, и они могут пересекаться друг с другом. Для каждого человека из команды Tokitsukaze должен быть хотя бы один барьер, отделяющий его от бомбы, то есть отрезок между ним и бомбой должен пересекаться хотя бы с одним барьером. Если человек стоит в той же позиции, в которой находится бомба, любая прямая, проходящая через \(O(0, 0)\) удовлетворяет этому ограничению.

Несмотря на то, что CJB очень силен, он все равно хочет, чтобы барьеры были как можно дальше от бомбы, чтобы сохранить свою энергию. Пожалуйста, помогите ему рассчитать максимальное расстояние от бомбы до ближайшего к ней барьера при условии, что все люди из команды Tokitsukaze останутся в безопасности.

Входные данные

Первая строка содержит два целых числа \(n\) и \(m\) (\(1 \leq n, m \leq 10^5\)) — количество людей и количество барьеров, соответственно.

Строка под номером \(i\) среди следующих \(n\) строк содержит два целых числа \(X_i\) и \(Y_i\) (\(-10^5 \leq X_i, Y_i \leq 10^5\)), обозначающих позицию \(i\)-го человека \(P_i(X_i, Y_i)\). Заметим, что \(P_i\) может иметь координаты, совпадающие с \(P_j\) (\(j \neq i\)), или даже с \(O\).

Выходные данные

Выведите одно вещественное число — максимальное расстояние, удовлетворяющее требованию. Ваш ответ будет считаться верным, если абсолютная или относительная погрешность не будет превышать \(10^{-6}\).

Формально, если ваш ответ равен \(a\), а ответ жюри равен \(b\), то ответ считается корректным тогда и только тогда, когда \(\frac{|a - b|}{\max(1, |b|)} \leq 10^{-6}\).

Примечание

В двух первых примерах, CJB обязан поставить барьер, проходящий через \(O(0, 0)\).

В третьем и четвертом примере, CJB может поставить каждый барьер так, чтобы он проходил через некоторое \(P_i\) и был перпендикулярен прямой между \(P_i\) и \(O\).

B. Спортивная мафия

Бинарный поиск Перебор математика *1000

Каждый вечер после ужина ЛКШата собираются в лодочной станции, чтобы насладиться игрой в спортивную мафию.

Для турнира Аля набирает в банку конфеты — это будет призовой фонд. Она делает это за \(n\) ходов. На первом ходу она кладёт в банку одну конфету. Каждый следующий ход у неё есть выбор:

  • первый вариант хода — если в банке есть хотя бы одна конфета, то она может за ход вытащить ровно одну конфету из банки и съесть её (таким образом, за один ход количество конфет в банке уменьшается на \(1\));
  • второй вариант хода — положить в банку конфеты, в этом случае она кладёт на \(1\) конфету больше, чем клала в последний раз перед этим.

Таким образом, если банка пуста, то она может осуществить только второй вариант хода.

Например, возможная последовательность действий Али такая:

  • положить в банку одну конфету;
  • положить в банку две конфеты;
  • съесть одну конфету из банки;
  • съесть одну конфету из банки;
  • положить в банку три конфеты;
  • съесть одну конфету из банки;
  • положить в банку четыре конфеты;
  • съесть одну конфету из банки;
  • положить в банку пять конфет.

В этом случае будет совершено \(9\) ходов, количество конфет в банке в итоге будет равно \(11\), а Аля съест суммарно \(4\) конфеты.

Известно общее количество ходов \(n\) и количество конфет \(k\) после всех ходов Али. Найдите суммарное количество съеденных Алей конфет (то есть количество ходов первого варианта). Гарантируется, что для заданных \(n\) и \(k\) ответ существует.

Обратите внимание, что за один ход первого варианта Аля вытаскивает и съедает ровно одну конфету.

Входные данные

В первой строке входных данных заданы два целых числа \(n\) и \(k\) (\(1 \le n \le 10^9\); \(0 \le k \le 10^9\)) — суммарное количество ходов и количество конфет в банке в конце.

Гарантируется, что для заданных \(n\) и \(k\) ответ существует.

Выходные данные

Выведите одно целое число — количество конфет, которые съела Аля. Обратите внимание, что в этой задаче не может быть нескольких правильных ответов — ответ однозначно определяется по входных данным.

Примечание

В первом примере Аля совершила только один ход. По условию задачи первый ход — это всегда положить одну конфету. Таким образом, Аля съела \(0\) конфет.

Во втором примере возможна такая последовательность действий Али:

  • положила \(1\) конфету,
  • положила \(2\) конфеты,
  • съела конфету,
  • съела конфету,
  • положила \(3\) конфеты,
  • съела конфету,
  • положила \(4\) конфеты,
  • съела конфету,
  • положила \(5\) конфет.

В таком случае, она совершит \(n=9\) ходов, в итоге банке будет \(1+2-1-1+3-1+4-1+5=11\) конфет. Ответ равен \(4\) так как суммурно она съела \(4\) конфеты.

E. Культурный код

Бинарный поиск Структуры данных Комбинаторика дп сортировки *2300 кратчайшие пути

В магазине неподалеку продаются известные русские деревянные игрушки под названием «матрешки», и вы бы хотели приобрести несколько штук. В магазине продается \(n\) различных матрешек. Любая матрешка — это фигурка объема \(out_i\) с пустотой внутри объемом \(in_i\) (конечно, \(out_i > in_i\)).

У вас не так много свободного места в сумке, но, к счастью, вы знаете, что матрешки можно вкладывать друг в друга. Формально, назовем набор матрешек вкладываемым, если мы можем переупорядочить их таким образом, что первая матрешка вкладывается во вторую, вторая — в третью и так далее. Матрешка \(i\) вкладывается в матрешку \(j\), если \(out_i \le in_j\). Только последняя игрушка из вкладываемого набора будет занимать место в вашей сумке.

Назовем пустотой вкладываемого набора общий объем пустого места внутри данной структуры. Очевидно, что она равна \(in_{i_1} + (in_{i_2} - out_{i_1}) + (in_{i_3} - out_{i_2}) + \dots + (in_{i_k} - out_{i_{k-1}})\), где \(i_1\), \(i_2\), ..., \(i_k\) — индексы выбранных матрешек в порядке их вкладывания.

Наконец, назовем вкладываемый поднабор заданного набора достаточно большим, если в него нельзя добавить ни одной матрешки из набора так, чтобы не нарушить его вкладываемость.

Вы хотели бы купить много матрешек, а потому выбираете достаточно большой вкладываемый поднабор. Но автора задачи сильно расстроит, если в вашей сумке будет потрачено зря слишком много места, поэтому вы выбираете достаточно большой вкладываемый поднабор, пустота которого минимально возможная среди всех достаточно больших поднаборов. И вот возник вопрос: как много различных поднаборов удовлетворяют всем требованиям (поднаборы достаточно большие, и нет другого достаточно большого поднабора с пустотой меньше заданного). Два поднабора считаются различными, если существует хотя бы один индекс \(i\) такой, что один поднабор содержит \(i\)-ю матрешку, а другой — нет.

Так как ответ может быть очень большим — выведите его по модулю \(10^9 + 7\).

Входные данные

В первой строке содержится одно целое число \(n\) (\(1 \le n \le 2 \cdot 10^5\)) — количество матрешек.

Следующие \(n\) строк содержат описание каждой матрешки: два целых числа \(out_i\) и \(in_i\) (\(1 \le in_i < out_i \le 10^9\)) — внешний и внутренний объемы \(i\)-й матрёшки.

Выходные данные

Выведите единственное число — количество достаточно больших вкладываемых поднаборов таких, что пустота каждого такого поднабора минимально возможная. Так как ответ может быть очень большим, выведите его по модулю \(10^9 + 7\).

Примечание

В первом примере есть ровно \(6\) достаточно больших вкладываемых поднаборов с минимальной пустотой:

  • \(\{1, 5\}\): мы не можем добавить в него другие матрешки, не нарушая вкладываемость; пустота поднабора равна \(1\);
  • \(\{1, 6\}\);
  • \(\{2, 4, 5\}\);
  • \(\{2, 4, 6\}\);
  • \(\{3, 4, 5\}\);
  • \(\{3, 4, 6\}\).

Других «хороших» поднаборов нет, потому что, например, поднабор \(\{6, 7\}\) не достаточно большой (в него можно добавить \(4\)-ю матрешку), а поднабор \(\{4, 6, 7\}\) имеет пустоту, равную \(2\).

B. Социальное государство

Бинарный поиск Перебор Структуры данных *1600 сортировки

В некотором государстве живёт \(n\) граждан. Количество денег у \(i\)-го из них равно \(a_{i}\). Государство внимательно следит за благосостоянием своих граждан. Если гражданин совершил покупку или заработал денег, то он обязан отправить в социальные службы справку об изменении баланса с указанием текущего количества денег. Иногда государство делает выплаты малоимущим гражданам: всем гражданам, у кого текущее количество денег строго меньше \(x\), выплачивают пособие такого размера, чтобы количество денег у них стало ровно \(x\). В таком случае гражданин не должен отправлять справку о изменении баланса.

Вам известно начальное количество денег у каждого гражданина, а также лог всех действий в социальных службах: получение справок и выплаты малоимущим. Восстановите количество денег у каждого гражданина после всех событий.

Входные данные

В первой строке записано одно число \(n\) (\(1 \le n \le 2 \cdot 10^{5}\)) — количество граждан.

В следующей строке записаны \(n\) чисел, разделённых пробелами, \(a_1\), \(a_2\), ..., \(a_n\) (\(0 \le a_{i} \le 10^{9}\)) — начальные балансы граждан.

В следующей строке записано одно число \(q\) (\(1 \le q \le 2 \cdot 10^{5}\)) — длина лога действий. В следующих \(q\) строках записаны действия в хронологическом порядке, по одному в строке.

Описание одного действия имеет либо вид 1 p x (\(1 \le p \le n\), \(0 \le x \le 10^{9}\)), либо вид 2 x (\(0 \le x \le 10^{9}\)). В первом случае была получена справка о том, что новый баланс гражданина \(p\) равен \(x\). Во втором — была проведена выплата с параметром \(x\).

Выходные данные

Выведите \(n\) чисел, разделённых пробелами, — балансы всех граждан после всех событий.

Примечание

Процесс изменения балансов в первом примере: 1 2 3 4 \(\rightarrow\) 3 3 3 4 \(\rightarrow\) 3 2 3 4 \(\rightarrow\) 3 2 3 4

Процесс изменения балансов во втором примере: 3 50 2 1 10 \(\rightarrow\) 3 0 2 1 10 \(\rightarrow\) 8 8 8 8 10 \(\rightarrow\) 8 8 20 8 10

C. Максимальная медиана

Бинарный поиск математика *1400 жадные алгоритмы сортировки

Вам дан массив \(a\) из \(n\) целых чисел, где \(n\) нечётно. Вы можете проделать с массивом следующую операцию:

  • Выбрать один из элементов массива (например \(a_i\)) и увеличить его на \(1\) (то есть заменить на \(a_i + 1\)).

Вы хотите сделать медиану массива максимально большой, используя не более \(k\) операций.

Медианой нечётного по размеру массива называется средний элемент, если массив отсортировать по неубыванию. Например, медианой массива \([1, 5, 2, 3, 5]\) является \(3\).

Входные данные

Первая строка содержит два целых числа \(n\) и \(k\) (\(1 \le n \le 2 \cdot 10^5\), \(n\) нечётно, \(1 \le k \le 10^9\)) — количество элементов в массиве и наибольшее возможное количество операций, которое можно сделать.

Вторая строка содержит \(n\) целых чисел \(a_1, a_2, \ldots, a_n\) (\(1 \le a_i \le 10^9\)).

Выходные данные

Выведите одно целое число — наибольшую возможную медиану после всех операций.

Примечание

В первом примере можно два раза увеличить второй элемент. Тогда массив будет равен \([1, 5, 5]\) и его медиана равна \(5\).

Во втором примере можно один раз увеличить второе число, а также два раза увеличить третье и пятое. Тогда ответ будет равен \(3\).

В третьем примере можно сделать четыре операции, чтобы увеличить первый, четвёртый, шестой и седьмой элемент, тогда массив будет равен \([5, 1, 2, 5, 3, 5, 5]\) и медиана будет равна \(5\).

D. Охота за сокровищами

Бинарный поиск реализация *2100 дп жадные алгоритмы

Вы находитесь на острове, который можно представить как таблицу \(n \times m\). Строки таблицы пронумерованы целыми числами от \(1\) до \(n\), а столбцы пронумерованы целыми числами от \(1\) до \(m\). На острове расположено \(k\) сокровищ, \(i\)-е из которых находится в клетке \((r_i, c_i)\).

Изначально вы находитесь в нижней левой клетке острова, в клетке \((1, 1)\). Если вы окажетесь в одной клетке с сокровищем, то вы можете забрать его, не тратя дополнительного времени. За один ход вы можете переместится вверх (из \((r, c)\) в \((r+1, c)\)), налево (из \((r, c)\) в \((r, c-1)\)) или направо (из \((r, c)\) в \((r, c+1)\)). Из-за ловушек вы не можете двигаться вниз.

Однако двигаться вверх тоже небезопасно. Вы можете двигаться вверх, только если вы находитесь в безопасном столбце. Есть \(q\) безопасных столбцов: \(b_1, b_2, \ldots, b_q\). Вы хотите собрать все сокровища как можно быстрее. Выясните минимальное число ходов, за которое это можно сделать.

Входные данные

Первая строка содержит целые числа \(n\), \(m\), \(k\) и \(q\) (\(2 \le n, \, m, \, k, \, q \le 2 \cdot 10^5\), \(q \le m\)) — количество строк, количество столбцов, количество сокровищ на острове и количество безопасных столбцов.

Каждая из \(k\) следующих строк содержит целые числа \(r_i, c_i\), (\(1 \le r_i \le n\), \(1 \le c_i \le m\)) — координаты клеток, в которых расположены сокровища. Все сокровища расположены в различных клетках.

Последняя строка содержит \(q\) различных чисел \(b_1, b_2, \ldots, b_q\) (\(1 \le b_i \le m\)) — номера безопасных столбцов.

Выходные данные

Выведите минимальное число ходов, которое нужно, чтобы собрать все сокровища.

Примечание

В первом примере следует двигаться вверх во втором столбце, собирая в каждой строке сокровища, расположенные в первом столбце.

Во втором примере следует идти вверх в первом столбце.

В третьем примере оптимально собрать сокровище в клетке \((1;6)\), затем переместиться вверх в строку \(2\), используя столбец \(6\), затем собрать сокровище в клетке \((2;2)\), подняться в верхний ряд, используя столбец \(1\), и собрать последнее сокровище в клетке \((3;4)\). Всего \(15\) ходов.

F. Вам заданы буквы...

Бинарный поиск математика реализация *2700

У вас есть \(a\) заглавных латинских букв 'A' и \(b\) латинских букв 'B'.

Период строки — это такое наименьшее целое \(k\), что \(s_i = s_{i~mod~k}\)\(0\)-индексации) для всех \(i\). Заметим, что это подразумевает, что \(k\) не обязательно делит \(a+b = |s|\).

Например, период строки «ABAABAA» равен \(3\), период «AAAA» равен \(1\), а период «AABBB» равен \(5\).

Найдите количество различных периодов всех возможных строк из \(a\) букв 'A' и \(b\) букв 'B'.

Входные данные

В первой строке записаны два целых числа \(a\) и \(b\) (\(1 \le a, b \le 10^9\)) — количество букв 'A' и 'B', соответственно.

Выходные данные

Выведите количество различных периодов всех возможных строк из \(a\) букв 'A' и \(b\) букв 'B'.

Примечание

Все возможные периоды для первого примера:

  • \(3\) «BBABBA»
  • \(4\) «BBAABB»
  • \(5\) «BBBAAB»
  • \(6\) «AABBBB»

Все возможные периоды для второго примера:

  • \(3\) «BAABAABA»
  • \(5\) «BAABABAA»
  • \(6\) «BABAAABA»
  • \(7\) «BAABAAAB»
  • \(8\) «AAAAABBB»

Обратите внимание, что это не единственные возможные строки для данных периодов.

D2. Удалите подстроку (сложная версия)

Бинарный поиск реализация жадные алгоритмы *1700

Единственное отличие между легкой и сложной версиями — длины строк.

Вам задана строка \(s\) и строка \(t\), обе состоят только из строчных букв латинского алфавита. Гарантируется, что \(t\) может быть получена из \(s\) при помощи удаления некоторого (возможно, нулевого) количества символов (не обязательно последовательных) из \(s\) без изменения порядка оставшихся символов (другими словами, гарантируется, что \(t\) является подпоследовательностью \(s\)).

Например, строки «test», «tst», «tt», «et» и «» являются подпоследовательностями строки «test». А строки «tset», «se», «contest» не являются подпоследовательностями строки «test».

Вы хотите удалить некоторую подстроку (последовательную подпоследовательность) из \(s\) максимально возможной длины таким образом, чтобы после удаления этой подстроки \(t\) все еще осталась подпоследовательностью \(s\).

Если вы хотите удалить подстроку \(s[l;r]\), то строка \(s\) примет вид \(s_1 s_2 \dots s_{l-1} s_{r+1} s_{r+2} \dots s_{|s|-1} s_{|s|}\) (где \(|s|\) равно длине \(s\)).

Ваша задача — найти максимально возможную длину подстроки, которую вы можете удалить, чтобы \(t\) осталась подпоследовательностью \(s\).

Входные данные

Первая строка входных данных содержит одну строку \(s\), состоящую из не менее \(1\) и не более \(2 \cdot 10^5\) строчных букв латинского алфавита.

Вторая строка входных данных содержит одну строку \(t\), состоящую из не мене \(1\) и не более \(2 \cdot 10^5\) строчных букв латинского алфавита.

Гарантируется, что \(t\) является подпоследовательностью \(s\).

Выходные данные

Выведите одно целое число — максимально возможную длину подстроки, которую вы можете удалить, чтобы \(t\) осталась подпоследовательностью \(s\).

B. Уникальность

Бинарный поиск Перебор реализация *1500

Дан массив \(a_{1}, a_{2}, \ldots, a_{n}\). Вы можете удалить из него не более одного подотрезка. Оставшиеся элементы должны быть попарно различны.

Другими словами, не более одного раза вы можете выбрать два целых числа \(l\) и \(r\) (\(1 \leq l \leq r \leq n\)) и удалить элементы \(a_l, a_{l+1}, \ldots, a_r\) из массива. Оставшиеся в массиве элементы должны быть попарно различны.

Найдите минимальный размер подотрезка, при удалении которого все элементы массива будут попарно различными.

Входные данные

Первая строка ввода содержит целое число \(n\) (\(1 \le n \le 2000\)) — количество элементов массива.

В следующей строке записаны \(n\) целых чисел \(a_{1}, a_{2}, \ldots, a_{n}\) (\(1 \le a_{i} \le 10^{9}\)) — элементы массива.

Выходные данные

Выведите одно целое число — минимальный размер подотрезка при удалении которого все элементы массива будут попарно различными. Если элементы массива попарно различны и без удаления подотрезка, выведите \(0\).

Примечание

В первом примере все элементы исходно различны, поэтому удалять подотрезок не требуется.

Во втором примере вы можете удалить подотрезок с индексами от \(2\) до \(3\).

В третьем примере вы можете удалить подотрезок с индексами от \(1\) до \(2\), или с индексами от \(2\) до \(3\), или с индексами от \(3\) до \(4\).

D. Восстановить перестановку

Бинарный поиск Структуры данных реализация жадные алгоритмы *1900

Последовательность целых чисел \(p_{1},p_{2}, \ldots,p_{n}\) называется перестановкой, если она содержит каждое число от \(1\) до \(n\) ровно один раз. Например, следующие последовательности перестановки: \([3,1,2], [1], [1,2,3,4,5]\) и \([4,3,1,2]\). А следующие последовательности не являются перестановками: \([2], [1,1], [2,3,4]\).

Загадана перестановка длины \(n\).

Для каждого индекса \(i\) вам дано \(s_{i}\), равное сумме всех таких \(p_{j}\), что \(j < i\) и \(p_{j} < p_{i}\). Иначе говоря, \(s_i\) — это сумма всех элементов до \(i\)-го элемента, которые меньше \(i\)-го элемента.

Ваша задача — восстановить перестановку.

Входные данные

Первая строка содержит одно целое число \(n\) (\(1 \le n \le 2 \cdot 10^{5}\)) — размер перестановки.

Вторая строка содержит \(n\) целых чисел \(s_{1}, s_{2}, \ldots, s_{n}\) (\(0 \le s_{i} \le \frac{n(n-1)}{2}\)).

Гарантируется, что \(s\) соответствует корректной перестановке длины \(n\).

Выходные данные

Выведите \(n\) целых чисел \(p_{1}, p_{2}, \ldots, p_{n}\) — элементы восстановленной перестановки.

Можно показать, что ответ всегда уникальный.

Примечание

В первом примере для каждого \(i\) не существует позиции \(j\), удовлетворяющей обоим условиям, соответственно \(s_i\) всегда равен \(0\).

Во втором примере для \(i = 2\) позиция \(j = 1\) удовлетворяет условиям, так что \(s_2 = p_1\).

В третьем примере для \(i = 2, 3, 4\) только позиция \(j = 1\) удовлетворяет условиям, так что \(s_2 = s_3 = s_4 = 1\). Для \(i = 5\) возможны все позиции \(j = 1, 2, 3, 4\), и \(s_5 = p_1 + p_2 + p_3 + p_4 = 10\).

D. Счастливые отрезки

Бинарный поиск реализация *2500

Петя любит счастливые числа. Всем известно, что счастливыми являются положительные целые числа, в десятичной записи которых содержатся только счастливые цифры 4 и 7. Например, числа 47, 744, 4 являются счастливыми, а 5, 17, 467 — не являются.

У Пети есть n числовых отрезков [l1r1], [l2r2], ..., [lnrn]. За один ход Петя может взять любой отрезок (пусть его номер i) и заменить его отрезком [li + 1; ri + 1] или [li - 1; ri - 1]. Другими словами, за один ход можно сдвинуть любой отрезок влево или вправо на единичное расстояние. Петя называет число полным, если оно входит в каждый из отрезков. То есть число x полное, если для каждого i (1 ≤ i ≤ n) выполняется li ≤ x ≤ ri.

Петя делает не более k ходов, а потом считает количество получившихся полных счастливых чисел. Какое наибольшее количество может у него получиться?

Входные данные

В первой строке задано два целых числа n и k (1 ≤ n ≤ 105, 1 ≤ k ≤ 1018) — количество отрезков и максимальное количество ходов. В следующих n строках задано пары целых чисел li и ri (1 ≤ li ≤ ri ≤ 1018).

Пожалуйста, не используйте спецификатор %lld для чтения или записи 64-х битовых чисел на С++. Следует использовать спецификатор %I64d.

Выходные данные

В единственной строке выведите одно число — ответ на задачу.

Примечание

В первом примере Петя сдвигает второй отрезок на две единицы влево (он превращается в [4; 7]), после этого число 4 становится полным.

Во втором примере Петя сдвигает первый отрезок на две единицы вправо (он превращается в [42; 47]), а второй отрезок на три единицы влево (он превращается в [44; 71]), после этого числа 44 и 47 будут полными.

D. Команды

Бинарный поиск математика *2000 *особая задача жадные алгоритмы

Есть \(n\) игроков в настольный боулинг, рейтинг \(i\)-го игрока равен \(r_i\). Требуется составить наибольшее количество команд таким образом, чтобы:

  • каждый игрок принадлежал не более чем одной команде;
  • каждая команда состояла ровно из \(a+b\) игроков;
  • в каждой команде было бы ровно \(a\) игроков какого-то одинакового рейтинга и ровно \(b\) игроков другого одинакового рейтинга, который в \(k\) раз больше.

Например, если \(n=12\), \(r=[1, 1, 2, 2, 2, 2, 2, 3, 3, 4, 6, 6]\), \(a=1\), \(b=2\), \(k=2\), то можно составить две команды с рейтингами \([1, 2, 2]\) и одну с рейтингами \([3, 6, 6]\). Таким образом, максимум можно составить \(3\) команды.

По заданным \(n, r_1 \dots r_n, a, b\) и \(k\) найдите максимальное количество команд, которое можно составить.

Входные данные

В первой строке записаны целые числа \(n\), \(a\), \(b\) и \(k\) (\(1 \le n,a,b \le 3\cdot10^5\), \(2 \le k \le 1000\)). Вторая строка содержит последовательность рейтингов игроков — целые числа \(r_1, r_2, \dots, r_n\) (\(1 \le r_i \le 10^6\)).

Выходные данные

Выведите единственное целое число — максимальное количество команд, которое можно составить из \(n\) заданных игроков.

E. Double Permutation Inc.

Бинарный поиск *2000 *особая задача жадные алгоритмы

Недавно Поликарп стал сотрудником компании «Double Permutation Inc.» Теперь он фанатеет от перестановок и всюду их ищет!

Перестановкой в этой задаче будем называть такую последовательность целых чисел \(p_1, p_2, \dots, p_k\), что каждое целое число от \(1\) до \(k\) встречается в ней ровно один раз. Например, следующие последовательности являются перестановками \([3, 1, 4, 2]\), \([1]\) и \([6, 1, 2, 3, 5, 4]\). Следующие последовательности не являются перестановками: \([0, 1]\), \([1, 2, 2]\), \([1, 2, 4]\) и \([2, 3]\).

В холле штаб-квартиры компании опубликована статистика посещения веб-сайта компании за последние \(n\) дней — последовательность \(a_1, a_2, \dots, a_n\). Поликарп хочет покрасить все элементы этой последовательности один из трёх цветов (красный, зеленый или синий) так, что:

  • все красные числа, будучи выписанными из \(a_1, a_2, \dots, a_n\) слева направо (то есть без изменения их относительного порядка), должны образовывать некоторую перестановку (назовём её \(P\));
  • все зеленые числа, будучи выписанными из \(a_1, a_2, \dots, a_n\) слева направо (то есть без изменения их относительного порядка), должны образовывать туже самую перестановку \(P\);
  • среди синих чисел не должно быть элементов, которые равны некоторому элементу перестановки \(P\).

Помогите Поликарпу покрасить все \(n\) чисел так, чтобы суммарное количество красных и зеленых элементов было максимально.

Входные данные

В первой строке записано целое число \(n\) (\(1 \le n \le 2\cdot10^5\)) — длина заданной последовательности \(a\). Во второй строке записаны \(n\) целых чисел \(a_1, a_2, \dots, a_n\) (\(1 \le a_i \le 2\cdot10^5\)).

Выходные данные

Выведите строку \(s\) длины \(n\) такую, что:

  • \(s_i\)='R', если элемент \(a_i\) должен быть покрашен в красный цвет;
  • \(s_i\)='G', если элемент \(a_i\) должен быть покрашен в зеленый цвет;
  • \(s_i\)='B', если элемент \(a_i\) должен быть покрашен в синий цвет.

Строка \(s\) должна максимизировать суммарное количество красных и зелёных элементов при выполнении требований из основной части условия задачи. Если оптимальных ответов несколько, то выведите любой из них.

H. Ремонт дорог в Древляндии

Бинарный поиск Деревья дп *особая задача *3100

В Древляндии \(n\) городов и \(n-1\) двусторонняя дорога. Каждая дорога соединяет пару различных городов. Из любого города можно проехать в любой другой, двигаясь только по дорогам. Города пронумерованы от \(1\) до \(n\). Да, конечно, вы узнали в этом описании неориентированное дерево.

Правительство страны планирует отремонтировать все дороги. Каждая дорога будет отремонтирована некоторой частной компанией. Всего в стране \(10^6\) частных компаний, которые пронумерованы от \(1\) до \(10^6\). Допустимо, что некоторые компании не получат вообще дорог для ремонта, а некоторые будут ремонтировать множество дорог.

Для упрощения контроля за работой частных компаний было введено следующее ограничение: для каждого города посчитаем количество различных компаний, которые чинят дороги, имеющие одним из концов этот город. Это число для каждого города не должно превосходить \(2\). Иными словами, для каждого города должно быть не более двух различных компаний, которые чинят дороги, имеющие отношение к этому городу.

Национальный антикоррупционный комитет Древляндии опасается, что вся (или почти вся) работа достанется одной частной компании. По этой причине комитет требует, чтобы дороги были распределены по компаниям таким образом, чтобы минимизировать величину \(r\). Для каждой компании посчитаем количество назначенных ей дорог, максимум по этим количествам среди всех компаний называется числом \(r\).

Помогите правительству найти такой способ распределить все дороги по компаниям требуемым образом.

Входные данные

В первой строке записано целое число \(t\) (\(1 \le t \le 1000\)) — количество наборов входных данных. Далее записаны сами наборы входных данных.

Первая строка каждого набора входных данных содержит целое число \(n\) (\(2 \le n \le 3000\)) — количество городов в Древляндии. Далее в \(n-1\) строке записаны дороги по одному в строке: строка содержит два целых числа \(x_i\), \(y_i\) (\(1 \le x_i, y_i \le n\)), обозначающих, что \(i\)-я дорога соединяет города \(x_i\) и \(y_i\).

Гарантируется, что сумма всех значений \(n\) по всем наборам входных данных в тесте не превосходит \(3000\).

Выходные данные

Выведите ответы для всех \(t\) наборов входных данных в тесте. Каждый набор должен начинаться строкой, которая содержит \(r\) — минимальное возможное количество дорог, назначенных наиболее используемой компании. Далее в следующей строке выведите \(n-1\) число \(c_1, c_2, \dots, c_{n-1}\) (\(1 \le c_i \le 10^6\)), где \(c_i\) обозначает номер компании, которой назначен ремонт \(i\)-й дороги. Если существует несколько способов назначения, выведите любой из них.

E1. Числовая последовательность (простая версия)

Бинарный поиск Перебор математика *1900

Единственное отличие между простой и сложной версиями — максимальное значение \(k\).

Вам задана бесконечная последовательность вида «112123123412345\(\dots\)», в которой следуют блоки всех последовательных целых чисел, записанных друг за другом. Первый блок содержит все числа от \(1\) до \(1\), второй — от \(1\) до \(2\), третий — от \(1\) до \(3\), \(\dots\), \(i\)-й блок содержит все числа от \(1\) до \(i\).

Таким образом, первые \(56\) элементов последовательности равны «11212312341234512345612345671234567812345678912345678910». Элементы последовательности нумеруются с единицы. Например, \(1\)-й элемент последовательности равен \(1\), \(3\)-й элемент последовательности равен \(2\), \(20\)-й элемент последовательности равен \(5\), \(38\)-й элемент равен \(2\), \(56\)-й элемент последовательности равен \(0\).

Перед вами стоит задача ответить на \(q\) независимых запросов. Для \(i\)-го запроса задано целое число \(k_i\). Определите элемент последовательности, который находится в позиции \(k_i\).

Входные данные

В первой строке следует целое число \(q\) (\(1 \le q \le 500\)) — количество запросов.

В \(i\)-й из следующих \(q\) строк следует целое число \(k_i\) \((1 \le k_i \le 10^9)\) — описание очередного запроса.

Выходные данные

Выведите \(q\) строк. В \(i\)-ю строку должна быть выведена цифра \(x_i\) \((0 \le x_i \le 9)\) — ответ на запрос номер \(i\), то есть \(x_i\) должно быть равно элементу последовательности, который находится в позиции \(k_i\).

Примечание

Ответы на запросы из первого примера подробно разобраны в условии.

E2. Числовая последовательность (сложная версия)

Бинарный поиск математика *2200

Единственное отличие между простой и сложной версиями — максимальное значение \(k\).

Вам задана бесконечная последовательность вида «112123123412345\(\dots\)», в которой следуют блоки всех последовательных целых чисел, записанных друг за другом. Первый блок содержит все числа от \(1\) до \(1\), второй — от \(1\) до \(2\), третий — от \(1\) до \(3\), \(\dots\), \(i\)-й блок содержит все числа от \(1\) до \(i\).

Таким образом, первые \(56\) элементов последовательности равны «11212312341234512345612345671234567812345678912345678910». Элементы последовательности нумеруются с единицы. Например, \(1\)-й элемент последовательности равен \(1\), \(3\)-й элемент последовательности равен \(2\), \(20\)-й элемент последовательности равен \(5\), \(38\)-й элемент равен \(2\), \(56\)-й элемент последовательности равен \(0\).

Перед вами стоит задача ответить на \(q\) независимых запросов. Для \(i\)-го запроса задано целое число \(k_i\). Определите элемент последовательности, который находится в позиции \(k_i\).

Входные данные

В первой строке следует целое число \(q\) (\(1 \le q \le 500\)) — количество запросов.

В \(i\)-й из следующих \(q\) строк следует целое число \(k_i\) \((1 \le k_i \le 10^{18})\) — описание очередного запроса.

Выходные данные

Выведите \(q\) строк. В \(i\)-ю строку должна быть выведена цифра \(x_i\) \((0 \le x_i \le 9)\) — ответ на запрос номер \(i\), то есть \(x_i\) должно быть равно элементу последовательности, который находится в позиции \(k_i\).

Примечание

Ответы на запросы из первого примера подробно разобраны в условии.

A. Создавая персонажа

Бинарный поиск математика *1300

В очередной раз вы играете в свою любимую игру. Вы уже выбрали персонажа, за которого еще не играли. У него есть базовые \(str\) очков силы и \(int\) очков интеллекта. Также, в начале игры, персонаж имеет \(exp\) свободных очков опыта, которые вы можете вложить либо в силу, либо в интеллект (вкладывая одно очко вы можете либо увеличить силу на \(1\), либо интеллект на \(1\)).

Так как вы хотите повеселиться, вы хотите создать тупого качка, у которого будет больше очков силы, чем интеллекта (финальная сила строго больше финального интеллекта).

Посчитайте количество различных билдов персонажа, которые вы можете создать (все ради реиграбельности), если вы обязаны вложить все свободные очки. Два билда считаются различными, если различаются их уровень силы и/или интеллекта.

Входные данные

В первой строке задано единственное число \(T\) (\(1 \le T \le 100\)) — количество запросов. Следующие \(T\) строк содержат описания запросов — по одному в строке.

В этой строке заданы три целых числа \(str\), \(int\) и \(exp\) (\(1 \le str, int \le 10^8\), \(0 \le exp \le 10^8\)) — первоначальные сила, интеллект и количество свободных очков для распределения, соответственно.

Выходные данные

Выведите \(T\) чисел — по одному на запрос. Для каждого запроса выведите количество различных билдов, которые вы сможете создать.

Примечание

В первом запросе есть только три подходящих билда: \((str = 7, int = 5)\), \((8, 4)\) и \((9, 3)\). Во всех остальных либо персонаж получается слишком умным, либо не используются все свободные очки.

Во втором запросе есть только один возможный билд: \((2, 1)\).

В третьем запросе есть два подходящих билда: \((7, 6)\), \((8, 5)\).

В четвертом запросе во всех билдах у персонажа слишком много мозгов.

C. Количество хороших подстрок

Бинарный поиск Перебор *1700 битмаски

Вам задана бинарная строка \(s\) (эта строка содержит только цифры \(0\) и \(1\)).

Пусть \(f(t)\) — десятичное представление числа \(t\), записанного в двоичном виде (возможно с лидирующими нулями). Например \(f(011) = 3, f(00101) = 5, f(00001) = 1, f(10) = 2, f(000) = 0\) и \(f(000100) = 4\).

Подстрока \(s_{l}, s_{l+1}, \dots , s_{r}\) хорошая, если \(r - l + 1 = f(s_l \dots s_r)\).

Например, строка \(s = 1011\) имеет \(5\) хороших подстрок: \(s_1 \dots s_1 = 1\), \(s_3 \dots s_3 = 1\), \(s_4 \dots s_4 = 1\), \(s_1 \dots s_2 = 10\) и \(s_2 \dots s_4 = 011\).

Вам нужно посчитать количество хороших подстрок строки \(s\).

Вам нужно ответить на \(t\) независимых запросов.

Входные данные

Первая строка содержит число \(t\) (\(1 \le t \le 1000\)) — количество запросов.

Каждый запрос содержит единственную строку \(s\) (\(1 \le |s| \le 2 \cdot 10^5\)), состоящую только из цифр \(0\) и \(1\).

Гарантируется что \(\sum\limits_{i=1}^{t} |s_i| \le 2 \cdot 10^5\).

Выходные данные

На каждый запрос выведите одно число — количество хороших подстрок строки \(s\).

F. Садовод Леша

Бинарный поиск Структуры данных *2700

Садовод Леша очень любит выращивать деревья. Напомним, что деревом называется связный ациклический граф на \(n\) вершинах.

Сегодня он решил вырастить подвешенное бинарное дерево. Бинарным деревом называется дерево, в котором у каждой вершины не больше двух сыновей. К счастью, у Леши еще с прошлого дня рождения завалялась перестановка чисел от \(1\) до \(n\), поэтому он решил вырастить дерево по этой перестановке. Для этого он совершает следующий процесс: находит минимум в перестановке, создает соответствующую ему вершину и делает ее корнем дерева. После этого перестановка разделяется на две части: все, что левее минимального элемента, и все, что правее. Минимумы на левой и правой части становятся левыми и правыми сыновьями корня соответственно, после чего на левой и правой части производится рекурсивно тот же процесс.

Теперь Леша хочет вырастить целый лес деревьев: по одному дереву на каждый циклический сдвиг перестановки. Ему интересно, при каком циклическом сдвиге глубина полученного дерева будет минимальной. Но, к сожалению, выращивание леса — дело долгое, а ответ интересен Леше прямо сейчас. Поможете ему?

Напомним, что циклическим сдвигом перестановки \(a_1, a_2, \ldots, a_k, \ldots, a_n\) на \(k\) элементов влево называется перестановка \(a_{k + 1}, a_{k + 2}, \ldots, a_n, a_1, a_2, \ldots, a_k\).

Входные данные

Первая строка содержит целое число \(n ~ (1 \leqslant n \leqslant 200\,000)\) — длина перестановки.

Вторая строка содержит \(n\) целых чисел \(a_1, a_2, \ldots, a_n ~ (1 \leqslant a_i \leqslant n)\), при этом гарантируется, что каждое число встречается ровно один раз.

Выходные данные

Через пробел выведите два числа: минимальная глубина дерева, которую можно получить, и на сколько нужно циклически сдвинуть перестановку влево, чтобы получить дерево минимальной глубины. Величина сдвига должна быть числом от \(0\) до \(n - 1\). Если возможных ответов несколько, выведите любой.

Примечание

На картинке ниже изображены все возможные деревья для перестановки из примера, а рядом с ними написаны циклические сдвиги, из которых они получаются.

C. Идеальная команда

Бинарный поиск математика *1200

Возможно вы уже знаете, что обычная команда для ICPC состоит из ровно трех человек. Однако для идеальной команды необходимо нечто большее. У студента может быть некоторая специализация: кодер или математик. Она/он может не иметь специализации, но иметь обе сразу не может.

Команда считается идеальной, когда в нее входит хотя бы один кодер, хотя бы один математик, и она состоит из ровно трех человек.

Вы тренер в очень большом университете и Вы знаете, что \(c\) из Ваших студентов — кодеры, \(m\) — математики и \(x\) не имеют никакой специализации.

Какое наибольшее число полных идеальных команд Вы можете из них составить?

Обратите внимание, что некоторые студенты могут остаться без команды, и каждый студент может входить не более чем в одну команду.

Вам также необходимо ответить на \(q\) независимых запросов.

Входные данные

В первой строке записано одно целое число \(q\) (\(1 \le q \le 10^4\)) — количество запросов.

В каждой из следующих \(q\) строк записаны три целых числа \(c\), \(m\) и \(x\) (\(0 \le c, m, x \le 10^8\)) — количество кодеров, математиков и студентов без специализации в университете, соответственно.

Обратите внимание, что ни один студент не является кодером и математиком одновременно.

Выходные данные

Выведите \(q\) чисел — \(i\)-е из них должно быть ответом на \(i\)-й запрос в том же порядке, в которым запросы следуют во входных данных. Ответ равен наибольшему числу полных идеальных команд, которые Вы можете составить из Ваших студентов.

Примечание

В первом примере команды составляются следующим образом:

  1. единственная команда состоит из 1 кодера, 1 математика и 1 без специализации;
  2. все три команды состоят из 1 кодера и 2 математиков;
  3. нельзя составить ни одной команды;
  4. нельзя составить ни одной команды;
  5. одна команда состоит из 1 кодера, 1 математика и 1 без специализации, остальные не могут образовать команду;
  6. одна команда состоит из 1 кодера, 1 математика и 1 без специализации, одна из 2 кодеров и 1 математика и одна из 1 кодера и 2 математиков.

F. Выбери квадрат

Бинарный поиск Структуры данных *2400 сортировки

Недавно Петя нашел игру «Выбери квадрат». В игре на бесконечном поле расположено \(n\) точек, пронумерованных целыми числами от \(1\) до \(n\). Точка номер \(i\) имеет координаты \((x_i, y_i)\) и стоимость \(c_i\).

Необходимо выбрать квадрат, стороны которого параллельны осям координат, левый нижний и правый верхний угол лежат на прямой \(y = x\), и все углы имеют целые координаты.

Счетом игры является разность суммарной стоимости точек, покрытых выбранным квадратом, и длины стороны квадрата. Сторона квадрата может быть нулевой длины.

Петя просит вас помочь ему найти максимальный счет в игре, выбрав ровно один квадрат.

Входные данные

Первая строка входных данных содержит одно целое число \(n\) (\(1 \le n \le 5 \cdot 10^5\)) — количество точек на поле.

Каждая из следующих \(n\) строк содержит три целых числа \(x_i, y_i, c_i\) (\(0 \le x_i, y_i \le 10^9, -10^6 \le c_i \le 10^6\)) — координаты \(i\)-й точки и ее стоимость, соответственно.

Выходные данные

В первой строке выведите максимальный счет, который можно набрать в игре, выбрав ровно один квадрат.

Во второй строке выведите четыре целых числа \(x_1, y_1, x_2, y_2\) (\(0 \le x_1, y_1, x_2, y_2 \le 2 \cdot 10^9, x_1 = y_1, x_2 = y_2, x_1 \le x_2\)), разделенные пробелами — координаты левого нижнего и правого верхнего углов квадрата, которые необходимо выбрать Пете, чтобы набрать максимальный счет.

Примечание

Игровое поле, соответствующее первому тестовому примеру:

C. Спаси природу

Бинарный поиск *1600 жадные алгоритмы

Реальность жестока, поэтому, хоть в душе вы и экоактивист, но в жизни — простой кассир в кинотеатре. Но не стоить опускать руки, ведь вы еще можете помочь природе!

По работе вам необходимо продать \(n\) билетов. Цена \(i\)-го билета равна \(p_i\). Как продавец, вы можете выбрать порядок (то есть перестановку), в котором будут продаваться билеты. Вы узнали, что ваш кинотеатр участвует в двух экологических программах, применяя их к порядку, который выбрали вы:

  • \(x\%\) цены каждого \(a\)-го проданного билета (\(a\)-й, \(2a\)-й, \(3a\)-й и так далее билеты) в вашем порядке будет направлено на разработку и продвижение возобновляемых источников энергии.
  • \(y\%\) цены каждого \(b\)-го проданного билета (\(b\)-й, \(2b\)-й, \(3b\)-й и так далее билеты) в вашем порядке будет направлено на борьбу с загрязнением окружающей среды.

Если билет попал в обе программы одновременно, то в сумме \((x + y) \%\) будет направлено на сохранение природы. Также, известно, что все цены билетов кратны \(100\), а потому нет проблем с округлениями.

Например, если вам надо продать билеты с ценами \([400, 100, 300, 200]\), а кинотеатр отдает \(10\%\) от каждого \(2\)-го проданного билета и \(20\%\) от каждого \(3\)-го проданного билета, то, продав их в порядке \([100, 200, 300, 400]\) вы отправите на благое дело \(100 \cdot 0 + 200 \cdot 0.1 + 300 \cdot 0.2 + 400 \cdot 0.1 = 120\). Однако, выбрав порядок \([100, 300, 400, 200]\), можно набрать \(100 \cdot 0 + 300 \cdot 0.1 + 400 \cdot 0.2 + 200 \cdot 0.1 = 130\).

Природа не может ждать, а потому вы решили изменить порядок продажи билетов таким образом, что суммарный взнос в обе программы достигнет значения хотя бы \(k\) за минимальное количество проданных билетов. Либо скажите, что это невозможно. Другими словами, найдите минимальное количество билетов, которые нужно продать, чтобы заработать как минимум \(k\).

Входные данные

В первой строке задано единственное целое число \(q\) (\(1 \le q \le 100\)) — количество независимых запросов. Каждый запрос состоит из \(5\) строк.

В первой строке каждого запроса содержится единственное целое число \(n\) (\(1 \le n \le 2 \cdot 10^5\)) — количество билетов.

Во второй строке заданы \(n\) целых чисел \(p_1, p_2, \dots, p_n\) (\(100 \le p_i \le 10^9\), \(p_i \bmod 100 = 0\)) — соответствующие цены билетов.

В третьей строке заданы два целых числа \(x\) и \(a\) (\(1 \le x \le 100\), \(x + y \le 100\), \(1 \le a \le n\)) — параметры первой программы.

В четвертой строке заданы два целых числа \(y\) и \(b\) (\(1 \le y \le 100\), \(x + y \le 100\), \(1 \le b \le n\)) — параметры второй программы.

В пятой строке задано единственное целое число \(k\) (\(1 \le k \le 10^{14}\)) — суммарный необходимый взнос.

Гарантируется, что суммарное количество билетов в одном тесте не превосходит \(2 \cdot 10^5\).

Выходные данные

Выведите \(q\) чисел — по одному на запрос.

Для каждого запроса выведите минимальное количество билетов, которое вам предстоит продать, чтобы суммарный взнос на экопрограммы достиг хотя бы \(k\), при условии, что вы можете продавать билеты в произвольном порядке.

Если невозможно достигнуть необходимого взноса, даже продав все билеты, выведите \(-1\).

Примечание

В первом запросе общий взнос равен \(50 + 49 = 99 < 100\), поэтому собрать необходимую сумму невозможно.

Во втором запросе вы можете выбрать порядок следующим образом: \([100, 100, 200, 200, 100, 200, 100, 100]\) и общий взнос от первых \(6\) проданных билетов будет равен \(100 \cdot 0 + 100 \cdot 0.1 + 200 \cdot 0.15 + 200 \cdot 0.1 + 100 \cdot 0 + 200 \cdot 0.25 = 10 + 30 + 20 + 50 = 110\).

В третьем запросе вся стоимость билета идет на защиту экологии.

В четвертом запросе вы можете выбрать порядок как \([100, 200, 100, 100, 100]\) и суммарный взнос за первые \(4\) билета будет равен \(100 \cdot 0 + 200 \cdot 0.31 + 100 \cdot 0 + 100 \cdot 0.31 = 62 + 31 = 93\).

G. Деревянный плот

Бинарный поиск математика теория чисел *3200

Представьте, что вы застряли на необитаемом острове. Единственный способ спастись — построить деревянный плот и выйти на нем в море. К счастью, вы смогли смастерить пилу, а на острове оказался лес. Более того, вы уже спилили несколько деревьев и подготовили их, получив в конечном счёте \(n\) бревен, где длина \(i\)-го бревна равна \(a_i\).

Деревянный плот, который вы хотите построить, имеет следующий вид: \(2\) бревна длины \(x\) и \(x\) бревен длины \(y\). Площадь такого плота будет равна \(x \cdot y\). При этом оба значения \(x\) и \(y\) должны быть целыми, так как это единственный метод измерения, который вы освоили, будучи на необитаемом острове. А также, оба значения \(x\) и \(y\) должны быть не менее \(2\), так как плот шириной в одно бревно неустойчив.

Вы можете разрезать бревна на части, но не можете соединять два бревна в одно. Плот какой максимальной площади вы сможете построить?

Входные данные

В первой строке задано единственное целое число \(n\) (\(1 \le n \le 5 \cdot 10^5\)) — количество бревен в вашем распоряжении.

Во второй строке заданы \(n\) целых чисел \(a_1, a_2, \dots, a_n\) (\(2 \le a_i \le 5 \cdot 10^5\)) — соответствующие длины бревен.

Гарантируется, что бы всегда сможете построить плот размера хотя бы \(2 \times 2\).

Выходные данные

Выведите единственное число — максимальную площадь плота, который вы сможете построить.

Примечание

В первом примере, вы можете разрезать бревно длины \(9\) на \(5\) частей: \(2 + 2 + 2 + 2 + 1\). Теперь мы сможете собрать плот \(2 \times 2\), используя \(2\) бревна длины \(x = 2\) и \(x = 2\) бревна длины \(y = 2\).

Во втором примере, вы можете разрезать \(a_4 = 18\) на две части \(9 + 9\) и \(a_8 = 28\) на три части \(10 + 9 + 9\). Теперь вы можете собрать плот \(10 \times 9\), используя \(2\) бревна длины \(10\) и \(10\) бревен длины \(9\).

E. Rock Is Push

Бинарный поиск дп *2200

Вы находитесь в левой верхней клетке \((1, 1)\) лабиринта размера \(n \times m\) клеток. Ваша цель — попасть в правую нижнюю клетку \((n, m)\). Вы можете двигаться только вправо и вниз по одной клетке за ход. Переход вправо из клетки \((x, y)\) ведёт в клетку \((x, y + 1)\), а переход вниз — в клетку \((x + 1, y)\).

В некоторых клетках лабиринта лежат камни. Когда вы перемещаетесь в клетку с камнем, камень сдвигается в следующую клетку по направлению движения. Если в следующей клетке также есть камень, он сдвигается дальше в том же направлении, и так далее.

Лабиринт окружён непроницаемыми стенами, поэтому ходы, в результате которых вы или камень выходят за границы лабиринта, невозможны.

Вычислите количество различных способов добраться от старта до цели по модулю \(10^9 + 7\). Два способа считаются различными, если существует клетка, посещённая в одном из способов, но не посещённая в другом.

Входные данные

В первой строке записано два целых числа \(n, m\) — размеры лабиринта (\(1 \leq n, m \leq 2000\)).

Следующие \(n\) строк описывают лабиринт. Каждая из этих строк содержит \(m\) символов. \(j\)-й символ \(i\)-й из этих строк равен «R», если клетка \((i, j)\) содержит камень, или «.», если клетка \((i, j)\) пуста.

Гарантируется, что стартовая клетка \((1, 1)\) пуста.

Выходные данные

Выведите одно целое число — количество различных способов добраться из клетки \((1, 1)\) в клетку \((n, m)\) по модулю \(10^9 + 7\).

Примечание

В первом примере нам нельзя (и не нужно) двигаться, поэтому единственный способ добраться посещает единственную клетку \((1, 1)\).

Во втором примере цель заблокирована и в неё нельзя попасть.

Иллюстрации к третьему примеру можно найти здесь: https://cfassets.m27.workers.dev/rounds/1225/index.html

E. Поджог в лесу Берляндии

Бинарный поиск графы графы *2200 кратчайшие пути

Представим лес Берляндии как бесконечное клеточное поле. В каждой клетке растет дерево. Или росло, до недавних событий.

Разрушительный огонь бушевал в лесу и уничтожил несколько деревьев. У вас есть прямоугольная карта \(n \times m\), которая описывает поврежденную часть леса. Сожженные деревья отмечены на карте как «X», в то время как остальные отмечены как «.». Вы можете быть уверены, что все поврежденные деревья отмечены на карте. Все деревья за пределами карты — не повреждены.

Пожарные быстро потушили огонь, и теперь расследуют данный инцидент. Основная версия — это поджог: в какой-то момент времени (примем этот момент за \(0\)) несколько деревьев были подожжены. В начале минуты \(0\) горели только подожженные деревья. В конце каждой минуты огонь распространяется от горящего дерева к \(8\) соседним к нему деревьям. В начале минуты \(T\) огонь был потушен.

Пожарные хотят найти поджигателей так быстро как это возможно. Но проблема в том, что они не знают ни значение \(T\) (как долго бушевал пожар), ни местоположение деревьев, которые были подожжены. Они хотят, чтобы вы определили максимальное значение \(T\) (чтобы узнать, сколько времени в запасе у поджигателей) и возможное множество деревьев, которые были подожжены.

Заметим, что вы хотите максимизировать значение \(T\), но множество деревьев может быть произвольным.

Входные данные

В первой строке заданы два целых числа \(n\) и \(m\) (\(1 \le n, m \le 10^6\), \(1 \le n \cdot m \le 10^6\)) — размеры карты.

В следующих \(n\) строках задана карта. Строка \(i\) соответствует \(i\)-й строке карты и содержит строку из \(m\) символов. \(j\)-й символ \(i\)-й строки либо «X», если соответствующее дерево сгорело, либо «.» — если осталось в целости.

Гарантируется, что карта содержит хотя бы один «X».

Выходные данные

В первой строке выведите единственное число \(T\) — максимальное время, которое мог гореть лес. В следующих \(n\) строках выведите сертификат: карту (прямоугольник \(n \times m\)), на которой подожженные деревья отмечены как «X», а оставшиеся как «.».

E. Алиса и нечестная игра

Бинарный поиск Структуры данных дп снм *2500

Алиса играет в игру со своей хорошей подругой, Марисой.

В линию располагается \(n\) коробок, пронумерованных слева направо целыми числами от \(1\) до \(n\). Мариса спрячет куклу в одной из коробок. Затем у Алисы будет \(m\) шансов угадать где находится кукла. Если Алиса хотя бы раз верно угадает номер коробки, в которой сейчас находится кукла, то она победит, иначе победит ее подруга.

Для того, чтобы победить, Мариса будет использовать некоторые нечестные трюки. После каждого раза, когда Алиса пыталась угадать коробку, она может переместить куклу в соседнюю коробку или оставить на месте. Коробки с номерами \(i\) и \(i + 1\) являются соседними, для всех \(1 \leq i \leq n - 1\). Перед тем как игра начнется, она также может сделать этот трюк один раз.

Таким образом, игра происходит следующим образом: игра начинается, Мариса делает трюк, Алиса делает первое предположение, Мариса делает трюк, Алиса делает второе предположение, Мариса делает трюк, \(\ldots\), Алиса делает \(m\)-е предположение, Мариса делает трюк, игра заканчивается.

Алиса придумала некоторую последовательность \(a_1, a_2, \ldots, a_m\). В \(i\)-м вопросе, она спросит, находится ли кукла в коробке с номером \(a_i\). Она хочет узнать сколько существует различных сценариев \((x, y)\) (для всех \(1 \leq x, y \leq n\)), таких что Мариса сможет выиграть в игре, если она положит куклу в коробку с номером \(x\) в начале игры и после того, как игра закончится, кукла будет в коробке с номером \(y\). Помогите ей и посчитайте это число.

Входные данные

В первой строке находится два целых числа \(n\) и \(m\), разделенных пробелом (\(1 \leq n, m \leq 10^5\)) — количество коробок и количество предположений, которое сделает Алиса.

В следующей строке находится \(m\) целых чисел \(a_1, a_2, \ldots, a_m\), разделенных пробелами (\(1 \leq a_i \leq n\)), число \(a_i\) означает номер коробки, которую спросит Алиса во время \(i\)-го предположения.

Выходные данные

Выведите количество сценариев в единственной строке, а именно количество пар коробок \((x, y)\) (\(1 \leq x, y \leq n\)), таких что если Мариса положит куклу в коробку \(x\), то она сможет делать трюки так, что в конце игры кукла будет в коробке \(y\) и она не проиграет игру.

Примечание

В первом тесте, возможные сценарии это \((1, 1)\), \((1, 2)\), \((2, 1)\), \((2, 2)\), \((2, 3)\), \((3, 2)\), \((3, 3)\).

Возьмем \((2, 2)\) в качестве примера. Коробки, в которых находится кукла во время игры могут быть \(2 \to 3 \to 3 \to 3 \to 2\).

C2. Сбалансированные удаления (посложнее)

Бинарный поиск Конструктив реализация жадные алгоритмы сортировки *1900 разделяй и властвуй

Это усложнённая версия задачи. В этой версии \(n \le 50\,000\).

В трёхмерном пространстве заданы \(n\) различных точек, пронумерованных от \(1\) до \(n\). \(i\)-я точка имеет координаты \((x_i, y_i, z_i)\). Число точек \(n\) — чётное.

Вы хотели бы удалить все \(n\) точек, используя последовательность из \(\frac{n}{2}\) щелчков. За один щелчок вы можете удалить любые две ещё не удалённые точки \(a\) и \(b\), которые образуют идеально сбалансированную пару. Пара точек \(a\) и \(b\) идеально сбалансирована, если никакая другая точка \(c\) (которая ещё не удалена) не лежит в пределах минимального ограничивающего точки \(a\) и \(b\) прямоугольного параллелепипеда с рёбрами, параллельными осям координат.

Формально, точка \(c\) лежит внутри ограничивающего параллелепипеда точек \(a\) и \(b\) тогда и только тогда, когда \(\min(x_a, x_b) \le x_c \le \max(x_a, x_b)\), \(\min(y_a, y_b) \le y_c \le \max(y_a, y_b)\) и \(\min(z_a, z_b) \le z_c \le \max(z_a, z_b)\). Обратите внимание, что параллелепипед может быть вырожденным.

Найдите способ удалить все точки за \(\frac{n}{2}\) щелчков.

Входные данные

Первая строка содержит целое число \(n\) (\(2 \le n \le 50\,000\); \(n\) чётно) — число точек.

Каждая из следующих \(n\) строк содержит три целых числа \(x_i\), \(y_i\), \(z_i\) (\(-10^8 \le x_i, y_i, z_i \le 10^8\)) — координаты \(i\)-й точки.

Никакие две точки не совпадают.

Выходные данные

Выведите \(\frac{n}{2}\) пар целых чисел \(a_i, b_i\) (\(1 \le a_i, b_i \le n\)) — номера точек, удаляемых щелчком \(i\). Каждое целое число от \(1\) до \(n\) должно встретиться в выводе ровно один раз.

Можно показать, что всегда возможно удалить все точки. Если есть несколько решений, выведите любое.

Примечание

В первом примере точки и их соответствующие параллелепипеды выглядят так (изображённые для простоты в двумерном пространстве, так как все точки лежат на плоскости \(z = 0\)). Обратите внимание, что порядок удаления точек важен: например, точки \(5\) и \(1\) не образуют идеально сбалансированную пару изначально, но начинают её образовывать после того, как удалена точка \(3\).

D. Сбалансированный плейлист

Бинарный поиск Структуры данных реализация *2000

Ваша любимая музыкальная платформа сформировала идеально сбалансированный плейлист специально для вас. В плейлисте \(n\) треков, пронумерованные от \(1\) до \(n\). Плейлист автоматический и циклический: когда трек \(i\) заканчивает воспроизведение, сразу включается трек \(i+1\); за треком \(n\) идёт трек \(1\).

Для каждого трека \(i\) вы оценили его крутость \(a_i\). Чем больше \(a_i\), тем круче трек \(i\).

Каждое утро вы выбираете трек. Плейлист начинает играть с этого трека в последовательном циклическом порядке. В любой момент вы помните крутость \(x\) самого крутого из уже сыгранных треков. Как только вы слышите, что начинает играть трек с крутостью строго меньше \(\frac{x}{2}\) (без округления), вы сразу же выключаете музыку, чтобы не портить себе хорошее настроение.

Для каждого трека \(i\) найдите, сколько треков вы послушаете перед тем, как выключите музыку, если начнёте утро с трека \(i\), или же определите, что вы никогда не выключите музыку. Обратите внимание, что если вы послушаете один трек несколько раз, все эти разы нужно посчитать.

Входные данные

Первая строка содержит целое число \(n\) (\(2 \le n \le 10^5\)) — число треков в плейлисте.

Вторая строка содержит \(n\) целых чисел \(a_1, a_2, \ldots, a_n\) (\(1 \le a_i \le 10^9\)) — крутости треков.

Выходные данные

Выведите \(n\) целых чисел \(c_1, c_2, \ldots, c_n\), где \(c_i\) — либо число треков, которые вы послушаете, если начнёте слушать с трека \(i\), либо \(-1\), если вы будете слушать музыку бесконечно.

Примечание

Вот что произойдёт в первом примере, если вы начнёте слушать с...

  • трека \(1\): послушаете трек \(1\), остановитесь, так как \(a_2 < \frac{a_1}{2}\).
  • трека \(2\): послушаете трек \(2\), остановитесь, так как \(a_3 < \frac{a_2}{2}\).
  • трека \(3\): послушаете трек \(3\), послушаете трек \(4\), послушаете трек \(1\), остановитесь, так как \(a_2 < \frac{\max(a_3, a_4, a_1)}{2}\).
  • трека \(4\): послушаете трек \(4\), послушаете трек \(1\), остановитесь, так как \(a_2 < \frac{\max(a_4, a_1)}{2}\).

Во втором примере, если вы начнёте с трека \(4\), вы послушаете трек \(4\), послушаете трек \(1\), послушаете трек \(2\), послушаете трек \(3\), послушаете снова трек \(4\), послушаете снова трек \(1\) и остановитесь, так как \(a_2 < \frac{max(a_4, a_1, a_2, a_3, a_4, a_1)}{2}\). Обратите внимание, что трек \(1\) и трек \(4\) учтены в результате дважды.

D. AB-строка

Строки Бинарный поиск Комбинаторика дп *1900

Строка \(t_1t_2 \dots t_k\) является хорошей, если каждый символ этой строки принадлежит хотя бы одному палиндрому длины больше 1.

Палиндром — это строка, читающаяся одинаково от первого символа к последнему и от последнего символа к первому. Например, строки A, BAB, ABBA, BAABBBAAB являются палиндромами, а строки AB, ABBBAA, BBBA — нет.

Например, хорошим являются строки:

  • \(t\) = AABBB (символы \(t_1\), \(t_2\) принадлежат палиндрому \(t_1 \dots t_2\), а символы \(t_3\), \(t_4\), \(t_5\) — палиндрому \(t_3 \dots t_5\));
  • \(t\) = ABAA (символы \(t_1\), \(t_2\), \(t_3\) принадлежат палиндрому \(t_1 \dots t_3\), а символ \(t_4\) — палиндрому \(t_3 \dots t_4\));
  • \(t\) = AAAAA (все символы принадлежат палиндрому \(t_1 \dots t_5\));

Вам задана строка \(s\) длины \(n\), состоящая только из букв A и B.

Посчитайте количество хороших подстрок строки \(s\).

Входные данные

Первая строка содержит число \(n\) (\(1 \le n \le 3 \cdot 10^5\)) — длину строки \(s\).

Вторая строка содержит строку \(s\), состоящую из букв A и B.

Выходные данные

Выведите одно число — количество хороших подстрок строки \(s\).

Примечание

Первая строка содержит шесть хороших подстрок: \(s_1 \dots s_2\), \(s_1 \dots s_4\), \(s_1 \dots s_5\), \(s_3 \dots s_4\), \(s_3 \dots s_5\) и \(s_4 \dots s_5\).

Вторая строка содержит две хороших подстроки: \(s_1 \dots s_2\), \(s_1 \dots s_3\) and \(s_2 \dots s_3\)

E. Минимизация разности

Бинарный поиск Тернарный поиск Конструктив *2000 жадные алгоритмы сортировки

В данной задаче вам задана последовательность \(a_1, a_2, \dots, a_n\), состоящая из \(n\) целых чисел.

Вы можете изменять элементы последовательности. В ходе одной операции изменения, вы можете выбрать произвольную позицию в последовательности и увеличить или уменьшить элемент, находящийся в этой позиции, на единицу.

Перед вами стоит задача определить минимально возможную разность между максимальным и минимальным элементами последовательности, которую можно достичь, произведя не более \(k\) описанных операций.

Входные данные

В первой строке следуют два целых числа \(n\) и \(k\) \((2 \le n \le 10^{5}, 1 \le k \le 10^{14})\) — количество элементов в последовательности и максимальное количество операций изменения элементов, которое можно произвести.

Во второй строке следует последовательность целых чисел \(a_1, a_2, \dots, a_n\) \((1 \le a_i \le 10^{9})\).

Выходные данные

Выведите минимально возможную разность между максимальным и минимальным элементами последовательности, которую можно достичь, произведя не более \(k\) операций, описанных в условии.

Примечание

В первом примере можно дважды увеличить на единицу второе число и дважды уменьшить на единицу третье число. Тогда получим последовательности \([3, 3, 5, 5]\), в которой разность между максимальным и минимальным элементами равна \(2\). При этом останется одна еще операция, но ее можно не использовать, так как не удастся сделать разность между максимальным и минимальным элементами меньше \(2\).

Во втором примере можно не использовать ни одной операции, так как все элементы в последовательности одинаковые, а значит разность между максимальным и минимальным элементами равна \(0\).

C2. Хорошие числа (сложная версия)

Бинарный поиск математика *1500 жадные алгоритмы meet-in-the-middle

Единственное отличие между простой и сложной версиями — максимальное значение \(n\).

Вам дано положительное целое число \(n\). Вы очень любите хорошие числа, поэтому вам хочется найти минимальное хорошее число, большее или равное \(n\).

Положительное число называется хорошим, если оно может быть представлено в виде суммы различных степеней \(3\) (т.е. повторения степеней \(3\) запрещены).

Например:

  • \(30\)хорошее число: \(30 = 3^3 + 3^1\),
  • \(1\)хорошее число: \(1 = 3^0\),
  • \(12\)хорошее число: \(12 = 3^2 + 3^1\),
  • но \(2\) не является хорошим числом: вы не можете представить его в виде суммы различных степеней \(3\) (\(2 = 3^0 + 3^0\)),
  • \(19\) не является хорошим числом: вы не можете представить его в виде суммы различных степеней \(3\) (например, представления \(19 = 3^2 + 3^2 + 3^0 = 3^2 + 3^1 + 3^1 + 3^1 + 3^0\) не являются корректными),
  • \(20\) тоже не является хорошим числом: вы не можете представить его в виде суммы различных степеней \(3\) (например, представление \(20 = 3^2 + 3^2 + 3^0 + 3^0\) не является корректным).

Обратите внимание, что существуют и другие представления \(19\) и \(20\) в качестве сумм степеней \(3\), но ни одно из них не состоит из различных степеней \(3\).

Для заданного положительного числа \(n\) найдите наименьшее \(m\) (\(n \le m\)) такое, что \(m\)хорошее число.

Вам необходимо ответить на \(q\) независимых запросов.

Входные данные

Первая строка входных данных содержит одно целое число \(q\) (\(1 \le q \le 500\)) — количество запросов. Затем следуют \(q\) запросов.

Единственная строка запроса содержит одно целое число \(n\) (\(1 \le n \le 10^{18}\)).

Выходные данные

Для каждого запроса выведите наименьшее число \(m\) (где \(n \le m\)) такое, что \(m\)хорошее число.

E. Компания MST

Бинарный поиск *2400 графы

Компания MST (Meaningless State Team) выиграла очередной тендер на проведение важной государственной реформы в Берляндии.

В Берляндии n городов, некоторые пары из которых соединены дорогами. У каждой дороги есть ее стоимость. По любой дороге можно двигаться в любом направлении. Компания MST должна провести ремонтные работы на некотором таком наборе дорог, что из любого города можно добраться до любого другого, двигаясь только по отремонтированным дорогам. Кроме того, этот набор должен содержать ровно k столичных дорог (то есть таких, что одним из ее концов является столица). Столица имеет номер 1.

Так как бюджет работ уже утвержден, то компании MST выгодно найти такой набор, что сумма длин входящих в него дорог наименьшая.

Входные данные

Первая строка входного файла содержит три целых числа n, m, k (1 ≤ n ≤ 5000;0 ≤ m ≤ 105;0 ≤ k < 5000), где n — это количество городов в стране, m — количество дорог в стране, k — количество столичных дорог в искомом наборе. Далее в m строках перечислены сами дороги. Каждая дорога задана тройкой чисел ai, bi, wi (1 ≤ ai, bi ≤ n; 1 ≤ w ≤ 105), где ai, bi — это номера городов, соединяемых дорогой, а wi — это ее длина.

Между каждой парой городов существует не более одной дороги. Нет дорог, ведущих из себя в себя же. Столица имеет номер 1.

Выходные данные

Выведите количество дорог в искомом наборе в первую строку. Вторая строка должна содержать номера дорог, включенных в искомое множество. Если искомого набора не существует, то выведите -1.

I. Show Must Go On

Бинарный поиск Перебор жадные алгоритмы кратчайшие пути *3100

The director of the famous dance show plans a tour. It is already decided that the tour will consist of up to \(m\) concerts.

There are \(n\) dancers in the troupe. Each dancer is characterized by her awkwardness: the awkwardness of the \(i\)-th dancer is equal to \(a_i\).

The director likes diversity. For this reason, each concert will be performed by a different set of dancers. A dancer may perform in multiple concerts. For example, it is possible that a set of dancers performs in one concert and a subset of this set of dancers performs in another concert. The only constraint is that the same set of dancers cannot perform twice.

The director prefers the set with larger number of dancers over the set with smaller number of dancers. If two sets consist of the same number of dancers, then the director prefers the one which has smaller sum of awkwardness of dancers. If two sets of dancers are equal in size and total awkwardness, then the director does not have a preference which one is better.

A marketing study shows that viewers are not ready to come to a concert if the total awkwardness of all the dancers performing in the concert is greater than \(k\).

The director wants to find the best plan for \(m\) concerts. He thinks to write down all possible sets of dancers; then get rid of the sets with total awkwardness greater than \(k\). The remaining sets of dancers will be sorted according to his preference. The most preferred set of dancers will give the first concert, the second preferred set — the second concert and so on until the \(m\)-th concert. If it turns out that the total number of valid sets is less than \(m\), then the total number of concerts will be equal to the number of valid sets.

It turns out that the director delegated finding the plan to you! Please, notice that there might be several acceptable plans due to the fact that the director does not have a preference over sets of dancers with the same size and total awkwardness. In this case any of these plans is good enough. For each concert find the number of dancers and the total awkwardness of the set performing. Also, for the last concert find its set of dancers.

Input

The first line contains one integer \(t\) (\(1 \le t \le 10^5\)) — the number of test cases in the input. Then the test cases follow.

Each test case begins with a line containing three integers \(n\), \(k\) and \(m\) (\(1 \le n \le 10^6\), \(1 \le k \le 10^{18}\), \(1 \le m \le 10^6\)) — the total number of dancers, the maximum acceptable awkwardness of a set of dancers and the maximum number of concerts, respectively.

The following line contains \(n\) integers \(a_1, a_2, \dots, a_n\) (\(1 \le a_i \le 10^{12}\)), where \(a_i\) is the awkwardness of the \(i\)-th dancer.

The sum of the values of \(n\) over all test cases in the input does not exceed \(10^6\). Similarly, the sum of the values of \(m\) over all test cases in the input does not exceed \(10^6\).

Output

Print the answers to all test cases in the input.

If the troupe cannot give concerts at all, then simply print one line "0". In this case, you should not print anything else.

If the troupe gives a positive number of concerts \(r\) (\(r\) is equal to the minimum of \(m\) and the total number of valid sets), then first print the value of \(r\), then \(r\) lines: the \(j\)-th line should contain two integers \(s_j\) and \(t_j\) — the number of dancers in the \(j\)-th concert and the total awkwardness of the dancers performing in the \(j\)-th concert. Complete the output to a test case with a line that describes the last set: print exactly \(s_r\) distinct integers from \(1\) to \(n\) — the numbers of the dancers who will perform at the \(r\)-th (last) concert, in any order. If there are several answers, print any of them.

J. The Parade

Бинарный поиск *1800 жадные алгоритмы

The Berland Army is preparing for a large military parade. It is already decided that the soldiers participating in it will be divided into \(k\) rows, and all rows will contain the same number of soldiers.

Of course, not every arrangement of soldiers into \(k\) rows is suitable. Heights of all soldiers in the same row should not differ by more than \(1\). The height of each soldier is an integer between \(1\) and \(n\).

For each possible height, you know the number of soldiers having this height. To conduct a parade, you have to choose the soldiers participating in it, and then arrange all of the chosen soldiers into \(k\) rows so that both of the following conditions are met:

  • each row has the same number of soldiers,
  • no row contains a pair of soldiers such that their heights differ by \(2\) or more.

Calculate the maximum number of soldiers who can participate in the parade.

Input

The first line contains one integer \(t\) (\(1 \le t \le 10000\)) — the number of test cases. Then the test cases follow.

Each test case begins with a line containing two integers \(n\) and \(k\) (\(1 \le n \le 30000\), \(1 \le k \le 10^{12}\)) — the number of different heights of soldiers and the number of rows of soldiers in the parade, respectively.

The second (and final) line of each test case contains \(n\) integers \(c_1\), \(c_2\), ..., \(c_n\) (\(0 \le c_i \le 10^{12}\)), where \(c_i\) is the number of soldiers having height \(i\) in the Berland Army.

It is guaranteed that the sum of \(n\) over all test cases does not exceed \(30000\).

Output

For each test case, print one integer — the maximum number of soldiers that can participate in the parade.

Note

Explanations for the example test cases:

  1. the heights of soldiers in the rows can be: \([3, 3, 3, 3]\), \([1, 2, 1, 1]\), \([1, 1, 1, 1]\), \([3, 3, 3, 3]\) (each list represents a row);
  2. all soldiers can march in the same row;
  3. \(33\) soldiers with height \(1\) in each of \(3\) rows;
  4. all soldiers can march in the same row;
  5. all soldiers with height \(2\) and \(3\) can march in the same row.

L. Divide The Students

Бинарный поиск математика *1500 жадные алгоритмы

A group of students has recently been admitted to the Faculty of Computer Sciences at the Berland State University. Now the programming teacher wants to divide them into three subgroups for practice sessions.

The teacher knows that a lot of programmers argue which language is the best. The teacher doesn't want to hear any arguments in the subgroups, so she wants to divide the students into three subgroups so that no pair of students belonging to the same subgroup want to argue.

To perform this division, the teacher asked each student which programming language he likes. There are \(a\) students who answered that they enjoy Assembler, \(b\) students stated that their favourite language is Basic, and \(c\) remaining students claimed that C++ is the best programming language — and there was a large argument between Assembler fans and C++ fans.

Now, knowing that Assembler programmers and C++ programmers can start an argument every minute, the teacher wants to divide the students into three subgroups so that every student belongs to exactly one subgroup, and there is no subgroup that contains at least one Assembler fan and at least one C++ fan. Since teaching a lot of students can be difficult, the teacher wants the size of the largest subgroup to be minimum possible.

Please help the teacher to calculate the minimum possible size of the largest subgroup!

Input

The first line contains one integer \(t\) (\(1 \le t \le 5\)) — the number of test cases in the input. Then test cases follow.

Each test case consists of one line containing three integers \(a\), \(b\) and \(c\) (\(1 \le a, b, c \le 1000\)) — the number of Assembler fans, Basic fans and C++ fans, respectively.

Output

For each test case print one integer — the minimum size of the largest subgroup if the students are divided in such a way that there is no subgroup that contains at least one Assembler fan and at least one C++ fan simultaneously.

Note

Explanation of the answers for the example \(1\):

  1. The first subgroup contains \(3\) Assembler fans and \(2\) Basic fans, the second subgroup — \(5\) C++ fans, the third subgroup — \(2\) C++ fans and \(3\) Basic fans.
  2. The first subgroup contains \(4\) Assembler fans, the second subgroup — \(6\) Basic fans, the third subgroup — \(2\) Basic fans and \(4\) C++ fans.
  3. The first subgroup contains all Assembler fans, the second subgroup — all Basic fans, the third subgroup — all C++ fans.
  4. The first subgroup contains all Assembler fans, the second subgroup — all Basic fans, the third subgroup — all C++ fans.
  5. The first subgroup contains \(12\) Assembler fans and \(2\) Basic fans, the second subgroup — \(1\) Assembler fan and \(13\) Basic fans, the third subgroup — \(7\) Basic fans and \(7\) C++ fans.

D. Изменение зарплат

Бинарный поиск жадные алгоритмы сортировки *1900

Вы являетесь главой большой фирмы. \(n\) человек работают на вас, и \(n\) нечетно (т.е. \(n\) не делится на \(2\)).

Вам нужно распределить зарплаты вашим работникам. У вас есть \(s\) долларов для этого, и \(i\)-й работник должен получить зарплату от \(l_i\) до \(r_i\) долларов. Вам нужно так распределить зарплаты, чтобы максимизировать медианную зарплату.

Чтобы найти медиану множества нечетного размера, вам нужно отсортировать все числа множества и взять то, которое находится ровно посередине. Например:

  • медиана множества \([5, 1, 10, 17, 6]\) равна \(6\),
  • медиана множества \([1, 2, 1]\) равна \(1\).

Гарантируется, что вам хватит денег для выплаты минимальных зарплат, т.е. \(l_1 + l_2 + \dots + l_n \le s\).

Обратите внимание, что вам не обязательно тратить все \(s\) долларов на зарплаты.

Вам нужно ответить на \(t\) тестовых наборов.

Входные данные

Первая строка содержит число \(t\) (\(1 \le t \le 2 \cdot 10^5\)) — количество наборов.

Первая строка каждого набора содержит два числа \(n\) и \(s\) (\(1 \le n < 2 \cdot 10^5\), \(1 \le s \le 2 \cdot 10^{14}\)) — количество работников и количество ваших денег. Число \(n\) не делится на \(2\).

Следующие \(n\) строк содержат описание информации о работниках. В \(i\)-й строке содержатся два числа \(l_i\) и \(r_i\) (\(1 \le l_i \le r_i \le 10^9\)).

Гарантируется, что сумма \(n\) по всем наборам не превосходит \(2 \cdot 10^5\).

Также гарантируется, что вам хватит денег для выплаты минимальных зарплат, т. е. \(\sum\limits_{i=1}^{n} l_i \le s\).

Выходные данные

На каждый набор выведите одно число — максимальную медианную зарплату, которую вы можете получить.

Примечание

В первом наборе вы можете распределить зарплаты следующим образом: \(sal_1 = 12, sal_2 = 2, sal_3 = 11\) (\(sal_i\) равно зарплате \(i\)-го работника). Тогда медианная зарплата будет равна \(11\).

Во втором наборе вам нужно платить \(1337\) долларов единственному работнику.

В третьем наборе вы можете распределить зарплаты следующим образом: \(sal_1 = 4, sal_2 = 3, sal_3 = 6, sal_4 = 6, sal_5 = 7\). Тогда медианная зарплата будет равна \(6\).

E2. Голосование (усложнённая версия)

Бинарный поиск Структуры данных жадные алгоритмы *2400

Единственное отличие между простой и сложной версиями — ограничения.

Сейчас в Берляндии проходят выборы и вы хотите победить в них. А точнее, вы не просто хотите победить, а сделать так, чтобы все проголосовали за вас.

Всего есть \(n\) голосующих и два варианта сделать так, чтобы они проголосовали за вас. Первый вариант это заплатить \(i\)-му голосующему \(p_i\) монет. Второй вариант, это сделать так, чтобы \(m_i\) других людей проголосовало за вас, и тогда \(i\)-й голосующий проголосует бесплатно.

Более того, процесс такого голосования проходит в несколько шагов. Например, если есть пять голосующих \(m_1 = 1\), \(m_2 = 2\), \(m_3 = 2\), \(m_4 = 4\), \(m_5 = 5\), то вы можете купить голос пятого, и в конце концов все проголосуют за вас. Множество людей, голосующих за вас, будет меняться следующим образом: \({5} \rightarrow {1, 5} \rightarrow {1, 2, 3, 5} \rightarrow {1, 2, 3, 4, 5}\).

Посчитайте минимально количество монет, которое вам нужно потратить, чтобы все проголосовали за вас.

Входные данные

Первая строка содержит число \(t\) (\(1 \le t \le 2 \cdot 10^5\)) — количество наборов входных данных.

Первая строка каждого набора содержит число \(n\) (\(1 \le n \le 2 \cdot 10^5\)) — количество голосующих.

Следующие \(n\) строк содержат описание голосующих. \(i\)-я строка содержит два числа \(m_i\) и \(p_i\) (\(1 \le p_i \le 10^9, 0 \le m_i < n\)).

Гарантируется, что сумма \(n\) по всем тест-кейсам не превосходит \(2 \cdot 10^5\).

Выходные данные

На каждый набор выведите одно число — минимально количество монет, которое вам нужно потратить, чтобы все проголосовали за вас.

Примечание

В первом наборе вам нужно купить голос третьего голосующего. Тогда множество людей, голосующих за вас, будет меняться следующим образом: \({3} \rightarrow {1, 3} \rightarrow {1, 2, 3}\).

Во втором наборе вам не нужно покупать голоса. Множество людей, голосующих за вас, будет меняться следующим образом: \({1} \rightarrow {1, 3, 5} \rightarrow {1, 2, 3, 5} \rightarrow {1, 2, 3, 5, 6, 7} \rightarrow {1, 2, 3, 4, 5, 6, 7}\).

В третьем наборе вам нужно купить голоса второго и пятого голосующих. Тогда множество людей, голосующих за вас, будет меняться следующим образом: \({2, 5} \rightarrow {1, 2, 3, 4, 5} \rightarrow {1, 2, 3, 4, 5, 6}\).

F. Дешевый робот

Бинарный поиск Деревья графы кратчайшие пути снм *2500

Вам дан простой, неориентированный, связный взвешенный граф с \(n\) вершинами и \(m\) ребрами.

Вершины пронумерованы от \(1\) до \(n\). Есть ровно \(k\) центров (точек перезарядки), находящихся в вершинах \(1, 2, \ldots, k\).

Рассмотрим робота, двигающегося по этому графу, с батареей емкости \(c\), пока не фиксированной конструктором. В любой момент времени батарея может содержать целое количество \(x\) энергии от \(0\) до \(c\) включительно.

Переход по ребру веса \(w_i\) возможен, только если \(x \ge w_i\), и это стоит \(w_i\) энергии (\(x := x - w_i\)).

Когда робот достигает центра, его батарея полностью перезаряжается (\(x := c\)).

Вам дано \(q\) независимых миссий, в \(i\)-й миссии роботу требуется добраться от центра \(a_i\) до центра \(b_i\).

Для каждой миссии, вам требуется найти минимальную емкость батареи, которая требуется, чтобы пройти эту миссию.

Входные данные

В первой строке записано четыре целых числа \(n\), \(m\), \(k\) и \(q\) (\(2 \le k \le n \le 10^5\) и \(1 \le m, q \le 3 \cdot 10^5\)).

В \(i\)-й из следующих \(m\) строк записаны три целых числа \(u_i\), \(v_i\) и \(w_i\) (\(1 \le u_i, v_i \le n\), \(u_i \neq v_i\), \(1 \le w_i \le 10^9\)), означающих, что в графе есть ребро между вершинами \(u\) и \(v\), с весом \(w_i\).

Гарантируется, что данный граф простой (в нем нет петель, между каждой парой вершин есть не более одного ребра) и связный.

В \(i\)-й из следующих \(q\) строк записаны два целых числа \(a_i\) и \(b_i\) (\(1 \le a_i, b_i \le k\), \(a_i \neq b_i\)).

Выходные данные

Вам нужно вывести \(q\) строк, \(i\)-я из них должна содержать одно целое число: минимальная емкость, которая нужна, чтобы пройти \(i\)-ю миссию.

Примечание

В первом примере, граф является цепочкой \(10 - 9 - 2^C - 4 - 1^C - 5 - 7 - 3^C - 8 - 6\), где центрами являются вершины \(1\), \(2\) and \(3\).

Для миссии \((2, 3)\), существует только один простой путь. Вот пример прохождения этой миссии с емкостью \(12\).

  • Робот начинает в вершине \(2\), с \(c = 12\) энергии.
  • Робот использует ребро веса \(4\).
  • Робот дошел до вершины \(4\), с \(12 - 4 = 8\) энергии.
  • Робот использует ребро веса \(8\).
  • Робот дошел до вершины \(1\) с \(8 - 8 = 0\) энергии.
  • Робот на центре, поэтому его батарея перезаряжается. Теперь у него есть \(c = 12\) энергии.
  • Робот использует ребро веса \(2\).
  • Робот находится в вершине \(5\), с \(12 - 2 = 10\) очками энергии.
  • Робот использует ребро веса \(3\).
  • Робот находится в вершине \(7\), с \(10 - 3 = 7\) очками энергии.
  • Робот использует ребро веса \(2\).
  • Робот находится в вершине \(3\), с \(7 - 2 = 5\) очками энергии.
  • Робот на центре, поэтому его батарея перезаряжается. Теперь у него есть \(c = 12\) энергии.
  • Конец симуляции

Обратите внимание, что если бы \(c\) было меньше \(12\), у нас было бы меньше \(8\) энергии в вершине \(4\), поэтому было бы невозможно воспользоваться ребром \(4 \leftrightarrow 1\) веса \(8\). Таким образом \(12\) это минимальная возможная емкость, которой хватит, для прохождения миссии.

Граф во втором примере описан здесь (центры это красные вершины):

Робот может выполнить миссию \((3, 1)\) с батареей емкости \(c = 38\), испольуя путь \(3 \rightarrow 9 \rightarrow 8 \rightarrow 7 \rightarrow 2 \rightarrow 7 \rightarrow 6 \rightarrow 5 \rightarrow 4 \rightarrow 1\)

Робот может выполнить миссию \((2, 3)\) с батареей емкости \(c = 15\), используя путь \(2 \rightarrow 7 \rightarrow 8 \rightarrow 9 \rightarrow 3\)

D. Очередная задача на сражение с монстрами

Бинарный поиск Структуры данных дп жадные алгоритмы сортировки *1700

Вы играете в компьютерную игру. В этой игре вы являетесь главой партии из \(m\) героев, и вам нужно зачистить подземелье, в котором находится \(n\) монстров. Каждый монстр характеризуется своей силой \(a_i\). Каждый герой характеризуется своей силой \(p_i\) и выносливостью \(s_i\).

Герои чистят подземелье день за днем. В начале каждого дня вы выбираете героя (ровно одного), который пойдет в подземелье в этот день.

Когда герой заходит в подземелье, он начинает сражаться с первым монстром, не побежденным в прошлые дни (т. е. если уже было побеждено \(k\) монстров, то этот герой будет сражаться с монстром под номером \(k + 1\)). Когда герой сражается с монстром, возможно два варианта:

  • если сила монстра строго больше силы героя, то герой уходит из подземелья и день заканчивается;
  • иначе монстр считается побежденным.

После победы над монстром герой либо продолжает сражаться с монстрами, либо уходит из подземелья. Он уходит, если он в этот день победил количество монстров, равное его выносливости (таким образом, \(i\)-й герой не может победить больше \(s_i\) монстров в течение одного дня), либо если все монстры побеждены — в противном случае герой сражается со следующим монстром. Когда герой покидает пещеру, текущий день заканчивается.

Ваша задача — победить всех монстров. Какое минимальное количество дней вам понадобится для этого? Каждый день вы выбираете ровно одного героя; возможно, некоторые герои не будут сражаться вообще, а некоторые будут сражаться несколько раз.

Входные данные

Первая строка содержит целое число \(t\) (\(1 \le t \le 10^5\)) — количество наборов входных данных. Каждый набор данных выглядит следующим образом.

Первая строка содержит целое число \(n\) (\(1 \le n \le 2 \cdot 10^5\)) — количество монстров в подземелье.

Вторая строка содержит \(n\) чисел \(a_1\), \(a_2\), ..., \(a_n\) (\(1 \le a_i \le 10^9\)), где \(a_i\) — сила \(i\)-го монстра.

Третья строка содержит целое число \(m\) (\(1 \le m \le 2 \cdot 10^5\)) — количество героев в вашей партии.

После следуют \(m\) строк, каждая описывает героя. Каждая такая строка содержит два числа \(p_i\) и \(s_i\) (\(1 \le p_i \le 10^9\), \(1 \le s_i \le n\)) — силу и выносливость \(i\)-го героя.

Гарантируется, что сумма \(n + m\) по всем наборам входных данных не превосходит \(2 \cdot 10^5\).

Выходные данные

На каждый набор входных данных выведите одно число — минимальное количество дней, которое вам нужно потратить для победы над всеми монстрами (или \(-1\), если это невозможно).

A. Горячая ванна

Бинарный поиск Перебор математика *1900

Вася собирается принять ванну.

Для наполнения ванны имеются два крана — с горячей и с холодной водой. Холодная вода имеет температуру t1, а горячая — t2. Кран с холодной водой позволяет пропускать любое целое число единиц воды в секунду в пределах от 0 до x1 включительно. Аналогично, кран с горячей водой может пропускать от 0 до x2 единиц воды в секунду.

Если по первому крану течет y1 единиц воды в секунду, а по второму — y2 единиц, то результирующая температура воды в ванне будет:

Вася хочет открыть оба крана таким образом, чтобы температура воды в ванне была не меньше t0, но при этом максимально близка к этому значению. Если оптимальных вариантов несколько, то Вася выбирает тот, при котором ванна наполнится как можно быстрее.

Определите насколько нужно открыть каждый из кранов чтобы Вася остался доволен.

Входные данные

Даны пять целых чисел t1, t2, x1, x2 и t0 (1 ≤ t1 ≤ t0 ≤ t2 ≤ 106, 1 ≤ x1, x2 ≤ 106).

Выходные данные

Выведите два целых числа y1 и y2, разделенные пробелом (0 ≤ y1 ≤ x1, 0 ≤ y2 ≤ x2).

Примечание

Во втором примере горячую воду выгодно вообще не включать, а холодную включить на полную мощность, чтобы ванна наполнилась как можно быстрее.

A. Горячая ванна

Бинарный поиск Перебор математика *1900

Вася собирается принять ванну.

Для наполнения ванны имеются два крана — с горячей и с холодной водой. Холодная вода имеет температуру t1, а горячая — t2. Кран с холодной водой позволяет пропускать любое целое число единиц воды в секунду в пределах от 0 до x1 включительно. Аналогично, кран с горячей водой может пропускать от 0 до x2 единиц воды в секунду.

Если по первому крану течет y1 единиц воды в секунду, а по второму — y2 единиц, то результирующая температура воды в ванне будет:

Вася хочет открыть оба крана таким образом, чтобы температура воды в ванне была не меньше t0, но при этом максимально близка к этому значению. Если оптимальных вариантов несколько, то Вася выбирает тот, при котором ванна наполнится как можно быстрее.

Определите насколько нужно открыть каждый из кранов чтобы Вася остался доволен.

Входные данные

Даны пять целых чисел t1, t2, x1, x2 и t0 (1 ≤ t1 ≤ t0 ≤ t2 ≤ 106, 1 ≤ x1, x2 ≤ 106).

Выходные данные

Выведите два целых числа y1 и y2, разделенные пробелом (0 ≤ y1 ≤ x1, 0 ≤ y2 ≤ x2).

Примечание

Во втором примере горячую воду выгодно вообще не включать, а холодную включить на полную мощность, чтобы ванна наполнилась как можно быстрее.

A. Горячая ванна

Бинарный поиск Перебор математика *1900

Вася собирается принять ванну.

Для наполнения ванны имеются два крана — с горячей и с холодной водой. Холодная вода имеет температуру t1, а горячая — t2. Кран с холодной водой позволяет пропускать любое целое число единиц воды в секунду в пределах от 0 до x1 включительно. Аналогично, кран с горячей водой может пропускать от 0 до x2 единиц воды в секунду.

Если по первому крану течет y1 единиц воды в секунду, а по второму — y2 единиц, то результирующая температура воды в ванне будет:

Вася хочет открыть оба крана таким образом, чтобы температура воды в ванне была не меньше t0, но при этом максимально близка к этому значению. Если оптимальных вариантов несколько, то Вася выбирает тот, при котором ванна наполнится как можно быстрее.

Определите насколько нужно открыть каждый из кранов чтобы Вася остался доволен.

Входные данные

Даны пять целых чисел t1, t2, x1, x2 и t0 (1 ≤ t1 ≤ t0 ≤ t2 ≤ 106, 1 ≤ x1, x2 ≤ 106).

Выходные данные

Выведите два целых числа y1 и y2, разделенные пробелом (0 ≤ y1 ≤ x1, 0 ≤ y2 ≤ x2).

Примечание

Во втором примере горячую воду выгодно вообще не включать, а холодную включить на полную мощность, чтобы ванна наполнилась как можно быстрее.

A. Горячая ванна

Бинарный поиск Перебор математика *1900

Вася собирается принять ванну.

Для наполнения ванны имеются два крана — с горячей и с холодной водой. Холодная вода имеет температуру t1, а горячая — t2. Кран с холодной водой позволяет пропускать любое целое число единиц воды в секунду в пределах от 0 до x1 включительно. Аналогично, кран с горячей водой может пропускать от 0 до x2 единиц воды в секунду.

Если по первому крану течет y1 единиц воды в секунду, а по второму — y2 единиц, то результирующая температура воды в ванне будет:

Вася хочет открыть оба крана таким образом, чтобы температура воды в ванне была не меньше t0, но при этом максимально близка к этому значению. Если оптимальных вариантов несколько, то Вася выбирает тот, при котором ванна наполнится как можно быстрее.

Определите насколько нужно открыть каждый из кранов чтобы Вася остался доволен.

Входные данные

Даны пять целых чисел t1, t2, x1, x2 и t0 (1 ≤ t1 ≤ t0 ≤ t2 ≤ 106, 1 ≤ x1, x2 ≤ 106).

Выходные данные

Выведите два целых числа y1 и y2, разделенные пробелом (0 ≤ y1 ≤ x1, 0 ≤ y2 ≤ x2).

Примечание

Во втором примере горячую воду выгодно вообще не включать, а холодную включить на полную мощность, чтобы ванна наполнилась как можно быстрее.

A. Горячая ванна

Бинарный поиск Перебор математика *1900

Вася собирается принять ванну.

Для наполнения ванны имеются два крана — с горячей и с холодной водой. Холодная вода имеет температуру t1, а горячая — t2. Кран с холодной водой позволяет пропускать любое целое число единиц воды в секунду в пределах от 0 до x1 включительно. Аналогично, кран с горячей водой может пропускать от 0 до x2 единиц воды в секунду.

Если по первому крану течет y1 единиц воды в секунду, а по второму — y2 единиц, то результирующая температура воды в ванне будет:

Вася хочет открыть оба крана таким образом, чтобы температура воды в ванне была не меньше t0, но при этом максимально близка к этому значению. Если оптимальных вариантов несколько, то Вася выбирает тот, при котором ванна наполнится как можно быстрее.

Определите насколько нужно открыть каждый из кранов чтобы Вася остался доволен.

Входные данные

Даны пять целых чисел t1, t2, x1, x2 и t0 (1 ≤ t1 ≤ t0 ≤ t2 ≤ 106, 1 ≤ x1, x2 ≤ 106).

Выходные данные

Выведите два целых числа y1 и y2, разделенные пробелом (0 ≤ y1 ≤ x1, 0 ≤ y2 ≤ x2).

Примечание

Во втором примере горячую воду выгодно вообще не включать, а холодную включить на полную мощность, чтобы ванна наполнилась как можно быстрее.

A. Горячая ванна

Бинарный поиск Перебор математика *1900

Вася собирается принять ванну.

Для наполнения ванны имеются два крана — с горячей и с холодной водой. Холодная вода имеет температуру t1, а горячая — t2. Кран с холодной водой позволяет пропускать любое целое число единиц воды в секунду в пределах от 0 до x1 включительно. Аналогично, кран с горячей водой может пропускать от 0 до x2 единиц воды в секунду.

Если по первому крану течет y1 единиц воды в секунду, а по второму — y2 единиц, то результирующая температура воды в ванне будет:

Вася хочет открыть оба крана таким образом, чтобы температура воды в ванне была не меньше t0, но при этом максимально близка к этому значению. Если оптимальных вариантов несколько, то Вася выбирает тот, при котором ванна наполнится как можно быстрее.

Определите насколько нужно открыть каждый из кранов чтобы Вася остался доволен.

Входные данные

Даны пять целых чисел t1, t2, x1, x2 и t0 (1 ≤ t1 ≤ t0 ≤ t2 ≤ 106, 1 ≤ x1, x2 ≤ 106).

Выходные данные

Выведите два целых числа y1 и y2, разделенные пробелом (0 ≤ y1 ≤ x1, 0 ≤ y2 ≤ x2).

Примечание

Во втором примере горячую воду выгодно вообще не включать, а холодную включить на полную мощность, чтобы ванна наполнилась как можно быстрее.

A. Горячая ванна

Бинарный поиск Перебор математика *1900

Вася собирается принять ванну.

Для наполнения ванны имеются два крана — с горячей и с холодной водой. Холодная вода имеет температуру t1, а горячая — t2. Кран с холодной водой позволяет пропускать любое целое число единиц воды в секунду в пределах от 0 до x1 включительно. Аналогично, кран с горячей водой может пропускать от 0 до x2 единиц воды в секунду.

Если по первому крану течет y1 единиц воды в секунду, а по второму — y2 единиц, то результирующая температура воды в ванне будет:

Вася хочет открыть оба крана таким образом, чтобы температура воды в ванне была не меньше t0, но при этом максимально близка к этому значению. Если оптимальных вариантов несколько, то Вася выбирает тот, при котором ванна наполнится как можно быстрее.

Определите насколько нужно открыть каждый из кранов чтобы Вася остался доволен.

Входные данные

Даны пять целых чисел t1, t2, x1, x2 и t0 (1 ≤ t1 ≤ t0 ≤ t2 ≤ 106, 1 ≤ x1, x2 ≤ 106).

Выходные данные

Выведите два целых числа y1 и y2, разделенные пробелом (0 ≤ y1 ≤ x1, 0 ≤ y2 ≤ x2).

Примечание

Во втором примере горячую воду выгодно вообще не включать, а холодную включить на полную мощность, чтобы ванна наполнилась как можно быстрее.

A. Горячая ванна

Бинарный поиск Перебор математика *1900

Вася собирается принять ванну.

Для наполнения ванны имеются два крана — с горячей и с холодной водой. Холодная вода имеет температуру t1, а горячая — t2. Кран с холодной водой позволяет пропускать любое целое число единиц воды в секунду в пределах от 0 до x1 включительно. Аналогично, кран с горячей водой может пропускать от 0 до x2 единиц воды в секунду.

Если по первому крану течет y1 единиц воды в секунду, а по второму — y2 единиц, то результирующая температура воды в ванне будет:

Вася хочет открыть оба крана таким образом, чтобы температура воды в ванне была не меньше t0, но при этом максимально близка к этому значению. Если оптимальных вариантов несколько, то Вася выбирает тот, при котором ванна наполнится как можно быстрее.

Определите насколько нужно открыть каждый из кранов чтобы Вася остался доволен.

Входные данные

Даны пять целых чисел t1, t2, x1, x2 и t0 (1 ≤ t1 ≤ t0 ≤ t2 ≤ 106, 1 ≤ x1, x2 ≤ 106).

Выходные данные

Выведите два целых числа y1 и y2, разделенные пробелом (0 ≤ y1 ≤ x1, 0 ≤ y2 ≤ x2).

Примечание

Во втором примере горячую воду выгодно вообще не включать, а холодную включить на полную мощность, чтобы ванна наполнилась как можно быстрее.

B. Пароль

Строки Бинарный поиск дп *1700 хэши строковые суфф. структуры

Астерикс, Обеликс и их временные спутники Суффикс и Префикс наконец нашли храм Гармонии. Однако его двери были прочно заперты, и даже Обеликсу было не под силу их открыть.

Чуть позже они обнаружили строку s, которая была высечена в камне над воротами храма. Астерикс предположил, что это пароль для входа в храм, и громко вслух произнес эту надпись. Однако ничего не произошло. Тогда Астерикс предположил, что паролем является некоторая подстрока t строки s.

Префикс считал, что строка t является началом строки s. Суффикс считал, что строки t должна быть концом строки s. Обеликс же посчитал, что t должна находиться где-то внутри строки s, то есть не являться ни ее началом, ни ее концом.

Астерикс выбрал подстроку t так, чтобы угодить всем своим спутникам. Кроме того, из всех допустимых вариантов Астерикс выбрал наиболее длинный (потому что Астерикс любит длинные строки). Когда Астерикс произнес строку t — двери храма открылись.

Вам известна строка s. Найдите строку t или определите, что таких строк не существует, а все написанное выше — всего лишь легенда.

Входные данные

Дана строка s длины от 1 до 106 (включительно), состоящая из строчных латинских букв.

Выходные данные

Выведите строку t. Если подходящей строки t не существует — выведите «Just a legend» без кавычек.

B. Получи два нуля

Бинарный поиск математика *1300

У вас есть два числа \(a\) и \(b\). Вы можете выполнять любое количество операций с этими числами (возможно нулевое).

В качестве каждой операции вы можете выбрать целое положительное число \(x\) и сделать присвоения \(a := a - x\), \(b := b - 2x\) либо \(a := a - 2x\), \(b := b - x\). Обратите внимание, что в разных операциях вы можете использовать разные значения \(x\).

Вам нужно выяснить, возможно ли сделать числа \(a\) и \(b\) равными \(0\) одновременно при помощи таких операций?

Вам нужно ответетить на \(t\) наборов входных данных.

Входные данные

Первая строка содержит число \(t\) (\(1 \le t \le 100\)) — количество наборов входных данных.

Единственная строка каждого набора входных данных содержит два числа \(a\) и \(b\) (\(0 \le a, b \le 10^9\)).

Выходные данные

На каждый набор входных данных выведите YES если возможно сделать числа \(a\) и \(b\) равными \(0\) одновременно и NO в противном случае.

Вы можете выводить ответ в любом регистре (напрммер строки yEs, yes, Yes и YES будут распознаны как положительный ответ).

Примечание

В первом наборе входных данных вы можете сделать числа \(a\) и \(b\) равными нулю следующим образом:

  1. выбрать \(x = 4\) и сделать присовение \(a := a - x\), \(b := b - 2x\). Тогда числа изменятся следующим образом: \(a = 6 - 4 = 2\), \(b = 9 - 8 = 1\);
  2. затем выбрать \(x = 1\) и сделать присовение \(a := a - 2x\), \(b := b - x\). Тогда числа изменятся следующим образом: \(a = 2 - 2 = 0\), \(b = 1 - 1 = 0\).

D. Игра с ловушками

Бинарный поиск дп жадные алгоритмы сортировки *1900

Вы играете в компьютерную игру, в которой руководите \(m\) солдатами. У каждого солдата есть своя ловкость \(a_i\).

Уровень, который вы проходите, можно представить как отрезок прямой между точками \(0\) (где вы и ваш отряд изначально) и \(n + 1\) (где находится босс уровня).

Уровень заполнен \(k\) ловушками. Каждая ловушка характеризуется тремя числами \(l_i\), \(r_i\) и \(d_i\). \(l_i\) — точка, в которой расположена ловушка, а \(d_i\) — опасность ловушки: когда солдат с ловкостью меньше \(d_i\) наступает на нее (то есть перемещается в точку \(l_i\)), ловушка сразу же убивает его. К счастью, вы можете разряжать ловушки: если вы дойдете до точки \(r_i\), вы можете разрядить ловушку, и она больше не будет представлять угрозу. На вас ловушки не действуют, только на ваших солдат.

У вас есть \(t\) секунд на прохождение уровня — то есть на то, чтобы вы смогли доставить некоторых солдат к боссу. Перед началом уровня вы выбираете, каких солдат вы будете вести, а какие останутся вне уровня. После этого вам нужно привести всех выбранных солдат к боссу. Для этого вы можете совершать следующие действия:

  • если вы находитесь в точке \(x\), вы можете переместиться в \(x + 1\) или в \(x - 1\). Это действие тратит одну секунду;
  • если вы находитесь в точке \(x\) и ваш отряд находится в точке \(x\), вы можете переместиться в \(x + 1\) или \(x - 1\) вместе с отрядом за одну секунду. Вы не можете совершать это действие, если оно опасно для солдат (то есть точка, в которую вы перемещаетесь, содержит неразряженную ловушку с величиной \(d_i\) больше ловкости какого-нибудь солдата в отряде). Это действие тратит одну секунду;
  • если вы находитесь в точке \(x\) и существует ловушка \(i\) с \(r_i = x\), вы можете разрядить эту ловушку. Это действие не тратит времени.

Обратите внимание, что после каждого действия и ваша координата, и координата вашего отряда — целые числа.

Вы должны выбрать максимальное количество солдат, которых вы сможете привести из точки \(0\) в точку \(n + 1\) не более чем за \(t\) секунд.

Входные данные

В первой строке записаны четыре целых числа \(m\), \(n\), \(k\) и \(t\) (\(1 \le m, n, k, t \le 2 \cdot 10^5\), \(n < t\)) — количество солдат, количество целочисленных точек между вами и боссом, количество ловушек и время на прохождение уровня.

Во второй строке записаны \(m\) целых чисел \(a_1\), \(a_2\), ..., \(a_m\) (\(1 \le a_i \le 2 \cdot 10^5\)), где \(a_i\) — ловкость \(i\)-го солдата.

Затем следуют \(k\) строк, описывающих ловушки. В каждой строке записаны три целых числа \(l_i\), \(r_i\) и \(d_i\) (\(1 \le l_i \le r_i \le n\), \(1 \le d_i \le 2 \cdot 10^5\)) — местоположение ловушки, точка, из которой ловушку можно разрядить, и опасность ловушки.

Выходные данные

Выведите одно целое число — максимальное количество солдат, которых можно привести к боссу не более чем за \(t\) секунд.

Примечание

В первом примере можно взять с собой солдат с ловкостью \(3\), \(4\) и \(5\). Пройти уровень можно следующим образом:

  • пойти в точку \(2\) без отряда;
  • разрядить ловушку \(2\);
  • пойти в точку \(3\) без отряда;
  • разрядить ловушку \(3\);
  • пойти в \(0\) без отряда;
  • пойти в \(7\) с отрядом.

Весь план можно выполнить за \(13\) секунд.

C. Вы все уже победители!

Бинарный поиск математика теория чисел *1400 meet-in-the-middle

На всеми известной тестирующей системе MathForces устраивается розыгрыш \(n\) единиц рейтинга. Раздача рейтинга будет происходить по следующему алгоритму: если в мероприятии принимает участие \(k\) участников, то \(n\) рейтинга поровну распределяется между ними и округляется в сторону ближайшего меньшего целого числа. По окончании распределения может остаться неиспользованный рейтинг — он не достаётся никому из участников.

К примеру, если \(n = 5\) и \(k = 3\), то каждый участник получит \(1\) единицу рейтинга, а также \(2\) единицы рейтинга останутся неиспользованными. Если же \(n = 5\), а \(k = 6\), то ни у кого из участников не увеличится рейтинг.

Вася участвует в этом розыгрыше рейтинга, но не владеет информацией об общем количестве участников этого мероприятия. Поэтому он хочет узнать, какие различные значения приращения рейтинга он может получить в результате этого розыгрыша, и просит Вас о помощи.

Например, если \(n=5\), то искомый ответ равен последовательности \(0, 1, 2, 5\). Каждое из значений последовательности (и только они) может быть получено как \(\lfloor n/k \rfloor\) для некоторое подходящего целого положительного \(k\) (где \(\lfloor x \rfloor\) — округлённое вниз значение \(x\)): \(0 = \lfloor 5/7 \rfloor\), \(1 = \lfloor 5/5 \rfloor\), \(2 = \lfloor 5/2 \rfloor\), \(5 = \lfloor 5/1 \rfloor\).

Напишите программу, которая по заданному \(n\) находит последовательность всех возможных приращений рейтинга.

Входные данные

В первой строке входных данных записано целое число \(t\) (\(1 \le t \le 10\)) — количество наборов входных данных в тесте.

Далее следуют описания \(t\) наборов входных данных, по одному описанию в строке. Каждая строка содержит целое число \(n\) (\(1 \le n \le 10^9\)) — суммарное количество разыгрываемого рейтинга.

Выходные данные

Выведите ответы на \(t\) заданных наборов входных данных. Каждый ответ должен состоять из двух строк.

В первой строке выведите число \(m\) — количество различных значений приращения рейтинга, которые может получить Вася.

В следующей строке выведите \(m\) различных чисел — сами значения приращения рейтинга в порядке возрастания.

C. K целых чисел

Бинарный поиск Структуры данных *2300

Вам дана перестановка \(p_1, p_2, \ldots, p_n\).

За одно действие вы можете поменять местами два соседних элемента.

Вы хотите сделать как можно меньше действий, чтобы в конце в перестановке был подотрезок \(1,2,\ldots, k\), иначе говоря, в конце должен существовать индекс \(i\), \(1 \leq i \leq n-k+1\), что \(p_i = 1, p_{i+1} = 2, \ldots, p_{i+k-1}=k\).

Обозначим за \(f(k)\) минимальное число действий, которое нужно сделать, чтобы подотрезок \(1,2,\ldots,k\) появился в перестановке.

Вам нужно найти \(f(1), f(2), \ldots, f(n)\).

Входные данные

В первой строке записано одно целое число \(n\) (\(1 \leq n \leq 200\,000\)): количество элементов в перестановке.

Во второй строке записаны \(n\) целых чисел \(p_1, p_2, \ldots, p_n\): данная перестановка (\(1 \leq p_i \leq n\)).

Выходные данные

Выведите \(n\) целых чисел, минимальное число действий, которое нужно сделать, чтобы подотрезок \(1,2,\ldots,k\) появился в перестановке, для \(k=1, 2, \ldots, n\).

E. Общее число

Бинарный поиск Комбинаторика математика *2100 дп

Введем определение функции \(f(x)\): \(\) \begin{matrix} f(x) & = & \left\{ \begin{matrix} \frac{x}{2} & \mbox{если } x \text{ четное} \\ x - 1 & \mbox{в противном случае } \end{matrix} \right. \end{matrix} \(\)

Можно заметить, что если мы выбираем некоторое число \(v\) и применяем к нему функцию \(f\), затем применяем функцию \(f\) к числу \(f(v)\), и так далее, то рано или поздно мы получим значение \(1\). Выпишем все промежуточные значения на пути от \(v\) до \(1\) и назовем все выписанные значения \(path(v)\). Например, \(path(1) = [1]\), \(path(15) = [15, 14, 7, 6, 3, 2, 1]\), \(path(32) = [32, 16, 8, 4, 2, 1]\).

Выпишем все \(path(x)\) для всех \(x\) от \(1\) до \(n\). Перед вами стоит задача: определить максимальное число \(m\) такое, что \(m\) встречается хотя бы в \(k\) различных \(path(x)\).

Иначе говоря, нужно найти такое максимальное \(y\), что \(\left| \{ x ~|~ 1 \le x \le n, y \in path(x) \} \right| \ge k\).

Входные данные

В первой строке следуют два целых числа \(n\) и \(k\) (\(1 \le k \le n \le 10^{18}\)).

Выходные данные

Выведите максимальное число \(m\) такое, что \(m\) встречается хотя бы в \(k\) различных \(path(x)\).

Примечание

В первом примере ответ равен \(5\), так как \(5\) встретится в \(path(5)\), в \(path(10)\) и в \(path(11)\).

Во втором примере ответ равен \(4\), так как \(4\) встретится в \(path(4)\), в \(path(5)\), в \(path(8)\), в \(path(9)\), в \(path(10)\) и в \(path(11)\).

В третьем примере \(n = k\), поэтому ответ равен \(1\), так как \(1\) это единственное число, содержащееся в путях всех чисел от \(1\) до \(20\).

F. Шардирование постов

Бинарный поиск *особая задача интерактив

Это интерактивная задача.

Когда данных становится слишком много и они не помещаются на один сервер, их приходится шардировать. Рассмотрим систему хранения постов пользователей, которая расположена на \(S\) серверах, нумеруемых с единицы. Каждый раз когда пользователь пишет пост, ему выдается уникальный идентификатор в пределах от 1 до \(10^{18}\) и сохраняется на случайный сервер. Чем позже был создан пост, тем больше его \(id\). Иногда посты удаляются, поэтому на серверах может лежать существенно разное количество постов.

Рассмотрим все неудаленные \(id\) постов пользователя и отсортируем их по возрастанию. Вам хочется узнать \(k\)-й из них. Для этого вы можете послать не более 100 дополнительных запросов. Каждый запрос имеет формат «? \(i\) \(j\)». В ответ вы получите идентификатор \(j\)-го по возрастанию поста пользователя среди хранящихся на \(i\)-м сервере. Когда вы считаете, что знаете \(k\)-й по возрастанию идентификатор, вместо запроса необходимо вывести ответ в формате «! \(id\)».

Протокол взаимодействия

В первой строке записано два числа \(n\) и \(S\) (\(1 \le n \le 100, 1 \le S \le 5\)) — количество пользователей для которых необходимо независимо решить задачу, а также количество серверов, на которых хранятся посты.

Далее необходимо \(n\) раз решить задачу. Вначале необходимо считать \(S\) чисел \(a_1, a_2, ... a_S\) (\(0 \le a_i; \sum a_i \le 10^5\)) — количество постов пользователя на каждом сервере. В следующей строке будет задано число \(k\) (\(1 \le k \le \sum a_i \)) — идентификатор какого по возрастанию поста необходимо узнать.

Далее необходимо совершить не более 100 запросов в формате, который описан в условии.

Заметим, что ограничение на количество запросов действует на каждого пользователя отдельно, поэтому при переходе к следующему тесту счетчик вопросов сбрасывается.

Примечание

В примере на первом сервере хранятся посты с \(id\) 1, 3 и 10. А на втором 5 и 7. Необходимо найти третье по возрастанию число, это 5.

B. Стишок для Санты

Бинарный поиск Перебор реализация *1300

Наступает новый год! Вася приготовил стишок и хочет рассказать его Санте Клаусу.

Васин стишок содержит \(n\) частей. Вася тратит \(a_i\) секунд на \(i\)-ю часть. При этом он не может менять порядок частей в стишке: сначала он рассказывает часть, которая занимает \(a_1\) секунд, затем — часть, которая занимает \(a_2\) секунд и так далее. После того, как Вася закончил зачитывать стишок, Вася получает по подарку за каждую полностью рассказаную часть.

Вася может пропустить не более одной части стишка (если он пропустит больше, Санта обязательно это заметит).

Санта будет слушать Васин стишок не более \(s\) секунд. Например, если \(s = 10\), \(a = [100, 9, 1, 1]\), и Вася пропускает первую часть стишка, то он получает два подарка.

Обратить внимание, что Вася может зачитать стишок полностью (если ему хватит времени).

Определите часть, которую нужно пропустить Васе, для того чтобы получить максимальное количество подарков. Если Васе нужно зачитать стих полностью, выведите 0. Если существует несколько правильных ответов — выведите любой из них.

Вам нужно ответить на \(t\) наборов входных данных.

Входные данные

Первая строка содержит число \(t\) (\(1 \le t \le 100\)) — количество наборов входных данных.

Первая строка каждого набора входных данных содержит два числа \(n\) и \(s\) (\(1 \le n \le 10^5, 1 \le s \le 10^9\)) — количество частей в стишке и количество секунд, которое Санта будет слушать Васю соответственно.

Вторая строка каждого набора входных данных содержит \(n\) чисел \(a_1, a_2, \dots, a_n\) (\(1 \le a_i \le 10^9\)).

Гарантируется, что сумма \(n\) по всем наборам входных данных не превосходит \(10^5\).

Выходные данные

На каждый набор входных данных выведите одно число — номер части, которую нужно пропустить Васе, для того чтобы получить максимальное количество подарков. Если Васе нужно зачитать стих полностью, выведите 0.

Примечание

В первом наборе входных данных Вася получит три подарка, если пропустит вторую часть стиха.

Во втором наборе входных данных не важно какую часть стиха пропустить.

В третьем наборе входных данных Вася может прочитать стих полностью.

F. Новый год и смена хендла

Бинарный поиск дп *2800

Наступает новый год. Это значит, что на codeforces пришла пора менять хендлы. Мишке захотелось поменять свой хендл, но таким образом, чтобы люди не забыли, кто он такой.

Чтобы все получилось так, как он хочет, он решил менять только регистры букв. Более формально, за одну смену хендла он может выбрать любой отрезок своего хендла \([i; i + l - 1]\) и сделать tolower или toupper ко всем буквам своего хендла на этом отрезке (более формально, поменять все строчные буквы на отрезке на соответствующие прописные или наоборот). Длина \(l\) фиксирована для всех смен.

Так как на codeforces нельзя слишком часто менять хендлы, всего Мишка может сделать не более \(k\) таких операций. Какого минимального значения может быть \(min(lower, upper)\) (где \(lower\) — количество строчных букв, а \(upper\) — количество прописных букв) после оптимальной последовательности смен?

Входные данные

Первая строка входных данных содержит три целых числа \(n, k\) и \(l\) (\(1 \le n, k, l \le 10^6, l \le n)\) — длину хендла Мишки, количество смен и длину отрезка.

Вторая строка входных данных содержит одну строку \(s\), состоящую из \(n\) строчных и прописных букв латинского алфавита — хендл Мишки.

Выходные данные

Выведите одно целое число — минимальное значение, которого может достигнуть \(min(lower, upper)\) после того, как Мишка сменит свой хендл не более \(k\) раз так, как описано в условии задачи.

B. Новый год и восходящая последовательность

Бинарный поиск Структуры данных Комбинаторика реализация дп *1400 сортировки

Последовательность \(a = [a_1, a_2, \ldots, a_l]\) длиной \(l\) имеет восход, если существует пара таких индексов \((i, j)\), что \(1 \le i < j \le l\) и \(a_i < a_j\). Например, последовательность \([0, 2, 0, 2, 0]\) имеет восход из-за пары индексов \((1, 4)\), но последовательность \([4, 3, 3, 3, 1]\) не имеет восхода.

Назовем конкатенацией двух последовательностей \(p\) и \(q\) такую последовательность, которая получится при последовательной записи сначала \(p\), затем \(q\) друг за другом, не меняя порядок элементов в них. Например, конкатенация последовательностей \([0, 2, 0, 2, 0]\) и \([4, 3, 3, 3, 1]\) равна последовательности \([0, 2, 0, 2, 0, 4, 3, 3, 3, 1]\). Конкатенация последовательностей \(p\) и \(q\) обозначается как \(p+q\).

Кенгун считает, что последовательность с восходом приносит удачу. Поэтому он хочет сделать много таких последовательностей на новый год. У Кенгун есть \(n\) последовательностей \(s_1, s_2, \ldots, s_n\), которые могут иметь разную длину.

Кенгун рассмотрит \(n^2\) всевозможных пар последовательностей \(s_x\) и \(s_y\) (\(1 \le x, y \le n\)) и проверит содержит ли конкатенация \(s_x + s_y\) восход или нет. Обратите внимание, что порядок выбора последовательностей в пару имеет значение. Кроме того, он может выбирать последовательность в пару к самой себе.

Пожалуйста, посчитайте количество пар последовательностей (\(x, y\)) для заданного набора \(s_1, s_2, \ldots, s_n\), конкатенация \(s_x + s_y\) которых имеет восход.

Входные данные

В первой строке записано одно целое число \(n\) (\(1 \le n \le 100\,000\)), обозначающее количество последовательностей.

В каждой из следующих \(n\) строк записано целое число \(l_i\) (\(1 \le l_i\)), обозначающее длину \(s_i\), после которой записано \(l_i\) целых чисел \(s_{i, 1}, s_{i, 2}, \ldots, s_{i, l_i}\) (\(0 \le s_{i, j} \le 10^6\)), обозначающие последовательность \(s_i\).

Гарантируется, что сумма всех \(l_i\) не превосходит \(100\,000\).

Выходные данные

Выведите одно целое число, количество пар последовательностей, конкатенация которых имеет восход.

Примечание

В первом примере, следующие \(9\) последовательностей имеют восход: \([1, 2], [1, 2], [1, 3], [1, 3], [1, 4], [1, 4], [2, 3], [2, 4], [3, 4]\). Одинаковые по содержимому последовательности учитываются столько раз, сколько раз они встречаются как результат конкатенации.

D. Новый год и конференция

Бинарный поиск Структуры данных *2100 сортировки хэши

Наполненный оптимизмом, Хёнука проведет конференцию о том, каким будет этот новый год!

На конференции будет \(n\) лекций. У Хёнука есть два возможных места \(a\) и \(b\) для проведения лекций. Для каждой из \(n\) лекций докладчик указал два временных интервала \([sa_i, ea_i]\) (\(sa_i \le ea_i\)) и \([sb_i, eb_i]\) (\(sb_i \le eb_i\)). Если конференция расположена в месте \(a\), лекция будет проходить с \(sa_i\) до \(ea_i\), а если конференция будет проходить в месте \(b\), лекция будет проходить с \(sb_i\) до \(eb_i\). Хёнука выберет одно из этих мест, и все лекции будут проводиться в этом месте.

Две лекции пересекаются, если они имеют какой-либо общий момент времени. Формально лекция в интервале \([x, y]\) перекрывается с лекцией в интервале \([u, v]\) тогда и только тогда, когда \(\max(x, u) \le \min(y, v)\).

Участник может посетить подмножество лекций \(s\), если лекции в \(s\) попарно не перекрываются (то есть никакие две не являются пересекающимися). Обратите внимание, что возможность участия может зависеть от того, выбрал ли Хёнука место \(a\) или место \(b\) для проведения конференции.

Подмножество лекций \(s\) называется чувствительным к месту проведения, если для одного из мест участник может посетить \(s\), а для другого места участник не может посетить \(s\).

Чувствительный к месту проведения набор проблематичен для участника, который заинтересован в посещении лекций в множестве \(s\), потому что участник не может быть уверен, будет ли время лекций перекрываться. Хёнука будет счастлив тогда и только тогда, когда не будет наборов, чувствительных к месту. Определите, будет ли Хёнука счастлив.

Входные данные

Первая строка содержит одно целое число \(n\) (\(1 \le n \le 100\,000\)) — количество лекций на конференции.

Каждая из следующих \(n\) строк содержит четыре целых числа \(sa_i\), \(ea_i\), \(sb_i\), \(eb_i\) (\(1 \le sa_i, ea_i, sb_i, eb_i \le 10^9\), \(sa_i \le ea_i, sb_i \le eb_i\)).

Выходные данные

Выведите «YES», если Хёнука будет счастлив. Иначе выведите «NO».

Вы можете выводить каждую букву в любом регистре (строчную или заглавную).

Примечание

Во втором примере подмножество лекций \(\{1, 3\}\) чувствительное к месту, потому что участник не может посетить место \(a\), но может посетить место \(b\).

В первом и третьем примерах таких подмножеств не существует.

F. Баян?

Бинарный поиск Комбинаторика теория чисел *2900

Дан массив \(a\), состоящий из \(n\) целых чисел, найдите:

\(\)\max\limits_{1 \le i < j \le n} LCM(a_i,a_j),\(\)

где \(LCM(x, y)\) — это наименьшее положительное целое число, которое делится и на \(x\), и на \(y\). Например, \(LCM(6, 8) = 24\), \(LCM(4, 12) = 12\), \(LCM(2, 3) = 6\).

Входные данные

В первой строке записано одно целое число \(n\) (\(2 \le n \le 10^5\)) — количество элементов в массиве \(a\).

Во второй строке записаны \(n\) целых чисел \(a_1, a_2, \dots, a_n\) (\(1 \le a_i \le 10^5\)) — элементы массива \(a\).

Выходные данные

Выведите одно целое число — максимальное значение наименьшее общего кратного двух чисел из массива \(a\).

A. Дедлайн

Бинарный поиск Тернарный поиск Перебор математика *1100

Адилбеку назначили особый проект. Для Адилбека это означает, что у него есть \(n\) дней, чтобы запустить особую программу и представить полученные результаты. Но есть одна проблема: программе нужно работать \(d\) дней, чтобы посчитать результаты.

К счастью, Адилбек может оптимизировать программу. Если он потратит \(x\) (\(x\) — целое неотрицательное) дней на оптимизацию, то программа станет работать за \(\left\lceil \frac{d}{x + 1} \right\rceil\) дней (\(\left\lceil a \right\rceil\) — это округление вверх: \(\left\lceil 2.4 \right\rceil = 3\), \(\left\lceil 2 \right\rceil = 2\)). Программу не получится оптимизировать, пока она работает, а потому общее количество потраченных Адилбеком дней будет равняться \(x + \left\lceil \frac{d}{x + 1} \right\rceil\).

Успеет ли Адилбек получить результаты за не более, чем \(n\) дней?

Входные данные

В первой строке задано единственное целое число \(T\) (\(1 \le T \le 50\)) — количество наборов входных данных.

В следующих \(T\) строках заданы сами наборы – по одному в строке. Каждая строка содержит два целых числа \(n\) и \(d\) (\(1 \le n \le 10^9\), \(1 \le d \le 10^9\)) — количество дней перед дедлайном и количество дней, за которое отрабатывает программа.

Выходные данные

Выведите \(T\) ответов — по одному на набор входных данных. Для каждого набора выведите YES (регистр не важен), если Адилбек сможет уложиться в \(n\) дней или NO (регистр не важен) в противном случае.

Примечание

В первом наборе, Адилбек решает совсем не оптимизировать программу, так как \(d \le n\).

Во втором наборе, Адилбек может потратить \(1\) день на оптимизацию и программа станет отрабатывать за \(\left\lceil \frac{5}{2} \right\rceil = 3\) дней. Суммарно, он потратит \(4\) дня и уложится в сроки.

В третьем наборе, невозможно уложиться в сроки. Например, если Адилбек потратит \(2\) дня на оптимизацию, то программа все равно будет работать еще \(\left\lceil \frac{11}{2+1} \right\rceil = 4\) дня.

D. Задача Минимакс

Бинарный поиск дп *2000 битмаски

Вам заданы \(n\) массивов \(a_1\), \(a_2\), ..., \(a_n\); каждый массив состоит ровно из \(m\) целых чисел. Будем обозначать \(y\)-й элемент \(x\)-го массива как \(a_{x, y}\).

Вы должны выбрать два массива \(a_i\) и \(a_j\) (\(1 \le i, j \le n\), допустима ситуация \(i = j\)). Из данных массивов строится новый массив \(b\) длины \(m\), такой что для каждого \(k \in [1, m]\) \(b_k = \max(a_{i, k}, a_{j, k})\).

Ваша задача — выбрать \(i\) и \(j\) так, чтобы значение \(\min \limits_{k = 1}^{m} b_k\) было максимально возможным.

Входные данные

В первой строке заданы два целых числа \(n\) и \(m\) (\(1 \le n \le 3 \cdot 10^5\), \(1 \le m \le 8\)) — количество массивов и количество элементов в каждом массиве соответственно.

Далее следуют \(n\) строк, в \(x\)-й строке задан массив \(a_x\), другими словами, \(m\) целых чисел \(a_{x, 1}\), \(a_{x, 2}\), ..., \(a_{x, m}\) (\(0 \le a_{x, y} \le 10^9\)).

Выходные данные

Выведите два числа \(i\) и \(j\) (\(1 \le i, j \le n\), допустима ситуация \(i = j\)) — индексы выбранных массивов, таких что значение \(\min \limits_{k = 1}^{m} b_k\) — максимально возможное. Если существует несколько ответов — выведите любой из них.

B. Неприводимые анаграммы

Строки Бинарный поиск Структуры данных Конструктив *1800

Назовем две строки \(s\) и \(t\) анаграммами друг друга, если можно так переставить символы в строке \(s\), чтобы получить строку, равную \(t\).

Рассмотрим две строки \(s\) и \(t\), являющиеся анаграммами друг друга. Будем говорить, что \(t\) это приводимая анаграмма строки \(s\), если существует такое целое число \(k \ge 2\) и \(2k\) непустых строк \(s_1, t_1, s_2, t_2, \dots, s_k, t_k\), которые удовлетворяют следующим условиям:

  1. Если мы запишем в линию строки \(s_1, s_2, \dots, s_k\) в таком порядке, то получившаяся строка будет равна \(s\);
  2. Если мы запишем в линию строки \(t_1, t_2, \dots, t_k\) в таком порядке, то получившаяся строка будет равна \(t\);
  3. Для всех целых \(i\) между \(1\) и \(k\) включительно, \(s_i\) и \(t_i\) являются анаграммами.

Если таких строк не существует, тогда \(t\) называется неприводимой анаграммой строки \(s\). Обратите внимание, что этот термин определяется только в случае, когда \(s\) и \(t\) это анаграммы.

Например, рассмотрим строку \(s = \) «gamegame». Тогда строка \(t = \) «megamage» это приводимая анаграмма для \(s\), потому что мы можем выбрать, например, \(s_1 = \) «game», \(s_2 = \) «gam», \(s_3 = \) «e» и \(t_1 = \) «mega», \(t_2 = \) «mag», \(t_3 = \) «e»:

С другой стороны, можно показать, что \(t = \) «memegaga» это неприводимая анаграмма для \(s\).

Вам будет дана строка \(s\) и \(q\) запросов, каждый представляется двумя целыми числами \(1 \le l \le r \le |s|\) (где за \(|s|\) обозначается длина строки \(s\)). Для каждого запроса, вы должны определить, имеет ли подстрока строки \(s\), с \(l\)-о по \(r\)-й символ, включительно, хотя бы одну неприводимую анаграмму.

Входные данные

В первой строке находится строка \(s\), состоящая из строчных символов латинского алфавита (\(1 \le |s| \le 2 \cdot 10^5\)).

Во второй строке содержится единственное целое число \(q\) (\(1 \le q \le 10^5\))  — количество запросов.

Следующие \(q\) строк содержат по два целых числа \(l\) и \(r\) (\(1 \le l \le r \le |s|\)), обозначающие очередной запрос для подстроки \(s\), состоящей из символов с \(l\)-о по \(r\)-й.

Выходные данные

Для каждого запроса, выведите единственную строку, содержащую «Yes» (без кавычек), если соответствующая запросу подстрока имеет хотя бы одну неприводимую анаграмму и «No» (без кавычек), иначе.

Примечание

В первом тесте, в первом и третьем запросах, подстрока будет «a» и она имеет саму себя как неприводимую анаграмму, так как две и больше непустые строки, записанные вместе, не смогут дать строку «a». С другой стороны, во втором запросе, подстрока будет «aaa», которая не имеет неприводимых анаграмм: ее единственная анаграмма это она сама и мы можем выбрать \(s_1 = \) «a», \(s_2 = \) «aa», \(t_1 = \) «a», \(t_2 = \) «aa», чтобы показать, что это приводимая анаграмма.

Во втором запросе второго тестового случая, подстрока будет «abb» и она имеет, например, неприводимую анаграмму «bba».

A. КоннеР и A.R.C. Markland-N

Бинарный поиск Перебор реализация *1100

A.R.C. Markland-N это высокое \(n\)-этажное здание с этажами, пронумерованными от \(1\) до \(n\). Между любыми двумя соседними этажами есть лестница их соединяющая.

У нашего сенсея Колина «КоннеР» Неймена Jr приближается время обеда, поэтому он решил выбрать, в каком месте он собирается поесть.

Офис Коннера располагается на \(s\)-м этаже здания. На каждом этаже здания расположено по одному ресторану, в том числе на этаже \(s\). Однако в связи с идущей реконструкцией, \(k\) ресторанов сейчас закрыты.

Коннер не хочет терять много времени на еду, поэтому хочет найти открытый ресторан как можно ближе к нему. Иначе говоря, его интересует ресторан, требующий прохода по минимальному количеству лестниц от этажа Коннера.

Помогите Коннеру, и кто знает, может быть вы заслужите его похвалу и даже сможете насладиться обедом вместе с ним в элегантном стиле Нейманов!

Входные данные

В первой строке записано целое число \(t\) (\(1 \le t \le 1000\)) — количество наборов входных данных в тесте. Далее следуют описания \(t\) наборов входных данных.

Первая строка каждого набора содержит целые числа \(n\), \(s\) и \(k\) (\(2 \le n \le 10^9\), \(1 \le s \le n\), \(1 \le k \le \min(n-1, 1000)\)) — количество этажей в A.R.C. Markland-N, этаж на котором работает Коннер и количество закрытых ресторанов.

Вторая строка каждого набора содержит \(k\) различных целых чисел \(a_1, a_2, \ldots, a_k\) (\(1 \le a_i \le n\)) — этажи, на которых расположены закрытые рестораны.

Гарантируется, что сумма значений \(k\) по всем наборам во входных данных не превосходит \(1000\).

Выходные данные

Для каждого набора входных данных выведите одно целое число — минимальное количество лестниц до ближайшего открытого ресторана от офиса Коннера на этаже \(s\).

Примечание

В первом наборе входных данных примера ближайший открытый ресторан расположен на \(4\)-м этаже.

Во втором наборе входных данных примера ресторан на этаже с офисом Коннера не закрыт, так что Коннер сможет пообедать там.

В третьем наборе входных данных примера ближайший открытый ресторан находится на \(6\)-м этаже.

D. Распределение премий

Бинарный поиск *особая задача жадные алгоритмы сортировки

Впервые стартап Поликарпа закончил год с прибылью! Теперь он собирается распределить \(k\) бурлей премии среди \(n\) сотрудников.

Известно, что текущая заработная плата \(i\)-го сотрудника составляет \(a_i\), все значения \(a_i\) в компании — различны.

Поликарп хочет распределить \(k\) бурлей суммарной премии между \(n\) сотрудниками и в этом месяце \(i\)-му из них выплатить не \(a_i\), а \(a_i+d_i\) (\(d_i \ge 0\), \(d_i\) — целое), где \(d_i\) — премиальная часть для \(i\)-го сотрудника. Конечно, \(d_1+d_2+\dots+d_n=k\).

Поликарп руководствуется двумя принципами для выбора значений \(d_i\):

  • то, как соотносятся зарплаты между собой, не должно измениться: тот кто получал больше всех (\(a_i\) максимально), и при выплате с премией должен получать больше всех (\(a_i+d_i\) тоже максимально), тот, у кого зарплата была второй по величине, и при выплате с премией должен получать вторую по величине зарплату, и так далее;
  • чтобы подчеркнуть, что годовая прибыль — общий результат, Поликарп хочет минимизировать максимальную выплату (то есть минимизировать максимальное значение \(a_i+d_i\)).

Помогите Поликарпу найти такие неотрицательные целые премии \(d_i\), что:

  • их сумма равна \(k\);
  • для каждого сотрудника количество тех, кто получает больше него, осталось неизменным (то есть, если отсортировать сотрудников по \(a_i\) и по \(a_i+d_i\), то получится одинаковый порядок сотрудников);
  • все \(a_i + d_i\) различны;
  • максимальное из значений \(a_i+d_i\) — минимально.

Помогите Поликарпу и выведите любой возможных из вариантов \(d_1, d_2, \dots, d_n\).

Входные данные

В первой строке записано целое число \(t\) (\(1 \le t \le 10^4\)) — количество наборов входных данных в тесте. Далее следуют \(t\) наборов входных данных.

Первая строка описания набора содержит два целых числа \(n\) и \(k\) (\(1 \le n \le 10^5\), \(1 \le k \le 10^9\)) — количество сотрудников и суммарная премия.

Вторая строка описания набора содержит \(n\) целых различных чисел \(a_1, a_2, \dots, a_n\) (\(1 \le a_i \le 10^9\)), где \(a_i\) — текущая зарплата \(i\)-го сотрудника.

Гарантируется, что сумма всех значений \(n\) по наборам входных данных в тесте не превосходит \(10^5\).

Выходные данные

Выведите ответы на \(t\) заданных наборов входных данных в порядке их записи в тесте. Ответ выводите в виде последовательности неотрицательных целых чисел \(d_1, d_2, \dots, d_n\). Если ответов несколько, то выведите любой из них.

B. День рождения Мотарака

Бинарный поиск Тернарный поиск *1500 жадные алгоритмы

Дарк собирается посетить день рождения Мотарака. Дарк решил, что он хочет подарить Мотараку массив \(a\), состоящий из \(n\) неотрицательных целых чисел.

Дарк создал этот массив еще \(1000\) лет назад, поэтому некоторые его элементы пропали. Дарк знает, что Мотарак не любит, когда у двух соседних элементов большая абсолютная разница. У него не так много времени, поэтому он хочет выбрать целое число \(k\) (\(0 \leq k \leq 10^{9}\)) и заменить все пропущенные элементы в массиве \(a\) числом \(k\).

Обозначим за \(m\) максимальную абсолютную разницу между всеми парами соседних элементов (то есть максимальное значение \(|a_i - a_{i+1}|\) по всем \(1 \leq i \leq n - 1\)) в массиве \(a\) после того, как Дарк заменит все пропавшие элементы на число \(k\).

Дарк хочет выбрать число \(k\) так, что \(m\) будет минимально. Можете ли вы помочь ему?

Входные данные

Входные данные состоят из нескольких тестовых случаев. Первая строка содержит единственное целое число \(t\) (\(1 \leq t \leq 10^4\))  — количество тестовых случаев. Далее следует описание тестовых случаев в следующем формате.

В первой строке описания каждого тестового случае содержится одно целое число \(n\) (\(2 \leq n \leq 10^{5}\)) — размер массива \(a\).

Во второй строке описания каждого тестового случая содержится \(n\) целых чисел \(a_1, a_2, \ldots, a_n\) (\(-1 \leq a_i \leq 10 ^ {9}\)). Если \(a_i = -1\), то \(i\)-е число пропало. Гарантируется, что хотя бы одно число пропало в массиве в каждом тестовом случае.

Гарантируется, что сумма \(n\) по всем тестовым случаям не превосходит \(4 \cdot 10 ^ {5}\).

Выходные данные

Выведите ответы для каждого тестового случая в следующем формате:

Вы должны вывести два целых числа, минимальное возможное значение \(m\) и целое число \(k\) (\(0 \leq k \leq 10^{9}\)), которое делает максимальную абсолютную разницу между соседними элементами массива \(a\) равной \(m\).

Обратите внимание, что после замены всех пропавших элементов на \(k\) максимальная абсолютная разница между всеми парами соседних элементов должна стать равной \(m\).

Если существует более, чем одно подходящее \(k\), вы можете вывести любое из них.

Примечание

В первом тестовом случае, после замены всех пропавших элементов на \(11\) массив станет равным \([11, 10, 11, 12, 11]\). Абсолютная разница между любой парой соседних элементов равна \(1\). Выбрать такое значение \(k\), чтобы максимальная абсолютная разница между всеми парами соседних элементов стала \(\leq 0\) невозможно, поэтому ответ равен \(1\).

В третьем тестовом случае, после замены всех пропавших элементов массива на \(6\) массив станет равным \([6, 6, 9, 6, 3, 6]\).

  • \(|a_1 - a_2| = |6 - 6| = 0\);
  • \(|a_2 - a_3| = |6 - 9| = 3\);
  • \(|a_3 - a_4| = |9 - 6| = 3\);
  • \(|a_4 - a_5| = |6 - 3| = 3\);
  • \(|a_5 - a_6| = |3 - 6| = 3\).

Поэтому максимальная абсолютная разница между всеми парами соседних элементов будет равна \(3\).

C. Функция Айоуба

Строки Бинарный поиск Комбинаторика математика жадные алгоритмы *1700

Айоуб думает, что он очень умный человек, поэтому он придумал функцию \(f(s)\), где \(s\) это бинарная строка (строка, содержащая только символы «0» и «1»). Функция \(f(s)\) равна количеству подстрок строки \(s\), которые содержат хотя бы один символ, равный «1».

Более формально, \(f(s)\) равно количеству пар целых чисел \((l, r)\), таких что \(1 \leq l \leq r \leq |s|\) (где \(|s|\) равно длине строки \(s\)), таких что хотя бы один из символов \(s_l, s_{l+1}, \ldots, s_r\) равен «1».

Например, если \(s = \)«01010», то \(f(s) = 12\), потому что есть \(12\) таких пар \((l, r)\): \((1, 2), (1, 3), (1, 4), (1, 5), (2, 2), (2, 3), (2, 4), (2, 5), (3, 4), (3, 5), (4, 4), (4, 5)\).

Айоуб также думает, что он умнее Махмуда, поэтому дал ему два целых числа \(n\) и \(m\) и следующую задачу. По всем бинарным строкам \(s\) длины \(n\), которые содержат ровно \(m\) символов, равных «1», найдите максимальное значение \(f(s)\).

У Махмуда не получилось решить эту задачу, поэтому он попросил вас о помощи. Можете ли вы помочь ему?

Входные данные

Входные данные состоят из нескольких тестовых случаев. Первая строка содержит единственное целое число \(t\) (\(1 \leq t \leq 10^5\))  — количество тестовых случаев. Далее следует описание тестовых случаев в следующем формате.

Единственная строка для каждого тестового случая содержит два целых числа \(n\) и \(m\) (\(1 \leq n \leq 10^{9}\), \(0 \leq m \leq n\)) — длина строки и количество символов, равных «1» в ней.

Выходные данные

Для каждого тестового случая выведите единственное целое число — максимальное значение \(f(s)\) по всем строкам \(s\) длины \(n\), которые содержат ровно \(m\) символов, равных «1».

Примечание

В первом тестовом случае, существует только \(3\) строки длины \(3\), которые содержат ровно \(1\) символ, равный «1». Эти строки это: \(s_1 = \)«100», \(s_2 = \)«010», \(s_3 = \)«001». Значения \(f\) для них это: \(f(s_1) = 3, f(s_2) = 4, f(s_3) = 3\), поэтому максимальное значение это \(4\) и ответ равен \(4\).

Во втором тестовом случае, строка \(s\) для которой максимальное значение функции это «101».

Во третьем тестовом случае, строка \(s\) для которой максимальное значение функции это «111».

В четвертом тестовом случае, единственная строка \(s\) длины \(4\), которая содержит ровно \(0\) символов, равных «1» это «0000» и значение функции \(f\) для этой строки это \(0\), поэтому ответ равен \(0\).

В пятом тестовом случае, строка \(s\) с максимальным значением функции это «01010» и она была подробно разобрана в качестве примера в тексте условия задачи.

E. Нанософт

Бинарный поиск Структуры данных реализация дп *2500

Вараврех создал великую компанию и назвал ее Нанософт. Единственная вещь, которую Вараврех еще должен сделать это расположить огромное изображение с эмблемой Нанософта на главное здание этой компании.

Эмблема Нанософта может быть описана как четыре квадрата одинакового размера, объединенных вместе в один большой квадрат. Левый верхний квадрат окрашен в красный цвет, правый верхний квадрат окрашен в зеленый цвет, левый нижний окрашен в желтый цвет и правый нижний окрашен в синий цвет.

Примеры некоторых корректных эмблем:

Примеры некоторых некорректных эмблем:

Вараврех пришел в магазин Адхами с целью купить необходимое изображение. Хотя магазин Адхами очень большой у него было ровно одно изображение, описываемое таблицей с \(n\) строками и \(m\) столбцами. Цвет каждой клетки этой таблицы может быть зеленым (символ 'G'), красным (символ 'R'), желтым (символ 'Y') или синим (символ 'B').

Адхами дал Варавреху \(q\) опций, в каждой опции он дал ему подпрямоугольник этого изображения и сказал ему, что он может вырезать для себя подквадрат этого подпрямоугольника. Чтобы выбрать наилучшую опцию, Вараврех хочет узнать максимальную площадь подквадрата внутри данного подпрямоугольника, который является эмблемой Нанософта. Если таких подквадратов не существует, то ответ равен \(0\).

Вараврех так и не смог выбрать наилучшую опцию сам, поэтому просит вас о помощи. Можете ли вы помочь ему?

Входные данные

В первой строке находится три целых числа \(n\), \(m\) и \(q\) \((1 \leq n , m \leq 500, 1 \leq q \leq 3 \cdot 10^{5})\)  — количество строк, столбцов и количество опций.

Каждая из следующих \(n\) строк содержит строку, содержащую \(m\) символов. В \(i\)-й строке \(j\)-й символ будет содержать цвет клетки в \(i\)-й строке и \(j\)-м столбце изображения Адхами. Цвет каждой клетки будет одним из этих: {'G','Y','R','B'}.

В каждой из следующих \(q\) строк содержится четыре целых числа \(r_1\), \(c_1\), \(r_2\) и \(c_2\) \((1 \leq r_1 \leq r_2 \leq n, 1 \leq c_1 \leq c_2 \leq m)\). В этой опции Адхами дает подпрямоугольник изображения с левым верхним углом в клетке \((r_1, c_1)\) и правым нижним углом в клетке \((r_2, c_2)\).

Выходные данные

Для каждой опции выведите максимальную площадь подквадрата внутри данного подпрямоугольника, который может быть эмблемой Нанософта. Если таких подквадратов не существует, то выведите \(0\).

Примечание

Картинка для первого теста:

Картинки слева направа соответствуют опциям. Черным обведена граница подпрямоугольника в соответствующей опции, серым обведена граница подквадрата максимального размера, который можно вырезать.

H. Курони, частный репетитор

Бинарный поиск жадные алгоритмы *3500

Как профессиональный частный репетитор, Курони должен собирать статистику экзамена. Курони назначил вас для выполнения этой важной задачи. Вы не должны разочаровывать его.

Экзамен состоит из \(n\) вопросов, и \(m\) студентов сдали экзамен. За каждый вопрос давали \(1\) балл. Вопрос \(i\) был решен не менее \(l_i\) и не более \(r_i\) студентами. Кроме того, вы знаете, что общий балл всех студентов составляет \(t\).

Кроме того, вы взглянули на окончательный рейтинг в викторине. Студенты были оценены от \(1\) до \(m\), где ранг \(1\) имеет самый высокий балл, а ранг \(m\)  — самый низкий балл. В случае равенства количества баллов студенты были упорядочены произвольно.

Вы знаете, что ученик с рангом \(p_i\) получил оценку \(s_i\) для \(1 \le i \le q\).

Вы задались вопросом, могло ли много студентов не поделить первое место. Помогите Курони определить максимальное количество студентов, которые могли набрать столько же баллов, сколько студент с рангом \(1\), и максимально возможное количество баллов для ранга \(1\) при достижении этого максимального числа студентов.

Входные данные

Первая строка ввода содержит два целых числа (\(1 \le n, m \le 10^{5}\)), обозначающих количество вопросов экзамена и количество студентов соответственно.

Каждая из следующих \(n\) строк содержит по два целых числа, причем \(i\)-я строка содержит \(l_{i}\) и \(r_{i}\) (\(0 \le l_{i} \le r_{i} \le m\)).

Следующая строка содержит одно целое число \(q\) (\(0 \le q \le m\)).

Каждая из следующих \(q\) строк содержит по два целых числа, обозначающих \(p_{i}\) и \(s_{i}\) (\(1 \le p_{i} \le m\), \(0 \le s_{i} \le n\)). Гарантируется, что все \(p_{i}\) различны, и если \(p_{i} \le p_{j}\), то \(s_{i} \ge s_{j}\)

Последняя строка содержит единственное целое число \(t\) (\(0 \le t \le nm\)), обозначающее общий балл всех студентов.

Выходные данные

Выведите два целых числа: максимальное количество студентов, которые могли набрать столько же баллов, сколько студент с рангом \(1\), и максимально возможное количество баллов для ранга \(1\) при достижении этого максимального числа студентов. Если не существует допустимого расположения, подходящего для данных, выведите \(-1\) \(-1\).

Примечание

Вот один из возможных вариантов для первого примера:

Студенты \(1\) и \(2\) оба решили задачи \(1\) и \(2\).

Студент \(3\) решил задачи \(2\) и \(3\).

Студент \(4\) решил задачу \(4\).

Общая оценка всех студентов составляет \(T = 7\). Обратите внимание, что баллы студентов равны \(2\), \(2\), \(2\) и \(1\) соответственно, что удовлетворяет условию, что ученик с рангом \(4\) получает ровно \(1\) балл. Наконец, \(3\) студента получили максимальный счет \(2\), и можно доказать, что мы не можем добиться большего количества.

D. Корова и поля

Бинарный поиск Структуры данных поиск в глубину и подобное жадные алгоритмы сортировки *1900 графы кратчайшие пути

Бесси пасется на ферме, состоящей из \(n\) полей, соединенных с помощью \(m\) двусторонних дорог. Сейчас она находится на поле \(1\), и вернется домой на поле \(n\) в конце дня.

Кор-федерация Коровников приказала Фермеру Джону построить одну дополнительную двустороннюю дорогу. У фермы есть \(k\) особых полей, и было решено построить дорогу между двумя различными особыми полями. Фермер Джон может построить дорогу даже между полями, которые уже соединены дорогой.

Уже после постройки дороги, Бесси вернется по кратчайшему пути от поля \(1\) к полю \(n\). Так как Бесси нужно больше тренироваться, Фермер Джон должен максимизировать длину данного кратчайшего пути. Помогите ему!

Входные данные

В первой строке заданы три целых числа \(n\), \(m\) и \(k\) (\(2 \le n \le 2 \cdot 10^5\), \(n-1 \le m \le 2 \cdot 10^5\), \(2 \le k \le n\))  — количество полей на ферме, количество дорог и количество особых полей.

Во второй строке заданы \(k\) целых чисел \(a_1, a_2, \ldots, a_k\) (\(1 \le a_i \le n\))  — номера особых полей. Все \(a_i\) различны.

В \(i\)-й из следующих \(m\) строк задано два целых числа \(x_i\) и \(y_i\) (\(1 \le x_i, y_i \le n\), \(x_i \ne y_i\)), описывающих двустороннюю дорогу между полями \(x_i\) и \(y_i\).

Гарантируется, что из любого поля можно добраться до любого другого поля. Также гарантируется, что для любой пары полей существует не более одной дороги, непосредственно соединяющей их.

Выходные данные

Выведите единственное число  — максимально возможную длину кратчайшего пути из \(1\) в \(n\) после того, как Фермер Джон построит одну дорогу оптимально.

Примечание

Граф из первого примера изображен ниже. Особые поля отмечены красным. Для Фермера Джона оптимально построить дорогу между полями \(3\) и \(5\), тогда кратчайший путь из \(1\) в \(5\) будет равен \(3\).

Граф из второго примера изображен ниже. Фермер Джон должен построить дорогу между полями \(2\) и \(4\), тогда кратчайший путь из \(1\) в \(5\) будет равен \(3\).

E. Корова и угощения

Бинарный поиск Комбинаторика математика реализация дп жадные алгоритмы *2500

После удачного года по количеству удоя, Фермер Джон решил наградить своих коров их любимым угощением: вкусной травой!

На поле располагается ряд из \(n\) единиц травы, каждая единица соответствующего уровня сладости \(s_i\). У Фермера Джона \(m\) коров, каждая обладает своим любимым уровнем сладости \(f_i\) и уровнем голода \(h_i\). Фермер Джон хочет выбрать непересекающиеся подмножества коров, чтобы разместить их с левой и правой стороны ряда травы. Нет никаких ограничений на количество коров с каждой стороны. Поведение коров описывается следующим образом:

  • Коровы с левой и правой сторон начинают кормиться по очереди в порядке, выбранном Фермером Джоном.
  • Кормежка коровы выглядит следующим образом: корова начинает двигаться к противоположному концу ряда, не меняя своего направления, и поедает траву своего любимого уровня сладости, пока не съест \(h_i\) единиц.
  • В тот момент, как корова съест \(h_i\) травы, она ложится спать прямо там, мешая проходу других коров с обоих сторон.
  • Если же корова встречает на пути другую спящую корову или достигает конца ряда травы, она расстраивается. Фермер Джон ни при каких условиях не хочет расстраивать своих коров.

Заметим, что трава не отрастает обратно. Также, чтобы не расстраивать корову, Фермер Джон может просто не выбрать каких-то коров.

Удивительно, но Фермер Джон решил, что спящие коровы — наиболее удовлетворенные. Если Фермер Джон будет выбирать порядок оптимально, то какое наибольшее количество спящих коров он сможет получить, и сколько способов существует выбрать два подмножества так, чтобы получить данное максимальное количество спящих коров (по модулю \(10^9+7\))? Порядок, в котором Фермер Джон посылает коров кормиться не важен пока ни одна корова не расстроена.

Входные данные

В первой строке задано два целых числа \(n\) и \(m\) (\(1 \le n \le 5000\), \(1 \le m \le 5000\))  — количество единиц травы в ряду и количество коров.

Во второй строке задано \(n\) целых чисел \(s_1, s_2, \ldots, s_n\) (\(1 \le s_i \le n\))  — уровни сладости травы.

В \(i\)-й из следующих \(m\) строк задано два целых числа \(f_i\) и \(h_i\) (\(1 \le f_i, h_i \le n\))  — любимый уровень сладости и уровень голода \(i\)-й коровы. Никакие две коровы не имеют одинаковый любимый уровень сладости и уровень голода одновременно.

Выходные данные

Выведите два числа  — максимальное количество спящих коров и количество способов его получить по модулю \(10^9+7\).

Примечание

В первом примере, Фермер Джон может выстроить коров следующим образом, чтобы получить в итоге \(2\) спящих коров:

  • Корова \(1\) стоит с левой стороны и корова \(2\) стоит справа.
  • Корова \(2\) стоит с левой стороны и корова \(1\) стоит справа.

Во втором примере, Фермер Джон может выстроить коров следующим образом, чтобы получить в итоге \(1\) спящую корову:

  • Корова \(1\) стоит слева.
  • Корова \(2\) стоит слева.
  • Корова \(1\) стоит справа.
  • Корова \(2\) стоит справа.

В третьем примере, Фермер Джон может выстроить коров следующим образом, чтобы получить в итоге \(2\) спящих коров:

  • Коровы \(1\) и \(2\) стоят слева.
  • Коровы \(1\) и \(2\) стоят справа.
  • Корова \(1\) стоит слева и корова \(2\) стоит справа.
  • Корова \(1\) стоит справа и корова \(2\) стоит слева.

В четвертом примере, Фермер Джон не может получить ни одной спящей коровы, а потому не будет ни одной коровы стоящей с какой-либо стороны.

F. Подарок маме

Бинарный поиск *2000

Сколько на небе звезд? Юному программисту Поликарпу этот вопрос не дает покоя! Он сфотографировал звездное небо на цифровой фотоаппарат и теперь изучает получившуюся монохромную цифровую фотографию. Фотография представляет собой прямоугольную матрицу, состоящую из n строк по m символов в каждой строке. Символ равен '1', если соответствующий пиксель фотографии белый, и '0', если черный.

Поликарп считает, что нашел звезду на фотографии, если обнаружил белый пиксель, окруженный четырьмя соседними по стороне пикселями, которые все тоже белые:


1
111
1
звезда на фотографии

Поликарп хочет вырезать прямоугольный участок из фотографии и подарить маме. На этом участке должно быть изображено не менее k звезд. Изображения звезд могут пересекаться, иметь общие белые пиксели. Прямоугольный участок он будет вырезать так, что его границы окажутся параллельны сторонам фотографии, а разрезы будут проходить точно по границам между пикселями.

Теперь Поликарпа мучает вопрос — сколько существует способов вырезать участок из фотографии, который удовлетворяет требованиям выше? Помогите Поликарпу найти это количество.

Входные данные

В первой строке входных данных записаны три целых чисел n, m и k (1 ≤ n, m ≤ 500;1 ≤ k ≤ nm). Далее в n строках содержится описание заданной фотографии в виде последовательности строк. Каждая строка содержит m символов '0' или '1'.

Выходные данные

Выведите искомое количество участков на заданной фотографии.

Примечание

Будем ниже использовать нумерацию столбцов и строк от 1, координатами (p, q) обозначать клетку в строке p, столбце q.

В первом примере Поликарп должен вырезать любой участок, который содержит прямоугольник с противоположными углами в клетках (1, 1) и (3, 4). Такому условию удовлетворяют только прямоугольники с противоположными углами в (1, 1) и в (x, y), где x ≥ 3 и y ≥ 4.

Во втором примере подойдет любой прямоугольник, каждая сторона которого имеет длину не менее четырех. Возможные размеры прямоугольников — 4 × 4, 4 × 5, 5 × 4 и 5 × 5. Такие фигуры можно вырезать 4 способами, 2 способами, 2 способами и 1 способом соответственно.

Пожалуйста, не используйте спецификатор %lld для чтения или записи 64-битных чисел на С++. Рекомендуется использовать потоки cin, cout или спецификатор %I64d.

C. Красный мост

Строки Бинарный поиск дп *2800

ВКонтакте открыла второй штаб в Санкт-Петербурге! На фасаде здания, в котором он находится, написана строка \(s\). В процессе проектирования офиса часть офиса вдоль всей этой надписи было принято разделить на \(m\) переговорных комнат таким образом, чтобы стены комнат всегда были точно между символами строки на фасаде. Разумеется, переговорные не должны быть нулевого размера, но вполне могут быть шириной в одну букву. Названием каждой комнаты станет подстрока исходной строки \(s\), находящаяся на соответствующей части фасада.

Для того, чтобы протестировать разные варианты дизайна офиса, для каждой возможной конфигурации из \(m\) переговорных комнат напечатали табличку с названием минимальной в лексикографическом порядке комнаты. Для доставки, типография отсортировала эти таблички в обратном лексикографическом порядке напечатанных названий переговорных.

Какое название написано на \(k\)-й табличке?

Входные данные

В первой строке дано три целых числа \(n, m, k\) — длина строки \(s\), количество переговорных комнат, на которые нужно разбить строку \(s\), и номер искомой таблички (\(2 \le n \le 1\,000; 1 \le m \le 1\,000; 1 \le k \le 10^{18}\)).

Во второй строке дана строка \(s\), состоящая из \(n\) маленьких латинских символов.

Гарантируется, что для данных \(n, m, k\) существует не меньше \(k\) разбиений строки \(s\) на \(m\) непустых подстрок.

Выходные данные

Выведите одну строку — надпись на \(k\)-й табличке из доставки.

Примечание

В первом примере посылка из типографии состоит из табличек «aba», «ab», «a».

В втором примере посылка состоит из \(3060\) табличек, первая из которых — «aupontrougevkof», а последняя — «a».

B. Дорога домой

Строки Бинарный поиск дп жадные алгоритмы *1300

После долгой вечеринки Петя захотел поехать домой, но обнаружил себя в другом конце города. В городе есть \(n\) перекрестков, расположенных в ряд, и на каждом перекрестке есть остановка, на которой можно сесть либо на автобус, либо на троллейбус.

Перекрестки можно задать как строку \(s\) длины \(n\), где \(s_i = \texttt{A}\), если на \(i\)-м перекрестке есть автобусная станция, и \(s_i = \texttt{B}\), если на \(i\)-м перекрестке есть троллейбусная станция. Сейчас Петя находится на первом перекрестке (которому соответствует \(s_1\)), и ему нужно попасть на последний перекресток (которому соответствует \(s_n\)).

Если для двух перекрестков \(i\) и \(j\) на всех перекрестках \(i, i+1, \ldots, j-1\) есть автобусная остановка, то можно заплатить \(a\) рублей за билет на автобус, и доехать с \(i\)-й остановки до \(j\)-й (на \(j\)-й остановке не обязательно иметь возможность сесть на автобус). Формально, заплатив \(a\) рублей Петя может добраться из \(i\) до \(j\), если \(s_t = \texttt{A}\) для всех \(i \le t < j\).

Если для двух перекрестков \(i\) и \(j\) на всех перекрестках \(i, i+1, \ldots, j-1\) есть троллейбусная остановка, то можно заплатить \(b\) рублей за билет на троллейбус, и доехать с \(i\)-й остановки до \(j\)-й (на \(j\)-й остановке не обязательно иметь возможность сесть на троллейбус). Формально, заплатив \(b\) рублей Петя может добраться из \(i\) до \(j\), если \(s_t = \texttt{B}\) для всех \(i \le t < j\).

Например, если \(s\)AABBBAB», \(a=4\) и \(b=3\), то Петя может:

  • купить билет на автобус, чтобы добраться от \(1\) до \(3\),
  • купить билет на троллейбус, чтобы добраться от \(3\) до \(6\),
  • купить билет на автобус, чтобы добраться от \(6\) до \(7\).

Так, в общем ему нужно потратить \(4+3+4=11\) рублей. Обратите внимание, что остановка на последнем перекрестке (т.е. символ \(s_n\)) не влияет на итоговую стоимость.

Сейчас Петя находится на первом перекрестке, и он хочет попасть на \(n\)-й перекресток. После вечеринки у него осталось всего \(p\) рублей, и он хочет попасть домой. Он решил пройти несколько перекрестков пешком, а после этого доехать домой на общественном транспорте. Помогите ему выбрать ближайший перекресток \(i\) к первому так, чтобы ему хватило денег добраться с \(i\)-го перекрестка до \(n\)-го, используя лишь поездки на автобусах и троллейбусах.

Входные данные

Каждый тест состоит из одного или более наборов входных данных. В первой строке записано количество наборов входных данных \(t\) (\(1 \le t \le 10^4\)).

В первой строке набора даны три целых числа \(a, b, p\) — стоимость билета на автобус, стоимость билета на троллейбус, и количество денег у Пети соответственно (\(1 \le a, b, p \le 10^5\)).

Во второй строке набора дана строка \(s\), в которой \(s_i = \texttt{A}\), если на \(i\)-м перекрестке можно сесть на автобус, и \(s_i = \texttt{B}\), если на \(i\)-м перекрестке можно сесть на троллейбус (\(2 \le |s| \le 10^5\)).

Гарантируется, что сумма длин строк \(s\) по всем наборам входных данных в тесте не превосходит \(10^5\).

Выходные данные

Для каждого набора входных данных выведите одно целое число — минимальный номер перекрестка \(i\), до которого Пете придется идти пешком. Оставшуюся часть пути (т.е. от \(i\) до \(n\)) он должен ехать на общественном транспорте.

B. Подарок

Бинарный поиск Структуры данных Конструктив математика *2100 сортировки битмаски

На восьмое марта Катерине подарили массив чисел. Со временем ей стало скучно просто смотреть на него, и она решила посчитать некоторые его бесполезные характеристики. Со всеми, что она придумывала, ей это удавалось. Придумав очередную — xor попарных сумм чисел в массиве, она поняла, что не может придумать, как посчитать её для большого массива, и попросила вас помочь. А вы сможете? Более формально, вам нужно посчитать

\(\) (a_1 + a_2) \oplus (a_1 + a_3) \oplus \ldots \oplus (a_1 + a_n) \\ \oplus (a_2 + a_3) \oplus \ldots \oplus (a_2 + a_n) \\ \ldots \\ \oplus (a_{n-1} + a_n) \\ \(\)

Запись \(x \oplus y\) обозначает битовый XOR чисел (т.е. \(x\) ^ \(y\) для многих современных языков программирования). Об этой операции вы можете прочитать по ссылке в Wikipedia: https://tiny.cc/34xykz.

Входные данные

Первая строка содержит целое число \(n\) (\(2 \leq n \leq 400\,000\)) — количество чисел в массиве.

Вторая строка содержит целые числа \(a_1, a_2, \ldots, a_n\) (\(1 \leq a_i \leq 10^7\)).

Выходные данные

Выведите одно число — xor попарных сумм чисел в данном массиве.

Примечание

В первом примере есть всего одна сумма: \(1 + 2 = 3\).

Во втором примере есть три суммы: \(1 + 2 = 3\), \(1 + 3 = 4\), \(2 + 3 = 5\). В двоичной системе счисления это \(011_2 \oplus 100_2 \oplus 101_2 = 010_2\), то есть 2.

\(\oplus\) означает операцию побитового xor. Чтобы определить \(x \oplus y\) рассмотрим двоичную запись чисел \(x\) и \(y\). Скажем, что \(i\)-й бит результата равен 1, если ровно один из \(i\)-х битов \(x\) и \(y\) равен 1. В противном случае \(i\)-й бит результата равен 0. Например, \(0101_2 \, \oplus \, 0011_2 = 0110_2\).

B. Посчитай подпрямоугольники

Бинарный поиск реализация *1500 жадные алгоритмы

Дан массив \(a\) длины \(n\) и массив \(b\) длины \(m\), оба состоящие из чисел \(0\) и \(1\). Рассмотрим матрицу \(c\) размера \(n \times m\), построенную по следующему правилу: \(c_{i, j} = a_i \cdot b_j\) (то есть \(a_i\), умноженное на \(b_j\)). Несложно заметить, что \(c\) также состоит только из нулей и единиц.

Сколько подпрямоугольников размера \(k\), состоящих только из единиц, есть в \(c\)?

Подпрямоугольник — это пересечение непрерывного подотрезка строк и непрерывного подотрезка столбцов матрицы. Рассмотрим четыре числа \(x_1, x_2, y_1, y_2\) (\(1 \le x_1 \le x_2 \le n\), \(1 \le y_1 \le y_2 \le m\)), тогда подпрямоугольник \(c[x_1 \dots x_2][y_1 \dots y_2]\) — это пересечение строк \(x_1, x_1+1, x_1+2, \dots, x_2\) и столбцов \(y_1, y_1+1, y_1+2, \dots, y_2\).

Размер (площадь) подпрямоугольника — это количество элементов матрицы в нём.

Входные данные

В первой строке содержатся три целых числа \(n\), \(m\) и \(k\) (\(1 \leq n, m \leq 40\,000, 1 \leq k \leq n \cdot m\)) — длина массива \(a\), длина массива \(b\) и требуемый размер подпрямоугольников.

Во второй строке содержатся \(n\) целых чисел \(a_1, a_2, \ldots, a_n\) (\(0 \leq a_i \leq 1\)) — элементы массива \(a\).

В третьей строке содержатся \(m\) целых чисел \(b_1, b_2, \ldots, b_m\) (\(0 \leq b_i \leq 1\)) — элементы массива \(b\).

Выходные данные

Выведите одно целое число — количество подпрямоугольников в \(c\) размера \(k\), состоящих только из единиц.

Примечание

В первом примере матрица \(c\) такова:

В ней есть \(4\) подпрямоугольника размера \(2\), состоящих только из единиц:

Во втором примере матрица \(c\) такова:

C. Прыгающая лягушка

Бинарный поиск Структуры данных реализация *1100 поиск в глубину и подобное жадные алгоритмы

Слева от строки \(s = s_1 s_2 \ldots s_n\), состоящей из \(n\) символов, находится лягушка (точнее, изначально лягушка находится в клетке \(0\)). Каждый символ строки \(s\) — это или 'L', или 'R'. Это значит, что если лягушка находится в \(i\)-й клетке и \(i\)-й символ — это 'L', то она может прыгать только влево. Если лягушка стоит в \(i\)-й клетке и \(i\)-й символ — это 'R', то она может прыгать только вправо. Из клетки \(0\) лягушка может прыгать только вправо.

Заметим, что лягушка может прыгать в одну и ту же клетку дважды и может совершить столько прыжков, сколько ей потребуется.

Лягушка хочет достичь \(n+1\)-й клетки. Лягушка выбирает некоторое целое положительное значение \(d\) перед самым первым прыжком (и потом не может изменить его) и прыгает не более, чем на \(d\) клеток за раз. То есть, если \(i\)-й символ — 'L', то лягушка может прыгнуть в любую клетку из отрезка \([max(0, i - d); i - 1]\), а если \(i\)-й символ — 'R', то лягушка может прыгнуть в любую клетку из отрезка \([i + 1; min(n + 1; i + d)]\).

Лягушка не хочет прыгать слишком далеко, поэтому ваша задача — найти минимальное возможное значение \(d\), при котором лягушка сможет достичь клетки \(n+1\) из клетки \(0\), если будет прыгать не более, чем на \(d\) клеток за раз. Гарантируется, что всегда возможно достичь \(n+1\) из \(0\).

Вам нужно ответить на \(t\) независимых наборов входных данных.

Входные данные

Первая строка теста содержит одно целое число \(t\) (\(1 \le t \le 10^4\)) — количество наборов входных данных.

Следующие \(t\) строк описывают наборы входных данных. \(i\)-й описан строкой \(s\) состоящей из не менее, чем \(1\), и не более, чем \(2 \cdot 10^5\) символов 'L' и 'R'.

Гарантируется, что сумма длин строк по всем наборам входных данных не превосходит \(2 \cdot 10^5\) (\(\sum |s| \le 2 \cdot 10^5\)).

Выходные данные

Для каждого набора входных данных выведите ответ — минимальное возможное значение \(d\), при котором лягушка может достичь клетки \(n+1\) из клетки \(0\), если будет совершать прыжки длиной не более, чем \(d\).

Примечание

Картинка, описывающая первый набор тестовых данных из примера и один из возможных ответов:

Во втором наборе тестовых данных из примера лягушка может прыгнуть только напрямую из \(0\) в \(n+1\).

В третьем наборе тестовых данных лягушка может выбрать \(d=3\), прыгнуть в клетку \(3\) из клетки \(0\) и затем прыгнуть в клетку \(4\) из клетки \(3\).

В четвертом наборе тестовых данных из примера лягушка может выбрать \(d=1\) и прыгнуть \(5\) раз вправо.

В пятом наборе тестовых данных из примера лягушка может прыгнуть только напрямую из \(0\) в \(n+1\).

В шестом наборе тестовых данных из примера лягушка может выбрать \(d=1\) и прыгнуть \(2\) раза вправо.

D. Пара тем

Бинарный поиск Структуры данных *1400 сортировки

На следующей лекции в университете нужно обсудить две темы. \(i\)-я тема интересна на \(a_i\) единиц для преподавателя и на \(b_i\) единиц для студентов.

Пара тем \(i\) и \(j\) (\(i < j\)) называется хорошей, если \(a_i + a_j > b_i + b_j\) (т.е. эта пара тем более интересна преподавателю).

Ваша задача — найти количество хороших пар тем.

Входные данные

Первая строка теста содержит одно целое число \(n\) (\(2 \le n \le 2 \cdot 10^5\)) — количество тем.

Вторая строка теста содержит \(n\) целых чисел \(a_1, a_2, \dots, a_n\) (\(1 \le a_i \le 10^9\)), где \(a_i\) — уровень интереса к \(i\)-й теме у преподавателя.

Третья строка теста содержит \(n\) целых чисел \(b_1, b_2, \dots, b_n\) (\(1 \le b_i \le 10^9\)), где \(b_i\) — уровень интереса к \(i\)-й теме у студентов.

Выходные данные

Выведите одно целое число — количество хороших пар тем.

D2. Префиксно-суффиксный палиндром (усложненная версия)

Строки Бинарный поиск *1800 жадные алгоритмы хэши строковые суфф. структуры

Это усложненная версия этой задачи. Различия в ограничениях на сумму длин строк и на количество тестовых случаев. Вы можете делать взломы, только если обе версии этой задачи решены.

Вам дана строка \(s\), состоящая из строчных букв латинского алфавита. Вы должны найти строку \(t\) максимальной длины, которая удовлетворяет следующим условиям:

  • Длина строки \(t\) не превосходит длину строки \(s\).
  • \(t\) является палиндромом, то есть она равна себе перевернутой.
  • Существует две строки \(a\) и \(b\) (возможно пустые), такие что \(t = a + b\) (здесь операция «\(+\)» это конкатенация строк) и \(a\) является префиксом строки \(s\) и \(b\) является суффиксом строки \(s\).
Входные данные

Входные данные содержат несколько тестовых случаев. В первой строке находится единственное целое число \(t\) (\(1 \leq t \leq 10^5\)) — количество тестовых случаев. Следующие \(t\) строк описывают тестовые случаи.

Для каждого тестового случая, единственная строка содержит непустую строку \(s\), состоящую из строчных символов латинского алфавита.

Гарантируется, что сумма длин строк по всем тестовым случаям не превосходит \(10^6\).

Выходные данные

Для каждого тестового случая выведите строку максимальной длины, которая удовлетворяет описанным условиям. Если существует несколько решений, вы можете вывести любое.

Примечание

В первом тестовом случае, вся строка \(s = \)«a» удовлетворяет всем условиям.

Во втором тестовом случае, строка «abcdfdcba» удовлетворяет всем условиям, потому что:

  • ее длина равна \(9\), что не превосходит длину строки \(s\), которая равна \(11\);
  • она палиндром;
  • «abcdfdcba» \(=\) «abcdfdc» \(+\) «ba», где строка «abcdfdc» является префиксом строки \(s\) и строка «ba» является суффиксом строки \(s\).

Можно доказать, что невозможно найти более длинную такую строку.

В четвертом тестовом случае, строка «c» это правильный ответ, потому что «c» \(=\) «c» \(+\) «» и это допустимо, потому что по условию строки \(a\) и \(b\) могут быть пустыми. Другой возможный ответ на этот тест это строка «s».

B. K-я красивая строка

Бинарный поиск Перебор Комбинаторика математика реализация *1300

Для заданного целого числа \(n\) (\(n > 2\)) выпишем все строки длины \(n\), которые содержат в себе \(n-2\) буквы 'a' и две буквы 'b', в лексикографическом (алфавитном) порядке.

Напомним, что строка \(s\) длины \(n\) лексикографически меньше строки \(t\) длины \(n\), если существует такое \(i\) (\(1 \le i \le n\)), что \(s_i < t_i\), а для всех \(j\) (\(1 \le j < i\)) \(s_j = t_j\). Лексикографическое сравнение строк реализовано при помощи оператора < в современных языках программирования.

Например, если \(n=5\), то получатся следующие строки (их порядок важен):

  1. aaabb
  2. aabab
  3. aabba
  4. abaab
  5. ababa
  6. abbaa
  7. baaab
  8. baaba
  9. babaa
  10. bbaaa

Легко показать, что такой список строк будет содержать ровно \(\frac{n \cdot (n-1)}{2}\) строк.

Вам задано \(n\) (\(n > 2\)) и \(k\) (\(1 \le k \le \frac{n \cdot (n-1)}{2}\)). Выведите \(k\)-ю строку из списка.

Входные данные

Входные данные содержат один или несколько наборов тестовых данных.

Первая строка входных данных содержит одно целое число \(t\) (\(1 \le t \le 10^4\)) — количество наборов тестовых данных в тесте. Затем следуют \(t\) наборов тестовых данных.

Каждый набор тестовых данных содержится на отдельной строке, содержащей два целых числа \(n\) и \(k\) (\(3 \le n \le 10^5, 1 \le k \le \min(2\cdot10^9, \frac{n \cdot (n-1)}{2})\).

Сумма значений \(n\) по всем наборам тестовых данных не превосходит \(10^5\).

Выходные данные

Для каждого набора тестовых данных выведите \(k\)-ю строку из списка всех описанных выше строк длины \(n\). Строки в списке отсортированы лексикографически (в алфавитном порядке).

E. Dreamoon любит AA

Бинарный поиск жадные алгоритмы *3300

Есть строка длины \(n+1\) из символов 'A' и 'B'. Первый и последний символ в этой строке равны 'A'.

Вам таже дано \(m\) индексов \(p_1, p_2, \ldots, p_m\)\(0\)-индексации), описывающих другие позиции символов 'A' в строке.

Обозначим минимальное расстояние между соседними буквами 'A' за \(l\), а максимальное расстояние между соседними 'A' за \(r\).

Например, \((l,r)\) строки "ABBAABBBA" равно \((1,4)\).

Обозначим за степень баланса строки величину \(r-l\).

Теперь Dreamoon хочет изменить ровно \(k\) символов 'B' на 'A', и он хочет сделать степень баланса строки как можно меньше.

Пожалуйста, найдите минимальное возможное значение степени баланса.

Входные данные

В первой строке записано одно целое число \(t\), содержащее количество наборов входных данных (\(1 \leq t \leq 400\,000\)).

В каждом наборе входных данных, первая строка содержит три целых числа \(n\), \(m\) и \(k\) (\(1 \leq n \leq 10^{15}, 0 \leq m \leq 400\,000, 0 \leq k < n - m\)).

Во второй строке записаны \(m\) целых чисел \(p_1, p_2, \ldots, p_m\), (\(0 < p_1 < p_2 < \ldots < p_m < n\)).

Сумма по всем \(m\) не превосходит \(400\,000\).

Выходные данные

Для каждого набора входных данных, выведите одно целое число: минимальное возможное значение степени баланса после \(k\) изменений 'B' на 'A'.

C. Евгений и массив

Бинарный поиск Структуры данных реализация *1700

Евгений любит работать с массивами. Сегодня ему нужна ваша помощь, чтобы решить одну сложную задачку.

Массив \(c\) является подмассивом \(b\), если \(c\) может быть получен из \(b\) удалением нескольких (возможно, ни одного или всех) элементов из начала и нескольких (возможно, ни одного или всех) элементов из конца.

Назовем непустой массив хорошим, если для любого непустого подмассива этого массива, сумма его элементов не равна нулю. К примеру, массив \([-1, 2, -3]\) является хорошим, так как все массивы \([-1]\), \([-1, 2]\), \([-1, 2, -3]\), \([2]\), \([2, -3]\), \([-3]\) имеют ненулевую сумму элементов. В то же время, массив \([-1, 2, -1, -3]\) не является хорошим, так как его подмассив \([-1, 2, -1]\) имеет сумму элементов равную \(0\).

Помогите Евгению посчитать количество непустых хороших подмассивов данного массива \(a\).

Входные данные

Первая строка входных данных содержит одно целое число \(n\) (\(1 \le n \le 2 \times 10^5\))  — длину массива \(a\).

Вторая строка входных данных содержит \(n\) целых чисел \(a_1, a_2, \dots, a_n\) (\(-10^9 \le a_i \le 10^9\))  — элементы массива \(a\).

Выходные данные

Выведите одно целое число  — количество хороших подмассивов \(a\).

Примечание

В первом примере следующие подмассивы являются хорошими: \([1]\), \([1, 2]\), \([2]\), \([2, -3]\), \([-3]\), Однако подмассив \([1, 2, -3]\) не является хорошим, поскольку его подмассив \([1, 2, -3]\) имеет сумму элементов, равную \(0\).

Во втором примере все три подмассива размера 1 хорошие и только они. В то же время, подмассив \([41, -41, 41]\) не является хорошим, поскольку его подмассив \([41, -41]\) имеет сумму элементов, равную \(0\).

F. Странная функция

Бинарный поиск Структуры данных дп жадные алгоритмы *2500

Введем функцию \(f\) следующим образом. Эта функция принимает массив \(a\) длины \(n\) и возвращает массив. Изначально результат — пустой массив. Для каждого \(i\) от \(1\) до \(n\) мы добавляем \(a_i\) в конец результата, если этот элемент больше всех предыдущих (формально, если \(a_i > \max\limits_{1 \le j < i}a_j\)). Примеры применения функции \(f\):

  1. если \(a = [3, 1, 2, 7, 7, 3, 6, 7, 8]\), то \(f(a) = [3, 7, 8]\);
  2. если \(a = [1]\), то \(f(a) = [1]\);
  3. если \(a = [4, 1, 1, 2, 3]\), то \(f(a) = [4]\);
  4. если \(a = [1, 3, 1, 2, 6, 8, 7, 7, 4, 11, 10]\), то \(f(a) = [1, 3, 6, 8, 11]\).

Вам даны два массива: \(a_1, a_2, \dots , a_n\) и \(b_1, b_2, \dots , b_m\). Вы можете удалить некоторые элементы массива \(a\) (возможно, никакие). Чтобы удалить элемент \(a_i\), вы должны заплатить \(p_i\) монет (значение \(p_i\) может быть отрицательным, тогда за удаление элемента вы получаете \(|p_i|\) монет). Посчитайте минимальное кол-во монет (возможно, отрицательное), которое вы должны потратить, чтобы условие \(f(a) = b\) выполнялось.

Входные данные

В первой строке задано одно целое число \(n\) \((1 \le n \le 5 \cdot 10^5)\) — длина массива \(a\).

Во второй строке заданы \(n\) целых чисел \(a_1, a_2, \dots, a_n\) \((1 \le a_i \le n)\) — массив \(a\).

В третьей строке заданы \(n\) целых чисел \(p_1, p_2, \dots, p_n\) \((|p_i| \le 10^9)\) — массив \(p\).

В четвертой строке задано целое число \(m\) \((1 \le m \le n)\) — длина массива \(b\).

В пятой строке заданы \(m\) целых чисел \(b_1, b_2, \dots, b_m\) \((1 \le b_i \le n, b_{i-1} < b_i)\) — массив \(b\).

Выходные данные

Если ответ существует, выведите YES в первой строке, а во второй — минимальное количество монет, которое надо потратить, чтобы условие \(f(a) = b\) выполнилось.

Иначе выведите NO.

C. Составление двух команд

Бинарный поиск реализация *1100 жадные алгоритмы сортировки

Под вашим контролем находятся \(n\) студентов и вам нужно составить ровно две команды, состоящие из некоторого подмножества ваших студентов. У каждого студента есть свой собственный навык, навык \(i\)-го студента обозначен числом \(a_i\) (у различных студентов могут быть одинаковые навыки).

Итак, о командах. Во-первых, эти две команды должны быть одинакового размера. Есть еще два требования:

  • Первая команда должна состоять из студентов с различными навыками (то есть нет одинаковых навыков среди студентов первой команды).
  • Вторая команда должна состоять из студентов с одинаковыми навыками (то есть все навыки среди студентов второй команды равны между собой).

Отметим, что допустимо, что какой-то студент первой команды имеет такой же навык, как и студент второй команды.

Рассмотрим несколько примеров (перечислены навыки для команд):

  • \([1, 2, 3]\), \([4, 4]\) не являются подходящей парой команд, потому что их размеры должны быть одинаковыми;
  • \([1, 1, 2]\), \([3, 3, 3]\) не являются подходящей парой команд, потому что первая команда не должна включать студентов с одинаковыми навыками;
  • \([1, 2, 3]\), \([3, 4, 4]\) не являются подходящей парой команд, потому что вторая команда должна включать студентов с одинаковыми навыками;
  • \([1, 2, 3]\), \([3, 3, 3]\) — подходящая пара команд;
  • \([5]\), \([6]\) — тоже подходящая пара команд.

Ваша задача — найти максимально возможный размер команд \(x\), для которого возможно составить подходящую пару команд, где каждая команда имеет размер \(x\) (в первой команде все навыки различны, во второй — все навыки равны между собой). Студент не может входить более чем в одну команду.

Вам нужно ответить на \(t\) независимых наборов входных данных.

Входные данные

Первая строка теста содержит одно целое число \(t\) (\(1 \le t \le 10^4\)) — количество наборов тестовых данных. Затем следуют \(t\) наборов тестовых данных.

Первая строка набора содержит одно целое число \(n\) (\(1 \le n \le 2 \cdot 10^5\)) — количество студентов. Вторая строка набора содержит \(n\) целых чисел \(a_1, a_2, \dots, a_n\) (\(1 \le a_i \le n\)), где \(a_i\) — это навык \(i\)-го студента. У различных студентов могут быть одинаковые навыки.

Гарантируется, что сумма чисел \(n\) по всем наборам тестовых данных не превосходит \(2 \cdot 10^5\) (\(\sum n \le 2 \cdot 10^5\)).

Выходные данные

Для каждого набора тестовых данных выведите ответ на него — максимально возможный размер команд \(x\), для которого возможно составить подходящую пару команд, где каждая команда имеет размер \(x\).

Примечание

В первом наборе тестовых данных примера возможно составить две команды размера \(3\): первая команда может иметь вид \([1, 2, 4]\), вторая команда может иметь вид \([4, 4, 4]\). Заметим, есть и другие способы выбрать две команды размера \(3\), которые соответствуют требованиям выше.

E1. Палиндром из трех блоков (простая версия)

Бинарный поиск Перебор Структуры данных дп *1700

Единственное отличие между простой и сложной версиями — ограничения.

Вам дана последовательность \(a\), состоящая из \(n\) положительных чисел.

Определим палиндром из трех блоков как последовательность, которая состоит из не более, чем двух различных элементов (назовем эти элементы \(a\) и \(b\), \(a\) может быть равно \(b\)) и выглядит следующим образом \([\underbrace{a, a, \dots, a}_{x}, \underbrace{b, b, \dots, b}_{y}, \underbrace{a, a, \dots, a}_{x}]\). Здесь \(x, y\) — числа, большие или равные \(0\). Например, последовательности \([]\), \([2]\), \([1, 1]\), \([1, 2, 1]\), \([1, 2, 2, 1]\) и \([1, 1, 2, 1, 1]\)палиндромы из трех блоков, но \([1, 2, 3, 2, 1]\), \([1, 2, 1, 2, 1]\) и \([1, 2]\) — нет.

Ваша задача — выбрать максимальную по длине подпоследовательность \(a\), которая является палиндромом из трех блоков.

Вам нужно ответить на \(t\) независимых наборов тестовых данных.

Напомним, что последовательность \(t\) является подпоследовательностью последовательности \(s\), если \(t\) может быть получена из \(s\) после удаления нуля или более элементов без изменения порядка оставшихся элементов. Например, если \(s=[1, 2, 1, 3, 1, 2, 1]\), то возможные подпоследовательности: \([1, 1, 1, 1]\), \([3]\) и \([1, 2, 1, 3, 1, 2, 1]\), но не \([3, 2, 3]\) and \([1, 1, 1, 1, 2]\).

Входные данные

Первая строка теста содержит одно целое число \(t\) (\(1 \le t \le 2000\)) — количество наборов тестовых данных. Затем следуют \(t\) наборов тестовых данных.

Первая строка каждого набора содержит одно целое число \(n\) (\(1 \le n \le 2000\)) — длину \(a\). Вторая строка набора содержит \(n\) целых чисел \(a_1, a_2, \dots, a_n\) (\(1 \le a_i \le 26\)), где \(a_i\) — это \(i\)-й элемент в \(a\). Заметьте, что максимальное значение \(a_i\) может быть до \(26\).

Гарантируется, что сумма чисел \(n\) по всем наборам тестовых данных не превосходит \(2000\) (\(\sum n \le 2000\)).

Выходные данные

Для каждого набора тестовых данных выведите ответ на него — максимально возможную длину некоторой подпоследовательности \(a\), которая является палиндромом из трех блоков.

B. Xenia и разноцветные камушки

Бинарный поиск математика жадные алгоритмы сортировки *1700

Xenia девочка, рожденная дворянкой. От скуки и одиночества, Xenia вынуждена сама искать какие-то способы развлечься.

 

Недавно Xenia купила \(n_r\) красных камушков, \(n_g\) зеленых камушков и \(n_b\) голубых камушков. Каждый камушек имеет некоторый вес.

Сейчас она хочет выбрать три камушка.

Xenia любит разноцветные вещи, поэтому она выберет ровно один камушек каждого цвета.

Xenia любит баланс, поэтому она хочет выбрать камушки с как можно меньшей разнице в весе.

Более точно, если положить веса выбранных камушков за \(x\), \(y\) и \(z\), Xenia хочет выбрать камушки, так, чтобы значение \((x-y)^2+(y-z)^2+(z-x)^2\) было как можно меньше. Как ее лучший друг, можете ли вы помочь ей?

Входные данные

Первая строка содержит единственное целое число \(t\) (\(1\le t \le 100\))  — количество тестовых случаев. Затем следует описание \(t\) тестовых случаев.

Первая строка описания каждого тестового случая содержит три целых числа \(n_r,n_g,n_b\) (\(1\le n_r,n_g,n_b\le 10^5\))  — количество красных камушков, зеленых камушков и голубых камушков, соответственно.

Вторая строка описания каждого тестового случая содержит \(n_r\) целых чисел \(r_1,r_2,\ldots,r_{n_r}\) (\(1\le r_i \le 10^9\))  — \(r_i\) равно весу \(i\)-о красного камушка.

Третья строка описания каждого тестового случая содержит \(n_g\) целых чисел \(g_1,g_2,\ldots,g_{n_g}\) (\(1\le g_i \le 10^9\))  — \(g_i\) равно весу \(i\)-о зеленого камушка.

Четвертая строка описания каждого тестового случая содержит \(n_b\) целых чисел \(b_1,b_2,\ldots,b_{n_b}\) (\(1\le b_i \le 10^9\))  — \(b_i\) равно весу \(i\)-о голубого камушка.

Гарантируется, что \(\sum n_r \le 10^5\), \(\sum n_g \le 10^5\), \(\sum n_b \le 10^5\) (сумма берется по всем тестовым случаям).

Выходные данные

Для каждого тестового случая выведите целое число  — минимальное возможное значение, которое Xenia может получить.

Примечание

В первом тестовом случае, Xenia купила следующие камушки:

Если она возьмет красный камушек с весом \(7\), зеленый камушек с весом \(6\) и голубой камушек с весом \(4\), она получит самый сбалансированный выбор со значением \((x-y)^2+(y-z)^2+(z-x)^2=(7-6)^2+(6-4)^2+(4-7)^2=14\).

D. Наборы входных данных

Бинарный поиск Структуры данных Конструктив жадные алгоритмы сортировки *1900

Итак, вы решили провести свой раунд на Codeforces. Приготовили задачи: условия, решения, чекеры, валидаторы, тесты... И тут внезапно ваш координатор просит вас заменить все ваши тесты в самой простой задачи на наборы входных данных!

Изначально каждый тест в данной задаче — это просто массив. Максимальный размер массива равен \(k\). Для простоты будем считать, что содержимое массива не важно. У вас есть \(n\) тестов; \(i\)-й тест — это массив размера \(m_i\) (\(1 \le m_i \le k\)).

Ваш координатор просит вас распределить все ваши массивы по нескольким наборам входных данных. Каждый набор может включать в себя несколько массивов. Однако, в каждом наборе входных данных должно быть не больше \(c_1\) массивов размера больше или равного \(1\) (\(\ge 1\)), не больше \(c_2\) массивов размера больше или равного \(2\), \(\dots\), не больше \(c_k\) массивов размера больше или равного \(k\). Также \(c_1 \ge c_2 \ge \dots \ge c_k\).

Теперь ваша задача — составить новые наборы входных данных так, чтобы:

  • каждый из изначальных массивов встречается ровно в одном наборе входных данных;
  • для каждого набора тестовых данных выполняются приведенные условия;
  • количество наборов тестовых данных минимально возможно.

Выведите минимальное количество наборов тестовых данных, которое можно достичь, а также размеры массивов в каждом наборе входных данных.

Входные данные

В первой строке записаны два целых числа \(n\) и \(k\) (\(1 \le n, k \le 2 \cdot 10^5\)) — изначальное количество тестов и ограничение на размер каждого массива.

Во второй строке записаны \(n\) целых чисел \(m_1, m_2, \dots, m_n\) (\(1 \le m_i \le k\)) — размеры массивов в изначальных тестах.

В третьей строке записаны \(k\) целых чисел \(c_1, c_2, \dots, c_k\) (\(n \ge c_1 \ge c_2 \ge \dots \ge c_k \ge 1\)); \(c_i\) — это максимальное количество массивов размера больше или равного \(i\), которые могут быть внутри одного набора входных данных.

Выходные данные

В первой строке выведите одно целое число \(ans\) (\(1 \le ans \le n\)) — минимальное количество наборов входных данных, которое можно достичь.

Каждая из следующих \(ans\) строк должна содержать описание набора входных данных в следующем формате:

\(t\) \(a_1\) \(a_2\) \(\dots\) \(a_{t}\) (\(1 \le t\le n\)) — в наборе входных данных содержится \(t\) массивов, \(a_i\) — это размер \(i\)-го массива в этом наборе входных данных.

Каждый из изначальных массивов должен содержаться в ровно одном наборе входных данных. В частности, это подразумевает, что сумма всех значений \(t\) по всем \(ans\) наборам входных данных должна быть равна \(n\).

Обратите внимание, что ответ существует всегда, потому что \(c_k \ge 1\) (а следовательно \(c_1 \ge 1\)).

Если существует несколько решений, выведите любое из них.

Примечание

В первом примере не существует способа распределить все тесты по меньше, чем \(3\), наборам входных данных. Данный ответ удовлетворяет всем условиям: в каждом наборе входных данных не больше \(4\) массивов размера больше или равного \(1\) и не больше \(1\) массива размера больше или равного \(2\) и \(3\).

Обратите внимание, что существует несколько правильных ответов на данный тест. Например, наборы входных данных с размерами \([[2], [1, 2], [3]]\) тоже будут правильными.

Однако, наборы тестовых данных с размерами \([[1, 2], [2, 3]]\) будут неправильными, потому что во втором наборе входных данных есть \(2\) массива размера больше или равного \(2\).

Обратите внимание на разницу между третьим и четвертым примером. В третьем примере можно собрать до \(5\) массивов размера больше или равного \(1\) в набор входных данных, поэтому одного набора достаточно. А в четвертом примере можно иметь не больше \(1\) массива. Поэтому каждый массив приходится выделять в отдельный набор входных данных.

D. Составление резюме

Бинарный поиск математика жадные алгоритмы *2700

О нет! Скоро закончится время, когда еще можно подать заявку на стажировку в IT компанию, а вы медлили, участвуя в контестах вместо этого! (Давайте пока притворимся, что в наше неопределенное время можно будет найти работу.)

Вы сделали много проектов по программированию. Существует ровно \(n\) типов проектов и вы сделали \(a_i\) проектов типа \(i\). Ваше резюме имеет ограниченный размер, но вы хотите аккуратно выбрать проекты, чтобы максимизировать шанс того, что вас возьмут на работу.

Вы хотите включить несколько проектов одного типа, чтобы подчеркнуть вашу компетентность, но вы также не хотите включать их так много, что среди них начнут появляться некачественные проекты. Поэтому, вы придумали следующую формулу, которая является хорошим индикатором того, что вас возьмут на работу:

\(\) f(b_1,\ldots,b_n)=\sum\limits_{i=1}^n b_i(a_i-b_i^2). \(\)

Здесь \(b_i\) обозначает количество проектов типа \(i\), которое вы включите в ваше резюме. Конечно, вы не можете включить в резюме больше проектов, чем вы сделали, поэтому для всех \(i\) должно быть выполнено \(0\le b_i \le a_i\).

В вашем резюме хватает места для \(k\) проектов, и вы абсолютно точно не будете приняты на работу, если в вашем резюме будет пустая строчка. Поэтому вы хотите, чтобы было выполнено \(\sum\limits_{i=1}^n b_i=k\).

Найдите значения \(b_1,\ldots, b_n\), которые максимизируют значение \(f(b_1,\ldots,b_n)\) при том, что все описанные условия выполнены.

Входные данные

В первой строке находятся два целых числа \(n\) и \(k\) (\(1\le n\le 10^5\), \(1\le k\le \sum\limits_{i=1}^n a_i\)) — количество типов проектов и размер резюме, соответственно.

В следующей строке находятся \(n\) целых чисел \(a_1,\ldots,a_n\) (\(1\le a_i\le 10^9\)), \(a_i\) равно количеству сделанных проектов типа \(i\).

Выходные данные

В единственной строке выведите \(n\) целых чисел \(b_1,\ldots, b_n\), для которых достигается максимальное значение \(f(b_1,\ldots,b_n)\) в условиях ограничений \(0\le b_i\le a_i\) и \(\sum\limits_{i=1}^n b_i=k\). Если существует несколько возможных решений, выведите любое.

Обратите внимание, что вы не должны выводить само значение \(f(b_1,\ldots,b_n)\).

Примечание

В первом тесте оптимальный ответ это \(f=-269\). Обратите внимание, что большее значение \(f\) возможно, только если мы уберем ограничение \(\sum\limits_{i=1}^n b_i=k\).

Во втором тесте оптимальный ответ \(f=9\).

B. Карточные пирамиды

Бинарный поиск Перебор математика дп *1100

Карточная пирамида высоты \(1\) может быть построена с помощью двух карт, приставленных друг к другу. Для \(h>1\) карточная пирамида высоты \(h\) может быть построена расположением карточной пирамиды высоты \(h-1\) на базе. База состоит из \(h\) пирамидок высоты \(1\), поставленных в ряд, и \(h-1\) карты, лежащей сверху на них. Например, карточные пирамиды с высотами \(1\), \(2\) и \(3\) выглядят следующим образом:

Изначально у вас есть \(n\) карт и вы строите как можно более высокую пирамиду из этих карт. Если остались лишние карты, вы снова строите как можно более высокую пирамиду из оставшихся карт. Вы продолжаете этот процесс до тих пор, пока не станет невозможно построить какую-нибудь пирамиду. Сколько карточных пирамид вы построите?

Входные данные

Каждый тест состоит из нескольких тестовых случаев. Первая строка содержит единственное целое число \(t\) (\(1\le t\le 1000\)) — количество тестовых случаев. Следующие \(t\) строк содержат описания тестовых случаев.

Единственная строка описания каждого тестового случая содержит единственное целое число \(n\) (\(1\le n\le 10^9\)) — количество карт.

Гарантируется, что сумма значений \(n\) по всем тестовым случаям не превосходит \(10^9\).

Выходные данные

Для каждого тестового случая выведите единственное целое число — количество карточных пирамид, которое вы построите в конце процесса.

Примечание

В первом тестовом случае вы построите карточную пирамиду высоты \(1\) из \(2\)-x карт. Останется \(1\) карта, которой недостаточно, чтобы построить какую-нибудь пирамиду.

Во втором тестовом случае вы построите две пирамиды, каждая высоты \(2\), и в конце процесса не останется карт.

В третьем тестовом случае вы построите одну пирамиду высоты \(3\), и ни одной карты не останется.

В четвертом тестовом случае вы сначала построите одну пирамиду высоты \(3\), и \(9\) карт останется. Затем вы построите пирамиду высоты \(2\), и \(2\) карты останется. Наконец, вы построите последнюю пирамиду высоты \(1\), и не останется ни одной карты.

В пятом тестовом случае одной карты недостаточно, чтобы построить какую-нибудь пирамиду.

D. Феникс и наука

Бинарный поиск Конструктив математика реализация жадные алгоритмы *1900

Феникс решил стать ученым! Сейчас он изучает рост бактерий.

Изначально, в день \(1\), есть одна бактерия массой \(1\).

Каждый день некоторое количество бактерий делятся (возможно, все или ни одной). Когда бактерия массой \(m\) делится, она превращается в две бактерии массой \(\frac{m}{2}\) каждая. Например, бактерия массой \(3\) может разделиться на две бактерии массой \(1.5\).

Каждую ночь масса каждой бактерии увеличивается на один.

Феникса интересует вопрос: может ли общая масса бактерий стать в точности равна \(n\). Если может, то его интересует как добиться такой массы за минимальное количество ночей. Помогите ему стать самым лучшим ученым!

Входные данные

Входные данные состоят из нескольких наборов. В первой строке задано целое число \(t\) (\(1 \le t \le 1000\)) — количество наборов входных данных.

В единственной строке каждого набора задано целое число \(n\) (\(2 \le n \le 10^9\)) — суммарная масса бактерий, которой хочет добиться Феникс.

Выходные данные

Для каждого набора входных данных, если не существует способа получить общую массу равную \(n\), выведите -1. В противном случае, выведите две строки.

В первой строке выведите целое число \(d\) — минимальное необходимое количество ночей.

В следующей строке выведите \(d\) целых чисел, где \(i\)-е число обозначает количество бактерий, которые поделятся в \(i\)-й день.

Если существует несколько решений, выведите любое из них.

Примечание

В первом наборе, можно получить общую массу бактерий ровно \(9\) следующим образом:

  • День \(1\): Бактерия с массой \(1\) делится. Получаем две бактерии с массой \(0.5\).
  • Ночь \(1\): Все бактерии увеличивают массу на один. Получаем две бактерии с массой \(1.5\).
  • День \(2\): Ни одна бактерия не делится.
  • Ночь \(2\): Получаем две бактерии с массой \(2.5\).
  • День \(3\): Обе бактерии делятся. Получаем четыре бактерии с массой \(1.25\).
  • Ночь \(3\): Получаем четыре бактерии с массой \(2.25\).
Суммарная масса равна \(2.25+2.25+2.25+2.25=9\). Можно доказать, что \(3\) — минимальное необходимое количество ночей. Есть и другие способы добиться суммарной массы 9 за 3 ночи.

\( \)

В втором наборе, можно получить общую массу бактерий ровно \(11\) следующим образом:

  • День \(1\): Бактерия с массой \(1\) делится. Получаем две бактерии с массой \(0.5\).
  • Ночь \(1\): Получаем две бактерии с массой \(1.5\).
  • День \(2\): Одна бактерия делится. Получаем три бактерии с массами \(0.75\), \(0.75\) и \(1.5\).
  • Ночь \(2\): Получаем три бактерии с массами \(1.75\), \(1.75\) и \(2.5\).
  • День \(3\): Бактерия с массой \(1.75\) и бактерия с массой \(2.5\) делятся. Получаем пять бактерий с массами \(0.875\), \(0.875\), \(1.25\), \(1.25\) и \(1.75\).
  • Ночь \(3\): Получаем пять бактерий с массами \(1.875\), \(1.875\), \(2.25\), \(2.25\) и \(2.75\).
Суммарная масса равна \(1.875+1.875+2.25+2.25+2.75=11\). Можно доказать, что \(3\) — минимальное необходимое количество ночей. Есть и другие способы добиться суммарной массы 11 за 3 ночи.

\( \)

Во третьем наборе, бактерия не делится в день \(1\), а потом увеличивает массу до \(2\) в ночь \(1\).

C. K-е неделящееся на n

Бинарный поиск математика *1200

Заданы два целых положительных числа: \(n\) и \(k\). Выведите \(k\)-е положительное целое число, которое не делится на \(n\).

Например, если \(n=3\), а \(k=7\), то все числа, которые не делятся на \(3\), имеют вид: \(1, 2, 4, 5, 7, 8, 10, 11, 13 \dots\). \(7\)-е число среди них равно \(10\).

Входные данные

В первой строке записано целое число \(t\) (\(1 \le t \le 1000\)) — количество наборов входных данных в тесте. Далее записаны \(t\) наборов входных данных по одному в строке.

Каждый набор представляет собой два целых положительных числа \(n\) (\(2 \le n \le 10^9\)) и \(k\) (\(1 \le k \le 10^9\)).

Выходные данные

Для каждого набора входных данных выведите \(k\)-е целое положительное число, которое не делится на \(n\).

B. Троичная строка

Бинарный поиск реализация дп *1200

Вам дана строка \(s\), каждый символ которой — 1, 2 или 3. Вы должны выбрать кратчайшую непрерывную подстроку \(s\), в которой каждый из трех символов встречается хотя бы один раз.

Непрерывная подстрока \(s\) — строка, которую можно получить из \(s\) удалением какого-то количества (возможно, ни одного) символов из начала строки \(s\) и какого-то количества (возможно, ни одного) символов из конца строки \(s\).

Входные данные

В первой строке задано одно целое число \(t\) (\(1 \le t \le 20000\)) — количество наборов входных данных.

Каждый набор входных данных состоит из одной строки \(s\) (\(1 \le |s| \le 200000\)). Гарантируется, что каждый символ \(s\)1, 2 или 3.

Сумма длин всех строк не превосходит \(200000\).

Выходные данные

Для каждого набора тестовых данных выведите одно число — длину кратчайшей подстроки \(s\), содержащей символы всех трех типов. Если такой подстроки нет, выведите \(0\).

Примечание

Рассмотрим пример из условия:

В первом наборе входных данных можно использовать подстроку 123.

Во втором наборе входных данных можно использовать подстроку 213.

В третьем наборе входных данных можно использовать подстроку 1223.

В четвертом наборе входных данных можно использовать подстроку 3221.

В пятом наборе входных данных в \(s\) нету символа 3.

В шестом наборе входных данных в \(s\) нету символа 1.

В седьмом наборе входных данных можно использовать подстроку 3112.

C1. Просто вписываем многоугольник

Бинарный поиск Тернарный поиск математика геометрия *1400

Условие этой задачи почти полностью совпадает с условием задачи C2. Единственное отличие в следующем: в задаче C1 \(n\) всегда четно, а в задаче C2 \(n\) всегда нечетно.

Вам задан правильный многоугольник из \(2 \cdot n\) вершин (то есть он выпуклый и имеет равные стороны и углы) и все его стороны имеют длину \(1\). Назовем этот многоугольник \(2n\)-угольником.

Ваша задача — найти квадрат минимального размера, такой что в него можно вписать \(2n\)-угольник. \(2n\)-угольник можно вписать в квадрат, если \(2n\)-угольник можно разместить таким образом, что каждая точка, лежащая внутри или на границе \(2n\)-угольника также будет лежать внутри или на границе квадрата.

Вы можете вращать \(2n\)-угольник и/или квадрат.

Входные данные

В первой строке задано целое число \(T\) (\(1 \le T \le 200\)) — количество наборов входных данных.

В следующих \(T\) строках заданы описания наборов — по одной строке на набор. В каждой строке задано единственное четное целое число \(n\) (\(2 \le n \le 200\)). Не забывайте, что вам нужно вписать \(2n\)-угольник, а не \(n\)-угольник.

Выходные данные

Выведите \(T\) действительных чисел — по одному на набор входных данных. Для каждого набора, выведите минимальную длину стороны квадрата, в который можно вписать \(2n\)-угольник. Ваш ответ будет считаться правильным, если его абсолютная или относительная погрешность не превосходит \(10^{-6}\).

C2. Не так просто вписываем многоугольник

Бинарный поиск Перебор математика геометрия *2000

Условие этой задачи почти полностью совпадает с условием задачи C1. Единственное отличие в следующем: в задаче C1 \(n\) всегда четно, а в задаче C2 \(n\) всегда нечетно.

Вам задан правильный многоугольник из \(2 \cdot n\) вершин (то есть он выпуклый и имеет равные стороны и углы) и все его стороны имеют длину \(1\). Назовем этот многоугольник \(2n\)-угольником.

Ваша задача — найти квадрат минимального размера, такой что в него можно вписать \(2n\)-угольник. \(2n\)-угольник можно вписать в квадрат, если \(2n\)-угольник можно разместить таким образом, что каждая точка, лежащая внутри или на границе \(2n\)-угольника также будет лежать внутри или на границе квадрата.

Вы можете вращать \(2n\)-угольник и/или квадрат.

Входные данные

В первой строке задано целое число \(T\) (\(1 \le T \le 200\)) — количество наборов входных данных.

В следующих \(T\) строках заданы описания наборов — по одной строке на набор. В каждой строке задано единственное нечетное целое число \(n\) (\(3 \le n \le 199\)). Не забывайте, что вам нужно вписать \(2n\)-угольник, а не \(n\)-угольник.

Выходные данные

Выведите \(T\) действительных чисел — по одному на набор входных данных. Для каждого набора, выведите минимальную длину стороны квадрата, в который можно вписать \(2n\)-угольник. Ваш ответ будет считаться правильным, если его абсолютная или относительная погрешность не превосходит \(10^{-6}\).

D. Мультимножество

Бинарный поиск Структуры данных *1900

Обратите внимание на нестандартное ограничение памяти.

Вам задано мультимножество из \(n\) целых чисел. Вы должны обрабатывать запросы двух типов:

  • добавить элемент \(k\) в мультимножество;
  • найти \(k\)-ю порядковую статистику в мультимножестве и удалить ее.

Напомним, что \(k\)-я порядковая статистика в мультимножестве — это элемент, который будет на позиции \(k\), если выписать все его элементы в порядке неубывания. Например, если в мультимножестве содержатся числа \(1\), \(4\), \(2\), \(1\), \(4\), \(5\), \(7\) и \(k = 3\), то необходимо найти \(3\)-й элемент в списке \([1, 1, 2, 4, 4, 5, 7]\), и он равен \(2\). Если в мультимножестве несколько копий удаляемого элемента, удаляется только одна из них.

После всех запросов выведите любое число, принадлежащее мультимножеству, или сообщите, что оно пустое.

Входные данные

В первой строке заданы два числа \(n\) и \(q\) (\(1 \le n, q \le 10^6\)) — количество элементов в мультимножестве и количество запросов, соответственно.

Во второй строке заданы \(n\) целых чисел \(a_1\), \(a_2\), ..., \(a_n\) (\(1 \le a_1 \le a_2 \le \dots \le a_n \le n\)) — элементы мультимножества.

В третьей строке заданы \(q\) целых чисел \(k_1\), \(k_2\), ..., \(k_q\), каждое из которых описывает очередной запрос следующим образом:

  • если \(1 \le k_i \le n\), то \(i\)-й запрос — «добавить \(k_i\) в мультимножество»;
  • если \(k_i < 0\), то \(i\)-й запрос — «удалить \(|k_i|\)-ю порядковую статистику». Гарантируется, что в таком случае \(|k_i|\) не превосходит размера множества.
Выходные данные

Если после всех запросов мультимножество оказалось пустым, выведите \(0\).

Иначе выведите любое число, принадлежащее мультимножеству.

Примечание

В первом примере последовательно удаляются все элементы мультимножества.

Во втором примере последовательно удалятся элементы \(5\), \(1\), \(4\), \(2\).

В третьем примере \(6\) — не единственный ответ.

G. Найди подарок

Бинарный поиск Теория вероятностей *2600 интерактив

Это интерактивная задача. Не забывайте при выводе запросов сбрасывать буфер с помощью cout.flush() или fflush(stdout) в C++ и аналогичных функций в других языках программирования.

На столе стоят \(n\) коробок с подарками, пронумерованные от \(1\) по \(n\) слева направо. Известно, что ровно в \(k\) из них лежат ценные подарки — в остальных просто камешки на удачу. Выглядят все коробки одинаково и отличить их можно только по весу. Все коробки с камнями весят одинаково и строго больше, чем коробки с ценными подарками. Массы коробок с подарками же могут как совпадать, так и различаться между собой.

Вы можете сделать не более \(50\) запросов (без учета вывода ответа). Каждым запросом вы можете сравнить массы двух непересекающихся подмножеств коробок \(a_1, a_2, \dots, a_{k_a}\) и \(b_1, b_2, \dots, b_{k_b}\) на чашечных весах. В ответ вы получите один из четырех вариантов:

  • FIRST, если подмножество \(a_1, a_2, \dots, a_{k_a}\) тяжелее;
  • SECOND, если подмножество \(b_1, b_2, \dots, b_{k_b}\) тяжелее;
  • EQUAL, если массы подмножеств совпадают;
  • WASTED, если запрос некорректен или превышено количество запросов.

Используя данные запросы (или просто интуицию), определите коробку с ценным подарком с минимальным номером.

Входные данные

Входные данные состоят из нескольких наборов. В начале вам выдается целое число \(T\) (\(1 \le T \le 500\)) — количество наборов входных данных.

В начале каждого набора вам выдаются два целых числа \(n\) и \(k\) (\(2 \le n \le 1000\), \(1 \le k \le \frac{n}{2}\)) — количество коробок в ряду и количество с ценными подарками среди них.

Гарантируется, что порядок коробок в каждом наборе фиксирован и сумма \(n\) по всем наборам не превосходит \(1000\).

Выходные данные

Для каждого набора входных данных выведите минимальный номер коробки, содержащей ценный подарок, в следующем формате: «! \(x\)», где \(x\) (\(1 \le x \le n\)) — искомый номер.

Протокол взаимодействия

Выводите каждый запрос в три строки. В первой строке выводите размеры подмножеств в следующем формате: «? \(k_a\) \(k_b\)», где \(k_a\) и \(k_b\) (\(1 \le k_a, k_b \le n\); \(k_a + k_b \le n\)) — их соответствующие размеры.

Во второй строке выведите \(k_a\) целых чисел \(a_1, a_2, \dots, a_{k_a}\) (\(1 \le a_i \le n\); \(a_i \neq a_j\) при \(i \neq j\)) — номера коробок в первом подмножестве.

В третьей строке выведите \(k_b\) целых чисел \(b_1, b_2, \dots, b_{k_b}\) (\(1 \le b_i \le n\); \(b_i \neq b_j\) при \(i \neq j\)) — номера коробок во втором подмножестве.

Подмножества не должны пересекаться, то есть \(a_i \neq b_j\) для всех \(i\) и \(j\).

В ответ будет получен один из четырех вариантов, описанных выше. В случае получения WASTED завершите работу программы во избежание получения вердиктов тестирования, отличных от Wrong Answer.

Примечание

Дополнительные разделители «–» в примере использованы только для наглядности самого примера. При отправке запросов и получении ответов не должно быть никаких лишних символов или переводов строк.

Взломы в данной задаче запрещены.

C. Сосчитайте треугольники

Бинарный поиск математика реализация *1800

Как и у любого неизвестного математика, у Юрия есть любимые числа: \(A\), \(B\), \(C\) и \(D\), причем \(A \leq B \leq C \leq D\). Также Юрий очень любит треугольники, поэтому в один день он задумался: сколько существует невырожденных треугольников с целочисленными длинами сторон \(x\), \(y\) и \(z\) таких, что \(A \leq x \leq B \leq y \leq C \leq z \leq D\)?

Сейчас Юрий очень занят подготовкой задач для очередной олимпиады, поэтому он просит вас помочь посчитать количество интересующих его треугольников.

Треугольник называется невырожденным тогда и только тогда, когда его вершины не лежат на одной прямой.

Входные данные

В единственной строке через пробел записаны четыре целых числа \(A\), \(B\), \(C\) и \(D\) (\(1 \leq A \leq B \leq C \leq D \leq 5 \cdot 10^5\)) — любимые числа Юрия.

Выходные данные

Выведите одно число — количество невырожденных треугольников с целочисленными длинами сторон \(x\), \(y\) и \(z\), для которых выполнено неравенство: \(A \leq x \leq B \leq y \leq C \leq z \leq D\).

Примечание

В первом примере можно составить треугольники со следующими длинами сторон: \((1, 3, 3)\), \((2, 2, 3)\), \((2, 3, 3)\) и \((2, 3, 4)\).

Во втором примере можно составить треугольники: \((1, 2, 2)\), \((2, 2, 2)\) и \((2, 2, 3)\).

В третьем примере можно составить лишь один равносторонний треугольник. Длины всех сторон будут равны \(5 \cdot 10^5\).

E. Реставрационное расстояние

Бинарный поиск Тернарный поиск математика *2100 жадные алгоритмы сортировки

Вам нужно отреставрировать стену. Стена состоит из \(N\) столбиков кирпичей, высота \(i\)-го столбика изначально равна \(h_{i}\), высота измеряется количеством кирпичей. После реставрации все \(N\) столбиков должны иметь одинаковую высоту.

Вам доступны следующие операции:

  • положить кирпич на верх одного из столбиков, стоимость этой операции равна \(A\);
  • убрать кирпич с верха одного из непустых столбиков, стоимость этой операции равна \(R\);
  • переложить один кирпич с верха одного из непустых столбиков на верх другого столбика, стоимость этой операции равна \(M\).

Вы не можете создавать дополнительные столбики или игнорировать какие-то из существующих столбиков, даже если их высота стала равна \(0\).

За какую минимальную суммарную стоимость возможно провести реставрацию, то есть сделать высоты всех столбиков равными?

Входные данные

В первой строке записаны четыре целых числа \(N\), \(A\), \(R\), \(M\) (\(1 \le N \le 10^{5}\), \(0 \le A, R, M \le 10^{4}\)) — количество столбиков кирпичей в стене, а также стоимости доступных операций.

Во второй строке записаны \(N\) целых чисел \(h_{i}\) (\(0 \le h_{i} \le 10^{9}\)) — изначальные высоты столбиков.

Выходные данные

Выведите одно целое число — минимальную суммарную стоимость реставрации стены.

D. Лучший отпуск

Бинарный поиск Перебор реализация жадные алгоритмы *1900

Вы давно влюблены в Коронавирус-тян, но до сих пор не знали, где она живёт. И буквально сейчас выяснили, что она живёт в далёком местечке под названием Ньаху.

Вы немедленно решили взять отпуск на своей скучной работы и навестить Коронавирус-тян. Ваш отпуск длится ровно \(x\) дней, и ровно столько дней вы проведёте в гостях у подруги. В гостях вы проведёте ровно \(x\) подряд идущих дней.

В Ньаху используется очень необычный календарь: всего в году \(n\) месяцев, \(i\)-й месяц длится ровно \(d_i\) дней. Дни в \(i\)-м месяце пронумерованы от \(1\) до \(d_i\). В Ньаху нет високосных годов.

Настроение Коронавирус-тян (и, соответственно, её желание вас обнять) зависит от номера дня в месяце. А именно, в \(j\)-й день месяца вы получаете \(j\) объятий, если вы находитесь в гостях у Коронавирус-тян.

Вы знаете об этой особенности своей подруги и хотите спланировать свою поездку так, чтобы суммарно получить наибольшее возможное количество объятий (и тогда, быть может, вы сможете завоевать сердечко Коронавирус-тян).

Обратите внимание, ваша поездка не обязательно должна начаться и закончиться в одном и том же году.

Входные данные

В первой строке входных данных даны два натуральных числа \(n\) и \(x\) (\(1 \le n \le 2 \cdot 10^5\)) — количество месяцев в году и количество дней, которые вы можете провести в гостях у подруги.

Во второй строке даны \(n\) целых чисел \(d_1, d_2, \ldots, d_n\), где \(d_i\) — количество дней в \(i\)-м месяце (\(1 \le d_i \le 10^6\)).

Гарантируется, что \(1 \le x \le d_1 + d_2 + \ldots + d_n\).

Выходные данные

Выведите единственное число — максимальное число объятий, которое вы можете получить от Коронавирус-тян за время лучшего отпуска в своей жизни.

Примечание

В первом примере номера дней года (номера в соответствующих месяцах) имеет вид: \(\{1,1,2,3,1\}\). Коронавирус-тян обнимет вас больше всего раз, если вы приедете в третий день года: \(2+3=5\) объятий.

Во втором примере номера дней года (номера в соответствующих месяцах) имеет вид: \(\{1,2,3,1,2,3,1,2,3\}\). Больше всего объятий вы получите если приедете в третий день года: \(3+1+2+3+1+2=12\) объятий.

В третьем примере номера дней имеют вид: \(\{1,2,3,4,1,2, 1,2,3, 1, 1,2,3\}\). Больше всего объятий вы получите если приедете в двенадцатый день года: подруга обнимет вас \(2+3+1+2+3+4=15\) раз.

F. Вкусная печенька

Бинарный поиск Конструктив реализация жадные алгоритмы *2700

О нет!

Вас поймал коронавирус, и теперь вы сидите в тёмном подвале, связанные по ногам (но не по рукам). У вас есть вкусная печенька, а также перед вами стоит ноутбук, и там открыта ваша любимая среда разработки. Коронавирус убеждает вас решить следующую задачу.

Вам дано два массива \(A\) и \(B\) размера \(n\). Вы можете делать операции двух типов с массивом \(A\):

  • Развернуть массив \(A\). То есть массив \([A_1,\ A_2,\ \ldots,\ A_n]\) переходит в \([A_n,\ A_{n-1},\ \ldots,\ A_1]\)
  • Заменить \(A\) на массив его префиксных сумм. То есть массив \([A_1,\ A_2,\ \ldots,\ A_n]\) переходит в \([A_1,\ (A_1+A_2),\ \ldots,\ (A_1+A_2+\ldots+A_n)]\)

Вам нужно понять, можно ли из массива \(A\) получить массив \(B\). Если это можно сделать, то вам придётся восстановить порядок этих операций, минимизировав количество операций второго типа. К счастью, коронавирус сегодня добрый, поэтому он разрешил вам не восстанавливать действия, если минимальное количество операций второго типа превышает \(2\cdot 10^5\). Но коронавирус обижен на вас, поэтому если вы восстанавливаете ответ, то суммарное количество операций не должно превышать \(5\cdot 10^5\).

Решите эту задачу, или коронавирус продлит карантин на пять лет и заставит всю экономику рухнуть!

Входные данные

В первой строке входных данных вводится число \(n\) (\(1\le n \le 2\cdot 10^5\)).

Вторая строка содержит \(n\) целых чисел \(A_1, A_2, \ldots, A_n\) (\(1 \le A_i \le 10 ^ {12}\)).

Третья строка содержит \(n\) целых чисел \(B_1, B_2, \ldots, B_n\) (\(1 \le B_i \le 10 ^ {12}\)).

Выходные данные

Если из массива \(A\) нельзя получить массив \(B\), в единственной строке выведите «IMPOSSIBLE» (без кавычек).

Если минимальное количество операций второго типа превышает \(2\cdot 10^5\), то в первой строке выведите «BIG» (без кавычек). Во второй строке выведите минимальное количество операций второго типа, которые нужно применить, чтобы из массива \(A\) получить \(B\).

Иначе, в первой строке выведите «SMALL» (без кавычек). Во второй строке выведите суммарное количество операций первого и второго типа \(m \le 5\cdot 10^5\) (гарантируется, что в этом случае существует такая последовательность действий). В третьей строке выведите строку длины \(m\), состоящую из символов «R» и «P» (без кавычек):

\(i\)-й символ должен быть равен 'R', если \(i\)-е действие первого типа, и должен быть равен 'P', иначе.

Если таких последовательностей несколько, выведите любую из них.

Вы можете выводить все символы как в нижнем регистре, так и в верхнем.

Примечание

В первом примере массивы \(A\) и \(B\) уже совпадает, поэтому количество нужных операций \(=0\).

Во втором примере надо \(299999\) раз заменить \(A\) на префиксную сумму, а потом развернуть массив. Так как \(299999>2\cdot 10^5\), то восстанавливать ответ не нужно.

В четвёртом примере из массива \(A\) никак нельзя получить \(B\).

C. Смешиваем воду

Бинарный поиск математика *1700

Есть два бесконечных источника воды:

  • горячая вода температуры \(h\);
  • холодная вода температуры \(c\) (\(c < h\)).

Вы совершаете следующую чередующуюся последовательность действий:

  1. набрать одну кружку горячей воды и вылить ее в бесконечно глубокую бочку;
  2. набрать одну кружку холодной воды и вылить ее в бесконечно глубокую бочку;
  3. набрать одну кружку горячей воды \(\dots\)
  4. и так далее \(\dots\)

Обратите внимание, что вы всегда начинаете с кружки горячей воды.

Бочка изначально пустая. Необходимо налить хотя бы одну кружку в бочку. Температура воды в бочке равна средней температуре вылитых кружек.

Вы хотите получить воду температуры как можно ближе к \(t\). То есть если температура воды в бочке равна \(t_b\), то абсолютная разность \(t_b\) и \(t\) (\(|t_b - t|\)) должна быть минимально возможна.

Сколько кружек необходимо налить в бочку, чтобы температура стала как можно ближе к \(t\)? Если существует несколько ответов с минимальной абсолютной разностью, то выведите наименьший из них.

Входные данные

В первой строке записано одно целое число \(T\) (\(1 \le T \le 3 \cdot 10^4\)) — количество наборов входных данных.

В каждой из следующих \(T\) строк записаны по три целых числа \(h\), \(c\) и \(t\) (\(1 \le c < h \le 10^6\); \(c \le t \le h\)) — температура горячей воды, температура холодной воды и желаемая температура в бочке.

Выходные данные

На каждый набор входных данных выведите одно положительное целое число — минимальной количество кружек, которое необходимо вылить в бочку, чтобы получить температуру, как можно более близкую к \(t\).

Примечание

В первом наборе входных данных температура после \(2\) налитых кружек: \(1\) горячей и \(1\) холодной — равна \(20\). И это самое близкое возможное значение.

Во втором наборе температура после \(7\) налитых кружек: \(4\) горячих и \(3\) холодных — примерно \(29.857\). Если наливать больше воды, то температура не станет ближе к \(t\).

В третьем наборе температура после \(1\) налитой кружки: \(1\) горячей — равна \(18\). Это совпадает с \(t\).

F. Шоу взрывов на радиоуправлении

Бинарный поиск Перебор Структуры данных математика геометрия *2900

Знаете, в наше время довольно сложно организовать шоу с большим количеством участников и зрителей в одном месте. Тем не менее, вы не отказываетесь от своей мечты провести шоу со взрывами машин! Вы решили заменить настоящие машины радиоуправляемыми, назвать мероприятия «Шоу взрывов на радиоуправлении» и транслировать все онлайн.

Для подготовки вы нашли арену — бесконечную 2D-сетку. Вы также закупили \(n\) радиоуправляемых машинок и расставили их по арене. К сожалению, эти машинки могут ехать только вперед, без возможности поворотов налево, направо или разворотов. Более того, вы направили машинки туда, куда хотите, чтобы они поехали.

Формально, для каждой машинки \(i\) (\(1 \le i \le n\)) вы зафиксировали ее начальную позицию (\(x_i, y_i\)) и вектор направление (\(dx_i, dy_i\)). Более того, у каждой машинки есть константная скорость \(s_i\) единиц в секунду. То есть после запуска машинка \(i\) двигается из (\(x_i, y_i\)) в направлении (\(dx_i, dy_i\)) с константной скоростью \(s_i\).

Цель вашего шоу — столкнуть две машинки как можно скорее! Вы обратили внимание, что если запускать все машинки в самом начале шоу, то довольно часто столкновений не происходит вообще. Поэтому вы решили запустить \(i\)-ю машинку в некоторый момент \(t_i\). Вы еще не выбрали \(t_i\), это еще надо решить. Обратите внимание, что \(t_i\) не обязательно должно быть целым, и допустимо, чтобы \(t_i\) совпадало с \(t_j\) для любых \(i, j\).

Шоу начинается в момент времени \(0\). Шоу заканчивается, когда какие-нибудь две машинки \(i\) и \(j\) (\(i \ne j\)) сталкиваются (то есть оказываются в одной точке в одно и то же время). Длительность шоу равна времени между началом и концом.

Какое самое быстрое столкновение вы можете организовать, выбрав все \(t_i\)? Если возможно организовать столкновение, тогда выведите минимальную возможную длительность шоу. Иначе сообщите, что это невозможно.

Входные данные

В первой строке записано одно целое число \(n\) (\(1 \le n \le 25000\)) — количество машинок.

В каждой из следующих \(n\) строк записаны по пять целых чисел \(x_i\), \(y_i\), \(dx_i\), \(dy_i\), \(s_i\) (\(-10^3 \le x_i, y_i \le 10^3\); \(1 \le |dx_i| \le 10^3\); \(1 \le |dy_i| \le 10^3\); \(1 \le s_i \le 10^3\)) — начальная позиция \(i\)-й машинки, ее вектор направления и ее скорость, соответственно.

Гарантируется, что все машинки начинают в различных позициях (то есть \((x_i, y_i) \neq (x_j, y_j)\) для \(i \neq j\)).

Выходные данные

Выведите наименьшую возможную длительность шоу, если возможно организовать столкновение, выбрав все \(t_i\). Иначе, выведите «No show :(».

Ваш ответ будет считаться правильным, если его абсолютная или относительная ошибка не превосходит \(10^{-6}\).

Формально, пусть ваш ответ равен \(a\), а ответ жюри равен \(b\). Ваш ответ будет зачтен, если и только если \(\frac{|a - b|}{\max{(1, |b|)}} \le 10^{-6}\).

Примечание

Картинка для первого примера:

Самое раннее возможное столкновение произойдет с машинками \(2\) и \(4\). Запустим машинку \(2\) в \(0\), машинку \(4\) примерно в \(0.096762\) и машинки \(1\) и \(3\) когда угодно. Тогда машинки \(2\) и \(4\) столкнутся примерно в \(0.585902\). Тогда вот как поле будет выглядеть в момент столкновения:

Вот картинка для второго примера:

H. Двоичная медиана

Бинарный поиск Перебор Конструктив *2100 битмаски

Рассмотрим все двоичные строки длины \(m\) (\(1 \le m \le 60\)), то есть строки, состоящие из символов 0 и 1. Например, 0110 является двоичной строкой, а 012aba — нет. Очевидно, что всего таких строк ровно \(2^m\).

Строка \(s\) лексикографически меньше строки \(t\) (обе имеют одинаковую длину \(m\)), если в первой слева позиции \(i\), в которой они отличаются, верно \(s[i] < t[i]\). Именно такой способ сравнения строк используется в словарях и в большинстве современных языков программирования при их сравнении стандартным способом. Например, строка 01011 лексикографически меньше строки 01100, потому что первые два символа совпадают, а третий символ в первой строке меньше, чем во второй.

Удалим из этого множества \(n\) (\(1 \le n \le \min(2^m-1, 100)\)) различных двоичных строк \(a_1, a_2, \ldots, a_n\), каждая длины \(m\). Таким образом, в множестве останется \(k=2^m-n\) строк. Отсортируем все строки полученного множества в порядке лексикографического возрастания (как в словаре).

Пронумеруем все строки после сортировки от \(0\) до \(k-1\). Выведите строку, номер которой равен \(\lfloor \frac{k-1}{2} \rfloor\) (такой элемент называется медианой), где \(\lfloor x \rfloor\) является округлением числа вниз к ближайшему целому.

Например, если \(n=3\), \(m=3\) и \(a=[\)010, 111, 001\(]\), то после удаления строк \(a_i\) и сортировки результат примет вид: \([\)000, 011, 100, 101, 110\(]\). Таким образом, искомая медиана равна 100.

Входные данные

В первой строке записано целое число \(t\) (\(1 \le t \le 1000\)) — количество наборов тестовых данных в тесте. Далее следуют \(t\) наборов тестовых данных.

В первой строке каждого набора записаны целые числа \(n\) (\(1 \le n \le \min(2^m-1, 100)\)) и \(m\) (\(1 \le m \le 60\)), где \(n\) — количество удаляемых строк, \(m\) — длина двоичных строк. Следующие \(n\) строк содержат \(a_1, a_2, \ldots, a_n\) — различные двоичные строки длины \(m\).

Суммарная длина всех заданных двоичных строк во всех наборах тестовых данных в одном тесте не превосходит \(10^5\).

Выходные данные

Выведите \(t\) ответов на наборы тестовых данных. Ответом является строка длины \(m\) — медиана оставшихся строк.

Примечание

Первый набор тестовых данных примера разобран в условии.

Во втором наборе результат после удаления строк и сортировки равен \([\)001, 010, 101, 110\(]\). Следовательно, искомая медиана равна 010.

C. Джонни и ожерелье Меган

Бинарный поиск Конструктив поиск в глубину и подобное графы битмаски снм *2500

У младшей сестры Джонни, Меган, недавно был день рождения. Её брат подарил ей коробочку, подписанную как: «Твое прекрасное ожерелье — сделай сама!». Коробочка содержит много частей ожерелья и магический клей.

Каждая часть ожерелья представляет собой цепочку, соединяющую две жемчужины. Цвет каждой из жемчужин может быть представлен целым неотрицательным числом. Магический клей позволяет Меган склеивать две жемчужины (возможно, из одной части ожерелья) в одну. Красота соединения двух жемчужин цветов \(u\) и \(v\) определяется следующим образом: пусть \(2^k\) — максимальная степень двух, делящая \(u \oplus v\) — исключающее или \(u\) и \(v\). Тогда красота соединения равна \(k\). Если \(u = v\), вы можете считать, что красота равна \(20\).

Каждая жемчужина может быть склеена с другой максимум один раз. Склеивание двух частей ожерелья объединяет их. Используя клей несколько раз, Меган может наконец получить свое ожерелье, которое является циклом, сделанным из соединенных последовательно частей ожерелья (так, что каждая жемчужина в ожерелье соединена с ровно одной другой жемчужиной). Красота такого ожерелья равна минимальной красоте соединений в нем. Девочка хочет использовать все доступные части ожерелья, чтобы получить ровно одно ожерелье, содержащее все части, с максимальной возможной красотой. Помогите ей!

Входные данные

Первая строка содержит целое число \(n\) \((1 \leq n \leq 5 \cdot 10^5)\) — количество частей ожерелья в коробочке.

Каждая из следующих \(n\) строк содержит два целых числа \(a\) и \(b\) \((0 \leq a, b < 2^{20})\), которые обозначают цвета жемчужин из этой части ожерелья. Жемчужины на \(i\)-й строке имеют индексы \(2i - 1\) и \(2i\), соответственно.

Выходные данные

Первая строка должна содержать одно целое число \(b\), обозначающее максимальную возможную красоту ожерелья, собранного из всех данных частей.

Следующая строка должна содержать \(2n\) различных целых чисел \(p_i\) \((1 \leq p_i \leq 2n)\) — индексы исходных жемчужин в порядке, в котором они должны быть расположены в ожерелье. Индексы жемчужин, принадлежащих одной части, должны быть расположены на соседних позициях в перестановке (поэтому \(1\,4\,3\,2\) не является корректным выводом, а \(2\,1\,4\,3\) и \(4\,3\,1\,2\) являются). Если существует несколько подходящих ответов, вы можете вывести любой.

Примечание

В первом примере следующие пары жемчужин объединяются: \((7, 9)\), \((10, 5)\), \((6, 1)\), \((2, 3)\) и \((4, 8)\). Красота соединений равна: \(3\), \(3\), \(3\), \(20\), \(20\), соответственно.

Иллюстрация показывает эту конструкцию:

D. Найдите максимумы

Бинарный поиск математика реализация *2100 интерактив

Это интерактивная задача.

Ayush устал запоминать пароль от своего замка и разработал новую схему для установки своего пароля. У замка есть \(k\) позиций, где каждая позиция может содержать целые числа от \(1\) до \(n\). Пароль \(P\) представляет собой последовательность из \(k\) целых чисел, каждое из которых находится в диапазоне \([1, n]\), \(i\)-й элемент которой входит в \(i\)-ю позицию замка.

Чтобы установить пароль для своего замка, Ayush придумывает массив \(A\) из \(n\) целых чисел в диапазоне \([1, n]\) (не обязательно различных). Затем он выбирает \(k\) непустых попарно непересекающихся подмножеств индексов \(S_1, S_2, ..., S_k\) \((S_i \underset{i \neq j} \cap S_j = \emptyset)\) и устанавливает свой пароль как \(P_i = \max\limits_{j \notin S_i} A[j]\). Другими словами, \(i\)-я позиция пароля равна максимуму по всем элементам \(A\), индексы которых не принадлежат \(S_i\).

Вам даны подмножества индексов, выбранных Ayush. Вам нужно угадать пароль. Чтобы сделать запрос, вы можете выбрать непустое подмножество индексов массива и узнать максимум по всем элементам массива с индексами в этом подмножестве. Вы можете задать не более 12 запросов.

Входные данные

В первой строке содержится одно целое число \(t\) \((1 \leq t \leq 10)\) — количество наборов входных данных. Далее следуют описания наборов входных данных.

Первая строка каждого набора входных данных содержит два целых числа: \(n\) и \(k\) \((2 \leq n \leq 1000, 1 \leq k \leq n)\) — размер массива и количество подмножеств соответственно. Далее следуют \(k\) строк. \(i\)-я строка содержит целое число \(c\) \((1 \leq c \lt n)\) — размер подмножества \(S_i\), за которым следуют \(c\) попарно различных целых чисел в диапазоне \([1, n]\) — индексы, принадлежащие подмножеству \(S_i\).

Гарантируется, что пересечение любых двух подмножеств пусто.

Протокол взаимодействия

Чтобы задать запрос, выведите одну строку:

  • В начале выведите "? c" (без кавычек), где \(c\) \((1 \leq c \leq n)\) обозначает размер подмножества запрашиваемых индексов, после чего выведите через пробел \(c\) различных целых чисел в диапазоне \([1, n]\)  — индексы, о которых вы хотите задать запрос.

Для каждого запроса вы получите целое число \(x\) — максимальное значение в массиве среди элементов с запрошенными индексами. Если подмножество запрашиваемых индексов недопустимо или вы превысили количество запросов (например, один из индексов больше, чем \(n\)), то вы получите \(x = -1\). В этом случае вы должны немедленно прекратить программу.

Когда вы угадали пароль, выведите одну строку "!" (Без кавычек), за которой через пробел следуют \(k\) целых чисел  — позиции пароля.

Угадывание пароля не учитывается при подсчете количества запросов.

После этого вы должны прочитать строку. Если вы угадаете пароль правильно, вы получите строку "Correct". В этом случае вам следует продолжить решение оставшихся наборов входных данных. Если предполагаемый пароль неверен, вы получите строку "Incorrect". В этом случае вы должны немедленно прекратить программу.

Интерактор не адаптивный. Массив \(A\) не изменяется с запросами.

После вывода запроса не забудьте вывести перевод строки и сбросить буфер вывода. В противном случае вы получите вердикт Решение «зависло». Для сброса буфера используйте:

  • fflush(stdout) или cout.flush() в C++;
  • System.out.flush() в Java;
  • flush(output) в Pascal;
  • stdout.flush() в Python;
  • смотрите документацию для других языков.

Формат взломов

Чтобы взломать решение, используйте следующий формат взломов:

В первой строке должно содержаться одно целое число \(t\) \((1 \leq t \leq 10)\) — количество наборов входных данных.

Первая строка каждого набора входных данных должна содержать два целых числа: \(n\) и \(k\) \((2 \leq n \leq 1000, 1 \leq k \leq n)\) — размер массива и количество подмножеств соответственно. Следующая строка должна состоять из \(n\) целых чисел в диапазоне \([1, n]\) — массива \(A\). Далее должны следовать \(k\) строк. \(i\)-я строка должна содержать целое число \(c\) \((1 \leq c \lt n)\) — размер подмножества \(S_i\), за которым должны следовать \(c\) различных целых чисел в диапазоне \([1, n]\) — индексы, принадлежащие подмножеству \(S_i\).

Пересечение любых двух подмножеств должно быть пустым.

Примечание

Массив \(A\) в примере равен \([1, 2, 3, 4]\). Длина пароля составляет \(2\). Первый элемент пароля  — это максимум из \(A[2]\), \(A[4]\) (поскольку первое подмножество содержит индексы \(1\) и \(3\), мы берем максимум по остальным индексам). Второй элемент пароля  — это максимум из \(A[1]\), \(A[3]\) (поскольку второе подмножество содержит индексы \(2\), \(4\)).

Не забудьте считать строку "Correct" / "Incorrect" после угадывания пароля.

A. Лопаты и мечи

Бинарный поиск математика *1100 жадные алгоритмы

Поликарп играет в известную компьютерную игру (мы не хотим упоминать ее название). В этой игре он может создавать инструменты двух видов — лопаты и мечи. На создание лопаты Поликарп тратит две палки и один алмаз; на создание меча Поликарп тратит два алмаза и одну палку.

Каждый инструмент может быть продан за один изумруд. Как много изумрудов может заработать Поликарп, если у него есть \(a\) палок и \(b\) алмазов?

Входные данные

Первая строка содержит число \(t\) (\(1 \le t \le 1000\)) — количество наборов входных данных.

Единственная строка каждого набора входных данных содержит два числа \(a\) и \(b\) (\(0 \le a, b \le 10^9\)) — количество палок и алмазов соответственно.

Выходные данные

На каждый набор входных данных выведите число — максимальное количество изумрудов, которое может заработать Поликарп.

Примечание

В первом наборе входных данных Поликарп может заработать два изумруда следующим образом: создать один меч и одну лопату.

Во втором наборе входных данных у Поликарпа нет алмазов, а значит, он не сможет ничего создать.

E. Два массива

Бинарный поиск Перебор Конструктив Комбинаторика *2100 дп

Вам даны два массива \(a_1, a_2, \dots , a_n\) и \(b_1, b_2, \dots , b_m\). Массив \(b\) отсортирован в порядке возрастания (\(b_i < b_{i + 1}\) верно для любого \(i\) от \(1\) до \(m - 1\)).

Вам нужно разбить массив \(a\) на \(m\) непрерывных подмассивов так, чтобы для всех \(i\) от \(1\) до \(m\) минимум в \(i\)-м подмассиве был равен \(b_i\). Обратите внимание, что каждый элемент должен принадлежать ровно одному подмассиву, и они формируются следующим образом: первые несколько элементов массива \(a\) принадлежат первому подмассиву, следующие несколько элементов массива \(a\) принадлежат второму подмассиву, и так далее.

Например, если \(a = [12, 10, 20, 20, 25, 30]\), а \(b = [10, 20, 30]\), то существует два подходящих разбиения массива \(a\):

  1. \([12, 10, 20], [20, 25], [30]\);
  2. \([12, 10], [20, 20, 25], [30]\).

Вам нужно посчитать количество хороших разбиений массива \(a\). Так как это значение может быть слишком велико — выведите его по модулю 998244353.

Входные данные

Первая строка содержит два числа \(n\) и \(m\) (\(1 \le n, m \le 2 \cdot 10^5\)) — длины массивов \(a\) и \(b\) соответственно.

Вторая строка содержит \(n\) чисел \(a_1, a_2, \dots , a_n\) (\(1 \le a_i \le 10^9\)) — массив \(a\).

Третья строка содержит \(m\) чисел \(b_1, b_2, \dots , b_m\) (\(1 \le b_i \le 10^9; b_i < b_{i+1}\)) — массив \(b\).

Выходные данные

В единственной строке выведите число — количество хороших разбиений массива \(a\) по модулю 998244353.

F. Прогулка по графу

Бинарный поиск геометрия дп графы *2700

Задан простой взвешенный связный неориентированный граф, состоящий из \(n\) вершин и \(m\) ребер.

Путем длины \(k\) в графе назовем последовательность из \(k+1\) вершины \(v_1, v_2, \dots, v_{k+1}\) такую, что для каждого \(i\) \((1 \le i \le k)\) ребро \((v_i, v_{i+1})\) присутствует в графе. У пути из вершины \(v\) вершина \(v_1=v\). Обратите внимание, что вершины и ребра могут входить в путь по несколько раз.

Вес пути — это сумма весов ребер в нем.

Для каждого \(i\) от \(1\) до \(q\) рассмотрим путь из вершины \(1\) длины \(i\) максимального веса. Чему равна сумма весов этих \(q\) путей?

Ответ может быть довольно большим, поэтому выведите его по модулю \(10^9+7\).

Входные данные

В первой строке записаны три целых числа \(n\), \(m\), \(q\) (\(2 \le n \le 2000\); \(n - 1 \le m \le 2000\); \(m \le q \le 10^9\)) — количество вершин в графе, количество ребер в графе и количество длин, которые надо учесть в ответе.

В каждой из следующих \(m\) строк задано описание ребра: три целых числа \(v\), \(u\), \(w\) (\(1 \le v, u \le n\); \(1 \le w \le 10^6\)) — две вершины \(v\) и \(u\) соединены неориентированным ребром веса \(w\). Граф не содержит петель и кратных ребер. Гарантируется, что данные ребра задают связный граф.

Выходные данные

Выведите одно целое число — сумма весов путей максимального веса из вершины \(1\) длин \(1, 2, \dots, q\) по модулю \(10^9+7\).

Примечание

Граф из первого примера:

Некоторые максимальные пути:

  • длина \(1\): ребра \((1, 7)\) — вес \(3\);
  • длина \(2\): ребра \((1, 2), (2, 3)\) — вес \(1+10=11\);
  • длина \(3\): ребра \((1, 5), (5, 6), (6, 4)\) — вес \(2+7+15=24\);
  • длина \(4\): ребра \((1, 5), (5, 6), (6, 4), (6, 4)\) — вес \(2+7+15+15=39\);
  • \(\dots\)

Поэтому ответ — это сумма \(25\) слагаемых: \(3+11+24+39+\dots\)

Во втором примере веса у путей максимального веса равны \(4\), \(8\), \(12\), \(16\) and \(20\).

F2. Летающая сортировка (сложная версия)

Бинарный поиск Структуры данных дп жадные алгоритмы *2400 сортировки

Это сложная версия задачи. В этой версии в заданном массиве могут встречаться одинаковые числа и ограничения на \(n\) больше, чем в простой версии задачи.

Вам дан массив \(a\) из \(n\) целых чисел (в массиве могут быть одинаковые элементы). Вы можете производить над элементами массива следующие операции:

  1. выбрать любой индекс \(i\) (\(1 \le i \le n\)) и переместить элемент \(a[i]\) в начало массива;
  2. выбрать любой индекс \(i\) (\(1 \le i \le n\)) и переместить элемент \(a[i]\) в конец массива.

Например, если \(n = 5\), \(a = [4, 7, 2, 2, 9]\), то можно применить следующую последовательность операций:

  • После применения операции первого типа ко второму элементу массив \(a\) станет равным \([7, 4, 2, 2, 9]\);
  • После применения операции второго типа ко второму элементу массив \(a\) станет равным \([7, 2, 2, 9, 4]\).

Вы можете проводить операции любого типа произвольное количество раз в любом порядке.

Найдите минимальное суммарное количество операций первого и второго типа, которые сделают массив \(a\) отсортированным по неубыванию. Иными словами, сколько минимум операций надо применить, чтобы массив удовлетворял неравенствам \(a[1] \le a[2] \le \ldots \le a[n]\)?

Входные данные

В первой строке записано одно целое число \(t\) (\(1 \le t \le 10^4\)) — количество наборов тестовых данных в тесте. Далее следуют \(t\) наборов тестовых данных.

Каждый набор начинается со строки, в которой записано целое число \(n\) (\(1 \le n \le 2 \cdot 10^5\)) — размер массива \(a\).

Далее следуют \(n\) целых чисел \(a_1, a_2, \ldots, a_n\) (\(0 \le a_i \le 10^9\)) — массив, который требуется отсортировать заданными операциями. (В массиве могут быть одинаковые элементы).

Сумма \(n\) по всем наборам тестовых данных в одном тесте не превосходит \(2 \cdot 10^5\).

Выходные данные

Для каждого набора тестовых данных выведите одно целое число — минимальное суммарное количество операций первого и второго типа, которые сделают массив отсортированным по неубыванию.

Примечание

В первом тестовом наборе нужно переместить две двойки в начало массива. Следовательно, искомая последовательность операций может иметь вид: \([4, 7, 2, 2, 9] \rightarrow [2, 4, 7, 2, 9] \rightarrow [2, 2, 4, 7, 9]\).

Во втором тестовом наборе нужно переместить единицу в начало массива, а восьмерку — в конец. Искомая последовательность операций имеет вид: \([3, 5, 8, 1, 7] \rightarrow [1, 3, 5, 8, 7] \rightarrow [1, 3, 5, 7, 8]\).

В третьем тестовом наборе массив уже отсортирован.

D. Чет-нечет подпоследовательность

Бинарный поиск реализация дп *2000 жадные алгоритмы снм

У Ashish есть массив \(a\) размера \(n\).

Подпоследовательность массива \(a\) определяется, как последовательность, которая может быть получена из \(a\) с помощью удаления некоторых элементов (возможно нуля) без изменения порядка оставшихся элементов.

Рассмотрим подпоследовательность \(s\) массива \(a\). Он определяет цену подпоследовательности \(s\) как минимум между:

  • Максимумом по всем числам, стоящим на нечетных позициях в \(s\).
  • Максимумом по всем числам, стоящим на четных позициях в \(s\).

Обратите внимание, что индекс числа определяется, как его индекс в \(s\), независимо от его индекса в \(a\). Все позиции нумеруются с \(1\). Другими словами, цена \(s\) равна \(min(max(s_1, s_3, s_5, \ldots), max(s_2, s_4, s_6, \ldots))\).

Например, цена последовательности \(\{7, 5, 6\}\) равна \(min( max(7, 6), max(5) ) = min(7, 5) = 5\).

Помогите ему найти минимальную цену какой-то подпоследовательности размера \(k\).

Входные данные

В первой строке находится два целых числа \(n\) и \(k\) (\(2 \leq k \leq n \leq 2 \cdot 10^5\))  — размер массива \(a\) и размер подпоследовательности.

В следующей строке находится \(n\) целых чисел \(a_1, a_2, \ldots, a_n\) (\(1 \leq a_i \leq 10^9\))  — элементы массива \(a\).

Выходные данные

Выведите единственное целое число  — минимальную цену подпоследовательности размера \(k\).

Примечание

В первом тесте, рассмотрим подпоследовательность \(s\) = \(\{1, 3\}\). Здесь цена подпоследовательности равна \(min(max(1), max(3)) = 1\).

Во втором тесте, рассмотрим подпоследовательность \(s\) = \(\{1, 2, 4\}\). Здесь цена подпоследовательности равна \(min(max(1, 4), max(2)) = 2\).

В четвертом тесте, рассмотрим подпоследовательность \(s\) = \(\{3, 50, 2, 4\}\). Здесь цена подпоследовательности равна \(min(max(3, 2), max(50, 4)) = 3\).

E. Сдвиги подпоследовательностей

Бинарный поиск Структуры данных Конструктив *2100 жадные алгоритмы

У Naman есть две бинарные строки \(s\) и \(t\) длины \(n\) (бинарной строкой называется строка, состоящая из символов «0» и «1»). Он хочет сделать из строки \(s\) строку \(t\) используя следующую операцию как можно меньшее количество раз.

За одну операцию, он может выбрать некоторую подпоследовательность \(s\) и сдвинуть символы на позициях этой подпоследовательности по часовой стрелке один раз.

Например, если \(s = 1\textbf{1}101\textbf{00}\), он может выбрать подпоследовательность, соответствущую позициям (нумерация с \(1\)) \(\{2, 6, 7 \}\) и сдвинуть символы на этих позициях один раз по часовой стрелке. В результате строка, которая получится, будет \(s = 1\textbf{0}101\textbf{10}\).

Строка \(a\) называется подпоследовательностью строки \(b\), если \(a\) может быть получена из \(b\) с помощью удаления некоторых символов без изменения порядка оставшихся символов.

Для того, чтобы сделать сдвиг последовательности \(c\) размера \(k\) по часовой стрелке один раз, нужно сделать следующие замены символов \(c_1:=c_k, c_2:=c_1, c_3:=c_2, \ldots, c_k:=c_{k-1}\) одновременно.

Определите минимальное число операций, которое необходимо сделать Naman, чтобы получить из строки \(s\) строку \(t\) или определите, что это сделать невозможно.

Входные данные

В первой строке находится единственное целое число \(n\) \((1 \le n \le 10^6)\) — длина строк.

Во второй строке находится бинарная строка \(s\) длины \(n\).

В третьей строке находится бинарная строка \(t\) длины \(n\).

Выходные данные

Если невозможно получить из строки \(s\) строку \(t\) после применения любого числа операций, выведите \(-1\).

Иначе выведите минимальное количество операций, которое для этого требуется.

Примечание

В первом тесте, Naman может выбрать подпоследовательность, соответствующую позициям \(\{2, 6\}\) и сдвинуть символы строки, на этих позициях один раз по часовой стрелке. В результате, он сможет получить из строки \(s\) строку \(t\) за одну операцию.

Во втором тесте, он может сделать операцию на подпоследовательности из всех индексов \(5\) раз подряд. Можно доказать, что это минимальное необходимое количество операций.

В последнем тесте, невозможно получить из строки \(s\) строку \(t\).

F1. Загадана пара вершин (простая версия)

Бинарный поиск Деревья поиск в глубину и подобное *2400 графы кратчайшие пути интерактив

Обратите внимание, что единственное различие между простой и сложной версиями задачи заключается в количестве разрешенных запросов. Вы можете делать взломы, только если все версии задачи решены.

Это интерактивная задача.

Вам дано дерево, состоящее из \(n\) вершин, пронумерованных целыми числами от \(1\) до \(n\). Ayush и Ashish выбрали две секретные различные вершины дерева. Вам нужно отгадать обе вершины. Вы можете делать следующий запрос:

  • Вы даете список вершин дерева и в результате получаете вершину из списка, сумма растояний от которой до двух загаданных вершин минимально (если таких вершин в списке несколько, вы получите одну из них). Вы также получите сумму расстояний от этой вершины до двух загаданных вершин.

Напомним, что деревом называется связный граф без циклов. Расстоянием между двумя вершинами называется количество ребер, лежащих на простом пути между ними.

Более формально, пусть две загаданные вершины это \(s\) и \(f\). За один запрос, вы можете дать множество вершин \(\{a_1, a_2, \ldots, a_c\}\) дерева. В результате вы получите два числа \(a_i\) и \(dist(a_i, s) + dist(a_i, f)\). Вершина \(a_i\) является любой вершиной из данного вами множества, для которой число \(dist(a_i, s) + dist(a_i, f)\) минимально.

Вы можете сделать не более \(14\) запросов.

Входные данные

В первой строке находится единственное целое число \(t\) \((1 \leq t \leq 10)\) — количество наборов входных данных. Обратите внимание на то, как организован процесс взаимодействия.

В первой строке каждого набора входных данных находится единственное целое число \(n\) \((2 \le n \le 1000)\) — количество вершин дерева.

В следующих \(n - 1\) строках находится по два целых числа \(u\), \(v\) \((1 \le u, v \le n, u \ne v)\) — ребра дерева.

Протокол взаимодействия

Для того, чтобы сделать запрос, выведите единственную строку в следующем формате:

  • В начале строки выведите «? c » (без кавычек), где \(c\) \((1 \leq c \leq n)\) равно количеству вершин в списке, про который вы хотите сделать запрос. После этого должны следовать \(c\) различных целых чисел из отрезка \([1, n]\)  — номера вершин из списка.

В ответ на запрос, вы получите два целых числа \(x\), \(d\)  — вершина (из вершин из списка из запроса) с минимальной суммой расстояний до двух загаданных вершин и сумма расстояний от этой вершины до двух загаданных вершин. Если список вершин в запросе некорректный или вы превысили лимит на количество запросов, вы получите \(x = d = -1\). В этом случае, вы должны завершить вашу программу немедленно.

После того, как вы угадаете загаданные вершины, выведите единственную строку «! » (без кавычек). После этого выведите два целых числа из отрезка \([1, n]\)  — загаданные вершины. Вы можете выводить их в любом порядке.

После этого, вы должны считать строку. Если вы угадали вершины правильно, вы получите строку «Correct». В этом случае вы должны продолжить решать оставшиеся наборы входных данных или завершить программу, если все наборы входных данных были решены. Иначе, вы получите строку «Incorrect». В этом случае, вы должны завершить программу немедленно.

Запрос угадывания загаданных вершин не считается в количестве сделанных запросов.

Интерактор не адаптивный. Загаданные вершины не меняются во время запросов.

Не забывайте считать строку «Correct» / «Incorrect» после запроса угадывания вершин.

Вы должны решить набор входных данных перед получением входных данных следующего набора входных данных.

Ограничение на \(14\) запросов существует для каждого набора входных данных по отдельности, а не для всех входных данных вместе.

После вывода запроса, не забывайте выводить символ переноса строки и сбрасывать буфер выходного потока. Иначе, вы получите вердикт Idleness limit exceeded. Чтобы это сделать, используйте:

  • fflush(stdout) или cout.flush() в C++;
  • System.out.flush() в Java;
  • flush(output) в Pascal;
  • stdout.flush() в Python;
  • обратитесь к документации для других языков.

Взломы

Чтобы сделать взлом, используйте следующий формат теста:

В первой строке должно находиться единственное целое число \(t\) \((1 \leq t \leq 10)\) — количество наборов входных данных. Затем должно следовать описание наборов входных данных.

Первая строка каждого набора входных данных должна содержать единственное целое число \(n\) \((2 \le n \le 1000)\) — количество вершин в дереве. Во второй строке должно находиться два различных целых числа из отрезка \([1, n]\) — загаданные вершины. Следующая \(n - 1\) строка должна содержать по два целых числа \(u\), \(v\) \((1 \le u, v \le n, u \ne v)\) — ребра дерева.

Примечание

Дерево из первого теста изображено на картинке, загаданные вершины \(1\) и \(3\).

F2. Загадана пара вершин (сложная версия)

Бинарный поиск Деревья поиск в глубину и подобное графы *2700 кратчайшие пути интерактив

Обратите внимание, что единственное различие между простой и сложной версиями задачи заключается в количестве разрешенных запросов. Вы можете делать взломы, только если все версии задачи решены.

Это интерактивная задача.

Вам дано дерево, состоящее из \(n\) вершин, пронумерованных целыми числами от \(1\) до \(n\). Ayush и Ashish выбрали две секретные различные вершины дерева. Вам нужно отгадать обе вершины. Вы можете делать следующий запрос:

  • Вы даете список вершин дерева и в результате получаете вершину из списка, сумма растояний от которой до двух загаданных вершин минимально (если таких вершин в списке несколько, вы получите одну из них). Вы также получите сумму расстояний от этой вершины до двух загаданных вершин.

Напомним, что деревом называется связный граф без циклов. Расстоянием между двумя вершинами называется количество ребер, лежащих на простом пути между ними.

Более формально, пусть две загаданные вершины это \(s\) и \(f\). За один запрос, вы можете дать множество вершин \(\{a_1, a_2, \ldots, a_c\}\) дерева. В результате вы получите два числа \(a_i\) и \(dist(a_i, s) + dist(a_i, f)\). Вершина \(a_i\) является любой вершиной из данного вами множества, для которой число \(dist(a_i, s) + dist(a_i, f)\) минимально.

Вы можете сделать не более \(11\) запросов.

Входные данные

В первой строке находится единственное целое число \(t\) \((1 \leq t \leq 10)\) — количество наборов входных данных. Обратите внимание на то, как организован процесс взаимодействия.

В первой строке каждого набора входных данных находится единственное целое число \(n\) \((2 \le n \le 1000)\) — количество вершин дерева.

В следующих \(n - 1\) строках находится по два целых числа \(u\), \(v\) \((1 \le u, v \le n, u \ne v)\) — ребра дерева.

Протокол взаимодействия

Для того, чтобы сделать запрос, выведите единственную строку в следующем формате:

  • В начале строки выведите «? c » (без кавычек), где \(c\) \((1 \leq c \leq n)\) равно количеству вершин в списке, про который вы хотите сделать запрос. После этого должны следовать \(c\) различных целых чисел из отрезка \([1, n]\)  — номера вершин из списка.

В ответ на запрос, вы получите два целых числа \(x\), \(d\)  — вершина (из вершин из списка из запроса) с минимальной суммой расстояний до двух загаданных вершин и сумма расстояний от этой вершины до двух загаданных вершин. Если список вершин в запросе некорректный или вы превысили лимит на количество запросов, вы получите \(x = d = -1\). В этом случае, вы должны завершить вашу программу немедленно.

После того, как вы угадаете загаданные вершины, выведите единственную строку «! » (без кавычек). После этого выведите два целых числа из отрезка \([1, n]\)  — загаданные вершины. Вы можете выводить их в любом порядке.

После этого, вы должны считать строку. Если вы угадали вершины правильно, вы получите строку «Correct». В этом случае вы должны продолжить решать оставшиеся наборы входных данных или завершить программу, если все наборы входных данных были решены. Иначе, вы получите строку «Incorrect». В этом случае, вы должны завершить программу немедленно.

Запрос угадывания загаданных вершин не считается в количестве сделанных запросов.

Интерактор не адаптивный. Загаданные вершины не меняются во время запросов.

Не забывайте считать строку «Correct» / «Incorrect» после запроса угадывания вершин.

Вы должны решить набор входных данных перед получением входных данных следующего набора входных данных.

Ограничение на \(11\) запросов существует для каждого набора входных данных по отдельности, а не для всех входных данных вместе.

После вывода запроса, не забывайте выводить символ переноса строки и сбрасывать буфер выходного потока. Иначе, вы получите вердикт Idleness limit exceeded. Чтобы это сделать, используйте:

  • fflush(stdout) или cout.flush() в C++;
  • System.out.flush() в Java;
  • flush(output) в Pascal;
  • stdout.flush() в Python;
  • обратитесь к документации для других языков.

Взломы

Чтобы сделать взлом, используйте следующий формат теста:

В первой строке должно находиться единственное целое число \(t\) \((1 \leq t \leq 10)\) — количество наборов входных данных. Затем должно следовать описание наборов входных данных.

Первая строка каждого набора входных данных должна содержать единственное целое число \(n\) \((2 \le n \le 1000)\) — количество вершин в дереве. Во второй строке должно находиться два различных целых числа из отрезка \([1, n]\) — загаданные вершины. Следующая \(n - 1\) строка должна содержать по два целых числа \(u\), \(v\) \((1 \le u, v \le n, u \ne v)\) — ребра дерева.

Примечание

Дерево из первого теста изображено на картинке, загаданные вершины \(1\) и \(3\).

E1. Астеризм (простая версия)

Бинарный поиск Перебор Комбинаторика математика теория чисел сортировки *1900

Это простая версия задачи. Различие между версиями заключается в ограничениях на \(n\) и \(a_i\). Вы можете делать взломы, только если обе версии этой задачи сданы.

Сначала Aoi придумал следующую идею для задачи по программированию:

Yuzu девочка, которая коллекционирует конфеты. Изначально, у нее есть \(x\) конфет. Также есть \(n\) врагов, пронумерованных целыми числами от \(1\) до \(n\). Враг \(i\) имеет \(a_i\) конфет.

Yuzu хочет получить перестановку \(P\). Перестановкой называется массив, состоящий из \(n\) различных целых чисел от \(1\) до \(n\), расположенных в некотором порядке. Например, \(\{2,3,1,5,4\}\) это перестановка, а \(\{1,2,2\}\) это не перестановка (число \(2\) встречается в массиве дважды) и \(\{1,3,4\}\) тоже не является перестановкой (потому что \(n=3\), но в массиве есть число \(4\)).

После этого, она проведет \(n\) дуэлей с врагами по следующим правилам:

  • Если Yuzu сейчас имеет не меньше конфет, чем враг \(P_i\), она побеждает в дуэли и получает \(1\) конфету. Иначе, она проигрывает дуэль и ничего не получает.
  • Конфета, которую получает Yuzu в случае победы, будет использоваться в следующих дуэлях.

Yuzu хочет победить во всех дуэлях. Сколько существует возможных перестановок \(P\), для которых это произойдет?

Эта задача была простой и неинтересной для Akari, друга Aoi. И Akari придумал следующую задачу, на основе описанной идеи:

Давайте определим \(f(x)\) как количество возможных перестановок для целого числа \(x\).

Вам дано число \(n\), массив \(a\) и простое число \(p \le n\). Назовем целое положительное число \(x\) хорошим, если значение \(f(x)\) не делится на \(p\). Найдите все хорошие числа \(x\).

Решите задачу, предложенную Akari.

Входные данные

В первой строке находится два целых числа \(n\), \(p\) \((2 \le p \le n \le 2000)\). Гарантируется, что число \(p\) является простым (оно имеет ровно два делителя \(1\) и \(p\)).

Во второй строке находится \(n\) целых чисел \(a_1, a_2, \ldots, a_n\) \((1 \le a_i \le 2000)\).

Выходные данные

В первой строке выведите количество хороших чисел \(x\).

Во второй строке выведите все хорошие числа \(x\) в возрастающем порядке.

Гарантируется, что количество хороших чисел \(x\) не превосходит \(10^5\).

Примечание

В первом тесте \(p=2\).

  • Если \(x \le 2\) тогда нет ни одной перестановки, подходящей для Yuzu. Поэтому \(f(x)=0\) для \(x \le 2\). Заметим, что \(0\) делится на \(2\), поэтому ни одно число \(x \leq 2\) не хорошее.
  • Если \(x = 3\), то \(\{1,2,3\}\) единственная подходящая для Yuzu перестановка. Тогда, \(f(3)=1\), а значит число \(3\) хорошее.
  • Если \(x = 4\), то \(\{1,2,3\} , \{1,3,2\} , \{2,1,3\} , \{2,3,1\}\) это все перестановки, подходящие для Yuzu. Тогда, \(f(4)=4\), значит число \(4\) не хорошее.
  • Если \(x \ge 5\) , все \(6\) перестановок подходят Yuzu. Тогда, \(f(x)=6\) для всех \(x \ge 5\). Значит ни одно число \(x \ge 5\) не хорошее.

Значит единственное хорошее число это \(3\).

В третьем тесте для всех целых положительных \(x\) значение \(f(x)\) делится на \(p = 3\).

E2. Астеризм (сложная версия)

Бинарный поиск Комбинаторика математика дп теория чисел сортировки *2300

Это сложная версия задачи. Различие между версиями заключается в ограничениях на \(n\) и \(a_i\). Вы можете делать взломы, только если обе версии этой задачи сданы.

Сначала Aoi придумал следующую идею для задачи по программированию:

Yuzu девочка, которая коллекционирует конфеты. Изначально, у нее есть \(x\) конфет. Также есть \(n\) врагов, пронумерованных целыми числами от \(1\) до \(n\). Враг \(i\) имеет \(a_i\) конфет.

Yuzu хочет получить перестановку \(P\). Перестановкой называется массив, состоящий из \(n\) различных целых чисел от \(1\) до \(n\), расположенных в некотором порядке. Например, \(\{2,3,1,5,4\}\) это перестановка, а \(\{1,2,2\}\) это не перестановка (число \(2\) встречается в массиве дважды) и \(\{1,3,4\}\) тоже не является перестановкой (потому что \(n=3\), но в массиве есть число \(4\)).

После этого, она проведет \(n\) дуэлей с врагами по следующим правилам:

  • Если Yuzu сейчас имеет не меньше конфет, чем враг \(P_i\), она побеждает в дуэли и получает \(1\) конфету. Иначе, она проигрывает дуэль и ничего не получает.
  • Конфета, которую получает Yuzu в случае победы, будет использоваться в следующих дуэлях.

Yuzu хочет победить во всех дуэлях. Сколько существует возможных перестановок \(P\), для которых это произойдет?

Эта задача была простой и неинтересной для Akari, друга Aoi. И Akari придумал следующую задачу, на основе описанной идеи:

Давайте определим \(f(x)\) как количество возможных перестановок для целого числа \(x\).

Вам дано число \(n\), массив \(a\) и простое число \(p \le n\). Назовем целое положительное число \(x\) хорошим, если значение \(f(x)\) не делится на \(p\). Найдите все хорошие числа \(x\).

Решите задачу, предложенную Akari.

Входные данные

В первой строке находится два целых числа \(n\), \(p\) \((2 \le p \le n \le 10^5)\). Гарантируется, что число \(p\) является простым (оно имеет ровно два делителя \(1\) и \(p\)).

Во второй строке находится \(n\) целых чисел \(a_1, a_2, \ldots, a_n\) \((1 \le a_i \le 10^9)\).

Выходные данные

В первой строке выведите количество хороших чисел \(x\).

Во второй строке выведите все хорошие числа \(x\) в возрастающем порядке.

Гарантируется, что количество хороших чисел \(x\) не превосходит \(10^5\).

Примечание

В первом тесте \(p=2\).

  • Если \(x \le 2\) тогда нет ни одной перестановки, подходящей для Yuzu. Поэтому \(f(x)=0\) для \(x \le 2\). Заметим, что \(0\) делится на \(2\), поэтому ни одно число \(x \leq 2\) не хорошее.
  • Если \(x = 3\), то \(\{1,2,3\}\) единственная подходящая для Yuzu перестановка. Тогда, \(f(3)=1\), а значит число \(3\) хорошее.
  • Если \(x = 4\), то \(\{1,2,3\} , \{1,3,2\} , \{2,1,3\} , \{2,3,1\}\) это все перестановки, подходящие для Yuzu. Тогда, \(f(4)=4\), значит число \(4\) не хорошее.
  • Если \(x \ge 5\) , все \(6\) перестановок подходят Yuzu. Тогда, \(f(x)=6\) для всех \(x \ge 5\). Значит ни одно число \(x \ge 5\) не хорошее.

Значит единственное хорошее число это \(3\).

В третьем тесте для всех целых положительных \(x\) значение \(f(x)\) делится на \(p = 3\).

F. Омкар и моды

Бинарный поиск разделяй и властвуй *2700 интерактив

Рэй потерял свой массив и должен найти его, спросив Омкара. Омкар готов раскрыть, что массив обладает следующими качествами:

  1. Массив содержит \(n\) (\(1 \le n \le 2 \cdot 10^5\)) элементов.
  2. Каждый элемент в массиве \(a_i\) является целым числом в диапазоне \(1 \le a_i \le 10^9.\)
  3. Массив отсортирован в порядке неубывания.

Рэй может отправить Омкару серию запросов. Запрос состоит из двух целых чисел, \(l\) и \(r\), таких, что \(1 \le l \le r \le n\). Омкар ответит двумя целыми числами, \(x\) и \(f\). \(x\)  — мода подмассива от индекса \(l\) до индекса \(r\) включительно. Модой массива называют число, которое встречается в нем чаще всего. Если есть несколько чисел, которые встречаются наибольшее количество раз, модой считается наименьшее из них. \(f\)  — это количество раз, которое \(x\) встречается в запрашиваемом подмассиве.

Массив имеет \(k\) (\(1 \le k \le \min(25000,n)\)) различных элементов. Однако из-за грехов Рэя Омкар не скажет Рэю, чему равно \(k\). Рэю разрешено отправить не более \(4k\) запросов.

Помогите Рэю найти его потерянный массив.

Входные данные

Единственная строка входных данных содержит одно целое число \(n\) (\(1 \le n \le 2 \cdot 10^5\)), равное длине массива, который вы пытаетесь найти.

Протокол взаимодействия

Взаимодействие начинается с чтения \(n\).

Затем вы можете сделать один тип запроса:

  • "\(? \enspace l \enspace r\)" (\(1 \le l \le r \le n\)) где \(l\) и \(r\) это границы подмассива, который вы хотите запросить.

Ответ на каждый запрос будет иметь вид "\(x \enspace f\)", где \(x\)  — это мода подмассива, а \(f\)  — количество раз, которое \(x\) встречается в подмассиве.

  • \(x\) удовлетворяет (\(1 \leq x \leq 10^9\)).
  • \(f\) удовлетворяет (\(1 \leq f \leq r-l+1\)).
  • Если вы делаете более \(4k\) запросов или нарушаете диапазон номеров в запросе, вы получите вывод "-1."
  • Если вы прекратите работу после получения ответа "\(-1\)", вы получите вердикт "Неправильный ответ ". В противном случае вы можете получить произвольный вердикт, потому что ваше решение будет продолжать читать из закрытого потока.

Чтобы вывести ответ, выведите:

  • "\(! \enspace a_1 \enspace a_2 \enspace \ldots \enspace a_{n-1} \enspace a_n\)", который является восклицательным знаком, за которым следует массив с пробелом между каждым элементом.

После этого завершите программу. Этот запрос не учитывается в лимит запросов \(4k\).

После вывода запроса не забудьте вывести перевод строки, и сбросить буфер вывода. В противном случае вы получите вердикт Решение «зависло». Для сброса буфера используйте:

  • fflush(stdout) или cout.flush() в C++;
  • System.out.flush() в Java;
  • flush(output) в Pascal;
  • stdout.flush() в Python;
  • смотрите документацию для других языков.

Формат взломов

Для взлома выведите \(1\) целое число в первой строке: \(n\) (\(1 \le n \le 2 \cdot 10^5\)). Во второй строке выведите \(n\) целых чисел \(a_1, a_2, \ldots, a_{n-1}, a_n\), разделенных пробелами. Среди них должно быть не более \(25000\) различных чисел и \(a_j \le a_{j+1}\) должно выполняться для всех \(j\) от \(1\) до \(n-1\).

Примечание

Первый запрос: \(l=1\) и \(r=6\). Мода равна \(2\), а \(2\) встречается \(2\) раза, поэтому \(x=2\) и \(f=2\). Обратите внимание, что \(3\) также встречается два раза, но выводится \(2\), потому что \(2\) меньше.

Второй запрос: \(l=1\) и \(r=3\). Мода равна \(2\) и \(2\) встречается дважды в подмассиве с границами \([1,3]\).

Третий запрос: \(l=4\) и \(r=6\). Мода равна \(3\) и \(3\) встречается дважды в подмассиве с границами \([4,6]\).

Четвертый запрос: \(l=3\) и \(r=4\). Мода равна \(2\), и встречается один раз в подмассиве с границами \([3,4]\). Обратите внимание, что \(3\) также встречается всего один раз в этом диапазоне, но \(2\) меньше, чем \(3\).

F. Покрытие Интернетом

Бинарный поиск Структуры данных Конструктив жадные алгоритмы *2400

Правительство Берляндии наконец-то решило улучшить покрытие сетью Интернет в своей стране. Берляндия имеет уникальную структуру: в самом центре находится столица, а \(n\) городов расположены вокруг нее по кругу. В столице нет проблем с Интернетом (поэтому правительство игнорирует ее), но в \(i\)-м городе необходимо провести соединение в \(a_i\) домов.

Правительство разработало план постройки \(n\) базовых станций между каждой парой соседних городов, которые будут обслуживать только эти города. Другими словами, \(i\)-я базовая станция будет обслуживать только \(i\)-й и \((i + 1)\)-й город (\(n\)-я станция будет обслуживать \(n\)-й и \(1\)-й город).

Все базовые станции имеют ограниченную мощность: к \(i\)-й станции может быть подключено не более \(b_i\) домов.

Сейчас же правительство просит вас проверить: могут ли спроектированные станции удовлетворить потребности всех городов или нет; то есть можно ли каждый дом подключить к базовой станции так, что к каждой станции \(i\) подключено не более \(b_i\) домов.

Входные данные

В первой строке задано единственное число \(t\) (\(1 \le t \le 10^4\)) — количество наборов входных данных.

В первой строке каждого набора задано единственное целое число \(n\) (\(2 \le n \le 10^6\)) — количество городов и станций.

Во второй строке каждого набора заданы \(n\) целых чисел (\(1 \le a_i \le 10^9\)) — количество необходимых соединений для \(i\)-го города.

В третьей строке каждого набора заданы \(n\) целых чисел (\(1 \le b_i \le 10^9\)) — мощности планируемых базовых станций.

Гарантируется, что сумма \(n\) по наборам входных данных не превосходит \(10^6\).

Выходные данные

Для каждого набора входных данных, выведите YES, если спроектированные станции смогут удовлетворить потребности всех городов, или NO в противном случае (регистр букв не важен).

Примечание

В первом наборе входных данных:

  • первая базовая станция может предоставить \(2\) соединения первому городу и \(1\) соединение второму городу;
  • вторая станция может предоставить \(2\) соединения второму городу и \(1\) соединение третьему городу;
  • третья станция может предоставить \(3\) соединения третьему городу.

Во втором наборе:

  • \(1\)-я станция может предоставить \(2\) соединения \(1\)-му городу;
  • \(2\)-я станция может предоставить \(3\) соединения \(2\)-му городу;
  • \(3\)-я станция может предоставить \(3\) соединения \(3\)-му городу и \(1\) соединение \(1\)-му городу.

В третьем примере, четвертому городу необходимо \(5\) соединений, но третья и четвертая станции могут предоставить только \(4\) соединения суммарно.

B. Сомнительная криптография

Бинарный поиск Перебор математика *1500 теория чисел

Паша любит обмениваться со своим другом положительными целыми числами. Паша заботится о своей безопасности, поэтому он шифрует каждое загаданное натуральное число \(n\) следующим образом. Он заранее выбрал какие-то три целых числа \(a\), \(b\) и \(c\), что \(l \leq a,b,c \leq r\). После этого он вычисляет число \(m = n \cdot a + b - c\) и пересылает его своему другу.

В руки злоумышленника попали три значения: \(l\), \(r\) и \(m\). Может ли злоумышленник «восстановить» параметры \(a\), \(b\) и \(c\)? Какие это могут быть значения?

Иными словами, найдите любую такую тройку чисел \(a\), \(b\) и \(c\), что:

  • \(a\), \(b\) и \(c\) — целые числа,
  • \(l \leq a, b, c \leq r\),
  • существует такое целое положительное \(n\), что \(n \cdot a + b - c = m\).
Входные данные

Первая строка теста содержит одно целое число \(t\) (\(1 \leq t \leq 20\)) — количество наборов входных данных. Затем следуют \(t\) наборов входных данных.

Единственная строка набора входных данных содержит три целых числа \(l\), \(r\) и \(m\) (\(1 \leq l \leq r \leq 500\,000\), \(1 \leq m \leq 10^{10}\)). Эти числа таковы, что ответ на задачу существуют.

Выходные данные

Для каждого набора входных данных в единственной строке выведите три целых числа \(a\), \(b\) и \(c\) такие, что \(l \leq a, b, c \leq r\) и существует такое натуральное число \(n\), что \(n \cdot a + b - c = m\). Гарантируется, что такие числа существуют. Если подходящих решений несколько, выведите любое из них.

Примечание

В первом примере было загадано число \(n = 3\), тогда \(n \cdot 4 + 6 - 5 = 13 = m\). Так же возможны такие ответы: \(a = 4\), \(b = 5\), \(c = 4\) (при этом \(n = 3\)); \(a = 5\), \(b = 4\), \(c = 6\) (при этом \(n = 3\)); \(a = 6\), \(b = 6\), \(c = 5\) (при этом \(n = 2\)); \(a = 6\), \(b = 5\), \(c = 4\) (при этом \(n = 2\)).

Во втором примере было загадано число \(n = 1\), тогда \(n \cdot 2 + 2 - 3 = 1 = m\). Число \(n = 0\) не могло быть загадано, так как число \(n\) обязательно должно быть натуральным.

C. Выбор цветов для букета

Бинарный поиск Перебор Структуры данных дп *2000 поиск в глубину и подобное жадные алгоритмы сортировки

Володя хочет красиво поздравить свою жену с годовщиной их свадьбы и собирается подарить ей букет из ровно \(n\) цветов.

Придя в цветочный магазин, Володя обнаружил, что букет можно составлять из цветов \(m\) различных видов, причём количество цветов каждого вида не ограничено. Володя знает, что от первого цветка \(i\)-го вида в букете его супруга становится счастливее на \(a_i\), а от каждого следующего цветка такого вида она становится счастливее на \(b_i\). То есть, если в букете \(x_i > 0\) цветов вида \(i\), то за цветы этого вида жена Володи становится счастливее на \(a_i + (x_i - 1) \cdot b_i\) (а в случае, если цветов типа \(i\) в букете не будет, счастье жены Володи из-за цветов этого типа не изменится).

Как любой любящий муж, Володя хочет как можно сильнее порадовать свою супругу. Поэтому ему хочется знать, на какую максимальную величину может увеличиться её счастье от букета из \(n\) цветов, набранного из доступных в магазине цветов.

Входные данные

В первой строке задано одно целое число \(t\) (\(1 \leq t \leq 10\,000\)) — количество наборов входных данных. Затем следует описание \(t\) наборов входных данных, каждый из которых задан следующим образом.

В первой строке набора записаны два целых числа \(n\) и \(m\) (\(1 \le n \le 10^9\), \(1 \le m \le 100\,000\)) — требуемое количество цветов в букете и количество доступных видов цветов.

Каждая из следующих \(m\) строк описывает вид цветов и содержит два целых числа \(a_i\) и \(b_i\) (\(0 \le a_i, b_i \le 10^9\)) — увеличение счастья от первого цветка \(i\)-го вида и увеличение счастья от каждого последующего цветка этого вида.

Наборы разделены одной пустой строкой.

Гарантируется, что сумма \(m\) по всем наборам входных данных не превосходит \(100\,000\).

Выходные данные

Для каждого набора входных данных в единственной строке выведите одно число — максимальное увеличение счастья, которое может получить жена Володи от букета из \(n\) цветов.

Примечание

В первом примере если взять 1 цветок первого типа и 3 цветка второго типа, то итоговое увеличение счастья от букета будет равно \(5 + (1 + 2 \cdot 4) = 14\).

В втором примере если взять 2 цветка первого типа, 2 цветка второго типа и 1 цветок третьего типа, то итоговое увеличение счастья от букета будет равно \((5 + 1 \cdot 2) + (4 + 1 \cdot 2) + 3 = 16\).

D. Новые электрички

Бинарный поиск Перебор Структуры данных сортировки *2300

Каждый день на планете Кирнес курсирует множество поездов. День на этой планете состоит из \(h\) часов. Каждый час состоит из \(m\) минут, причём \(m\) обязательно чётное. Известно, что на данный момент \(n\) товарных поездов ежедневно отправляются с вокзала: \(i\)-й товарный поезд отправляется каждый день в \(h_i\) часов и \(m_i\) минут.

Правительство планеты решило запустить пассажирское сообщение. Было решено пустить ровно по две электрички каждый час. Это означает, что первая за день электричка отправится с вокзала в \(0\) часов и \(t\) минут, причем \(0 \le t < {m \over 2}\), вторая электричка отправится через \(m \over 2\) минут после этого и так далее.

Для безопасной посадки пассажиров электричка должна прибыть на вокзал за \(k\) минут до отправления. В то время, как пассажиры садятся в электричку, никакой товарный поезд не должен отправляться с вокзала, однако товарный поезд может отправиться в момент начала посадки на электричку и в момент её отправления. Обратите внимание, что если электричка отправляется в \(0\) часов \(t\) минут и \(t < k\), то платформа вокзала будет занята последние \(k - t\) минут предыдущего дня.

Схематичный пример корректного способа запустить электрички. Здесь \(h=2\) (следовательно, количество электричек равно \(2h=4\)), количество поездов \(n=6\). Электрички обозначены красным цветом (обратите внимание, что промежутки между ними одинаковы). Поезда обозначены синим цветом. Отрезки времени длины \(k\) до каждой электрички выделены красным. Обратите внимание, что внутри этих отрезков нет поездов.

Разумеется, не всегда можно составить корректное расписание электричек вместе со всеми товарными поездами. Тогда необходимо отменить некоторые товарные поезда, чтобы появилась возможность пустить электрички с соблюдением всех транспортных норм. Найдите такое время \(t\) для запуска первой электрички, чтобы количество товарных поездов, которые потребуется отменить, было минимальным.

Входные данные

Первая строка содержит четыре целых числа \(n\), \(h\), \(m\), \(k\) (\(1 \le n \le 100\,000\), \(1 \le h \le 10^9\), \(2 \le m \le 10^9\), \(1 \le k \le {m \over 2}\)) — число товарных поездов, количество часов и минут на планете Кирнес, а также время, которое электричка стоит у платформы. Гарантируется, что число минут \(m\) четное.

В следующих \(n\) строках вводится по два целых числа \(h_i\) и \(m_i\) (\(0 \le h_i < h\), \(0 \le m_i < m\)) — время отправления \(i\)-го поезда, часы и минуты соответственно. Гарантируется, что все товарные поезда отправляются в разное время.

Выходные данные

Выведите два числа: минимальное количество отменённых товарных поездов и \(t\) — время запуска первой за день электрички в минутах.

Во второй строке через пробел выведите номера отменяемых товарных поездов.

Примечание

В первом примере первую электричку надо отправить в 0:00. Тогда поезд в 16:00 отправится сразу после электрички, а электричку в 17:30 надо будет подать на платформу сразу после отправления товарного поезда в 17:15.

Во втором примере подать электричку на платформу надо за 16 минут до отправления. Сделать это без отмены какого-то товарного поезда не получится: если отправлять электричку в \(t \in [1, 15]\), то в 16:00 электричка уже должна быть на платформе, а с нее в это время отправляется первый товарный поезд. Если \(t = 0\) или \(t \in [16, 29]\), то второй товарный поезд в 17:15 не сможет уехать с платформы, потому что на ней уже будет стоять следующая электричка.

Если отменить второй поезд, то можно выбрать \(t = 0\), тогда поезда будут отправляться в 0 и 30 минут каждый час, а столкновения с первым товарным поездом не будет. Также можно отменить только первый поезд и выбрать, например, \(t = 13\).

F1. Шахматные баталии (простая версия)

Бинарный поиск Структуры данных *2700

Обратите внимание, что различие между простой и сложной версиями задачи состоит в том, что в сложной версии недоступные клетки могут снова становиться доступными, а в простой версии не могут. Вы можете взламывать, только если обе версии решены.

Ильдар и Ваня устали постоянно играть в шахматы, поэтому они придумали новую шахматную игру.

Игра происходит на шахматном поле размером \(2n \times 2m\). Это поле имеет \(2n\) строк и \(2m\) столбцов. Клетки этого поля покрашены в черный и белый цвета шахматной раскраской. Более точно, клетка в \(i\)-й строке и \(j\)-м столбце имеет белый цвет, если \(i+j\) чётно, и чёрный цвет в противном случае.

Игра устроена следующим образом. Ильдар помечает некоторые белые клетки поля как недоступные. После этого он предлагает Ване попробовать решить следующую задачу: может ли он на доступных белых клетках поля расставить \(n \times m\) шахматных королей так, что никакие два выставленных короля не бьют друг друга, то есть не стоят на клетках поля, соседних по стороне или углу.

Конечно, Ильдар планирует сделать игру интересной и предложить Ване несколько сложных комбинаций недоступных клеток. Для этого он попросил у вас помощи. Чтобы перед игрой понять, как лучше всего действовать, он хочет потренироваться. Для этого, он берёт пустое поле и хочет \(q\) раз сделать какую-то доступную клетку недоступной. После каждого изменения он бы хотел знать, каким будет ответ на задачу для Вани для текущего множества недоступных клеток.

Помогите Ильдару сделать игру интересной! Напишите программу, которая будет отвечать на его запросы.

Входные данные

В первой строке находится три целых числа \(n\), \(m\), \(q\) (\(1 \leq n, m, q \leq 200\,000\)) — количество пар строк шахматной доски, количество пар столбцов шахматной доски и количество запросов.

Следующие \(q\) строк описывают запросы Ильдара. Каждая из этих строк содержит два целых числа \(i\), \(j\) (\(1 \leq i \leq 2n\), \(1 \leq j \leq 2m\), \(i + j\) четно), задающие клетку \((i, j)\), которая становится недоступной. Гарантируется, что каждая клетка \((i, j)\) встречается среди запросов не более, чем один раз.

Выходные данные

Выведите \(q\) строк. В \(i\)-й из этих строк выведите ответ на задачу для доски, полученной после \(i\) первых запросов Ильдара.

Выведите «YES», если Ваня может так расставить шахматных королей на незанятые белые клетки поля, что никакие два короля не будут бить друг друга, и «NO», иначе.

Примечание

В первом примере, после второго запроса пешки будут стоять на клетках \((1, 1)\) и \((1, 5)\). Тогда Ваня может поставить три короля на клетки \((2, 2)\), \((2, 4)\) и \((2, 6)\).

После третьего запроса пешки будут стоять на клетках \((1, 1)\), \((1, 5)\) и \((2, 4)\). Тогда отстается всего три пустые клетки \((2, 2)\), \((1, 3)\) и \((2, 6)\). Ваня не может поставить трех королей на эти клетки, потому что короли в клетках \((2, 2)\) и \((1, 3)\) бьют друг друга, так как эти клетки соседние по углу.

C. Грибные гномы - 2

Бинарный поиск Структуры данных Теория вероятностей сортировки *2200

Гуляя как-то раз по лесу, Наташа встретила маленького грибного гномика. Гномик рассказал ей следующую историю:

Как известно, сила грибных гномов заключена в волшебных грибах, которые растут в их родном лесу. В этом лесу растет n деревьев и m волшебных грибов: i-ое дерево растет в точке на прямой с координатой ai и имеет высоту hi, j-ый гриб растет в точке с координатой bj и имеет волшебную силу zj.

Но однажды заклятые враги грибных гномов — дикие грибожуи — наслали на их родной лес ужасный шторм, в результате которого некоторые деревья начали падать и давить волшебные грибы. Верховный оракул грибных гномов заранее посчитал для каждого дерева вероятность того, что дерево упадет влево, вправо или останется стоять. Если дерево с координатой x и высотой h падает влево, то все грибы, попадающие в полуинтервал [x - h, x), погибают; если дерево падает вправо, погибают грибы в полуинтервале (x, x + h]. Выживают лишь те грибы, на которые не упадет ни одного дерева.

Зная, что все деревья падают независимо друг от друга (т.е. всевозможные события относительно различных деревьев взаимно независимы, и, кроме того, деревья никак не мешают другим деревьям падать в произвольном направлении), верховный оракул также смог быстро посчитать, каково будет матожидание суммарной силы выживших после шторма грибов, что в итоге спасло грибных гномов от неминуемой гибели.

Наташу, как неплохого олимпиадного программиста, заинтересовала эта история, и она решила придумать, как же можно быстро посчитать матожидание суммы сил выживших грибов.

Входные данные

В первой строке находится два целых числа n и m (1 ≤ n ≤ 105, 1 ≤ m ≤ 104) — количество деревьев и грибов соответственно.

В следующих n строках находится по четыре целых числа — ai, hi, li, ri (|ai| ≤ 109, 1 ≤ hi ≤ 109, 0 ≤ li, ri, li + ri ≤ 100)  — координата i-го дерева, его высота, вероятность (в процентах) его падения влево и вправо соответственно (с оставшейся вероятностью дерево остается стоять).

В следующих m строках находится по два целых числа — bj, zj (|bj| ≤ 109, 1 ≤ zj ≤ 103) — координата и волшебная сила j-ого гриба соответственно.

Произвольное число деревьев и грибов могут расти в одной точке.

Выходные данные

Выведите одно вещественное число — матожидание суммарной волшебной силы выживших грибов. Ответ принимается с относительной или абсолютной точностью 10 - 4.

Примечание

Считается, что гриб с координатой x попадает в полуинтервал [l, r) тогда и только тогда, когда l ≤ x < r. Аналогично, гриб с координатой x попадает в полуинтервал (l, r] тогда и только тогда, когда l < x ≤ r.

В первом тесте гриб выживает с вероятностью 50% в зависимости от того, куда упадет единственное дерево.

Во втором тесте гриб выживает только тогда, когда на него не упадет ни одно из двух деревьев, что происходит с вероятностью 50%  ×  50% = 25%.

Претест №12 — большой тест с 105 деревьями и одним грибом.

A. Цвета

Бинарный поиск Конструктив *особая задача *2700 интерактив

Линде нравится красить волосы в разные цвета время от времени, и ей приятно, когда её парень Арчи замечает разницу между предыдущим и новым цветом. Арчи высказывает своё мнение тогда и только тогда, если он замечает разницу — поэтому Линда всегда знает, заметил ли Арчи разницу или нет.

Недавно в продаже появился новый бренд краски для волос, где все доступные цвета пронумерованы числами от \(1\) до \(N\), причём меньшая разница между номерами означает менее заметную разницу в цветах.

Линда знает, что существует определённая критическая разница \(C\) (\(1 \le C \le N\)), такая, что Арчи замечает различие между цветами между текущим цветом \(\mathrm{color}_{\mathrm{new}}\) и предыдущим цветом \(\mathrm{color}_{\mathrm{prev}}\), если \(\left|\mathrm{color}_{\mathrm{new}} - \mathrm{color}_{\mathrm{prev}}\right| \ge C\) и не замечает, если \(\left|\mathrm{color}_{\mathrm{new}} - \mathrm{color}_{\mathrm{prev}}\right| < C\).

Теперь Линда купила \(N\) упаковок краски для волос нового бренда, по одной каждого цвета от \(1\) до \(N\), и готова организовать эксперимент. Линда собралась регулярно перекрашивать цвет своих волос и наблюдать за реакцией Арчи, заметит ли он разницу в цвете, или нет. Так как для хорошей покраски каждую упаковку нужно израсходовать полностью, каждый из цветов можно использовать ровно один раз.

Перед началом эксперимента, Линда использовала краску другого бренда, который не совместим с новым, поэтому для корректности эксперимента нужно принять, что реакция Арчи на первый использованный новый цвет ничего не означает.

Цель Линды — узнать точное значение \(C\), используя ограниченное количество перекрасок. Напишите программу, которая находит значение \(C\), экспериментируя с данными \(N\) цветами и наблюдая за реакциями Арчи на изменения цвета.

Протокол взаимодействия

Это интерактивная задача. В начале дано одно целое число \(T\) (\(1 \leq T \leq 100\)), количество примеров в одном тесте.

Для каждого тестого примера, ввод содержит одно целое число, значение \(N\) (\(1 < N \le 10^{18}\)). Значение \(C\) держится в секрете тестирующей системой.

Ваша программа должна задавать запросы в следующем формате: «? \(P\)», где \(P\) целое число (\(1 \le P \le N\)), которое обозначает следующий используемый цвет. Тестирующая система даст ответ в следующей строке ввода. Ответ равен \(1\), если Арчи заметил разницу между последними двумя цветами, и \(0\) иначе. Никакие два запроса не должны использовать одно и то же значение \(P\).

Когда ваша программа определит \(C\), она должна вывести её значение в следующем формате: «= \(C\)». Тестирующая система не будет отвечать на такой вывод и перейдёт к выполнению следующего примера.

Ваша программа может использовать не более 64 запросов «?» для каждого тестового примера, чтобы определить значение \(C\).

Чтобы установить правильное выполнение протокола между вашей программой и тестирующей системой, вы должны сбросить буфер вывода после каждого запроса.

\(\)\begin{array}{ll} \text{Language} & \text{Command} \\ \hline \text{C++} & \texttt{std::cout }\texttt{<}\texttt{<}\texttt{ std::endl;} \\ \text{Java} & \texttt{System.out.flush();} \\ \text{Python} & \texttt{sys.stdout.flush()} \end{array}\(\) Команды сбрасывания буфера

Команда std::endl записывает новую строку и сбрасывает буфер вывода.

Примите во внимание, что возможно получить вердикт «Output isn't correct» даже после вывода правильного ответа, в случае, если ограничения задачи были нарушены во время выполнения программы. Нарушения протокола могут закончится вердиктом «Execution killed».

Для запуска решения на личном тесте вначале запишите «\(T\)» в первой строке, и затем используйте формат «\(N\) \(C\)» на одной строке для каждого из \(T\) примеров.

Система оценки

Подзадачи:

  1. (9 баллов) \(N \le 64\)
  2. (13 баллов) \(N \le 125\)
  3. (21 баллов) \(N \le 1000\)
  4. (24 баллов) \(N \le 10^9\)
  5. (33 баллов) Без дополнительных ограничений.
Примечание

Примечания к данному тесту по каждой строчке ввода:

  1. \(N = 7\).
  2. Ответ на первый запрос ничего не означает (значение \(0\) ничего бы не изменило)
  3. \(C \leq 5\).
  4. \(3 < C \leq 5\). Имеет смысл проверить разницу \(4\). Однако, это нельзя сделать в следующем запросе, так как \(4 + 4 = 8\) и \(4 - 4 = 0\) оба лежат вне интервала \(1 \le P \le 7\).
  5. \(3 < C \leq 5\).
  6. \(3 < C \leq 4\). Следовательно, \(C = 4\).

A. Граф

Бинарный поиск Тернарный поиск математика *2100 дп *особая задача поиск в глубину и подобное

Дан неориентированный граф, в котором каждое ребро покрашено либо в чёрный цвет, либо в красный цвет.

Ваша задача присвоить каждой вершине по вещественному числу таким образом, что:

  • сумма чисел на обеих концах каждого чёрного ребра равна \(1\);
  • сумма чисел на обеих концах каждого красного ребра равна \(2\);
  • сумма модулей всех присвоенных чисел наименьшая возможная.

Если это не возможно, выведите, что не существует такого комплекта чисел.

Входные данные

Первая строка содержит два целых числа \(N\) (\(1 \leq N \leq 100\,000\)) и \(M\) (\(0 \leq M \leq 200\,000\)): количество вершин и рёбер, соответственно. Вершины пронумерованы последовательными числами \(1, 2, \ldots, N\).

Следующие \(M\) строк содержат описание рёбер. Каждая строка содержит три целых числа \(a\), \(b\) и \(c\), которые обозначают, что между вершинами \(a\) и \(b\) (\(1 \leq a, b \leq N\)) есть ребро цвета \(c\) (\(1\) обозначает чёрное, \(2\) обозначает красное).

Выходные данные

Если решение существует, выведите в первой строке слово «YES» и во второй строке выведите \(N\) чисел. Для каждого \(i\) (\(1 \le i \le N\)), \(i\)-е из этих чисел должно равняться числу, присвоенному вершине с номером \(i\).

Вывод должен соответствовать следующим ограничениям точности:

  • сумма чисел на концах каждого ребра должна отличаться от нужной суммы для этого ребра меньше, чем на \(10^{-6}\);
  • сумма модулей всех присвоенных чисел отличается от наименьшего возможного меньше, чем на \(10^{-6}\).

Если существует несколько решений, выведите любое из них.

Если решения не существует, выведите одно слово «NO».

Система оценки

Подзадачи:

  1. (5 баллов) \(N \leq 5\), \(M \leq 14\)
  2. (12 баллов) \(N \leq 100\)
  3. (17 баллов) \(N \leq 1000\)
  4. (24 баллов) \(N \leq 10\,000\)
  5. (42 баллов) Без дополнительных ограничений.
Примечание

Примите во внимание, что во втором примере решение не уникальное.

F. Омкар и оползень

Бинарный поиск Структуры данных Конструктив математика жадные алгоритмы *2400

Омкар стоит у подножия горы Селеста. Вершина находится в \(n\) метрах от него, и он может видеть всю гору до вершины, поэтому для каждого \(1 \leq j \leq n\) он знает, что высота горы в точке в \(j\) метрах от него равна \(h_j\). Известно, что для всех \(j\) удовлетворяющих \(1 \leq j \leq n - 1\), \(h_j < h_{j + 1}\) (то есть высоты строго возрастают).

Внезапно происходит оползень! Пока происходит оползень, происходит следующее: каждую минуту, если \(h_j + 2 \leq h_{j + 1}\), то один квадратный метр грязи будет скользить с позиции \(j + 1\) в позицию \(j\), так что \(h_{j + 1}\) уменьшается на \(1\), а \(h_j\) увеличивается на \(1\). Эти изменения происходят одновременно, так, например, если \(h_j + 2 \leq h_{j + 1}\) и \(h_{j + 1} + 2 \leq h_{j + 2}\) для какого-то \(j\), то \(h_j\) будет увеличено на \(1\), \(h_{j + 2}\) будет уменьшено на \(1\), а \(h_{j + 1}\) будет увеличено и уменьшено на \(1\), что означает, что на самом деле \(h_{j + 1}\) в течение этой минуты не изменится.

Оползень заканчивается, когда не будет такого \(j\), что \(h_j + 2 \leq h_{j + 1}\). Помогите Омкару выяснить, каковы будут значения \(h_1, \dots, h_n\) после окончания оползня. Можно доказать, что при заданных ограничениях оползень всегда заканчивается через некоторое число минут.

Обратите внимание, что из-за большого количества входных данных, рекомендуется, чтобы ваш код использовал быстрый ввод.

Входные данные

Первая строка содержит одно целое число \(n\) (\(1 \leq n \leq 10^6\)).

Вторая строка содержит \(n\) целых чисел \(h_1, h_2, \dots, h_n\) удовлетворяющих \(0 \leq h_1 < h_2 < \dots < h_n \leq 10^{12}\) — высоты.

Выходные данные

Выведите \(n\) целых чисел, где \(j\)-е число  — это значение \(h_j\) после остановки оползня.

Примечание

Первоначально гора имеет высоты \(2, 6, 7, 8\).

В первую минуту у нас есть \(2 + 2 \leq 6\), таким образом \(2\) увеличивается до \(3\), а \(6\) уменьшается до \(5\), оставляя \(3, 5, 7, 8\).

Во вторую минуту у нас есть \(3 + 2 \leq 5\) и \(5 + 2 \leq 7\), таким образом \(3\) увеличивается до \(4\), \(5\) остается без изменений, а \(7\) уменьшается до \(6\), оставляя \(4, 5, 6, 8\).

На третьей минуте у нас есть \(6 + 2 \leq 8\), так что \(6\) увеличивается до \(7\), а \(8\) уменьшается до \(7\), оставляя \(4, 5, 7, 7\).

На четвертой минуте у нас есть \(5 + 2 \leq 7\), таким образом \(5\) увеличивается до \(6\), а \(7\) уменьшается до \(6\), оставляя \(4, 6, 6, 7\).

На пятой минуте у нас есть \(4 + 2 \leq 6\), поэтому \(4\) увеличивается до \(5\), а \(6\) уменьшается до \(5\), оставляя \(5, 5, 6, 7\).

На шестой минуте ничего больше не может измениться, поэтому оползень останавливается, и наш ответ  — \(5, 5, 6, 7\).

C. Boboniu и строка

Бинарный поиск Тернарный поиск геометрия *2600

Boboniu определяет BN-строку как строку \(s\) из символов 'B' и 'N'.

Он может совершать следующие операции над BN-строкой \(s\):

  • Удалить один символ из \(s\).
  • Удалить подстроку «BN» или «NB» из \(s\).
  • Добавить символ 'B' или 'N' в конец \(s\).
  • Добавить строку «BN» или «NB» в конец \(s\).

Строка \(a\) является подстрокой строки \(b\) если \(a\) может быть получена из \(b\) удалением нескольких (возможно, нуля или всех) символов из начала и нескольких (возможно, нуля или всех) символов из конца.

Boboniu считает, что BN-строки \(s\) и \(t\) похожи если и только если:

  • \(|s|=|t|\).
  • Существует перестановка \(p_1, p_2, \ldots, p_{|s|}\), что для всех \(i\) (\(1\le i\le |s|\)), \(s_{p_i}=t_i\).

Boboniu также определяет \(\text{dist}(s,t)\), расстояние между \(s\) и \(t\), как минимальное число операций, необходимое чтобы сделать \(s\) похожей на \(t\).

Теперь Boboniu дал вам \(n\) непустых BN-строк \(s_1,s_2,\ldots, s_n\) и просит вас найти непустую BN-строку \(t\), что максимальное расстояние до строки из \(s\) минимизировано, т.е. вам нужно минимизировать \(\max_{i=1}^n \text{dist}(s_i,t)\).

Входные данные

В первой строке записано одно целое число \(n\) (\(1\le n\le 3\cdot 10^5\)).

Каждая из следующих \(n\) строк содержит слову \(s_i\) (\(1\le |s_i| \le 5\cdot 10^5\)). Гарантируется, что \(s_i\) состоит только из 'B' и 'N'. Сумма \(|s_i|\) не превосходит \(5\cdot 10^5\).

Выходные данные

В первой строке, выведите минимальное значение \(\max_{i=1}^n \text{dist}(s_i,t)\).

Во второй строке, выведите подходящее \(t\).

Если есть несколько возможных \(t\), вы можете вывести любое.

Примечание

В первом примере \(\text{dist(B,BN)}=\text{dist(N,BN)}=1\), \(\text{dist(BN,BN)}=0\). Таким образом максимальное значение равно \(1\).

E. Два типа заклинаний

Бинарный поиск Структуры данных математика реализация жадные алгоритмы сортировки *2200

Поликарп играет в компьютерную игру (да, опять). В этой игре он сражается с монстрами при помощи заклинаний.

Есть два типа заклинаний: огненный шар силы \(x\) наносит \(x\) урона монстру, а молния силы \(y\) наносит \(y\) урона монстру и удваивает урон следующего заклинания. Каждое заклинание может быть использовано только один раз, но Поликарп может применять их в любом порядке.

Например, предположим, что Поликарп знает три заклинания: огненный шар силы \(5\), молнию силы \(1\) и молнию силы \(8\). Всего есть \(6\) способов выбрать порядок заклинаний:

  • первое, второе, третье. В таком случае вы нанесете \(5 + 1 + 2 \cdot 8 = 22\) урона;
  • первое, третье, второе. В таком случае вы нанесете \(5 + 8 + 2 \cdot 1 = 15\) урона;
  • второе, первое, третье. В таком случае вы нанесете \(1 + 2 \cdot 5 + 8 = 19\) урона;
  • второе, третье, первое. В таком случае вы нанесете \(1 + 2 \cdot 8 + 2 \cdot 5 = 27\) урона;
  • третье, первое, второе. В таком случае вы нанесете \(8 + 2 \cdot 5 + 1 = 19\) урона;
  • третье, второе, первое. В таком случае вы нанесете \(8 + 2 \cdot 1 + 2 \cdot 5 = 20\) урона.

Изначально Поликарп знает \(0\) заклинаний. Его набор заклинаний меняется \(n\) раз, каждый раз он либо учит новое заклинание, либо забывает старое. После каждого изменения выведите максимально количество урона, которое можно нанести при помощи имеющихся заклинаний.

Входные данные

Первая строка содержит целое число \(n\) (\(1 \le n \le 2 \cdot 10^5\)) — количество заклинаний в наборе.

Каждая из следующих \(n\) строк содержит два числа \(tp\) и \(d\) (\(0 \le tp_i \le 1\); \(-10^9 \le d \le 10^9\); \(d_i \neq 0\)) — описание изменений. Если \(tp_i\) равно \(0\), Поликарп учит (или забывает) огненный шар, иначе он учит (или забывает) молнию.

Если \(d_i > 0\), то Поликарп учит заклинание силы \(d_i\). Иначе, Поликарп забывает заклинание силы \(-d_i\), и гарантируется, что он знал это заклинание до этого.

Гарантируется, что после каждого изменения все силы заклинаний различны (Поликарп не может знать одновременно два заклинания одинаковой силы).

Выходные данные

После каждого изменения выведите максимально количество урона, которое можно нанести при помощи имеющихся заклинаний.

F. Спорные раунды

Бинарный поиск Структуры данных дп жадные алгоритмы *2500

Алиса и Боб играют в игру. Игра состоит из нескольких сетов, и каждый сет состоит из нескольких раундов. Каждый раунд выиграл либо Боб, либо Алиса, и сет считается завершенным, когда один из игроков выиграл \(x\) раундов подряд. Например, если Боб выиграл пять раундов подряд и \(x = 2\), то завершилось два сета.

Вы знаете, что Алиса и Боб уже сыграли \(n\) раундов и вы знаете результаты нескольких раундов. Для каждого \(x\) от \(1\) до \(n\), посчитайте максимальное количество сетов, которое могло быть завершено, если сет считается завершенным, когда один из игроков выиграл \(x\) раундов подряд. Если последний сет не завершен — то учитывать его не нужно.

Входные данные

Первая строка содержит целое число \(n\) (\(1 \le n \le 10^6\)) — количество раундов.

Вторая строка содержит строку \(s\) длины \(n\) — описание раундов. Если \(i\)-й элемент строки равен 0, то Алиса выиграла \(i\)-й раунд; если равен 1 — то Боб выиграл \(i\)-й раунд, а если равен ? — то вы не знаете, кто выиграл \(i\)-й раунд.

Выходные данные

В единственной строке выведите \(n\) чисел. \(i\)-е должно быть равно максимальному количество сетов, которое могло быть завершено, если сет считается завершенным когда один из игроков выиграл \(i\) раундов подряд.

Примечание

Рассмотрим первый набор входных данных:

  • если \(x = 1\) и \(s = 110000\) или \(s = 111000\) то есть шесть завершенных сетов;
  • если \(x = 2\) и \(s = 110000\) то есть три завершенных сета;
  • если \(x = 3\) и \(s = 111000\) то есть два завершенных сета;
  • если \(x = 4\) и \(s = 110000\) то есть один завершенный сет;
  • если \(x = 5\) то завершенных сетов нет;
  • если \(x = 6\) то завершенных сетов нет.

E2. Деление весов (сложная версия)

Бинарный поиск Деревья поиск в глубину и подобное жадные алгоритмы сортировки *2200

Простая и сложная версии на самом деле являются разными задачами, поэтому прочитайте условия обеих задач внимательно.

Вам задано взвешенное корневое дерево, вершина \(1\) — корень этого дерева. Также каждое ребро имеет свою собственную стоимость.

Дерево — это связный граф без циклов. У корневого дерева есть специальная вершина, называемая корнем. Предком вершины \(v\) называется последняя отличная от \(v\) вершина на пути от корня к вершине \(v\). Потомками вершины \(v\) называются все вершины, для которых \(v\) является предком. Вершина называется листом, если у нее нет потомков. Взвешенное дерево — это такое дерево, в котором у каждого ребра есть некоторый вес.

Вес пути — это сумма весов всех ребер на этом пути. Вес пути от вершины до самой себя равен \(0\).

Вы можете совершить последовательность из нуля или более ходов. В течение одного хода вы можете выбрать ребро и поделить его вес на \(2\) с округлением вниз. Более формально, в течение одного хода вы выбираете какое-то ребро \(i\) и делите его вес на \(2\) с округлением вниз (\(w_i := \left\lfloor\frac{w_i}{2}\right\rfloor\)).

Каждое ребро \(i\) имеет свою стоимость \(c_i\), которая равна либо \(1\), либо \(2\) монетам. Каждый ход с ребром \(i\) стоит \(c_i\) монет.

Ваша задача — найти минимальную суммарную стоимость, необходимую для того, чтобы сделать сумму весов путей от корня до каждого листа не превосходящей \(S\). Другими словами, если \(w(i, j)\) — это вес пути от вершины \(i\) до вершины \(j\), то вам необходимо сделать \(\sum\limits_{v \in leaves} w(root, v) \le S\), где \(leaves\) — это список всех листьев.

Вам необходимо ответить на \(t\) независимых наборов тестовых данных.

Входные данные

Первая строка теста содержит одно целое число \(t\) (\(1 \le t \le 2 \cdot 10^4\)) — количество наборов тестовых данных. Затем следуют \(t\) наборов тестовых данных.

Первая строка набора тестовых данных содержит два целых числа \(n\) и \(S\) (\(2 \le n \le 10^5; 1 \le S \le 10^{16}\)) — количество вершин в дереве и максимально возможная сумма весов, которую вы можете получить. Следующая \(n-1\) строка описывает ребра дерева. Ребро \(i\) описывается четырьмя целыми числами \(v_i\), \(u_i\), \(w_i\) и \(c_i\) (\(1 \le v_i, u_i \le n; 1 \le w_i \le 10^6; 1 \le c_i \le 2\)), где \(v_i\) и \(u_i\) — вершины, которые соединены ребром \(i\), \(w_i\) — вес этого ребра, а \(c_i\) — цена этого ребра.

Гарантируется, что сумма всех \(n\) не превосходит \(10^5\) (\(\sum n \le 10^5\)).

Выходные данные

Для каждого набора тестовых данных выведите ответ на него: минимальную суммарную стоимость, необходимую, чтобы сделать сумму весов путей от корня до каждого листа не превосходящей \(S\).

C. Новогодние снеговики

Бинарный поиск Структуры данных *1800 жадные алгоритмы

Пока хозяйственный Геральд накрывает стол и никогда не дающий скучать друзьям Александр отправляет открытки, Сергей лепит снеговиков. Каждый снеговик должен состоять из трех комов — большого, среднего и маленького. Сергею помогают его двойники: они уже слепили n снежных комов, которые представляют собой шары с радиусами r1, r2, ..., rn. Снеговика можно слепить из любых трех комов, радиусы которых попарно различны. Например, из комов с радиусами 1, 2 и 3 можно слепить снеговика, а 2, 2, 3 или 2, 2, 2 — нельзя. Помогите Сергею и его двойникам определить, какое наибольшее количество снеговиков они смогут слепить из своих комов.

Входные данные

В первой строке задано целое число n (1 ≤ n ≤ 105) — количество комов. В следующей строке заданы n целых чисел — радиусы комов r1, r2, ..., rn (1 ≤ ri ≤ 109). Радиусы комов могут совпадать.

Выходные данные

В первой строке выведите одно целое число k — наибольшее количество снеговиков. Следующие k строк должны содержать описания снеговиков. Описание каждого снеговика должно состоять из трех чисел, разделенных пробелами — радиуса большого кома, радиуса среднего кома и радиуса маленького кома. Снеговиков разрешается выводить в любом порядке. Если решений несколько, выведите любое.

F. Reverse и Swap

Бинарный поиск Структуры данных *2400 битмаски

Вам задан массив \(a\) длины \(2^n\). Вам нужно обработать \(q\) запросов к нему. Каждый запрос одного из следующих \(4\) типов:

  1. \(Replace(x, k)\) — присвоить элементу \(a_x\) значение \(k\);
  2. \(Reverse(k)\) — развернуть каждый подмассив \([(i-1) \cdot 2^k+1, i \cdot 2^k]\) для всех \(i\) (\(i \ge 1\));
  3. \(Swap(k)\) — поменять местами подмассивы \([(2i-2) \cdot 2^k+1, (2i-1) \cdot 2^k]\) и \([(2i-1) \cdot 2^k+1, 2i \cdot 2^k]\) для всех \(i\) (\(i \ge 1\));
  4. \(Sum(l, r)\) — вывести сумму элементов подмассива \([l, r]\).

Напишите программу, которая может достаточно быстро обрабатывать заданные запросы.

Входные данные

В первой строке заданы два целых числа \(n\), \(q\) (\(0 \le n \le 18\); \(1 \le q \le 10^5\)) — длина массива \(a\) и количество запросов.

Во второй строке заданы \(2^n\) целых чисел \(a_1, a_2, \ldots, a_{2^n}\) (\(0 \le a_i \le 10^9\)).

В следующих \(q\) строках заданы запросы — по одному в строке. Каждый запрос одного из следующих \(4\) типов:

  • «\(1\) \(x\) \(k\)» (\(1 \le x \le 2^n\); \(0 \le k \le 10^9\)) — \(Replace(x, k)\);
  • «\(2\) \(k\)» (\(0 \le k \le n\)) — \(Reverse(k)\);
  • «\(3\) \(k\)» (\(0 \le k < n\)) — \(Swap(k)\);
  • «\(4\) \(l\) \(r\)» (\(1 \le l \le r \le 2^n\)) — \(Sum(l, r)\).

Гарантируется, что в каждом тесте есть как минимум один запрос \(Sum\).

Выходные данные

Выведите ответы для каждого запроса \(Sum\).

Примечание

В первом примере, первоначально, массив \(a\) равен \(\{7,4,9,9\}\).

После обработки первого запроса, массив \(a\) становится \(\{7,8,9,9\}\).

После обработки второго запроса, массив \(a_i\) становится \(\{9,9,7,8\}\).

Поэтому, ответ на третий запрос равен \(9+7+8=24\).

Во втором примере, первоначально, массив \(a\) равен \(\{7,0,8,8,7,1,5,2\}\). Далее происходит следующее:

  1. \(Sum(3, 7)\) \(\to\) \(8 + 8 + 7 + 1 + 5 = 29\);
  2. \(Reverse(1)\) \(\to\) \(\{0,7,8,8,1,7,2,5\}\);
  3. \(Swap(2)\) \(\to\) \(\{1,7,2,5,0,7,8,8\}\);
  4. \(Sum(1, 6)\) \(\to\) \(1 + 7 + 2 + 5 + 0 + 7 = 22\);
  5. \(Reverse(3)\) \(\to\) \(\{8,8,7,0,5,2,7,1\}\);
  6. \(Replace(5, 16)\) \(\to\) \(\{8,8,7,0,16,2,7,1\}\);
  7. \(Sum(8, 8)\) \(\to\) \(1\);
  8. \(Swap(0)\) \(\to\) \(\{8,8,0,7,2,16,1,7\}\).

A. The Potion of Great Power

Бинарный поиск Структуры данных *особая задача *2400 сортировки графы интерактив 2-sat

Once upon a time, in the Land of the Shamans, everyone lived on the Sky-High Beanstalk. Each shaman had a unique identifying number \(i\) between \(0\) and \(N-1\), and an altitude value \(H_i\), representing how high he lived above ground level. The distance between two altitudes is the absolute value of their difference.

All shamans lived together in peace, until one of them stole the formula of the world-famous Potion of Great Power. To cover his/her tracks, the Thief has put a Curse on the land: most inhabitants could no longer trust each other...

Despite the very difficult circumstances, the Order of Good Investigators have gained the following information about the Curse:

  • When the Curse first takes effect, everyone stops trusting each other.
  • The Curse is unstable: at the end of each day (exactly at midnight), one pair of shamans will start or stop trusting each other.
  • Unfortunately, each shaman will only ever trust at most \(D\) others at any given time.
They have also reconstructed a log of who trusted whom: for each night they know which pair of shamans started/stopped trusting each other.

They believe the Thief has whispered the formula to an Evil Shaman. To avoid detection, both of them visited the home of one of their (respective) trusted friends. During the visit, the Thief whispered the formula to the Evil Shaman through the window. (Note: this trusted friend did not have to be home at the time. In fact, it's even possible that they visited each other's houses – shamans are weird.)

Fortunately, whispers only travel short distances, so the Order knows the two trusted friends visited (by the Thief and the Evil Shaman) must live very close to each other.

They ask you to help with their investigation. They would like to test their suspicions: what if the Thief was \(x\), the Evil Shaman was \(y\), and the formula was whispered on day \(v\)? What is the smallest distance the whispered formula had to travel? That is, what is the minimum distance between the apartments of some shamans \(x'\) and \(y'\) (i.e. \(\min\left(\left|H_{x'} - H_{y'}\right|\right)\)), such that \(x'\) was a trusted friend of \(x\) and \(y'\) was a trusted friend of \(y\) on day \(v\)?

They will share all their information with you, then ask you a number of questions. You need to answer each question immediately, before receiving the next one.

Interaction

The interaction will begin with a line containing \(N\), \(D\), \(U\) and \(Q\) \((2 \leq N \leq 100000\), \(1 \leq D \leq 500\), \(0 \leq U \leq 200000\), \(1 \leq Q \leq 50000)\) – the number of shamans, the maximum number of trusted friends a shaman can have at any given point, the number of days, and the number of questions.

On the next line \(N\) space separated integers will follow, the \(i\)th \((1\leq i \leq N)\) of which being \(H_{i-1}\) \((0\leq H_{i-1} \leq 10^9)\), the altitude of shaman \(i-1\).

On the next \(U\) lines there will be two integers each, on the \(i\)th (\(1 \leq i \leq U\)) \(A_i\) and \(B_i\) \((0 \leq A_i, B_i < N\) and \(A_i \neq B_i)\), which represents a pair of shamans who started or stopped trusting each other at the end of day \(i-1\). That is, if \(A_i\) and \(B_i\) trusted each other on day \(i-1\), they did not trust each other on day \(i\), or vice versa. Read all of these integers.

The interactor now will ask you \(Q\) question, so the following interaction should happen \(Q\) times:

  1. Read \(3\) integers describing the current query: \(x,y\) and \(v\) (\(x \neq y\), \(0 \leq x,y < N\) and \(0 \leq v \leq U\)), where \(x\) is the suspected Thief, \(y\) is the suspected Evil Shaman, and \(v\) is the suspected day..
  2. Then print the answer to this query on a single line, i.e. you should print the minimum distance the whispered formula had to travel from some trusted friend \(x'\) of \(x\) to a trusted friend \(y'\) of \(y\).
    • In case someone trusted both \(x\) and \(y\) (i.e. \(x'=y'\)), you should print \(0\).
    • If \(x\) or \(y\) had no trusted friends, print \(10^9\).

After printing each line do not forget to output end of line and flush the output. Otherwise, you will get Idleness limit exceeded. To do this, use:

  • fflush(stdout) or cout.flush() in C++;
  • System.out.flush() in Java;
  • flush(output) in Pascal;
  • stdout.flush() in Python;
  • see documentation for other languages.
Scoring
\( \begin{array}{|c|c|c|} \hline \text{Subtask} & \text{Points} & \text{Constraints} \\ \hline 1 & 0 & \text{samples}\\ \hline 2 & 17 & Q,U \leq 1000 \\ \hline 3 & 14 & v=U \: \text{for all questions} \\ \hline 4 & 18 & H_i \in \left\{0,1\right\} \: \text{for all shamans} \: i \\ \hline 5 & 21 & U,N \leq 10000\\ \hline 6 & 30 & \text{no additional constraints}\\ \hline \end{array} \)
Note

Example queries:

Evolution of friendships:

C. Уничтожение фиксированных точек

Бинарный поиск Структуры данных Конструктив жадные алгоритмы *2300

Дан массив \(a_1, \ldots, a_n\) из \(n\) положительных целых чисел. За одну операцию можно выбрать индекс \(i\), удовлетворяющий \(a_i = i\), и удалить \(a_i\) из массива (после удаления остальные части массива соединяются).

Вес \(a\) определяется как максимальное количество элементов, которые можно удалить.

Вы должны ответить на \(q\) независимых запросов \((x, y)\): после замены первых \(x\) элементов \(a\) и последних \(y\) элементов \(a\) на \(n+1\) (делая их удаление невозможным), чему будет равен вес \(a\)?

Входные данные

Первая строка содержит два целых числа \(n\) и \(q\) (\(1 \le n, q \le 3 \cdot 10^5\))  — длину массива и количество запросов.

Вторая строка содержит \(n\) целых чисел \(a_1\), \(a_2\), ..., \(a_n\) (\(1 \leq a_i \leq n\)) — элементы массива.

\(i\)-я из следующих \(q\) строк содержит два целых числа \(x\) и \(y\) (\(x, y \ge 0\) и \(x+y < n\)).

Выходные данные

Выведите \(q\) строк, \(i\)-я строка должна содержать единственное целое число  — ответ на \(i\)-й запрос.

Примечание

Объяснение первого запроса:

После того, как первые \(x = 3\) и последние \(y = 1\) элементов стало невозможно удалить, \(a\) становится равным \([\times, \times, \times, 9, 5, 4, 6, 5, 7, 8, 3, 11, \times]\) (для наглядности мы представляем \(14\) как \(\times\)).

Вот стратегия, которая удаляет \(5\) элементов (удаленный элемент окрашен в красный цвет):

  • \([\times, \times, \times, 9, \color{red}{5}, 4, 6, 5, 7, 8, 3, 11, \times]\)
  • \([\times, \times, \times, 9, 4, 6, 5, 7, 8, 3, \color{red}{11}, \times]\)
  • \([\times, \times, \times, 9, 4, \color{red}{6}, 5, 7, 8, 3, \times]\)
  • \([\times, \times, \times, 9, 4, 5, 7, \color{red}{8}, 3, \times]\)
  • \([\times, \times, \times, 9, 4, 5, \color{red}{7}, 3, \times]\)
  • \([\times, \times, \times, 9, 4, 5, 3, \times]\) (конечное состояние)

Невозможно удалить более \(5\) элементов, поэтому вес составляет \(5\).

C. Дискретное ускорение

Бинарный поиск математика реализация дп *1500

Рассмотрим дорогу длиной \(l\) метров. Начало дороги имеет координату \(0\), конец дороги имеет координату \(l\).

Есть две машины, первая стоит в начале дороги, вторая стоит в конце дороги. Они начинают ехать одновременно. Первая машина будет ехать от начала дороги к концу, вторая машина будет ехать от конца дороги к началу.

Изначально они будут ехать со скоростью \(1\) метр в секунду. Есть \(n\) флажков, расположенных в различных координатах \(a_1, a_2, \ldots, a_n\). Каждый раз, когда любая из двух машин проезжает мимо флажка, скорость этой машины увеличивается на \(1\) метр в секунду.

Найдите, через какое время машины встретятся (их координаты совпадут).

Входные данные

В первой строке находится единственное целое число \(t\) (\(1 \leq t \leq 10^4\)): количество наборов входных данных.

В первой строке описания каждого набора входных данных находятся два целых числа \(n\), \(l\) (\(1 \leq n \leq 10^5\), \(1 \leq l \leq 10^9\)): количество флажков и длина дороги.

Во второй строке находятся \(n\) целых чисел \(a_1, a_2, \ldots, a_n\) в возрастающем порядке (\(1 \leq a_1 < a_2 < \ldots < a_n < l\)).

Гарантируется, что сумма значений \(n\) по всем наборам входных данных не превосходит \(10^5\).

Выходные данные

Для каждого набора входных данных выведите единственное вещественное число: время, через которое машины встретятся.

Ваш ответ будет признан правильным, если его абсолютная или относительная ошибка не превосходит \(10^{-6}\). Более формально, если ваш ответ \(a\) и ответ жюри \(b\), ваш ответ будет признан правильным, если \(\frac{|a-b|}{\max{(1, b)}} \leq 10^{-6}\).

Примечание

В первом наборе входных данных машины встретятся в координате \(5\).

Первая машина будет в координате \(1\) через \(1\) секунду, и после этого ее скорость увеличится на \(1\) и станет равной \(2\)-м метрам в секунду. Через \(2\) секунды машина окажется в координате \(5\). Итак, первая машина будет в координате \(5\) через \(3\) секунды.

Вторая машина будет в координате \(9\) через \(1\) секунду, и после этого ее скорость увеличится на \(1\) и станет равной \(2\)-м метрам в секунду. Через \(2\) секунды машина окажется в координате \(5\). Итак, вторая машина будет в координате \(5\) через \(3\) секунды.

Во втором наборе входных данных через \(1\) секунду первая машина будет в координате \(1\) и будет иметь скорость, равную \(2\)-м метрам в секунду; вторая машина будет в координате \(9\) и будет иметь скорость \(1\) метр в секунду. Поэтому после этого они встретятся через \(\frac{9-1}{2+1} = \frac{8}{3}\) секунд. Итак, ответ равен \(1 + \frac{8}{3} = \frac{11}{3}\).

D. Прожекторы

Бинарный поиск Перебор Структуры данных реализация дп *2000 сортировки

Есть \(n\) грабителей в координатах \((a_1, b_1)\), \((a_2, b_2)\), ..., \((a_n, b_n)\) и \(m\) прожекторов в координатах \((c_1, d_1)\), \((c_2, d_2)\), ..., \((c_m, d_m)\).

За один ход вы можете подвинуть всех грабителей направо (увеличить \(a_i\) всех грабителей на единицу) или подвинуть всех грабителей вверх (увеличить \(b_i\) всех грабителей на единицу). Обратите внимание, что вы должны либо увеличить все \(a_i\), либо все \(b_i\), вы не можете увеличить \(a_i\) некоторых грабителей и \(b_i\) некоторых других грабителей за одну операцию.

Прожектор \(j\) освещает грабителя \(i\), если \(a_i \leq c_j\) и \(b_i \leq d_j\).

Конфигурация грабителей называется безопасной, если ни один прожектор не освещает ни одного грабителя (то есть нет такой пары \(i,j\), что прожектор \(j\) освещает грабителя \(i\)).

Какое минимальное количество ходов нужно сделать, чтобы грабители оказались в безопасной конфигурации?

Входные данные

В первой строке находится два целых числа \(n\) и \(m\) (\(1 \leq n, m \leq 2000\)): количество грабителей и количество прожекторов.

Каждая из следующих \(n\) строк содержит два целых числа \(a_i\), \(b_i\) (\(0 \leq a_i, b_i \leq 10^6\)), координаты грабителей.

Каждая из следующих \(m\) строк содержит два целых числа \(c_i\), \(d_i\) (\(0 \leq c_i, d_i \leq 10^6\)), координаты прожекторов.

Выходные данные

Выведите единственное целое число: минимальное количество ходов, необходимое, чтобы грабители оказались в безопасной конфигурации.

Примечание

В первом тесте вы можете подвинуть всех грабителей направо три раза. После этого будет один грабитель в координатах \((3, 0)\).

Конфигурация грабителей будет безопасной, потому что единственный прожектор не освещает грабителя, так как он в координатах \((2, 3)\), а \(3 > 2\).

Во втором тесте вы можете подвинуть всех грабителей направо два раза и вверх два раза. После этого грабители будут в координатах \((3, 8)\), \((8, 3)\).

Легко увидеть, что такая конфигурация безопасна.

Можно доказать, что невозможно получить безопасную конфигурацию, используя не больше, чем \(3\) хода.

H. Разноцветные тройки

Бинарный поиск Потоки Структуры данных жадные алгоритмы *3300

Вам дана последовательность \(a_1, a_2, \ldots, a_n\) неотрицательных целых чисел.

Вам нужно найти наибольшее число \(m\) троек \((i_1, j_1, k_1)\), \((i_2, j_2, k_2)\), ..., \((i_m, j_m, k_m)\) таких, что выполняются следующие условия:

  • \(1 \leq i_p < j_p < k_p \leq n\) для всех \(p\) среди \(1, 2, \ldots, m\);
  • \(a_{i_p} = a_{k_p} = 0\), \(a_{j_p} \neq 0\);
  • значения \(a_{j_1}, a_{j_2}, \ldots, a_{j_m}\) различны;
  • значения \(i_1, j_1, k_1, i_2, j_2, k_2, \ldots, i_m, j_m, k_m\) различны.
Входные данные

В первой строке находится одно целое число \(t\) (\(1 \leq t \leq 500\,000\)): количество наборов входных данных.

В первой строке каждого набора входных данных находится одно целое число \(n\) (\(1 \leq n \leq 500\,000\)).

Во второй строке находятся \(n\) целых чисел \(a_1, a_2, \ldots, a_n\) (\(0 \leq a_i \leq n\)).

Сумма по всем \(n\) не превосходит \(500\,000\).

Выходные данные

Для каждого набора выходных данных выведите одно целое число \(m\): наибольшее количество троек, которое вы можете найти.

Примечание

В первых двух примерах не хватает элементов даже для одной тройки, так что ответ \(0\).

Во втором примере вы можете выбрать одну тройку \((1, 2, 3)\).

В четвертом примере можно выбрать две тройки \((1, 3, 5)\) и \((2, 4, 6)\).

В пятом примере можно выбрать одну тройку \((1, 2, 3)\). Мы не можем выбрать тройки \((1, 2, 3)\) и \((4, 5, 6)\) одновременно, так как \(a_2 = a_5\).

E. Две платформы

Бинарный поиск дп *1800 сортировки

На плоскости находится \(n\) точек. Точка \(i\) имеет координаты \((x_i, y_i)\). У вас есть две горизонтальные платформы, обе длины \(k\). Каждая платформа может быть размещена в любом месте на плоскости, но она должна быть размещена горизонтально (на одной и той же \(y\)-координате) и иметь целочисленные границы. Если левая граница платформы равна \((x, y)\), то правая граница равна \((x + k, y)\), и все точки между границами (включая границы) принадлежат платформе.

Обратите внимание, что платформы могут иметь общие точки (пересекаться), а также не обязательно размещать обе платформы на одной \(y\)-координате.

После размещения обеих платформ на плоскости все точки начинают падать вниз, уменьшая \(y\)-координату. Если в какой-то момент точка сталкивается с какой-либо платформой, то она останавливается и считается сохраненной. Точки, которые никогда не сталкиваются ни с какой платформой, теряются.

Ваша задача — найти максимальное количество точек, которые вы можете сохранить, если вы разместите обе платформы оптимально.

Вам необходимо ответить на \(t\) независимых наборов тестовых данных.

Для лучшего понимания, пожалуйста, ознакомьтесь с разделом Примечание ниже, чтобы увидеть картинку для первого набора тестовых данных примера.

Входные данные

Первая строка входных данных содержит одно целое число \(t\) (\(1 \le t \le 2 \cdot 10^4\)) — количество наборов тестовых данных. Затем следует \(t\) наборов тестовых данных.

Первая строка набора тестовых данных содержит два целых числа \(n\) и \(k\) (\(1 \le n \le 2 \cdot 10^5\); \(1 \le k \le 10^9\)) — количество точек и длину каждой платформы, соответственно. Вторая строка набора тестовых данных содержит \(n\) целых чисел \(x_1, x_2, \dots, x_n\) (\(1 \le x_i \le 10^9\)), где \(x_i\) — это \(x\)-координата \(i\)-й точки. Третья строка набора тестовых данных содержит \(n\) целых чисел \(y_1, y_2, \dots, y_n\) (\(1 \le y_i \le 10^9\)), где \(y_i\) — это \(y\)-координата \(i\)-й точки. Все точки различны (не существует такой пары \(1 \le i < j \le n\), что \(x_i = x_j\) и \(y_i = y_j\)).

Гарантируется, что сумма \(n\) не превосходит \(2 \cdot 10^5\) (\(\sum n \le 2 \cdot 10^5\)).

Выходные данные

Выведите ответ на каждый набор тестовых данных: максимальное количество точек, которые вы можете сохранить, если вы разместите обе платформы оптимально.

Примечание

Картинка, соответствующая первому набору тестовых данных примера:

Синие точки представляют собой точки из входных данных, красные отрезки — платформы. Одним из возможных способов является размещение первой платформы между точками \((1, -1)\) и \((2, -1)\), а второй платформы — между точками \((4, 3)\) и \((5, 3)\). Векторы обозначают, как будут падать точки. Можно заметить, что единственная точка, которую мы не можем сохранить — это точка \((3, 7)\), поэтому она будет падать бесконечно и в итоге будет потеряна. Можно доказать, что мы не можем добиться лучшего ответа. Также обратите внимание, что точка \((5, 3)\) вообще не падает, потому что она уже находится на платформе.

C. Простота исполнения

Бинарный поиск Перебор реализация дп сортировки *1900

После боя с Шикамару Таюя решила, что ее флейта слишком предсказуемая, и поменяла ее на гитару. У гитары Таюи \(6\) струн и бесконечное количество ладов, пронумерованных с \(1\). Если зажать лад номер \(j\) на \(i\)-й струне, то получится нота \(a_{i} + j\).

Таюя хочет сыграть мелодию из \(n\) нот. Ноты можно сыграть, используя различные комбинации струны и лада. Простота исполнения зависит от разности максимального и минимального номера используемых ладов. Чем эта величина меньше, тем проще исполнить технику. Требуется определить минимальную возможную разность.

Например, если \(a = [1, 1, 2, 2, 3, 3]\), а последовательность нот — \(4, 11, 11, 12, 12, 13, 13\) (что соответствует второму примеру), то можно сыграть первую ноту на первой струне, а все остальные ноты на шестой струне. Тогда максимальный лад будет \(10\), минимальный \(3\), и разница составит \(10 - 3 = 7\), как показано на рисунке.

Входные данные

В первой строке через пробел заданы \(6\) чисел \(a_{1}\), \(a_{2}\), ..., \(a_{6}\) (\(1 \leq a_{i} \leq 10^{9}\)) — описания струн гитары Таюи.

Во второй строке задано число \(n\) (\(1 \leq n \leq 100\,000\)) — количество нот, которое хочет сыграть Таюя.

В следующей строке через пробел заданы \(n\) чисел \(b_{1}\), \(b_{2}\), ..., \(b_{n}\) (\(1 \leq b_{i} \leq 10^{9}\)) — описание нот. Гарантируется, что \(b_i > a_j\) для всех \(1\leq i\leq n\) и \(1\leq j\leq 6\). Иными словами, каждую ноту можно сыграть на любой струне.

Выходные данные

Необходимо вывести минимальную возможную разность номеров используемых ладов.

Примечание

В первом примере оптимальным будет сыграть первую ноту на первой струне, вторую ноту на второй струне, третью ноту на шестой струне, четвертую ноту на четвертой струне, пятую ноту на пятой струне, шестую ноту на третьей струне. Тогда для исполнения каждой ноты будет использоваться лад \(100\), а разница составит \(100 - 100 = 0\).

Во втором примере оптимальным будет, например, сыграть вторую ноту на первой струне, а все остальные ноты на шестой струне. Тогда максимальный лад будет \(10\), минимальный \(3\), и разница составит \(10 - 3 = 7\).

A. k-удивительные числа

Бинарный поиск Структуры данных реализация *1500

Вам дан массив \(a\) из \(n\) целых чисел, пронумерованных от \(1\) до \(n\).

Назовем \(k\)-удивительным числом массива минимальное число, которое встречается во всех подмассивах длины \(k\) (напомним, что подмассивом массива \(a\) длины \(k\) называются \(k\) подряд идущих элементов массива \(a\)). Если для некоторого \(k\) не существует ни одного числа, встречающегося во всех подмассивах длины \(k\), то \(k\)-удивительным числом считается \(-1\).

Для каждого \(k\) от \(1\) до \(n\) найдите \(k\)-удивительное число массива \(a\).

Входные данные

Первая строка теста содержит одно целое число \(t\) (\(1 \le t \le 1000\)) — количество наборов тестовых данных. Затем следуют \(t\) наборов тестовых данных.

Первая строка набора содержит одно целое число \(n\) (\(1 \le n \le 3 \cdot 10^5\)) — длина массива. Вторая строка набора содержит \(n\) целых чисел \(a_1, a_2, \dots, a_n\) (\(1 \le a_i \le n\)) — элементы массива.

Гарантируется, что сумма \(n\) по всем наборам тестовых данных не превосходит \(3 \cdot 10^5\).

Выходные данные

Для каждого набора тестовых данных выведите \(n\) целых чисел, где \(i\)-е число является \(i\)-удивительным числом массива.

E. Разложи

Бинарный поиск Структуры данных дп жадные алгоритмы *3200

В один день BThero решил поиграться с массивами и придумал следующую задачу:

Вам дан массив \(a\), состоящий из \(n\) положительных целых чисел. Массив нумеруется с \(1\) до \(n\). Вы выполняете следующую процедуру ровно один раз:

  • Вы создаете новый массив \(b\), состоящий из \(2n\) положительных целых чисел, где для каждого \(1 \le i \le n\) выполнено условие \(b_{2i-1}+b_{2i} = a_i\). Например, для \(a = [6, 8, 2]\) можно создать \(b = [2, 4, 4, 4, 1, 1]\).
  • Вы склеиваете подряд идущие одинаковые числа в \(b\). Например, \(b = [2, 4, 4, 4, 1, 1]\) станет \(b = [2, 4, 1]\).

Найдите и выведите минимальное возможное значение \(|b|\) (размер массива \(b\)), которое вы можете получить в конце процедуры. Можно показать, что с заданными ограничениями всегда есть хотя бы один способ построить массив \(b\).

Входные данные

В первой строке входного файла задано одно целое число \(T\) (\(1 \le T \le 5 \cdot 10^5\)) — кол-во наборов входных данных. Далее следуют \(T\) наборов входных данных.

Первая строка каждого набора входных данных содержит одно целое число \(n\) (\(1 \le n \le 5 \cdot 10^5\)).

Вторая строка содержит \(n\) целых чисел \(a_1\), \(a_2\), ..., \(a_n\) (\(2 \le a_i \le 10^9\)).

Гарантируется, что \(\sum{n}\) по всем наборам входных данных не превосходит \(5 \cdot 10^5\).

Выходные данные

Для каждого набора входных данных выведите в новой строке одно положительное целое число — минимальное возможное значение \(|b|\).

E. Ожидаемый урон

Бинарный поиск Теория вероятностей Комбинаторика *2400

Вы играете в компьютерную игру. В этой игре вам необходимо сразиться с \(n\) монстрами.

Чтобы защищаться от монстров, вам нужен щит. У каждого щита есть два параметра: текущая прочность \(a\) и уровень защиты \(b\). У каждого монстра есть только один параметр: его сила \(d\).

Если вы сражаетесь с монстром с силой \(d\), используя щит с текущей прочностью \(a\) и уровнем защиты \(b\), возможны три исхода:

  • если \(a = 0\), вы получаете \(d\) урона;
  • если \(a > 0\) и \(d \ge b\), вы не получаете урона, но прочность щита уменьшается на \(1\);
  • если \(a > 0\) и \(d < b\), ничего не происходит.

Сила \(i\)-го монстра равна \(d_i\), и вам придется сразиться со всеми монстрами в случайном порядке (все \(n!\) порядков равновероятны). Вы можете использовать один из \(m\) различных щитов, у \(i\)-го щита прочность изначально равна \(a_i\), а уровень защиты равен \(b_i\). Для каждого щита посчитайте математическое ожидание полученного урона, если вы сразитесь со всеми \(n\) монстрами в случайном порядке, используя этот щит.

Входные данные

В первой строке заданы два целых числа \(n\) и \(m\) (\(1 \le n, m \le 2 \cdot 10^5\)) — количество монстров и количество щитов, соответственно.

Во второй строке заданы \(n\) целых чисел \(d_1\), \(d_2\), ..., \(d_n\) (\(1 \le d_i \le 10^9\)), где \(d_i\) — сила \(i\)-го монстра.

Затем следуют \(m\) строк, в \(i\)-й из которых заданы два целых числа \(a_i\) и \(b_i\) (\(1 \le a_i \le n\); \(1 \le b_i \le 10^9\)) — описание \(i\)-го щита.

Выходные данные

Выведите \(m\) целых чисел, \(i\)-е из которых соответствует математическому ожиданию урона, который вы получите, используя \(i\)-й щит, следующим образом: можно доказать, что для каждого щита ответ — это несократимая дробь \(\dfrac{x}{y}\), где \(y\) и \(998244353\) — взаимно простые числа. Выведите значение \(x \cdot y^{-1} \bmod 998244353\), где \(y^{-1}\) — обратный элемент к \(y\) (\(y \cdot y^{-1} \bmod 998244353 = 1\)).

D1. День рождения Сажи (простая версия)

Бинарный поиск Конструктив *1000 жадные алгоритмы сортировки

Это простая версия задачи. Различие между версиями заключается в том, что в простой версии все \(a_i\) различны. Вы можете делать взломы, только если обе версии задачи сданы.

Сегодня у Сажи день рождения, и она пойдёт в магазин покупать ледяные сферы. Все \(n\) ледяных сфер стоят в магазине в ряд на одной полке и пронумерованы целыми числами от \(1\) до \(n\) слева направо. У каждой ледяной сферы есть цена — положительное целое число. В этой версии задачи цены всех сфер различны.

Ледяная сфера считается дешёвой, если она стоит строго меньше, чем две соседние: ближайшая справа и ближайшая слева. Крайняя слева и крайняя справа ледяные сферы не считаются дешёвыми. Сажа сначала выберет все дешёвые ледяные сферы, а потом купит только их.

Вы можете прийти в магазин до Сажи и переставить ледяные сферы так, как хотите. Узнайте, какое максимальное количество ледяных сфер Сажа может купить, и покажите, как для этого нужно переставить сферы.

Входные данные

В первой строке находится единственное целое число \(n\) \((1 \le n \le 10^5)\) — количество ледяных сфер в магазине.

Во второй строке находится \(n\) различных целых чисел \(a_1, a_2, \dots, a_n\) \((1 \le a_i \le 10^9)\) — цены ледяных сфер.

Выходные данные

В первой строке выведите максимальное количество ледяных сфер, которое может купить Сажа.

Во второй строке выведите цены ледяных сфер в том порядке, в котором их нужно поставить на полку. Если возможных ответов несколько, выведите любой из них.

Примечание

Если расставить сферы, как \((3, 1, 4, 2, 5)\), то Сажа купит сферы за \(1\) и за \(2\), так как они будут дешёвыми. При этом расставить ледяные сферы так, чтобы Сажа купила \(3\) сферы, невозможно.

D2. День рождения Сажи (сложная версия)

Бинарный поиск Перебор Конструктив *1500 жадные алгоритмы сортировки

Это сложная версия задачи. Различие между версиями заключается в том, что в простой версии все \(a_i\) различны. Вы можете делать взломы, только если обе версии задачи сданы.

Сегодня у Сажи день рождения, и она пойдёт в магазин покупать ледяные сферы. Все \(n\) ледяных сфер стоят в магазине в ряд на одной полке и пронумерованы целыми числами от \(1\) до \(n\) слева направо. У каждой ледяной сферы есть цена — положительное целое число. Некоторые сферы могут иметь одинаковую цену.

Ледяная сфера считается дешёвой, если она стоит строго меньше, чем две соседние: ближайшая справа и ближайшая слева. Крайняя слева и крайняя справа ледяные сферы не считаются дешёвыми. Сажа сначала выберет все дешёвые ледяные сферы, а потом купит только их.

Вы можете прийти в магазин до Сажи и переставить ледяные сферы так, как хотите. Узнайте, какое максимальное количество ледяных сфер Сажа может купить, и покажите, как для этого переставить сферы.

Входные данные

В первой строке находится единственное целое число \(n\) \((1 \le n \le 10^5)\) — количество ледяных сфер в магазине.

Во второй строке находится \(n\) целых чисел \(a_1, a_2, \dots, a_n\) \((1 \le a_i \le 10^9)\) — цены ледяных сфер.

Выходные данные

В первой строке выведите максимальное количество ледяных сфер, которое может купить Сажа.

Во второй строке выведите цены ледяных сфер в том порядке, в котором их нужно поставить на полку. Если возможных ответов несколько, выведите любой из них.

Примечание

В тесте из условия невозможно расставить ледяные сферы так, чтобы Сажа купила \(4\) из них. Если расставить сферы в порядке \((3, 1, 4, 2, 4, 2, 5)\), то Сажа купит одну сферу за \(1\) и две сферы по \(2\).

F. Огненный ливень

Бинарный поиск Структуры данных реализация *2800 поиск в глубину и подобное графы снм

На плоскости есть \(n\) отрядов, пронумерованных от \(1\) до \(n\), \(i\)-й отряд находится в точке с целочисленными координатами \((x_i, y_i)\). Все отряды находятся в различных точках.

Бримстоун должен посетить каждый отряд как минимум один раз. Вы можете выбрать, с каким отрядом в одной точке изначально находится Бримстоун.

Чтобы перейти от одного отряда к другому, Бримстоун выбирает одно из четырех направлений движения (вверх, вниз, вправо или влево) и двигается в этом направлении с постоянной скоростью — один единичный отрезок в секунду — до тех пор, пока не придёт к какому-либо отряду. Как только он приходит к какому-либо отряду, он может повторить этот процесс.

Каждые \(t\) секунд происходит огненный ливень, и в эти моменты Бримстоун должен находиться в одной точке с любым своим отрядом. Он может сколько угодно времени стоять на месте в одной точке с любым отрядом.

Бримстоун хороший командир, поэтому до начала обхода он может собрать не более одного нового отряда и поставить его в любую точку плоскости с целочисленными координатами, в которой не стоит ни один отряд. Обратите внимание, что он также должен будет посетить новый отряд хотя бы один раз.

Помогите Бримстоуну, найдите минимальное целое положительное \(t\) такое, что обход можно произвести, добавив не более одного отряда. Если такого \(t\) не существует, вы должны сообщить об этом.

Входные данные

В первой строке находится единственное целое число \(n\) \((2 \le n \le 1000)\) — изначальное количество отрядов.

В каждой из следующих \(n\) строк содержатся два целых числа \(x_i\), \(y_i\) \((|x_i|, |y_i| \le 10^9)\) — координаты \(i\)-го отряда.

Гарантируется, что все точки различны.

Выходные данные

Выведите единственное целое число — минимальное время \(t\), такое что обход всех отрядов можно произвести, добавив не более одного нового отряда.

Если ни одного такого \(t\) не существует, выведите \(-1\).

Примечание

В первом примере из условия можно добавить отряд в точку \((0, 0)\), после чего все отряды можно будет обойти при \(t = 100\). Можно доказать, что при \(t < 100\), даже добавив не более одного нового отряда, не получится сделать обход, поэтому ответ \(100\).

Во втором тесте из условия нельзя посетить все отряды ни при каком \(t\), даже при добавлении не более одного нового отряда, поэтому ответ \(-1\).

В третьем тесте можно добавить отряд в точку \((1, 0)\), и тогда все отряды можно будет обойти при \(t = 2\). Можно доказать, что это минимальное такое \(t\).

В четвертом тесте не нужно добавлять новый отряд и можно обойти все отряды при \(t = 2\). Можно доказать, что это минимальное такое \(t\).

B. Valuable Paper

Бинарный поиск Потоки Паросочетания *1900 графы

The pandemic is upon us, and the world is in shortage of the most important resource: toilet paper. As one of the best prepared nations for this crisis, BubbleLand promised to help all other world nations with this valuable resource. To do that, the country will send airplanes to other countries carrying toilet paper.

In BubbleLand, there are \(N\) toilet paper factories, and \(N\) airports. Because of how much it takes to build a road, and of course legal issues, every factory must send paper to only one airport, and every airport can only take toilet paper from one factory.

Also, a road can't be built between all airport-factory pairs, again because of legal issues. Every possible road has number \(d\) given, number of days it takes to build that road.

Your job is to choose \(N\) factory-airport pairs, such that if the country starts building all roads at the same time, it takes the least amount of days to complete them.

Input

The first line contains two integers \(N\) \((1 \leq N \leq 10^4)\) - number of airports/factories, and \(M\) \((1 \leq M \leq 10^5)\) - number of available pairs to build a road between.

On next \(M\) lines, there are three integers \(u\), \(v\) \((1 \leq u,v \leq N)\), \(d\) \((1 \leq d \leq 10^9)\) - meaning that you can build a road between airport \(u\) and factory \(v\) for \(d\) days.

Output

If there are no solutions, output -1. If there exists a solution, output the minimal number of days to complete all roads, equal to maximal \(d\) among all chosen roads.

K. Lonely Numbers

Бинарный поиск математика *1600 теория чисел

In number world, two different numbers are friends if they have a lot in common, but also each one has unique perks.

More precisely, two different numbers \(a\) and \(b\) are friends if \(gcd(a,b)\), \(\frac{a}{gcd(a,b)}\), \(\frac{b}{gcd(a,b)}\) can form sides of a triangle.

Three numbers \(a\), \(b\) and \(c\) can form sides of a triangle if \(a + b > c\), \(b + c > a\) and \(c + a > b\).

In a group of numbers, a number is lonely if it doesn't have any friends in that group.

Given a group of numbers containing all numbers from \(1, 2, 3, ..., n\), how many numbers in that group are lonely?

Input

The first line contains a single integer \(t\) \((1 \leq t \leq 10^6)\) - number of test cases.

On next line there are \(t\) numbers, \(n_i\) \((1 \leq n_i \leq 10^6)\) - meaning that in case \(i\) you should solve for numbers \(1, 2, 3, ..., n_i\).

Output

For each test case, print the answer on separate lines: number of lonely numbers in group \(1, 2, 3, ..., n_i\).

Note

For first test case, \(1\) is the only number and therefore lonely.

For second test case where \(n=5\), numbers \(1\), \(3\) and \(5\) are lonely.

For third test case where \(n=10\), numbers \(1\), \(5\) and \(7\) are lonely.

C. Увеличение и копирование

Бинарный поиск Конструктив математика *1100

Изначально вам дан массив \(a\), состоящий из одного элемента \(1\) (\(a = [1]\)).

За один ход вы можете совершить одно из следующих действий:

  • Увеличить какой-то (единственный) элемент \(a\) на \(1\) (выбрать какое-то \(i\) от \(1\) до текущей длины \(a\) и увеличить \(a_i\) на единицу);
  • Дописать копию какого-то (единственного) элемента \(a\) в конец массива (выбрать какое-то \(i\) от \(1\) до текущей длины \(a\) и добавить \(a_i\) в конец массива).

Например, рассмотрим последовательность из пяти ходов:

  1. Вы берете первый элемент \(a_1\), дописываете его копию в конец массива и получаете \(a = [1, 1]\).
  2. Вы берете первый элемент \(a_1\), увеличиваете его на \(1\) и получаете \(a = [2, 1]\).
  3. Вы берете второй элемент \(a_2\), дописываете его копию в конец массива и получаете \(a = [2, 1, 1]\).
  4. Вы берете первый элемент \(a_1\), дописываете его копию в конец массива и получаете \(a = [2, 1, 1, 2]\).
  5. Вы берете четвертый элемент \(a_4\), увеличиваете его на \(1\) и получаете \(a = [2, 1, 1, 3]\).

Ваша задача — найти минимальное количество ходов, необходимое для того, чтобы получить массив с суммой хотя бы \(n\).

Вам необходимо ответить на \(t\) независимых наборов тестовых данных.

Входные данные

Первая строка входных данных содержит одно целое число \(t\) (\(1 \le t \le 1000\)) — количество наборов тестовых данных. Затем следуют \(t\) наборов тестовых данных.

Единственная строка набора тестовых данных содержит одно целое число \(n\) (\(1 \le n \le 10^9\)) — нижняя граница на сумму массива.

Выходные данные

Выведите ответ на каждый набор тестовых данных: минимальное количество ходов, необходимое для того, чтобы получить массив с суммой хотя бы \(n\).

H. Побег из тюрьмы

Бинарный поиск Тернарный поиск геометрия игры *3500

Заключенный хочет сбежать из тюрьмы. Тюрьма является внутренней частью выпуклого многоугольника с вершинами \(P_1, P_2, P_3, \ldots, P_{n+1}, P_{n+2}, P_{n+3}\). Известно, что \(P_1=(0,0)\), \(P_{n+1}=(0, h)\), \(P_{n+2}=(-10^{18}, h)\) и \(P_{n+3}=(-10^{18}, 0)\).

Стены тюрьмы \(P_{n+1}P_{n+2}\), \(P_{n+2}P_{n+3}\) и \(P_{n+3}P_1\) очень высокие, и заключенный не может на них взобраться. Следовательно, его единственный шанс  — это достичь точки на одной из стен \(P_1P_2, P_2P_3,\dots, P_{n}P_{n+1}\) и сбежать оттуда. По периметру тюрьмы находятся два охранника. Заключенный движется со скоростью \(1\), в то время как охранники движутся, всегда оставаясь на периметре тюрьмы, со скоростью \(v\).

Если заключенный достигает точки на периметре, где есть охранник, охранник убивает заключенного. Если заключенный достигает точки, на которую он может взобраться, и там нет охранника, то он сразу же убегает. Изначально заключенный находится в точке \((-10^{17}, h/2)\), а охранники  — в точке \(P_1\).

Найдите минимальную скорость \(v\) такую, чтобы охранники могли гарантировать, что заключенный не сбежит (при условии, что и заключенный, и охранники будут двигаться оптимально).

Замечания:

  • В любой момент охрана и заключенный могут видеть друг друга.
  • Залезание на стену не занимает времени.
  • Вы можете считать, что и заключенный, и охранники могут изменить направление и скорость мгновенно и что они оба имеют идеальные рефлексы (так что они могут мгновенно реагировать на то, что делает другой).
  • Оба охранника могут заранее спланировать, как реагировать на передвижения заключенного.
Входные данные

Первая строка ввода содержит \(n\) (\(1 \le n \le 50\)).

Следующие \(n+1\) строк описывают точки \(P_1, P_2,\dots, P_{n+1}\). В \(i\)-й из этих строк находятся два целых числа \(x_i\), \(y_i\) (\(0\le x_i, y_i\le 1,000\))  — координаты \(P_i=(x_i, y_i)\).

Гарантируется, что \(P_1=(0,0)\) и \(x_{n+1}=0\). Гарантируется, что многоульник с вершинами \(P_1,P_2,\dots, P_{n+1}, P_{n+2}, P_{n+3}\) (где \(P_{n+2}, P_{n+3}\) построены так, как в условии) является выпуклым, и что никакие 3 его вершины не лежат на одной прямой.

Выходные данные

Выведите одно действительное число  — минимальную скорость \(v\), которая позволяет охранникам гарантировать, что заключенный не сбежит. Ваш ответ будет считаться правильным, если его относительная или абсолютная погрешность не превысит \(10^{-6}\).

E. Морковка для кроликов

Бинарный поиск Структуры данных математика жадные алгоритмы сортировки *2200

В зоопарке Сингапура есть несколько кроликов. Чтобы накормить их, смотритель зоопарка купил \(n\) морковок, имеющих длины \(a_1, a_2, a_3, \ldots, a_n\). Кролики очень быстро размножаются. У смотрителя зоопарка сейчас есть \(k\) кроликов и недостаточно морковок, чтобы прокормить их всех. Чтобы решить эту проблему, он решил разрезать морковки так, чтобы суммарно получилось \(k\) кусков. По некоторой причине длины всех получившихся морковок должны быть положительными целыми числами.

Кролику очень сложно кушать длинную морковку, поэтому время, которое требуется, чтобы съесть морковку длины \(x\), равно \(x^2\).

Помогите смотрителю зоопарка разделить его морковки и найдите минимальное суммарное время, которое потребуется кроликам, чтобы их съесть.

Входные данные

В первой строке находятся два целых числа \(n\) и \(k\) \((1 \leq n \leq k \leq 10^5)\): изначальное количество морковок и количество кроликов.

В следующей строке находятся \(n\) целых чисел \(a_1, a_2, \ldots, a_n\) \((1 \leq a_i \leq 10^6)\): длины морковок.

Гарантируется, что сумма \(a_i\) не меньше \(k\).

Выходные данные

Выведите одно целое число: минимальное суммарное время, которое потребуется кроликам, чтобы съесть морковки при каком-то их разделении.

Примечание

Для первого теста оптимальные размеры морковок это \(\{1,1,1,2,2,2\}\). Время, которое потребуется, чтобы съесть эти морковки, равно \(1^2+1^2+1^2+2^2+2^2+2^2=15\).

Для второго теста оптимальные размеры морковок это \(\{4,5,5,5\}\). Время, которое потребуется, чтобы съесть эти морковки, равно \(4^2+5^2+5^2+5^2=91\).

F. Фруктовые последовательности

Бинарный поиск Структуры данных дп *2400 разделяй и властвуй

Смотритель зоопарка покупает коробку фруктов чтобы накормить своего любимца кролика. Фрукты в коробке — это последовательность яблок и апельсинов, которая представляется бинарной строкой \(s_1s_2\ldots s_n\) длины \(n\). В ней \(1\) обозначает яблоко, а \(0\) обозначает апельсин.

Поскольку у кролика аллергия на апельсины, смотритель зоопарка хочет найти наидлиннейшую подряд идующую подпоследовательность яблок. Пусть \(f(l,r)\) — это наибольшая длина подряд идущей подпоследовательности яблок в подстроке \(s_{l}s_{l+1}\ldots s_{r}\).

Помогите смотрителю зоопарка найти \(\sum_{l=1}^{n} \sum_{r=l}^{n} f(l,r)\). Другими словами, найдите сумму \(f\) по всем подстрокам.

Входные данные

В первой строке находится единственное целое число \(n\) \((1 \leq n \leq 5 \cdot 10^5)\).

В следующей строке находится бинарная строка \(s\) длины \(n\) \((s_i \in \{0,1\})\).

Выходные данные

Выведите единственное целое число: \(\sum_{l=1}^{n} \sum_{r=l}^{n} f(l,r)\).

Примечание

В первом тесте всего есть десять подстрок. Список этих подстрок (мы обозначаем \([l,r]\) как подстроку \(s_l s_{l+1} \ldots s_r\)):

  • \([1,1]\): 0
  • \([1,2]\): 01
  • \([1,3]\): 011
  • \([1,4]\): 0110
  • \([2,2]\): 1
  • \([2,3]\): 11
  • \([2,4]\): 110
  • \([3,3]\): 1
  • \([3,4]\): 10
  • \([4,4]\): 0

Длины наибольших подряд идущих подпоследовательностей из единиц в этих подстроках \(0,1,2,2,1,2,2,1,1,0\) соответственно. Поэтому ответ \(0+1+2+2+1+2+2+1+1+0 = 12\).

H. Поворотный лазерный замок

Бинарный поиск интерактив *3500

Это интерактивная задача.

Чтобы помешать озорным кроликам свободно бродить по зоопарку, смотритель зоопарка установил специальный замок для кроличьего вольера. Этот замок называется поворотным лазерным замком.

Замок состоит из \(n\) концентрических колец, пронумерованных от \(0\) до \(n-1\). Внутреннее кольцо имеет номер \(0\), а самое дальнее кольцо имеет номер \(n-1\). Все кольца разделены на \(nm\) одинаковых секций каждая. Каждое из этих колец содержит одну металлическую дугу, которая покрывает ровно \(m\) последовательных секций. В центре кольца находится ядро, а вокруг всего замка расположено \(nm\) сенсоров, выровненных по границам \(nm\) секций.

Ядро содержит \(nm\) лазеров, которые светят из центра, по одному внутри каждой секции. Лазеры могут быть заблокированы одной из дуг. У замка есть дисплей, который показывает количество сенсоров, в которые попал лазер.

В приведенном примере есть \(n=3\) кольца, каждое покрывает \(m=4\) секции. Дуги покрашены в зеленый (в кольце \(0\)), фиолетовый (в кольце \(1\)) и голубой (в кольце \(2\)). Лучи лазеров изображены красным. Всего есть \(nm=12\) секций, и \(3\) лазера не заблокированы ни одной дугой, поэтому дисплей будет показывать число \(3\) в этом случае.

Кролик пытается открыть замок, чтобы освободить всех кроликов, но замок абсолютно непрозрачен, поэтому он не видит положений дуг замка. Имея относительные позиции дуг, кролик сможет открыть замок сам.

Формально, кролику нужна последовательность из \(n-1\) целого числа \(p_1,p_2,\ldots,p_{n-1}\), удовлетворяющая \(0 \leq p_i < nm\) такая, что для всех \(i\) \((1 \leq i < n)\) кролик может повернуть кольцо \(0\) по часовой стрелке ровно \(p_i\) раз так, что множество секций, которое будет покрывать кольцо \(0\), совпадает с множеством секций, которое будет покрывать кольцо \(i\). В приведенном выше примере относительные позиции \(p_1 = 1\) и \(p_2 = 7\).

Чтобы открыть замок он может взять одно из \(n\) колец и повернуть его на \(1\) секцию либо по часовой стрелке, либо против часовой стрелки. После каждого поворота вы будете видеть число, изображенное на дисплее.

Поскольку у него маленькие лапки, кролик попросил вас помочь ему найти относительные позиции дуг после всех поворотов, которые вы сделаете. Вы можете сделать не больше \(15000\) поворотов перед тем, как у кролика кончится терпение.

Входные данные

В первой строке находятся два целых числа \(n\) и \(m\) \((2 \leq n \leq 100, 2 \leq m \leq 20)\): количество колец и количество секций, которое покрывает каждая дуга.

Протокол взаимодействия

Чтобы сделать поворот, выведите в единственной строке «? x d», где \(x\) \((0 \leq x < n)\) это номер кольца, которое вы хотите повернуть, а \(d\) \((d \in \{-1,1\})\) — это направление, в котором вы хотите его повернуть. \(d=1\) обозначает поворот на \(1\) секцию по часовой стрелке, \(d=-1\) обозначает поворот на \(1\) секцию против часовой стрелки.

Для каждого запроса в ответ вы получите единственное целое число \(a\): количество лазеров, которые не заблокированы ни одной из дуг после поворота, который был сделан.

Когда вы определили относительные позиции дуг, выведите «!» и затем \(n-1\) целое число \(p_1, p_2, \ldots, p_{n-1}\).

Обратите внимание, что позиции дуг зафиксированы заранее для каждого теста и не будут меняться в процессе взаимодействия.

После вывода запроса не забывайте сделать перевод строки и очистить буфер выходного потока. Иначе ваша программа получит вердикт Idleness limit exceeded.

Чтобы это сделать, используйте:

  • fflush(stdout) или cout.flush() в C++;
  • System.out.flush() в Java;
  • flush(output) в Pascal;
  • stdout.flush() в Python;
  • Обратитесь к документации для других языков.

Взломы:

Чтобы сделать взлом, используйте следующий формат:

В первой строке находятся два целых числа \(n\) и \(m\).

Следующая строка должна содержать \(n-1\) целое число \(p_1,p_2,\ldots,p_{n-1}\): относительные позиции колец \(1,2,\ldots,n-1\).

Примечание

Первый тест соответствует картинке из условия задачи.

После первого поворота (который заключается в повороте кольца \(0\) по часовой стрелке на \(1\) секцию) мы получим следующую конфигурацию:

После второго поворота (который заключается в повороте кольца \(2\) против часовой стрелки на \(1\) секцию) мы получим следующую конфигурацию:

После третьего поворота (который заключается в повороте кольца \(1\) по часовой стрелке на \(1\) секцию) мы получим следующую конфигурацию:

Если мы повернем кольцо \(0\) по часовой стрелке один раз, мы увидим, что множество секций, которое покрывает кольцо \(0\), совпадает с множеством секций, которое покрывает кольцо \(1\), поэтому \(p_1=1\).

Если мы повернем кольцо \(0\) по часовой стрелке пять раз, мы увидим, что множество секций, которое покрывает кольцо \(0\), совпадает с множеством секций, которое покрывает кольцо \(2\), поэтому \(p_2=5\).

Обратите внимание, что если бы мы сделали другой набор поворотов, ответом могли бы быть другие значения \(p_1\) и \(p_2\).

D. Удаление строки

Бинарный поиск Структуры данных жадные алгоритмы *1700

Вам дана строка \(s\), состоящая из \(n\) символов. Каждый символ — либо 0, либо 1.

Вы можете проводить операции со строкой. Каждая операция состоит из двух шагов:

  1. выбрать целое число \(i\) от \(1\) до длины строки \(s\), после чего удалить символ \(s_i\) (длина строки уменьшается на \(1\), номера символов правее удаленного тоже уменьшаются на \(1\));
  2. если строка \(s\) не является пустой, удалить максимальный по длине префикс, состоящий из одинаковых символов (номера остальных символов и длина строки уменьшаются на длину удаленного префикса).

Обратите внимание, что в каждой операции оба шага обязательны, и их порядок нельзя менять.

Например, если у вас есть строка \(s =\) 111010, первая операция может быть одной из следующих:

  1. выбрать \(i = 1\): тогда мы получим 111010 \(\rightarrow\) 11010 \(\rightarrow\) 010;
  2. выбрать \(i = 2\): тогда мы получим 111010 \(\rightarrow\) 11010 \(\rightarrow\) 010;
  3. выбрать \(i = 3\): тогда мы получим 111010 \(\rightarrow\) 11010 \(\rightarrow\) 010;
  4. выбрать \(i = 4\): тогда мы получим 111010 \(\rightarrow\) 11110 \(\rightarrow\) 0;
  5. выбрать \(i = 5\): тогда мы получим 111010 \(\rightarrow\) 11100 \(\rightarrow\) 00;
  6. выбрать \(i = 6\): тогда мы получим 111010 \(\rightarrow\) 11101 \(\rightarrow\) 01.

Вы заканчиваете проводить операции, когда строка \(s\) становится пустой. Какое максимальное количество операций вы можете провести?

Входные данные

В первой строке задано одно целое число \(t\) (\(1 \le t \le 1000\)) — количество наборов входных данных.

В первой строке каждого набора задано одно целое число \(n\) (\(1 \le n \le 2 \cdot 10^5\)) — длина строки \(s\).

Во второй строке задана \(s\) — строка из \(n\) символов. Каждый символ — либо 0, либо 1.

Гарантируется, что сумма \(n\) по всем наборам входных данных не превосходит \(2 \cdot 10^5\).

Выходные данные

Для каждого набора входных данных, выведите одно целое число — максимальное количество операций, которые вы можете провести.

Примечание

В первом наборе входных данных, мы можем, например, выбрать \(i = 2\) и получить строку 010 после первой операции. После этого, выбрать \(i = 3\) и получить строку 1. Наконец, мы можем выбрать только \(i = 1\) и получить пустую строку.

F. Задача про нейронную сеть

Бинарный поиск *2100 *особая задача жадные алгоритмы

Вы хотите натренировать модель нейронной сети для вашей выпускной работы. В датасете находятся \(n\) изображений, размер \(i\)-го изображения равен \(a_i\) байт.

В вашем распоряжении нет мощных удаленных серверов для того, чтобы натренировать модель, поэтому вам необходимо сделать это на вашем собственном компьютере. Но есть небольшая проблема: общий размер датасета слишком большой для вашего компьютера, поэтому вы решили удалить некоторые изображения... С другой стороны, вы не хотите делать датасет слишком некачественным, поэтому вы можете удалить из него не более чем \(k\) изображений. Заметьте, что вы можете только удалять изображения, вы не можете менять их порядок.

Вы хотите удалить эти изображения оптимальным образом, поэтому вы придумали метрику (вы же все-таки data scientist), которая позволяет оценить результат удалений. Рассмотрим массив \(b_1, b_2, \ldots, b_m\) после удаления не более \(k\) изображений (\(n - k \le m \le n\)). Данные из этого массива будут загружены в компьютер блоками по \(x\) последовательных элементов каждый. Более точно:

  • элементы с индексами от \(1\) до \(x\) (\(b_1, b_2, \ldots, b_x\)) принадлежат первому блоку;
  • элементы с индексами от \(x + 1\) до \(2x\) (\(b_{x + 1}, b_{x + 2}, \ldots, b_{2x}\)) принадлежат второму блоку;
  • элементы с индексами от \(2x + 1\) до \(3x\) (\(b_{2x + 1}, b_{2x + 2}, \ldots, b_{3x}\)) принадлежат третьему блоку;
  • и так далее.

Всего блоков будет \(cnt = \left\lceil\frac{m}{x}\right\rceil\). Заметьте, что если \(m\) не делится на \(x\), то последний блок содержит меньше \(x\) элементов, и это нормально.

Пусть \(w(i)\) равно общему размеру \(i\)-го блока, то есть сумме размеров изображений внутри этого блока. Например, размер первого блока \(w(1)\) равен \(b_1 + b_2 + \ldots + b_x\), размер второго блока \(w(2)\) равен \(b_{x + 1} + b_{x + 2} + \ldots + b_{2x}\).

Значением метрики, которую вы придумали, является максимальный размер блока по всем блокам результирующего датасета. Другими словами, значение метрики равно \(\max\limits_{i=1}^{cnt} w(i)\).

Вы не хотите слишком перегружать ваш компьютер, поэтому вы хотите удалить не более \(k\) изображений таким образом, чтобы минимизировать значение метрики, описанной выше.

Входные данные

Первая строка входных данных содержит три целых числа \(n\), \(k\) и \(x\) (\(1 \le n \le 10^5\); \(1 \le k, x \le n\)) — количество изображений в датасете, максимальное количество изображений, которые вы можете удалить и длину каждого блока (может быть, за исключением последнего), соответственно.

Вторая строка входных данных содержит \(n\) целых чисел \(a_1, a_2, \ldots, a_n\) (\(1 \le a_i \le 10^5\)), где \(a_i\) равно размеру \(i\)-го изображения.

Выходные данные

Выведите одно число: минимальное значение метрики, описанной в условии задачи, которое возможно получить после удаления не более \(k\) изображений из датасета.

Примечание

В первом тестовом примере вы можете удалить весь массив, поэтому ответ равен \(0\).

Во втором тестовом примере вы можете удалить первый и последний элементы \(a\) и получить \(b = [1, 5, 5]\). Размер первого (и единственного) блока равен \(11\). Таким образом, ответ равен \(11\).

В третьем тестовом примере вы можете удалить второй элемент \(a\) и получить \(b = [3, 1, 3, 1, 2]\). Размер первого блока равен \(8\), а размер второго блока равен \(2\). Таким образом, ответ равен \(8\).

В четвертом тестовом примере вы можете оставить массив \(a\) без изменений и получить \(b = [2, 2, 1, 2, 2, 1]\). Размер первого блока равен \(5\), как и размер второго. Таким образом, ответ равен \(5\).

C. Бинарный поиск

Бинарный поиск Комбинаторика *1500

За свою долгую карьеру Андрей завоевал довольно много наград по программированию. Он считал себя действительно успешным программистом, но, к сожалению, он ничего не знал про алгоритм бинарного поиска. Прочитав уйму литературы, Андрей понял, что этот алгоритм позволяет довольно быстро найти в массиве некоторое число \(x\). Для некоторого массива \(a\), который нумеруются с нуля, и числа \(x\) псевдокод алгоритма выглядит следующим образом:

Обратите внимание, что в описанном выше алгоритме массив нумеруется с нуля, а деление является целочисленным (с округлением вниз).

В книге, которую читал Андрей, было написано, что для корректной работы алгоритма массив обязательно должен быть отсортированным. Андрей не понял причину этого, ведь существуют неотсортированные массивы, для которых данный алгоритм найдёт число \(x\).

Перед тем, как написать официальное письмо авторам книги, Андрею нужно проанализировать количество перестановок длины \(n\), для которых данный алгоритм найдёт число \(x\). Перестановкой длины \(n\) является массив, состоящий из \(n\) различных целых чисел от \(1\) до \(n\) в произвольном порядке.

Помогите Андрею и выведите количество перестановок длины \(n\), в которых число \(x\) находится на позиции \(pos\) и для которых алгоритм бинарного поиска найдёт число \(x\) (вернёт true). Так как данное число может быть слишком большим, выведите остаток от деления этого числа на \(10^9+7\).

Входные данные

Первая строка ввода содержит три целых числа \(n\) и \(x\) и \(pos\) (\(1 \le x \le n \le 1000\), \(0 \le pos \le n - 1\)) — требуемая длина перестановки, число для поиска и позиция для этого числа соответственно.

Выходные данные

Выведите единственное целое число — остаток от деления количества подходящих перестановок на \(10^9+7\).

Примечание

Все подходящие перестановки в первом тестовом примере: \((2, 3, 1, 4)\), \((2, 4, 1, 3)\), \((3, 2, 1, 4)\), \((3, 4, 1, 2)\), \((4, 2, 1, 3)\), \((4, 3, 1, 2)\).

D. Бандиты в городе

Бинарный поиск Деревья поиск в глубину и подобное жадные алгоритмы *1900 графы

Все в том же городе, где люди гуляли по улице, завелись бандиты! Один из таких, одетый в черную маску, задался целью поймать как можно больше мирных граждан.

Город состоит из \(n\) площадей, которые соединяют \(n-1\) дорог так, что от каждой площади обычно можно добраться до другой ровно одним способом. Площадь под номером \(1\) является главной площадью города.

Во время воскресной прогулки дороги между площадями в городе были изменены на односторонние таким образом, что теперь можно добраться от главной площади до любой другой.

Бандит высадился из автомобиля на главной площади города в тот момент, когда на \(i\)-й площади было \(a_i\) горожан. Далее происходит следующий процесс. Сначала каждый мирный горожанин, находящийся на площади, из которой выходит хотя бы одна односторонняя дорога, выбирает одну из таких дорог и перемещается по ней. Затем бандит выбирает одну из дорог, выходящих из площади, на которой он сейчас находится, и перемещается по ней. После этого процесс повторяется до тех пор, пока бандит не окажется на площади, из которой не выходит ни одной дороги. Бандит ловит всех граждан, оказавшихся на этой площади.

Бандит хочет задержать как можно больше горожан, а горожане не хотят быть пойманными, то есть хотят минимизировать количество задержанных. При этом бандит и горожане знают о расположении горожан на всех площадях в любой момент времени, а все горожане действуют сообща. Если каждая из сторон действует оптимально, то сколько горожан задержит бандит?

Входные данные

В первой строке входного файла содержится одно целое число \(n\) — количество площадей в городе (\(2 \le n \le 2\cdot10^5\)).

Во второй строке входного файла содержатся \(n-1\) целых чисел \(p_2, p_3 \dots p_n\) — означающие, что существует дорога из площади \(p_i\) в \(i\) (\(1 \le p_i < i\)).

В третьей строке содержатся \(n\) целых чисел \(a_1, a_2, \dots, a_n\) — количество горожан на каждой площади изначально (\(0 \le a_i \le 10^9\)).

Выходные данные

Выведите одно целое число — количество горожан, которые задержит бандит при оптимальных действиях обеих сторон.

Примечание

В первом примере горожане на площади \(1\) могут разделиться на две группы \(2 + 1\), тогда на второй и третьей площади окажется по \(3\) человека.

Во втором примере независимо от действий граждан бандит сможет поймать хотя бы \(4\) человека.

E. Сложные вычисления

Бинарный поиск Структуры данных *2400

В этой задаче MEX некоторого массива — это минимальное натуральное число, которое не содержится в этом массиве.

Это определение слышал каждый, и Лёша — не исключение. Но Лёша очень любит MEX, поэтому постоянно придумывает с ним новую задачу. Сегодняшний день не стал исключением, и Лёша придумал следующую задачу.

Дан массив \(a\) длины \(n\). Лёша рассматривает все непустые подмассивы исходного массива и вычисляет MEX для каждого из них. Далее Лёша вычисляет MEX получившихся чисел.

Массив \(b\) является подмассивом \(a\), если \(b\) может быть получен из \(a\) удалением нескольких (возможно, ни одного или всех) элементов с начала и/или нескольких (возможно, ни одного или всех) элементов с конца. В частности, массив является своим подмассивом.

Лёша понял, что придумал очень интересную задачу, которую, к сожалению, он не умеет решать. Помогите ему и посчитайте MEX MEXов всех подмассивов!

Входные данные

Первая строка ввода содержит единственное целое число \(n\) (\(1 \le n \le 10^5\)) — длину массива.

Следующая строка содержит \(n\) целых чисел \(a_1, a_2, \ldots, a_n\) (\(1 \le a_i \le n\)) — элементы массива.

Выходные данные

Выведите единственное целое число — MEX MEXов всех подмассивов.

E. Сделай возрастающим

Бинарный поиск Структуры данных Конструктив реализация дп *2200

Задан массив из \(n\) целых чисел \(a_1\), \(a_2\), ..., \(a_n\) и набор \(b\) из \(k\) различных целых чисел от \(1\) до \(n\).

За одну операцию вы можете выбрать два целых числа \(i\) и \(x\) (\(1 \le i \le n\), \(x\) может быть любым целым числом) и присвоить \(a_i := x\). Эта операция может быть выполнена только в том случае, если \(i\) не принадлежит множеству \(b\).

Найдите минимальное количество операций, которые необходимо выполнить, чтобы массив \(a\) строго возрастал (то есть \(a_1 < a_2 < a_3 < \dots < a_n\)), или сообщите, что это невозможно.

Входные данные

Первая строка содержит два целых числа \(n\) и \(k\) (\(1 \le n \le 5 \cdot 10^5\), \(0 \le k \le n\)) — размер массива \(a\) и множества \(b\) соответственно.

Вторая строка содержит \(n\) целых чисел \(a_1\), \(a_2\), ..., \(a_n\) (\(1 \le a_i \le 10^9\)).

Затем, если \(k \ne 0\), следует третья строка, содержащая \(k\) целых чисел \(b_1\), \(b_2\), ..., \(b_k\) (\(1 \le b_1 < b_2 < \dots < b_k \le n\)). Если \(k = 0\), то эта строка отсутствует.

Выходные данные

Если невозможно сделать массив \(a\) строго возрастающим с помощью заданных операций, выведите \(-1\).

В противном случае выведите одно целое число — минимальное количество операций, которые необходимо выполнить.

E. Юра может все

Бинарный поиск Перебор Конструктив разделяй и властвуй битмаски *2500

Юра уверен, что он может все. Но сможет ли он решить эту задачу?

У него есть массив \(a\), состоящий из \(n\) положительных целых чисел. Назовем подмассив \(a[l...r]\) хорошим, если одновременно соблюдены следующие условия:

  • \(l+1 \leq r-1\), т. е. подмассив имеет длину не менее \(3\);
  • \((a_l \oplus a_r) = (a_{l+1}+a_{l+2}+\ldots+a_{r-2}+a_{r-1})\), где \(\oplus\) обозначает операцию побитового исключающего ИЛИ.

Другими словами, подмассив хороший, если побитовое исключающее ИЛИ (XOR) элементов в его концах равен сумме остальных элементов.

Юрий хочет посчитать общее количество хороших подмассивов. Чему оно равно?

Массив \(c\) является подмассивом массива \(d\), если \(c\) может быть получен из \(d\) удалением нескольких (возможно, ни одного или всех) элементов из начала и нескольких (возможно, ни одного или всех) элементов из конца.

Входные данные

Первая строка содержит одно целое \(n\) (\(3 \leq n \leq 2\cdot 10^5\)) — длину \(a\).

Вторая строка содержит \(n\) целых чисел \(a_1,a_2,\ldots,a_n\) (\(1 \leq a_i \lt 2^{30}\)) — элементы \(a\).

Выходные данные

Выведите единственное целое число — количество хороших подмассивов.

Примечание

В примере есть \(6\) хороших подмассивов:

  • \([3,1,2]\) (дважды), потому что \((3 \oplus 2) = 1\);
  • \([1,2,3]\) (дважды) потому что \((1 \oplus 3) = 2\);
  • \([2,3,1]\), потому что \((2 \oplus 1) = 3\);
  • \([3,1,2,3,1,2,3,15]\), потому что \((3 \oplus 15) = (1+2+3+1+2+3)\).

C. Жадный шоппинг

Бинарный поиск Структуры данных реализация *2600 жадные алгоритмы разделяй и властвуй

Вам дан массив \(a_1, a_2, \ldots, a_n\) из целых чисел. Этот массив невозрастающий.

Рассмотрим \(n\) магазинов, расположенных в ряд. Магазины пронумерованы целыми числами от \(1\) до \(n\) слева направо. Цена еды в \(i\)-м магазине равна \(a_i\) монет.

Вы должны обработать \(q\) запросов двух видов:

  • 1 x y: для всех магазинов \(1 \leq i \leq x\) присвоить \(a_{i} = max(a_{i}, y)\).
  • 2 x y: рассмотрим голодного мужчину с \(y\) монетами. Он посещает все магазины с \(x\)-го магазина по \(n\)-й, и если он может купить еду в текущем магазине, он покупает одну порцию этой еды. Найдите, какое количество порций еды он купит. Мужчина может покупать еду в магазине \(i\), если у него есть хотя бы \(a_i\) монет. После покупки количество его монет уменьшается на \(a_i\).
Входные данные

В первой строке находится два целых числа \(n\), \(q\) (\(1 \leq n, q \leq 2 \cdot 10^5\)).

Во второй строке находится \(n\) целых чисел \(a_{1},a_{2}, \ldots, a_{n}\) \((1 \leq a_{i} \leq 10^9)\) — цены в магазинах. Гарантируется, что \(a_1 \geq a_2 \geq \ldots \geq a_n\).

Каждая из следующих \(q\) строк содержит три целых числа \(t\), \(x\), \(y\) (\(1 \leq t \leq 2\), \(1\leq x \leq n\), \(1 \leq y \leq 10^9\)), описывающие очередной запрос.

Гарантируется, что существует хотя бы один запрос типа \(2\).

Выходные данные

Для каждого запроса типа \(2\) выведите ответ в новой строке.

Примечание

В первом запросе голодный мужчина купит еду во всех магазинах с \(3\)-го по \(10\)-й.

Во втором запросе голодный мужчина купит еду в магазинах \(4\), \(9\) и \(10\).

После третьего запроса массив \(a_1, a_2, \ldots, a_n\) цен не поменяется и останется \(\{10, 10, 10, 6, 6, 5, 5, 5, 3, 1\}\).

В четвертом запросе голодный мужчина купит еду в магазинах \(2\), \(3\), \(4\), \(5\), \(9\) и \(10\).

После пятого запроса массив \(a\) цен станет \(\{10, 10, 10, 7, 6, 5, 5, 5, 3, 1\}\).

В шестом запросе голодный мужчина купит еду в магазинах \(2\) и \(4\).

C. Дилемма о доставке

Бинарный поиск *1400 жадные алгоритмы сортировки

Петя готовится к своему дню рождения. Он решил, что на праздничном столе будут \(n\) разных блюд, пронумерованных от \(1\) до \(n\). Так как Петя не любит готовить, он хочет заказать эти блюда в ресторанах.

К сожалению, все блюда готовятся в разных ресторанах и поэтому Пете нужно забрать свои заказы из \(n\) разных мест. Чтобы ускорить этот процесс, он хочет заказать доставку курьером в некоторых ресторанах. Таким образом, для каждого блюда есть два варианта как Петя сможет его получить:

  • блюдо привезет курьер из ресторана \(i\), в этом случае курьер прибудет через \(a_i\) минут,
  • Петя самостоятельно сходит в ресторан \(i\) и заберет блюдо, на это он потратит \(b_i\) минут.

У каждого ресторана есть свои курьеры и они начинают доставку заказа в тот же момент, как Петя выходит из дома. Иными словами все курьеры работают параллельно. Петя должен посетить все рестораны в которых он не выбрал доставку, делает он это последовательно.

Например, если Петя хочет заказать \(n = 4\) блюд и \(a = [3, 7, 4, 5]\), а \(b = [2, 1, 2, 4]\), то он может заказать доставку из первого и четвертого ресторана, а во второй и третий сходить самостоятельно. Тогда курьер первого ресторана привезет заказ через \(3\) минуты, курьер четвертого ресторана привезет заказ через \(5\) минут, а Петя заберет оставшиеся блюда за \(1 + 2 = 3\) минуты. Таким образом, через \(5\) минут все блюда окажутся у Пети дома.

Найдите минимальное время, через которое все блюда могут оказаться у Пети дома.

Входные данные

В первой строке находится одно целое положительное число \(t\) (\(1 \le t \le 2 \cdot 10^5\)) — количество наборов тестовых данных. Далее следуют \(t\) наборов тестовых данных.

Каждый набор начинается со строки в которой записано одно целое число \(n\) (\(1 \le n \le 2 \cdot 10^5\)) — количество блюд, которые хочет заказать Петя.

Во второй строке каждого набора тестовых данных записаны \(n\) целых чисел \(a_1 \ldots a_n\) (\(1 \le a_i \le 10^9\)) — время курьерской доставки блюда с номером \(i\).

В третьей строке каждого набора тестовых данных записаны \(n\) целых чисел \(b_1 \ldots b_n\) (\(1 \le b_i \le 10^9\)) — время, за которое Петя заберет блюдо с номером \(i\).

Сумма \(n\) по всем наборам тестовых данных не превосходит \(2 \cdot 10^5\).

Выходные данные

Для каждого набора тестовых данных выведите одно целое число — минимальное время, через которое все блюда могут оказаться у Пети дома.

C. Ксор дерево

Бинарный поиск Деревья Структуры данных *2100 дп разделяй и властвуй битмаски

Для заданной последовательности попарно различных неотрицательных целых чисел \((b_1, b_2, \dots, b_k)\) мы определяем, является ли она хорошей следующим образом:

  • Рассмотрим граф на \(k\) вершинах, на которых написаны числа от \(b_1\) до \(b_k\).
  • Для каждого \(i\) от \(1\) до \(k\) мы находим такое \(j\) (\(1 \le j \le k\), \(j\neq i\)), для которого значение \((b_i \oplus b_j)\) минимально среди всех таких \(j\), где \(\oplus\) обозначает операцию побитового исключающего ИЛИ. После этого мы проводим неориентированное ребро между вершинами с числами \(b_i\) и \(b_j\).
  • Последовательность называется хорошей, если и только если получившийся граф является деревом (то есть он связан и не имеет простых циклов).

Возможно, что для некоторых чисел \(b_i\) и \(b_j\) вы попробуете добавить ребро между ними дважды. Тем не менее вы добавите это ребро только один раз.

Ниже приведен пример (рисунок, соответствующий первому примеру).

Последовательность \((0, 1, 5, 2, 6)\) не хорошая, так как мы не можем достичь \(1\) из \(5\).

Однако, последовательность \((0, 1, 5, 2)\) является хорошей.

Вам дана последовательность \((a_1, a_2, \dots, a_n)\) из попарно различных неотрицательных целых чисел. Вы хотите удалить из нее некоторые элементы (возможно, ни одного), чтобы сделать оставшуюся последовательность хорошей. Какое минимально возможное количество удалений необходимо для достижения этой цели?

Можно показать, что для любой последовательности можно удалить некоторое количество элементов, оставив как минимум \(2\), так, что оставшаяся последовательность будет хорошей.

Входные данные

Первая строка содержит единственное целое число \(n\) (\(2 \le n \le 200,000\)) — длину последовательности.

Во второй строке находится \(n\) попарно различных неотрицательных целых чисел \(a_1, a_2, \ldots, a_n\) (\(0 \le a_i \le 10^9\)) — элементы последовательности.

Выходные данные

Необходимо вывести ровно одно целое число — минимально возможное количество элементов, которые нужно удалить, чтобы сделать оставшуюся последовательность хорошей.

Примечание

Обратите внимание, что числа, которые вы удаляете, не влияют на процедуру проверки, является ли хорошей оставшаяся последовательность.

Возможно, что для некоторых чисел \(b_i\) и \(b_j\) вы попробуете добавить ребро между ними дважды. Тем не менее вы добавите это ребро только один раз.

F. Расстояние до прямой

Бинарный поиск Структуры данных геометрия *3200

Вам даны целое число \(k\) и \(n\) попарно различных точек с целочисленными координатами на евклидовой плоскости, \(i\)-я точка имеет координаты \((x_i, y_i)\).

Рассмотрим список всех \(\frac{n(n - 1)}{2}\) пар точек \(((x_i, y_i), (x_j, y_j))\) (\(1 \le i < j \le n\)). Для каждой такой пары выпишем расстояние от прямой, проходящей через эти две точки, до начала координат \((0, 0)\).

Ваша задача — вычислить \(k\)-е наименьшее число среди всех этих расстояний.

Входные данные

Первая строка содержит два целых числа \(n\), \(k\) (\(2 \le n \le 10^5\), \(1 \le k \le \frac{n(n - 1)}{2}\)).

В \(i\)-й из следующих строк \(n\) находятся два целых числа \(x_i\) и \(y_i\) (\(-10^4 \le x_i, y_i \le 10^4\)) — координаты \(i\)-й точки. Гарантируется, что все заданные точки попарно различны.

Выходные данные

Вы должны вывести одно число — \(k\)-е наименьшее расстояние до начала координат. Ваш ответ будет считаться правильным, если его абсолютная или относительная ошибка не превосходит \(10^{-6}\).

Формально, пусть ваш ответ равен \(a\), а ответ жюри равен \(b\). Ваш ответ будет зачтен, если и только если \(\frac{|a - b|}{\max{(1, |b|)}} \le 10^{-6}\).

Примечание

Есть \(6\) пар точек:

  • Прямая \(1-2\) : расстояние \(0\) от начала координат
  • Прямая \(1-3\) : расстояние \(\frac{\sqrt{2}}{2} \approx 0.707106781\) от начала координат
  • Прямая \(1-4\) : расстояние \(2\) от начала координат
  • Прямая \(2-3\) : расстояние \(1\) от начала координат
  • Прямая \(2-4\) : расстояние \(2\) от начала координат
  • Прямая \(3-4\) : расстояние \(\frac{2}{\sqrt{29}} \approx 0.371390676\) от начала координат
Третье по возрастанию расстояние среди них составляет примерно \(0.707106781\).

D. Сжатие рейтинга

Бинарный поиск Структуры данных реализация *1800 жадные алгоритмы

На платформе CodeCook для соревнований по спортивному программированию у каждого человека есть график его рейтинга, описываемый массивом целых чисел \(a\) длины \(n\). Вы обновляете инфраструктуру, поэтому вы создали программу, сжимающую эти графики.

Программа работает следующим образом. Задается целое число \(k\). Программа берет минимум на каждом последовательном подмассиве длины \(k\) в массиве \(a\).

Более формально, для массива \(a\) длины \(n\) и целого числа \(k\), определим \(k\)-сжатие массива \(a\) как массив \(b\) длины \(n-k+1\), такой что \(\)b_j =\min_{j\le i\le j+k-1}a_i\(\)

Например, \(3\)-сжатие массива \([1, 3, 4, 5, 2]\) это \([\min\{1, 3, 4\}, \min\{3, 4, 5\}, \min\{4, 5, 2\}]=[1, 3, 2].\)

Перестановка длины \(m\) это массив, состоящий из \(m\) различных целых чисел от \(1\) до \(m\) в некотором порядке. Например, \([2,3,1,5,4]\) это перестановка, но \([1,2,2]\) это не перестановка (\(2\) встречается дважды в массиве) и \([1,3,4]\) это тоже не перестановка (\(m=3\), но в массиве есть число \(4\)).

\(k\)-сжатие массива рейтинга сделает пользователей CodeCook счастливыми, если оно будет перестановкой. Вам дан массив \(a\), определите для всех \(1\leq k\leq n\) будут ли счастливы пользователи CodeCook после \(k\)-сжатия этого массива или нет.

Входные данные

В первой строке находится единственное целое число \(t\) (\(1\leq t\leq 10^4\)) — количество наборов входных данных.

В первой строке описания каждого набора входных данных находится единственное целое число \(n\) (\(1\leq n\leq 3\cdot 10^5\)) — длина массива.

Во второй строке описания каждого набора входных данных находится \(n\) целых чисел \(a_1,\ldots,a_n\) (\(1\leq a_i\leq n\)) — элементы массива.

Гарантируется, что сумма \(n\) по всем наборам входных данных не превосходит \(3\cdot 10^5\).

Выходные данные

Для каждого набора входных данных выведите бинарную строку длины \(n\).

\(k\)-й символ строки должен быть \(1\), если пользователи CodeCook будут счастливы после \(k\)-сжатия массива \(a\) и \(0\), иначе.

Примечание

В первом наборе входных данных \(a=[1, 5, 3, 4, 2]\).

  • \(1\)-сжатие массива \(a\) будет \([1, 5, 3, 4, 2]\) и это перестановка.
  • \(2\)-сжатие массива \(a\) будет \([1, 3, 3, 2]\) и это не перестановка, потому что \(3\) встречается дважды.
  • \(3\)-сжатие массива \(a\) будет \([1, 3, 2]\) и это перестановка.
  • \(4\)-сжатие массива \(a\) будет \([1, 2]\) и это перестановка.
  • \(5\)-сжатие массива \(a\) будет \([1]\) и это перестановка.

B. Кубики

Бинарный поиск математика *1400 жадные алгоритмы сортировки

Вас попросили присмотреть за вашим племянником, который любит играть с кубиками необычным способом.

У него есть \(n\) коробок и в \(i\)-й коробке лежит \(a_i\) кубиков. Его игра состоит из двух ходов:

  1. он выбирает произвольную коробку \(i\);
  2. он пытается переложить все кубики из \(i\)-й коробки в другие коробки.
Если у него получится сделать равное количество кубиков в каждой из оставшихся \(n - 1\) коробок, то он обрадуется, а если не получится — расстроится. Заметьте, что ваш племянник может перекладывать кубики только из выбранной коробки; он не может перекладывать кубики из других коробок.

Вы не хотите, чтобы ваш племянник расстраивался, поэтому вы решили доложить несколько дополнительных кубиков в некоторые коробки так, что независимо от того, какую коробку \(i\) он выберет, он не расстроится. Какое минимальное количество кубиков вам нужно доложить?

Входные данные

В первой строке задано одно целое число \(t\) (\(1 \le t \le 1000\)) — количество наборов входных данных.

В первой строке каждого набора задано одно целое число \(n\) (\(2 \le n \le 10^5\)) — количество коробок.

Во второй строке каждого набора заданы \(n\) целых чисел \(a_1, a_2, \dots, a_n\) (\(0 \le a_i \le 10^9\)) — количество кубиков в каждой коробке.

Гарантируется, что сумма \(n\) по всем наборам не превосходит \(10^5\).

Выходные данные

Для каждого набора входных данных, выведите одно целое число — минимальное количество кубиков, которое вам нужно доложить. Можно доказать, что ответ всегда существует, то есть количество кубиков конечное.

Примечание

В первом наборе входных данных, вы можете, например, положить один дополнительный блок в первую коробку и сделать \(a = [4, 2, 2]\). Если ваш племянник выберет коробку с \(4\) кубиками, то он переложит два кубика во вторую коробку и два кубика в третью. Если же он выберет коробку с \(2\) кубиками, то оно переложит эти два кубика в другую коробку с \(2\) кубиками.

Во втором наборе, вам не нужно докладывать кубики, потому что независимо от того, какую коробку он выберет, он всегда сможет выровнять количество кубиков в других коробках.

В третьем наборе, вам нужно доложить хотя бы \(3\) кубика. Например, вы можете положить \(2\) кубика в первую коробку и \(1\) кубик в третью. Вы получите \(a = [2, 3, 1]\).

E. Собачьи закуски

Бинарный поиск Деревья дп поиск в глубину и подобное жадные алгоритмы *2300

Gildong играет в игру со своей собакой, Badugi. Они находятся в парке, в котором есть \(n\) перекрестков и \(n-1\) двусторонних дорог, длиной в \(1\) и соединяющих два перекрестка. Пересечения пронумерованы от \(1\) до \(n\), и для каждой пары \(a\) и \(b\) (\(1 \le a, b \le n\)), возможно пройти от \(b\)-го перекрестка до \(a\)-го передвигаясь по дорогам.

Gildong поставил одну закуску на каждый перекресток. Gildong поставил Badugi задачу — съесть все закуски. Badugi начинает на \(1\)-м перекрестке, и он передвигается по следующим правилам:

  • Badugi ищет закуски, которые находятся к нему как можно ближе. Расстояние это длина кратчайшего пути от текущей позиции Badugi до перекрестка с закуской. Однако, обоняние Badugi ограничено до \(k\) метров, так что он может находить только закуски на расстоянии не больше чем \(k\) метров от текущей позиции. Если он не может найти ни одной закуски, задание считается проваленным.
  • Среди всех закусок, которые Badugi чувствует на его текущей позиции, он выбирает закуску с минимальным расстоянием до текущей позиции. Если есть несколько возможных закусок, он выбирает одну любую из них.
  • Он повторяет этот процесс пока он не съест все \(n\) закусок. После этого, он должен снова найти \(1\)-й перекресток, который должен быть на расстоянии не больше чем \(k\) метров от последней съеденной закуски. Если он может найти его, он проходит задание. Иначе, задание считается проваленным.

К сожалению, Gildong не знает значение \(k\). Таким образом, он просит вас найти минимальное значение \(k\), при котором Badugi сможет выполнить задание, если будет действовать оптимально.

Входные данные

Тест состоит из одного или нескольких наборов входных данных. В первой строке записано количество наборов входных данных \(t\) (\(1 \le t \le 10^4\)).

В первой строке каждого набора входных данных записано одно целое число \(n\) (\(2 \le n \le 2 \cdot 10^5\)) — количество перекрестков в парке.

В каждой из следующих \(n-1\) строк записаны два целых числа \(u\) и \(v\) (\(1 \le u,v \le n\), \(u \ne v\)) , которые описывают двунаправленную дорогу между перекрестками \(u\) и \(v\). Все дороги двухсторонние и различны.

Гарантируется, что:

  • Для каждого набора входных данных, для каждой пары \(a\) и \(b\) (\(1 \le a, b \le n\)), возможно пройти от \(b\)-го перекрестка до \(a\)-го передвигаясь по дорогам.
  • Сумма \(n\) по всем наборам входных данных не превосходит \(2 \cdot 10^5\).
Выходные данные

Для каждого набора входных данных выведите одно целое число — минимальное возможное значение \(k\), при котором Badugi может выполнить свое задание.

Примечание

В первом наборе входных данных, Badugi может выполнить задание для \(k=2\), передвигаясь следующим образом:

  1. Исходно, Badugi находится на \(1\)-м перекрестке. Ближайшая закуска, очевидно, находится на \(1\)-м перекрестке, поэтому он съедает ее.
  2. Затем, он ищет ближайшую закуску, которая может быть либо на \(2\)-м или на \(3\)-м перекрестке. Предположим, что он выбирает \(2\)-й перекресток. Он переходит на \(2\)-й перекресток, который находится на расстоянии \(1\) метр, и ест закуску.
  3. Единственная закуска находится на \(3\)-м перекрестке, и ему нужно пройти по \(2\) дорогам, чтобы дойти до нее.
  4. После съедения закуски на \(3\)-м перекрестке, ему снова нужно найти \(1\)-й перекресток, который находится на расстоянии \(1\) метр. После того как он возвращается на него, он выполнил свое задание.

Во втором наборе входных данных, единственная возможная последовательность действий это \(1\)\(2\)\(3\)\(4\)\(1\). Так как расстояние между \(4\)-м и \(1\)-м перекрестком равно \(3\), \(k\) должно быть хотя бы \(3\) для того, чтобы Badugi смог выполнить задание.

В третьем наборе входных данных, Badugi может двигаться следующим образом: \(1\)\(5\)\(6\)\(7\)\(8\)\(2\)\(3\)\(4\)\(1\). Можно показать, что это единственный вариант для Badugi выполнить миссию с \(k=3\).

F. Разделение массива

Бинарный поиск Структуры данных *2100 жадные алгоритмы

Вам задан массив \(a\), состоящий из \(n\) целых чисел.

Пусть \(min(l, r)\) равно минимальному значению среди \(a_l, a_{l + 1}, \ldots, a_r\), а \(max(l, r)\) равно максимальному значению среди \(a_l, a_{l + 1}, \ldots, a_r\).

Ваша задача — выбрать три таких положительных (больших \(0\)) целых числа \(x\), \(y\) и \(z\), что:

  • \(x + y + z = n\);
  • \(max(1, x) = min(x + 1, x + y) = max(x + y + 1, n)\).

Другими словами, вам необходимо разделить массив \(a\) на три последовательные непустые части, которые покрывают весь массив, и максимум в первой части равен минимуму во второй части, а также равен максимуму в третьей части (или же определить, что такое разбиение невозможно найти).

Среди всех возможных троек (разделений) можно выбрать любое.

Вам необходимо ответить на \(t\) независимых наборов тестовых данных.

Входные данные

Первая строка входных данных содержит одно целое число \(t\) (\(1 \le t \le 2 \cdot 10^4\)) — количество наборов тестовых данных. Затем следуют \(t\) наборов тестовых данных.

Первая строка набора тестовых данных содержит одно целое число \(n\) (\(3 \le n \le 2 \cdot 10^5\)) — длину \(a\).

Вторая строка набора тестовых данных содержит \(n\) целых чисел \(a_1, a_2, \ldots, a_n\) (\(1 \le a_i \le 10^9\)), где \(a_i\) равно \(i\)-му элементу \(a\).

Гарантируется, что сумма \(n\) не превосходит \(2 \cdot 10^5\) (\(\sum n \le 2 \cdot 10^5\)).

Выходные данные

Выведите ответ на каждый набор тестовых данных: NO в единственной строке, если не существует такого разбиения \(a\), которе удовлетворяет ограничениям из условия задачи. Иначе выведите YES в первой строке и три целых числа \(x\), \(y\) и \(z\) (\(x + y + z = n\)) во второй строке.

Если существует несколько возможных ответов, вы можете вывести любой.

D. Разделяй и суммируй

Бинарный поиск Перебор Структуры данных реализация *1600 сортировки разделяй и властвуй

Майк получил в подарок на день рождения массив \(a\) длины \(n\) и решил протестировать, насколько он красивый.

Массив пройдет \(i\)-й тест на красоту, если существует способ из изначального массива путем некоторого (возможно, нулевого) количества операций разреза получить массив с суммой элементов, равной \(s_i\).

Операция разреза массива происходит следующим образом:

  • Вычисляется \(mid = \lfloor\frac{max(array) + min(array)}{2}\rfloor\), где \(max\) и \(min\) — это функции нахождения максимального и минимального элемента массива. Иными словами, \(mid\) равно сумме максимального и минимального элементов \(array\), деленной на \(2\) с округлением вниз.
  • Далее массив разделяется на две части \(\mathit{left}\) и \(right\). В \(\mathit{left}\) попадают все элементы массива, которые имеют значение меньшее либо равное \(mid\), а в массив \(right\) попадают все элементы, которые больше \(mid\). Элементы в \(\mathit{left}\) и \(right\) сохраняют свой относительный порядок, который был в \(array\).
  • Третьим шагом выбирается, какой из массивов \(\mathit{left}\) или \(right\) мы хотим оставить. Выбранный массив заменит собой текущий, а другой навсегда удалится.

Вам требуется помочь Майку определить результаты \(q\) тестов на красоту.

Заметьте, что вы тестируете красоту массива \(a\), поэтому вы начинаете каждый тест на красоту с изначальным (заданным) массивом \(a\). Таким образом, первый разрез (если он необходим) всегда совершается над массивом \(a\).

Входные данные

Каждый тест содержит один или несколько наборов входных данных. В первой строке записано количество наборов входных данных \(t\) (\(1 \le t \le 100\)).

Первая строка каждого набора входных данных содержит два целых числа \(n\) и \(q\) \((1 \le n, q \le 10^5)\) — длину массива \(a\) и количество тестов на красоту соответственно.

Вторая строка каждого набора входных данных содержит \(n\) целых чисел \(a_1, a_2, ..., a_n\) \((1 \le a_i \le 10^6)\) — описание массива \(a\).

Следующие \(q\) строк каждого набора входных данных содержат по одному целому числу \(s_i\) \((1 \le s_i \le 10^9)\) — сумму элементов, которую хочет добиться Майк в \(i\)-м тесте на красоту.

Гарантируется, что сумма \(n\) и сумма \(q\) не превосходят \(10^5\) (\(\sum n, \sum q \le 10^5\)).

Выходные данные

Для каждого набора входных данных выведите \(q\) строк, каждая из которых должна содержать «Yes», если соответствующий тест на красоту пройден, и «No» в противном случае.

Примечание

Объяснение первого набора входных данных:

  1. Получить массив с суммой \(s_1 = 1\) мы можем следующим способом:

    1.1 \(a = [1, 2, 3, 4, 5]\), \(mid = \frac{1+5}{2} = 3\), \(\mathit{left} = [1, 2, 3]\), \(right = [4, 5]\). Мы выбираем оставить массив \(\mathit{left}\).

    1.2 \(a = [1, 2, 3]\), \(mid = \frac{1+3}{2} = 2\), \(\mathit{left} = [1, 2]\), \(right = [3]\). Мы выбираем оставить массив \(\mathit{left}\).

    1.3 \(a = [1, 2]\), \(mid = \frac{1+2}{2} = 1\), \(\mathit{left} = [1]\), \(right = [2]\). Мы выбираем оставить массив \(\mathit{left}\) с суммой, равной \(1\).

  2. Массив с суммой \(s_2 = 8\) можно показать, что получить невозможно.
  3. Получить массив с суммой \(s_3 = 9\) мы можем следующим способом:

    3.1 \(a = [1, 2, 3, 4, 5]\), \(mid = \frac{1+5}{2} = 3\), \(\mathit{left} = [1, 2, 3]\), \(right = [4, 5]\). Мы выбираем оставить массив \(right\) с суммой, равной \(9\).

  4. Массив с суммой \(s_4 = 12\) можно показать, что получить невозможно.
  5. Получить массив с суммой \(s_5 = 6\) мы можем следующим способом:

    5.1 \(a = [1, 2, 3, 4, 5]\), \(mid = \frac{1+5}{2} = 3\), \(\mathit{left} = [1, 2, 3]\), \(right = [4, 5]\). Мы выбираем оставить массив \(\mathit{left}\) с суммой, равной \(6\).

Объяснение второго набора входных данных:

  1. Массив с суммой \(s_1 = 1\) можно показать, что получить невозможно.
  2. Получить массив с суммой \(s_2 = 2\) мы можем следующим способом:

    2.1 \(a = [3, 1, 3, 1, 3]\), \(mid = \frac{1+3}{2} = 2\), \(\mathit{left} = [1, 1]\), \(right = [3, 3, 3]\). Мы выбираем оставить массив \(\mathit{left}\) с суммой \(2\).

  3. Массив с суммой \(s_3 = 3\) можно показать, что получить невозможно.
  4. Получить массив с суммой \(s_4 = 9\) мы можем следующим способом:

    4.1 \(a = [3, 1, 3, 1, 3]\), \(mid = \frac{1+3}{2} = 2\), \(\mathit{left} = [1, 1]\), \(right = [3, 3, 3]\). Мы выбираем оставить массив \(right\) с суммой \(9\).

  5. Мы можем получить \(s_5 = 11\) без операций разреза, потому что изначальная сумма уже была равна \(11\).

E1. Близкие наборы (простая версия)

Бинарный поиск Комбинаторика математика *1500 сортировки

Это простая версия этой задачи. Единственное различие между простой и сложной версиями заключается в ограничениях на \(k\) и \(m\) (в этой версии \(k=2\), \(m=3\)). Также в этой версии задачи НЕ НУЖНО выводить ответ по какому-либо модулю.

Вам задана последовательность \(a\) длины \(n\), состоящая из целых чисел от \(1\) до \(n\). Среди чисел могут быть одинаковые.

Найдите количество наборов из \(m = 3\) элементов, таких что максимальное число в наборе отличается от минимального не больше, чем на \(k = 2\). Формально, в этой задаче вам нужно найти количество троек индексов \(i < j < z\), таких что

\(\)\max(a_i, a_j, a_z) - \min(a_i, a_j, a_z) \le 2.\(\)

Например, если \(n=4\) и \(a=[1,2,4,3]\), то существуют две такие тройки (\(i=1, j=2, z=4\) и \(i=2, j=3, z=4\)). Если же \(n=4\) и \(a=[1,1,1,1]\), то все четыре возможные тройки подходят.

Входные данные

В первой строке находится одно целое число \(t\) (\(1 \le t \le 2 \cdot 10^5\)) — количество наборов входных данных. Далее следуют \(t\) наборов входных данных.

В первой строке каждого набора входных данных находится целое число \(n\) (\(1 \le n \le 2 \cdot 10^5\)) — длина последовательности \(a\).

В следующей строке находятся \(n\) целых чисел \(a_1, a_2,\ldots, a_n\) (\(1 \le a_i \le n\)) — последовательность \(a\).

Гарантируется, что сумма \(n\) по всем наборам входных данных не превышает \(2 \cdot 10^5\).

Выходные данные

Выведите \(t\) ответов на наборы входных данных. Каждый ответ — это количество упорядоченных троек элементов, таких что максимальное число в тройке отличается от минимального не больше, чем на \(2\). Обратите внимание, что в отличии от сложной версии задачи, здесь не нужно выводить ответ по какому-либо модулю. Необходимо вывести точное значение ответа.

E2. Близкие наборы (сложная версия)

Бинарный поиск Комбинаторика математика реализация сортировки *1700

Это сложная версия этой задачи. Единственное различие между простой и сложной версиями заключается в ограничениях на \(k\) и \(m\). В этой версии задачи нужно выводить ответ по модулю \(10^9+7\).

Вам задана последовательность \(a\) длины \(n\), состоящая из целых чисел от \(1\) до \(n\). Среди чисел могут быть одинаковые.

Найдите количество наборов из \(m\) элементов, таких что максимальное число в наборе отличается от минимального не больше, чем на \(k\). Формально, вам нужно найти количество наборов из \(m\) индексов \(i_1 < i_2 < \ldots < i_m\), таких что

\(\)\max(a_{i_1}, a_{i_2}, \ldots, a_{i_m}) - \min(a_{i_1}, a_{i_2}, \ldots, a_{i_m}) \le k.\(\)

Например, если \(n=4\), \(m=3\), \(k=2\), \(a=[1,2,4,3]\), то существуют две такие тройки (\(i=1, j=2, z=4\) и \(i=2, j=3, z=4\)). Если же \(n=4\), \(m=2\), \(k=1\), \(a=[1,1,1,1]\), то все шесть возможных пар подходят.

Поскольку ответ может быть достаточно большим, вам нужно посчитать его по модулю \(10^9 + 7\) (остаток при делении на число \(10^9 + 7\)).

Входные данные

В первой строке находится одно целое число \(t\) (\(1 \le t \le 2 \cdot 10^5\)) — количество наборов входных данных. Далее следуют \(t\) наборов входных данных.

В первой строке каждого набора входных данных находится три целых числа \(n\), \(m\), \(k\) (\(1 \le n \le 2 \cdot 10^5\), \(1 \le m \le 100\), \(1 \le k \le n\)) — длина последовательности \(a\), количество элементов в искомых наборах и максимальная разница элементов в наборе.

В следующей строке находятся \(n\) целых чисел \(a_1, a_2,\ldots, a_n\) (\(1 \le a_i \le n\)) — последовательность \(a\).

Гарантируется, что сумма \(n\) по всем наборам входных данных не превышает \(2 \cdot 10^5\).

Выходные данные

Выведите \(t\) ответов на наборы входных данных. Каждый ответ — это количество наборов из \(m\) элементов по модулю \(10^9 + 7\), таких что максимальное число в наборе отличается от минимального не больше, чем на \(k\).

F. Клад из отрезков

Бинарный поиск Структуры данных *1800 жадные алгоритмы

Поликарп нашёл на улице \(n\) отрезков. Отрезок с номером \(i\) характеризуется двумя целыми числами \(l_i\) и \(r_i\) — координаты начала и конца отрезка, соответственно. Поликарп понял, что ему нужны не все отрезки, поэтому он хочет удалить некоторые из них.

Поликарп считает, что набор из \(k\) отрезков хороший, если существует отрезок \([l_i, r_i]\) (\(1 \leq i \leq k\)) из набора, такой что он пересекает каждый отрезок из набора (пересечение должно быть точкой или отрезком). Например, набор из \(3\) отрезков \([[1, 4], [2, 3], [3, 6]]\) является хорошим, так как отрезок \([2, 3]\) пересекает каждый отрезок из набора. Набор из \(4\) отрезков \([[1, 2], [2, 3], [3, 5], [4, 5]]\) хорошим не является.

Поликарпу интересно, какое минимальное количество отрезков ему надо удалить, чтобы набор из оставшихся отрезков стал хорошим?

Входные данные

В первой строке находится одно целое число \(t\) (\(1 \leq t \leq 2 \cdot 10^5\)) — количество наборов входных данных. Далее следуют \(t\) наборов входных даннных.

В первой строке каждого набора входных данных находится одно целое число \(n\) (\(1 \leq n \leq 2 \cdot 10^5\)) — количество отрезков в наборе. Далее следуют \(n\) строк с описанием отрезков.

Каждый отрезок описывается двумя целыми числами \(l\) и \(r\) (\(1 \leq l \leq r \leq 10^9\)) — координаты начала и конца отрезка, соответственно.

Гарантируется, что сумма \(n\) по всем наборам входных данных не превосходит \(2 \cdot 10^5\).

Выходные данные

Для каждого набора входных данных выведите одно целое число — минимальное количество отрезков, которые необходимо удалить, чтобы набор оставшихся отрезков стал хорошим.

A. Подземелье

Бинарный поиск математика *1100

Вы играете в новую компьютерную игру, в которой необходимо сражаться с монстрами. В очередном подземелье вы встретили трех монстров; у одного из них \(a\) очков здоровья, у второго \(b\) очков здоровья, а у третьего — \(c\).

Для убийства монстров у вас есть пушка, которая наносит \(1\) единицу урона выбранному монстру. При этом каждый \(7\)-й (т. е. выстрелы с номерами \(7\), \(14\), \(21\) и т. д.) выстрел пушки усиленный и наносит \(1\) урона всем монстрам, а не только одному из них. Если текущее здоровье монстра равно \(0\), он не может быть целью обычного выстрела и не получает урона от усиленного выстрела.

Вы хотите красиво пройти подземелье, а именно, убить всех монстров одним и тем же усиленным выстрелом (т. е. после очередного усиленного выстрела очки здоровья каждого из монстров должны впервые стать равными \(0\)). Каждый выстрел должен попадать в монстра, т. е. вы не можете стрелять мимо цели.

Входные данные

Первая строка содержит одного целое число \(t\) (\(1 \le t \le 10^4\)) — количество наборов входных данных.

Каждый набор входных данных состоит из единственной строки, которая содержит три целых числа \(a\), \(b\) и \(c\) (\(1 \le a, b, c \le 10^8\)) — количество очков здоровья у каждого из монстров.

Выходные данные

Для каждого набора входных данных выведите YES, если можно убить всех монстров одним и тем же усиленным выстрелом. Иначе выведите NO. Каждую букву можно выводить в любом регистре (например, YES, Yes, yes, yEs будут распознаны как положительный ответ).

Примечание

В первом примере вы можете действовать следующим образом: \(1\)-й выстрел в первого монстра, \(2\)-й выстрел во второго монстра, \(3\)-й выстрел в третьего монстра, \(4\)-й выстрел в первого монстра, \(5\)-й выстрел в третьего монстра, \(6\)-й выстрел в третьего монстра и \(7\)усиленный выстрел убьет всех монстров.

Во втором примере вы не можете убить монстров усиленным выстрелом, т. к. суммарное количество очков здоровья монстров равно \(3\), и вы убьете их за первые 3 выстрела.

D. Пары

Бинарный поиск Конструктив жадные алгоритмы *1900

У вас есть \(2n\) целых чисел \(1, 2, \dots, 2n\). Вы распределяете все \(2n\) чисел на \(n\) пар. После этого вы выбираете \(x\) пар и из каждой из них берете минимум, а из каждой из оставшихся \(n - x\) пар — максимум.

Ваша цель — получить в результате выбора элементов множество \(\{b_1, b_2, \dots, b_n\}\).

Сколько существует различных \(x\)-в (\(0 \le x \le n\)) таких, что возможно получить множество \(b\), если для каждого \(x\) вы можете выбирать, как распределять числа и из каких \(x\) пар выбирать минимумы?

Входные данные

В первой строке задано единственное целое число \(t\) (\(1 \le t \le 1000\)) — количество наборов входных данных.

В первой строке каждого набора задано одно целое число \(n\) (\(1 \le n \le 2 \cdot 10^5\)).

Во второй строке каждого набора заданы \(n\) целых чисел \(b_1, b_2, \dots, b_n\) (\(1 \le b_1 < b_2 < \dots < b_n \le 2n\)) — множество, которое вы хотите получить.

Гарантируется, что сумма \(n\) по всем наборам не превосходит \(2 \cdot 10^5\).

Выходные данные

Для каждого набора входных данных, выведите единственное число — количество различных \(x\)-в, таких, что возможно получить множество \(b\).

Примечание

В первом наборе входных данных, \(x = 1\) является единственным вариантом: у вас есть одна пара \((1, 2)\) и вы выбираете минимум в ней.

Во втором наборе, есть три возможных \(x\)-а. Если \(x = 1\), то вы можете сформировать следующие пары: \((1, 6)\), \((2, 4)\), \((3, 5)\), \((7, 9)\), \((8, 10)\). Вы можете взять минимум из \((1, 6)\) (равный \(1\)) и максимумы из остальных пар, чтобы получить множество \(b\).

Если \(x = 2\), вы можете сформировать пары \((1, 2)\), \((3, 4)\), \((5, 6)\), \((7, 9)\), \((8, 10)\) и взять минимумы из \((1, 2)\), \((5, 6)\) и максимумы из остальных пар.

Если \(x = 3\), вы можете сформировать пары \((1, 3)\), \((4, 6)\), \((5, 7)\), \((2, 9)\), \((8, 10)\) и взять минимумы из \((1, 3)\), \((4, 6)\), \((5, 7)\).

В третьем наборе, \(x = 0\) является единственным вариантом: вы можете сформировать пары \((1, 3)\), \((2, 4)\) и взять максимумы из обеих пар.

I. Загадка сфинкса

Бинарный поиск Структуры данных Структуры данных интерактив *3400

Кто ходит утром на четырех ногах, днем — на двух, а вечером — на трех?

Это интерактивная задача. В этой задаче нет взломов.

Задача сфинкса — охранять ворота города Фивы, не пропуская недостойных странников. Только те, кто смогут быстро и верно разгадать его загадку смогут войти в город. О судьбе тех, что не справились с загадкой, история умалчивает.

Поэтому у вас нет выбора и вам нужно решить загадку. У сфинкса есть массив \(a_1, a_2, \ldots, a_n\) из неотрицательных целых чисел, строго меньших \(2^b\). Он просит вас найти максимум среди элементов массива. Конечно, сам массив сфинкс вам не даст, но предоставит значения \(n\) и \(b\). Так как загадку вслепую решить нельзя, вы можете задавать сфинксу вопросы определенного вида. По данной паре целых чисел \(i, y\), сфинкс ответит вам, правда ли, что \(a_i\) больше, чем \(y\). Так как сфинксы не очень терпеливы, вы можете спросить не более \(3 \cdot (n + b) \) таких вопросов.

Сфинксы честные, но в то же время хитрые. Массив может изменяться в промежутках между вашими запросами, но только так, что все предыдущие ответы сфинкса останутся правильными.

Входные данные

Первая строка содержит два целых числа \(n\) и \(b\) (\(1 \leq n, b \leq 200\)). Оставшаяся часть входных данных будет дана в процессе взаимодействия.

Протокол взаимодействия

В каждом запросе ваша программа должна вывести одну строку с числом \(i\) (\(0 \leq i \leq n\)) и бинарной строкой длины ровно \(b\), которая равна бинарному представлению числа \(y\) (от старших разрядов к младшим).

Если \(i > 0\), то этой строчкой вы обозначаете запрос: Правда ли, что \(a_i\) больше, чем \(y\)?. Таких запросов может быть не более, чем \(3 \cdot (n+b)\); после каждого такого запроса считайте «yes» (да) или «no» (нет) на отдельной строке — ответ за запрос.

Если же \(i = 0\), то это — последний запрос: \(y\) должен быть равен максимальному значению среди элементов массива, а ваша программа должна немедленно завершиться. Обратите внимание, что этот запрос не учитывается в ограничении на число вопросов.

Обратите внимание, интерактор адаптивный.

После вывода запроса не забудьте вывести перевод строки и сбросить буфер вывода. В противном случае вы получите вердикт Решение «зависло». Для сброса буфера используйте:

  • fflush(stdout) или cout.flush() в C++;
  • System.out.flush() в Java;
  • flush(output) в Pascal;
  • stdout.flush() в Python;
  • смотрите документацию для других языков.

Если ваша программа не следует протоколу взаимодействия, она может получить любой вердикт. Если она неправильно найдет максимальное значение, то получит вердикт Неправильный ответ.

Примечание

Во всех примерах массив зафиксирован изначально.

В первом примере массив равен \(2, 1, 4, 0, 6\).

Во втором примере массив равен \(0, 0, 0, 0\).

В третьем примере массив равен \(0\).

Обратите внимание, что если бы интерактор был адаптивный, то полученной в первом и третьем примере информации было бы недостаточно, чтобы вычислить правильный ответ.

D. Firecrackers

Бинарный поиск сортировки *1700

Consider a long corridor which can be divided into \(n\) square cells of size \(1 \times 1\). These cells are numbered from \(1\) to \(n\) from left to right.

There are two people in this corridor, a hooligan and a security guard. Initially, the hooligan is in the \(a\)-th cell, the guard is in the \(b\)-th cell (\(a \ne b\)).

One of the possible situations. The corridor consists of \(7\) cells, the hooligan is in the \(3\)-rd cell, the guard is in the \(6\)-th (\(n = 7\), \(a = 3\), \(b = 6\)).

There are \(m\) firecrackers in the hooligan's pocket, the \(i\)-th firecracker explodes in \(s_i\) seconds after being lit.

The following events happen each second (sequentially, exactly in the following order):

  1. firstly, the hooligan either moves into an adjacent cell (from the cell \(i\), he can move to the cell \((i + 1)\) or to the cell \((i - 1)\), and he cannot leave the corridor) or stays in the cell he is currently. If the hooligan doesn't move, he can light one of his firecrackers and drop it. The hooligan can't move into the cell where the guard is;
  2. secondly, some firecrackers that were already dropped may explode. Formally, if the firecracker \(j\) is dropped on the \(T\)-th second, then it will explode on the \((T + s_j)\)-th second (for example, if a firecracker with \(s_j = 2\) is dropped on the \(4\)-th second, it explodes on the \(6\)-th second);
  3. finally, the guard moves one cell closer to the hooligan. If the guard moves to the cell where the hooligan is, the hooligan is caught.

Obviously, the hooligan will be caught sooner or later, since the corridor is finite. His goal is to see the maximum number of firecrackers explode before he is caught; that is, he will act in order to maximize the number of firecrackers that explodes before he is caught.

Your task is to calculate the number of such firecrackers, if the hooligan acts optimally.

Input

The first line contains one integer \(t\) (\(1 \le t \le 1000\)) — the number of test cases.

Each test case consists of two lines. The first line contains four integers \(n\), \(m\), \(a\) and \(b\) (\(2 \le n \le 10^9\); \(1 \le m \le 2 \cdot 10^5\); \(1 \le a, b \le n\); \(a \ne b\)) — the size of the corridor, the number of firecrackers, the initial location of the hooligan and the initial location of the guard, respectively.

The second line contains \(m\) integers \(s_1\), \(s_2\), ..., \(s_m\) (\(1 \le s_i \le 10^9\)), where \(s_i\) is the time it takes the \(i\)-th firecracker to explode after it is lit.

It is guaranteed that the sum of \(m\) over all test cases does not exceed \(2 \cdot 10^5\).

Output

For each test case, print one integer — the maximum number of firecrackers that the hooligan can explode before he is caught.

Note

In the first test case, the hooligan should act, for example, as follows:

  • second 1: drop the second firecracker, so it will explode on the \(5\)-th second. The guard moves to the cell \(5\);
  • second 2: move to the cell \(2\). The guard moves to the cell \(4\);
  • second 3: drop the first firecracker, so it will explode on the \(4\)-th second. The guard moves to the cell \(3\);
  • second 4: move to the cell \(1\). The first firecracker explodes. The guard moves to the cell \(2\);
  • second 5: stay in the cell \(1\). The second firecracker explodes. The guard moves to the cell \(1\) and catches the hooligan.

G. Hobbits

Бинарный поиск геометрия *2500

The hobbits Frodo and Sam are carrying the One Ring to Mordor. In order not to be spotted by orcs, they decided to go through the mountains.

The mountain relief can be represented as a polyline with \(n\) points \((x_i, y_i)\), numbered from \(1\) to \(n\) (\(x_i < x_{i + 1}\) for \(1 \le i \le n - 1\)). Hobbits start their journey at the point \((x_1, y_1)\) and should reach the point \((x_n, y_n)\) to complete their mission.

The problem is that there is a tower with the Eye of Sauron, which watches them. The tower is located at the point \((x_n, y_n)\) and has the height \(H\), so the Eye is located at the point \((x_n, y_n + H)\). In order to complete the mission successfully, the hobbits have to wear cloaks all the time when the Sauron Eye can see them, i. e. when there is a direct line from the Eye to the hobbits which is not intersected by the relief.

The hobbits are low, so their height can be considered negligibly small, but still positive, so when a direct line from the Sauron Eye to the hobbits only touches the relief, the Eye can see them.

The Sauron Eye can't see hobbits when they are in the left position, but can see them when they are in the right position.

The hobbits do not like to wear cloaks, so they wear them only when they can be spotted by the Eye. Your task is to calculate the total distance the hobbits have to walk while wearing cloaks.

Input

The first line of the input contains two integers \(n\) and \(H\) (\(2 \le n \le 2 \cdot 10^5\); \(1 \le H \le 10^4\)) — the number of vertices in polyline and the tower height.

The next \(n\) lines contain two integers \(x_i, y_i\) each (\(0 \le x_i \le 4 \cdot 10^5\); \(0 \le y_i \le 10^4\)) — the coordinates of the polyline vertices. It is guaranteed that \(x_i < x_{i + 1}\) for \(1 \le i \le n - 1\).

Output

Print one real number — the total distance the hobbits have to walk while wearing cloaks. Your answer will be considered correct if its absolute or relative error does not exceed \(10^{-6}\) — formally, if your answer is \(a\), and the jury's answer is \(b\), your answer will be accepted if \(\dfrac{|a - b|}{\max(1, b)} \le 10^{-6}\).

L. Prime Divisors Selection

Бинарный поиск математика теория чисел жадные алгоритмы *2700

Suppose you have a sequence of \(k\) integers \(A = [a_1, a_2, \dots , a_k]\) where each \(a_i \geq 2\). A sequence of prime integers \(P = [p_1, p_2, \dots, p_k]\) is called suitable for the sequence \(A\) if \(a_1\) is divisible by \(p_1\), \(a_2\) is divisible by \(p_2\) and so on.

A sequence of prime integers \(P\) is called friendly if there are no unique integers in this sequence.

A sequence \(A\) is called ideal, if each sequence \(P\) that is suitable for \(A\) is friendly as well (i. e. there is no sequence \(P\) that is suitable for \(A\), but not friendly). For example, the sequence \([2, 4, 16]\) is ideal, while the sequence \([2, 4, 6]\) is not ideal (there exists a sequence \(P = [2, 2, 3]\) which is suitable for \(A\), but not friendly).

You are given \(n\) different integers \(x_1\), \(x_2\), ..., \(x_n\). You have to choose exactly \(k\) of them in such a way that they form an ideal sequence, or report that it is impossible. Note that no integer can be chosen more than once.

Input

The first line contains two integers \(n\) and \(k\) (\(1 \leq k \leq n \leq 1000\)).

The second line contains \(n\) pairwise distinct integers \(x_1\), \(x_2\), ..., \(x_n\) (\(2 \leq x_i \leq 10^{18}\)).

Output

If it is impossible to choose exactly \(k\) integers from \(x_1\), \(x_2\), ..., \(x_n\) in such a way that the chosen integers form an ideal sequence, print \(0\).

Otherwise, print \(k\) pairwise distinct integers — the elements of the chosen ideal sequence. If there are multiple answers, print any of them.

F. Розетки

Бинарный поиск Структуры данных *2600 жадные алгоритмы

// Мы решили не давать легенду про розетки, но вы все еще можете придумать ее сами :^)

Определим цепь:

  • цепь длины \(1\) — это одна вершина;
  • цепь длины \(x\) — это цепь длины \(x-1\) с одной вершиной, присоединенной к ее концу одним ребром.

Даны \(n\) цепей длин \(l_1, l_2, \dots, l_n\). Вы хотите построить дерево, используя некоторые из них.

  • Каждая вершина дерево либо белая, либо черная.
  • Изначально дерево содержит только одну вершину, которая является корневой и белой.
  • Изначально все цепи содержат только белые вершины.
  • Вы можете взять одну из цепей и соединить любую ее вершину с любой белой вершиной дерева ребром. Цепь становится частью дерева. Оба конца ребра становятся черными.
  • Каждая цепь может быть использована не более одного раза.
  • Некоторые цепи можно оставить неиспользованными.

Расстояние между двумя вершинами в дереве равно количеству ребер на кратчайшем пути между ними.

Если в полученном дереве есть хотя бы \(k\) белых вершин, то его значение равно расстоянию от корня до \(k\)-й ближайшей белой вершины.

Какое минимальное значение может иметь полученное дерево? Если не существует способа построить дерева с хотя бы \(k\) белыми вершинами, то выведите -1.

Входные данные

В первой строке записаны два целых числа \(n\) и \(k\) (\(1 \le n \le 2 \cdot 10^5\), \(2 \le k \le 10^9\)) — количество цепей и минимальное количество белых вершин, которые должно иметь дерево.

Во второй строке записаны \(n\) целых чисел \(l_1, l_2, \dots, l_n\) (\(3 \le l_i \le 2 \cdot 10^5\)) — длины цепей.

Выходные данные

Выведите одно целое число. Если не существует способа построить дерева с хотя бы \(k\) белыми вершинами, то выведите -1. В противном случае выведите минимальное значение, которое может иметь дерево.

Примечание

Разрешается использовать не все цепи, поэтому оптимальное использовать только цепь длины \(4\) во втором примере.

B. Дом улыбок

Бинарный поиск графы *2500 матрицы

Дом улыбок создан, чтобы повышать настроение. В нем есть n комнат. Некоторые из комнат соединены дверьми. Про каждые две комнаты (с номерами i и j), которые соединены дверью, Петя знает величину cij — на сколько изменяется у него настроение при переходе из комнаты с номером i в комнату с номером j.

Петя задумался: может ли он поднять себе настроение до бесконечности, двигаясь по какому-нибудь циклу? А если может, то какое минимальное количество комнат ему надо будет проходить за один период цикла?

Входные данные

В первой строке записаны два целых положительных числа n и m (), где n — количество комнат, а m — количество дверей в доме улыбок. Далее идет описание дверей: m строк по четыре целых числа i, j, cij и cji (1 ≤ i, j ≤ n, i ≠ j,  - 104 ≤ cij, cji ≤ 104). Гарантируется, что любые две комнаты соединяет не более одной двери. Никакая дверь не соединяет комнату саму с собой.

Выходные данные

Выведите минимальное количество комнат, которое необходимо проходить за один проход по циклу, бесконечно повышающему настроение, или число 0, если такого цикла не существует.

Примечание

Напомним, что циклом называется такая последовательность комнат a1, a2, ..., ak, что a1 соединена с a2, a2 соединена с a3, ..., ak - 1 соединена с ak, ak соединена с a1. Некоторые элементы последовательности могут совпадать, то есть цикл не обязательно должен быть простым. Количеством комнат в цикле считается k, длина последовательности. Заметим, что минимальная возможная длина равна двум.

A. Странный день рождения

Бинарный поиск дп жадные алгоритмы сортировки *1300

На свой день рождения Петя пригласил \(n\) друзей, у \(i\)-го друга есть параметр \(k_i\). Каждому из приглашенных друзей Петя хочет подарить ровно один подарок. В магазине есть \(m\) различных подарков, которые Петя может купить, каждый подарок можно купить не более одного раза. Подарок номер \(j\) стоит \(c_j\) рублей (\(1 \le c_1 \le c_2 \le \ldots \le c_m\)).

Для \(i\)-го друга Петя может либо купить ему подарок \(j \le k_i\), что будет стоить Пете \(c_j\) рублей, либо заплатить другу \(c_{k_i}\) рублей вместо подарка. Помогите Пете определить наименьшую возможную стоимость проведения праздника.

Входные данные

В первой строке входных данных дано целое число \(t\) (\(1 \leq t \leq 10^3\)) — количество наборов входных данных.

Каждый набор входных данных начинается с целых чисел \(n\) и \(m\) (\(1 \leq n, m \leq 3 \cdot 10^5\)) — количество друзей у Пети и количество подарков.

Во второй строке набора даны \(n\) целых чисел \(k_1, k_2, \ldots, k_n\) (\(1 \leq k_i \leq m\)) — параметры друзей Пети.

В третьей строке набора входных данных даны \(m\) целых чисел \(c_1, c_2, \ldots, c_m\) (\(1 \le c_1 \le c_2 \le \ldots \le c_m \le 10^9\)) — стоимости подарков.

Гарантируется, что сумма \(n\) по всем тестам не превосходит \(3 \cdot 10^5\), и что сумма \(m\) по всем тестам не превосходит \(3 \cdot 10^5\).

Выходные данные

Для каждого набора входных данных выведите минимальное число рублей, которое понадобится Пете для приобретения всех подарков.

Примечание

В примере есть два набора входных данных. В первом у Пети есть \(5\) друзей и \(4\) возможных подарка. Ответ \(30\) достигается, если подарить:

  • \(5\) рублей первому другу.
  • подарок стоимости \(12\) рублей второму другу.
  • подарок стоимости \(5\) рублей третьему другу.
  • подарок стоимости \(3\) рубля четвертому другу.
  • \(5\) рублей пятому другу.

Во втором у Пети есть \(5\) друзей и \(5\) возможных подарков. Ответ \(190\) достигается, если подарить:

  • подарок стоимости \(10\) рублей первому другу.
  • подарок стоимости \(40\) рублей второму другу.
  • \(90\) рублей третьему другу.
  • \(40\) рублей четвертому другу.
  • \(10\) рублей пятому другу.

C. Странное перемешивание

Бинарный поиск Перебор Конструктив интерактив *2500

Это интерактивная задача.

Алиса, Витя, Сева и Антон решили перемешать колоду карт. Для этого они позвали \(n\) своих друзей, усадили их по кругу, пронумеровали от \(1\) до \(n\) против часовой стрелки (то есть друзья \(i\) и \(i+1\) являются соседями, друзья \(1\) и \(n\) тоже соседи) и раздали каждому по \(k\) карт, где \(k\) — четно. Соседом слева человека \(i\) является человек \(i - 1\), а соседом справа — человек \(i + 1\) (за исключением людей \(1\) и \(n\), которые являются соответствующими соседями друг друга).

Каждую секунду происходит следующее: если у человека находится \(x\) карт, то он передаёт \(\lfloor x / 2 \rfloor\) карт своему соседу слева и \(\lceil x / 2 \rceil\) карт соседу справа. Передача карт происходит одновременно для всех игроков.

Оказалось, что человек под номером \(p\) не понял, что он должен делать, и каждую секунду отдаёт все свои карты своему соседу справа. Вы знаете общее число друзей \(n\) и начальное количество карт у каждого из них \(k\), но не знаете \(p\). Ваша задача — узнать \(p\), задавая вопросы вида «сколько карт в данный момент находится у участника с номером \(q\)?», где \(q\) — некоторый выбранный вами индекс. После каждого из ваших вопросов участники произведут ровно один ход, передав карты своим соседям. Вам нужно угадать искомую позицию, задав не более \(1000\) вопросов.

Входные данные

Первая строка содержит два целых числа \(n\) и \(k\) (\(4 \le n \le 10^5\), \(2 \le k \le 10^9\), \(k\) четно) — количество людей и количество карт у каждого из них изначально.

Протокол взаимодействия

Для того, чтобы узнать количество карт в текущий момент у человека под номером \(q\) (\(1 \le q \le n\)), выведите в отдельной строке «? \(q\)». Процесс перемешивания начинается после вашего первого вопроса, таким образом, ответ на первый вопрос всегда в точности равен \(k\).

Когда вы определили человека, который не понял правила, выведите в отдельной строке «! \(p\)», где \(p\) — искомая позиция (\(1 \le p \le n\)), и после этого ваша программа должна немедленно завершиться.

Вам требуется найти искомого человека, задав не более, чем \(1000\) вопросов.

После вывода запроса не забудьте вывести перевод строки и сбросить буфер вывода. В противном случае вы получите вердикт Решение «зависло». Для сброса буфера используйте:

  • fflush(stdout) или cout.flush() в C++;
  • System.out.flush() в Java;
  • flush(output) в Pascal;
  • stdout.flush() в Python;
  • смотрите документацию для других языков.

Взломы

Для того, чтобы сделать взлом, используйте следующий формат теста.

В единственной строке входных данных должны содержаться три числа \(n\), \(k\) и \(p\) (\(4 \le n \le 10^5\), \(2 \le k \le 10^9\), \(k\) четно, \(1 \le p \le n\)) — количество людей, количество карт у каждого из них и искомая позиция.

Примечание

В примере карты передаются следующим образом:

  • \(2\) \(2\) \(2\) \(2\) — у человека \(1\) количество карт равно \(2\).
  • \(1\) \(2\) \(3\) \(2\) — у человека \(1\) количество карт равно \(1\).

После этого количество карт у людей перестаёт меняться.

E. Странная перестановка

Бинарный поиск Структуры данных Комбинаторика реализация дп графы *3200

У Игоря была перестановка \(p_1, p_2, \ldots, p_n\). К сожалению, перестановка выглядела достаточно скучно, так что он решил выбрать несколько непересекающихся подотрезков перестановки и развернуть каждый из них. Стоимость разворота одного отрезка \([l, r]\) (то есть элементов на позициях с \(l\) по \(r\) включительно) равна \(r - l\), а общая стоимость одной операции равна сумме стоимостей разворота для соответствующих отрезков. Игорю на Новый Год подарили целое число \(c\), поэтому его интересуют лишь те операции, стоимость которых не превосходит \(c\).

Затем Игорю стало совсем скучно, и он решил выписать на листочек все перестановки, которые он может получить из исходной, проделав ровно одну операцию. Каждую перестановку он выписал ровно один раз, даже если какую-то перестановку можно было получить несколькими способами. Полученный список Игорь отсортировал лексикографически.

Теперь Денис решил задать Игорю несколько вопросов про его список. Каждый вопрос выглядит следующим образом: чему равно \(i\)-е число в \(j\)-й перестановке в списке Игоря? Разумеется, Игорю слишком скучно заниматься ответами на эти вопросы, так что он обратился к вам за помощью.

Входные данные

В первой строке дано целое число \(t\) (\(1 \leq t \leq 30\)) — количество наборов входных данных.

Первая строка каждого набора входных данных содержит три целых числа \(n\), \(c\), \(q\) (\(1 \leq n \leq 3 \cdot 10^4\), \(1 \leq c \leq 4\), \(1 \leq q \leq 3 \cdot 10^5\)) — размер перестановки, максимальная стоимость операции и число вопросов.

В следующей строке содержатся \(n\) целых чисел \(p_1, p_2, \dots, p_n\) (\(1 \leq p_i \leq n\), \(p_i \neq p_j\) если \(i \neq j\)) — элементы исходной перестановки.

В каждой из следующих \(q\) содержатся описания вопросов, каждое описание состоит из двух целых чисел \(i\) и \(j\) (\(1 \leq i \leq n\), \(1 \leq j \leq 10^{18}\)).

Гарантируется, что сумма \(n\) по всем наборам входных данных не превосходит \(3 \cdot 10^5\), и что сумма \(q\) по всем наборам входных данных не превосходит \(3 \cdot 10^5\).

Выходные данные

Для каждого вопроса в отдельной строке выведите ответ на этот вопрос или \(-1\), если Игорь ошибся и \(j\)-й перестановки не существует на листочке Игоря.

Примечание

В первом примере Игорь выписал на листочек следующие перестановки: \([1, 2, 3]\), \([1, 3, 2]\), \([2, 1, 3]\).

Обратите внимание, что для получения перестановки \([3, 2, 1]\) Игорю пришлось бы развернуть весь массив, а стоимость такой операции равна \(2\), что больше указанного значения \(c=1\). Другие две перестановки не могут быть получены из исходной путем применением операции из условия задачи.

E. Правильная расстановка

Бинарный поиск Структуры данных дп сортировки *1700

Поликарп пригласил \(n\) друзей на встречу Нового года. Во время торжества он решил сделать общую фотографию всех своих друзей. Каждый друг может стоять или лечь на бок.

Каждый друг характеризуется двумя значениями \(h_i\) (его рост) и \(w_i\) (его ширина). На фото \(i\)-й друг будет занимать прямоугольник \(h_i \times w_i\) (если он стоит) или \(w_i \times h_i\) (если он лежит).

Друга с номером \(j\) можно разместить перед \(i\)-м другом на фотографии, если его прямоугольник ниже и уже, чем прямоугольник \(i\)-го друга. Формально должно быть выполнено хотя бы одно из следующих условий:

  • \(h_j < h_i\) и \(w_j < w_i\) (оба друга стоят или оба лежат);
  • \(w_j < h_i\) и \(h_j < w_i\) (один из друзей стоит, а другой лежит).

Например, если \(n = 3\), \(h=[3,5,3]\) и \(w=[4,4,3]\), то:

  • первого друга можно поставить перед вторым: \(w_1 < h_2\) и \(h_1 < w_2\) (один из них стоит, а другой лежит);
  • третьего друга можно поставить перед вторым: \(h_3 < h_2\) и \(w_3 < w_2\) (оба друга стоят или оба лежат).

В других случаях человек на переднем плане будет перекрывать человека на заднем плане.

Помогите Поликарпу для каждого \(i\) найти любой \(j\), такой, что перед \(i\)-м другом может быть расположен \(j\)-й друг (т.е. хотя бы одно из условий выше было выполнено).

Обратите внимание, что вам не нужно находить расположение всех людей для общей фотографии. Вам нужно, чтобы каждый друг \(i\) нашел любого другого друга \(j\), который может оказаться перед ним. Думайте об этом, как о решении \(n\) независимых подзадач.

Входные данные

В первой строке находится одно целое число \(t\) (\(1 \leq t \leq 10^4\)) — количество наборов входных данных. Далее следуют \(t\) наборов входных данных.

В первой строке каждого набора находится одно целое число \(n\) (\(1 \leq n \leq 2 \cdot 10^5\)) — количество друзей.

Далее следуют \(n\) строк, каждая из которых содержит описание соответствующего друга. Каждый друг описывается двумя целыми числами \(h_i\) и \(w_i\) (\(1 \leq h_i, w_i \leq 10^9\)) — рост и ширина \(i\)-го друга, соответственно.

Гарантируется, что сумма \(n\) по всем наборам входных данных не превышает \(2 \cdot 10^5\).

Выходные данные

Для каждого набора входных данных в отдельной строке выведите \(n\) целых чисел, где \(i\)-е число является номером друга, которого можно поставить перед \(i\)-м. Если такого друга не существует, то выведите -1.

Если существует несколько ответов, выведите любой.

Примечание

Первый набор входных данных разобран в условии.

Во третьем наборе входных данных следующие варианты ответы тоже являются верными:

  • \([-1, -1, 1, 2]\);
  • \([-1, -1, 1, 1]\);
  • \([-1, -1, 2, 1]\).

B. Различные делители

Бинарный поиск Конструктив математика *1000 теория чисел жадные алгоритмы

Число \(x\) называется делителем числа \(y\), если \(y\) делится на \(x\) без остатка. Например, \(1\) является делителем \(7\), а \(3\) не является делителем \(8\).

Мы дали Вам число \(d\) и попросили найти наименьшее положительное целое \(a\), обладающее следующими свойствами:

  • у числа \(a\) есть хотя бы \(4\) делителя;
  • разность между любыми двумя различными делителями \(a\) не меньше \(d\).
Входные данные

В первой строке задано одно целое число \(t\) (\(1 \leq t \leq 3000\)) — количество наборов входных данных.

Описание каждого набора состоит из одной строки, в которой задано целое число \(d\) (\(1 \leq d \leq 10000\)).

Выходные данные

Для каждого набора входных данных выведите одно целое число \(a\) — наименьшее число, удовлетворяющее условиям выше.

Примечание

В первом наборе входных данных, число \(6\) имеет делители \([1, 2, 3, 6]\). Их всего \(4\) и разница между любыми двумя их них не менее \(1\). Любое меньшее число имеет меньше \(4\) делителей.

Во втором наборе, число \(15\) имеет делители \([1, 3, 5, 15]\). Их всего \(4\) и разница между любыми двумя из них не менее \(2\).

Ответ \(12\) неверный, потому его делители: \([1, 2, 3, 4, 6, 12]\). И разность между, например, делителями \(2\) и \(3\) меньше \(d=2\).

D. Очистка телефона

Бинарный поиск дп *1800 сортировки

Поликарп часто пользуется своим смартфоном. Он уже установил на него \(n\) приложений. Приложение с номером \(i\) занимает \(a_i\) единиц памяти.

Недавно Поликарпу потребовалось установить новое приложение на свой смартфон. Однако, для установки требуется освободить хотя бы \(m\) единиц памяти (удаляя некоторые приложения).

Конечно же, некоторые приложения для Поликарпа важнее, чем другие. Он придумал следующую систему оценки — каждому приложению он сопоставил целое число \(b_i\):

  • \(b_i = 1\) — обычное приложение;
  • \(b_i = 2\) — важное приложение.

По такой системе оценки, его телефон имеет \(b_1 + b_2 + \ldots + b_n\) очков удобства.

Поликарп считает, что если он удалит приложения с номерами \(i_1, i_2, \ldots, i_k\), то он освободит \(a_{i_1} + a_{i_2} + \ldots + a_{i_k}\) единиц памяти и потеряет \(b_{i_1} + b_{i_2} + \ldots + b_{i_k}\) очков удобства.

Например, если \(n=5\), \(m=7\), \(a=[5, 3, 2, 1, 4]\), \(b=[2, 1, 1, 2, 1]\), то Поликарп может удалить следующие наборы приложений (ниже перечислены не все варианты):

  • приложения с номерами \(1, 4\) и \(5\). В таком случае он освободит \(a_1+a_4+a_5=10\) единиц памяти и потеряет \(b_1+b_4+b_5=5\) очков удобства;
  • приложения с номерами \(1\) и \(3\). В таком случае он освободит \(a_1+a_3=7\) единиц памяти и потеряет \(b_1+b_3=3\) очков удобства.
  • приложения с номерами \(2\) и \(5\). В таком случае он освободит \(a_2+a_5=7\) единиц памяти и потеряет \(b_2+b_5=2\) очков удобства.

Помогите Поликарпу, выберите набор приложений, удалив которые он освободит хотя бы \(m\) единиц памяти и потеряет минимальное количество очков удобства или укажите, что не существует такого набора.

Входные данные

В первой строке записано одно целое число \(t\) (\(1 \le t \le 10^4\)) — количество наборов входных данных. Далее следуют \(t\) наборов входных данных.

В первой строке каждого набора входных данных содержатся два целых числа \(n\) и \(m\) (\(1 \le n \le 2 \cdot 10^5\), \(1 \le m \le 10^9\)) — количество приложений на телефоне Поликарпа и количество единиц памяти, которые требуется освободить.

Во второй строке каждого набора входных данных содержится \(n\) целых чисел \(a_1, a_2, \ldots, a_n\) (\(1 \le a_i \le 10^9\)) — количество единиц памяти, занимаемое приложениями.

В третьей строке каждого набора входных данных содержится \(n\) целых чисел \(b_1, b_2, \ldots, b_n\) (\(1 \le b_i \le 2\)) — оценка каждого приложения по системе Поликарпа.

Гарантируется, что сумма \(n\) по всем наборам входных данных не превышает \(2 \cdot 10^5\).

Выходные данные

Для каждого набора входных данных в отдельной строке выведите:

  • -1, если не существует набора приложений, удаление которых освободит хотя бы \(m\) единиц памяти;
  • минимальное количество очков удобства, которые Поликарп потеряет, если такой набор существует.
Примечание

В первом наборе входных данных оптимально удалить приложения с номерами \(2\) и \(5\), освободив \(7\) единиц памяти. \(b_2+b_5=2\).

Во втором наборе входных данных удалив единственное приложение Поликарп сможет очистить только \(2\) единицы памяти из \(3\) необходимых.

В третьем наборе входных данных оптимально удалить приложения с номерами \(1\), \(2\), \(3\) и \(4\), освободив \(10\) единиц памяти. \(b_1+b_2+b_3+b_4=6\).

В четвертом наборе входных данных оптимально удалить приложения с номерами \(1\), \(3\) и \(4\), освободив \(12\) единиц памяти. \(b_1+b_3+b_4=4\).

В пятом наборе входных данных оптимально удалить приложения с номерами \(1\) и \(2\), освободив \(5\) единиц памяти. \(b_1+b_2=3\).

A. Сумма, кратная K

Бинарный поиск Конструктив математика *1000 жадные алгоритмы

Вам задано два целых числа \(n\) и \(k\).

Вам нужно создать массив длины \(n\) из целых положительных чисел \(a_1, a_2, \dots, a_n\) такой, что сумма \((a_1 + a_2 + \dots + a_n)\) делится на \(k\) и максимум в массиве \(a\) наименьший возможный.

Чему равен наименьший возможный максимальный элемент массива \(a\)?

Входные данные

В первой строке задано одно целое число \(t\) (\(1 \le t \le 1000\)) — количество наборов входных данных.

В первой и единственной строке каждого набора заданы два целых числа \(n\) и \(k\) (\(1 \le n \le 10^9\); \(1 \le k \le 10^9\)).

Выходные данные

Для каждого набора входных данных выведите единственное целое число — наименьший возможный максимальный элемент массива \(a\) такого, что сумма \((a_1 + \dots + a_n)\) делится на \(k\).

Примечание

В первом наборе входных данных \(n = 1\), поэтому массив состоит из одного элемента \(a_1\) и, если мы сделаем \(a_1 = 5\), он будет делиться на \(k = 5\) и будет наименьшим.

Во втором наборе, мы можем создать массив \(a = [1, 2, 1, 2]\). Сумма делится на \(k = 3\) и максимум равен \(2\).

Во третьем наборе, мы можем создать массив \(a = [1, 1, 1, 1, 1, 1, 1, 1]\). Сумма делится на \(k = 8\) и максимум равен \(1\).

B. Инфляция

Бинарный поиск Перебор математика жадные алгоритмы *1300

У вас есть статистика роста цен некоторого товара в виде массива из \(n\) положительных целых чисел \(p_0, p_1, \dots, p_{n - 1}\), где \(p_0\) — это начальная цена товара, а \(p_i\) — это насколько подорожал товар за \(i\)-й месяц.

Используя эти данные вам нужно посчитать коэффициенты инфляции для каждого месяца как отношение текущего подорожания \(p_i\) к цене товара на начало месяца \((p_0 + p_1 + \dots + p_{i - 1})\).

Ваш босс вам ясно дал понять, что коэффициенты инфляции не должны превышать \(k\) %, поэтому вы решили увеличить некоторые значения \(p_i\) таким образом, что все \(p_i\) — все еще целые числа, а коэффициенты инфляции за каждый месяц не будут превосходить \(k\) %.

Вы знаете, что чем сильнее изменения — тем очевиднее обман. А потому вам нужно минимизировать сумму изменений.

Какую наименьшую сумму изменений вам нужно сделать, чтобы все коэффициенты инфляции не превосходили \(k\) %?

Входные данные

В первой строке задано одно целое число \(t\) (\(1 \le t \le 1000\)) — количество наборов входных данных.

В первой строке каждого набора заданы два целых числа \(n\) и \(k\) (\(2 \le n \le 100\); \(1 \le k \le 100\)) — длина массива \(p\) и коэффициент \(k\).

Во второй строке каждого набора заданы \(n\) целых чисел \(p_0, p_1, \dots, p_{n - 1}\) (\(1 \le p_i \le 10^9\)) — массив \(p\).

Выходные данные

Для каждого набора входных данных выведите наименьшую сумму изменений, которые сделают все коэффициенты инфляции не превосходящими \(k\) %.

Примечание

В первом наборе входных данных, вы можете, например, увеличить \(p_0\) на \(50\) и \(p_1\) на \(49\) и получить массив \([20150, 50, 202, 202]\). Тогда у вас получатся следующие коэффициенты инфляции:

  1. \(\frac{50}{20150} \le \frac{1}{100}\);
  2. \(\frac{202}{20150 + 50} \le \frac{1}{100}\);
  3. \(\frac{202}{20200 + 202} \le \frac{1}{100}\);

Во втором наборе, вам не нужно модифицировать массив \(p\), так как все коэффициенты инфляции уже подходят:

  1. \(\frac{1}{1} \le \frac{100}{100}\);
  2. \(\frac{1}{1 + 1} \le \frac{100}{100}\);

F. Фонари

Бинарный поиск Структуры данных дп *3000

На прямой расположено \(n\) фонарей. Фонарь с номером \(i\) находится в позиции \(i\) и имеет мощность \(p_i\).

Каждый фонарь может быть направлен так, чтобы осветить либо несколько фонарей слева, либо несколько фонарей справа. Если \(i\)-й фонарь повернут влево, то он освещает все такие фонари \(j\), что \(j \in [i - p_i, i - 1]\). Аналогично, если он повернут вправо, то он освещает все такие фонари \(j\), что \(j \in [i + 1, i + p_i]\).

Вам предстоит выбрать направление для каждого фонаря так, чтобы каждый фонарь освещался хотя бы одним другим фонарем, или сообщить, что это невозможно.

Входные данные

Первая строка содержит одно целое число \(t\) (\(1 \le t \le 10000\)) — количество наборов входных данных.

Каждый набор состоит из двух строк. Первая строка содержит одно целое число \(n\) (\(2 \le n \le 3 \cdot 10^5\)) — количество фонарей.

Вторая строка содержит \(n\) целых чисел \(p_1, p_2, \dots, p_n\) (\(0 \le p_i \le n\)) — мощность \(i\)-го фонаря.

Сумма \(n\) по всем наборам входных данных не превышает \(3 \cdot 10^5\).

Выходные данные

Для каждого набора входных данных выведите ответ следующим образом:

Если можно направить все фонари так, чтобы каждый фонарь был освещен, выведите YES в первой строке и строку из \(n\) символов L и/или R (\(i\)-й символ равен L, если \(i\)-й фонарь повернут влево, в противном случае этот символ - R) во второй строке. Если ответов несколько, вы можете вывести любой из них.

Если ответа нет, просто выведите NO для этого набора входных данных.

A. В поисках локального минимума

Бинарный поиск Тернарный поиск *1700 интерактив

Это интерактивная задача.

Гомеру очень нравятся массивы, и он хочет поиграть с вами в игру. Гомер загадал перестановку \(a_1, a_2, \dots, a_n\) чисел от \(1\) до \(n\). Вас просят найти любой индекс \(k\) (\(1 \leq k \leq n\)), который является локальным минимумом.

Для массива \(a_1, a_2, \dots, a_n\) индекс \(i\) (\(1 \leq i \leq n\)) считается локальным минимумом, если \(a_i < \min\{a_{i-1},a_{i+1}\}\), где \(a_0 = a_{n+1} = +\infty\). Массив называется перестановкой чисел от \(1\) до \(n\), если он содержит все целые числа от \(1\) до \(n\) ровно один раз.

Изначально вам дается только значение \(n\) без какой-либо другой информации об этой перестановке. На каждом шаге взаимодействия вы можете выбрать любой индекс \(i\) (\(1 \leq i \leq n\)) и сделать с ним запрос. В ответ вы получите значение \(a_i\).

Вы должны найти любой индекс \(k\), который является локальным минимумом, за не более чем \(100\) запросов.

Протокол взаимодействия

Вы начинаете взаимодействие с чтения целого числа \(n\) (\(1\le n \le 10^5\)) в отдельной строке.

Чтобы сделать запрос с индексом \(i\) (\(1 \leq i \leq n\)), необходимо в отдельной строке вывести «? \(i\)». Затем считайте в отдельной строке значение \(a_i\). Количество запросов «?» должно не превышать \(100\).

Чтобы вывести индекс \(k\) (\(1 \leq k \leq n\)), который является локальным минимумом, выведите «! \(k\)» в отдельной строке и завершите вашу программу.

В случае, если ваш запрос имеет неверный формат, или вы сделали более \(100\) запросов типа «?», вы получите вердикт Неправильный ответ.

После вывода запроса не забудьте вывести перевод строки и сбросить буфер вывода. В противном случае вы получите вердикт Решение «зависло». Для сброса буфера используйте:

  • fflush(stdout) или cout.flush() в C++;
  • System.out.flush() в Java;
  • flush(output) в Pascal;
  • stdout.flush() в Python;
  • смотрите документацию для других языков.

Формат взломов

Первая строка взлома должна содержать единственное целое число \(n\) (\(1 \leq n \leq 10^5\)).

Вторая строка должна содержать попарно различные целые числа \(n\) \(a_1, a_2, \dots, a_n\) (\(1 \leq a_i \leq n\)).

Примечание

В примере в первой строке содержится целое число \(5\), указывающее на то, что длина массива составляет \(n = 5\).

В примере делается пять запросов «?», после которых мы делаем вывод, что массив равен \(a = [3,2,1,4,5]\) и \(k = 3\) является локальным минимумом.

D. Странный источник минералов

Бинарный поиск Деревья Перебор Структуры данных Теория вероятностей битмаски *2900

В стране Гомера есть \(n\) городов с номерами от \(1\) до \(n\), которые образуют дерево. Иначе говоря, между этими \(n\) городами есть \((n-1)\) неориентированных дорог, и с каждого города можно попасть в любой другой по этим дорогам.

Страна Гомера — индустриальная страна, и каждый из \(n\) городов в ней содержит некоторый минеральный ресурс. Минеральный ресурс города \(i\) обозначен как \(a_i\).

Гомеру даны планы страны на \(q\) следующих лет. План \(i\)-го года описывается четырьмя параметрами \(u_i, v_i, l_i\) и \(r_i\), и он должен найти любой такой минеральный ресурс \(c_i\) такой, что выполняются два условия:

  • минеральный ресурс \(c_i\) встречается нечетное количество раз между городами \(u_i\) и \(v_i\);
  • \(l_i \leq c_i \leq r_i\).

Так как вы лучший друг Гомера, он просит вас о помощи. Для каждого плана найдите любой такой минерал \(c_i\) или скажите, что его нет.

Входные данные

Первая строка содержит два целых числа \(n\) (\(1 \leq n \leq 3 \cdot 10^5\)) и \(q\) (\(1 \leq q \leq 3 \cdot 10^5\)) — количество городов и количество планов соответственно.

Вторая строка содержит \(n\) целых чисел \(a_1, a_2, \dots, a_n\) (\(1 \leq a_i \leq n\)).

\(i\)-я строка из следующих \((n-1)\) строк содержит два целых числа \(x_i\) и \(y_i\) (\(1 \leq x_i, y_i \leq n\)) с \(x_i \neq y_i\), обозначающие дорогу между городами \(x_i\) и \(y_i\). Гарантируется, что данные дороги образуют дерево.

\(i\)-я строка из следующих \(q\) строк содержит четыре целых числа \(u_i\), \(v_i\), \(l_i\), \(r_i\) (\(1 \leq u_i \leq n\), \(1 \leq v_i \leq n\), \(1 \leq l_i \leq r_i \leq n\)), указывающие на план города в \(i\)-й год.

Выходные данные

Выведите \(q\) строк, \(i\)-я из которых содержит целое число \(c_i\), такое, что

  • \(c_i = {-1}\), если нет такого минерального ресурса, который соответствовал бы требуемому условию; или
  • \(c_i\) — это номер выбранного минерального ресурса в \(i\)-м году. Выбранный минеральный ресурс \(c_i\) должен удовлетворять условиям \(i\)-го года, описанным выше в условии задачи. Если есть несколько подходящих \(c_i\), вы можете вывести любой из них.
Примечание

В первых трех запросах четыре города находятся между городом \(3\) и городом \(5\), а именно: город \(1\), город \(2\), город \(3\) и город \(5\). В них представлены минеральные ресурсы \(1\) (появляется в городах \(3\) и \(5\)), \(2\) (появляется в городе \(2\)) и \(3\) (появляется в городе \(1\)). Следует отметить, что

  • Первый запрос заключается только в том, чтобы проверить, появляется ли минеральный источник \(1\) нечетное количество раз между городом \(3\) и городом \(5\). Ответ — нет, потому что минеральный источник \(1\) появляется дважды (четное число раз) между городом \(3\) и городом \(5\).
  • Второй и третий запросы одинаковы, но они могут выбирать разные минеральные ресурсы. Вы можете выбрать любой из \(2\) и \(3\).

G. Ва-банк

Бинарный поиск интерактив *3200

Густав — старший менеджер большого банка. У него есть неограниченный доступ в базу данных банка, и в несколько кликов он может переместить любую сумму со счета банковского резерва на свой личный счет. Однако банк недавно внедрил популярную систему, использующую искусственный интеллект, для отслеживания мошеннических операций, что затрудняет кражу.

Густав знает, что данная система просто отслеживает все операции, превышающие сумму в \(M\) евро, и такие операции проверяются вручную некоторым количеством банковских работников. Поэтому любая мошенническая операция, превышающая данный лимит, будет обнаружена, а любая меньшая операция останется незамеченной.

Густав не знает значение лимита \(M\) и хочет его найти. За одну операцию он может выбрать некоторое целое число \(X\) и попробовать переместить \(X\) евро из банковского резерва на личный счет. Затем случается следующее.

  • Если \(X \le M\), то операция остается незамеченной и баланс на счете Густава увеличивается на \(X\) евро.
  • В противном случае, если \(X > M\), операцию обнаруживают и отменяют. Более того, в таком случае Густаву нужно оплатить штраф в \(X\) евро со своего счета. Если у него на счете меньше, чем \(X\) евро, то его увольняют и передают полиции.

Изначально на счету Густава \(1\) евро. Помогите ему найти точное значение \(M\) за не более чем \(105\) операций, не допуская увольнения.

Входные данные

Каждый тест состоит из нескольких наборов входных данных. В первой строке находится одно целое число \(t\) (\(1 \le t \le 1000\)) — количество наборов входных данных.

В каждом наборе входных данных нет никаких входных данных до вашего первого запроса. Гарантируется, что \(M\) — целое число, и \(0 \le M \le 10^{14}\).

Выходные данные

В каждом наборе входных данных, когда вы знаете значение \(M\), выведите одну строку формата «! \(M\)». После этого ваша программа должна перейти к следующему набору входных данных или завершиться, если это был последний набор.

Протокол взаимодействия

Когда вы хотите сделать операцию, выведите строку формата «? \(X\)», означающую, что вы пробуете переместить \(X\) евро (\(1 \le X \le 10^{14}\)). К качестве ответа считайте одну строку, которая может принимать следующие значения:

  • «Lucky!», если \(X \le M\). Баланс вашего счета увеличивается на \(X\).
  • «Fraudster!», если \(X > M\). Баланс вашего счета уменьшается на \(X\).
  • «Fired!», если \(X > M\), но вы не можете выплатить \(X\) евро штрафа. В таком случае ваша программа должна немедленно завершиться. Вы также получите такой ответ, если превысили максимальное число запросов.

Вы можете сделать не более чем \(105\) запросов такого типа в каждом наборе входных данных.

После вывода запроса не забудьте вывести перевод строки и сбросить буфер вывода. В противном случае вы получите вердикт Решение «зависло». Для сброса буфера используйте:

  • fflush(stdout) или cout.flush() в C++;
  • System.out.flush() в Java;
  • flush(output) в Pascal;
  • stdout.flush() в Python;
  • смотрите документацию для других языков.

Взломы

Чтобы сделать взлом, подготовьте входные данные в следующем формате.

Первая строка содержит одно целое число \(t\) (\(1 \le t \le 1000\)) — количество наборов входных данных.

Каждый набор входных данных описывается строкой, содержащей одно целое число \(M\) (\(0 \le M \le 10^{14}\)).

Примечание

В примере \(M = 5\), поэтому операция \(X = 6\) будет обнаружена. В этот момент баланс счета Густава составляет \(16\) евро, поэтому он просто платит штраф.

C. Деление и остаток

Бинарный поиск Перебор математика теория чисел *1700

Пара положительных целых чисел \((a,b)\) называется специальной, если \(\lfloor \frac{a}{b} \rfloor = a \bmod b\). Здесь \(\lfloor \frac{a}{b} \rfloor\) — это результат целочисленного деления \(a\) на \(b\), а \(a \bmod b\) — это остаток от такого деления.

Вам даны два целых числа \(x\) и \(y\). Найдите количество специальных пар \((a,b)\) таких, что \(1\leq a \leq x\) и \(1 \leq b \leq y\).

Входные данные

В первой строке находится единственное целое число \(t\) (\(1 \le t \le 100\)) — количество наборов входных данных.

В единственной строке описания каждого набора входных данных находятся два целых числа \(x\), \(y\) (\(1 \le x,y \le 10^9\)).

Выходные данные

Для каждого набора входных данных выведите ответ в единственной строке.

Примечание

В первом наборе входных данных единственная специальная пара — это \((3, 2)\).

Во втором наборе входных данных нет ни одной специальной пары.

В третьем наборе входных данных есть две специальные пары: \((3, 2)\) и \((4, 3)\).

B. Восточная выставка

Бинарный поиск геометрия *1500 сортировки кратчайшие пути

Вы и ваши друзья живете в \(n\) домах. Каждый дом расположен на 2D плоскости в точке с целыми координатами. Несколько домов могут быть расположены в одной точке. Мэр города хочет узнать у вас возможные места для постройки здания Восточной выставки. Найдите количество мест (точек с целыми координатами) таких, что суммарное расстояние от всех домов до выставки будет минимальным. Здание выставки может быть построено в той же точке, что и какой-то дом. Расстояние между двумя точками \((x_1, y_1)\) и \((x_2, y_2)\) считается по формуле \(|x_1 - x_2| + |y_1 - y_2|\), где \(|x|\) — модуль величины \(x\).

Входные данные

В первой строке находится единственное целое число \(t\) \((1 \leq t \leq 1000)\) — число наборов входных данных.

В первой строке каждого теста находится единственное целое число \(n\) \((1 \leq n \leq 1000)\). В следующих \(n\) строках находятся позиции домов \((x_i, y_i)\) \((0 \leq x_i, y_i \leq 10^9)\).

Гарантируется, что сумма \(n\) не превосходит \(1000\).

Выходные данные

Для каждого набора входных данных выведите единственное число — количество различных позиций для здания выставки. Здание выставки может быть построено в той же точке, что и какой-то дом.

Примечание

Снизу находятся картинки поясняющие примеры. Голубые точки обозначают дома, а зеленые - возможные позиции для выставки.

Первый пример.

Второй пример.

Третий пример.

Четвертый пример.

Пятый пример.

Шестой пример. Оба дома находятся в позиции \((0, 0)\).

C1. Найти наибольшее (простая версия)

Бинарный поиск *1600 интерактив

Единственная разница в легкой и сложной версии это ограничение на количество запросов.

Это интерактивная задача.

Есть массив \(a\) из \(n\) различных чисел. За один запрос вы можете узнать позицию второго максимума на подотрезке \(a[l..r]\). Найдите позицию максимального элемента в массиве за не более чем 40 запросов.

Подотрезком \(a[l..r]\) называются все элементы \(a_l, a_{l + 1}, ..., a_r\). После запроса этого подотрезка на ввод вы получите позицию второго максимума из этого подотрезка во всём массиве.

Входные данные

В первой строке находится единственное целое число \(n\) \((2 \leq n \leq 10^5)\) — число элементов в массиве.

Протокол взаимодействия

Вы можете делать запросы посредством вывода «? \(l\) \(r\)» \((1 \leq l < r \leq n)\). Ответом будет выведена позиция второго максимума среди элементов \(a_l, a_{l + 1}, \ldots, a_r\). Массив \(a\) заранее зафиксирован и не может быть изменен во время интеракции.

Вы можете вывести ответ, выведя «! \(p\)», где \(p\) — индекс максимального элемента во всем массиве.

Вы можете сделать не более 40 запросов. Вывод ответа не считается за запрос.

После вывода запроса не забудьте вывести перевод строки и сбросить буфер вывода. В противном случае вы получите вердикт Решение «зависло». Для сброса буфера используйте:

  • fflush(stdout) или cout.flush() в C++;
  • System.out.flush() в Java;
  • flush(output) в Pascal;
  • stdout.flush() в Python;
  • смотрите документацию для других языков.

Взломы

Для того, чтобы сделать взлом, используйте следующий формат теста.

В первой строке выведите одно целое число \(n\) \((2 \leq n \leq 10^5)\). Во второй строке выведите перестановку \(n\) целых чисел от \(1\) до \(n\). Позиция числа \(n\) в перестановке и будет позицией максимума.

Примечание

В примере представьте, что \(a\) это \([5, 1, 4, 2, 3]\). Так, после запроса подотрезка \([1..5]\) элемент со значением \(4\) является вторым по значению и стоит на позиции \(3\). После запроса подтрезка \([4..5]\) элемент со значением \(2\) является вторым по значению и стоит на позиции \(4\) во всём массиве.

Заметьте, что существуют другие массивы \(a\), для которых интеракция выглядит точно также, а ответ может быть другим. Пример вывода дан для понимания интеракции.

C2. Найти наибольшее (сложная версия)

Бинарный поиск *1900 интерактив

Единственная разница в легкой и сложной версии это ограничение на количество запросов.

Это интерактивная задача.

Есть массив \(a\) из \(n\) различных чисел. За один запрос вы можете узнать позицию второго максимума на подотрезке \(a[l..r]\). Найдите позицию максимального элемента в массиве за не более чем 20 запросов.

Подотрезком \(a[l..r]\) называются все элементы \(a_l, a_{l + 1}, ..., a_r\). После запроса этого подотрезка на ввод вы получите позицию второго максимума из этого подотрезка во всём массиве.

Входные данные

В первой строке находится единственное целое число \(n\) \((2 \leq n \leq 10^5)\) — число элементов в массиве.

Протокол взаимодействия

Вы можете делать запросы посредством вывода «? \(l\) \(r\)» \((1 \leq l < r \leq n)\). Ответом будет выведена позиция второго максимума среди элементов \(a_l, a_{l + 1}, ..., a_r\). Массив \(a\) заранее зафиксирован и не может быть изменен во время интеракции.

Вы можете вывести ответ, выведя «! \(p\)», где \(p\) — индекс максимального элемента во всем массиве.

Вы можете сделать не более 20 запросов. Вывод ответа не считается за запрос.

После вывода запроса не забудьте вывести перевод строки и сбросить буфер вывода. В противном случае вы получите вердикт Решение «зависло». Для сброса буфера используйте:

  • fflush(stdout) или cout.flush() в C++;
  • System.out.flush() в Java;
  • flush(output) в Pascal;
  • stdout.flush() в Python;
  • смотрите документацию для других языков.

Взломы

Для того, чтобы сделать взлом, используйте следующий формат теста.

В первой строке выведите одно целое число \(n\) \((2 \leq n \leq 10^5)\). Во второй строке выведите перестановку \(n\) целых чисел от \(1\) до \(n\). Позиция числа \(n\) в перестановке и будет позицией максимума.

Примечание

В примере представьте, что \(a\) это \([5, 1, 4, 2, 3]\). Так, после запроса подотрезка \([1..5]\) элемент со значением \(4\) является вторым по значению и стоит на позиции \(3\). После запроса подтрезка \([4..5]\) элемент со значением \(2\) является вторым по значению и стоит на позиции \(4\) во всём массиве.

Заметьте, что существуют другие массивы \(a\), для которых интеракция выглядит точно также, а ответ может быть другим. Пример вывода дан для понимания интеракции.

D. Максимальная медиана

Бинарный поиск Структуры данных *2100 дп

У вас есть массив \(a\) длины \(n\). Найдите такой подмассив \(a[l..r]\) длиной хотя бы \(k\), что у него максимально возможная медиана.

Медианой в массиве длины \(n\) называется элемент, стоящий на позиции \(\lfloor \frac{n + 1}{2} \rfloor\) после сортировки всех элементов в неубывающем порядке. Например: \(median([1, 2, 3, 4]) = 2\), \(median([3, 2, 1]) = 2\), \(median([2, 1, 2, 1]) = 1\).

Подмассив \(a[l..r]\) — это последовательная часть массива \(a\), то есть массив \(a_l,a_{l+1},\ldots,a_r\) для каких-то \(1 \leq l \leq r \leq n\), он имеет длину \(r - l + 1\).

Входные данные

В первой строке находятся два целых числа \(n\) и \(k\) (\(1 \leq k \leq n \leq 2 \cdot 10^5\)).

Во второй строке находятся \(n\) целых чисел \(a_1, a_2, \ldots, a_n\) (\(1 \leq a_i \leq n\)).

Выходные данные

Выведите одно целое число \(m\) — максимальную медиану, которую можно получить.

Примечание

В первом примере все возможные массивы: \([1..3]\), \([1..4]\), \([1..5]\), \([2..4]\), \([2..5]\) и \([3..5]\), и во всех них медиана равна \(2\), соответственно, максимальная медиана также равна \(2\).

Во втором примере \(median([3..4]) = 3\).

E. Парный платёж

Бинарный поиск Потоки Перебор Конструктив дп графы *2200 кратчайшие пути

В стране \(n\) городов и \(m\) двунаправленных дорог. Дороги в стране формируют неориентированный взвешенный граф. Граф может быть несвязным. У каждой дороги есть свой параметр \(w\). Вы можете ездить по дорогам, но правительство издало новый закон: вы можете проезжать только по двум дорогам сразу (проехать из города \(a\) в город \(b\), и из города \(b\) в город \(c\)) и вы должны будете заплатить \((w_{ab} + w_{bc})^2\) денег, чтобы проехать по этим дорогам. Для каждого города \(t\) найдите, можно ли добраться до него из города \(1\), и какое наименьшее количество денег необходимо потратить, чтобы добраться из \(1\) в \(t\).

Входные данные

В первой строке находятся два целых числа \(n\), \(m\) (\(2 \leq n \leq 10^5\), \(1 \leq m \leq min(\frac{n \cdot (n - 1)}{2}, 2 \cdot 10^5)\)).

В следующих \(m\) строках находятся по три целых числа \(v_i\), \(u_i\), \(w_i\) (\(1 \leq v_i, u_i \leq n\), \(1 \leq w_i \leq 50\), \(u_i \neq v_i\)). Гарантируется, что в графе нет кратных рёбер, то есть для любого ребра \((u_i, v_i)\) не существует других рёбер \((u_i, v_i)\) или \((v_i, u_i)\).

Выходные данные

Для каждого города \(t\) выведите одно целое число. Если нет корректного пути из \(1\) в \(t\) выведите \(-1\). Иначе выведите минимальное необходимое количество денег, чтобы добраться из \(1\) в \(t\).

Примечание

Граф в первом примере выглядит так.

Во втором примере путь из \(1\) в \(3\) проходит через \(2\), так что результирующая стоимость поездки будет \((1 + 2)^2 = 9\).

D. Пифагоровы тройки

Бинарный поиск Перебор математика *1500 теория чисел

Пифагорова тройка — это тройка целых чисел \((a, b, c)\) таких, что можно образовать прямоугольный треугольник с длинами первого катета, второго катета и гипотенузы, равными \(a\), \(b\) и \(c\) соответственно. Примером пифагоровой тройки является \((3, 4, 5)\).

Вася изучает свойства прямоугольных треугольников, и он использует формулу, которая определяет, является ли некоторая тройка целых чисел пифагоровой. К сожалению, он забыл точную формулу; он помнит только, что формула была каким-то уравнением с квадратами. Поэтому он придумал следующую формулу: \(c = a^2 - b\).

Очевидно, что это неправильная формула для проверки, является ли тройка чисел пифагоровой. Но, к удивлению Васи, его формула сработала на тройке \((3, 4, 5)\): \(5 = 3^2 - 4\) поэтому по формуле Васи, это пифагорова тройка.

Когда Вася нашел правильную формулу (и понял, что его формула неверна), он задался вопросом: сколько существует троек целых чисел \((a, b, c)\) \(1 \le a \le b \le c \le n\) таких, что они являются пифагоровыми как по его формуле, так и по настоящему определению? Он попросил вас посчитать количество таких троек.

Входные данные

Первая строка содержит одно целое число \(t\) (\(1 \le t \le 10^4\)) — количество наборов входных данных.

Каждый набор состоит из одной строки, содержащей одно целое число \(n\) (\(1 \le n \le 10^9\)).

Выходные данные

Для каждого теста выведите одно целое число — количество троек целых чисел \((a, b, c)\) \(1 \le a \le b \le c \le n\) таких, чтобы они являются пифагоровыми как по настоящему определению, так и по формуле, которую придумал Вася.

Примечание

Единственная пифагорова тройка, удовлетворяющая \(c = a^2 - b\) и \(1 \le a \le b \le c \le 9\), является \((3, 4, 5)\); поэтому ответ для \(n = 3\) равен \(0\), а ответ для \(n = 6\) (и для \(n = 9\)) равен \(1\).

C. Двое полицейских

Бинарный поиск Перебор математика *особая задача *1900

Задана улица, которую можно представить массивом длины \(n\).

Двое полицейских патрулируют эту улицу: первый стоит в точке \(x\), а второй стоит в точке \(y\).

В течение одной минуты оба полицейских могут решить, что им делать (независимо): пойти влево (если текущая позиция больше \(1\)), пойти вправо (если текущая позиция меньше \(n\)), или же не делать ничего.

Улица считается чистой, если каждая точка улицы посещена хотя бы одним полицейским.

Ваша задача — найти минимальное количество минут, необходимое полицейским для того, чтобы посетить каждую точку улицы (опять же, каждая точка должна быть посещена хотя бы одним из них).

Вам необходимо ответить на \(t\) независимых наборов тестовых данных.

Входные данные

Первая строка входных данных содержит одно целое число \(t\) (\(1 \le t \le 2 \cdot 10^4\)) — количество наборов тестовых данных. Затем следуют \(t\) наборов тестовых данных.

Единственная строка набора тестовых данных содержит три целых числа \(n\), \(x\) и \(y\) (\(2 \le n \le 10^6\); \(1 \le x, y \le n\); \(x \ne y\)) — длину улицы, позицию первого полицейского и позицию второго полицейского, соответственно.

Гарантируется, что сумма \(n\) не превосходит \(10^6\) (\(\sum n \le 10^6\)).

Выходные данные

Для каждого набора тестовых данных выведите одно целое число — минимальное количество минут, необходимое полицейским, чтобы посетить каждую точку улицы.

D. Марафон решения задач

Бинарный поиск *особая задача жадные алгоритмы *1900

Поликарп решил устроить себе марафон решения задач. Он хочет решить \(s\) задач за \(n\) дней. Пусть \(a_i\) будет количеством задач, которые он решит в \(i\)-й день. Он хочет найти такое разбиение задач на дни, что:

  • \(a_i\) — это целое число для всех \(i\) от \(1\) до \(n\);
  • \(a_i \ge 1\) для всех \(i\) от \(1\) до \(n\);
  • \(a_{i + 1} \ge a_i\) для всех \(i\) от \(1\) до \(n-1\);
  • \(a_{i + 1} \le 2 \cdot a_i\) для всех \(i\) от \(1\) до \(n-1\);
  • \(a_n\) как можно больше.

Обратите внимание, что \(a_1\) может быть произвольно большим.

Какое наибольшее значение \(a_n\) Поликарп может получить?

Входные данные

В первой строке записано одно целое число \(t\) (\(1 \le t \le 1000\)) — количество наборов входных данных.

Затем следуют описания \(t\) наборов входных данных.

В единственной строке каждого набора входных данных записаны два целых числа \(n\) и \(s\) (\(1 \le n \le s \le 10^{18}\)) — количество дней и количество задач, которые Поликарп хочет решить.

Гарантируется, что разбиение всегда существует в данных ограничениях.

Выходные данные

На каждый набор входных данных выведите одно целое число — наибольшее значение \(a_n\).

Примечание

В первом наборе входных данных есть только одно разбиение: \([15]\).

Во втором примере разбиение, которое максимизирует \(a_n\): \([2, 3, 4]\).

В третьем примере разбиение, которое максимизирует \(a_n\): \([2, 4]\). \([3, 3]\) является корректным разбиением, но \(a_n=3\), что меньше \(4\). \([1, 5]\) не является корректным разбиением, потому что \(5 > 2 \cdot 1\).

F. Dogecoin

Бинарный поиск Структуры данных *особая задача *особая задача *2300

В последнее время криптовалюты становятся все более популярными. Аня решила, что самое время начать майнинг криптовалюты Dogecoin. Компьютер у Ани не очень мощный, поэтому Аня добывает ровно \(1\) Dogecoin в день. В интернете есть прогнозы стоимости \(1\) Dogecoin на ближайшие \(n\) дней. Каждый день Аня может продать любое количество Dogecoin, которое у нее сейчас есть. Обратите внимание, что если Аня добыла dogecoin в \(i\)-й день, то она может продать его в тот же день.

Аня еще не решила, когда начинать майнинг. Она подготовила \(q\) возможных планов и для каждого из них хочет знать максимальную прибыль, которую она может получить. Каждый из планов описывается двумя числами \(l\) и \(r\) — первый и последний дни майнинга. Обратите внимание, что после \(r\)-го дня у Ани не должно остаться ни одного Dogecoin.

Входные данные

Первая строка содержит одно целое число \(n\) (\(1 \le n \le 2 \cdot 10^5\)).

Вторая строка содержит \(n\) целых чисел \(c_1, c_2, \dots, c_n\) (\(1 \le c_i \le 10^6\)), где \(c_i\) — стоимость Dogecoin в \(i\)-й день.

Третья строка содержит одно целое число \(q\) (\(1 \le q \le 2 \cdot 10^5\)) — количество планов Ани.

Следующие \(q\) строк содержат по два целых числа \(l\) и \(r\) (\(1 \le l \le r \le n\)) — первый и последний дни майнинга.

Выходные данные

Для каждого плана Ани выведите одно целое число — максимальную прибыль, которую она может получить, используя этот план.

C. Сумма кубов

Бинарный поиск Перебор Перебор математика *1100

Вам дано целое положительное число \(x\). Проверьте, представимо ли число \(x\) в виде суммы кубов двух целых положительных чисел.

Формально, вам нужно проверить, существует ли два целых числа \(a\) и \(b\) (\(1 \le a, b\)), таких что \(a^3+b^3=x\).

Например, если \(x = 35\), то подходят числа \(a=2\) и \(b=3\) (\(2^3+3^3=8+27=35\)). Если же \(x=4\), то ни одна пара чисел \(a\) и \(b\) не подходит.

Входные данные

В первой строке находится одно целое число \(t\) (\(1 \le t \le 100\)) — количество наборов входных данных. Далее следуют \(t\) наборов входных данных.

Каждый набор входных данных состоит из одного целого положительного числа \(x\) (\(1 \le x \le 10^{12}\)).

Обратите внимание, что числа в некоторых наборах входных данных не помещаются в \(32\)-битный целочисленный тип, поэтому вы должны использовать как минимум \(64\)-битный целочисленный тип вашего языка программирования.

Выходные данные

Для каждого набора входных данных в отдельной строке выведите:

  • «YES», если число \(x\) представимо в виде суммы кубов двух целых положительных чисел.
  • «NO» в противном случае.

Вы можете выводить «YES» и «NO» в любом регистре (например, строки yEs, yes, Yes и YES будут распознаны как положительный ответ).

Примечание

Число \(1\) не представимо в виде суммы двух кубов.

Число \(2\) представимо в виде \(1^3+1^3\).

Число \(4\) не представимо в виде суммы двух кубов.

Число \(34\) не представимо в виде суммы двух кубов.

Число \(35\) представимо в виде \(2^3+3^3\).

Число \(16\) представимо в виде \(2^3+2^3\).

Число \(703657519796\) представимо в виде \(5779^3+7993^3\).

E. Случайная победа

Бинарный поиск Структуры данных *1400 жадные алгоритмы

В Берляндии проводится чемпионат, в котором участвует \(n\) игроков. У игрока с номером \(i\) есть \(a_i\) (\(a_i \ge 1\)) фишек.

Чемпионат состоит из \(n-1\) игры, которые проводятся по следующим правилам:

  • в каждой игре выбирается два случайных игрока с ненулевым количеством фишек;
  • победителем игры считается игрок, у которого больше фишек (при равенстве победитель выбирается случайно);
  • победивший игрок забирает себе все фишки проигравшего.

Последний игрок с ненулевым количеством фишек считается победителем чемпионата.

Все случайные решения, которые принимаются во время чемпионата, принимаются равновероятно и независимо.

Например если \(n=4\), \(a = [1, 2, 4, 3]\), то один из вариантов развития игры следующий (могли быть и другие варианты):

  • во время первой игры были выбраны первый и четвертый игроки. Количество фишек у четвертого игрока больше, поэтому он забирает фишки первого игрока. Теперь \(a = [0, 2, 4, 4]\);
  • во время второй игры были выбраны четвертый и третий игроки. Количество фишек у них однаково, но случайным образом третий игрок стал победителем. Теперь \(a = [0, 2, 8, 0]\);
  • во время третьей игры были выбраны второй и третий игроки. Количество фишек у третьего игрока больше, поэтому он забирает фишки второго игрока. Теперь \(a = [0, 0, 10, 0]\);
  • третий игрок объявляется победителем чемпионата.

Победители чемпионата получат именные призы. Поэтому судьи хотят заранее узнать, какие игроки имеют шанс на победу, то есть, имеют ненулевую вероятность выиграть чемпионат. Вам было поручено найти всех таких игроков.

Входные данные

В первой строке находится одно целое число \(t\) (\(1 \le t \le 10^4\)) — количество наборов входных данных. Далее следуют \(t\) наборов входных данных.

Первая строка каждого набора входных данных состоит из одного целого положительного числа \(n\) (\(1 \le n \le 2 \cdot 10^5\)) — количества игроков в чемпионате.

Во второй строке каждого набора входных данных находятся \(n\) целых положительных чисел \(a_1, a_2, \ldots, a_n\) (\(1 \le a_i \le 10^9\)) — количества фишек у игроков.

Гарантируется, что сумма \(n\) по всем наборам входных данных не превышает \(2 \cdot 10^5\).

Выходные данные

Для каждого набора входных данных выведите количество игроков, которые имеют ненулевую вероятность выиграть чемпионат. На следующей строке выведите номера этих игроков в возрастающем порядке. Игроки пронумерованы начиная с единицы в порядке следования во входных данных.

F. Уравняй массив

Бинарный поиск Структуры данных математика *1500 жадные алгоритмы сортировки

Поликарпу подарили массив \(a\) длины \(n\). Поликарп считает массив красивым, если существует такое число \(C\), что каждое число встречается в массиве либо ноль, либо \(C\) раз. Поликарп хочет удалить из массива \(a\) некоторые элементы, чтобы сделать массив красивым.

Например, если \(n=6\) и \(a = [1, 3, 2, 1, 4, 2]\), то возможны следующие варианты сделать массив \(a\) красивым:

  • Поликарп удаляет элементы на позициях \(2\) и \(5\), массив \(a\) становится равным \([1, 2, 1, 2]\);
  • Поликарп удаляет элементы на позициях \(1\) и \(6\), массив \(a\) становится равным \([3, 2, 1, 4]\);
  • Поликарп удаляет элементы на позициях \(1, 2\) и \(6\), массив \(a\) становится равным \([2, 1, 4]\);

Помогите Поликарпу определить: какое минимальное количество элементов необходимо удалить из массива \(a\), чтобы сделать его красивым.

Входные данные

В первой строке находится одно целое число \(t\) (\(1 \le t \le 10^4\)) — количество наборов входных данных. Далее следуют \(t\) наборов входных данных.

Первая строка каждого набора входных данных состоит из одного целого числа \(n\) (\(1 \le n \le 2 \cdot 10^5\)) — длины массива \(a\).

Во второй строке каждого набора входных данных находятся \(n\) целых чисел \(a_1, a_2, \ldots, a_n\) (\(1 \le a_i \le 10^9\)) — массив \(a\).

Гарантируется, что сумма \(n\) по всем наборам входных данных не превышает \(2 \cdot 10^5\).

Выходные данные

Для каждого набора входных данных выведите одно целое число — минимальное количество элементов, которые необходимо удалить, что сделать массив \(a\) красивым.

G. Старый дисковод

Бинарный поиск Структуры данных математика *1900

Поликарп разбирал свой чердак и нашел на нем старый дисковод. В дисковод был вставлен круглый диск, на котором было написано \(n\) целых чисел.

Поликарп выписал числа с диска в массив \(a\). Оказалось, что дисковод работает по следующему алгоритму:

  • дисковод принимает на вход одно положительное число \(x\) и ставит указатель на первый элемент массива \(a\);
  • после этого дисковод начинает крутить диск, каждую секунду перемещая указатель на следующий элемент, вычисляя сумму всех элементов, побывавших под указателем. Так как диск круглый, то в массиве \(a\) после последнего элемента вновь следует первый;
  • как только сумма станет не меньше \(x\), дисковод завершит работу.

Поликарп хочет подробнее изучить работу дисковода, но у него совсем нет свободного времени. Поэтому он задал вам \(m\) вопросов. Для ответа на \(i\)-й из них вам нужно найти сколько секунд будет работать дисковод, если дать ему на вход число \(x_i\). Обратите внимание, что в некоторых случаях дисковод может работать бесконечно долго.

Например, если \(n=3, m=3\), \(a=[1, -3, 4]\) и \(x=[1, 5, 2]\), то ответы на вопросы следующие:

  • ответ на первый запрос равен \(0\), так как дисковод изначально указывает на первый элемент, и изначальная сумма равна \(1\).
  • ответ на второй запрос равен \(6\), дисковод прокрутит диск полностью два раза, и сумма станет равной \(1+(-3)+4+1+(-3)+4+1=5\).
  • ответ на третий запрос равен \(2\), сумма \(1+(-3)+4=2\).
Входные данные

В первой строке находится одно целое число \(t\) (\(1 \le t \le 10^4\)) — количество наборов входных данных. Далее следуют \(t\) наборов входных данных.

Первая строка каждого набора входных данных состоит из двух целых положительных чисел \(n\), \(m\) (\(1 \le n, m \le 2 \cdot 10^5\)) — количество чисел на диске и количество заданных вопросов.

Во второй строке каждого набора входных данных находятся \(n\) целых чисел \(a_1, a_2, \ldots, a_n\) (\(-10^9 \le a_i \le 10^9\)).

В третьей строке каждого набора входных данных находятся \(m\) целых положительных чисел \(x_1, x_2, \ldots, x_m\) (\(1 \le x \le 10^9\)).

Гарантируется, что суммы \(n\) и \(m\) по всем наборам входных данных не превышают \(2 \cdot 10^5\).

Выходные данные

Для каждого набора входных данных на отдельной строке выведите \(m\) чисел, где \(i\)-е число равно:

  • \(-1\), если дисковод будет работать бесконечно долго;
  • количество секунд, в течение которых будет работать дисковод, в противном случае.

F. Магниты

Бинарный поиск Конструктив *2700 интерактив

Это интерактивная задача.

Kochiya Sanae играет с магнитами. Когда она поняла, что некоторые из этих магнитов размагничены, ей стало любопытно их найти.

Есть \(n\) магнитов, которые могут быть одного из следующих \(3\) типов:

  • N
  • S
  • - — эти магниты размагничены.

Обратите внимание, что вы не знаете типы этих магнитов заранее.

У вас есть устройство, которое может измерять силу между магнитами, и вы можете использовать его не более \(n+\lfloor \log_2n\rfloor\) раз.

Вы можете поместить несколько магнитов в левую часть устройства, а несколько в правую, и запустить устройство. Очевидно, что каждый магнит можно поместить максимум в одну сторону (необязательно использовать все магниты). Вы можете использовать один и тот же магнит в нескольких запросах.

Тогда устройство покажет силу, которую эти магниты производят. Формально, пусть \(n_1,s_1\) — число магнитов типов N и S соответственно в левой части и \(n_2,s_2\) — в правой, тогда сила между ними будет равна \(n_1n_2+s_1s_2-n_1s_2-n_2s_1\). Обратите внимание, что cила может быть как положительной, так и отрицательной (и нулем).

Однако, если абсолютное значение силы (модуль силы) будет строго больше \(n\), машина развалится на части.

Вы должны найти все магниты типа - (все размагниченные), без поломки машины.

Заметьте, что интерактор не адаптивен. Типы магнитов фиксируются перед началом взаимодействия и не изменяются при запросах.

Гарантируется наличие не менее \(2\) магнитов, тип которых не равен -, и по крайней мере \(1\) магнита типа -.

Входные данные

В первой строке содержится одно целое число \(t\) (\(1 \leq t \leq 100\)) — количество наборов входных данных.

Протокол взаимодействия

Для каждого набора входных данных сначала следует читать целое число \(n\) (\(3 \leq n \leq 2000\)) — число магнитов.

Гарантируется, что общая сумма всех \(n\) по всем наборам входных данных не превышает \(2000\).

После этого можно вставить несколько магнитов в машину и сделать запрос из условия.

Вы должны вывести каждый запрос в три строки:

  • В первой строке выведите «? l r» (без кавычек), где \(l\) и \(r\) (\(1 \leq l,r < n\), \(l+r \leq n\)) соответственно обозначают количество поставленных магнитов в левую и в правую части.
  • Во второй строке выведите \(l\) целых чисел \(a_1, \dots, a_l\) (\(1 \leq a_i \leq n\), \(a_i \neq a_j\) если \(i \neq j\)) — индексы магнитов, которые вы положили влево.
  • В третьей строке выведите \(r\) целых чисел \(b_1, \dots, b_r\) (\(1 \leq b_i \leq n\), \(b_i \neq b_j\) if \(i \neq j\)) — индексы магнитов, которые вы положили вправо.
  • Один и тот же магнит нельзя поместить в обе стороны в одном запросе. Формально, вы должны гарантировать, что \(a_i \neq b_j\) для любых \(i\) и \(j\). Однако, вы можете оставить некоторые магниты неиспользованными.

После вывода запроса не забудьте вывести перевод строки и сбросить буфер вывода. В противном случае вы получите вердикт Решение «зависло». Для сброса буфера используйте:

  • fflush(stdout) или cout.flush() в C++;
  • System.out.flush() в Java;
  • flush(output) в Pascal;
  • stdout.flush() в Python;
  • смотрите документацию для других языков.

После этого следует прочитать целое число \(F\) —, силу, которую создают эти магниты.

Обратите внимание, что если ваш запрос недействителен (лимит запросов превышен, машина ломается, либо параметры не удовлетворяют ограничениям), интерактор немедленно прекратит работу. В этом случае завершите работу программы, чтобы получить вердикт Неправильный ответ вместо произвольного вердикта.

Если вы уверены в правильности ответа, воспользуйтесь следующим форматом, чтобы сообщить о нем:

  • «! k A», где \(k\) — количество найденных магнитов, а \(A\) — массив, состоящий из \(k\) различных целых чисел от \(1\) до \(n\), обозначающий индексы найденных магнитов типа -. Элементы \(A\) можно вывести в произвольном порядке.
  • После этого, если это был последний набор входных данных, вы должны завершить работу своей программы, в противном случае вы должны продолжить работу со следующим набором входных данных.

Заметьте, что интерактор не адаптивен. Типы магнитов фиксируются перед началом взаимодействия и не изменяются при запросах.

Взломы

Чтобы взломать решение, используйте следующий формат:

Первая строка содержит единственное целое число \(t\) (\(1 \leq t \leq 100\)) — количество наборов входных данных во взломе.

Каждый из следующих \(t\) наборов входных данных должен быть выведен в двух строках:

  • В первой строке содержится одно целое число \(n\) (\(3 \leq n \leq 2000\)) — количество магнитов.
  • Во второй строке находится строка \(S\) длиной \(n\), состоящая только из N, S и -, обозначающая типы магнитов.
  • В каждом из наборов входных данных должно быть по крайней мере \(2\) магнита, чей тип не равен -, и по крайней мере \(1\) магнит типа -. При этом общая сумма \(n\) во всем наборам входных данных должна не превышать \(2000\).
Примечание

Пустые строки в примере - только для вас, чтобы лучше понять процесс взаимодействия. Вы не обязаны их выводить.

В примере типы магнитов равны NN--.

Сначала вы ставите третий магнит слева, а четвертый — справа. Оба магнита имеют тип -, таким образом, никакой силы нет.

Затем вы помещаете первый магнит слева, а второй и третий — справа. Третий магнит имеет тип -, в то время как два других магнита имеют тип N, таким образом, произведенная сила составляет \(1\).

В следующих двух запросах сила составляет \(0\), так как справа находится только магнит типа -.

Затем мы можем определить, что магнитами типа - являются третий и четвертый, поэтому мы должны вывести «! 2 3 4» и завершить работу программы.

C. Максимальная ширина

Бинарный поиск Структуры данных дп *1500 жадные алгоритмы

У вашего одноклассника, которого вы не очень любите за его занудство, но уважаете за его ум, были обнаружены две строки: строка \(s\) длины \(n\) и строка \(t\) длины \(m\).

Последовательность индексов \(p_1, p_2, \ldots, p_m\), где \(1 \leq p_1 < p_2 < \ldots < p_m \leq n\), называется хорошей, если \(s_{p_i} = t_i\) для всех \(i\) от \(1\) до \(m\). Шириной последовательности называется величина \(\max\limits_{1 \le i < m} \left(p_{i + 1} - p_i\right)\).

Помогите однокласснику найти хорошую последовательность индексов с максимальной шириной. Одноклассник обещал вам, что строки \(s\) и \(t\) таковы, что хотя бы одна хорошая последовательность точно существует.

Входные данные

Первая строка входных данных содержит два числа \(n\) и \(m\) (\(2 \leq m \leq n \leq 2 \cdot 10^5\)) — длины строк \(s\) и \(t\) соответственно.

Во второй строке входных данных задана строка \(s\), состоящая из \(n\) строчных букв латинского алфавита.

В третьей строке задана строка \(t\), состоящая из \(m\) строчных букв латинского алфавита.

Гарантируется, что существует хотя бы одна хорошая последовательность индексов.

Выходные данные

Выведите одно число — максимальную ширину хорошей последовательности.

Примечание

В первом примере существует две хороших последовательности с шириной \(3\): это \(\{1, 2, 5\}\) и \(\{1, 4, 5\}\).

Во втором примере хорошая последовательность максимальной ширины — это \(\{1, 5\}\).

В третьем примере есть лишь одна хорошая последовательность — это \(\{1, 2, 3, 4, 5\}\).

В четвёртом примере есть лишь одна хорошая последовательность — это \(\{1, 2\}\).

C. K-красивые строки

Строки Бинарный поиск Перебор Конструктив *2000 жадные алгоритмы

Дана строка \(s\) из строчных букв английского алфавита и число \(k\). Назовем строку из строчных букв английского алфавита красивой, если количество вхождений каждой буквы в эту строку кратно числу \(k\). Требуется найти лексикографически минимальную красивую строку длины \(n\), которая лексикографически больше или равна строке \(s\). Если такой строки не существует, выведите \(-1\).

Строка \(a\) лексикографически меньше строки \(b\), если и только если выполняется один из следующих пунктов:

  • \(a\) — префикс \(b\), но \(a \ne b\);
  • в первой позиции, где \(a\) и \(b\) различны, в строке \(a\) находится буква, которая встречается в алфавите раньше, чем соответствующая буква в \(b\).
Входные данные

Первая строка содержит одно целое число \(T\) (\(1 \le T \le 10\,000\)) — количество наборов входных данных.

Следующие \(2 \cdot T\) строк содержат описание наборов входных данных. Описание каждого набора состоит из двух строк.

Первая строка описания содержит два целых числа \(n\) и \(k\) (\(1 \le k \le n \le 10^5\)) — длину строки \(s\) и число \(k\) соответственно.

Вторая строка содержит строку \(s\) из строчных букв английского алфавита.

Гарантируется, что сумма значений \(n\) по всем наборам входных данных не превосходит \(10^5\).

Выходные данные

Для каждого тестового случая в отдельной строке выведите лексикографически минимальную красивую строку длины \(n\), которая больше или равна строке \(s\), или \(-1\), если такой строки не существует.

Примечание

В первом наборе входных данных «acac» лексикографически больше или равна \(s\), а каждая буква в ней встречается \(2\) или \(0\) раз, поэтому она красивая.

Во втором наборе входных данных каждая буква в \(s\) встречается \(0\) или \(1\) раз, поэтому сама \(s\) является ответом.

Можно показать, что в третьем наборе подходящей строки нет.

В четвертом примере каждая буква встречается \(0\), \(3\) или \(6\) раз в «abaabaaab». Все эти числа делятся на \(3\).

C. 1D Сокобан

Бинарный поиск реализация дп жадные алгоритмы *1900

Вы играете в игру, похожую на Сокобан, на бесконечной числовой прямой. Игра дискретна, поэтому вы рассматриваете только целочисленные позиции на прямой.

Вы начинаете в позиции \(0\). Есть \(n\) коробок, \(i\)-я коробка находится на позиции \(a_i\). Все позиции коробок различны. Также есть \(m\) специальных позиций, \(j\)-я позиция — это \(b_j\). Все специальные позиции также различны.

За один ход можно пройти на одну позицию влево или вправо. Если в направлении вашего движения стоит коробка, то вы толкаете коробку на следующую позицию в этом направлении. Если следующая позиция занята другой коробкой, то эта коробка также двигается на следующую позицию, и так далее. Нельзя ходить сквозь коробки. Нельзя тащить коробки на себя.

Разрешается совершить произвольное количество ходов (возможно, ноль). Ваша цель — поместить как можно больше коробок на специальные позиции. Обратите внимание, что некоторые коробки могут уже находиться на специальных позициях.

Входные данные

В первой строке записано одно целое число \(t\) (\(1 \le t \le 1000\)) — количество наборов входных данных.

Затем следует описание \(t\) наборов входных данных.

В первой строке каждого набора входных данных записаны два целых числа \(n\) и \(m\) (\(1 \le n, m \le 2 \cdot 10^5\)) — количество коробок и количество специальных позиций, соответственно.

Во второй строке каждого набора входных данных записаны \(n\) различных целых чисел в возрастающем порядке \(a_1, a_2, \dots, a_n\) (\(-10^9 \le a_1 < a_2 < \dots < a_n \le 10^9\); \(a_i \neq 0\)) — начальные позиции коробок.

В третьей строке каждого набора входных данных записаны \(m\) различных целых чисел в возрастающем порядке \(b_1, b_2, \dots, b_m\) (\(-10^9 \le b_1 < b_2 < \dots < b_m \le 10^9\); \(b_i \neq 0\)) — специальные позиции.

Сумма \(n\) по всем наборам входных данных не превосходит \(2 \cdot 10^5\). Сумма \(m\) по всем наборам входных данных не превосходит \(2 \cdot 10^5\).

Выходные данные

На каждый набор входных данных выведите одно целое число — максимальное количество коробок, которые можно поставить на специальные позиции.

Примечание

В первом наборе входных данных можно пойти на \(5\) направо: коробка на позиции \(1\) окажется на позиции \(6\), а коробка на позиции \(5\) — на позиции \(7\). Затем можно пойти на \(6\) налево и встать в позицию \(-1\), сдвинув коробку в \(-2\). В конце коробки стоят на позициях \([-2, 6, 7, 11, 15]\), соответственно. Среди них позиции \([-2, 6, 7, 15]\) специальные, поэтому ответ равен \(4\).

Во втором наборе входных данных можно дотолкать коробку из \(-1\) в \(-10^9\), а затем коробку из \(1\) в \(10^9\), и получить ответ \(2\).

Третий набор входных данных показывает, что не разрешается тащить коробки на себя, поэтому нельзя их притащить на специальные позиции.

В четвертом наборе входных данных все коробки уже находятся на специальных позициях, поэтому можно ничего не делать и все равно получить ответ \(3\).

В пятом наборе входных данных особенных позиций меньше, чем коробок. Можно пойти на \(8\) или на \(9\) направо, чтобы какая-нибудь коробка встала в \(10\).

B. Коробка

Бинарный поиск Структуры данных жадные алгоритмы *1300 битмаски

У вас есть \(n\) прямоугольников, каждый имеет высоту \(1\). Ширина каждого прямоугольника — степень числа \(2\) (т. е. ее можно представить как \(2^x\) для некоторого неотрицательного целого \(x\)).

У вас также есть двумерная коробка ширины \(W\). Обратите внимание, что \(W\) может быть степенью числа \(2\), а может и не быть. Точно известно, что \(W\) не меньше ширины наибольшего прямоугольника.

Вы должны выбрать высоту этой коробки так, чтобы в нее можно было поместить все прямоугольники (при этом высоту необходимо минимизировать). Разрешается укладывать прямоугольники так, чтобы они не занимали все пространство коробки.

Прямоугольники нельзя вращать, кроме того, они не должны пересекаться после укладки (то есть для каждой пары прямоугольников, уложенных в коробку, их площадь пересечения должна быть нулевой).

Посмотрите пояснение для того, чтобы увидеть визуализацию условия задачи.

Входные данные

В первой строке задано одно целое число \(t\) (\(1 \le t \le 5 \cdot 10^3\)) — количество наборов входных данных. Каждый набор входных данных состоит из двух строк.

Для каждого набора:

  • первая строка содержит два целых числа \(n\) (\(1 \le n \le 10^5\)) и \(W\) (\(1 \le W \le 10^9\));
  • вторая строка содержит \(n\) целых чисел \(w_1, w_2, \dots, w_n\) (\(1 \le w_i \le 10^6\)), где \(w_i\) — ширина \(i\)-го прямоугольника. Каждое число \(w_i\) является степенью числа \(2\);
  • дополнительное ограничение: \(\max\limits_{i=1}^{n} w_i \le W\).

Сумма \(n\) по всем наборам входных данных не превосходит \(10^5\).

Выходные данные

Выведите \(t\) целых чисел. \(i\)-е число должно быть равно ответу на \(i\)-й набор входных — минимальной высоте коробки.

Примечание

Первый набор входных данных в примере разобран на следующей картинке:

На этой картинке число внутри каждого прямоугольника — это его ширина. Ширина коробки равна \(16\) (см. обозначения в нижней части картинки). Минимальная высота коробки равна \(2\) (см. обозначения в левой части картинки).

Во втором наборе входных данных можно расположить на каждом уровне по одному прямоугольнику ширины 8 и ширины 2, так потребуется всего три уровня (и высота коробки будет равна 3).

E. Замерзаем красиво

Бинарный поиск Деревья Структуры данных разделяй и властвуй *3000

Этой зимой в городе... ну вы поняли :-) Дорожную систему города XXXводска можно представить как n перекрестков, соединенных n - 1 двунаправленными дорогами так, что между любыми двумя перекрестками есть путь. Организаторы некоего мероприятия хотят выбрать место, где будут жить участники (перекресток v), и место, где будут проходить соревнования (перекресток u). При этом, с одной стороны, они хотят, чтобы участники гуляли по городу и смотрели окрестности (поэтому расстояние между v и u должно быть не меньше l), но не хотят, чтобы участники замерзли (поэтому расстояние между v и u должно быть не больше r). Помимо этого для каждой улицы известна ее красота — некоторое целое число от 0 до 109. Ваша задача — выбрать путь, удовлетворяющий ограничениям по длине, и обладающей наибольшей средней красотой. Средней красотой пути будем называть медиану последовательности красот всех дорог на пути.

Более формально: пусть есть путь длины k. Пусть ai — неубывающая последовательность, содержащая в точности k элементов, в которой каждое число встречается ровно столько раз, сколько дорог с такой красотой встречается на этом пути. Медианой пути назовем число ak / 2⌋, предполагая что используется индексация от нуля. x — число х, округленное вниз до ближайшего целого.

Например, если a = {0, 5, 12}, то медиана равна 5, а если a = {0, 5, 7, 12}, то медианой окажется число 7.

Гарантируется, что найдется хотя бы один путь с подходящим количеством дорог.

Входные данные

Первая строка содержит три целых числа n, l, r (1 ≤ l ≤ r < n ≤ 105).

Следующие n - 1 строк содержат описание дорог XXXводска, по три целых числа в строке ai, bi, ci (1 ≤ ai, bi ≤ n, 0 ≤ ci ≤ 109, ai ≠ bi) — перекрестки ai и bi соединены улицей с красотой ci.

Выходные данные

Выведите два числа — номера перекрестков, в которых необходимо поселить участников и проводить соревнования, соответственно. Если оптимальных ответов несколько, выведите любой.

Примечание

В первом примере все дороги имеют одинаковую красоту, а значит, все пути положительной длины имеют одинаковую медиану. Таким образом, нам подойдет любой путь с длиной от 3 до 4 включительно.

Во втором примере город выглядит следующим образом: 1 - 2 - 3 - 4 - 5 - 6. Последние две дороги более ценные, и нужно выбрать любой путь, который содержит обе и имеет подходящую длину. Это либо путь между 2 и 6, либо путь между 3 и 6.

B. Две люстры

Бинарный поиск Перебор математика теория чисел *2200 китайская теорема об остатках

Вася — директор крупной строительной компании. Как и у всякого большого начальника у него есть большой, солидно обставленный кабинет, в котором висят две хрустальные люстры. Так сложилось, что Васе проще думать, если свет в комнате каждый день разного цвета. Когда Вася отдавал распоряжение о том, как именно оформлять его кабинет, он также указал, что ему нужны две таких люстры, чтобы в них каждый день цвет освещения изменялся по какому-нибудь циклу. Например, по такому: красный – коричневый – желтый – красный – коричневый – желтый, и так по кругу.

В продаже было несколько люстр, отличающихся друг от друга набором цветов в цикле или порядком. По какой-то ошибке, а может из-за невнимательности, человек, ответственный за выбор люстр, купил две разные люстры.

Из-за того, что люстры разные, в некоторые дни они будут светить одинаково, а в некоторые — по-разному. Естественно, это не солидно, и вообще раздражает Васю, так что когда в \(k\)-й раз наступит событие «сегодня люстры светят разными цветами», Вася очень разозлится и кого-то уволит (вероятно, сотрудника, купившего люстры). Ваша задача – понять, на какой день, начиная со дня установки люстр, это случится. Считайте, что Вася очень любит работать, поэтому работает каждый день, без праздников и выходных.

Входные данные

В первой строке даны три целых числа \(n\), \(m\) и \(k\) (\(1 \le n, m \le 500\,000\); \(1 \le k \le 10^{12}\)) — количество цветов в первой люстре, количество цветов во второй люстре и сколько раз люстры должны гореть разным цветом, чтобы Вася очень разозлился.

Во второй строке даны \(n\) различных чисел \(a_i\) (\(1 \le a_i \le 2 \cdot \max(n, m)\)), задающих последовательность цветов для первой люстры.

В третьей строке даны \(m\) различных чисел \(b_j\) (\(1 \le b_i \le 2 \cdot \max(n, m)\)), задающих последовательность цветов для второй люстры.

В \(i\)-й день первая люстра светит цветом \(a_x\), где \(x = ((i - 1) \mod n) + 1)\), а вторая цветом \(b_y\), где \(y = ((i - 1) \mod m) + 1)\).

Гарантируется, что последовательность \(a\) не совпадает тождественно с последовательностью \(b\), а значит лампы будут периодически раздражать Васю.

Выходные данные

Выведите одно число — через сколько дней Вася очень разозлится.

Примечание

В первом тесте из условия люстры будут гореть разными цветами в дни \(1\), \(2\), \(3\) и \(5\). Соответственно ответом является \(5\).

E. Фокус с подмножествами

Бинарный поиск Структуры данных *3300

Ваня придумал интересный фокус с множеством целых чисел.

Пусть у фокусника есть множество положительных целых чисел \(S\). Он называет некоторое положительное целое число \(x\). Зритель должен выбрать, не показывая фокуснику, некоторое подмножество \(S\) (возможно пустое). После этого зритель называет фокуснику размер выбранного подмножества. Фокус заключается в том, что после этого фокусник отгадывает: верно ли, что сумма элементов выбранного подмножества не превосходит \(x\). Для пустого подмножества сумма предполагается равной \(0\).

Ване очень понравился этот фокус, поэтому он начал готовиться к тому, чтобы показать его публике. Для этого он приготовил некоторое множество различных положительных целых чисел \(S\). Конечно, Ваня хочет, чтобы фокус обязательно получился. Он называет положительное целое число \(x\) неудачным, если не может быть точно уверен, что фокус пройдет удачно для любого подмножества, которое выберет зритель.

Чтобы оценить, насколько хорошее множество \(S\) он выбрал, он хочет посчитать количество неудачных положительных целых чисел для него.

Также Ваня планирует протестировать различные множества \(S\). Поэтому он просит вас написать программу, которая найдет количество неудачных положительных целых чисел для изначального множества \(S\) и для множества \(S\) после каждого изменения. Ваня сделает \(q\) изменений своего множества, каждое изменение будет одного из двух видов:

  • Добавить новое число \(a\) в множество \(S\).
  • Удалить некоторое число \(a\) из множества \(S\).
Входные данные

В первой строке находятся два целых числа \(n\), \(q\) (\(1 \leq n, q \leq 200\,000\)) — размер изначального множества \(S\) и количество изменений.

В следующей строке находятся \(n\) различных целых чисел \(s_1, s_2, \ldots, s_n\) (\(1 \leq s_i \leq 10^{13}\)) — элементы изначального множества \(S\).

В каждой из следующих \(q\) строк находятся два целых числа \(t_i\), \(a_i\) (\(1 \leq t_i \leq 2\), \(1 \leq a_i \leq 10^{13}\)), описывающих очередное изменение.

  • Если \(t_i = 1\), то это операция добавления нового числа \(a_i\) в множество \(S\). Гарантируется, что этого числа не было в множестве \(S\) до выполнения операции.
  • Если \(t_i = 2\), то это операция удаления числа \(a_i\) из множества \(S\). Гарантируется, что это число было в множестве \(S\) до выполнения операции.
Выходные данные

Выведите \(q + 1\) строку.

В первой строке выведите количество неудачных положительных целых чисел для изначального множества \(S\). В следующих \(q\) строках выведите количество неудачных положительных чисел для множества \(S\) после каждого изменения.

Примечание

В первом тесте изначальное \(S = \{1, 2, 3\}\). Для этого множества фокус может не получиться при \(x \in \{1, 2, 3, 4\}\). Например, если \(x = 4\), то зритель может загадать подмножество \(\{1, 2\}\), сумма элементов которого равна \(3 \leq x\), а может загадать подмножество \(\{2, 3\}\), сумма элементов которого равна \(5 > x\). Однако в обоих случаях зритель назовет фокуснику размер подмножества \(2\), поэтому он не сможет точно сделать правильный ответ. При этом поскольку подмножество размера \(3\) единственно, а сумма в любом подмножестве меньшего размера не превосходит \(5\), все \(x \ge 5\) не являются неудачными.

C. Задача коммивояжёра

Бинарный поиск Структуры данных дп жадные алгоритмы сортировки *2200 кратчайшие пути

Есть \(n\) городов, пронумерованных от \(1\) до \(n\), красота города \(i\) равна \(a_i\).

Коммивояжёр хочет начать с города \(1\), посетить каждый город ровно один раз и вернуться в город \(1\).

Для всех \(i\ne j\), перелет из города \(i\) в город \(j\) стоит \(\max(c_i,a_j-a_i)\) долларов, где \(c_i\) — это нижний порог цены, наложенный на перелет городом \(i\). Обратите внимание, что здесь не берется абсолютное значение. Найдите минимальную общую стоимость поездки для коммивояжёра.

Входные данные

В первой строке содержится одно целое \(n\) (\(2\le n\le 10^5\)) — количество городов.

В \(i\)-й из следующих \(n\) строк содержится по два целых числа \(a_i\), \(c_i\) (\(0\le a_i,c_i\le 10^9\)) — красота и нижний порог цены города \(i\).

Выходные данные

Выведите единственное целое число — минимальную суммарную стоимость.

Примечание

В первом примере мы можем путешествовать в порядке \(1\to 3\to 2\to 1\).

  • Рейс \(1\to 3\) стоит \(\max(c_1,a_3-a_1)=\max(9,4-1)=9\).
  • Рейс \(3\to 2\) стоит \(\max(c_3, a_2-a_3)=\max(1,2-4)=1\).
  • Рейс \(2\to 1\) стоит \(\max(c_2,a_1-a_2)=\max(1,1-2)=1\).

Общая стоимость составляет \(11\), и мы не можем обойтись меньшим числом долларов.

B. Почти отсортированные

Бинарный поиск Конструктив Комбинаторика реализация *1800

Seiji Maki не только любит наблюдать за развитием отношений, он также любит наблюдать за последовательностями чисел, особенно перестановками. Сегодня он смотрит на почти отсортированные перестановки.

Перестановка \(a_1, a_2, \dots, a_n\) чисел \(1, 2, \dots, n\) считается почти отсортированной, если условие \(a_{i + 1} \ge a_i - 1\) выполняется для всех \(i\) от \(1\) до \(n - 1\) включительно.

Maki рассматривает список всех почти отсортированных перестановок чисел \(1, 2, \dots, n\), приведенных в лексикографическом порядке, и хочет найти в этом списке перестановку \(k\)-ю. Можете ли вы помочь ему найти такую перестановку?

Перестановка \(p\) лексикографически меньше перестановки \(q\), если и только если выполняется следующее:

  • в первой позиции, где \(p\) и \(q\) различны, в перестановке \(p\) элемент меньше, чем соответствующий элемент в \(q\).
Входные данные

В первой строке содержится одно целое число \(t\) (\(1\le t\le 1000\)) — количество наборов входных данных.

Каждый набор входных данных состоит из одной строки, содержащей два целых числа \(n\) и \(k\) (\(1 \le n \le 10^5\), \(1 \le k \le 10^{18}\)).

Гарантируется, что сумма \(n\) по всем наборам входных данных не превышает \(10^5\).

Выходные данные

Для каждого набора входных данных выведите одну строку, содержащую \(k\)-ю почти отсортированную перестановку длины \(n\) в лексикографическом порядке, или \(-1\), если ее не существует.

Примечание

Для первого и второго набора входных данных список почти отсортированных перестановок с \(n = 1\) составляет \(\{[1]\}\).

Для третьего и пятого набора входных данных список почти отсортированных перестановок с \(n = 3\) составляет \(\{[1, 2, 3], [1, 3, 2], [2, 1, 3], [3, 2, 1]\}\).

D. Вырежи и склей

Бинарный поиск Структуры данных реализация *2000 жадные алгоритмы сортировки

У маленького Эхаба есть набор для аппликации, содержащий массив \(a\) длины \(n\). Он планирует взять ножницы и сделать следующее:

  • выбрать отрезок \((l, r)\), и вырезать каждый элемент \(a_l\), \(a_{l + 1}\), ..., \(a_r\) на этом отрезке;
  • склеить некоторые из элементов вместе в том же порядке, в котором они шли в массиве;
  • в итоге, получится несколько кусочков, каждый кусочек содержит некоторые элементы, и каждый элемент принадлежит какому-то кусочку.

Более формально, он разделит последовательность \(a_l\), \(a_{l + 1}\), ..., \(a_r\) на подпоследовательности. Он считает, что разделение красивое, если для каждого кусочка (подпоследовательности) верно, что если его длина равна \(x\), то никакое значение не встречается строго больше \(\lceil \frac{x}{2} \rceil\) раз в этом кусочке.

Эхаб еще не определился с отрезком, поэтому он интересуется для \(q\) отрезков \((l, r)\), чему равно минимальное количество кусочков, на которые нужно разделить \(a_l\), \(a_{l + 1}\), ..., \(a_r\), чтобы разделение было красивым.

Последовательность \(b\) является подпоследовательностью массива \(a\), если \(b\) может быть получена из \(a\) удалением нескольких (возможно, ни одного) элементов. Обратите внимание, что она не обязательно должна быть непрерывной.

Входные данные

В первой строке даны два целых числа \(n\) и \(q\) (\(1 \le n,q \le 3 \cdot 10^5\)) — длина массива \(a\) и количество запросов.

Во второй строке даны \(n\) целых чисел \(a_1\), \(a_2\), ..., \(a_{n}\) (\(1 \le a_i \le n\)) — элементы массива \(a\).

Каждая из следующих \(q\) строк содержит два целых числа \(l\) и \(r\) (\(1 \le l \le r \le n\)) — отрезок этого запроса.

Выходные данные

Для каждого запроса выведите минимальное количество подпоследовательностей, на которые нужно разбить отрезок, чтобы разбиение было красивым. Можно доказать, что такое разбиение всегда существует.

Примечание

В первом запросе можно взять весь массив в одну подпоследовательность, так как его длина равна \(6\), и ни одно значение не встречается в нем больше \(3\) раз.

Во втором запросе элементы отрезка равны \([3,2,3,3]\). Вы не можете взять их всех в одну подпоследовательность, потому что ее длина будет равна \(4\), и \(3\) встречается в ней больше \(2\) раз. Однако, вы можете разделить отрезок на две подпоследовательности: \([3]\) и \([2,3,3]\).

E. Гипер-квартира маленького Эхаба

Бинарный поиск сортировки графы *2700 интерактив

Это интерактивная задача.

Маленький Эхаб любит ползать по своей квартире. В ней есть \(n\) комнат, пронумерованных от \(0\) до \(n-1\). Для каждой пары комнат \(a\) и \(b\), либо есть прямой переход из комнаты \(a\) в комнату \(b\), либо наоборот из комнаты \(b\) в комнату \(a\), но не одновременно.

Маленький Эхаб хочет пойти поиграть с маленьким Бадави. Он хочет знать, сможет ли он добраться до него. Однако, он не знает ничего про свою квартиру, кроме количества комнат. Он может задать няне два типа вопросов:

  • переход между комнатами \(a\) и \(b\) направлен из \(a\) в \(b\) или в обратную сторону?
  • есть ли из комнаты \(x\) переход, направленный в одну из комнат \(s_1\), \(s_2\), ..., \(s_k\)?

Он может задать не более \(9n\) вопросов первого типа, и не более \(2n\) вопросов второго типа.

После того, как он задаст какие-то вопросы, он хочет знать для каждой пары комнат \(a\) и \(b\), существует ли путь из \(a\) в \(b\) или нет. Путь из \(a\) в \(b\) это последовательность переходов, которая начинается в комнате \(a\) и заканчивается в комнате \(b\).

Входные данные

Первая строка содержит одно целое число \(t\) (\(1 \le t \le 30\)) — количество наборов входных данных.

Каждый набор входных данных начинается с целого числа \(n\) (\(4 \le n \le 100\)) — количества комнат.

Сумма \(n\) по всем наборам входных данных в одном тесте не превышает \(500\).

Выходные данные

Чтобы вывести ответ для набора входных данных, выведите строку содержащую «3», после чего \(n\) строк, каждая содержит двоичную строку длины \(n\). \(j\)-й символ в \(i\)-й строке должен равняться \(1\), если существует путь из комнаты \(i\) в комнату \(j\), и \(0\), если нет. \(i\)-й символ в \(i\)-й строке должен равняться \(1\) для всех \(i\).

После вывода ответа, интерактор ответит одним целым числом. Если это \(1\), значит вы вывели правильный ответ, и должны продолжить решать следующие наборы входных данных (или завершиться, если это был последний). Если это \(-1\), вы вывели неправильный ответ, и должны немедленно завершиться, чтобы получиться вердикт Wrong answer. Иначе, вы можете получить произвольный вердикт, потому что ваше решение будет продолжать читать из закрытого потока.

Протокол взаимодействия

Чтобы задать вопрос первого типа, используйте формат:

  • \(1\) \(a\) \(b\) (\(0 \le a,b \le n-1\), \(a \neq b\)).
  • интерактор ответит \(1\), если переход ведет из \(a\) в \(b\), и \(0\), если из \(b\) в \(a\).
  • вы можете задать не более \(9n\) вопросов этого типа в каждом наборе входных данных.

Чтобы задать вопрос второго типа, используйте формат:

  • \(2\) \(x\) \(k\) \(s_1\) \(s_2\) ... \(s_k\) (\(0 \le x,s_i \le n-1\), \(0 \le k < n\), \(x \neq s_i\), элементы \(s\) попарно различны).
  • интерактор ответит \(1\), если существует переход ведущий из \(x\) в какую-то из комнат из \(s\), и \(0\) иначе.
  • вы можете задать не более \(2n\) вопросов этого типа в каждом наборе входных данных.

Если интерактор ответит \(-1\) вместо корректного ответа, это означает, что вы превысили разрешенное количество вопросов, или сделали некорректный вопрос. Немедленно завершитесь после получения \(-1\), чтобы получить вердикт Wrong answer. Иначе, вы можете получить произвольный вердикт, потому что ваше решение будет продолжать читать из закрытого потока.

После вывода запроса не забудьте вывести перевод строки и сбросить буфер вывода. В противном случае вы получите вердикт Решение «зависло». Для сброса буфера используйте:

  • fflush(stdout) или cout.flush() в C++;
  • System.out.flush() в Java;
  • flush(output) в Pascal;
  • stdout.flush() в Python;
  • смотрите документацию для других языков.

Взломы:

Первая строка должна содержать целое число \(t\) — количество наборов входных данных.

Первая строка каждого набора входных данных должна содержать целое число \(n\) (\(4 \le n \le 100\)) — количество комнат.

Каждая из следующих \(n\) строк должна содержать двоичную строку длины \(n\). \(j\)-й символ в \(i\)-й строке должен равняться \(1\), если есть переход из комнаты \(i\) в комнату \(j\), и \(0\) иначе. \(i\)-й символ в \(i\)-й строке должен равняться \(0\).

Примечание

В примере:

Первый вопрос спрашивает, есть ли переходы из комнаты \(3\) в любую другую комнату.

Второй вопрос спрашивает про направление перехода между комнатами \(0\) и \(1\).

Спустя еще пару вопросов, мы узнаем, что можно добраться из любой комнаты до любой другой, кроме случая, когда мы начинаем в комнате \(3\), из которой нельзя выйти. Поэтому, мы выводим матрицу:


1111
1111
1111
0001

Интерактор отвечает \(1\), что означает, что наш ответ корректен.

I. Феникс и бриллианты

Бинарный поиск Структуры данных сортировки *3400

Фениксу стало интересно: какого это — красть бриллианты из ювелирного магазина!

Всего есть \(n\) видов бриллиантов: бриллиант \(i\)-го вида весит \(w_i\) и стоит \(v_i\). Первоначально в магазине есть \(a_i\) бриллиантов \(i\)-го вида.

Каждый день, на протяжении \(q\) дней, происходит одно из следующих событий:

  1. В магазин поступает \(k_i\) бриллиантов вида \(d_i\).
  2. Магазин продает \(k_i\) бриллиантов вида \(d_i\).
  3. Феникс интересуется, что произойдет, если он решит ограбить магазин, придя в него с мешком, который может вместить бриллианты суммарным весом не более \(c_i\). Если Феникс будет брать бриллианты жадно начиная с самых дорогих, бриллиантов на какую стоимость он наберет? Если есть несколько бриллиантов с максимальной стоимостью, он будет брать сначала самые легкие. Если же среди бриллиантов с максимальной стоимостью есть несколько с минимальным весом, то он берет любой из них.

Конечно же, так как Феникс — законопослушный гражданин, то все описанное выше — не более чем мысленный эксперимент и он никогда не будет по-настоящему забирать бриллианты из магазина. Другими словами, запросы типа \(3\) не влияют на количество бриллиантов в магазине.

Входные данные

В первой строке заданы два целых числа \(n\) и \(q\) (\(1 \le n \le 2 \cdot 10^5\); \(1 \le q \le 10^5\)) — количество видов бриллиантов и количество дней, соответственно.

В следующих \(n\) строках описаны каждый из видов бриллиантов. В \(i\)-й строке заданы три целых числа \(a_i\), \(w_i\) и \(v_i\) (\(0 \le a_i \le 10^5\); \(1 \le w_i, v_i \le 10^5\)) — первоначальное количество бриллиантов \(i\)-го вида, вес бриллианта \(i\)-го вида и стоимость бриллианта \(i\)-го вида, соответственно.

В следующих \(q\) строках заданы запросы. Для каждого запроса, первое число в строке \(t\) (\(1 \le t \le 3\)) — это тип запроса.

Если \(t=1\), то далее заданы два целых числа \(k_i\) и \(d_i\) (\(1 \le k_i \le 10^5\); \(1 \le d_i \le n\)) означающие, что в магазин поступает \(k_i\) бриллиантов вида \(d_i\).

Если \(t=2\), то далее заданы два целых числа \(k_i\) и \(d_i\) (\(1 \le k_i \le 10^5\); \(1 \le d_i \le n\)) означающие, что магазин продает \(k_i\) бриллиантов вида \(d_i\). Гарантируется, что в магазине действительно было необходимое количество бриллиантов.

Если \(t=3\), то далее задано одно целое число \(c_i\) (\(1 \le c_i \le 10^{18}\)) — суммарный вес, который выдерживает мешок Феникса.

Гарантируется, что есть хотя бы один запрос, где \(t=3\).

Выходные данные

Выведите ответ для каждого запроса третьего типа (\(t=3\)).

Примечание

В первом запросе с \(t=3\), Феникс может уместить \(2\) бриллианта вида \(1\), с общим весом \(6\) и стоимостью \(8\).

Во втором запросе с \(t=3\), Феникс может забрать \(3\) бриллианта вида \(3\) и еще один вида \(1\). Общий вес будет равен \(9\), а стоимость — \(16\). Заметим, что бриллианты вида \(3\) предпочтительнее, чем вида \(1\), потому что вид \(3\) при равной стоимости имеет меньший вес.

В последнем запросе с \(t=3\), Феникс может забрать все бриллианты с общей стоимостью \(13\).

D. Ехаб разрезает массив

Бинарный поиск Структуры данных *2100 дп теория чисел графы

В этот раз Ехаб решил только разрезать массив. Он начинает с массива \(a\) длины \(n\), записанного на полоске бумаги, и делает следующее:

  • Ехаб выбирает отрезок \((l, r)\) и вырезает отрезок с элементами \(a_l, a_{l + 1}, \ldots, a_r\), выбрасывая остальные элементы.
  • Затем он разрезает его на несколько подотрезков.
  • Чтобы добавить интереса в это занятие, он требует, чтобы произведение элементов на каждом подотрезке было равно их наименьшему общему кратному (НОК).

Формально, он разбивает элементы \(a_l, a_{l + 1}, \ldots, a_r\) на подотрезки так, чтобы произведение элементов каждого подотрезка было равно НОК элементов этого подотрезка. У Ехаба есть \(q\) независимых отрезков \((l, r)\), для которых он хочет узнать, на какое минимальное число подотрезков их необходимо разрезать, чтобы условие выполнялось.

Входные данные

В первой строке записано \(2\) целых числа \(n\) и \(q\) (\(1 \le n,q \le 10^5\)) — длина массива \(a\) и количество запросов.

Во второй строке записано \(n\) целых чисел, \(a_1\), \(a_2\), \(\ldots\), \(a_n\) (\(1 \le a_i \le 10^5\)) — элементы массива \(a\).

В каждой из следующих \(q\) строк записано \(2\) целых числа \(l\) и \(r\) (\(1 \le l \le r \le n\)) — границы каждого запроса.

Выходные данные

Для каждого запроса выведите ответ на него.

Примечание

Первый запрос спрашивает про весь массив. Вы можете разделить его так: \([2]\), \([3,10,7]\), и \([5,14]\). Произведение и НОК первого подотрезка равны \(2\). Произведение и НОК второго подотрезка равны \(210\). И произведение и НОК третьего подотрезка равны \(70\). Существует другое возможное разделение: \([2,3]\), \([10,7]\), и \([5,14]\).

Второй запрос спрашивает про отрезок \((2,4)\). Его произведение уже равно его НОК, следовательно, не нужно делить его ни разу.

Последний запрос про отрезок \((3,5)\). Вы можете разделить его на \([10,7]\) и \([5]\).

E. Групповое фото

Бинарный поиск Структуры данных реализация *2500

На конференции 2050 собралось несколько человек, увлекающихся спортивным программированием. Они собираются сделать общее фото. \(n\) человек выстроились в ряд. Они пронумерованы от \(1\) до \(n\) слева направо. Каждый из них держит в руках табличку с буквой «C» или с буквой «P».

Пусть \(C=\{c_1,c_2,\dots,c_m\}\) \((c_1<c_2<\ldots <c_m)\) — это множество людей, которые держат таблички с буквой «C». Аналогично, \(P=\{p_1,p_2,\dots,p_k\}\) \((p_1<p_2<\ldots <p_k)\) — множество людей, которые держат таблички с буквой «P». Фото хорошее тогда и только тогда, когда выполнены следующие ограничения:

  1. \(C\cup P=\{1,2,\dots,n\}\)
  2. \(C\cap P =\emptyset \).
  3. \(c_i-c_{i-1}\leq c_{i+1}-c_i(1< i <m)\).
  4. \(p_i-p_{i-1}\geq p_{i+1}-p_i(1< i <k)\).

Вам дан массив \(a_1,\ldots, a_n\), найдите количество хороших фото, удовлетворяющих условию: \(\)\sum\limits_{x\in C} a_x < \sum\limits_{y\in P} a_y.\(\)

Ответ может быть большим, поэтому выведите его по модулю \(998\,244\,353\). Два фото считаются разными, если существует хотя бы один человек, который держит табличку с буквой «C» на одном фото, и с буквой «P» на другом.

Входные данные

Во входных данных находятся несколько наборов входных данных. В первой строке находится одно целое число \(t\) (\(1 \le t \le 200\,000\)) — количество наборов входных данных. Далее следуют наборы входных данных.

Первая строка каждого набора входных данных содержит одно целое число \(n\) (\(1\leq n\leq 200\,000\)).

Вторая строка содержит \(n\) целых чисел \(a_1, a_2, \ldots, a_n\) (\(1 \le a_i \le 10^9\)).

Гарантируется, что сумма \(n\) по всем наборам входных данных не превышает \(200\,000\).

Выходные данные

Для каждого набора входных данных выведите ответ по модулю \(998\,244\,353\) на новой строке.

Примечание

В первом наборе входных данных есть \(10\) хороших фото, которые удовлетворяют условию: PPPPP, CPPPP, PCPPP, CCPPP, PCCPP, PCPCP, PPPPC, CPPPC, PCPPC, PPPCC.

Во втором наборе входных данных есть \(7\) хороших фото, которые удовлетворяют условию: PPPP, PCPP, PCCP, PPPC, PCPC, PPCC, PCCC

B. Шаги

Бинарный поиск реализация *1300

Однажды Вася вышел во двор погулять, а там не оказалось его друзей, с которыми он обычно играл в салки. Мальчик не растерялся и решил поиграть в салки сам с собой. «Как он это сделал?» — спросите вы. Очень просто.

Вася заметил, что двор представляет собой прямоугольное поле размером n × m клеток, а каждая клетка имеет координаты (x, y) (1 ≤ x ≤ n, 1 ≤ y ≤ m), где x — номер строки поля, y — номер столбца поля.

Изначально, Вася стоит в клетке с координатами (xc, yc). Для игры у него заготовлен список из k векторов (dxi, dyi) ненулевой длины. Действие игры происходит следующим образом. Мальчик рассматривает все вектора в порядке от 1 до k, и по очереди выбирает каждый из них в качестве текущего. Выбрав вектор в качестве текущего, мальчик делает максимально возможное количество корректных шагов по направлению этого вектора (возможно, ноль шагов).

Шагом называется одно перемещение из клетки, где сейчас стоит мальчик, в направлении текущего вектора. То есть, если Вася находится в клетке (x, y), а текущий вектор — (dx, dy), то за один шаг Вася перемещается в клетку (x + dx, y + dy). Шаг считается корректным, если, совершая этот шаг, мальчик не выходит за пределы двора.

Вася шагал и шагал, шагал и шагал, до тех пор, пока вектора из его списка не закончились. Он так много шагал, что совершенно позабыл, сколько шагов он сделал. Помогите мальчику — посчитайте, сколько шагов он сделал.

Входные данные

В первой строке входных данных даны два целых числа n и m (1 ≤ n, m ≤ 109) — размеры двора. Во второй строке записаны целые числа xc и yc — координаты начальной клетки (1 ≤ xc ≤ n, 1 ≤ yc ≤ m).

В третьей строке задано целое число k (1 ≤ k ≤ 104) — количество векторов. Далее идут k строк, в каждой из которых записаны два целых числа dxi и dyi (|dxi|, |dyi| ≤ 109, |dx| + |dy| ≥ 1).

Выходные данные

Выведите единственное целое число — количество шагов, которые сделал Вася.

Пожалуйста, не используйте спецификатор %lld для чтения или записи 64-х битовых чисел на С++. Рекомендуется использовать потоки cin, cout или спецификатор %I64d.

Примечание

В первом примере Вася изначально находится в клетке (1, 1) и делает 3 шага по первому вектору (1, 1) последовательно посещая клетки: (2, 2), (3, 3), (4, 4). Затем он делает 0 шагов по второму вектору (1, 1). И 1 шаг по третьему вектору (0,  - 2) и оказывается в клетке (4, 2). В итоге Вася сделает 4 шага.

Во втором примере Вася изначально находится в клетке (1, 2) и делает 0 шагов по вектору ( - 1, 0), так как клетка с координатами (0, 2) находится вне двора.

F1. Угадай K-й ноль (простая версия)

Бинарный поиск *1600 интерактив

Это интерактивная задача.

Это простая версия задачи. Отличия от сложной версии состоят в том, что в простой версии \(t=1\) и количество запросов ограничено числом \(20\).

Поликарп играет в компьютерную игру. В этой игре загадан массив, состоящий из нулей и единиц. Поликарп выиграет, если \(t\) раз угадает позицию \(k\)-го слева нуля.

Поликарп может сделать не более \(20\) запросов следующего вида:

  • ? \(l\) \(r\) — узнать сумму всех элементов на позициях от \(l\) до \(r\) (\(1 \le l \le r \le n\)) включительно.

В этой (простой) версии задачи этот параграф не имеет смысла, так как всегда \(t=1\). Чтобы игра была более интересной, каждый угаданный ноль превращается в единицу и игра продолжается на измененном массиве. Более формально, если позиция \(k\)-го нуля равнялась \(x\), тогда после того, как Поликарп угадает эту позицию, \(x\)-й элемент массива заменится с \(0\) на \(1\). Конечно, эта особенность на что-либо влияет только при \(t>1\).

Помогите Поликарпу выиграть в игру.

Протокол взаимодействия

Сначала ваша программа должна считать два целых числа \(n\) и \(t\) (\(1 \le n \le 2 \cdot 10^5\), \(t=1\)).

Далее следуют \(t\) строк, каждая из которых содержит одно целое число \(k\) (\(1 \le k \le n\)). Гарантируется, что в момент запроса в массиве есть хотя бы \(k\) нулей. Для того, чтобы получить следующее значение \(k\), вы должны вывести ответ для текущего значения \(k\).

После этого вы можете сделать не более \(20\) запросов.

Используйте следующий формат, чтобы вывести ответ (это не считается за запрос, то есть не учитывается в ограничении \(20\)):

  • ! \(x\) — позиция \(k\)-го нуля.

Позиции в массиве нумеруются слева направо от \(1\) до \(n\) включительно.

После вывода \(t\) ответов ваша программа должна немедленно завершиться.

В этой задаче интерактор не адаптивный. Это означает, что в рамках одного теста загаданный массив и запросы не меняются.

При некорректном запросе будет выведено -1. При получении данного значения ваша программа должна немедленно завершиться штатным образом (к примеру, с помощью вызова exit(0)), иначе тестирующая система может выдать произвольный вердикт.

При превышении количества запросов будет выведен вердикт неправильный ответ.

Ваше решение может получить вердикт Решение «зависло», если вы ничего не выведете или забудете сбросить буфер вывода.

Чтобы сбросить буфер вывода вам нужно сделать следующее сразу после вывода запроса и символа конца строки:

  • fflush(stdout) или cout.flush() в C++;
  • System.out.flush() в Java;
  • flush(output) в Pascal;
  • stdout.flush() в Python;
  • см. документацию других языков.

Взломы

Используйте следующий формат для взломов:

В первой строке выведите строку \(s\) (\(1 \le |s| \le 2 \cdot 10^5\)), состоящую из нулей и единиц, и целое число \(t\) (\(t = 1\)) — загаданный массив и количество запросов, соответственно. В следующих \(t\) строках выведите число \(k\) (\(1 \le k \le |s|\)).

Взламываемое решение не будет иметь прямого доступа к загаданному массиву.

Примечание

В первом тесте загадан массив \([1, 0, 1, 1, 0, 1]\). В этом тесте \(k=2\).

F2. Угадай K-й ноль (сложная версия)

Бинарный поиск Структуры данных Конструктив *2200 интерактив

Это интерактивная задача.

Это сложная версия задачи. Отличия от простой версии состоят в том, что в сложной версии \(1 \le t \le \min(n, 10^4)\) и количество запросов ограничено числом \(6 \cdot 10^4\).

Поликарп играет в компьютерную игру. В этой игре загадан массив, состоящий из нулей и единиц. Поликарп выиграет, если \(t\) раз угадает позицию \(k\)-го слева нуля.

Поликарп может сделать не более \(6 \cdot 10^4\) запросов следующего вида:

  • ? \(l\) \(r\) — узнать сумму всех элементов на позициях от \(l\) до \(r\) (\(1 \le l \le r \le n\)) включительно.

Чтобы игра была более интересной, каждый угаданный ноль превращается в единицу и игра продолжается на измененном массиве. Более формально, если позиция \(k\)-го нуля равнялась \(x\), тогда после того, как Поликарп угадает эту позицию, \(x\)-й элемент массива заменится с \(0\) на \(1\).

Помогите Поликарпу выиграть в игре.

Протокол взаимодействия

Сначала ваша программа должна считать два целых числа \(n\) и \(t\) (\(1 \le n \le 2 \cdot 10^5\), \(1 \le t \le \min(n, 10^4)\)).

Далее следуют \(t\) строк, каждая из которых содержит одно целое число \(k\) (\(1 \le k \le n\)). Гарантируется, что в момент запроса в массиве есть хотя бы \(k\) нулей. Для того, чтобы получить следующее значение \(k\), вы должны вывести ответ для текущего значения \(k\).

После этого вы можете сделать не более \(6 \cdot 10^4\) запросов.

Используйте следующий формат, чтобы вывести ответ (это не считается за запрос, то есть не учитывается в ограничении \(6 \cdot 10^4\)):

  • ! \(x\) — позиция \(k\)-го нуля.

Позиции в массиве нумеруются слева направо от \(1\) до \(n\) включительно.

После вывода \(t\) ответов ваша программа должна немедленно завершиться.

В этой задаче интерактор не адаптивный. Это означает, что в рамках одного теста загаданный массив и запросы не меняются.

При некорректном запросе будет выведено -1. При получении данного значения ваша программа должна немедленно завершиться штатным образом (к примеру, с помощью вызова exit(0)), иначе тестирующая система может выдать произвольный вердикт.

При превышении количества запросов будет выведен вердикт неправильный ответ.

Ваше решение может получить вердикт Решение «зависло», если вы ничего не выведете или забудете сбросить буфер вывода.

Чтобы сбросить буфер вывода вам нужно сделать следующее сразу после вывода запроса и символа конца строки:

  • fflush(stdout) или cout.flush() в C++;
  • System.out.flush() в Java;
  • flush(output) в Pascal;
  • stdout.flush() в Python;
  • см. документацию других языков.

Взломы

Используйте следующий формат для взломов:

В первой строке выведите строку \(s\) (\(1 \le |s| \le 2 \cdot 10^5\)), состоящую из нулей и единиц, и целое число \(t\) (\(1 \le t \le \min(|s|, 10^4)\)) — загаданный массив и количество запросов, соответственно. В следующих \(t\) строках выведите число \(k\) (\(1 \le k \le |s|\)).

Взламываемое решение не будет иметь прямого доступа к загаданному массиву.

Примечание

В первом тесте загадан массив \([1, 0, 1, 1, 0, 1]\). После ответа на запрос \(k=2\) массив превратился в \([1, 0, 1, 1, 1, 1]\).

E. Настя и красивая матрица

Бинарный поиск Конструктив дп жадные алгоритмы *2700

Вы обожаете числа, не так ли?) У Насти их много, и она решила поделиться ими с вами! Ну не прелесть?)

Пусть \(a_i\) — это количество чисел, равных \(i\) (\(1 \le i \le k\)), которые у вас есть.

Матрица \(n \times n\) называется красивой, если она содержит все числа, которые у вас есть, а также для каждой подматрицы \(2 \times 2\) исходной матрицы, выполняется:

  1. Количество занятых ячеек не превышает \(3\);
  2. Диагонали не содержат одинаковых чисел.

Составьте красивую матрицу минимального размера.

Входные данные

Первая строка содержит одно целое число \(t\) (\(1 \le t \le 10\,000\)) — количество наборов входных данных.

В первой строке каждого набора заданы \(2\) числa \(m\) и \(k\) (\(1 \le m, k \le 10^5\)) — количество чисел полученных от Насти и длина массива \(a\) соответственно.

Во второй строке каждого набора заданы \(k\) целых чисел \(a_1, a_2, \ldots, a_{k}\) (\(0 \le a_i \le m\), \(a_1 + a_2 + \ldots + a_{k} = m\)), где \(a_i\) — это количество чисел \(i\), которое у вас есть.

Гарантируется, что суммы \(m\) и \(k\) по всем наборам входных данных не превосходят \(2 \cdot 10^5\).

Выходные данные

Для каждого из \(t\) наборов входных данных в первой строке выведите одно целое число \(n\) — размер составленной вами красивой матрицы.

В последующий \(n\) строках выведите по \(n\) целых чисел \(b_{i, j}\) (\(0 \le b_{i, j} \le k\), если позиция пуста, выведите \(b_{i, j} = 0\)) — составленная вами красивая матрица \(b\).

Примечание

Обратите внимание, что \(0\) в этой задаче считается пустой позицией, а не числом.

Возможные ответы для первого набора входных данных:

\(\begin{array}{cc} 1 & 1 \\ 4 & 0 \\ \end{array} \hspace{0,5cm} \begin{array}{cc} 1 & 4 \\ 1 & 0 \\ \end{array} \hspace{0,5cm} \begin{array}{cc} 4 & 0 \\ 1 & 1 \\ \end{array}\)

Примеры некрасивых матриц для первого набора входных данных:

\(\begin{array}{cc} 1 & 0 \\ 4 & 1 \\ \end{array} \hspace{0,5cm} \begin{array}{cc} 4 & 1 \\ 7 & 1 \\ \end{array} \hspace{0,5cm} \begin{array}{cc} 1 & 0 \\ 4 & 0 \\ \end{array}\)

Пример некрасивой матрицы для второго набора входных данных:

\(\begin{array}{cc} 3 & 4 & 0 & 2 & 2 \\ 3 & 2 & 3 & 3 & 0 \\ 0 & 1 & 0 & 0 & 0 \\ 3 & 0 & 0 & 0 & 0 \\ 2 & 1 & 3 & 3 & 3 \\ \end{array}\)

В данном случае левая верхняя матрица содержит \(4\) числа.

E. Игра в разделения

Бинарный поиск Структуры данных дп разделяй и властвуй *2500

Дан массив \(a\) из \(n\) целых чисел. Стоимость массива \(t\) вычисляется следующим образом:

\(\)cost(t) = \sum_{x \in set(t) } last(x) - first(x),\(\)

где \(set(t)\) есть множество всех различных значений в \(t\) без повторений, \(first(x)\), и \(last(x)\) индексы первого и последнего вхождения \(x\) в \(t\), соответственно. Другими словами, мы считаем сумму расстояний между первым и последним вхождением каждого значения.

Вам нужно разделить \(a\) на \(k\) последовательных отрезков так, что каждый элемент \(a\) принадлежит ровно одному отрезку, а сумма стоимостей отрезков минимальна.

Входные данные

Первая строка содержит целые числа \(n\), \(k\) (\(1 \le n \le 35\,000\), \(1 \le k \le \min(n,100)\)).

Вторая строка содержит \(n\) целых чисел \(a_1, a_2, \ldots, a_n\) (\(1 \le a_i \le n\)).

Выходные данные

Выведите минимальную возможную сумму стоимостей.

Примечание

В первом примере мы можем разделить массив на \([1,6,6,4]\) и \([6,6,6]\). Стоимость \([1,6,6,4]\) будет \((1-1) + (3 - 2) + (4-4) = 1\), а стоимость \([6,6,6]\) будет \(3-1 = 2\). Суммарная стоимость будет \(1 + 2 = 3\).

Во втором примере разделим массив на \([5,5],[5],[5,2,3]\) и \([3]\). Суммарная стоимость будет \(1 + 0 + 0 + 0 = 1\).

C. Погоня

Бинарный поиск Перебор жадные алгоритмы *1200 сортировки

Вы и ваш друг Илья участвуете в личном соревновании по программированию, состоящем из множества этапов. За каждый этап участник может получить любое целое число баллов от \(0\) до \(100\) включительно, независимо от других участников.

Баллы, набранные участниками в отдельных этапах, используются для формирования суммарных результатов соревнования. Пусть к некоторому моменту времени прошло \(k\) этапов. Тогда для каждого участника выбирается \(k - \lfloor \frac{k}{4} \rfloor\) этапов, на которых он набрал наибольшее число баллов, и суммируются баллы на них. Полученное число и является суммарным результатом участника. (Здесь \(\lfloor t \rfloor\) обозначает округление вниз до наибольшего целого числа, не большего \(t\).)

Например, пусть прошло \(9\) этапов, на которых вы набрали баллы \(50, 30, 50, 50, 100, 10, 30, 100, 50\). Сначала выбираются \(7\) этапов, на которых вы набрали наибольшее число баллов: например, это могут быть все этапы, кроме \(2\)-го и \(6\)-го. Тогда ваш суммарный результат равен \(50 + 50 + 50 + 100 + 30 + 100 + 50 = 430\).

К данному моменту прошло \(n\) этапов, и вам известны ваши баллы и баллы Ильи на каждом из этих этапов. Однако сколько ещё этапов будет в соревновании, неизвестно. Вам интересно, какое наименьшее число этапов ещё должно пройти, чтобы ваш результат хотя бы теоретически смог оказаться больше или равен результату Ильи. Найдите это число!

Входные данные

Во входных данных находятся несколько наборов входных данных. В первой строке находится одно целое число \(t\) (\(1 \le t \le 1000\)) — количество наборов входных данных. Далее следуют наборы входных данных.

Первая строка набора входных данных содержит целое число \(n\) (\(1 \le n \le 10^5\)) — число прошедших этапов соревнования.

Вторая строка содержит \(n\) целых чисел \(a_1, a_2, \ldots, a_n\) (\(0 \le a_i \le 100\)) — ваши баллы на прошедших этапах.

Третья строка содержит \(n\) целых чисел \(b_1, b_2, \ldots, b_n\) (\(0 \le b_i \le 100\)) — баллы Ильи на прошедших этапах.

Гарантируется, что сумма значений \(n\) по всем наборам входных данных не превосходит \(10^5\).

Выходные данные

Для каждого набора входных данных выведите одно целое число — наименьшее число этапов, через которое ваш результат может оказаться больше или равен результату Ильи.

Если ваш результат уже и так не меньше результата Ильи, выведите \(0\).

Примечание

В первом наборе входных данных вы набрали \(100\) баллов на единственном прошедшем этапе, а Илья — \(0\). Значит, ваш суммарный результат (\(100\)) и так не хуже результата Ильи (\(0\)).

Во втором наборе входных данных вы набрали \(0\) баллов на первом этапе, а Илья — \(100\). Достаточно одного этапа с противоположным результатом, чтобы суммарный результат вас обоих стал равен \(100\).

В третьем наборе входных данных ваш суммарный результат равен \(30 + 40 + 50 = 120\), а Ильи — \(100 + 100 + 100 = 300\). После трёх дополнительных этапов ваш результат может стать равен \(420\), а Ильи — \(400\).

В четвёртом наборе входных данных после четырёх дополнительных этапов ваш результат может стать равен \(470\), а Ильи — \(400\). Трёх этапов недостаточно.

E3. Сортировка слиянием

Бинарный поиск *особая задача

Рассмотрим следующий код сортировки слиянием на языке Python:

def sort(a):
n = len(a)
b = [0 for i in range(n)]
log = []

def mergeSort(l, r):
if r - l <= 1:
return
m = (l + r) >> 1
mergeSort(l, m)
mergeSort(m, r)
i, j, k = l, m, l
while i < m and j < r:
if a[i] < a[j]:
log.append('0')
b[k] = a[i]
i += 1
else:
log.append('1')
b[k] = a[j]
j += 1
k += 1
while i < m:
b[k] = a[i]
i += 1
k += 1
while j < r:
b[k] = a[j]
j += 1
k += 1
for p in range(l, r):
a[p] = b[p]

mergeSort(0, n)
return "".join(log)

Как можно заметить, этот код использует логирование — важнейший инструмент разработки.

Старший разработчик ВКонтакте Вася сгенерировал перестановку \(a\) (массив из \(n\) различных целых чисел от \(1\) до \(n\)), дал её на вход функции sort и получил на выходе строку \(s\). На следующий день строку \(s\) Вася нашёл, а перестановка \(a\) потерялась.

Вася хочет восстановить любую перестановку \(a\) такую, что вызов функции sort от неё даст ту же строку \(s\). Помогите ему!

Входные данные

Ввод содержит непустую строку \(s\), состоящую из символов 0 и 1.

В этой версии задачи для любого теста существует перестановка длины не более \(10^5\), удовлетворяющая условию. Тем не менее, ваш ответ может иметь любую длину, в том числе превышающую \(10^5\).

Выходные данные

В первой строке выведите целое число \(n\) — длину перестановки.

Во второй строке выведите \(n\) различных целых чисел \(a_0, a_1, \ldots, a_{n-1}\) (\(1 \le a_i \le n\)) — элементы перестановки.

Если существует несколько вариантов ответа, выведите любой из них.

E. Укомплектование шахматной команды

Бинарный поиск Структуры данных *особая задача жадные алгоритмы

Поликарп готовит команду к предстоящей игре на шахматном турнире. Полная команда для турнира должна состоять из \(n+1\) участника.

В его команде \(n\) участников, у \(i\)-го уровень подготовки равен \(a_i\). Поликарпу предстоит выбрать последнего участника команды.

В команде соперника \(n+1\) участник, у \(j\)-го уровень подготовки равен \(b_j\).

У Поликарпа есть \(m\) вариантов выбора последнего участника. У \(k\)-го из них уровень подготовки равен \(c_k\).

До начала игры Поликарп ставит каждого игрока своей команды в пару с игроком команды соперника. Каждый игрок обеих команд состоит ровно в одной паре. Сложность игры для конкретного игрока — это разница между уровнем подготовки его соперника и его уровнем. То есть, если \(i\)-й игрок команды Поликарпа в паре с \(j\)-м игроком команды соперника, то сложность равна \(b_j - a_i\). Сложность игры для команды — это максимум по сложностям ее участников.

Поэтому перед началом игры Поликарп хочет поставить всех игроков в пары так, чтобы сложность игры для его команды была как можно меньше.

Для каждого из \(m\) вариантов последнего участника команды выведите наименьшую сложность игры, которую может получить Поликарп.

Входные данные

В первой строке записано одно целое число \(n\) (\(1 \le n \le 2 \cdot 10^5\)) — количество игроков в команде Поликарпа.

Во второй строке записаны \(n\) целых чисел \(a_1, a_2, \dots, a_n\) (\(1 \le a_i \le 10^9\)), где \(a_i\) — уровень подготовки \(i\)-го игрока команды Поликарпа.

В третьей строке записано \(n+1\) целое число \(b_1, b_2, \dots, b_{n+1}\) (\(1 \le b_j \le 10^9\)), где \(b_j\) — уровень подготовки \(j\)-го игрока команды соперника.

В четвертой строке записано одно целое число \(m\) (\(1 \le m \le 2 \cdot 10^5\)) — количество вариантов последнего игрока.

В пятой строке записаны \(m\) целых чисел \(c_1, c_2, \dots, c_m\) (\(1 \le c_k \le 10^9\)), где \(c_k\) — уровень подготовки \(k\)-го игрока среди вариантов для последнего участника команды Поликарпа.

Выходные данные

Выведите \(m\) целых чисел — \(k\)-е должно быть равно минимальной сложности игры, которую может получить Поликарп, если он выберет \(k\)-й вариант последнего игрока.

Примечание

В первом примере лучшие пары для первых трех вариантов выглядят следующим образом. Обратите внимание, что может существовать несколько корректных пар, которые дают наименьший ответ.

Первый вариант:

Команда Поликарпа: 6 1 3 1 10 4

Команда соперника: 9 4 2 5  9 8

Соответствующие сложности игры для каждого игрока равны: 3, 3, -1, 4, -1, 4. Максимум равен 4, поэтому он является сложностью игры для команды.

Второй вариант:

Команда Поликарпа: 10 4 1 3 7 6

Команда соперника:  9 4 2 5 9 8

Третий вариант:

Команда Поликарпа: 6 3 1 4 10 6

Команда соперника: 9 4 2 5  9 8

F. Разбиение двоичной строки

Бинарный поиск *особая задача жадные алгоритмы

Назовем строку \(t\), состоящую из символов 0 и/или 1, красивой, если количество вхождений символа 0 в этой строке не превышает \(k\), либо количество вхождений символов 1 в этой строке не превышает \(k\) (либо выполняются оба условия). Например, если \(k = 3\), строки 101010, 111, 0, 00000, 1111111000 являются красивыми, а строки 1111110000, 01010101 не являются красивыми.

Вам дана строка \(s\). Вам необходимо разбить ее на минимально возможное количество красивых строк, т. е. найти последовательность строк \(t_1, t_2, \dots, t_m\) такую, что все \(t_i\) были красивыми, \(t_1 + t_2 + \dots + t_m = s\) (где \(+\) — оператор конкатенации), а \(m\) минимально возможно.

Для каждого \(k\) от \(1\) до \(|s|\) найдите минимально возможное количество строк на которое можно разбить заданную строку \(s\) (т. е. минимально возможное \(m\) в разбиении).

Входные данные

Единственная строка содержит одну строку \(s\) (\(1 \le |s| \le 2 \cdot 10^5\)). Каждый символ \(s\) является либо 0, либо 1.

Выходные данные

Выведите \(|s|\) целых чисел. \(i\)-е целое число должно быть равно минимальному количеству строк в разбиении \(s\), когда \(k = i\).

C. Нестабильная строка

Строки Бинарный поиск реализация дп *1400 жадные алгоритмы

Вам задана строка \(s\), состоящая из символов 0, 1 и ?.

Назовем строку нестабильной, если она состоит из символов 0 и 1 и любые два соседних символа различаются (т. е. имеет вид 010101... или 101010...).

Назовем строку красивой, если она состоит из символов 0, 1 и ?, и в ней можно заменить символы ? на 0 или 1 (для каждого символа выбор происходит независимо), чтобы строка стала нестабильной.

Например, строки 0??10, 0 и ??? являются красивыми, а строки 00 и ?1??1 — нет.

Посчитайте количество красивых непрерывных подстрок строки \(s\).

Входные данные

Первая строка содержит одно целое число \(t\) (\(1 \le t \le 10^4\)) — количество наборов входных данных.

Первая и единственная строка каждого набора содержит строку \(s\) (\(1 \le |s| \le 2 \cdot 10^5\)), состоящую из символов 0, 1 и ?.

Гарантируется, что сумма длин строк по всем наборам входных данных не превосходит \(2 \cdot 10^5\).

Выходные данные

Для каждого набора выходных данных выведите одно целое число — количество красивых подстрок строки \(s\).

E. Поставки золота

Бинарный поиск Деревья Структуры данных дп жадные алгоритмы *2200 интерактив

Вам задано корневое дерево. Каждая вершина дерева содержит \(a_i\) тонн золота, стоящее \(c_i\) за тонну. Первоначально, дерево состоит только из корня с номером \(0\), в котором \(a_0\) тонн золота с ценой \(c_0\) за тонну.

Всего есть \(q\) запросов. Каждый запрос одного из двух видов:

  1. Подвесить вершину \(i\) (где \(i\) — это номер запроса) за некоторую вершину \(p_i\); вершина \(i\) будет содержать \(a_i\) тонн золота с ценой \(c_i\) за тонну. Гарантируется, что \(c_i > c_{p_i}\).
  2. Для заданной вершины \(v_i\) рассмотрим простой путь от \(v_i\) к корню. Нам нужно приобрести \(w_i\) тонн золота из вершин на этом пути, потратив наименьшее количество денег. Если на этом пути недостаточно золота, мы покупаем все что можно.

Если мы покупаем \(x\) тон золота в некоторой вершине \(v\), то оставшееся количество золота в ней уменьшается на \(x\) (очевидно, мы не можем купить больше золота, чем есть в вершине на данный момент). Для каждого запроса второго вида посчитайте, сколько тонн золота мы купим в результате и сколько мы на это потратим.

Заметим, что вы должны решить данную задачу в онлайне. То есть вы не можете считать все входные данные заранее. Вы можете считать очередной запрос только после того как выведете ответ на предыдущий, поэтому не забывайте сбрасывать поток вывода после вывода ответа. Вы можете использовать такие функции как fflush(stdout) в C++, BufferedWriter.flush в Java или похожие после каждого вывода в программе. По стандарту (если вы не модифицировали I/O), endl сбрасывает cout в C++, а System.out.println в Java (или println в Kotlin) сбрасывают поток вывода автоматически.

Входные данные

В первой строке заданы три целых числа \(q\), \(a_0\) и \(c_0\) (\(1 \le q \le 3 \cdot 10^5\); \(1 \le a_0, c_0 < 10^6\)) — количество запросов, количество золота в корне и его цена за тонну.

В следующих \(q\) строках заданы описания запросов: \(i\)-й запрос имеет один из следующих видов:

  • «\(1\) \(p_i\) \(a_i\) \(c_i\)» (\(0 \le p_i < i\); \(1 \le a_i, c_i < 10^6\)): подвесить вершину \(i\) за вершину \(p_i\). Вершина \(i\) будет содержать \(a_i\) тонн золота по цене \(c_i\) за тонну. Гарантируется, что вершина \(p_i\) существует и \(c_i > c_{p_i}\).
  • «\(2\) \(v_i\) \(w_i\)» (\(0 \le v_i < i\); \(1 \le w_i < 10^6\)): приобрести \(w_i\) тонн золота из вершин на пути из \(v_i\) в \(0\), потратив минимальное количество денег. Если на пути золота недостаточно, мы покупаем все что есть. Гарантируется, что вершина \(v_i\) существует.

Гарантируется, что есть хотя бы один запрос второго типа.

Выходные данные

Для каждого запроса второго вида, выведите сколько тонн золота мы смогли купить и сколько на это потратили.

Примечание

Рассмотрим пример:

В первом запросе, дерево состоит только из корня, поэтому мы приобретаем \(2\) тонны золота и платим \(2 \cdot 2 = 4\). В корне осталось \(3\) тонны.

Во втором запросе, вы подвешиваем вершину \(2\) за вершину \(0\). В вершине \(2\) сейчас \(3\) тонны золота по цене \(4\) за тонну.

В третьем запросе, простой путь из \(2\) в \(0\) содержит только вершины \(0\) и \(2\), а так как \(c_0 < c_2\), мы покупаем оставшиеся \(3\) тонны золота в вершине \(0\) и \(1\) тонну в вершине \(2\). Таким образом, мы приобрели \(3 + 1 = 4\) тонны и заплатили \(3 \cdot 2 + 1 \cdot 4 = 10\). Теперь, вершина \(0\) осталась без золота, а вершине \(2\) осталось \(2\) тонны золота.

В четвертом запросе, мы подвешиваем вершину \(4\) за вершину \(0\). В вершине \(4\) сейчас \(1\) тонна золота по цене \(3\).

В пятом запросе, простой путь из \(4\) в \(0\) состоит только из вершин \(0\) и \(4\). Но так как в вершине \(0\) уже нет золота, а в вершине \(4\) только \(1\) тонна, то мы покупаем \(1\) тонну из вершины \(4\) и тратим \(1 \cdot 3 = 3\). Теперь в вершине \(4\) больше не осталось золота.

F. Расстояние между строками

Строки Бинарный поиск Перебор Структуры данных реализация хэши *3000

Предположим, вам даны две строки \(a\) и \(b\). Вы можете применить следующую операцию любое количество раз: выбрать любую непрерывную подстроку \(a\) или \(b\) и отсортировать символы в ней в порядке неубывания. Пусть \(f(a, b)\) — минимальное количество операций, которое необходимо применить, чтобы сделать строки равными (или \(f(a, b) = 1337\), если невозможно сделать \(a\) и \(b\) равными с помощью этих операций).

Например:

  • \(f(\text{ab}, \text{ab}) = 0\);
  • \(f(\text{ba}, \text{ab}) = 1\) (за одну операцию мы можем отсортировать всю первую строку);
  • \(f(\text{ebcda}, \text{ecdba}) = 1\) (за одну операцию мы можем отсортировать подстроку со \(2\)-го по \(4\)-й символ второй строки);
  • \(f(\text{a}, \text{b}) = 1337\).

Вам задано \(n\) строк \(s_1, s_2, \dots, s_k\) одинаковой длины. Вычислите \(\sum \limits_{i = 1}^{n} \sum\limits_{j = i + 1}^{n} f(s_i, s_j)\).

Входные данные

Первая строка содержит одно целое число \(n\) (\(1 \le n \le 2 \cdot 10^5\)) — количество строк.

Затем следует \(n\) строк, каждая строка содержит одну из строк \(s_i\), состоящую из строчных латинских букв. \(|s_1| = |s_2| = \ldots = |s_n|\) и \(n \cdot |s_1| \le 2 \cdot 10^5\). Все заданные строки попарно различны.

Выходные данные

Выведите одно целое число: \(\sum \limits_{i = 1}^{n} \sum\limits_{j = i + 1}^{n} f(s_i, s_j)\).

E1. Удаляй и удлиняй (простая версия)

Строки Бинарный поиск Перебор реализация *1600 дп жадные алгоритмы хэши строковые суфф. структуры

Это простая версия задачи. Единственное отличие — это ограничения на \(n\) и \(k\). Вы можете делать взломы, только если все версии задачи решены.

У вас есть строка \(s\), и вы можете выполнять над ней два типа операций:

  • Удалить последний символ строки.
  • Дублировать строку: \(s:=s+s\), где \(+\) обозначает конкатенацию.

Вы можете использовать каждую операцию любое количество раз (возможно, ни одного).

Ваша задача — найти лексикографически наименьшую строку длины ровно \(k\), которую можно получить, выполнив эти операции над строкой \(s\).

Строка \(a\) лексикографически меньше строки \(b\) тогда и только тогда, когда выполняется одно из следующих условий:

  • \(a\) является префиксом \(b\), но \(a\ne b\);
  • В первой позиции, где \(a\) и \(b\) отличаются, строка \(a\) имеет букву, которая появляется раньше в алфавите, чем соответствующая буква в \(b\).
Входные данные

Первая строка содержит два целых числа \(n\), \(k\) (\(1 \leq n, k \leq 5000\)) — длину исходной строки \(s\) и длину желаемой строки.

Вторая строка содержит строку \(s\), состоящую из \(n\) строчных английских букв.

Выходные данные

Выведите лексикографически наименьшую строку длины \(k\), которая может быть получена путем выполнения операций над строкой \(s\).

Примечание

В первом тесте оптимально сделать одно дублирование: «dbcadabc» \(\to\) «dbcadabcdbcadabc».

Во втором тесте оптимально удалить последние \(3\) символа, затем продублировать строку \(3\) раза, затем удалить последние \(3\) символов, чтобы строка имела длину \(k\).

«abcd» \(\to\) «abc» \(\to\) «ab» \(\to\) «a» \(\to\) «aa» \(\to\) «aaaa» \(\to\) «aaaa» \(\to\) «aaaa» \(\to\) «aaaa» \(\to\) «aaaa».

E2. Удаляй и удлиняй (сложная версия)

Строки Бинарный поиск Структуры данных жадные алгоритмы хэши *2200 строковые суфф. структуры

Это сложная версия задачи. Единственное отличие — это ограничения на \(n\) и \(k\). Вы можете делать взломы, только если все версии задачи решены.

У вас есть строка \(s\), и вы можете выполнять над ней два типа операций:

  • Удалить последний символ строки.
  • Дублировать строку: \(s:=s+s\), где \(+\) обозначает конкатенацию.

Вы можете использовать каждую операцию любое количество раз (возможно, ни одного).

Ваша задача — найти лексикографически наименьшую строку длины ровно \(k\), которую можно получить, выполнив эти операции над строкой \(s\).

Строка \(a\) лексикографически меньше строки \(b\) тогда и только тогда, когда выполняется одно из следующих условий:

  • \(a\) является префиксом \(b\), но \(a\ne b\);
  • В первой позиции, где \(a\) и \(b\) отличаются, строка \(a\) имеет букву, которая появляется раньше в алфавите, чем соответствующая буква в \(b\).
Входные данные

Первая строка содержит два целых числа \(n\), \(k\) (\(1 \leq n, k \leq 5\cdot 10^5\)) — длину исходной строки \(s\) и длину желаемой строки.

Вторая строка содержит строку \(s\), состоящую из \(n\) строчных английских букв.

Выходные данные

Выведите лексикографически наименьшую строку длины \(k\), которая может быть получена путем выполнения операций над строкой \(s\).

Примечание

В первом тесте оптимально сделать одно дублирование: «dbcadabc» \(\to\) «dbcadabcdbcadabc».

Во втором тесте оптимально удалить последние \(3\) символа, затем продублировать строку \(3\) раза, затем удалить последние \(3\) символов, чтобы строка имела длину \(k\).

«abcd» \(\to\) «abc» \(\to\) «ab» \(\to\) «a» \(\to\) «aa» \(\to\) «aaaa» \(\to\) «aaaa» \(\to\) «aaaa» \(\to\) «aaaa» \(\to\) «aaaa».

C. Количество пар

Бинарный поиск Структуры данных математика *1300

Вам задан массив \(a\), состоящий из \(n\) целых чисел. Найдите количество пар индексов \((i, j)\) (\(1 \le i < j \le n\)), для которых сумма \(a_i + a_j\) больше или равна \(l\) и меньше или равна \(r\) (то есть \(l \le a_i + a_j \le r\)).

Например, если \(n = 3\), \(a = [5, 1, 2]\), \(l = 4\) и \(r = 7\), то подходят две пары:

  • \(i=1\) и \(j=2\) (\(4 \le 5 + 1 \le 7\));
  • \(i=1\) и \(j=3\) (\(4 \le 5 + 2 \le 7\)).
Входные данные

В первой строке находится целое число \(t\) (\(1 \le t \le 10^4\)). Далее следуют \(t\) наборов входных данных.

В первой строке каждого набора входных данных находятся три целых числа \(n, l, r\) (\(1 \le n \le 2 \cdot 10^5\), \(1 \le l \le r \le 10^9\)) — количество чисел в массиве и ограничения на сумму в паре.

Во второй строке находится \(n\) целых чисел \(a_1, a_2, \ldots, a_n\) (\(1 \le a_i \le 10^9\)).

Гарантируется, что сумма \(n\) по всем наборам входных данных не превышает \(2 \cdot 10^5\).

Выходные данные

Для каждого набора входных данных выведите одно целое число — количество пар индексов \((i, j)\) (\(i < j\)), для которых \(l \le a_i + a_j \le r\).

F. Интересная функция

Бинарный поиск математика дп *1500 теория чисел

Вам заданы два целых числа \(l\) и \(r\), где \(l < r\). Будем прибавлять \(1\) к \(l\) до тех пор, пока результат не окажется равным \(r\). Таким образом, будет сделано ровно \(r-l\) прибавлений единицы. Для каждого такого прибавления посмотрим на количество цифр, которые будут изменены при этом прибавлении. Например:

  • если \(l=909\), то прибавление единицы приведёт к результату \(910\) и будут изменены \(2\) цифры;
  • если к \(l=9\) прибавить единицу, то результат будет равен \(10\) и будут изменены тоже \(2\) цифры;
  • если к \(l=489999\) прибавить единицу, то результат будет равен \(490000\) и будут изменены \(5\) цифр.

Изменённые цифры всегда образуют некоторый суффикс десятичной записи результата.

Выведите суммарное количество изменённых цифр, если требуется из \(l\) получить \(r\), прибавляя каждый раз \(1\).

Входные данные

В первой строке находится целое число \(t\) (\(1 \le t \le 10^4\)). Далее следуют \(t\) наборов входных данных.

Каждый дабор входных данных характеризуется двумя целыми числами \(l\) и \(r\) (\(1 \le l < r \le 10^9\)).

Выходные данные

Для каждого набора входных данных вычислите суммарное количество изменённых цифр, если требуется из \(l\) получить \(r\), прибавляя каждый раз единицу.

G. Подарочный набор

Бинарный поиск Тернарный поиск математика *2100 жадные алгоритмы

У Поликарпа есть \(x\) красных и \(y\) синих конфет. Из них он хочет составить подарочные наборы. Каждый подарочный набор будет содержать либо \(a\) красных конфет и \(b\) синих конфет, либо наоборот — \(a\) синих конфет и \(b\) красных конфет.

Помогите Поликарпу понять, какое наибольшее число подарочных наборов он может составить.

Например, если \(x = 10\), \(y = 12\), \(a = 5\) и \(b = 2\), то он может составить три подарочных набора:

  • В первом наборе будет \(5\) красных конфет и \(2\) синие;
  • Во втором наборе будет \(5\) синих конфет и \(2\) красные;
  • В третьем наборе будет \(5\) синих конфет и \(2\) красные.

У Поликарпа останется одна красная конфета, используя которую, он не сможет собрать еще один подарочный набор.

Входные данные

В первой строке находится целое число \(t\) (\(1 \le t \le 10^4\)). Далее следуют \(t\) наборов входных данных.

Каждый набор входных данных состоит из одной строки в которой находятся четыре целых числа \(x\), \(y\), \(a\) и \(b\) (\(1 \le x, y, a, b \le 10^9\)).

Выходные данные

Для каждого набора входных данных выведите одно число — максимальное количество подарочных наборов, которое может собрать Поликарп.

D. PriceFixed

Бинарный поиск реализация *1600 жадные алгоритмы сортировки

Девочка Лена — самая экономная девочка в Москве. Поэтому когда папа поручил ей закупку продуктов для поездки на дачу, она сразу отправилась в самый лучший магазин — «PriceFixed». У этого магазина есть несколько особенностей:

  • В магазине есть бесконечный запас каждого товара.
  • Все товары в нем стоят одинаково — ровно \(2\) рубля за единицу товара.
  • Для каждого из \(i\) товаров предусмотрена скидка для опытных покупателей: если вы уже приобрели \(b_i\) единиц товаров (любого типа, не обязательно типа \(i\)), то на все последующие покупки \(i\)-го товара будет действовать скидка \(50\%\) (то есть единицу \(i\)-го товара можно будет купить за \(1\) рубль!).

Лене нужно купить \(n\) товаров: \(i\)-го товара нужно купить не менее \(a_i\) единиц. Помогите Лене понять, какую минимальную сумму денег ей нужно будет потратить, если она будет выбирать порядок покупки товаров оптимальным образом. Обратите внимание, Лена, если хочет, может купить больше единиц некоторого товара, чем необходимо.

Входные данные

В первой строке вводится число \(n\) (\(1 \leq n \leq 100\,000\)) — количество различных товаров в списке.

В следующих \(n\) строках вводятся описания товаров. Каждое описание состоит из двух чисел \(a_i\) и \(b_i\), (\(1 \leq a_i \leq 10^{14}\), \(1 \leq b_i \leq 10^{14}\)) — требуемое число единиц \(i\)-го товара и сколько единиц товаров нужно купить, чтобы получить скидку на товар \(i\).

Сумма всех \(a_i\) в тесте не превосходит \(10^{14}\).

Выходные данные

Выведите искомую минимальную сумму, которая требуется Лене для совершения всех покупок.

Примечание

В первом примере из условия Лена может купить товары в таком порядке:

  1. единицу товара \(3\) за \(2\) рубля,
  2. единицу товара \(1\) за \(2\) рубля
  3. единицу товара \(1\) за \(2\) рубля,
  4. единицу товара \(2\) за \(1\) рубль (она может купить его со скидкой, так как уже куплено \(3\) товара),
  5. единицу товара \(1\) за \(1\) рубль (она может купить его со скидкой, так как уже куплено \(4\) товара).

Суммарно она потратит \(8\) рублей. Можно показать, что меньше потратить невозможно.

Во втором примере из условия Лена может купить товары в таком порядке:

  1. единицу товара \(1\) за \(2\) рубля,
  2. две единицы товара \(2\) по \(2\) рубля за каждую,
  3. единицу товара \(5\) за \(2\) рубля,
  4. единицу товара \(3\) за \(1\) рубль,
  5. две единицы товара \(4\) по \(1\) рублю за каждую,
  6. единицу товара \(1\) за \(1\) рубль.

Суммарно при таком порядке приобретения товаров Лена потратит \(12\) рублей.

E. Игра с картами

Бинарный поиск Структуры данных Конструктив реализация дп жадные алгоритмы *2500

У Алисы сломался компьютер и теперь она не может играть в свою любимую карточную игру. Чтобы помочь Алисе, Боб решил помочь ей и ответить на \(n\) запросов.

Изначально в левой и правой руке Боб держит по одной карте с числом \(0\), записанным на этих картах. Во время выполнения \(i\)-го запроса Алиса предлагает Бобу заменить карту в правой или левой руке на карту с числом \(k_i\) (Боб выбирает, какую из карт заменить, Боб обязан заменить ровно одну карту).

После замены карты Алиса хочет, чтобы число на левой и правой картах принадлежали каким-то заданным отрезкам (отрезки для левой и правой карты могут быть различны). Формально, пусть число записанное на левой карте — \(x\), а на правой — \(y\). Тогда после замены карты на \(i\)-м запросе должно выполняться, что \(a_{l, i} \le x \le b_{l, i}\) и \(a_{r, i} \le y \le b_{r,i}\).

Скажите, сможет ли Боб ответить на все запросы, чтобы все условия удовлетворялись. Если ответить на все запросы возможно, то приведите способ это сделать.

Входные данные

В первой строке вводятся два целых числа \(n\) и \(m\) (\(2 \le n \le 100\,000\), \(2 \le m \le 10^9\)) — количество запросов и максимально возможное значение на карте.

Далее следует описание \(n\) запросов. Описание каждого запроса состоит из трех строк.

В первой строке описания \(i\)-го запроса вводится целое число \(k_i\) (\(0 \le k_i \le m\)) — число, записанное на новой карте.

Во второй строке описания \(i\)-го запроса вводятся два целых числа \(a_{l, i}\) и \(b_{l, i}\) (\(0 \le a_{l, i} \le b_{l, i} \le m\)) — минимальное и максимальное допустимые значения, записанные на карте в левой руке после замены.

Во третьей строке описания \(i\)-го запроса вводятся два целых числа \(a_{r, i}\) и \(b_{r,i}\) (\(0 \le a_{r, i} \le b_{r,i} \le m\)) — минимальное и максимальное допустимые значения, записанные на карте в правой руке после замены.

Выходные данные

В первой строке выведите «Yes», если Боб может ответить на все запросы, и «No» иначе.

Если Боб может ответить на все \(n\) запросов, то во второй строке выходных данных должны содержаться \(n\) чисел, соответствующих корректному способу ответить на все запросы. Если в ответ на \(i\)-й запрос Бобу нужно взять карту в левую руку, выведите \(0\), иначе выведите \(1\). Если существует несколько корректных способов ответить на запросы, то любой из них будет засчитан.

D. Инвертируем инверсии

Бинарный поиск Перебор Структуры данных *3200

Вы играли со своей перестановкой \(p\) длины \(n\), но потеряли ее в Блэр, штат Алабама!

К счастью, вы помните некоторую информацию о перестановке. А точнее, вы помните массив \(b\) длины \(n\), где \(b_i\) — это количество индексов \(j\) таких, что \(j < i\) и \(p_j > p_i\).

У вас есть массив \(b\), и вы хотите восстановить перестановку \(p\). Однако ваша память не идеальна, и вы постоянно меняете значения массива \(b\), как вспоминаете что-то еще. В следующие \(q\) секунд каждую секунду происходит одно из следующего:

  1. \(1\) \(i\) \(x\) — вы вспоминаете, что \(b_i\) равно \(x\);
  2. \(2\) \(i\) — вам нужно определить значение элемента \(p_i\). Если существует более одного ответа, выведите любой. Можно доказать, что при данных ограничениях всегда найдется хотя бы одна перестановка.

Отвечайте на запросы, и вы сможете вспомнить массив!

Входные данные

В первой строке задано одно целое число \(n\) (\(1 \leq n \leq 10^5\)) — размер перестановки.

Во второй строке заданы \(n\) целых чисел \(b_1, b_2 \ldots, b_n\) (\(0 \leq b_i < i\)) — то, как вы помнили массив \(b\) сначала.

В третьей строке задано одно целое число \(q\) (\(1 \leq q \leq 10^5\)) — количество запросов.

В следующих \(q\) строках заданы сами запросы, каждый одного из следующих видов:

  • \(1\) \(i\) \(x\) (\(0 \leq x < i \leq n\)) описывает запрос вида \(1\);
  • \(2\) \(i\) (\(1 \leq i \leq n\)), описывает запрос вида \(2\).

Гарантируется, что есть хотя бы один запрос вида \(2\).

Выходные данные

На каждый запрос вида \(2\) выведите одно число — ответ на заданный запрос.

Примечание

В первом примере первоначально есть ровно одна перестановка, удовлетворяющая условиям: \([1, 2, 3]\), так как должна содержать \(0\) инверсий.

После запроса вида \(1\) массив \(b\) становится равен \([0, 1, 0]\). Единственная перестановка \(p\), порождающая данный массив — это \([2, 1, 3]\). В этой перестановке \(b_2\) равен \(1\), так как \(p_1 > p_2\).

F. Стабилизируй массив (НОД-версия)

Бинарный поиск Перебор Структуры данных теория чисел *1900 разделяй и властвуй

Задан массив из положительных целых чисел \(a = [a_0, a_1, \dots, a_{n - 1}]\) (\(n \ge 2\)).

За один шаг массив \(a\) заменяется на другой массив длины \(n\), в котором каждый элемент это наибольший общий делитель (НОД) двух соседних элементов (самого элемента и его правого соседа; считайте, что правый сосед \((n - 1)\)-го элемента это \(0\)-й элемент).

Формально говоря, по массиву \(a = [a_0, a_1, \dots, a_{n - 1}]\) строится новый массив \(b = [b_0, b_1, \dots, b_{n - 1}]\) такой, что \(b_i\) \(= \gcd(a_i, a_{(i + 1) \mod n})\), где \(\gcd(x, y)\) — это наибольший общий делитель \(x\) и \(y\), а \(x \mod y\) — это остаток от деления \(x\) на \(y\). За один шаг строится массив \(b\), а затем массив \(a\) заменяется массивом \(b\) (то есть осуществляется присваивание \(a\) := \(b\)).

Например, если \(a = [16, 24, 10, 5]\), то \(b = [\gcd(16, 24)\), \(\gcd(24, 10)\), \(\gcd(10, 5)\), \(\gcd(5, 16)]\) \(= [8, 2, 5, 1]\). Таким образом, массив \(a = [16, 24, 10, 5]\) после одного шага станет равен \([8, 2, 5, 1]\).

Для заданного массива \(a\) найдите минимальное количество шагов, после которых все значения \(a_i\) станут равными (то есть \(a_0 = a_1 = \dots = a_{n - 1}\)). Если изначально массив \(a\) уже состоял из одинаковых элементов, то считайте, что количество шагов равно \(0\).

Входные данные

В первой строке записано целое число \(t\) (\(1 \le t \le 10^4\)) — количество наборов входных данных в тесте. Далее записаны \(t\) наборов входных данных.

Каждый набор состоит из двух строк. В первой строке содержится целое число \(n\) (\(2 \le n \le 2 \cdot 10^5\)) — длина массива \(a\). Вторая строка содержит \(n\) целых чисел \(a_0, a_1, \dots, a_{n - 1}\) (\(1 \le a_i \le 10^6\)).

Сумма значений \(n\) по всем наборам входных данных теста не превосходит \(2 \cdot 10^5\).

Выходные данные

Выведите \(t\) чисел — ответы на наборы входных данных теста.

B. У чисел есть друзья

Бинарный поиск Структуры данных математика теория чисел *1800 разделяй и властвуй

Британский математик Джон Литлвуд однажды высказался об индийском математике Сринивасе Рамануджане: «каждое натуральное число было его личным другом».

Оказывается, натуральные числа могут также дружить друг с другом! Вам дан массив \(a\) из различных натуральных чисел.

Будем называть подмассив \(a_i, a_{i+1}, \ldots, a_j\) группой друзей тогда и только тогда, когда существует целое число \(m \ge 2\) такое, что \(a_i \bmod m = a_{i+1} \bmod m = \ldots = a_j \bmod m\), где \(x \bmod y\) обозначает остаток от деления \(x\) на \(y\).

Ваш друг Грегор хочет знать размер наибольшей группы друзей в \(a\).

Входные данные

Каждый тест содержит несколько наборов входных данных. Первая строка содержит количество наборов входных данных \(t\) (\(1 \le t \le 2\cdot 10^4\)).

Первая строка каждого набора содержит одно целое число \(n\) (\(1 \le n \le 2 \cdot 10^5\)) – размера массива \(a\).

Вторая строка набора содержит \(n\) натуральных чисел \(a_1, a_2, \ldots, a_n\) (\(1 \le a_i \le {10}^{18}\)) – содержимое массива \(a\). Гарантируется, что все числа в \(a\) различны.

Гарантируется, что сумма \(n\) по всем наборам входных данных меньше \(2\cdot 10^5\).

Выходные данные

Ваш вывод должен состоять из \(t\) строк. Каждая строка должна содержать одно целое число — размер наибольшей группы друзей из \(a\).

Примечание

В первом наборе массив равен \([1,5,2,4,6]\). Наибольшая группа друзей здесь \([2,4,6]\), потому что все эти числа сравнимы с \(0\) по модулю \(2\), таким образом \(m=2\).

В первом наборе массив равен \([8,2,5,10]\). Наибольшая группа друзей здесь \([8,2,5]\), потому что все эти числа сравнимы с \(2\) по модулю \(3\), таким образом \(m=3\).

В третьем наборе наибольшая группа друзей равна \([1000,2000]\). Существует несколько возможных подходящих значений \(m\).

D. Отличные массивы

Бинарный поиск Конструктив Комбинаторика математика реализация сортировки *2300

Назовем целочисленный массив \(a_1, a_2, \dots, a_n\) хорошим, если \(a_i \neq i\) для всех \(i\).

Пусть \(F(a)\) — это количество пар \((i, j)\) (\(1 \le i < j \le n\)) таких, что \(a_i + a_j = i + j\).

Назовем массив \(a_1, a_2, \dots, a_n\) отличным если:

  • \(a\) — хороший;
  • \(l \le a_i \le r\) для всех \(i\);
  • \(F(a)\) максимально возможное среди всех хороших массивов размера \(n\).

Для заданных \(n\), \(l\) и \(r\) посчитайте количество отличных массивов по модулю \(10^9 + 7\).

Входные данные

В первой строке задано одно целое число \(t\) (\(1 \le t \le 1000\)) — количество наборов входных данных.

В первой и единственной строке каждого набора заданы три целых числа \(n\), \(l\) и \(r\) (\(2 \le n \le 2 \cdot 10^5\); \(-10^9 \le l \le 1\); \(n \le r \le 10^9\)).

Гарантируется, что сумма \(n\) не превосходит \(2 \cdot 10^5\).

Выходные данные

Для каждого набора входных данных выведите количество отличных массивов по модулю \(10^9 + 7\).

Примечание

В первом наборе входных данных, можно показать, что максимальное \(F(a)\) среди всех хороших массивов \(a\) равно \(2\). Отличными являются следующие массивы:

  1. \([2, 1, 2]\);
  2. \([0, 3, 2]\);
  3. \([2, 3, 2]\);
  4. \([3, 0, 1]\).

E. Stringforces

Строки Бинарный поиск Перебор дп битмаски *2500

Задана строка \(s\) длины \(n\). Каждый символ — это либо одна из первых \(k\) строчных латинских букв, либо знак вопроса.

Требуется заменить каждый знак вопрос на одну из первых \(k\) строчных латинских букв таким образом, чтобы максимизировать следующее значение.

Пусть \(f_i\) будет максимальной длиной подстроки строки \(s\), которая состоит целиком из \(i\)-й латинской буквы. Подстрока строки — это некоторый ее непрерывный подотрезок. Если \(i\)-я буква не встречается в строке, то \(f_i\) равно \(0\).

Значение строки \(s\) — это минимальное значение среди \(f_i\) для всех \(i\) от \(1\) до \(k\).

Какое наибольшее значение может иметь строка?

Входные данные

В первой строке записаны два целых числа \(n\) и \(k\) (\(1 \le n \le 2 \cdot 10^5\); \(1 \le k \le 17\)) — длина строки и количество использованных первых латинских букв.

Во второй строке записана строка \(s\), состоящая из \(n\) символов. Каждый символ — это либо одна из первых \(k\) строчных латинских букв, либо знак вопроса.

Выходные данные

Выведите одно целое число — наибольшее значение, которое может иметь строка, если заменить каждый знак вопроса на одну из первых \(k\) строчных латинских букв.

Примечание

В первом примере знаки вопроса можно заменить следующим образом: «aaaababbbb». \(f_1 = 4\), \(f_2 = 4\), поэтому ответ равен \(4\). Можно заменить и таким образом: «aaaabbbbbb». Тогда \(f_1 = 4\), \(f_2 = 6\), однако, минимум из них все еще равен \(4\).

Во втором примере одна из возможных строк такая: «aabbccdda».

В третьем примере хотя бы одна буква не встретится в строке, поэтому минимум из значений \(f_i\) всегда равен \(0\).

F. Попрыгунчик

Бинарный поиск Структуры данных дп графы разделяй и властвуй *2700 кратчайшие пути снм

Представьте себе бесконечный пруд, спроецированный на числовую прямую. В пруду есть \(n\) камней, пронумерованных от \(1\) до \(n\). \(i\)-й камень находится в целой координате \(a_i\). Координаты камней попарно различны. Камни пронумерованы в порядке увеличения координаты, поэтому \(a_1 < a_2 < \dots < a_n\).

Лягушка-робот сидит на камне номер \(s\). Лягушку можно запрограммировать. У нее есть встроенный параметр базовой длины прыжка \(d\). Также есть настройка для интервала длины прыжка. Если интервал длины прыжка выставляется на некоторое целое значение \(k\), то лягушка может прыгать с некоторого камня на любой другой камень на расстоянии от \(d - k\) до \(d + k\) включительно в любом направлении. Расстояние между двумя камнями — это модуль разности между их координатами.

Вам поручили задачу реализовать новую функцию для лягушки. По двум заданным целым числам \(i\) и \(k\) определить, может ли лягушка достичь камня номер \(i\) с камня номер \(s\), осуществив последовательность прыжков с интервалом длины прыжка установленным на \(k\). Последовательность может быть сколь угодно длинной или пустой.

Вам будет предоставлено \(q\) тестов для данной функции, \(j\)-й набор состоит из двух целых чисел \(i\) и \(k\). Выведите «Yes», если \(i\)-й камень достижим и «No» в противном случае.

Вы можете выводить «YES» и «NO» в любом регистре (например, строки «yEs», «yes», «Yes» и «YES» будут распознаны как положительный ответ).

Входные данные

В первой строке записаны четыре целых числа \(n\), \(q\), \(s\) и \(d\) (\(1 \le n, q \le 2 \cdot 10^5\); \(1 \le s \le n\); \(1 \le d \le 10^6\)) — количество камней, количество тестов, начальный камень и базовая длина прыжка.

Во второй строке записаны \(n\) целых чисел \(a_1, a_2, \dots, a_n\) (\(1 \le a_i \le 10^6\)) — координаты камней. Координаты камней попарно различны. Камни пронумерованы в порядке увеличения координаты, поэтому \(a_1 < a_2 < \dots < a_n\).

В каждой из следующих \(q\) строк записаны два целых числа \(i\) и \(k\) (\(1 \le i \le n\); \(1 \le k \le 10^6\)) — параметры теста.

Выходные данные

На каждый тест выведите ответ. Если существует такая последовательность прыжков с камня номер \(s\) до камня номер \(i\) с интервалом длины прыжка установленным на \(k\), то выведите «Yes». В противном случае выведите «No».

Примечание

Пояснение к первому примеру:

В первом тесте финальный камень тот же, что и начальный, поэтому не надо прыгать, чтобы его достичь.

Во втором тесте лягушка может прыгать на любую длину в отрезке \([5 - 2; 5 + 2]\). Поэтому она может достичь камня номер \(5\) (прыжком на \(7\) направо) и камня номер \(3\) (прыжком на \(3\) налево). С камня номер \(3\) она может достичь камня номер \(2\) (прыжком на \(5\) налево). С камня номер \(2\) она может достичь камня номер \(1\) (прыжком на \(4\) налево). Однако, нет способа достичь камня номер \(7\).

В третьем тесте лягушка может прыгать на любую длину в отрезке \([5 - 3; 5 + 3]\). Поэтому она может достичь камня номер \(7\), прыгнув сначала на камень номер \(5\), а с него на \(7\).

Четвертый тест показан в описании ко второму тесту.

B2. Чудесная раскраска - 2

Бинарный поиск Структуры данных Конструктив *1400 жадные алгоритмы

Эта задача является продолжением задачи «Чудесная раскраска - 1». Она имеет довольно много отличий, поэтому прочтите это условие полностью.

Совсем недавно у Паши и Маши появилась любимая последовательность чисел \(a_1, a_2, \dots, a_n\). Они захотели и её раскрасить с помощью мелков \(k\) цветов. Раскраска последовательности называется чудесной, если выполняются следующие условия:

  1. каждый элемент последовательности раскрашивается ровно в один из \(k\) цветов, либо не раскрашивается вовсе;
  2. любые два элемента, раскрашенные в один цвет, различны (то есть нет двух одинаковых значений, которые раскрашены в один цвет);
  3. посчитаем для каждого из \(k\) цветов количество элементов, раскрашенных этот цвет — все полученные количества должны быть равны;
  4. суммарное количество раскрашенных элементов при соблюдении первых трёх условий максимально возможно.

Например, пусть последовательность имеет вид \(a=[3, 1, 1, 1, 1, 10, 3, 10, 10, 2]\) и \(k=3\). Одна из чудесных раскрасок изображена на рисунке.

Пример возможной чудесной раскраски для \(a=[3, 1, 1, 1, 1, 10, 3, 10, 10, 2]\) и \(k=3\). Обратите внимание, что один из элементов остался нераскрашенным.

Помогите Паше и Маше найти чудесную раскраску заданной последовательности \(a\).

Входные данные

В первой строке записано одно целое число \(t\) (\(1 \le t \le 10000\)) — количество наборов входных данных. Далее следуют \(t\) наборов входных данных.

Каждый набор входных данных состоит из двух строк. Первая из них содержит два целых числа \(n\) и \(k\) (\(1 \le n \le 2\cdot10^5\), \(1 \le k \le n\)) — длину заданной последовательности и количество цветов. Вторая из них содержит \(n\) целых чисел \(a_1, a_2, \dots, a_n\) (\(1 \le a_i \le n\)).

Гарантируется, что сумма значений \(n\) по всем наборам входных данных теста не превосходит \(2 \cdot 10^5\).

Выходные данные

Выведите \(t\) строк, каждая строка содержит описание возможной чудесной раскраски для соответствующего набора входных данных.

Каждая чудесная раскраска должна быть выведена в виде \(n\) целых чисел \(c_1, c_2, \dots, c_n\) (\(0 \le c_i \le k\)), где:

  • \(c_i=0\), если \(i\)-й элемент не раскрашен в какой-либо цвет;
  • \(c_i>0\), если \(i\)-й элемент раскрашен в цвет с номером \(c_i\).

Помните, что в чудесной раскраске максимизируется суммарное количество раскрашенных элементов. Если существует несколько решений, выведите любое из них.

Примечание

В первом наборе входных данных примера ответ соответствует картинке в условии. Красный цвет имеет номер \(1\), синий имеет номер \(2\), зелёный — номер \(3\).

E. Неподвижные точки

Бинарный поиск Перебор дп *2000

Задана последовательность целых чисел \(a_1, a_2, \ldots, a_n\). За один ход можно выбрать любой элемент последовательности и удалить его. Все элементы справа от удаленного сдвигаются на \(1\) позицию влево, чтобы в последовательности не было пустых мест. Таким образом, за один ход длина последовательности всегда сокращается на \(1\). Индексы элементов после хода пересчитываются.

Например, пусть последовательность имеет вид \(a=[3, 2, 2, 1, 5]\). Допустим во время хода был выбран элемент \(a_3=2\). Тогда после хода последовательность будет равна \(a=[3, 2, 1, 5]\), причём теперь её \(3\)-м элементом будет считаться \(a_3=1\), а \(4\)-м будет \(a_4=5\).

Вам дана последовательность \(a_1, a_2, \ldots, a_n\) и число \(k\). Требуется найти минимальное количество ходов, которое нужно совершить, чтобы в последовательности не менее \(k\) элементов были равны своим индексам, т. е. в полученной последовательности \(b_1, b_2, \ldots, b_m\) существовало не менее \(k\) индексов \(i\) таких, что \(b_i = i\).

Входные данные

В первой строке записано одно целое число \(t\) (\(1 \le t \le 100\)) — количество наборов входных данных. Далее следуют \(t\) наборов входных данных.

Каждый набор данных состоит из двух подряд идущих строк. Первая строка содержит два целых числа \(n\) и \(k\) (\(1 \le k \le n \le 2000\)). Вторая строка содержит последовательность целых чисел \(a_1, a_2, \ldots, a_n\) (\(1 \le a_i \le n\)). Числа в последовательности не обязательно различны.

Гарантируется, что сумма \(n\) по всем наборам входных данных не превышает \(2000\).

Выходные данные

Для каждого набора входных данных выведите в отдельной строке:

  • \(-1\), если не существует искомой последовательности ходов;
  • в противном случае целое число \(x\) (\(0 \le x \le n\)) — минимальное количество ходов, которое требуется, для того чтобы не менее \(k\) элементов последовательности стали равны своим индексам.
Примечание

В первом наборе входных данных последовательность изначально не удовлетворяет виду, к которому её необходимо привести, однако, удалив первый элемент последовательности, можно добиться того, что последовательность примет вид \([1, 2, 3, 4, 5, 6]\), т. е. \(6\) элементов будут равны своим индексам.

Во втором тестовом примере есть два способа достичь желаемого результата за \(2\) хода: удалить \(1\)-й и \(3\)-й элементы, при этом последовательность будет иметь вид \([1, 2, 3]\), в которой будет \(3\) равных своим индексам элемента; второй способ — удалить \(2\)-й и \(3\)-й элементы, тогда получится последовательность \([5, 2, 3]\), в которой будет \(2\) искомых элемента.

F. Муравьепортация

Бинарный поиск Структуры данных дп сортировки *2200

Муравей движется по действительной прямой с постоянной скоростью в \(1\) единицу в секунду. Он начинает движение в точке \(0\) и всегда движется вправо (поэтому его позиция увеличивается на \(1\) каждую секунду).

Существует \(n\) порталов, \(i\)-й из которых находится в позиции \(x_i\) и телепортирует в позицию \(y_i < x_i\). Каждый портал может быть либо активным, либо неактивным. Начальное состояние \(i\)-го портала определяется \(s_i\): если \(s_i=0\), то \(i\)-й портал изначально неактивен, если \(s_i=1\), то \(i\)-й портал изначально активен. Когда муравей проходит через портал (т.е., когда его положение совпадает с положением портала):

  • если портал неактивен, он становится активным (в этом случае путь муравья не затрагивается);
  • если портал активен, то он становится неактивным, а муравей мгновенно телепортируется в позицию \(y_i\), где продолжает двигаться как обычно.

Сколько времени (с момента начала движения) потребуется муравью, чтобы достичь позиции \(x_n + 1\)? Можно показать, что это произойдет за конечное время. Поскольку ответ может быть очень большим, вычислите его по модулю \(998\,244\,353\).

Входные данные

Первая строка содержит целое число \(n\) (\(1\le n\le 2\cdot 10^5\)) — количество порталов.

В \(i\)-й из следующих \(n\) строк содержится три целых числа \(x_i\), \(y_i\) и \(s_i\) (\(1\le y_i < x_i\le 10^9\), \(s_i\in\{0,1\}\)) — положение \(i\)-го портала, положение, куда телепортируется муравей, когда он проходит через \(i\)-й портал (если он активен), и начальное состояние \(i\)-го портала.

Позиции порталов строго возрастают, то есть \(x_1<x_2<\cdots<x_n\). Гарантируется, что \(2n\) целых чисел \(x_1, \, x_2, \, \dots, \, x_n, \, y_1, \, y_2, \, \dots, \, y_n\) попарно различны.

Выходные данные

Выведите количество времени в секундах, которое пройдет с момента начала движения муравья до момента достижения им позиции \(x_n+1\). Поскольку ответ может быть очень большим, выведите его по модулю \(998\,244\,353\).

Примечание

Объяснение первого примера: Муравей перемещается следующим образом (кривая стрелка обозначает телепортацию, прямая стрелка обозначает обычное движение со скоростью \(1\), а время, затраченное на движение, написано над стрелкой). \(\) 0 \stackrel{6}{\longrightarrow} 6 \leadsto 5 \stackrel{3}{\longrightarrow} 8 \leadsto 1 \stackrel{2}{\longrightarrow} 3 \leadsto 2 \stackrel{4}{\longrightarrow} 6 \leadsto 5 \stackrel{2}{\longrightarrow} 7 \leadsto 4 \stackrel{2}{\longrightarrow} 6 \leadsto 5 \stackrel{4}{\longrightarrow} 9 \(\) Обратите внимание, что общее время составляет \(6+3+2+4+2+2+4=23\).

Пояснение второго примера: Муравей перемещается следующим образом (кривая стрелка обозначает телепортацию, прямая стрелка обозначает обычное движение со скоростью \(1\), а время, затраченное на движение, написано над стрелкой). \(\) 0 \stackrel{454971987}{\longrightarrow} 454971987 \leadsto 406874902 \stackrel{48097086}{\longrightarrow} 454971988 \(\) Обратите внимание, что общее время составляет \(454971987+48097086=503069073\).

Объяснение третьего примера: Поскольку все порталы изначально неактивны, муравей не будет телепортирован и попадет прямо из \(0\) в \(x_n+1=899754846+1=899754847\).

H. Угадайте периметр

Бинарный поиск теория чисел интерактив *3300

Назовем точку плоскости допустимой, если ее координаты — положительные целые числа, не превышающие \(200\).

Есть невидимый прямоугольник такой, что:

  • его вершины все допустимы;
  • его стороны параллельны координатным осям;
  • его площадь строго положительна.
Ваша задача — угадать периметр этого прямоугольника.

Для того чтобы его угадать, вы можете задать не более \(4\) запросов.

В каждом запросе вы выбираете непустое подмножество допустимых точек, и вам говорят, сколько из выбранных точек находится внутри или на границе невидимого прямоугольника.

Протокол взаимодействия

Чтобы задать запрос (такой, который описан в утверждении), нужно вывести две строки:

  • В первой строке выведите «? \(k\)» (без кавычек), где \(k\) (\(k\ge 1\)) — количество выбранных точек.
  • Во второй строке выведите \(2k\) целых чисел \(x_1,\, y_1,\, x_2,\, y_2,\, \dots,\, x_k,\, y_k\) (\(1\le x_i,y_i\le 200\) для \(i=1,2,\dots,k\)), где \((x_1, y_1),\,(x_2, y_2),\,(x_3, y_3),\, \dots,\,(x_k, y_k)\) — это \(k\) попарно различных допустимых выбранных точек (порядок точек не важен).
После этого вы должны считать одно целое число — количество выбранных точек, которые находятся внутри или на границе невидимого прямоугольника.

Когда вы определите периметр \(p\) невидимого прямоугольника, вы должны вывести «! \(p\)» (без кавычек) и завершить свою программу.

Если вы зададите более \(4\) запросов или один из запросов будет некорректным, интерактор немедленно завершит работу, а ваша программа получит вердикт Неправильный ответ.

Интерактор может быть адаптивным (т.е. скрытый прямоугольник может быть не выбран до начала взаимодействия).

После вывода запроса не забудьте вывести перевод строки и сбросить буфер вывода. В противном случае вы получите вердикт Решение «зависло». Для сброса буфера используйте:

  • fflush(stdout) или cout.flush() в C++;
  • System.out.flush() в Java;
  • flush(output) в Pascal;
  • stdout.flush() в Python;
  • смотрите документацию для других языков.

Hacks

Чтобы взломать решение, используйте следующий формат.

Выведите только одну строку, содержащую \(4\) целых числа \(x_0\), \(y_0\), \(x_1\), \(y_1\) (\(1\le x_0<x_1\le 200\), \(1\le y_0 < y_1 \le 200\)), где \((x_0,y_0)\) — левая нижняя вершина скрытого прямоугольника, \((x_1, y_1)\) - правая верхняя вершина скрытого прямоугольника.

Обратите внимание, что для взломов взаимодействие не будет адаптивным.

Примечание

Ниже приведен пример взаимодействия для первого примера, призванный показать формат запросов. \(\) \begin{array}{l|l|l} \text{Запрос (программа участника)} & \text{Ответ (интерактор)} & \text{Пояснение}\\ \hline \mathtt{?\ 4} & & \text{Мы выбрали $4$ вершины} \\ \mathtt{13\ 5\ 13\ 80\ 123\ 5\ 123\ 80} & \mathtt{4} &\text{скрытого прямоугольника.}\\ \hline \mathtt{?\ 5} & & \text{Мы выбрали $4$ точки за пределами скрытого}\\ \mathtt{100\ 4\ 100\ 81\ 12\ 40\ 124\ 40\ 50\ 50} & \mathtt{1} & \text{прямоугольника, а также точку $(50,50)$.}\\ \hline \mathtt{?\ 2} & & \text{Выбираем точки $(1, 1)$} \\ \mathtt{200\ 200\ 1\ 1} & \mathtt{0} & \text{и $(200,200)$.}\\ \hline \mathtt{!\ 370} & & \text{Это правильный периметр.} \end{array} \(\)

Для второго образца, возможное взаимодействие следующее. \(\) \begin{array}{l|l|l|l} \text{Запрос (программа участника)} & \text{Ответ (интерактор)} & \text{Пояснение} \\ \hline \mathtt{?\ 4} & & \text{Мы выбираем точки $(3, 2)$, $(4, 1)$,} \\ \mathtt{3\ 2\ 4\ 1\ 5\ 2\ 4\ 3} & 2 & \text{$(5, 2)$ и $(4, 3)$.} \\ \hline \mathtt{?\ 7} & & \text{Мы выбираем точки $(1, 4)$, $(2, 4)$,} \\\\\ \mathtt{1\ 4\ 2\ 4\ 1\ 5\ 2\ 5\ 5\ 5\ 5\ 5\ 6\ 6\ 5} & 1 & \text{$(1, 5)$, $(2, 5)$, $(5, 5)$, $(5, 6)$ и $(6, 5)$.} \\ \hline \mathtt{!\ 8} & & \text{Это правильный периметр.} \end{array} \(\) Ситуация показана на следующем рисунке:

Зеленые точки — это точки, относящиеся к первому запросу, а оранжевые — ко второму. Видно, что существует ровно два прямоугольника, соответствующих ответам собеседника:

  • прямоугольник вершин \((2, 2)\) и \((4, 4)\), показанный красным цветом;
  • прямоугольник из вершин \((4, 2)\) и \((5, 5)\), показанный синим цветом.
Поскольку оба этих прямоугольника имеют периметр \(8\), это и есть окончательный ответ.

C. Микаса

Бинарный поиск реализация *1800 жадные алгоритмы битмаски

Вам даны два целых числа \(n\) и \(m\). Найдите \(\operatorname{MEX}\) последовательности \(n \oplus 0, n \oplus 1, \ldots, n \oplus m\). Здесь \(\oplus\) обозначает операцию побитового исключающего ИЛИ.

\(\operatorname{MEX}\) последовательности неотрицательных целых чисел — это наименьшее неотрицательное целое число, которое не встречается в этой последовательности. Например, \(\operatorname{MEX}(0, 1, 2, 4) = 3\), а \(\operatorname{MEX}(1, 2021) = 0\).

Входные данные

Первая строка содержит одно целое число \(t\) (\(1 \le t \le 30\,000\))  — количество наборов входных данных.

Первая и единственная строка каждого набора входных данных содержит два целых числа \(n\) и \(m\) (\(0 \le n, m \le 10^9\)).

Выходные данные

Для каждого набора входных данных выведите одно целое число  — ответ на задачу.

Примечание

В первом наборе входных данных последовательность равна \(3 \oplus 0, 3 \oplus 1, 3 \oplus 2, 3 \oplus 3, 3 \oplus 4, 3 \oplus 5\), или \(3, 2, 1, 0, 7, 6\). Наименьшее неотрицательное целое число, которое не присутствует в последовательности, т. е. \(\operatorname{MEX}\) последовательности — \(4\).

Во втором наборе входных данных последовательность равна \(4 \oplus 0, 4 \oplus 1, 4 \oplus 2, 4 \oplus 3, 4 \oplus 4, 4 \oplus 5, 4 \oplus 6\), или \(4, 5, 6, 7, 0, 1, 2\). Наименьшее неотрицательное целое число, которое не присутствует в последовательности, т. е. \(\operatorname{MEX}\) последовательности — \(3\).

В третьем наборе входных данных последовательность равна \(3 \oplus 0, 3 \oplus 1, 3 \oplus 2\), или \(3, 2, 1\). Наименьшее неотрицательное целое число, которое не присутствует в последовательности, т. е. \(\operatorname{MEX}\) последовательности — \(0\).

E. Нижний уровень

Бинарный поиск поиск в глубину и подобное жадные алгоритмы графы кратчайшие пути meet-in-the-middle *3000

В некоторой компьютерной игре игрок управляет героем, который характеризуется одним целочисленным параметром — силой.

На текущем уровне герой попал в систему из \(n\) пещер, пронумерованных от \(1\) до \(n\), и \(m\) коридоров между ними. Каждый коридор соединяет две различные пещеры. Любые две пещеры соединены не более чем одним коридором. Из любой пещеры можно попасть в любую другую, двигаясь по коридорам.

Герой начинает уровень в пещере \(1\), а в каждой из оставшихся пещер находится монстр.

Герой может перемещаться между пещерами по коридорам. Если герой вышел из пещеры и начал движение по коридору, он обязан завершить его и дойти до противоположного конца коридора.

По любому коридору герой может перемещаться в обоих направлениях. Однако герой не может использовать один и тот же коридор два раза подряд. Формально, если герой перешёл по коридору из пещеры \(i\) в пещеру \(j\), он не может сразу же направиться обратно в пещеру \(i\), но может направиться в любую другую пещеру, соединённую коридором с пещерой \(j\).

Известно, что из любой пещеры выходит как минимум два коридора, поэтому герой никогда не попадёт в тупик даже с учётом предыдущего требования.

Чтобы пройти уровень, герою нужно победить монстров во всех пещерах. Когда герой впервые зайдёт в пещеру, ему придётся драться с монстром в ней. Герой может победить монстра в пещере \(i\) только в том случае, если сила героя строго больше \(a_i\). В случае победы над монстром сила героя увеличится на \(b_i\). Если герой не может победить монстра, с которым он дерётся, игра заканчивается и игрок проигрывает.

После того, как герой победит монстра в пещере \(i\), все последующие визиты в пещеру \(i\) не будут иметь последствий — монстра в этой пещере уже не будет, но и сила героя не будет изменяться.

Найдите минимальную необходимую силу, с которой герой должен начать уровень, чтобы иметь возможность победить всех монстров и пройти уровень.

Входные данные

Во входных данных находятся несколько наборов входных данных. В первой строке задано одно целое число \(t\) (\(1 \le t \le 100\)) — количество наборов входных данных.

Первая строка набора входных данных содержит два целых числа \(n\) и \(m\) (\(3 \le n \le 1000\); \(n \le m \le min(\frac{n(n-1)}{2}, 2000)\)) — число пещер и коридоров.

Вторая строка содержит \(n-1\) целых чисел \(a_2, a_3, \ldots, a_n\) (\(1 \le a_i \le 10^9\)) — значения, с которыми сравнивается сила героя при битве с монстрами в пещерах \(2, 3, \ldots, n\).

Третья строка содержит \(n-1\) целых чисел \(b_2, b_3, \ldots, b_n\) (\(1 \le b_i \le 10^9\)) — прибавки к силе героя за победу над монстрами в пещерах \(2, 3, \ldots, n\).

Каждая из следующих \(m\) строк содержит два целых числа \(u_i\) и \(v_i\) (\(1 \le u_i, v_i \le n\); \(u_i \ne v_i\)) — номера пещер, соединённых коридором.

Никакие две пещеры не соединены более чем одним коридором. Из любой пещеры можно попасть в любую другую, двигаясь по коридорам. Из любой пещеры выходит как минимум два коридора.

Гарантируется, что сумма значений \(n\) по всем наборам входных данных не превосходит \(1000\), а сумма значений \(m\) по всем наборам входных данных не превосходит \(2000\).

Выходные данные

Для каждого набора входных данных выведите одно целое число — минимальную силу героя, необходимую для того, чтобы иметь возможность победить всех монстров и пройти уровень.

Примечание

В первом наборе входных данных герой может пройти уровень, начав с силы \(15\), следующим образом:

  • перейти из пещеры \(1\) в пещеру \(2\): так как \(15 > 11\), герой побеждает монстра, сила героя увеличивается до \(15 + 8 = 23\);
  • перейти из пещеры \(2\) в пещеру \(3\): так как \(23 > 22\), герой побеждает монстра, сила героя увеличивается до \(23 + 7 = 30\);
  • перейти из пещеры \(3\) в пещеру \(4\): так как \(30 > 13\), герой побеждает монстра, сила героя увеличивается до \(30 + 5 = 35\).

Во втором наборе входных данных ситуация аналогична, но прибавки к силе героя в пещерах \(2\) и \(4\) поменялись местами. Герой может использовать другой маршрут, \(1 \rightarrow 4 \rightarrow 3 \rightarrow 2\), и пройти уровень с начальной силой \(15\).

В третьем наборе входных данных герой может пройти уровень, начав с силы \(19\), следующим образом:

  • перейти из пещеры \(1\) в пещеру \(2\): так как \(19 > 10\), герой побеждает монстра, сила героя увеличивается до \(19 + 7 = 26\);
  • перейти из пещеры \(2\) в пещеру \(4\): так как \(26 > 20\), герой побеждает монстра, сила героя увеличивается до \(26 + 10 = 36\);
  • перейти из пещеры \(4\) в пещеру \(5\): так как \(36 > 30\), герой побеждает монстра, сила героя увеличивается до \(36 + 5 = 41\);
  • перейти из пещеры \(5\) в пещеру \(2\): в этой пещере монстра уже нет, поэтому ничего не происходит;
  • перейти из пещеры \(2\) в пещеру \(3\): так как \(41 > 40\), герой побеждает монстра, сила героя увеличивается до \(41 + 2 = 43\).

E. Поликарп и преобразование строки

Строки Бинарный поиск реализация *1800 сортировки

У Поликарп есть строка \(s\). Поликарп делает следующие действия до тех пор, пока строка \(s\) не станет пустой (изначально \(t\) — пустая строка):

  • дописывает справа к \(t\) строку \(s\), то есть совершает присвоение \(t = t + s\), где \(t + s\) обозначает конкатенацию (соединение) строк \(t\) и \(s\);
  • выбирает произвольным образом какую-то одну букву из \(s\) и удаляет из \(s\) все её вхождения (выбранная буква обязательно должна встречаться в \(s\) на момент выполнения этого действия).

Поликарп выполняет данную последовательность действий строго в заданном порядке.

Отметим, что в конце концов строка \(s\) станет пустой, а строка \(t\) будет равна некоторому значению (и это значение определяется неоднозначно, оно зависит от порядка удаления).

Например, если изначально \(s\)abacaba», то события могли разворачиваться следующим образом:

  • \(t\)abacaba», выбрана буква 'b', теперь \(s\)aacaa»;
  • \(t\)abacabaaacaa», выбрана буква 'a', теперь \(s\)c»;
  • \(t\)abacabaaacaac», выбрана буква 'c', теперь \(s\)=«» (пустая строка).

Вам необходимо восстановить исходное значение строки \(s\) по итоговому значению \(t\) и найти порядок, в котором удалялись буквы из \(s\).

Входные данные

В первой строке записано одно целое число \(T\) (\(1 \le T \le 10^4\)) — количество наборов входных данных. Далее следуют \(T\) наборов входных данных.

Каждый набор входных данных состоит из одной строки \(t\), состоящей из строчных букв латинского алфавита. Длина \(t\) не превышает \(5 \cdot 10^5\). Сумма длин всех строк \(t\) во всех наборах входных данных теста не превышает \(5 \cdot 10^5\).

Выходные данные

Для каждого набора входных данных выведите в отдельной строке:

  • \(-1\), если ответа не существует;
  • две строки через пробел. Первая строка должна содержать начальное возможное значение \(s\). Вторая строка должна содержать последовательность букв — в каком порядке надо удалять буквы из \(s\), чтобы получилась строка \(t\). Например, если выведена строка «bac», то сначала удалялись все вхождения буквы 'b', потом — все вхождения буквы 'a', затем — все вхождения буквы 'c'. Если существует несколько решений, выведите любое из них.
Примечание

Первый набор входных данных разобран в условии.

F1. Ближайшее красивое число (упрощённая версия)

Бинарный поиск Перебор Конструктив поиск в глубину и подобное жадные алгоритмы *1900 битмаски

Это упрощённая версия задачи F2. Они отличаются только ограничениями (F1: \(k \le 2\), F2: \(k \le 10\)).

Дано число \(n\). Найдите минимальное целое число \(x\) такое, что \(x \ge n\) и \(x\) является \(k\)-красивым числом.

Число называется \(k\)-красивым, если в его десятичной записи, не содержащей лидирующих нулей, встречается не более \(k\) различных цифр. Например, если \(k = 2\), числа \(3434443\), \(55550\), \(777\) и \(21\) являются \(k\)-красивыми, а числа \(120\), \(445435\) и \(998244353\) — нет.

Входные данные

В первой строке записано одно целое число \(t\) (\(1 \le t \le 10^4\)) — количество наборов входных данных. Далее следуют \(t\) наборов входных данных.

Каждый набор входных данных состоит из одной строки, содержащей два целых числа \(n\) и \(k\) (\(1 \le n \le 10^9\), \(1 \le k \le 2\)).

Выходные данные

Для каждого набора входных данных в отдельной строке выведите \(x\) — минимальное целое \(k\)-красивое число, так чтобы \(x \ge n\).

C. Самый нижний уровень

Бинарный поиск жадные алгоритмы сортировки *1300

В некоторой компьютерной игре игрок управляет героем, который характеризуется одним целочисленным параметром — силой. Герою предстоит побеждать монстров, каждый из которых также характеризуется одним целочисленным параметром — бронёй.

На текущем уровне перед героем \(n\) пещер. Чтобы пройти уровень, герою нужно зайти во все пещеры в некотором порядке, в каждую ровно один раз, и выйти из каждой целым и невредимым. Когда герой зайдёт в пещеру \(i\), ему придётся подраться с \(k_i\) монстрами по очереди — сначала с монстром с бронёй \(a_{i, 1}\), потом с монстром с бронёй \(a_{i, 2}\) и так далее, в конце с монстром с бронёй \(a_{i, k_i}\).

Герой может победить монстра только в том случае, если сила героя строго больше брони монстра. Если герой не может победить монстра, с которым он дерётся, игра заканчивается и игрок проигрывает. Обратите внимание, что как только герой зашёл в пещеру, он не может из неё выйти, пока не подерётся со всеми монстрами в ней, причём именно в заданном порядке.

Каждый раз, когда герой побеждает монстра, сила героя увеличивается на \(1\).

Найдите минимальную необходимую силу, с которой герой должен начать уровень, чтобы иметь возможность зайти во все пещеры по одному разу в некотором порядке и победить всех монстров.

Входные данные

Во входных данных находятся несколько наборов входных данных. В первой строке задано одно целое число \(t\) (\(1 \le t \le 10^5\)) — количество наборов входных данных.

Первая строка набора входных данных содержит одно целое число \(n\) (\(1 \le n \le 10^5\)) — число пещер.

\(i\)-я из следующих \(n\) строк содержит целое число \(k_i\) (\(1 \le k_i \le 10^5\)) — число монстров в пещере \(i\), за которым следуют \(k_i\) целых чисел \(a_{i, 1}, a_{i, 2}, \ldots, a_{i, k_i}\) (\(1 \le a_{i, j} \le 10^9\)) — уровни брони монстров в том порядке, в котором герою предстоит с ними драться в пещере \(i\).

Гарантируется, что сумма значений \(k_i\) по всем наборам входных данных не превосходит \(10^5\).

Выходные данные

Для каждого набора входных данных выведите одно целое число — минимальный уровень силы героя, необходимый, чтобы иметь возможность зайти во все пещеры по одному разу в некотором порядке и победить всех монстров.

Примечание

В первом наборе входных данных нужно победить единственного монстра с бронёй \(42\), для этого достаточно иметь силу героя \(43\).

Во втором наборе входных данных герой с силой \(13\) может пройти уровень следующим образом:

  • зайти в пещеру \(2\):
    • победить монстра с бронёй \(12\), сила героя увеличится до \(14\);
    • победить монстра с бронёй \(11\), сила героя увеличится до \(15\);
  • зайти в пещеру \(1\):
    • победить монстра с бронёй \(10\), сила героя увеличится до \(16\);
    • победить монстра с бронёй \(15\), сила героя увеличится до \(17\);
    • победить монстра с бронёй \(8\), сила героя увеличится до \(18\).

A. Максимизация медианы

Бинарный поиск математика жадные алгоритмы *800

Вам даны два целых положительных числа \(n\) и \(s\). Найдите максимальное возможное значение медианы массива из \(n\) неотрицательных целых чисел (не обязательно различных) такого, что сумма его элементов равна \(s\).

Медиана массива целых чисел длины \(m\) — это число, стоящее на позиции \(\lceil {\frac{m}{2}} \rceil\) (округление вверх) среди его элементов, упорядоченных по неубыванию. Нумерация позиций начинается с \(1\). Например, медиана массива \([20,40,20,50,50,30]\) равна \(\lceil \frac{m}{2} \rceil\)-у элементу \([20,20,30,40,50,50]\), то есть \(30\). Существуют другие определения медианы, но в этой задаче мы будем использовать именно это определение.

Входные данные

Каждый тест состоит из нескольких наборов входных данных. В первой строке находится единственное целое число \(t\) (\(1 \le t \le 10^4\)) — количество наборов входных данных. Далее следует описание наборов входных данных.

Каждый набор входных данных содержит единственную строку с двумя целыми числами \(n\) и \(s\) (\(1 \le n, s \le 10^9\)) — длиной массива и необходимой суммой элементов.

Выходные данные

Для каждого набора входных данных выведите единственное целое число — максимальное возможное значение медианы.

Примечание

Возможные массивы для первых трех наборов входных данных (в каждом массиве медиана подчеркнута):

  • В первом наборе входных данных \([\underline{5}]\)
  • Во втором наборе входных данных \([\underline{2}, 3]\)
  • В третьем наборе входных данных \([1, \underline{2}, 2]\)

D. Неудачные пары

Бинарный поиск Структуры данных реализация сортировки *1900

Есть город, который можно представить как квадрат на плоскости с концами в координатах \((0, 0)\) и \((10^6, 10^6)\).

В городе есть \(n\) вертикальных и \(m\) горизонтальных улиц, которые пересекают весь город, т. е. \(i\)-я вертикальная улица проходит от \((x_i, 0)\) до \((x_i, 10^6)\), а \(j\)-я горизонтальная улица проходит от \((0, y_j)\) до \((10^6, y_j)\).

Все улицы двухсторонние. Границы города также являются улицами.

В городе на некоторых улицах стоят \(k\) человек: \(p\)-й человек стоит в точке \((x_p, y_p)\) (таким образом, либо \(x_p\) равняется некоторому \(x_i\), либо \(y_p\) равняется некоторому \(y_j\), либо и то и другое).

Назовем пару человек неудачной парой, если кратчайший путь от одного человека до другого, если двигаться только по улицам, строго больше чем Манхеттенское расстояние между ними.

Посчитайте общее количество неудачных пар (пары \((x, y)\) и \((y, x)\) — это одна и та же пара).

Напомним, что Манхеттенское расстояние между точками \((x_1, y_1)\) и \((x_2, y_2)\) равно \(|x_1 - x_2| + |y_1 - y_2|\).

Входные данные

В первой строке задано одно целое число \(t\) (\(1 \le t \le 1000\)) — количество наборов входных данных.

В первой строке каждого набора заданы три целых числа \(n\), \(m\) и \(k\) (\(2 \le n, m \le 2 \cdot 10^5\); \(2 \le k \le 3 \cdot 10^5\)) — количество вертикальных и горизонтальных улиц и количество человек.

Во второй строке каждого набора заданы \(n\) целых чисел \(x_1, x_2, \dots, x_n\) (\(0 = x_1 < x_2 < \dots < x_{n - 1} < x_n = 10^6\)) — \(x\)-координаты вертикальных улиц.

В третьей строке заданы \(m\) целых чисел \(y_1, y_2, \dots, y_m\) (\(0 = y_1 < y_2 < \dots < y_{m - 1} < y_m = 10^6\)) — \(y\)-координаты горизонтальных улиц.

В следующих \(k\) строках заданы описания людей. В \(p\)-й строке заданы два целых числа \(x_p\) и \(y_p\) (\(0 \le x_p, y_p \le 10^6\); \(x_p \in \{x_1, \dots, x_n\}\) или \(y_p \in \{y_1, \dots, y_m\}\)) — координаты \(p\)-го человека. Все координаты различны.

Гарантируется, что сумма \(n\) не превосходит \(2 \cdot 10^5\), сумма \(m\) не превосходит \(2 \cdot 10^5\) и сумма \(k\) не превосходит \(3 \cdot 10^5\).

Выходные данные

Для каждого набора входных данных, выведите общее количество неудачных пар людей.

Примечание

Изображение второго набора входных данных представлено ниже:

Для примера, точки \(3\) и \(4\) образуют неудачную пару, потому что кратчайший путь между ними (отмечен красным и равен \(7\)) больше, чем их Манхеттенское расстояние (равное \(5\)).

Точки \(3\) и \(5\) также образуют неудачную пару: кратчайший путь равен \(1000001\) (отмечен зеленым) больше, чем Манхеттенское расстояние равное \(999999\).

Однако, точки \(5\) и \(9\) не образуют неудачную пару, потому что кратчайший путь (отмечен фиолетовым) равен их Манхеттенскому расстоянию.

I. Медицинское обследование

Бинарный поиск Структуры данных *особая задача *3200

Поликарп планирует пройти полное медицинское обследование в местной поликлинике. В него входит прохождение \(n\) врачей. Врачи пронумерованы от \(1\) до \(n\). \(i\)-й врач принимает пациентов с минуты \(L_i\) по минуту \(R_i\), поэтому Поликарп может прийти к нему в любую минуту из этого интервала. Каждый врач тратит одну минуту, чтобы проверить здоровье Поликарпа.

Поликарп хочет прийти в поликлинику в некоторую минуту \(x\) и посетить всех \(n\) врачей в некотором порядке, не пропуская ни одной минуты и не проходя ни одного врача повторно.

Более формально, он выбирает некоторое целое число \(x\) и перестановку \(p_1, p_2, \dots, p_n\) (последовательность из \(n\) целых чисел от \(1\) до \(n\) такую, что каждое число встречается ровно один раз), затем посещает:

  • врача \(p_1\) в минуту \(x\);
  • врача \(p_2\) в минуту \(x+1\);
  • ...
  • врача \(p_n\) в минуту \(x+n-1\).

\(p_i\)-й врач должен принимать пациентов в минуту \(x+i-1\), то есть должно выполняться следующее: \(L[p_i] \le x + i - 1 \le R[p_i]\).

Определите, может ли Поликарп выбрать такую минуту \(x\) и перестановку \(p\), что он сможет посетить всех \(n\) врачей, не пропуская ни одной минуты и не проходя ни одного врача повторно. Если существует несколько ответов, то выведите любой из них.

Входные данные

Первая строка содержит одно целое число \(t\) (\(1 \le t \le 100\)) — количество наборов входных данных.

Затем следуют описания \(t\) наборов входных данных.

В первой строке каждого набора входных данных записано одно целое число \(n\) (\(1 \le n \le 10^5\)) — количество врачей.

Во второй строке каждого набора входных данных записаны \(n\) целых чисел \(L_1, L_2, \dots L_n\) (\(1 \le L_i \le 10^9\)).

В третьей строке каждого набора входных данных записаны \(n\) целых чисел \(R_1, R_2, \dots R_n\) (\(L_i \le R_i \le 10^9\)).

Сумма \(n\) по всем наборам входных данных не превосходит \(10^5\).

Выходные данные

На каждый набор входных данных выведите ответ.

Если существует такая минута \(x\) и перестановка \(p\), что Поликарп сможет посетить всех \(n\) врачей, не пропуская ни одной минуты и не проходя ни одного врача повторно, то в первой строке выведите \(x\), а во второй — перестановку \(p\). Если существует несколько ответов, то выведите любой из них.

В противном случае выведите \(-1\) в единственной строке.

Примечание

В третьем наборе входных данных невозможно посетить все врачей, потому что Поликарп должен посетить врача \(2\) в минуту \(2\) и врача \(1\) в минуту \(4\). Однако, для этого ему придется подождать минуту между посещениями, что запрещено.

В четвертом наборе входных данных все врачи принимают пациентов в течение одних и тех же \(2\) минут. Однако, так как их трое, Поликарп не сможет посетить их всех.

A. Книга

Бинарный поиск Перебор Структуры данных реализация дп *1800 сортировки графы

У вас есть книга, в которой \(n\) глав.

В начале каждой главы перечислен список других глав, которые нужно понимать для понимания написанного в этой главе. Чтобы понять главу, нужно прочитать эту главу после того, как вы поняли все главы из данного списка.

Сейчас ни одна глава книги не понятна вам. Вы планируете читать книгу с начала до конца по кругу до тех пор, пока не поймете все главы. Обратите внимание, что если вы читаете некоторую главу, но еще не понимаете какие-то из необходимых для ее понимания глав, то вы не можете понять эту главу.

Определите, сколько раз вам нужно будет прочитать всю книгу, чтобы понять все главы, или определите, что есть главы, которые вы никогда не поймете, сколько бы раз вы не прочитали книгу.

Входные данные

Во входных данных находятся несколько наборов входных данных. В первой строке находится одно целое число \(t\) (\(1 \le t \le 2\cdot10^4\)) — количество наборов входных данных. Далее следуют наборы входных данных.

Первая строка набора входных данных содержит \(n\) (\(1 \le n \le 2\cdot10^5\)) — количество глав.

Далее следуют \(n\) строк. \(i\)-я из этих строк начинается с целого числа \(k_i\) (\(0 \le k_i \le n-1\)) — количества глав, которые требуется понимать для понимания \(i\)-й главы. Далее следуют \(k_i\) целых чисел \(a_{i,1}, a_{i,2}, \dots, a_{i, k_i}\) (\(1 \le a_{i, j} \le n, a_{i, j} \ne i, a_{i, j} \ne a_{i, l}\) для \(j \ne l\)) — главы, которые нужно понимать для понимания \(i\)-й главы.

Гарантируется, что сумма значений \(n\) и сумма значений \(k_i\) по всем наборам входных данных не превосходят \(2\cdot10^5\).

Выходные данные

Для каждого набора входных данных, если вы можете понять все главы, выведите, сколько раз вам нужно прочитать книгу целиком, иначе выведите \(-1\).

Примечание

В первом примере с первого прочтения вы поймете главы \(\{2, 4\}\), а со второго — главы \(\{1, 3\}\).

Во втором примере для понимания любой главы нужно сначала понимать какую-то другую, поэтому невозможно понять всю книгу.

В третьем примере для понимания любой главы нужно понимать только более ранние, поэтому можно понять всю книгу за одно прочтение.

В четвертом примере вы поймете главы \(\{2, 3, 4\}\) с первого прочтения, и главу \(1\) со второго.

В пятом примере вы будем понимать главы по одной за прочтение, с \(5\)-й по \(1\)-ю.

E. Многоугольник

Бинарный поиск геометрия дп *3000

У вас есть строго выпуклый многоугольник с \(n\) вершинами.

Вы сделаете \(k\) разрезов, удовлетворяющих следующим условиям:

  • каждый разрез — отрезок, соединяющий две различные не соседние вершины;
  • два разреза могут пересекаться только в вершинах многоугольника.

Ваша задача — максимизировать площадь минимальной по площади области, образованной многоугольником и этими \(k\) разрезами.

Входные данные

Первая строка содержит два целых числа \(n\), \(k\) (\(3 \le n \le 200\), \(0 \le k \le n-3\)).

Следующие \(n\) строк описывают вершины многоугольника в порядке против часовой стрелки. \(i\)-из этих строк содержит два целых числа \(x_i\), \(y_i\) (\(|x_i|, |y_i| \le 10^8\)) — координаты \(i\)-й вершины.

Гарантируется, что многоугольник выпуклый и никакие две смежные стороны не параллельны.

Выходные данные

Выведите одно целое число: максимально возможную площадь самой маленькой области после \(k\) разрезов, умноженную на \(2\).

Примечание

В примере оптимально провести разрезы между следующими парами вершин:

  • \((-2, -4)\) и \((4, 2)\),
  • \((-2, -4)\) и \((1, 5)\),
  • \((-5, -1)\) и \((1, 5)\),
  • \((-5, 0)\) и \((0, 5)\).
Область с наименьшей площадью — четырехугольник с вершинами в \((-5, -1)\), \((1, 5)\), \((0, 5)\), \((-5, 0)\), удвоенная площадь которого равна \(11\).

Во втором примере оптимально провести разрезы между следующими парами вершин:

  • \((2, -1)\) и \((0, 2)\),
  • \((2, -1)\) и \((1, 0)\),
  • \((-1, 0)\) и \((0, 2)\).
Область с наименьшей площадью — треугольник с вершинами в \((2, -2)\), \((2, -1)\), \((-1, 0)\), удвоенная площадь которого равна \(3\).

C. Slay the Dragon

Бинарный поиск Тернарный поиск жадные алгоритмы сортировки *1300

Недавно Петя узнал о новой игре «Slay the Dragon». Как видно из названия, игроку предстоит сражаться с драконами, чтобы победить дракона, необходимо его убить и защитить свой замок. Для этого в распоряжении игрока есть отряд из \(n\) героев, сила \(i\)-го героя равна \(a_i\).

По правилам игры убивать дракона должен отправиться ровно один герой, все остальные будут защищать замок. Если защита дракона равна \(x\), то на его убийство можно отправлять героя с силой не менее \(x\). Если сила атаки дракона равна \(y\), то суммарная сила героев, защищающих замок, должна быть хотя бы \(y\).

За одну золотую монету игрок может увеличить силу любого из героев на \(1\). Эту операцию можно выполнять любое количество раз.

Всего в игре существует \(m\) драконов, у \(i\)-го из них защита \(x_i\), а сила атаки \(y_i\). Пете стало интересно, какое минимальное количество монет ему необходимо потратить, чтобы победить \(i\)-го дракона.

Обратите внимание, что задача решается независимо для каждого дракона (улучшения не сохраняются).

Входные данные

Первая строка содержит одно целое число \(n\) (\(2 \le n \le 2 \cdot 10^5\)) — количество героев.

Вторая строка содержит \(n\) целых чисел \(a_1, a_2, \dots, a_n\) (\(1 \le a_i \le 10^{12}\)), где \(a_i\) — сила \(i\)-го героя.

Третья строка содержит одно целое число \(m\) (\(1 \le m \le 2 \cdot 10^5\)) — количество драконов.

Последующие \(m\) строк содержат по два целых числа \(x_i\) и \(y_i\) (\(1 \le x_i \le 10^{12}; 1 \le y_i \le 10^{18}\)) — защита и сила атаки \(i\)-го дракона.

Выходные данные

Выведите \(m\) строк, \(i\)-я из которых содержит одно целое число — минимальное количество монет, которое необходимо потратить, чтобы победить \(i\)-го дракона.

Примечание

Для победы над первым драконом можно увеличить силу третьего героя на \(1\), тогда силы героев будут равны \([3, 6, 3, 3]\). Для убийства дракона можно выбрать первого героя.

Для победы над вторым драконом можно увеличить силы второго и третьего героев на \(1\), тогда силы героев будут равны \([3, 7, 3, 3]\). Для убийства дракона можно выбрать второго героя.

Для победы над третьим драконом можно увеличить силы всех героев на \(1\), тогда силы героев будут равны \([4, 7, 3, 4]\). Для убийства дракона можно выбрать четвертого героя.

Для победы над четверым драконом можно не улучшать героев и выбрать третьего героя для убийства дракона.

Для победы над пятым драконом можно увеличить силу второго героя на \(2\), тогда силы героев будут равны \([3, 8, 2, 3]\). Для убийства дракона можно выбрать второго героя.

D. Самый сильный билд

Бинарный поиск Перебор Структуры данных реализация *2000 поиск в глубину и подобное жадные алгоритмы графы хэши

Иван играет в очередную roguelike компьютерную игру. В игре он управляет одним героем. У героя есть \(n\) слотов для экипировки предметов. Для \(i\)-го слота есть список из \(c_i\) предметов, \(j\)-й из них увеличивает силу героя на \(a_{i,j}\). Предметы для каждого из слотов попарно различные и упорядочены по возрастанию увеличения силы. То есть, \(a_{i,1} < a_{i,2} < \dots < a_{i,c_i}\).

В каждый слот Иван выбирает ровно один предмет. Пусть в \(i\)-й слот он выбрал \(b_i\)-й предмет из соответствующего списка. Последовательность выборов \([b_1, b_2, \dots, b_n]\) называется билдом.

Сила билда — это сумма увеличений силы предметов в нем. Некоторые билды в игре запрещены. Задан список из \(m\) попарно различных запрещенных билдов. Гарантируется, что хотя бы один билд не запрещен.

Какой билд среди не запрещенных в игре имеет максимальную силу? Если есть несколько билдов с максимальной силой, выведите любой из них.

Входные данные

В первой строке записано одно целое число \(n\) (\(1 \le n \le 10\)) — количество слотов экипировки.

В \(i\)-й из следующих \(n\) строк содержится описание предметов для \(i\)-го слота. Сначала одно целое число \(c_i\) (\(1 \le c_i \le 2 \cdot 10^5\)) — количество предметов для \(i\)-го слота. Затем \(c_i\) целых чисел \(a_{i,1}, a_{i,2}, \dots, a_{i,c_i}\) (\(1 \le a_{i,1} < a_{i,2} < \dots < a_{i,c_i} \le 10^8\)).

Сумма \(c_i\) не превосходит \(2 \cdot 10^5\).

В следующей строке записано одно целое число \(m\) (\(0 \le m \le 10^5\)) — количество запрещенных билдов.

В каждой из следующих \(m\) строк содержится описание запрещенного билда — последовательность из \(n\) целых чисел \(b_1, b_2, \dots, b_n\) (\(1 \le b_i \le c_i\)).

Билды попарно различные, и существует хотя бы один не запрещенный билд.

Выходные данные

Выведите билд с максимальной силой среди не запрещенных в игре. Если есть несколько билдов с максимальной силой, выведите любой из них.

B. Building an Amusement Park

Бинарный поиск геометрия *2300

Mr. Chanek lives in a city represented as a plane. He wants to build an amusement park in the shape of a circle of radius \(r\). The circle must touch the origin (point \((0, 0)\)).

There are \(n\) bird habitats that can be a photo spot for the tourists in the park. The \(i\)-th bird habitat is at point \(p_i = (x_i, y_i)\).

Find the minimum radius \(r\) of a park with at least \(k\) bird habitats inside.

A point is considered to be inside the park if and only if the distance between \(p_i\) and the center of the park is less than or equal to the radius of the park. Note that the center and the radius of the park do not need to be integers.

In this problem, it is guaranteed that the given input always has a solution with \(r \leq 2 \cdot 10^5\).

Input

The first line contains two integers \(n\) and \(k\) (\(1 \leq n \leq 10^5\), \(1 \leq k \leq n\)) — the number of bird habitats in the city and the number of bird habitats required to be inside the park.

The \(i\)-th of the next \(n\) lines contains two integers \(x_i\) and \(y_i\) (\(0 \leq |x_i|, |y_i| \leq 10^5\)) — the position of the \(i\)-th bird habitat.

Output

Output a single real number \(r\) denoting the minimum radius of a park with at least \(k\) bird habitats inside. It is guaranteed that the given input always has a solution with \(r \leq 2 \cdot 10^5\).

Your answer is considered correct if its absolute or relative error does not exceed \(10^{-4}\).

Formally, let your answer be \(a\), and the jury's answer be \(b\). Your answer is accepted if and only if \(\frac{|a - b|}{\max{(1, |b|)}} \le 10^{-4}\).

Note

In the first example, Mr. Chanek can put the center of the park at \((-3, -1)\) with radius \(\sqrt{10} \approx 3.162\). It can be proven this is the minimum \(r\).

The following illustrates the first example. The blue points represent bird habitats and the red circle represents the amusement park.

J. Jeopardy of Dropped Balls

Бинарный поиск Перебор реализация *1500 снм

Mr. Chanek has a new game called Dropping Balls. Initially, Mr. Chanek has a grid \(a\) of size \(n \times m\)

Each cell \((x,y)\) contains an integer \(a_{x,y}\) denoting the direction of how the ball will move.

  • \(a_{x,y}=1\) — the ball will move to the right (the next cell is \((x, y + 1)\));
  • \(a_{x,y}=2\) — the ball will move to the bottom (the next cell is \((x + 1, y)\));
  • \(a_{x,y}=3\) — the ball will move to the left (the next cell is \((x, y - 1)\)).

Every time a ball leaves a cell \((x,y)\), the integer \(a_{x,y}\) will change to \(2\). Mr. Chanek will drop \(k\) balls sequentially, each starting from the first row, and on the \(c_1, c_2, \dots, c_k\)-th (\(1 \leq c_i \leq m\)) columns.

Determine in which column each ball will end up in (position of the ball after leaving the grid).

Input

The first line contains three integers \(n\), \(m\), and \(k\) (\(1 \leq n, m \leq 1000\), \(1 \leq k \leq 10^5\)) — the size of the grid and the number of balls dropped by Mr. Chanek.

The \(i\)-th of the next \(n\) lines contains \(m\) integers \(a_{i,1},a_{i,2},\ldots,a_{i,m}\) (\(1 \leq a_{i,j} \leq 3\)). It will satisfy \(a_{i, 1} \ne 3\) and \(a_{i, m} \ne 1\).

The next line contains \(k\) integers \(c_1, c_2, \ldots, c_k\) (\(1 \leq c_i \leq m\)) — the balls' column positions dropped by Mr. Chanek sequentially.

Output

Output \(k\) integers — the \(i\)-th integer denoting the column where the \(i\)-th ball will end.

Note

In the first example, the first ball will drop as follows. Note that the cell \((1, 1)\) will change direction to the bottom direction.

The second and third balls will drop as follows.

All balls will be dropped from the first row and on the \(c_1, c_2, \dots, c_k\)-th columns respectively. A ball will stop dropping once it leaves the grid.

L. Labyrinth

Бинарный поиск жадные алгоритмы *2400 снм

In a dream, Lucy found herself in a labyrinth. This labyrinth consists of \(n\) rooms, connected by \(m\) passages (\(i\)-th passage is \(w_i\) cm wide). Each passage can be traversed in both directions. It is guaranteed that it is possible to get from any room to any other room. But this is not an ordinary labyrinth — each room in this labyrinth contains a magic candy. When Lucy eats this magic candy, she is getting wider. Specifically, if she eats candy from room \(i\) she becomes wider by \(c_i\) cm. Note that she is not obliged to eat candy the first time she visits a particular room, but she can eat each candy only once.

Unfortunately, passages in this labyrinth are pretty narrow, so after eating some candy, Lucy can get too wide and will not be able to traverse them — her width should not be greater than the width of the corresponding passage.

Lucy starts her journey in a room number \(1\). She wants to eat all the candies. After that, she will just wake up, so she does not have to be able to return to the room \(1\). She realizes that with her current width, she may not be able to do so, so she plans a workout before embarking on her journey. Lucy wants to know if it is possible to start with some positive width and still eat all the candies. If yes, then what is the maximal starting width with which it is possible.

Input

The first line contains two integers, \(n\) and \(m\) (\(2 \le n \le 10^5; n - 1 \le m \le 10^5\)) — the number of rooms and the number of passages.

The second line contains \(n\) integers — \(c_i\) (\(1 \le c_i \le 10^9\)).

Next \(m\) lines contain three integers each — \(a_i\), \(b_i\) and \(w_i\) (\(1 \le a_i, b_i \le n; a_i \ne b_i; 1 \le w_i \le 10^9\)) describing passage that connects rooms \(a_i\) and \(b_i\) and is \(w_i\) cm wide. It is guaranteed that the resulting labyrinth is connected and there is at most one passage between any pair of rooms.

Output

If it is possible to eat all the candies, output the maximal possible starting width, otherwise output \(-1\).

E. Пчеленок и подотрезки

Бинарный поиск Структуры данных математика дп *2000 жадные алгоритмы

Пчеленок решил сделать Миле подарок. Пчеленок уже купил массив \(a\) длины \(n\), но дарить просто массив слишком банально. Вместо этого он решил подарить Миле подотрезки этого массива!

Пчеленок хочет, чтобы его подарок был красивым, поэтому он решил выбрать \(k\) непересекающихся подотрезков массива \([l_1,r_1]\), \([l_2,r_2]\), \(\ldots\) \([l_k,r_k]\) так, что:

  • длина первого отрезка \([l_1,r_1]\) равна \(k\), длина второго отрезка \([l_2,r_2]\) равна \(k-1\), \(\ldots\), длина \(k\)-го отрезка \([l_k,r_k]\) равна \(1\)
  • для любых \(i<j\) \(i\)-й подотрезок встречается в массиве раньше \(j\)-го (т.е. \(r_i<l_j\))
  • суммы в этих подотрезках строго возрастают (т.е. пусть \(sum(l \ldots r) = \sum\limits_{i=l}^{r} a_i\) — сумма чисел на подотрезке массива \([l,r]\), тогда \(sum(l_1 \ldots r_1) < sum(l_2 \ldots r_2) < \ldots < sum(l_k \ldots r_k)\)).

Пчеленок также хочет, чтобы его подарок был как можно больше, поэтому он просит вас узнать, при каком максимальном \(k\) он сможет сделать подарок Миле!

Входные данные

Первая строка содержит одно целое число \(t\) (\(1 \le t \le 100\)) — количество наборов входных данных. Следующие \(2 \cdot t\) строк содержат описания наборов входных данных. Описание каждого набора состоит из двух строк.

Первая строка описания каждого набора входных данных содержит единственное целое число \(n\) (\(1 \le n \le 10^5\)) — длину массива.

Вторая строка содержит \(n\) целых чисел \(a_1, a_2, \ldots, a_n\) (\(1 \le a_i \le 10^9\)) — элементы массива \(a\).

Гарантируется, что сумма значений \(n\) по всем наборам входных данных не превосходит \(10^5\).

Выходные данные

Для каждого набора входных данных выведите максимальное возможное значение \(k\).

F2. Корней Корнеевич и XOR (сложная версия)

Бинарный поиск Перебор дп жадные алгоритмы *2400

Это более сложная версия задачи с большими ограничениями.

Корней Корнеевич откопал массив \(a\) длины \(n\). Корней Корнеевич недавно прочитал в книге про операцию побитового исключающего «ИЛИ» (XOR), поэтому он захотел поэкспериментировать с ней. Для этого он решил найти все целые \(x \ge 0\) такие, что существует возрастающая подпоследовательность массива \(a\), в которой побитовое исключающее «ИЛИ» ее чисел равно \(x\).

Корней Корнеевич довольно быстро нашел все такие \(x\), и хочет проверить свой результат. Для этого он попросил вас решить эту задачу!

Последовательность \(s\) является подпоследовательностью \(b\), если \(s\) может быть получена из \(b\) удалением нескольких (возможно, ни одного или всех) элементов.

Последовательность \(s_1, s_2, \ldots , s_m\) называется возрастающей, если выполняется неравенство: \(s_1 < s_2 < \ldots < s_m\).

Входные данные

Первая строка содержит единственное целое число \(n\) (\(1 \le n \le 10^6\)).

Вторая строка содержит \(n\) целых чисел \(a_1, a_2, \ldots, a_n\) (\(0 \le a_i \le 5000\)) — элементы массива \(a\).

Выходные данные

В первой строке выведите единственное число \(k\) — количество найденных вами \(x\).

Во второй строке выходных данных выведите \(k\) целых неотрицательных целых чисел в возрастающем порядке \(x_1, x_2, \ldots x_k\) (\(0 \le x_1 < \ldots < x_k\)) — найденные вами \(x\).

Примечание

В первом наборе входных данных:

  • Чтобы получить значение \(x = 0\) можно выбрать пустую подпоследовательность
  • Чтобы получить значение \(x = 2\) можно выбрать подпоследовательность \([2]\)
  • Чтобы получить значение \(x = 4\) можно выбрать подпоследовательность \([4]\)
  • Чтобы получить значение \(x = 6\) можно выбрать подпоследовательность \([2, 4]\)

D. Угадай перестановку

Бинарный поиск Комбинаторика математика *2000 интерактив

Это интерактивная задача.

У жюри была тождественная перестановка \(a\) длины \(n\) (\(a_i = i\)).

Жюри выбрало три целых числа \(i\), \(j\), \(k\) такие, что \(1 \leq i < j < k \leq n\), \(j - i > 1\). После этого жюри развернуло отрезки \([i, j - 1]\) и \([j, k]\) в последовательности \(a\).

Разворачивание подотрезка \([l, r]\) последовательности \(a\) означает переворот подотрезка элементов \(a_l, a_{l+1}, \ldots, a_r\) в последовательности, то есть \(a_l\) меняется местами с \(a_r\), \(a_{l+1}\) с \(a_{r-1}\), и т. д..

Вам дано число \(n\). Вы должны найти \(i\), \(j\), \(k\) с помощью некоторых запросов.

За один запрос вы можете выбрать два целых числа \(l\) и \(r\) (\(1 \leq l \leq r \leq n\)) и узнать количество инверсий на подотрезке \([l, r]\) последовательности \(a\). Жюри скажет вам количество пар \((i, j)\) таких, что \(l \leq i < j \leq r\) и \(a_i > a_j\).

Найдите числа \(i\), \(j\), \(k\), выбранные жюри, сделав не более \(40\) запросов.

Жюри фиксирует числа \(i\), \(j\) и \(k\) до запуска вашей программы и не меняет их в зависимости от ваших запросов.

Входные данные

Каждый тест состоит из нескольких наборов входных данных. В первой строке находится единственное целое число \(t\) (\(1 \leq t \leq 100\)) — количество наборов входных данных. Далее следуют наборы входных данных.

В единственной строке для каждого набора входных данных дано целое число \(n\) (\(4 \leq n \leq 10^9\)). После его считывания, вы должны перейти к процессу взаимодействия с программой жюри и делать запросы. После того, как вы дали ответ, вы должны:

  • Закончить работу программы, если это был последний набор входных данных.
  • Иначе начать работу со следующим набором.
Протокол взаимодействия

Чтобы спросить количество инверсий на отрезке \([l, r]\), выведите «? l r», где (\(1 \leq l \leq r \leq n\)). Вы можете сделать не более \(40\) таких запросов в каждом тестовом случае. В ответ вы получите целое число \(x\).

  • Если \(x = -1\), ваша программа сделала некорректный запрос или превысила допустимое количество запросов для данного набора. В таком случае ваша программа должна немедленно завершиться (иначе решение может получить произвольный вердикт вместо Неправильный ответ).
  • Иначе \(x\) равен количеству инверсий на подотрезке \([l, r]\) последовательности \(a\).

Чтобы дать ответ, выведите «! i j k», где \(i\), \(j\), \(k\) — числа, которые, как вы считаете, загадало жюри. После этого вы должны перейти к следующему набору или завершить программу.

После вывода запроса или ответа не забудьте вывести перевод строки и сбросить буфер выходного потока. В противном случае вы получите вердикт Решение «зависло». Для сброса буфера используйте:

  • fflush(stdout) или cout.flush() в C++;
  • System.out.flush() в Java;
  • flush(output) в Pascal;
  • stdout.flush() в Python;
  • смотрите документацию для других языков.

Взломы

Чтобы сделать взлом, используйте следующий формат:

Первая строка содержит единственное целое число \(t\) (\(1 \leq t \leq 100\)) — количество наборов входных данных.

Каждая из следующих \(t\) строк содержит четыре целых числа \(n\), \(i\), \(j\), \(k\) (\(4 \leq n \leq 10^9\), \(1 \leq i < j < k \leq n\), \(j - i > 1\)).

Примечание

В первом наборе входных данных \(i = 1\), \(j = 3\), \(k = 5\), поэтому последовательность \(a\) равна \([2, 1, 5, 4, 3]\).

Во втором наборе входных данных \(i = 2\), \(j = 4\), \(k = 5\), поэтому последовательность \(a\) равна \([1, 3, 2, 5, 4]\).

E. Игра с камнями

Бинарный поиск Структуры данных жадные алгоритмы *2300 игры

Боб решил отдохнуть от домашних заданий по матанализу и придумал для себя игру.

Игра происходит на последовательности куч камней, которая может быть представлена как массив \(s_1, \ldots, s_k\), где \(s_i\) — количество камней в \(i\)-й куче. За один ход Боб выбирает две соседние непустые кучи \(i\) и \(i+1\) и убирает по одному камню из каждой. Если куча стала пустой, то её соседи не становятся соседними. Игра заканчивается, когда у Боба нет доступных ходов. Боб считает, что он выиграл, если в конце игры все кучи стали пустыми.

Мы считаем последовательность куч выигрышной, если Боб может начать с неё и выиграть после некоторой последовательности ходов.

Вам дана последовательность \(a_1, \ldots, a_n\), посчитайте количество выигрышных подотрезков \(a\). Другими словами, найдите количество отрезков \([l, r]\) (\(1 \leq l \leq r \leq n\)) таких, что \(a_l, a_{l+1}, \ldots, a_r\) является выигрышной последовательностью куч.

Входные данные

Каждый тест состоит из нескольких наборов входных данных. В первой строке находится единственное целое число \(t\) (\(1 \leq t \leq 3 \cdot 10^5\)) — количество наборов входных данных. Далее следуют описания наборов входных данных.

Первая строка описания каждого набора входных данных содержит единственное целое число \(n\) (\(1 \leq n \leq 3 \cdot 10^5\)).

Вторая строка описания каждого набора входных данных содержит \(n\) целых чисел \(a_1, a_2, \ldots, a_n\) (\(0 \leq a_i \leq 10^9\)).

Гарантируется, что сумма \(n\) по всем наборам входных данных не превосходит \(3 \cdot 10^5\).

Выходные данные

Для каждого набора входных данных выведите единственное целое число — ответ на задачу.

Примечание

В первом наборе входных данных Боб не может выиграть с подотрезками длины \(1\), так как нет ни одной пары соседних куч для массива длины \(1\).

Во втором наборе входных данных каждый подотрезок не является выигрышным.

В четвертом наборе входных данных подотрезок \([1, 4]\) выигрышный, потому что Боб может сделать ходы со следующими парами соседних кучек: \((2, 3)\), \((1, 2)\), \((3, 4)\). Другой выигрышный подотрезок это \([2, 3]\).

F. Прыжки по массиву

Бинарный поиск Структуры данных графы *3500

Вам задан массив целых чисел \(a\) размера \(n\) и перестановка \(p\) размера \(n\). К вам приходят \(q\) запросов трех типов:

  1. Даны числа \(l\) и \(r\). Требуется посчитать сумму чисел массива \(a\) на отрезке c \(l\) по \(r\): \(\sum\limits_{i=l}^{r} a_i\).
  2. Даны числа \(v\) и \(x\). Давайте представим \(p\) в виде ориентированного графа, у которого \(n\) вершин и \(n\) рёбер \(i \to p_i\). Пусть \(C\) — это множество вершин, которые достижимы из \(v\) в графе. Требуется прибавить число \(x\) ко всем \(a_u\) таким, что \(u\) лежит в \(C\).
  3. Даны индексы \(i\) и \(j\). Вам нужно поменять местами значения \(p_i\) и \(p_j\).
Граф, получаемый из перестановки \([2, 3, 1, 5, 4]\).

От вас требуется вывести ответы на все запросы \(1\) вида.

Входные данные

В первой строке находится единственное целое число \(n\) (\(1 \le n \le 2 \cdot 10^5\)) — размер массива и перестановки.

Во второй строке входных данных находится \(n\) целых чисел \(a_1, a_2, \ldots, a_n\) (\(-10^8 \le a_i \le 10^8\)).

В третьей строке входных данных находится \(n\) различных целых чисел \(p_1, p_2, \ldots, p_n\) (\(1 \le p_i \le n\)).

В четвертой строке находится единственное целое число \(q\) — количество запросов (\(1 \le q \le 2 \cdot 10^5\)).

В следующих \(q\) строках заданы запросы. В \(i\)-й строке находится целое число \(t_i\) (\(1 \le t_i \le 3\)) — тип запроса.

  • Если \(t_i = 1\), то в \(i\)-й строке заданы еще два целых числа: \(l\), \(r\) (\(1 \le l \le r \le n\)).
  • Если \(t_i = 2\), то в \(i\)-й строке заданы еще два целых числа: \(v\), \(x\) (\(1 \le v \le n\), \(-10^8 \le x \le 10^8\)).
  • Если \(t_i = 3\), то в \(i\)-й строке заданы еще два целых числа: \(i\), \(j\) (\(1 \le i, j \le n\)).
Выходные данные

Для каждого запроса первого типа выведите единственное целое число — ответ на запрос.

Примечание

Рассмотрим первый тест.

Граф, получаемый из изначальной перестановки.

В первом тесте \(6\) запросов.

  1. Сумма на отрезке с \(1\) по \(5\) это \(a_1 + a_2 + a_3 + a_4 + a_5 = 6 + 9 + (-5) + 3 + 0 = 13\).
  2. Из вершины \(1\) достижимы вершины \(\{1, 2, 3\}\). Получается, что после этого запроса массив \(a\) будет выглядеть так: \([7, 10, -4, 3, 0]\).
  3. Сумма на отрезке с \(1\) по \(5\) это \(a_1 + a_2 + a_3 + a_4 + a_5 = 6 + 9 + (-5) + 3 + 0 = 16\).
  4. После запроса \(p = [4, 3, 1, 5, 2]\).
    Граф, получаемый из перестановки после четвёртого запроса.
  5. Из вершины \(2\) достижимы вершины \(\{1, 2, 3, 4, 5\}\). Получается, что после этого запроса массив \(a\) будет выглядеть так: \([6, 9, -5, 2, -1]\).
  6. Сумма на отрезке с \(1\) по \(5\) это \(a_1 + a_2 + a_3 + a_4 + a_5 = 6 + 9 + (-5) + 2 + (-1) = 11\).

C. String Manipulation 1.0

Строки Бинарный поиск Перебор Структуры данных *особая задача *1400

На одном популярном интернет-ресурсе разработали необычный механизм редактирования имени пользователя. Менять имя пользователя можно только удалением из него некоторых символов: чтобы изменить текущее имя s, пользователь может выбрать число p и символ c и удалить p-е вхождение символа c из имени. После того как пользователь изменил своё имя, отменить это изменение он не может.

Например, имя «arca» можно изменить, удалив второе вхождение символа «a», и получится «arc».

Поликарп узнал, что изначально некий пользователь зарегистрировался под именем t, где t представляет собой строку s, записанную k раз подряд. Также Поликарпу известна последовательность изменений имени этого пользователя. Помогите Поликарпу выяснить итоговое имя пользователя.

Входные данные

В первой строке содержится целое число k (1 ≤ k ≤ 2000). Во второй строке записана непустая строка s, состоящая из строчных букв латинского алфавита, длиной не более 100 символов. В третьей строке записано целое число n (0 ≤ n ≤ 20000) — количество изменений имени. В следующих n строках записаны сами изменения, по одному изменению в строке. Изменения записаны в виде «pi ci» (без кавычек), где pi (1 ≤ pi ≤ 200000) — номер вхождения буквы ci, ci — строчная буква латинского алфавита. Гарантируется, что операции корректные, то есть удаляемая буква всегда существует, и в результате операций из имени удалятся не все буквы. Вхождения букв нумеруются начиная с 1.

Выходные данные

Выведите единственную строку — итоговое имя пользователя после применения всех операций изменения.

Примечание

Рассмотрим первый пример. Изначально у нас будет имя «bacbac»; после первой операции оно превратится в «bacbc», после второй — в «acbc», и, наконец, после третьей — в «acb».

A. Геймер Хемосе

Бинарный поиск математика жадные алгоритмы сортировки *800

Однажды Ахмед Хоссам пришел к Хемосе и сказал: «Давай порешаем контест с тренировок!». Хемосе не хотел этого делать, так как он играл в Valorant, поэтому он придумал задачу и рассказал ее Ахмеду, чтобы отвлечь его. К сожалению, Ахмед не может ее решить... Не могли бы вы ему помочь?

В игре Valorant есть Агент, и у него есть \(n\) оружий. \(i\)-е оружие имеет значение урона \(a_i\), и Агент столкнется с врагом, чье здоровье равно \(H\).

Агент будет делать один или больше ходов, пока враг не умрет.

За один ход Агент выбирает оружие и уменьшает здоровье врага на величину урона этого оружия. Враг умрет, когда его здоровье станет меньше или равно \(0\). Однако не все так просто: Агент не может использовать одно и то же оружие \(2\) раза подряд.

Какое минимальное количество раз Агенту нужно использовать оружие, чтобы убить врага?

Входные данные

Каждый тест содержит несколько наборов входных данных. Первая строка содержит количество наборов входных данных \(t\) \((1 \leq t \leq 10^5)\). Далее следует описание наборов входных данных.

Первая строка каждого набора входных данных содержит два целых числа \(n\) и \(H\) \((2 \leq n \leq 10^3, 1 \leq H \leq 10^9)\) — количество доступного оружия и начальное значение здоровья врага.

Вторая строка каждого набора входных данных содержит \(n\) целых чисел \(a_1, a_2, \ldots, a_n\) \((1 \leq a_i \leq 10^9)\) — значения урона оружий.

Гарантируется, что сумма \(n\) по всем наборам входных данных не превышает \(2 \cdot 10^5\).

Выходные данные

Для каждого набора входных данных выведите одно целое число — минимальное количество раз, которое Агент должен будет использовать оружие, чтобы убить врага.

Примечание

В первом наборе входных данных Агент может использовать второе оружие, в результате чего здоровье врага становится равным \(4-7=-3\). \(-3 \le 0\), поэтому враг мертв, и использования оружия \(1\) раз было достаточно.

Во втором наборе входных данных Агент может использовать сначала первое оружие, а затем второе. После этого здоровье врага упадет до \(6-4-2 = 0\), то есть он будет убит после использования оружия \(2\) раза.

В третьем наборе входных данных Агент может использовать оружия в порядке (третье, первое, третье), уменьшая значение здоровья врага до \(11 - 7 - 2 - 7 = -5\) после использования оружия \(3\) раза. Обратите внимание, что мы не можем убить врага, используя третье оружие дважды, поскольку даже хотя \(11-7-7<0\), одно и то же оружие не разрешается использовать дважды подряд.

D. Хемосе на ICPC?

Бинарный поиск Деревья математика реализация теория чисел поиск в глубину и подобное *2300 интерактив

Это интерактивная задача!

На последнем региональном этапе Хемосе, ЗейадХаттаб и ЯхиаШериф — члены команды Carpe Diem — не прошли отбор на ICPC по каким-то неизвестным причинам. Хемосе был очень расстроен и у него был плохой день после соревнований, но ЗейадХаттаб очень мудрый и хорошо знает Хемосе, и не хочет видеть его грустным.

Зейад знает, что Хемосе любит задачи с деревьями, поэтому он дал ему задачу с деревом с очень особенным устройством.

У Хемоса есть взвешенное дерево на \(n\) вершинах и \(n-1\) ребрах. К сожалению, Хемосе не помнит веса ребер.

Определим \(Dist(u, v)\) для \(u\neq v\) как наибольший общий делитель весов всех ребер на пути от вершины \(u\) к вершине \(v\).

У Хемосе есть специальное устройство. Хемосе может дать устройству набор вершин, и устройство вернет наибольший \(Dist\) между любыми двумя вершинами из этого набора. Более формально, если Хемосе даст устройству набор из \(S\) узлов, устройство вернет наибольшее значение \(Dist(u, v)\) по всем парам \((u, v)\), для которых \(u\), \(v\) \(\in\) \(S\) и \(u \neq v\).

Хемосе может использовать это устройство не более \(12\) раз, и хочет найти любые две различные вершины \(a\), \(b\) такие, что \(Dist(a, b)\) является максимально возможным. Можете ли вы ему помочь?

Протокол взаимодействия

Начните взаимодействие с чтения одного целого числа \(n\) (\(2 \le n \le 10^3\)) — количества вершин в дереве.

Затем прочитайте \(n-1\) строк.

\(i\)-я из следующих \(n-1\) строк содержит два целых числа \(u_i\) и \(v_i\) (\(1 \leq u_i, v_i \leq n\), \(u_i\neq v_i\)), что означает наличие ребра между вершинами \(u_i\) и \(v_i\).

Гарантируется, что веса ребер были \(\leq 10^9\).

Гарантируется, что данный граф является деревом.

Теперь вы можете начать задавать запросы. Чтобы задать запрос о множестве из \(k\) вершин \(v_1, v_2, \ldots, v_k\) (\(2 \le k \le n\), \(1 \le v_i \le n\), все \(v_i\) различны), выведите:

? \(k\) \(v_1\) \(v_2\) \(\ldots\) \(v_k\).

Вы получите целое число \(x\), наибольшее \(Dist(v_i, v_j)\) по \(1 \le i, j \le k\) с \(i \neq j\).

Когда вы найдете \(a\) и \(b\) (\(1 \le a, b \le n)\), \(a\neq b\)) такие, что \(Dist(a, b)\) является максимально возможным, выведите ответ в следующем формате:

! \(a\) \(b\)

Вывод ответа не учитывается в лимит в \(12\) запросов.

Если существует несколько пар \((a, b)\) с одинаковым наибольшим \(Dist(a, b)\), можно вывести любую.

После вывода запроса не забудьте вывести перевод строки и сбросить буфер вывода. В противном случае вы получите вердикт Решение «зависло». Для сброса буфера используйте:

  • fflush(stdout) или cout.flush() в C++;
  • System.out.flush() в Java;
  • flush(output) в Pascal;
  • stdout.flush() в Python;
  • смотрите документацию для других языков.

Взломы

Чтобы взломать решение, используйте следующий формат.

Первая строка должна содержать одно целое число \(n\) \((2 \leq n \le 10^3)\) — количество вершин.

В \(i\)-й из следующих \(n-1\) строк должно содержаться три целых числа \(u_i\), \(v_i\), \(w_i\) (\(1 \le u_i, v_i \le n\), \(u_i\ne v_i\), \(1 \le w \le 10^9\)), что означает, что между вершинами \(u_i\) и \(v_i\) есть ребро с весом \(w_i\).

Эти \(n-1\) ребер должны образовывать дерево.

Примечание

Дерево в первом примере приведено ниже:

C. Спасти больше мышек

Бинарный поиск *1000 жадные алгоритмы жадные алгоритмы

На координатной прямой находятся одна кошка, \(k\) мышек и одна норка. Кошка находится в точке \(0\), а норка в точке \(n\). Все мышки находятся между кошкой и норкой: \(i\)-я мышка расположена в точке \(x_i\) (\(0 < x_i < n\)), в одной точке может находиться много мышек.

За одну единицу времени происходит следующее. Сначала ровно одна любая мышка передвигается вправо на \(1\). Если эта мышка оказалась в норке, то она в ней прячется (т. е. больше никуда данная мышка передвигаться не будет и кошка не сможет её съесть). Затем (после того, как мышка завершила своё передвижение) кошка передвигается вправо на \(1\). Если в точке назначения кошки есть мышки, то кошка их съедает (они затем передвигаться не смогут). Процесс продолжается до тех пор, пока каждая мышка не будет спрятана или съедена.

Иными словами, сначала ход делает одна из мышек. Если мышка спряталась в норке, то она спаслась. Затем кошка делает ход. Кошка съедает тех мышек, которые находятся в точке, куда она сделала ход (если кошка «приземлилась» в норке, то она никого не съедает).

Каждую единицу времени вы можете выбрать мышку, которая в этот момент времени будет передвигаться. Какое максимальное количество мышек может добраться до норки, не будучи съеденными?

Входные данные

В первой строке записано одно целое число \(t\) (\(1 \le t \le 10^4\)) — количество наборов входных данных. Далее следуют \(t\) наборов входных данных.

Каждый набор входных данных состоит из двух строк. Первая строка содержит два целых числа \(n\) и \(k\) (\(2 \le n \le 10^9\), \(1 \le k \le 4 \cdot 10^5\)). Вторая строка содержит \(k\) целых чисел \(x_1, x_2, \dots x_k\) (\(1 \le x_i < n\)) — исходные координаты мышек.

Гарантируется, что сумма всех \(k\), заданных во входных данных, не превосходит \(4 \cdot 10^5\).

Выходные данные

Для каждого набора входных данных в отдельной строке выведите одно число \(m\) (\(m \ge 0\)) — максимальное количество мышек, которые могут добраться до норки, не будучи съеденными.

F. ПСП

Бинарный поиск Перебор Структуры данных дп *2400 битмаски

Правильная скобочная последовательность (или, коротко, ПСП) — это скобочная последовательность, которую можно превратить в корректное арифметическое выражение, вставив символы «1» и «+» между исходными символами. Например:

  • скобочные последовательности «()()» и «(())» — правильные (из них можно получить выражения «(1)+(1)» и «((1+1)+1)»);
  • скобочные последовательности «)(», «(» и «)» — неправильные.

Обозначим конкатенацию двух строк \(x\) и \(y\) как \(x+y\). Например, «()()» \(+\) «)(» \(=\) «()())(».

У вас есть \(n\) скобочных последовательностей \(s_1, s_2, \dots, s_n\). Вы можете переставить эти строки в любом порядке (можно переставлять только сами строки, но не символы в них).

Ваша задача — переставить строки в таком порядке, чтобы у строки \(s_1 + s_2 + \dots + s_n\) было как можно больше непустых префиксов, являющихся ПСП.

Входные данные

В первой строке задано одно целое число \(n\) (\(1 \le n \le 20\)).

Далее следуют \(n\) строк, \(i\)-я из которых содержит \(s_i\) — скобочную последовательность (строку, состоящую из символов «(» и/или «)». Все последовательности \(s_i\) непустые, их суммарная длина не превосходит \(4 \cdot 10^5\).

Выходные данные

Выведите одно число — максимальное количество непустых префиксов, являющихся ПСП, у строки \(s_1 + s_2 + \dots + s_n\), если вы переставите строки \(s_1, s_2, \dots, s_n\) оптимальным образом.

Примечание

В первом примере из условия можно склеить строки следующим образом: «(» \(+\) «)» \(=\) «()», у полученной строки будет один префикс, являющийся ПСП: «()».

Во втором примере из условия можно склеить строки следующим образом: «(» \(+\) «)» \(+\) «()()())» \(+\) «(» \(=\) «()()()())(», у полученной строки будет четыре префикса, являющихся ПСП: «()», «()()», «()()()», «()()()()».

В третьем и в четвертом примере всего по одной строке, поэтому поменять порядок строк невозможно.

C. Монитор

Бинарный поиск теория чисел *1800

Компания Reca выпускает мониторы, большой популярностью пользуется их модель AB999 с размерами экрана a × b сантиметров. Из-за особенностей производства, размеры экрана выражаются целым числом сантиметров. Недавно в моду вошло соотношение сторон x: y. Компания хочет уменьшить размеры экрана своего монитора AB999 так, чтобы его соотношение сторон стало x: y, но при этом его площадь была максимально возможной. Ваша задача — определить размеры экрана уменьшенной модели, или выяснить, что это сделать невозможно.

Входные данные

В первой строке входных данных содержатся 4 целых числа — a, b, x и y (1 ≤ a, b, x, y ≤ 2·109).

Выходные данные

Если решение существует, выведите 2 целых положительных числа — размеры экрана уменьшенной модели, иначе выведите 0 0.

E. Автобусы и люди

Бинарный поиск Структуры данных *2400 сортировки

Главная улица Бертауна представляет собой прямую, на которой расположено 109 автобусных остановок. Остановки пронумерованы целыми числами от 1 до 109 в порядке следования. В городе ходит n автобусов. Каждый день i-ый автобус едет от остановки с номером si до остановки с номером fi (si < fi), останавливаясь на всех промежуточных остановках, и возвращается назад только ночью. Автобус начинает движение в момент времени ti, и едет настолько быстро, что заканчивает движение в тот же момент времени ti. Времена ti различны для всех автобусов. Автобусы имеют бесконечную вместимость.

В Бертауне живет m человек. Сегодня i-ому человеку нужно доехать от остановки с номером li до остановки с номером ri (li < ri); i-ый житель приходит на свою начальную остановку (li) в момент времени bi. Каждый человек, с одной стороны, хочет добраться как можно быстрее, и с другой стороны, категорически не согласен ехать с пересадками. Более формально: i-ый человек выбирает автобус j, с минимальным временем tj, такой что sj ≤ li, ri ≤ fj и bi ≤ tj.

Ваша задача — определить для каждого жителя, сможет ли он доехать сегодня днем, и если сможет, найти номер автобуса, на котором он поедет.

Входные данные

В первой строке записано два целых числа n и m (1 ≤ n, m ≤ 105) — количество автобусов и количество людей.

Далее следует n строк по три целых числа в каждой: si, fi, ti (1 ≤ si, fi, ti ≤ 109, si < fi) — описание автобусов. Гарантируется, что все ti различны.

Далее следует m строк по три целых числа в каждой: li, ri, bi (1 ≤ li, ri, bi ≤ 109, li < ri) — описание жителей Бертауна. Времена bi могут совпадать.

Выходные данные

В первой строке выведите через пробел m целых чисел: i-ое число должно быть равно либо -1, если i-ый человек не сможет доехать, либо номеру автобуса, на котором i-ый человек поедет. Автобусы нумеруются целыми числами от 1 до n в том порядке, в котором они заданы во входных данных.

F. Две сортировки

Бинарный поиск математика поиск в глубину и подобное meet-in-the-middle *3400

Целые числа от \(1\) до \(n\) отсортировали по возрастанию в лексикографическом порядке, рассматривая их как строки, и получили массив \(a_1, a_2, \dots, a_n\).

Требуется найти сумму \((\sum_{i = 1}^n ((i - a_i) \mod 998244353)) \mod 10^9 + 7\).

\(x \mod y\) означает остаток от деления числа \(x\) на число \(y\) — этот остаток всегда неотрицателен и не превосходит \(y - 1\), например \(5 \mod 3 = 2\), \((-1) \mod 6 = 5\).

Входные данные

В первой строке содержится одно целое число \(n\) (\(1 \leq n \leq 10^{12}\)).

Выходные данные

Выведите одно целое число — ответ на задачу.

Примечание

Строка \(a\) лексикографически меньше строки \(b\), если и только если выполняется один из следующих пунктов:

  • \(a\) — префикс \(b\), но \(a \ne b\);
  • в первой позиции, где \(a\) и \(b\) различны, в строке \(a\) находится буква, которая встречается в алфавите раньше, чем соответствующая буква в \(b\).

Например, \(42\) меньше \(6\) лексикографически, так как числа отличаются в первой позиции и \(4 < 6\); \(42 < 420\), так как \(42\) является префиксом \(420\).

Обозначим \(998244353\) за \(M\).

В первом примере последовательность \(a\) будет равна \([1, 2, 3]\).

  • \((1 - 1) \mod M = 0 \mod M = 0\)
  • \((2 - 2) \mod M = 0 \mod M = 0\)
  • \((3 - 3) \mod M = 0 \mod M = 0\)

В результате \((0 + 0 + 0) \mod 10^9 + 7 = 0\)

Во втором примере последовательность \(a\) будет равна \([1, 10, 11, 12, 2, 3, 4, 5, 6, 7, 8, 9]\).

  • \((1 - 1) \mod M = 0 \mod M = 0\)
  • \((2 - 10) \mod M = (-8) \mod M = 998244345\)
  • \((3 - 11) \mod M = (-8) \mod M = 998244345\)
  • \((4 - 12) \mod M = (-8) \mod M = 998244345\)
  • \((5 - 2) \mod M = 3 \mod M = 3\)
  • \((6 - 3) \mod M = 3 \mod M = 3\)
  • \((7 - 4) \mod M = 3 \mod M = 3\)
  • \((8 - 5) \mod M = 3 \mod M = 3\)
  • \((9 - 6) \mod M = 3 \mod M = 3\)
  • \((10 - 7) \mod M = 3 \mod M = 3\)
  • \((11 - 8) \mod M = 3 \mod M = 3\)
  • \((12 - 9) \mod M = 3 \mod M = 3\)

В результате \((0 + 998244345 + 998244345 + 998244345 + 3 + 3 + 3 + 3 + 3 + 3 + 3 + 3) \mod 10^9 + 7\) \(=\) \(2994733059 \mod 10^9 + 7\) \(=\) \(994733045\)

E. Уравнитель массивов

Бинарный поиск математика реализация теория чисел жадные алгоритмы *2400 сортировки

У Jeevan есть два массива \(a\) и \(b\) размером \(n\). Он любит выполнять странные операции над массивами. На этот раз он придумал два типа операций:

  • Выберите любое \(i\) (\(1 \le i \le n\)) и увеличьте \(a_j\) на \(1\) для каждого \(j\), которое кратно \(i\) и \(1 \le j \le n\).
  • Выберите любое \(i\) (\(1 \le i \le n\)) и уменьшите \(a_j\) на \(1\) для каждого \(j\), которое кратно \(i\) и \(1 \le j \le n\).

Он хочет преобразовать массив \(a\) в массив \(b\), используя минимальное общее количество операций. Однако Jeevan, похоже, забыл значение \(b_1\). Поэтому он делает некоторые предположения. Он задаст вам \(q\) вопросов, соответствующих его \(q\) догадкам, \(i\)-я из которых имеет вид:

  • Если \(b_1 = x_i\), то какое минимальное количество операций требуется для преобразования \(a\) в \(b\)?

Помогите ему, ответив на каждый вопрос.

Входные данные

Первая строка содержит одно целое число \(n\) \((1 \le n \le 2 \cdot 10^{5})\)  — размер массивов \(a\) и \(b\).

Вторая строка содержит \(n\) целых чисел \(a_1, a_2, ..., a_n\) \((1 \le a_i \le 10^{6})\).

Третья строка содержит \(n\) целых чисел \(b_1, b_2, ..., b_n\) \((1 \le b_i \le 10^6\) для \(i \neq 1\); \(b_1 = -1\), что означает, что значение \(b_1\) неизвестно\()\).

Четвертая строка содержит одно целое число \(q\) \((1 \le q \le 2 \cdot 10^{5})\)  — количество вопросов.

Каждая из следующих \(q\) строк содержит одно целое число \(x_i\) \((1 \le x_i \le 10^6)\)  — представляющее \(i\)-й вопрос.

Выходные данные

Выведите \(q\) целых чисел  — ответы на каждый из его \(q\) вопросов.

Примечание

Рассмотрим первый пример.

  • \(b_1 = 1\): Нам нужно преобразовать \([3, 7] \rightarrow [1, 5]\). Мы можем выполнить следующие операции:

    \([3, 7]\) \(\xrightarrow[\text{уменьшить}]{\text{i = 1}}\) \([2, 6]\) \(\xrightarrow[\text{уменьшить}]{\text{i = 1}}\) \([1, 5]\) Следовательно, ответ равен \(2\).

  • \(b_1 = 4\): Нам нужно преобразовать \([3, 7] \rightarrow [4, 5]\). Мы можем выполнить следующие операции:

    \([3, 7]\) \(\xrightarrow[\text{уменьшить}]{\text{i = 2}}\) \([3, 6]\) \(\xrightarrow[\text{уменьшить}]{\text{i = 2}}\) \([3, 5]\) \(\xrightarrow[\text{увеличить}]{\text{i = 1}}\) \([4, 6]\) \(\xrightarrow[\text{уменьшить}]{\text{i = 2}}\) \([4, 5]\)

    Следовательно, ответ — \(4\).

  • \(b_1 = 3\): Нам нужно преобразовать \([3, 7] \rightarrow [3, 5]\). Мы можем выполнить следующие операции:

    \([3, 7]\) \(\xrightarrow[\text{уменьшить}]{\text{i = 2}}\) \([3, 6]\) \(\xrightarrow[\text{уменьшить}]{\text{i = 2}}\) \([3, 5]\)

    Следовательно, ответ равен \(2\).

E. Бумага в клеточку

Бинарный поиск реализация *2800 сортировки

На бесконечном клетчатом листе бумаги выбираются \(n\) клеток и окрашиваются в три цвета, где \(n\) кратно \(3\). Оказывается, что есть ровно \(\frac{n}{3}\) отмеченных клеток каждого из трех цветов!

Найдите наибольшее такое \(k\), при котором можно выбрать \(\frac{k}{3}\) клеток каждого цвета, удалить все остальные помеченные клетки, а затем выбрать три прямоугольника со сторонами, параллельными линиям сетки, так, чтобы выполнялись следующие условия:

  • Никакие два прямоугольника не могут пересекаться (но они могут иметь общую часть границы). Другими словами, площадь пересечения любых двух прямоугольников должна быть равна \(0\).
  • \(i\)-й прямоугольник содержит все выбранные клетки \(i\)-го цвета и ни одной выбранной клетки другого цвета, для \(i = 1, 2, 3\).
Входные данные

Первая строка входных данных содержит одно целое число \(n\) — количество отмеченных клеток (\(3 \leq n \le 10^5\), \(n\) кратно 3).

В \(i\)-й из следующих \(n\) строк содержится три целых числа \(x_i\), \(y_i\), \(c_i\) (\(|x_i|,|y_i| \leq 10^9\); \(1 \leq c_i \leq 3\)), где \((x_i, y_i)\) — координаты \(i\)-й отмеченной клетки, а \(c_i\) — ее цвет.

Гарантируется, что все клетки \((x_i, y_i)\) попарно различны, и что существует ровно \(\frac{n}{3}\) клеток каждого цвета.

Выходные данные

Выведите одно целое число \(k\) — наибольшее количество клеток, которое можно оставить.

Примечание

В первом примере можно оставить \(6\) клеток с индексами \(1, 5, 6, 7, 8, 9\).

Во втором примере можно оставить \(3\) клетки с индексами \(1, 2, 3\).

G. Алфавитное дерево

Строки Бинарный поиск Деревья Структуры данных поиск в глубину и подобное хэши *3500 строковые суфф. структуры

Вам даны \(m\) строк и дерево на \(n\) вершинах. На каждом ребре написана какая-то буква.

Вы должны ответить на \(q\) запросов. Каждый запрос описывается \(4\) целыми числами \(u\), \(v\), \(l\) и \(r\). Ответом на запрос является общее количество вхождений \(str(u,v)\) в строки с индексами от \(l\) до \(r\). \(str(u,v)\) определяется как строка, составленная путем конкатенации букв, записанных на ребрах кратчайшего пути от \(u\) до \(v\) (в порядке их прохождения).

Входные данные

Первая строка содержит три целых числа \(n\), \(m\) и \(q\) (\(2 \le n \le 10^5\), \(1 \le m,q \le 10^5\)).

В \(i\)-й из следующих \(n-1\) строк содержатся два целых числа \(u_i, v_i\) и строчная латинская буква \(c_i\) (\(1 \le u_i, v_i \le n\), \(u_i \neq v_i\)), обозначающие ребро между вершинами \(u_i, v_i\) с символом \(c_i\) на нем.

Гарантируется, что эти ребра образуют дерево.

Следующие \(m\) строк содержат строки, состоящие из строчных латинских букв. Общая длина этих строк не превышает \(10^5\).

Затем следуют \(q\) строк, каждая из которых содержит четыре целых числа \(u\), \(v\), \(l\) и \(r\) (\(1 \le u,v \le n\), \(u \neq v\), \(1 \le l \le r \le m\)), обозначающие запросы.

Выходные данные

Для каждого запроса выведите одно целое число — ответ на запрос.

C. Сложный анализ рынка

Бинарный поиск реализация дп теория чисел *1400 расписания

В процессе сложного анализа рынка у Василия возникла следующая задача:

Дан массив \(a\) длины \(n\) и натуральное число \(e\). Требуется посчитать количество пар натуральных чисел \((i, k)\) для которых выполняются следующие условия:

  • \(1 \le i, k\)
  • \(i + e \cdot k \le n\).
  • Произведение \(a_i \cdot a_{i + e} \cdot a_{i + 2 \cdot e} \cdot \ldots \cdot a_{i + k \cdot e} \) является простым числом.

Простым числом называется натуральное число больше единицы, имеющее ровно два различных натуральных делителя — единицу и самого себя.

Входные данные

Во входных данных находятся несколько наборов входных данных. В первой строке находится одно целое число \(t\) (\(1 \le t \le 10\,000\)) — количество наборов входных данных. Далее следуют наборы входных данных.

Первая строка каждого набора входных данных содержит два целых числа \(n\) и \(e\) \((1 \le e \le n \le 2 \cdot 10^5)\) — количество элементов в массиве и число \(e\) соответственно.

Вторая строка содержит \(n\) целых чисел \(a_1, a_2, \dots, a_n\) \((1 \le a_i \le 10^6)\) — описание массива.

Гарантируется, что сумма значений \(n\) по всем наборам входных данных не превосходит \(2 \cdot 10^5\).

Выходные данные

Для каждого набора входных данных выведите ответ в следующем формате:

В единственной строке выведите количество подходящих пар чисел \((i, k)\).

Примечание

В первом тестовом примере подходят две пары:

  1. \(i = 2, k = 1\), тогда произведение: \(a_{2} \cdot a_{5} = 2\) является простым числом.
  2. \(i = 3, k = 1\), тогда произведение: \(a_{3} \cdot a_{6} = 19\) является простым числом.

Во втором тестовом примере не существует подходящих пар.

В третьем тестовом примере подходят четыре пары:

  1. \(i = 1, k = 1\), тогда произведение: \(a_{1} \cdot a_{4} = 2\) является простым числом.
  2. \(i = 1, k = 2\), тогда произведение: \(a_{1} \cdot a_{4} \cdot a_{7} = 2\) является простым числом.
  3. \(i = 3, k = 1\), тогда произведение: \(a_{3} \cdot a_{6} = 2\) является простым числом.
  4. \(i = 6, k = 1\), тогда произведение: \(a_{6} \cdot a_{9} = 2\) является простым числом.

В четвертом тестовом примере не существует подходящих пар.

В пятом тестовом примере подходят пять пар:

  1. \(i = 1, k = 1\), тогда произведение: \(a_{1} \cdot a_{2} = 2\) является простым числом.
  2. \(i = 1, k = 2\), тогда произведение: \(a_{1} \cdot a_{2} \cdot a_{3} = 2\) является простым числом.
  3. \(i = 1, k = 3\), тогда произведение: \(a_{1} \cdot a_{2} \cdot a_{3} \cdot a_{4} = 2\) является простым числом.
  4. \(i = 2, k = 1\), тогда произведение: \(a_{2} \cdot a_{3} = 2\) является простым числом.
  5. \(i = 2, k = 2\), тогда произведение: \(a_{2} \cdot a_{3} \cdot a_{4} = 2\) является простым числом.

В шестом тестовом примере не существует подходящих пар.

A. Оденьте их скорее!

Бинарный поиск Перебор жадные алгоритмы *1300

В Двумерном королевстве наступили тяжелые времена... Сегодня утром Трехмерное королевство объявило войну Двумерному и в ходе этого (возможно, вооруженного) конфликта решится, кому же все-таки принадлежит прямая.

В Двумерном королевстве есть постоянная армия, состоящая из n человек. Каждый боец прошел специальную регистрацию и указал желаемый размер бронежилета: i-ый боец указал размер ai. Известно, что бойцы люди неприхотливые, поэтому штаб считает, что им комфортно носить любые бронежилеты с размерами от ai - x до ai + y включительно (числа x, y ≥ 0 заданы).

В распоряжении армии Двумерного королевства есть m бронежилетов, размер j-го бронежилета равен bj. Помогите мобилизовать армию Двумерного королевства — оденьте наибольшее возможное количество бойцов армии в бронежилеты. Каждый бронежилет разрешается использовать только один раз. i-ый боец может надеть j-ый бронежилет, если ai - x ≤ bj ≤ ai + y.

Входные данные

В первой строке входных данных записаны четыре целых числа n, m, x и y (1 ≤ n, m ≤ 105, 0 ≤ x, y ≤ 109) — количество бойцов, количество бронежилетов и два числа, характеризующие неприхотливость бойцов, соответственно.

Во второй строке записаны в неубывающем порядке n разделенных единичными пробелами целых чисел a1, a2, ..., an (1 ≤ ai ≤ 109) — желаемые размеры бронежилетов.

В третьей строке записаны в неубывающем порядке m разделенных единичными пробелами целых чисел b1, b2, ..., bm (1 ≤ bj ≤ 109) — размеры имеющихся в наличии бронежилетов.

Выходные данные

В первой строке выведите единственное целое число k — максимальное количество одетых в бронежилеты бойцов.

В следующих k строках выведите k пар, по одной паре в строке в формате «ui vi» (без кавычек). Пара (ui, vi) означает, что боец с номером ui должен быть одет в бронежилет номер vi. Бойцы и бронежилеты нумеруются, начиная с единицы, в том порядке, в котором они заданы во входных данных. Все номера бойцов в парах должны быть попарно различны, все номера бронежилетов в парах также должны быть попарно различны. Пары можно выводить в любом порядке.

Если существует несколько оптимальных ответов, разрешается вывести любой.

Примечание

В первом примере требуется точное совпадение размеров бронежилетов: первый боец получает первый бронежилет (размер 1), а третий — второй бронежилет (размер 3). В этом примере возможен другой ответ, в котором второй бронежилет достается не третьему, а четвертому бойцу.

Во втором примере размер бронежилета должен отличаться от пожеланий бойца не больше чем на 2 размера, и одеть можно всех бойцов.

C. Кеши устраивает вечеринку

Бинарный поиск *1600 жадные алгоритмы

Кеши устраивает вечеринку и хочет, чтобы все на ней были счастливы.

У него есть \(n\) друзей. У его \(i\)-го друга есть \(i\) долларов.

Если пригласить \(i\)-го друга на вечеринку, то он будет счастлив только в том случае, если не более \(a_i\) человек на вечеринке будут строго богаче его и не более \(b_i\) человек будут строго беднее его.

Кеши хочет пригласить как можно больше людей. Найдите максимальное число людей, которых он может пригласить на вечеринку, чтобы каждый приглашенный был счастлив.

Входные данные

Первая строка содержит одно целое число \(t\) \((1\le t\le 10^4)\) — количество наборов входных данных. Далее следует описание наборов входных данных.

Первая строка каждого набора входных данных содержит одно целое число \(n\) \((1\le n\le 2 \cdot 10^5)\) — количество друзей Кеши.

\(i\)-я из следующих \(n\) строк содержит два целых числа \(a_i\) и \(b_i\) \((0 \le a_i, b_i < n)\).

Гарантируется, что сумма \(n\) по всем наборам входных данных не превышает \(2 \cdot 10^5\).

Выходные данные

Для каждого набора входных данных выведите максимальное количество людей, которых может пригласить Кеши.

Примечание

В первом наборе входных данных он приглашает первого и второго человека. Если он пригласит всех, то третий человек не будет счастлив, потому что будет более чем \(1\) человек беднее его.

E. AmShZ и G.O.A.T.

Бинарный поиск Перебор математика реализация жадные алгоритмы *2300

Назовем массив из \(k\) целых чисел \(c_1, c_2, \ldots, c_k\) ужасным, если выполняется следующее условие:

  • Пусть \(AVG\) — это \(\frac{c_1 + c_2 + \ldots + c_k}{k}\) (то есть среднее значение всех элементов массива, не обязательно целое). Тогда количество элементов массива, которые больше \(AVG\), должно быть строго больше количества элементов массива, которые меньше \(AVG\). Обратите внимание, что элементы, равные \(AVG\), не учитываются.

    Например, \(c = \{1, 4, 4, 5, 6\}\) является ужасным, потому что \(AVG = 4.0\) и \(5\)-й и \(4\)-й элементы больше \(AVG\), а \(1\)-й элемент меньше \(AVG\).

Назовем массив из \(m\) целых чисел \(b_1, b_2, \ldots, b_m\) плохим, если хотя бы одна из его непустых подпоследовательностей ужасна, и хорошим в противном случае.

Вам дан массив из \(n\) целых чисел \(a_1, a_2, \ldots, a_n\). Найдите минимальное количество элементов, которые нужно удалить из него, чтобы получить хороший массив.

Массив является подпоследовательностью другого массива, если он может быть получен из него путем удаления нескольких (возможно, нуля или всех) элементов.

Входные данные

Первая строка содержит целое число \(t\) (\(1 \le t \le 10^4\)) — количество наборов входных данных. Далее следует описание наборов входных данных.

Первая строка каждого набора входных данных содержит одно целое число \(n\) (\(2 \le n \le 2 \cdot 10^5\)) — размер \(a\).

Вторая строка каждого набора входных данных содержит \(n\) целых \(a_1, a_2, \ldots, a_n\) (\(1 \le a_i \le 10^9\)) — элементы массива \(a\).

В каждом наборе входных данных для любого \(1 \le i \lt n\) гарантируется, что \(a_i \le a_{i+1}\).

Гарантируется, что сумма \(n\) по всем наборам входных данных не превышает \(2 \cdot 10^5\).

Выходные данные

Для каждого набора входных данных выведите минимальное количество элементов, которые нужно удалить из него, чтобы получить хороший массив.

Примечание

В первом примере массив \(a\) уже хороший.

Во втором примере достаточно удалить \(1\), получив массив \([4, 4, 5, 6]\), который является хорошим.

B. Составление команд: программисты и математики

Бинарный поиск Конструктив математика *800

Совсем скоро состоится Всеберляндский командный контест по программированию. В этом году к участию допускаются команды из четырёх человек.

В Берляндском государственном университете учится \(a\) программистов и \(b\) математиков. Сколько максимум команд возможно составить, если:

  • в каждой команде должно быть ровно \(4\) человека,
  • команды из \(4\) математиков или \(4\) программистов вряд ли хорошо выступят, поэтому принято решение не составлять такие команды.

Таким образом, в каждой команде должен быть хотя бы один программист и хотя бы один математик.

Выведите искомое максимальное количество команд. Каждый человек может быть членом не более чем одной команды.

Входные данные

В первой строке записано целое число \(t\) (\(1 \le t \le 10^4\)) — количество наборов входных данных в тесте.

Далее следуют описания \(t\) наборов, по одному в строке. Каждый набор задается двумя целыми числами \(a\) и \(b\) (\(0 \le a,b \le 10^9\)).

Выходные данные

Выведите \(t\) строк. Каждая строка должна содержать ответ на соответствующий набор входных данных — искомое максимальное количество команд.

Примечание

В первом наборе входных данных примера максимум две команды могут быть составлены. Один из способов это сделать — две команды из \(2\) программистов и \(2\) математиков.

Во втором наборе входных данных примера можно составить только одну команду (\(3\) программиста и \(1\) математик в команде).

F. Поликарп и банкомат

Бинарный поиск Структуры данных *1800

Поликарп начал работать в банке. Ему назначили следить за банкоматом. В банкомате изначально есть \(s\) рублей.

К нему выстроились очередь из \(n\) студентов. Каждый студент хочет либо снять некоторое количество денег, либо внести на счёт. Если \(a_i\) положительное, то студент зачисляет через банкомат такое количество денег. В противном случае — снимает \(|a_i|\) рублей.

В начале в банкомате \(s\) рублей и он отключён. Поликарп пропускает произвольное количество студентов. В какой-то момент времени Поликарп включает банкомат. Затем банкомат начинает обcлуживать оставшихся студентов по очереди. Если в какой-то момент времени в банкомате меньше рублей, чем хочет снять студент, тогда студент не обслуживается и Поликарп выключает банкомат и больше его никогда не включает.

Более формально, студенты, которые будут обслужены образуют непрерывную подпоследовательность.

Поликарп хочет, чтобы банкомат обслужил наибольшее количество студентов. Помогите ему в этом деле. Выведите номера первого и последнего студента или определите, что он не сможет никого обслужить.

Иными словами, найдите такой максимальный по длине непрерывный подотрезок студентов, что, начав с суммы \(s\) в банкомате, все эти студенты будут обслужены. Банкомат обслуживает студентов последовательно в порядке очереди.

Входные данные

В первой строке входных данных записано целое число \(t\) (\(1 \le t \le 10^4\)) — количество наборов входных данных в тесте.

Каждый набор входных данных состоит из двух строк. В первой из них записаны целые числа \(n\) и \(s\) (\(1 \le n \le 2\cdot10^5\); \(0 \le s \le 10^9\)) — длина массива \(a\) и начальное количество рублей в банкомате. Во второй записаны \(n\) целых чисел \(a_1, a_2, \dots, a_n\) (\(-10^9 \le a_i \le 10^9\)) — элементы массива \(a\). Заметьте, что \(a_i\) может быть равен нулю.

Гарантируется, что сумма значений \(n\) по всем наборам входных данных в тесте не превосходит \(2\cdot10^5\).

Выходные данные

Выведите \(t\) строк, каждая из строк должна содержать ответ на соответствующий набор входных данных: если ответ существует выведите номера первого и последнего обслуженного студента. Если решения не существует, то в строку выведите -1.

Если есть несколько возможных ответов, выведите любой.

Примечание

В первом наборе входных данных единственным правильным ответом является 2 4, так как при обслуживании студентов количество рублей в банкомате не становится отрицательным, и это максимальное количество студентов, которое возможно обслужить.

Во втором наборе входных данных ответ -1, так как для любого студента в банкомате недостаточно денег.

В третьем наборе входных данных ответ может быть как 1 2, так и 4 5.

C. Бан в чате

Бинарный поиск математика *1300

Вы — совершенно обычный пользователь чата на самой известной стриминговой платформе. Конечно же, в некоторые моменты вам просто хочется отдохнуть, расслабиться и поспамить что-то в чат.

Точнее говоря, вы хотите отправить в чат треугольник из эмоутов размера \(k\). Такой треугольник состоит из \(2k-1\) сообщений. Первое сообщение состоит из одного эмоута, второе — из двух эмоутов, ..., \(k\)-е — из \(k\) эмоутов, \(k+1\)-е — из \(k-1\) эмоутов, ..., и последнее — из одного эмоута.

Например, треугольник из эмоутов для \(k=3\) состоит из \(5\) сообщений:

Конечно же, большинство каналов имеют автоматическую модерацию. Автомодератор забанит вас сразу же после того, как вы отправите хотя бы \(x\) эмоутов подряд (можете считать, что вы — единственный пользователь чата). Теперь вам интересно — как много сообщений вы успеете отправить перед тем, как вас забанят? А может быть, вас не забанят вовсе (то есть вы напишете все \(2k-1\) сообщений и успешно отправите в чат треугольник из эмоутов)? Заметьте, что если вас банят после написания какого-то сообщения, то это сообщение также учитывается.

Вам необходимо ответить на \(t\) независимых наборов тестовых данных.

Входные данные

Первая строка входных данных содержит одно целое число \(t\) (\(1 \le t \le 10^4\)) — количество наборов тестовых данных. Следующие \(t\) строк описывают сами наборы.

Единственная строка набора тестовых данных содержит два числа \(k\) и \(x\) (\(1 \le k \le 10^9; 1 \le x \le 10^{18}\)).

Выходные данные

Выведите ответ на каждый набор тестовых данных — количество сообщений, которые вы напишете перед тем, как вас забанят, для соответствующих значений \(k\) и \(x\).

Примечание

Давайте проанализируем наборы тестовых данных примера.

  1. В первом наборе тестовых данных вы пишете три сообщения, состоящие из \(1\), \(2\) и \(3\) эмоутов соответственно, и так как \(1 + 2 + 3 \ge 6\), после этого вы получаете бан.
  2. Во втором наборе тестовых данных вы пишете четыре сообщения, состоящие из \(1\), \(2\), \(3\) и \(4\) эмоутов соответственно, и так как \(1 + 2 + 3 + 4 \ge 7\), после этого вы получаете бан.
  3. В третьем наборе тестовых данных, вы пишете одно сообщение, состоящее из \(1\) эмоута. Это не приводит к бану, потому что \(1 < 2\), но вы уже закончили спам треугольника из эмоутов. Таким образом, вы успешно написали одно сообщение.
  4. В четвертом наборе тестовых данных вы пишете четыре сообщения, состоящие из \(1\), \(2\), \(3\) и \(2\) эмоутов соответственно, и так как \(1 + 2 + 3 + 2 \ge 7\), после этого вы получаете бан.
  5. В пятом наборе тестовых данных вы пишете три сообщения, состоящие из \(1\), \(2\) и \(1\) эмоутов соответственно. Это не приводит к бану, потому что \(1 + 2 + 1 < 5\), но вы уже закончили спам треугольника из эмоутов. Таким образом, вы успешно написали три сообщения.
  6. В шестом наборе тестовых данных, так как \(x = 1\), вы получаете бан сразу же после того, как напишете свое первое сообщение.
  7. Седьмой набор тестовых данных слишком большой, чтобы его анализировать, так что мы его пропустим.

C. Отравленный кинжал

Бинарный поиск *1200

Монокарп играет в очередную компьютерную игру. В этой игре его персонаж должен убить дракона. Битва с драконом длится \(100^{500}\) секунд, в течение которых Монокарп атакует дракона отравленным кинжалом. \(i\)-я атака происходит в начале \(a_i\)-й секунды от начала боя. Сам кинжал не наносит урона, но накладывает эффект яда на дракона, который наносит \(1\) урона в течении следующих \(k\) секунд (начиная с секунды, когда дракону был нанесен удар кинжалом). Однако, если дракон уже был отправлен ядом, то клинок обновляет эффект яда (т.е. отменяет действующий яд и накладывает новый).

Например, предположим, что \(k = 4\), и Монокарп наносит удар дракону в секунды \(2\), \(4\) и \(10\). Тогда эффект яда накладывается в начале \(2\)-й секунды и наносит \(1\) урона в течение \(2\)-й и \(3\)-й секунд; затем, в начале \(4\)-й секунды, эффект яда накладывается повторно, поэтому он наносит \(1\) урона в течение секунд \(4\), \(5\), \(6\) и \(7\); затем, на \(10\)-й секунде, снова накладывается эффект яда, и он наносит \(1\) урона в течение секунд \(10\), \(11\), \(12\) и \(13\). В общей сложности дракон получает \(10\) единиц урона.

Монокарп знает, что у дракона \(h\) очков здоровья, и если он нанесет дракону хотя бы \(h\) урона во время битвы — он убьет дракона. Монокарп еще не определился с силой яда, который он будет использовать во время боя, поэтому он хочет найти минимально возможное значение \(k\) (количество секунд, в течение которых длится действие яда), которого достаточно, чтобы нанести дракону как минимум \(h\) урона.

Входные данные

Первая строка содержит одно целое число \(t\) (\(1 \le t \le 1000\)) — количество наборов входных данных.

Первая строка набора содержит два целых числа \(n\) и \(h\) (\(1 \le n \le 100; 1 \le h \le 10^{18}\)) — количество атак Монокарпа и количество урона, которое необходимо нанести.

Вторая строка содержит \(n\) целых чисел \(a_1\), \(a_2\), ..., \(a_n\) (\(1 \le a_i \le 10^9; a_i < a_{i + 1}\)), где \(a_i\) — номер секунды \(i\)-й атаки.

Выходные данные

Для каждого набора входных данных выведите одно целое число — минимальное значение параметра \(k\), при котором Монокарп нанесет дракону хотя бы \(h\) урона.

Примечание

В первом примере для \(k=3\) урон наносится в секунды \([1, 2, 3, 5, 6, 7]\).

Во втором примере для \(k=4\) урон наносится в секунды \([2, 3, 4, 5, 6, 7, 10, 11, 12, 13]\).

В третьем примере для \(k=1\) урон наносится в секунды \([1, 2, 4, 5, 7]\).

E. Divan и коттедж

Бинарный поиск Структуры данных *2600

Новый коттедж Divanа наконец-то достроен! Однако после тщательного осмотра было выяснено — рабочие неправильно проложили термоизоляцию, и теперь температура в доме напрямую зависит от температуры на улице! Говоря точнее, если утром в доме была температура \(P\), а на улице температура равна \(T\), то к следующему утру температура в доме изменится по следующему правилу:

  • \(P_{new} = P + 1\), если \(P < T\);
  • \(P_{new} = P - 1\), если \(P > T\);
  • \(P_{new} = P\), если \(P = T\).
Здесь \(P_{new}\) — температура в доме утром следующего дня.

Divan — очень занятой бизнесмен, поэтому порой не бывает дома продолжительное время и не знает, какая там сейчас температура, поэтому он нанял вас для контроля. Ваша работа будет состоять из \(n\) дней. В начале \(i\)-го дня вам сообщают, что температура на улице в этот день равна \(T_i\). Далее, для каждого из \(i\) дней вам поступает \(k_i\) вопросов от Divan. Каждый запрос имеет следующий вид: «если исходная температура в доме утром первого дня была \(x_i\), то какая температура в доме будет завтра утром (после \(i\)-го дня)?»

Ответьте на все вопросы бизнесмена.

Входные данные

На первой строке находится целое число \(n\) (\(1 \leq n \leq 2 \cdot 10^5\)) — количество дней.

Далее следуют описание \(n\) дней в следующем формате.

Первая строка описания содержит целое число \(T_i\) (\(0 \leq T_i \leq 10^9\)) — температура в этот день.

Вторая строка содержит целое неотрицательное число \(k_i\) (\(0 \le k_i \le 2 \cdot 10^5\)) — количество вопросов в этот день.

Третья строка содержит \(k\) целых чисел \(x'_i\) (\(0 \leq x'_{i} \leq 10^9\)) — зашифрованные запросы Divanа.

Пусть \(lastans = 0\) изначально. Тогда настоящий запрос задаётся так: \(x_i = (x'_i + lastans) \bmod (10^9 + 1)\), где \(a \bmod b\) — остаток от деления \(a\) на \(b\). После запроса переменной \(lastans\) присваивается значение, равное вашему ответу на текущий запрос.

Гарантируется, что суммарное количество запросов (то есть сумма по всем \(k_i\)) не превышает \(2 \cdot 10^5\).

Выходные данные

Для каждого запроса выведите целое число — температуру в доме после \(i\)-го дня.

Примечание

Рассмотрим первые четыре запроса из примера.

В первый день на улице температура равна \(50\), во второй \(50\) и в третий \(0\).

Положим \(lastans = 0\) изначально.

  • Начальная температура в доме в первом запросе первого дня равна \((1 \, + \, lastans) \bmod (10^9 + 1) = 1\). После первого дня температура в доме увеличится на \(1\), так как \(1 < 50\). Таким образом, ответ на первый запрос равен \(2\). Тогда \(lastans = 2\).
  • Начальная температура в доме во втором запросе первого дня равна \((2 \, + \, lastans) \bmod (10^9 + 1) = 4\). После первого дня температура в доме увеличится на \(1\), так как \(4 < 50\). Таким образом, ответ на второй запрос равен \(5\). Тогда \(lastans = 5\).
  • Начальная температура в доме в третьем запросе первого дня равна \((3 \, + \, lastans) \bmod (10^9 + 1) = 8\). После первого дня температура в доме увеличится на \(1\). Таким образом, ответ на третий запрос равен \(9\). Тогда \(lastans = 9\).
  • Начальная температура в доме в первом запросе второго дня равна \((4 \, + \, lastans) \bmod (10^9 + 1) = 13\). После первого дня температура увеличится на \(1\). После второго дня температура увеличится на \(1\). Таким образом, ответ на запрос равен \(15\). Тогда \(lastans = 15\).

H. Оленьи игры

Бинарный поиск Потоки Структуры данных Конструктив графы разделяй и властвуй кратчайшие пути *3000

На северном полюсе проживают \(n\) оленей, и все они соревнуются за первые позиции в таблице лидеров на главной странице CodeNorses (популярный сайт по спортивным оленьим играм). Довольно примечательно, что лидерство в таблице зависит от вклада и напрямую не связано с уровнем навыков в самих оленьих играх, однако для оленей таблица все равно крайне важна.

На текущий момент, у \(i\)-го оленя вклад равен \(a_i\). Вы хотите повлиять на таблицу лидеров с помощью нескольких операций. За одну операцию вы можете выбрать оленя и либо увеличить, либо уменьшить его вклад на \(1\). Отрицательные вклады разрешены.

При этом у вас есть \(m\) ограничений на получившиеся вклады. Каждое ограничение задается упорядоченной парой \((u, v)\), означающей, что в финальный вклад оленя \(u\) должен быть меньше или равен финального вклада оленя \(v\).

Ваша задача — сделать наименьшее количество операций так, чтобы все ограничения были выполнены.

Входные данные

В первой строке заданы два целых числа \(n\) и \(m\) (\(2\le n\le 1000\); \(1\le m\le 1000\)) — количество оленей и ограничений, соответственно.

Во второй строке заданы \(n\) целых чисел \(a_1,\ldots, a_n\) (\(1\le a_i\le 10^9\)), где \(a_i\) равно первоначальному вкладу \(i\)-го оленя.

В следующих \(m\) строках заданы сами ограничения.

В \(i\)-й строке заданы два целых числа \(u_i\) и \(v_i\) (\(1\le u_i, v_i\le n\); \(u_i\ne v_i\)) — номера оленей в \(i\)-м ограничении.

Выходные данные

Выведите \(n\) целых чисел \(b_1,\ldots, b_n\) (\(-10^{15}\le b_i\le 10^{15}\)), где \(b_i\) будет равно финальному вкладу \(i\)-го оленя после применения всех операций.

Если существует несколько решений с наименьшим количеством операций, выведите любое из них.

Можно доказать, что всегда существует оптимальное решение с \(|b_i|\le 10^{15}\) для всех \(i\).

C. Паприка и перестановка

Бинарный поиск математика жадные алгоритмы сортировки *1300

Паприка любит перестановки. У неё есть массив \(a_1, a_2, \dots, a_n\). Она хочет сделать массив перестановкой целых чисел от \(1\) до \(n\).

Чтобы достичь этой цели, она может применять к массиву операции. За одну операцию она может выбрать два целых числа \(i\) (\(1 \le i \le n\)) и \(x\) (\(x > 0\)), и затем присвоить \(a_i := a_i \bmod x\) (то есть заменить \(a_i\) на остаток от деления \(a_i\) на \(x\)). В разных операциях выбираемые \(i\) и \(x\) могут быть разными.

Определите минимальное количество операций, необходимое, чтобы сделать массив перестановкой целых чисел от \(1\) до \(n\). Если это невозможно, выведите \(-1\).

Перестановкой называется массив, состоящий из \(n\) различных целых чисел от \(1\) до \(n\) в произвольном порядке. Например, \([2,3,1,5,4]\) является перестановкой, но \([1,2,2]\) не является перестановкой (\(2\) встречается дважды в массиве) и \([1,3,4]\) тоже не является перестановкой (\(n=3\), но \(4\) присутствует в массиве).

Входные данные

Каждый тест состоит из нескольких наборов входных данных. В первой строке находится единственное целое число \(t\) (\(1 \le t \le 10^4\)) — количество наборов входных данных. Далее следует описание наборов входных данных.

В первой строке каждого набора входных данных содержится целое число \(n\) (\(1 \le n \le 10^5\)).

Во второй строке каждого набора входных данных содержатся \(n\) целых чисел \(a_1, a_2, \dots, a_n\). (\(1 \le a_i \le 10^9\)).

Гарантируется, что сумма \(n\) по всем наборам входных данных не превосходит \(2 \cdot 10^5\).

Выходные данные

Для каждого набора входных данных выведите минимальное количество операций, необходимое, чтобы сделать массив перестановкой целых чисел от \(1\) до \(n\), или \(-1\), если это невозможно.

Примечание

В первом наборе входных данных единственная возможная последовательность операций, минимизирующая количество операций, следующая:

  • Выберем \(i=2\), \(x=5\). Заменим \(a_2 := a_2 \bmod 5 = 2\).

Для второго набора входных данных невозможно получить перестановку целых чисел от \(1\) to \(n\).

D. Новогодняя задача

Бинарный поиск *1800 жадные алгоритмы сортировки

У Влада есть \(n\) друзей, для каждого из которых он хочет купить один подарок на Новый год.

Всего в городе есть \(m\) магазинов, в каждом из которых он может купить подарок любому из друзей. Если \(j\)-й друг (\(1 \le j \le n\)) получает подарок, купленный в магазине с номером \(i\) (\(1 \le i \le m\)), то друг получает \(p_{ij}\) единиц радости. Прямоугольная таблица \(p_{ij}\) задана во входных данных.

Влад успевает посетить не более \(n-1\) магазина (\(n\) — количество друзей). Он сам может выбрать, какие именно магазины посетит, и для каких друзей он будет покупать подарки в каждом из них.

Пусть \(j\)-й друг получил \(a_j\) единиц радости от подарка Влада. Найдем величину \(\alpha=\min\{a_1, a_2, \dots, a_n\}\). Цель Влада — купить подарки так, чтобы значение \(\alpha\) было как можно больше. Иными словами, Влад хочет максимизировать минимальную из радостей друзей.

Например, пусть \(m = 2\), \(n = 2\). Пусть радости от подарков, которые мы можем приобрести в первом магазине: \(p_{11} = 1\), \(p_{12}=2\), во втором магазине: \(p_{21} = 3\), \(p_{22}=4\).

Тогда Владу достаточно зайти только во второй магазин и купить в нем для первого друга подарок, приносящий радость \(3\), а для второго — приносящий радость \(4\). При этом величина \(\alpha\) будет равна \(\min\{3, 4\} = 3\).

Помогите Владу выбрать подарки для своих друзей так, чтобы значение \(\alpha\) было максимально возможным. Обратите внимание на то, что каждый друг должен получить один подарок. Влад может посетить не более \(n-1\) магазина (\(n\) — количество друзей). В магазине он может купить произвольное количество подарков.

Входные данные

В первой строке входных данных записано целое число \(t\) (\(1 \le t \le 10^4\)) — количество наборов входных данных в тесте.

Перед каждым набором в тесте записана пустая строка. Далее идёт строка, которая содержит целые числа \(m\) и \(n\) (\(2 \le n\), \(2 \le n \cdot m \le 10^5\)) через пробел — количество магазинов и количество друзей, где \(n \cdot m\) — это произведение \(n\) на \(m\).

Затем следуют \(m\) строк, содержащих по \(n\) чисел. Число в \(i\)-й строке и \(j\)-м столбце \(p_{ij}\) (\(1 \le p_{ij} \le 10^9\)) — радость от подарка, предназначенного для друга с номером \(j\) в магазине с номером \(i\).

Гарантируется, что сумма значений \(n \cdot m\) по всем наборам входных данных в тесте не превосходит \(10^5\).

Выходные данные

Выведите \(t\) строк, каждая из строк должна содержать ответ на соответствующий набор входных данных — максимальное возможное значение \(\alpha\), где \(\alpha\) — минимальная из радостей от подарка по всем друзьям Влада.

G. Необычный сапёр

Бинарный поиск *2000 поиск в глубину и подобное жадные алгоритмы сортировки снм

Поликарп очень любит играть в игру сапёр. Недавно он нашёл похожую игру и там такие правила.

На поле находятся мины, для каждой известны координаты её местоположения (\(x_i, y_i\)). Каждая мина имеет время жизни в секундах, после которого она взорвётся. После взрыва мина также детонирует все мины по вертикали и горизонтали на расстоянии \(k\) (две перпендикулярные линии). В итоге получаем взрыв на поле в виде символа «плюс» ('+'). Таким образом, один взрыв может вызвать новые взрывы, а новые взрывы — следующие и так далее.

Также Поликарп может сам взорвать одну любую мину в каждую секунду, начиная с нулевой. После этого также проходит цепная реакция взрывов. Мины взрываются моментально и также моментально детонируют другие мины по написанным выше правилам.

Поликарп хочет установить новый рекорд и просит вас помочь ему рассчитать, за какое минимальное количество секунд можно взорвать все мины.

Входные данные

В первой строке входных данных записано целое число \(t\) (\(1 \le t \le 10^4\)) — количество наборов входных данных в тесте.

Перед каждым набором в тесте записана пустая строка.

Далее идёт строка, которая содержит целые числа \(n\) и \(k\) (\(1 \le n \le 2 \cdot 10^5\), \(0 \le k \le 10^9\)) — количество мин и расстояние, которое задевают мины при взрыве, соответственно.

Затем следуют \(n\) строк, \(i\)-я из которых описывает \(x\) и \(y\) координаты \(i\)-й мины и время до её взрыва (\(-10^9 \le x, y \le 10^9\), \(0 \le timer \le 10^9\)). Гарантируется, что все мины имеют различные координаты.

Гарантируется, что сумма значений \(n\) по всем наборам входных данных в тесте не превосходит \(2 \cdot 10^5\).

Выходные данные

Выведите \(t\) строк, каждая из строк должна содержать ответ на соответствующий набор входных данных — минимальное количество секунд, за которое можно взорвать все мины.

Примечание
Первый набор входных данных примера.

Первый пример:

  • Секунда \(0\): взрываем мину в клетке \((2, 2)\) она никого не задевает так как \(k=0\).
  • Секунда \(1\): взрываем мину в клетке \((0, 1)\), а мина в клетке \((0, 0)\) взрывается сама.
  • Секунда \(2\): взрываем мину в клетке \((1, 1)\), а мина в клетке \((1, 0)\) взрывается сама.

Второй пример:

  • Секунда \(0\): взрываем мину в клетке \((2, 2)\) получаем:
  • Секунда \(1\): взрывается мина в клетке \((0, 0)\) и так как \(k=2\) взрыв задевает мины в клетках \((0, 1)\) и \((1, 0)\), а их взрывы задевают мину в клетке \((1, 1)\) и на поле не остаётся мин.

E. Новая школа

Бинарный поиск Структуры данных реализация дп жадные алгоритмы сортировки *2300

Вы решили открыть новую школу. Вы уже нашли \(n\) преподавателей и \(m\) групп учеников. Группа учеников \(i\) состоит из \(k_i \geq 2\) учеников. Вы знаете возраста всех преподавателей и всех учеников. Возраста преподавателей равны \(a_1, a_2, \ldots, a_n\), а возраста учеников в \(i\)-й группе равны \(b_{i, 1}, b_{i, 2}, \ldots, b_{i, k_i}\).

Чтобы начать занятия, осталось лишь назначить каждой группе учеников преподавателя. При этом должны выполняться следующие условия:

  • Каждой группе учеников назначен ровно один из преподавателей.
  • Каждому преподавателю назначено не более \(1\) группы учеников.
  • Для каждой группы, cреднее арифметическое возрастов учеников группы не превосходит возраста назначенного этой группе преподавателя.

Средним арифметическим множества \(x_1, x_2, \ldots, x_k\) из \(k\) чисел является значение \(\frac{x_1 + x_2 + \ldots + x_k}{k}\).

Недавно Вы узнали, что один из учеников решил отказаться от обучения в Вашей школе. После его отказа размер одной из групп учеников уменьшится на \(1\), все остальные группы останутся без изменений.

Вы не знаете, кто именно решил отказаться от обучения. Для каждого ученика определите, сможете ли Вы начать занятия в случае его отказа.

Обратите внимание, что не гарантируется, что до отказа ученика от обучения, было возможно начать занятия.

Входные данные

В первой строке задано одно целое число \(t\) (\(1 \leq t \leq 1000\)) — количество наборов входных данных. Далее следуют описания этих наборов.

В первой строке дано два числа \(n\) и \(m\) (\(1 \leq m \leq n \leq 10^5\)) — количество преподавателей и количество групп учеников.

Во второй строке дано \(n\) целых чисел \(a_1, a_2, \ldots, a_n\) (\(1 \leq a_i \leq 10^5\)) — возраста преподавателей.

В следующих \(2m\) строках содержатся описания групп.

В первой строке описания группы дано одно число \(k_i\) (\(2 \leq k_i \leq 10^5\)) — количество учеников в группе.

Во второй строке описания группы дано \(k_i\) целых чисел \(b_{i, 1}, b_{i, 2}, \ldots, b_{i, k_i}\) (\(1 \leq b_{i, j} \leq 10^5\)) — возраста учеников в этой группе.

Гарантируется, что сумма \(n\) по всем наборам входных данных не превосходит \(10^5\), и что сумма \(k_1 + k_2 + \ldots + k_m\) всех наборам входных данных не превосходит \(2 \cdot 10^5\).

Выходные данные

Для каждого набора входных данных выведите одну строку длины \(k_1 + k_2 + \ldots + k_m\), состоящую из символов \(0\) и \(1\). \(i\)-й символ этой строки должен быть равен \(1\), если в случае отказа \(i\)-го ученика можно будет начать занятия, и равен \(0\) иначе.

Ученики пронумерованы целыми числами от \(1\) до \(k_1 + k_2 + \ldots + k_m\) в том порядке, в котором они встречаются во входных данных. Таким образом, ученики \(1\)-й группы имеют номера \(1\), \(2\), \(\ldots\), \(k_1\), ученики \(2\)-й группы имеют номера \(k_1 + 1\), \(k_1 + 2\), \(\ldots\), \(k_1 + k_2\) и так далее.

Примечание

В первом наборе входных данных есть одна группа учеников с средним возрастом \(\frac{25+16+37}{3}=26\) и один преподаватель с возрастом \(30\). Существует единственный способ назначить каждой группе учеников преподавателя и начать занятия.

Если ученик возраста \(16\) откажется от обучения, среднее арифметическое возрастов в группе станет равно \(\frac{25+37}{2}=31\), и не будет существовать способа назначить каждой группе учеников преподавателя.

Во втором наборе входных данных невозможно начать занятия изначально. Но если \(3\)-й ученик возраста \(111\) откажется от обучения, средние возраста учеников в группах станут равны \(\frac{4 + 5}{2}=4.5\) и \(\frac{11+11}{2} = 11\) соответственно. Тогда можно назначить первой группе первого преподавателя, а второй группе — третьего преподавателя.

C. Присвоить или уменьшить

Бинарный поиск Перебор *1600 жадные алгоритмы сортировки

Вам задан целочисленный массив \(a_1, a_2, \dots, a_n\) и целое число \(k\).

За один шаг, вы можете

  • либо выбрать некоторый индекс \(i\) и уменьшить \(a_i\) на единицу (сделать \(a_i = a_i - 1\));
  • либо выбрать два индекса \(i\) и \(j\) и присвоить элементу \(a_i\) значение \(a_j\) (сделать \(a_i = a_j\)).

За какое наименьшее количество шагов вы можете сделать сумму массива \(\sum\limits_{i=1}^{n}{a_i} \le k\)? (В массиве разрешены отрицательные элементы).

Входные данные

В первой строке задано одно целое число \(t\) (\(1 \le t \le 10^4\)) — количество наборов входных данных.

Во первой строке каждого набора заданы два целых числа \(n\) и \(k\) (\(1 \le n \le 2 \cdot 10^5\); \(1 \le k \le 10^{15}\)) — размер массива \(a\) и верхнее ограничение на сумму.

Во второй строке каждого набора заданы \(n\) целых чисел \(a_1, a_2, \dots, a_n\) (\(1 \le a_i \le 10^9\)) — сам массив.

Гарантируется, что сумма \(n\) по всем наборам не превосходит \(2 \cdot 10^5\).

Выходные данные

Для каждого набора выведите одно число — наименьшее количество шагов для получения \(\sum\limits_{i=1}^{n}{a_i} \le k\).

Примечание

В первом наборе входных данных, вам нужно уменьшить \(a_1\) \(10\) раз, чтобы получить сумму не более \(k = 10\).

Во втором наборе, сумма массива \(a\) уже не превосходит \(69\), а потому вам не нужно ничего менять.

В третьем наборе, вы можете, например:

  1. присвоить \(a_4 = a_3 = 1\);
  2. уменьшить \(a_4\) на единицу, и получить \(a_4 = 0\).
В результате вы получите массив \([1, 2, 1, 0, 1, 2, 1]\) с суммой, не превосходящей \(8\), за \(1 + 1 = 2\) шага.

В четвертом наборе, вы можете, например:

  1. выбрать \(a_7\) и уменьшить его на один \(3\) раза; вы получите \(a_7 = -2\);
  2. выбрать \(4\) элемента \(a_6\), \(a_8\), \(a_9\) и \(a_{10}\) и присвоить им значение \(a_7 = -2\).
В результате вы получите массив \([1, 2, 3, 1, 2, -2, -2, -2, -2, -2]\) с суммой, меньше или равной \(1\), за \(3 + 4 = 7\) шагов.

C. Сбалансированные кучки камней

Бинарный поиск *1600 жадные алгоритмы

В ряд находятся \(n\) кучек камней. В \(i\)-й кучке изначально \(h_i\) камней. Вы хотите изменить число камней в кучках, выполнив следующий процесс один раз:

  • Вы идете по кучкам от \(3\)-й до \(n\)-й, в таком порядке.
  • Пусть \(i\) — номер текущей кучки.
  • Вы можете выбрать целое число \(d\) (\(0 \le 3 \cdot d \le h_i\)), переместить \(d\) камней из \(i\)-й кучки в \((i - 1)\)-ю кучку, и \(2 \cdot d\) камней из \(i\)-й кучки в \((i - 2)\)-ю.
  • Таким образом, \(h_i\) уменьшается на \(3 \cdot d\), \(h_{i - 1}\) увеличивается на \(d\), и \(h_{i - 2}\) увеличивается на \(2 \cdot d\).
  • Вы можете выбирать различные или одинаковые \(d\) для различных операций. Некоторые кучки могут стать пустыми, но они все еще считаются за кучки.

Какое наибольшее число камней в наименьшей кучке может получиться после завершения процесса?

Входные данные

Во входных данных находятся несколько наборов входных данных. В первой строке находится одно целое число \(t\) (\(1 \le t \le 2\cdot 10^5\)) — количество наборов входных данных. Далее следуют наборы входных данных.

Первая строка каждого набора входных данных содержит целое число \(n\) (\(3 \le n \le 2 \cdot 10^5\)).

Вторая строка каждого набора содержит \(n\) целых чисел \(h_1, h_2, h_3, \ldots, h_n\) (\(1 \le h_i \le 10^9\)).

Гарантируется, что сумма \(n\) по всем наборам входных данных не превосходит \(2 \cdot 10^5\).

Выходные данные

Для каждого набора входных данных выведите максимальное число камней, которое может содержать наименьшая по количеству камней кучка после завершения процесса.

Примечание

В первом примере изначально размеры кучек равны \([1, 2, 10, 100]\). Мы можем перемещать камни следующим образом.

  • переместить \(3\) и \(6\) камней с \(3\)-й кучки на \(2\)-ю и \(1\)-ю кучки соответственно. Размеры кучек будут равны \([7, 5, 1, 100]\);
  • Переместить \(6\) и \(12\) камней с последней кучки на \(3\)-ю и \(2\)-ю кучки соответственно. Размеры кучек будут равны \([7, 17, 7, 82]\).

Во втором наборе размер последней кучки равен \(1\) и мы не можем его увеличить.

В третьем наборе оптимально не перемещать никакие камни.

В четвертом примере можно достичь состояния, в котором размеры кучек равны \([3, 5, 3, 4, 3, 3]\).

D. Раскраска палиндромов

Строки Бинарный поиск *1400 жадные алгоритмы сортировки

У вас есть строка \(s\), состоящая из строчных букв латинского алфавита.

Вы можете покрасить некоторые буквы в цвета от \(1\) до \(k\). Необязательно красить все буквы. Для каждого цвета должна быть буква, покрашенная в этот цвет.

Затем вы можете сколько угодно раз менять местами любые два символа, покрашенные в один цвет.

После этого будет создано \(k\) строк, \(i\)-я из них будет содержать все символы, покрашенные в цвет \(i\), записанные в порядке их следования в строке \(s\).

Ваша задача покрасить символы строки так, чтобы все полученные \(k\) строк были палиндромами, а длина самой короткой из этих \(k\) строк была как можно больше.

Прочтите пояснение к первому набору входных данных примера, если вам требуется пояснение к условию задачи.

Напомним, что строка является палиндромом, если она читается одинаково как слева направо, так и справа налево. Например, строки abacaba, cccc, z и dxd являются палиндромами, а строки abab и aaabaa — нет.

Входные данные

Первая строка входных данных содержит единственное целое число \(t\) (\(1 \le t \le 10^4\)) — количество наборов входных данных в тесте.

Далее следуют описания наборов входных данных.

Первая строка описания каждого набора входных данных содержит два целых числа \(n\) и \(k\) (\(1 \le k \le n \le 2 \cdot 10^5\)) — длина строки и число цветов, в которые можно красить её буквы. Вторая строка описания каждого набора входных данных содержит строку \(s\) длины \(n\), состоящую из строчных букв латинского алфавита.

Гарантируется, что сумма длин всех строк в тесте не превосходит \(2 \cdot 10^5\).

Выходные данные

Для каждого набора входных данных выведите единственное целое число — максимальную длину самой короткой строки-палиндрома, которую возможно получить.

Примечание
  • В первом наборе входных данных \(s\)bxyaxzay», \(k=2\). Далее будем использовать индексы в строке от \(1\) до \(8\). Подойдет следующая раскраска: \(\mathtt{\mathbf{\color{red}{b}\color{blue}{xy}\color{red}{a}\color{blue}{x}z\color{red}{a}\color{blue}{y}}}\) (буква z осталась непокрашенной). После покраски:
    • поменяем местами два красных символа (с индексами \(1\) и \(4\)) местами, получим \(\mathtt{\mathbf{\color{red}{a}\color{blue}{xy}\color{red}{b}\color{blue}{x}z\color{red}{a}\color{blue}{y}}}\);
    • поменяем местами два синих символа (с индексами \(5\) и \(8\)) местами, получим \(\mathtt{\mathbf{\color{red}{a}\color{blue}{xy}\color{red}{b}\color{blue}{y}z\color{red}{a}\color{blue}{x}}}\).

    Теперь, если для каждого из двух цветов выписать соответствующие буквы слева направо, то получим две строки \(\mathtt{\mathbf{\color{red}{aba}}}\) и \(\mathtt{\mathbf{\color{blue}{xyyx}}}\). Обе они являются палиндромами, длина наименьшей равна \(3\). Можно показать, что большую длину наименее длинного палиндрома достичь нельзя.

  • Во втором наборе входных данных подойдёт такая раскраска: \([1, 1, 2, 2, 3, 3]\). Менять символы местами не нужно. Обе полученные строки равны aa, они являются палиндромами и их длина равна \(2\).
  • В третьем наборе входных данных можно покрасить любой символ и взять его в строку.
  • В четвёртом наборе входных данных можно покрасить \(i\)-й символ в цвет \(i\).
  • В пятом наборе входных данных можно покрасить в каждый из цветов по одному символу.
  • В шестом наборе входных данных подойдёт такая раскраска: \([1, 1, 1, 1, 1, 2, 2, 2, 2, 2, 0]\). Переставим символы так, чтобы получить палиндромы abcba и acbca.

F. Интеракдивная задача

Бинарный поиск Конструктив *2000 интерактив

Это интерактивная задача.

Мы решили сыграть с вами в игру и загадали число \(x\) (\(1 \le x < n\)), где число \(n\) вам известно.

Вы можете делать запросы следующего вида:

  • + c: эта команда осуществляет присвоение \(x = x + c\) (\(1 \le c < n\)), а затем возвращает вам значение \(\lfloor\frac{x}{n}\rfloor\) (\(x\) делить на \(n\) и округлить вниз).

Вы победите, если угадаете текущее число, сделав не больше \(10\) запросов.

Протокол взаимодействия

Взаимодействие начинается с чтения целого числа \(n\) (\(2 < n \le 1000\)), которое записано во входных данных на отдельной строке.

Далее вы можете сделать не более \(10\) запросов. Чтобы сделать запрос выведите в отдельной строке:

  • + c: эта команда выполнит присвоение \(x = x + c\) (\(1 \le c < n\)), а затем в отдельной строке выведет значение \(\lfloor\frac{x}{n}\rfloor\) (\(x\) делить на \(n\) и округлить вниз).

Ответ, как и запросы, выведите в отдельной строке. Вывод ответа не считается запросом при подсчёте их количества. Чтобы вывести его используйте следующий формат:

  • ! x: текущее значение \(x\).

После этого ваша программа должна завершить работу.

После вывода очередного запроса обязательно используйте функции очистки потока, чтобы часть вашего вывода не осталась в каком-нибудь буфере. Например, на С++ надо использовать функцию fflush(stdout), на Java вызов System.out.flush(), на Pascal flush(output) и stdout.flush() для языка Python.

Обратите внимание, что интерактор не является адаптивным.

Чтобы сделать взлом, используйте следующий формат: в единственной строке должны содержаться два числа \(x\) и \(n\), разделённые пробелом.

Примечание

В первом примере изначально \(x = 2\). После первого запроса значение \(x = 3\), а \(\lfloor\frac{x}{n}\rfloor = 1\).

Во втором примере также изначально \(x = 2\). После первого запроса значение \(x = 3\), а \(\lfloor\frac{x}{n}\rfloor = 0\). После второго — \(x = 4\), \(\lfloor\frac{x}{n}\rfloor = 0\). После третьего \(x=5\), \(\lfloor\frac{x}{n}\rfloor = 1\).

E2. Обновление котов (сложная версия)

Бинарный поиск Деревья Структуры данных *2800 поиск в глубину и подобное графы

Это сложная версия задачи. Единственным различием между простой и сложной версиями задачи является наличие запросов удаления: они присутствуют лишь в сложной версии.

Компания «Interplanetary Software, Inc.» вместе с компанией «Robots of Cydonia, Ltd.» разработала и выпустила роботов-котов. Эти электронные питомцы умеют мяукать, ловить мышей и всячески развлекать хозяина.

Недавно разработчики из «Interplanetary Software, Inc.» решили выпустить обновление программного обеспечения для этих роботов. После обновления коты должны уметь решать задачи, связанные со скобочными последовательностями. Одна из таких задач приведена ниже.

Сначала немного погрузимся в теорию скобочных последовательностей. Будем рассматривать строки, состоящие из символов «(», «)» и «.». Назовем строку правильной скобочной последовательностью (ПСП), если из нее можно получить пустую строку путем операций удаления одиночных символов «.» либо подряд идущих символов «()». Например, строка «(()(.))» является ПСП, т. к. с ней можно проделать следующую цепочку удалений:

«(()(.))» \(\rightarrow\) «(()())» \(\rightarrow\) «(())» \(\rightarrow\) «()» \(\rightarrow\) «».

Мы получили пустую строку, а это значит, что исходная строка является ПСП. В то же время, строка «)(» не является ПСП, поскольку к ней нельзя применить описанные выше операции удаления.

Будем называть ПСП простой, если эта ПСП непуста, не начинается на «.» и не заканчивается на «.».

Также будем считать, что подстрока строки \(s\) — это ее последовательный подотрезок. В частности, \(s[l\dots r] = s_ls_{l+1}\dots s_r\), где \(s_i\) — \(i\)-й символ строки \(s\).

Теперь перейдем к формулировке задачи. Вам дана строка \(s\), изначально состоящая из символов «(» и «)». Необходимо отвечать на следующие запросы:

  1. Даны индексы \(l\) и \(r\) (\(1 \le l < r \le n\)). Гарантируется, что \(l\)-й символ строки равен «(», \(r\)-й символ строки равен «)», а символы между ними равны «.». Тогда требуется сделать \(l\)-й и \(r\)-й символ равными «.».
  2. Даны индексы \(l\) и \(r\) (\(1 \le l < r \le n\)), причем гарантируется, что подстрока \(s[l\dots r]\) — простая ПСП. Требуется найти количество подстрок в \(s[l\dots r]\), которые являются простыми ПСП. Иными словами, необходимо найти количество пар индексов \(i\), \(j\) таких, что \(l \le i < j \le r\) и \(s[i\dots j]\) является простой ПСП.

Вы работаете в «Interplanetary Software, Inc.» и Вам поручили непростое задание: научить котов после обновления решать описанную выше задачу.

Входные данные

В первой строке входных данных находится два целых числа \(n\) и \(q\) (\(2 \le n \le 3\cdot10^5\), \(1 \le q \le 3\cdot10^5\)) — длина строки и количество запросов.

Во второй строке находится строка \(s\), состоящая из \(n\) символов «(» и «)».

В каждой из следующих \(q\) строк находится по три числа \(t\), \(l\) и \(r\) (\(t \in \{1, 2\}\), \(1 \le l < r \le n\)) — запросы, которые требуется обработать. Гарантируется, что все запросы корректны и удовлетворяют условию задачи.

Выходные данные

Для каждого запроса второго типа выведите по одному целому числу в отдельной строке — количество подстрок, которые являются простыми ПСП. Ответы требуется выводить в том же, порядке, в котором приведены сами запросы.

Примечание

Рассмотрим пример из условия.

Ответ на первый запрос равен \(3\), поскольку существует всего три требуемых подстроки: \(s[3\dots6]\), \(s[3\dots4]\) и \(s[5\dots6]\).

Ответ на второй запрос равен \(4\). Подходящие подстроки — \(s[3\dots6]\), \(s[3\dots4]\), \(s[5\dots6]\) и \(s[2\dots7]\).

После третьего запроса строка станет равной «)(..())()».

Ответ на четвертый запрос равен \(2\). Подходящие подстроки — \(s[5\dots6]\) и \(s[2\dots7]\). Обратите внимание, что \(s[3\dots6]\) больше не является простой ПСП, т. к. начинается с «.».

Ответ на пятый запрос равен \(4\). Подходящие подстроки — \(s[5\dots6]\), \(s[2\dots7]\), \(s[8\dots9]\) и \(s[2\dots9]\).

После шестого запроса строка станет равной «)(....)()».

После седьмого запроса строка станет равной «)......()».

Ответ на восьмой запрос равен \(1\). Подходящая подстрока — \(s[8\dots9]\).

C. Монстры и заклинания

Бинарный поиск Структуры данных математика реализация дп жадные алгоритмы *1700

Монокарп снова играет в компьютерную игру. Он ученик мага, поэтому знает только одно заклинание. К счастью, это заклинание может наносить урон монстрам.

Уровень, на котором он сейчас, содержит \(n\) монстров. \(i\)-й из них появляется через \(k_i\) секунд с начала уровня и имеет \(h_i\) очков здоровья. Дополнительно есть ограничение \(h_i \le k_i\) для всех \(1 \le i \le n\). Все \(k_i\) различны.

Монокарп может использовать заклинание в моменты времени, которые являются положительным целым количеством секунд с начала уровня: \(1, 2, 3, \dots\) Урон от заклинания считается следующим образом. Если он не использовал заклинание в предыдущую секунду, то урон равен \(1\). Иначе, пусть урон в прошлую секунду был равен \(x\). Тогда он может выбрать, чтобы урон был либо \(x + 1\), либо \(1\). Заклинание использует ману: использование заклинания с уроном \(x\) использует \(x\) маны. Мана не восстанавливается.

Чтобы убить \(i\)-го монстра, Монокарп должен использовать заклинание с уроном хотя бы \(h_i\) ровно в тот момент, когда появляется монстр, что равно \(k_i\).

Обратите внимание, что Монокарп может использовать заклинание и тогда, когда в текущую секунду монстра нет.

Количество маны, необходимое для использования всех заклинаний, — это сумма маны по всем использованным заклинаниям. Посчитайте наименьшее количество маны, которое потребуется Монокарпу, чтобы убить всех монстров.

Можно показать, что всегда можно убить всех монстров в рамках ограничений задачи.

Входные данные

В первой строке записано одно целое число \(t\) (\(1 \le t \le 10^4\)) — количество наборов входных данных.

В первой строке каждого набора входных данных записано одно целое число \(n\) (\(1 \le n \le 100\)) — количество монстров на уровне.

Во второй строке каждого набора входных данных записаны \(n\) целых чисел \(k_1 < k_2 < \dots < k_n\) (\(1 \le k_i \le 10^9\)) — количество секунд с начала уровня до появления \(i\)-го монстра. Все \(k_i\) различны, \(k_i\) заданы в порядке возрастания.

В третьей строке записаны \(n\) целых чисел \(h_1, h_2, \dots, h_n\) (\(1 \le h_i \le k_i \le 10^9\)) — здоровье \(i\)-го монстра.

Сумма \(n\) по всем наборам входных данных не превосходит \(10^4\).

Выходные данные

На каждый набор входных данных выведите одно целое число — наименьшее количество маны, которое потребуется Монокарпу, чтобы убить всех монстров.

Примечание

В первом наборе входных данных Монокарп может использовать заклинание через \(3, 4, 5\) и \(6\) секунд с начала уровня с уроном \(1, 2, 3\) и \(4\), соответственно. Урон в \(6\) секунду равен \(4\), что действительно больше или равно здоровью монстра, который появляется.

Во втором наборе входных данных Монокарп может использовать заклинание через \(3, 4\) и \(5\) секунд с начала уровня с уроном \(1, 2\) и \(3\), соответственно.

В третьем наборе входных данных Монокарп может использовать заклинание через \(4, 5, 7, 8\) и \(9\) секунд с начала уровня с уроном \(1, 2, 1, 1\) и \(2\), соответственно.

D. Турнир боевого искусства

Бинарный поиск Перебор математика *2100 жадные алгоритмы

Монокарп планирует провести соревнование по смешанным единоборствам. В нем будет три весовых категории: легкий вес, средний вес и тяжелый вес. Победитель в каждой категории определяется по системе плей-офф.

В частности, это подразумевает, что количество участников в каждой категории должно быть степенью двойки. Дополнительно в каждой категории должно быть ненулевое количество участников.

\(n\) участников уже зарегистрировались на соревнование, \(i\)-й из них весит \(a_i\). Чтобы разделить участников на категории, Монокарп планирует установить две целых границы весов \(x\) и \(y\) (\(x < y\)).

Все участники с весом строго меньше \(x\) будут считаться легким весов. Все участники с весом больше или равно \(y\), будут считаться тяжелым весом. Все остальные участники будут считаться средним весом.

Возможно, что распределение не сделает количество участников в каждой категории степенью двойки. Оно так же может сделать и пустые категории. Чтобы решить эти проблемы, Монокарп может пригласить любое количество участников в каждую категории.

Обратите внимание, что Монокарп не может выгнать никого из \(n\) участников, которые уже зарегистрировались на соревнование.

Однако, он хочет пригласить как можно меньше дополнительных участников. Помогите Монокарпу выбрать \(x\) и \(y\) таким образом, чтобы суммарное количество необходимых дополнительных участников было как можно меньше. Выведите это количество.

Входные данные

В первой строке записано одно целое число \(t\) (\(1 \le t \le 10^4\)) — количество наборов входных данных.

В первой строке каждого набора входных данных записано одно целое число \(n\) (\(1 \le n \le 2 \cdot 10^5\)) — количество зарегистрированных участников.

Во второй строке каждого набора входных данных записаны \(n\) целых чисел \(a_1, a_2, \dots, a_n\) (\(1 \le a_i \le n\)) — веса зарегистрированных участников.

Сумма \(n\) по всем наборам входных данных не превосходит \(2 \cdot 10^5\).

Выходные данные

На каждый набор входных данных выведите одно целое число — наименьшее количество дополнительных участников, которых Монокарпу необходимо пригласить после того, как он выберет границы весов \(x\) и \(y\).

Примечание

В первом наборе входных данных Монокарп может выбрать \(x=2\) и \(y=3\). Легкая, средняя и тяжелая весовые категории будут содержать \(2\), \(1\) и \(1\) участников, соответственно. Они все являются степенями двойки, поэтому дополнительных участников не нужно.

Во втором наборе входных данных вне зависимости от выбора \(x\) и \(y\) в одной категории будет \(1\) участник, в остальных — \(0\). Монокарпу придется пригласить \(1\) участника в обе из оставшихся категорий.

В третьем наборе входных данных Монокарп может выбрать \(x=1\) и \(y=2\). Легкая, средняя и тяжелая весовые категории будут содержать \(0\), \(3\) и \(3\) участников, соответственно. В каждую категорию придется пригласить по одному участнику.

В четвертом наборе входных данных Монокарп может выбрать \(x=8\) и \(y=9\). Легкая, средняя и тяжелая весовые категории будут содержать \(8\), \(0\) и \(0\) участников, соответственно. В среднюю и тяжелую категории придется пригласить по одному участнику.

A. MEX-массив

Бинарный поиск Конструктив математика реализация *1400 жадные алгоритмы

Магнус только что узнал о MEX, и он ему так понравился, что он решил сразу его использовать.

Учитывая массив \(a\) из \(n\) неотрицательных целых чисел, Магнус хочет создать новый массив \(b\), который сформирован следующим образом:

Пока массив \(a\) не пуст:

  • Выберите целое число \(k\) (\(1 \leq k \leq |a|\)).
  • Добавьте MEX первых \(k\) чисел массива \(a\) в конец массива \(b\) и удалите эти числа из массива \(a\), сдвинув позиции оставшихся чисел в \(a\).

Магнус любит большие массивы так же сильно, как и MEX, поэтому он хочет, чтобы новый массив \(b\) был лексикографически максимальным. Магнус просит вас сказать ему, какой лексикографически максимальный массив \(b\), он может создать, построив его оптимальным образом.

Массив \(x\) лексикографически больше массива \(y\), если в первой позиции, где \(x\) и \(y\) различаются \(x_i > y_i\), или если \(|x| > |y|\) и \(y\) — это префикс \(x\) (где \(|x|\) обозначает размер массива \(x\)).

MEX набора неотрицательных целых чисел — это минимальное неотрицательное целое число, которого нет в наборе. Например, MEX ({\({1, 2, 3}\)}) \(= 0\) и MEX ({\({0, 1, 2, 4, 5}\)}) \(= 3\).

Входные данные

Первая строка входных данных содержит единственное целое число \(t\) (\(1 \le t \le 100\)) — количество тестов. Описание тестовых примеров следует ниже.

Первая строка каждого тестового примера содержит единственное целое число \(n\) (\(1 \leq n \leq 2 \cdot 10^5\)) — количество элементов в массиве \(a\).

Вторая строка каждого тестового примера содержит \(n\) неотрицательных целых чисел \(a_1, \ldots, a_n\) (\(0 \leq a_i \leq n\)), где \(a_i\) — это \(i\)-е число из массива \(a\).

Гарантируется, что сумма \(n\) по всем тестам не превосходит \(2 \cdot 10^5\).

Выходные данные

Для каждого тестового примера выведите \(m\) — длину лексикографически максимального массива \(b\), который может создать Магнус, за которым следуют \(m\) целых чисел, обозначающие элементы массива \(b\).

Примечание

В первом наборе входных данных лексикографически максимальный массив \(b\) получается выбором \(k=5\), что приводит к \(MEX\) всего массива \(a\). Он лексикографически максимален, так как массив, начинающийся с меньшего числа, чем \(4\), лексикографически меньше, и выбор \(k<5\) приведет к массиву, начинающемуся с числа меньше чем \(4\).

Во втором наборе входных данных есть два способа получить максимальный массив: сначала выбрать \(k=6\), затем \(k=2\) или сначала выбрать \(k=7\), а затем \(k=1\).

E. Метеоритный город

Бинарный поиск Деревья Структуры данных снм *3100

Mihai живет в городе, где часто случаются метеоритные бури. Это раздражает, потому что Mihai иногда приходится покупать продукты, а попасть под метеориты крайне не весело. Поэтому мы просим вас найти самый опасный способ купить продукты, чтобы мы могли обманом заставить Mihai пойти туда.

В городе есть \(n\) зданий с номерами от \(1\) до \(n\). Между некоторыми зданиями есть дороги, и существует ровно \(1\) простой путь от любого здания к любому другому. Каждая дорога имеет определенный уровень метеоритной опасности. Во всех зданиях есть продуктовые магазины, но Mihai, конечно, интересуют только открытые магазины. Изначально все продуктовые магазины закрыты.

Вам задано \(q\) запросов трех типов:

  1. Учитывая целые числа \(l\) и \(r\), в зданиях с номерами от \(l\) до \(r\) открываются продуктовые магазины (ничего не происходит со зданиями, в которых уже открыт продуктовый магазин).
  2. Учитывая целые числа \(l\) и \(r\), здания с номерами от \(l\) до \(r\) закрывают свои продуктовые магазины (ничего не происходит со зданиями, в которых уже закрыт продуктовый магазин).
  3. Учитывая целое число \(x\), найдите максимальный уровень метеоритной опасности на простом пути от \(x\) до любого открытого продуктового магазина или \(-1\), если нет ни одной дороги на любом простом пути к любому открытому магазину.
Входные данные

В первой строке находятся два целых числа \(n\) и \(q\) (\(2 \le n, q \le 3\cdot 10^5\)).

Далее следует \(n - 1\) строка, \(i\)-я из которых содержит целые числа \(u_i\), \(v_i\) и \(w_i\) (\(1 \le u_i, v_i \le n, \enspace 1 \le w_i \le 10^9\)) — это означает, что между зданием \(u_i\) и \(v_i\) есть двусторонняя дорога с уровнем метеоритной опасности \(w_i\).

Гарантируется, что данные ребра образуют дерево.

Далее следует \(q\) строк, \(j\)-я из которых начинается с целого числа \(t_j\) (\(1 \le t_j \le 3\)) и означает, что \(j\)-й запрос относится к типу \(t_j\).

Если \(t_j\) равно \(1\) или \(2\), то остальная часть строки содержит целые числа \(l_j\) и \(r_j\) (\(1 \le l_j \le r_j \le n\)).

Если \(t_j\) равно \(3\), то остальная часть строки содержит целое число \(x_j\) (\(1 \le x_j \le n\)).

Выходные данные

Для каждого запроса типа \(3\) (\(t_j = 3\)) выведите максимальный уровень метеоритной опасности, который находится на некотором простом пути от \(x_j\) до некоторого открытого магазина, или \(-1\), если нет ни одной дороги на любом простом пути к любому открытому магазину.

Примечание

Это иллюстрация города, представленного во входных данных примера.

В первом запросе открытых магазинов нет, поэтому очевидно, что нет ребер на простом пути от \(1\) до любого открытого магазина, поэтому ответ \(-1\).

После второго и третьего запросов набор открытых магазинов равен \(\{1\}\). Простой путь от \(1\) до \(1\) не имеет ребер, поэтому ответ для запроса \(3\) равен \(-1\).

После четвертого запроса открытых магазинов нет.

После пятого и шестого запросов набор открытых магазинов равен \(\{5, 6\}\). В шестом запросе есть два пути от \(x_j = 4\) до некоторого открытого продуктового магазина: От \(4\) до \(5\) и от \(4\) до \(6\). Самая большая метеоритная опасность находится на пути от \(4\) до \(6\), так что ответ на запрос \(6\) будет \(4\). На рисунке этот путь отмечен красным.

После остальных запросов набор открытых магазинов равен \(\{5\}\).

В восьмом запросе единственный путь от \(x_j = 4\) к открытому магазину от \(4\) до \(5\), а максимальная метеоритная опасность на этом пути составляет \(3\). На рисунке этот путь отмечен зеленым.

В девятом запросе единственный путь от \(x_j = 1\) к открытому магазину от \(1\) до \(5\), а максимальная метеоритная опасность на этом пути равна \(5\). На рисунке этот путь отмечен синим цветом.

F. Управление кризисом космических кораблей

Бинарный поиск Структуры данных геометрия сортировки *3500

NASA (Норвежская ассоциация астронавтов) разрабатывает новую систему управления космических кораблей. Но в нынешнем состоянии было бы небезопасно, если бы космический корабль оказался в кучке космического мусора. Чтобы система рулевого управления была безопасной, им необходимо ответить на следующее:

Для целевой позиции \(t = (0, 0)\), набора из \(n\) кусков космического мусора \(l\), описанного отрезками \(l_i = ((a_{ix}, a_{iy}), (b_{ix}, b_{iy}))\) и начальной позиции \(s = (s_x, s_y)\), определите существует ли такое направление, что плавание в этом направлении из начальной позиции приведет к целевой позиции.

Когда космический корабль сталкивается с куском космического мусора, то, что происходит дальше, зависит от абсолютной разницы углов между направлением плавания и отрезком космического мусора, \(\theta\):

  • Если \(\theta < 45^{\circ}\), то космический корабль скользит по куску космического мусора в направлении, минимизирующем изменение угла, а когда космический корабль оказывается на краю космического мусора, он продолжает двигаться в том же направлении как и до столкновения.
  • Если \(\theta \ge 45^{\circ}\), то космический корабль останавливается, потому что трение слишком велико, чтобы скользить по космическому мусору.

Вам дается набор кусочков космического мусора только один раз, целевая позиция всегда \((0, 0)\), но есть \(q\) запросов, каждый с начальной позицией \(s_j = (s_{jx}, s_{jy})\).

Ответьте на приведенный выше вопрос для каждого запроса.

Входные данные

В первой строке записано целое число \(n\) (\(1 \le n \le 1500\)).

Далее следует \(n\) строк, в \(i\)-й из которых содержатся \(4\) целых числа \(a_{ix}\), \(a_{iy}\), \(b_{ix}\) и \(b_{iy}\) (\(|a_{ix}|, |a_{iy}|, |b_{ix}|, |b_{iy}| \le 1000\)).

Затем следует строка, содержащая целое число \(q\) (\(1 \le q \le 1000\)).

Далее следует \(q\) строк, \(j\)-я из которых содержит \(2\) целых числа \(s_{jx}\) и \(s_{jy}\) (\(|s_{jx}|, |s_{jy}| \le 1000\)).

Гарантируется, что ни одна пара отрезков в наборе \(l\) не пересекается и не соприкасается, \(t\) не находится ни на одном отрезке из \(l\), \(s_j\) не находится ни на одном отрезке из \(l\) и \(s \neq t\).

Выходные данные

На каждый запрос \(s_j\) выведите ответ. Если существует такое направление, что плавание от \(s_j\) в этом направлении, возможно, скользя по некоторым частям космического мусора, приводит к \(t\), выведите «YES». В противном случае выведите «NO» (без учета регистра).

Примечание

Синий крест представляет собой целевое местоположение, а другие отрезки синей линии представляют космический мусор.

Зеленые точки обозначают начальные местоположения, где ответ положительный, а красные точки обозначают начальные местоположения, где ответ отрицательный.

Желтые линии — это возможные пути к целевому местоположению для запросов \(3\) и \(14\).

Черная линия — это возможный путь от начального местоположения в запросе \(6\), но он немного не попадает в целевое местоположение.

B. Лемминги

Бинарный поиск *2000

Как известно, лемминги любят прыгать. Для очередного эффектного группового прыжка n леммингов собрались у высокой скалы, на которой расположены k удобных уступов. Первый уступ расположен на высоте h метров, второй — на высоте 2h, и так далее (i-ый на высоте i·h метров). Лемминги собираются прыгать на закате, до которого осталось не так много времени.

Каждый лемминг характеризуется скоростью подъёма vi метров в минуту и массой mi. Это означает, что i-й лемминг может взобраться на j-й уступ за время минут.

Чтобы прыжок получился красивым, более тяжелые лемминги должны прыгать с более высоких уступов: если лемминг массой mi прыгает с уступа i, а лемминг массой mj прыгает с уступа j (для i < j), то должно выполняться неравенство mi ≤ mj.

Так как леммингов n, а уступов всего k (k ≤ n), то из n леммингов предстоит выбрать k, которые примут участие в прыжке. Выбранных леммингов нужно распределить по уступам с 1 по k по одному леммингу на уступ. Лемминги должны быть упорядочены в порядке неубывания массы с возрастанием высоты уступа. Кроме того, каждый лемминг должен успеть подняться на свой уступ, то есть время его подъёма не должно превышать t минут. Лемминги карабкаются на свои уступы все одновременно и не мешают друг другу.

Определите способ организовать прыжок леммингов таким образом, чтобы время t было минимально.

Входные данные

В первой строке через пробел заданы целые числа n, k и h (1 ≤ k ≤ n ≤ 105, 1 ≤ h ≤ 104) — общее количество леммингов, количество уступов и расстояние между соседними уступами.

Во второй строке через пробел записаны n целых чисел m1, m2, ..., mn (1 ≤ mi ≤ 109), где mi — масса i-го лемминга.

В третьей строке через пробел записаны n целых чисел v1, v2, ..., vn (1 ≤ vi ≤ 109), где vi — скорость i-го лемминга.

Выходные данные

Выведите k различных чисел от 1 до n — номера леммингов, которые отправятся на уступы на высотах h, 2h, ..., kh, соответственно, при оптимальном способе организации прыжка. Если существует несколько способов выбрать леммингов, выведите любой.

Примечание

Рассмотрим первый тестовый пример. Пятый лемминг со скоростью 10 забирается на уступ на высоте 2 за минуты; второй лемминг со скоростью 2 забирается на уступ на высоте 4 за 2 минуты; четвертый лемминг со скоростью 2 забирается на уступ на высоте 6 за 3 минуты. Все лемминги успевают занять свои места за 3 минуты.

B. Отрезок и разбиение

Бинарный поиск Структуры данных Конструктив *1800 жадные алгоритмы

Дан массив \(a\), состоящий из \(n\) целых чисел. Найдите отрезок значений \([x, y]\) (\(x \le y\)) и разбейте \(a\) на ровно \(k\) (\(1 \le k \le n\)) подмассивов таких, что:

  • Каждый подмассив состоит из нескольких последовательных элементов \(a\), то есть он равен \(a_l, a_{l+1}, \ldots, a_r\) для некоторых \(l\) и \(r\) (\(1 \leq l \leq r \leq n\)).
  • Каждый элемент \(a\) принадлежит ровно одному подмассиву.
  • Для каждого подмассива количество элементов внутри отрезка \([x, y]\) (включительно) строго больше, чем количество элементов вне этого отрезка. Элемент с индексом \(i\) находится внутри отрезка \([x, y]\), если и только если \(x \le a_i \le y\).

Напечатайте любое решение, минимизирующее \(y - x\).

Входные данные

Каждый тест состоит из нескольких наборов входных данных. Первая строка ввода содержит одно целое число \(t\) (\(1 \leq t \leq 3 \cdot 10^4\)) — количество наборов входных данных. Далее следует их описание.

Первая строка каждого набора содержит два целых числа \(n\) и \(k\) (\(1 \le k \le n \le 2 \cdot 10^5\)) – длина массива \(a\) и количество подмассивов, на которые нужно разбить изначальный массив.

Вторая строка каждого набора содержит \(n\) целых чисел \(a_1, a_2, \ldots, a_n\) (\(1 \le a_i \le n\)), где \(a_i\) равен \(i\)-му элементу массива.

Гарантируется, что сумма \(n\) по всем наборам входных данных не превосходит \(2\cdot10^5\)

Выходные данные

Для каждого набора входных данных выведите \(k+1\) строк.

В первой строке выведите \(x\) и \(y\) — границы найденного отрезка.

Затем выведите \(k\) строк: \(i\)-я строка должна содержать \(l_i\) и \(r_i\) (\(1\leq l_i \leq r_i \leq n\)) — границы \(i\)-го подмассива.

Вы можете выводить подмассивы в любом порядке.

Примечание

В первом наборе входных данных должен быть только один подмассив, который обязан совпадать со всем массивом. Внутри отрезка \([1, 2]\) содержится \(2\) элемента, а вне его – \(0\). Если выбрать отрезок \([1, 1]\), то внутри него будет содержаться \(1\) элемент (\(a_1\)), вне его будет содержаться \(1\) элемент (\(a_2\)), и ответ будет некорректным.

Во втором наборе можно выбрать отрезок \([2, 2]\) и разбить массив на подмассивы \((1, 3)\) и \((4, 4)\). В подмассиве \((1, 3)\) \(2\) элемента содержатся внутри отрезка (\(a_2\) и \(a_3\)) и \(1\) элемент вне его (\(a_1\)). В подмассиве \((4, 4)\) содержится \(1\) элемент (\(a_4\)), лежащий внутри отрезка.

В третьем наборе можно выбрать отрезок \([5, 5]\) и разбить массив на подмассивы \((1, 4)\), \((5, 7)\) и \((8, 11)\). В подмассиве \((1, 4)\) содержится \(3\) элемента, лежащих внутри отрезка, и \(1\) элемент, лежащий вне его. В подмассиве \((5, 7)\) содержится \(2\) элемента, лежащих внутри отрезка, и \(1\) элемент, лежащий вне его. В подмассиве \((8, 11)\) содержится \(3\) элемента, лежащих внутри отрезка, и \(1\) элемент, лежащий вне его.

C. Странная контрольная

Бинарный поиск Перебор математика *1600 дп битмаски

Игорь учится в 11-м классе. Завтра ему предстоит написать контрольную работу по информатике у самого строгого преподавателя школы — Павла Денисовича.

Игорь заранее знает, как будет проходить контрольная: изначально преподаватель даст каждому ученику, включая Игоря, два целых положительных числа \(a\) и \(b\) (\(a < b\)). Затем ученик может неограниченное количество раз производить с числами следующие операции:

  • \(a := a + 1\) (увеличить \(a\) на \(1\)),
  • \(b := b + 1\) (увеличить \(b\) на \(1\)),
  • \(a := a \ | \ b\) (заменить \(a\) на побитовое ИЛИ \(a\) и \(b\)).

Чтобы получить максимальный балл за контрольную работу, ученику необходимо за минимальное количество операций сделать \(a\) равным \(b\).

Игорь заранее знает, какие числа даст ему учитель, и, конечно же, хочет получить максимальный балл за контрольную работу. Помогите ему понять, какое минимальное количество операций необходимо, чтобы сделать \(a\) равным \(b\).

Входные данные

Первая строка содержит единственное целое число \(t\) (\(1 \le t \le 10^4\)) — количество наборов входных данных. Далее следует описание наборов входных данных.

Единственная строка описания каждого набора входных данных содержит два целых числа \(a\) и \(b\) (\(1 \le a < b \le 10^6\)).

Гарантируется, что сумма \(b\) по всем наборам входных данных не превышает \(10^6\).

Выходные данные

Для каждого набора входных данных выведите единственное число — за какое минимальное количество операций можно сделать \(a\) равным \(b\).

Примечание

В первом наборе оптимально применить третью операцию.

Во втором наборе оптимально применить первую операцию три раза подряд.

В третьем наборе оптимально применить вторую операцию и потом третью операцию.

D. Новогодний концерт

Бинарный поиск Структуры данных математика теория чисел *2000 жадные алгоритмы

Новый год совсем близко, а это значит, что в 179-й школе уже полным ходом идет подготовка к новогоднему концерту.

Всего в школе есть \(n\) классов, пронумерованных целыми числами от \(1\) до \(n\), \(i\)-й класс подготовил сценку продолжительностью \(a_i\) минут.

Иднар, как главный за проведение новогоднего концерта, знает, что если на концерте будет \(k\) сценок продолжительностями \(b_1\), \(b_2\), \(\ldots\), \(b_k\) минут, то зрителям станет скучно, если найдутся \(l\) и \(r\) такие, что \(1 \le l \le r \le k\) и \(\gcd(b_l, b_{l + 1}, \ldots, b_{r - 1}, b_r) = r - l + 1\), где \(\gcd(b_l, b_{l + 1}, \ldots, b_{r - 1}, b_r)\) обозначает наибольший общий делитель (НОД) чисел \(b_l\), \(b_{l + 1}\), \(\ldots\), \(b_{r - 1}\), \(b_r\).

Чтобы во время концерта зрителям не стало скучно, Иднар может сколько угодно раз (возможно, ноль) попросить \(t\)-й класс (\(1 \le t \le k\)) сделать другую сценку продолжительностью \(d\), где \(d\) может быть любым целым положительным числом. Таким образом, после данной операции \(b_t\) станет равно \(d\). Заметьте, что \(t\) и \(d\) для разных операций могут быть различными.

Для последовательности продолжительностей сценок \(b_1\), \(b_2\), \(\ldots\), \(b_{k}\) определим функцию \(f(b)\) как минимальное количество классов, у которых Иднар должен попросить заменить сценку, чтобы зрителям не стало скучно.

Иднар еще точно не определился, какие сценки будут допущены на концерт, поэтому хочет узнать значение функции \(f\) от каждого из непустых префиксов \(a\). Иными словами, Иднар хочет узнать значения \(f(a_1)\), \(f(a_1\),\(a_2)\), \(\ldots\), \(f(a_1\),\(a_2\),\(\ldots\),\(a_n)\).

Входные данные

Первая строка содержит единственное целое число \(n\) (\(1 \le n \le 2 \cdot 10^5\)) — количество классов в школе.

Вторая строка содержит \(n\) целых чисел \(a_1\), \(a_2\), \(\ldots\), \(a_n\) (\(1 \le a_i \le 10^9\)) — продолжительности сценок классов.

Выходные данные

В единственной строке через пробел выведите последовательность из \(n\) чисел — \(f(a_1)\), \(f(a_1\),\(a_2)\), \(\ldots\), \(f(a_1\),\(a_2\),\(\ldots\),\(a_n)\).

Примечание

В первом тесте можно заменить \(1\) на \(2\), поэтому ответ \(1\).

Во втором тесте:

  • \([1]\) можно преобразовать в \([2]\),
  • \([1, 4]\) можно преобразовать в \([3, 4]\),
  • \([1, 4, 2]\) можно преобразовать в \([2, 3, 2]\).

E1. Дистанционное дерево (простая версия)

Бинарный поиск Деревья Структуры данных поиск в глубину и подобное *2400 графы кратчайшие пути

Эта версия задачи отличается от следующей только ограничением на \(n\).

Дерево — это связный неориентированный граф без циклов. Взвешенное дерево — это такое дерево, в котором у каждого ребра есть некоторый вес. Расстояние между вершинами — минимальная сумма весов на пути между ними.

Дано взвешенное дерево c \(n\) вершинами, у каждого ребра вес \(1\). Введём \(d(v)\) как расстояние между вершиной \(1\) и вершиной \(v\).

Пусть \(f(x)\) равно минимально возможному значению \(\max\limits_{1 \leq v \leq n} \ {d(v)}\), если можно временно добавить одно ребро веса \(x\) между любыми двумя вершинами \(a\) и \(b\) \((1 \le a, b \le n)\). Обратите внимание, что после этой операции граф уже не является деревом.

Для каждого целого числа \(x\) от \(1\) до \(n\) найдите \(f(x)\).

Входные данные

Первая строка содержит одно целое число \(t\) (\(1 \le t \le 10^4\)) — количество наборов входных данных.

Первая строка каждого набора входных данных содержит одно целое число \(n\) (\(2 \le n \le 3000\)).

Каждая из следующих \(n−1\) строк содержит два целых числа \(u\) и \(v\) (\(1 \le u,v \le n\)), указывающих на наличие ребра между вершинами \(u\) и \(v\). Гарантируется, что заданные ребра образуют дерево.

Гарантируется, что сумма \(n\) по всем наборам входных данных не превышает \(3000\).

Выходные данные

Для каждого набора входных данных выведите в одной строке \(n\) целых чисел, \(x\)-е из которых равно \(f(x)\) для всех \(x\) от \(1\) до \(n\).

Примечание
В первом наборе входных данных:
  • Для \(x = 1\) мы можем добавить ребро между вершинами \(1\) и \(3\), после чего \(d(1) = 0\) и \(d(2) = d(3) = d(4) = 1\), поэтому \(f(1) = 1\).
  • Для \(x \ge 2\), вне зависимости от того, какое ребро мы добавим, \(d(1) = 0\), \(d(2) = d(4) = 1\) и \(d(3) = 2\), поэтому \(f(x) = 2\).

E2. Дистанционное дерево (сложная версия)

Бинарный поиск Деревья поиск в глубину и подобное *2700 кратчайшие пути

Эта версия задачи отличается от предыдущей только ограничением на \(n\).

Дерево — это связный неориентированный граф без циклов. Взвешенное дерево — это такое дерево, в котором у каждого ребра есть некоторый вес. Расстояние между вершинами — минимальная сумма весов на пути между ними.

Дано взвешенное дерево c \(n\) вершинами, у каждого ребра вес \(1\). Введём \(d(v)\) как расстояние между вершиной \(1\) и вершиной \(v\).

Пусть \(f(x)\) равно минимально возможному значению \(\max\limits_{1 \leq v \leq n} \ {d(v)}\), если можно временно добавить одно ребро веса \(x\) между любыми двумя вершинами \(a\) и \(b\) \((1 \le a, b \le n)\). Обратите внимание, что после этой операции граф уже не является деревом.

Для каждого целого числа \(x\) от \(1\) до \(n\) найдите \(f(x)\).

Входные данные

Первая строка содержит одно целое число \(t\) (\(1 \le t \le 10^4\)) — количество наборов входных данных.

Первая строка каждого набора входных данных содержит одно целое число \(n\) (\(2 \le n \le 3 \cdot 10^5\))

Каждая из следующих \(n−1\) строк содержит два целых числа \(u\) и \(v\) (\(1 \le u,v \le n\)), указывающих на наличие ребра между вершинами \(u\) и \(v\). Гарантируется, что заданные ребра образуют дерево.

Гарантируется, что сумма \(n\) по всем наборам входных данных не превышает \(3 \cdot 10^5\).

Выходные данные

Для каждого набора входных данных выведите в одной строке \(n\) целых чисел, \(x\)-е из которых равно \(f(x)\) для всех \(x\) от \(1\) до \(n\).

Примечание
В первом наборе входных данных:
  • Для \(x = 1\) мы можем добавить ребро между вершинами \(1\) и \(3\), после чего \(d(1) = 0\) и \(d(2) = d(3) = d(4) = 1\), поэтому \(f(1) = 1\).
  • Для \(x \ge 2\), вне зависимости от того, какое ребро мы добавим, \(d(1) = 0\), \(d(2) = d(4) = 1\) и \(d(3) = 2\), поэтому \(f(x) = 2\).

E. Запросы об остовном дереве

Бинарный поиск Деревья Структуры данных математика поиск в глубину и подобное жадные алгоритмы *2400 сортировки графы снм

Задан связный взвешенный неориентированный граф, состоящий из \(n\) вершин и \(m\) ребер.

К нему задаются \(k\) запросов. Каждый запрос состоит из одного целого числа \(x\). На каждый запрос вы должны выбрать остовное дерево в графе. Пусть веса его ребер будут \(w_1, w_2, \dots, w_{n-1}\). Стоимость остовного дерева равна \(\sum \limits_{i=1}^{n-1} |w_i - x|\) (сумма абсолютных разностей между весами и \(x\)). Ответ на запрос — это минимальная стоимость остовного дерева.

Запросы даны в сжатом формате. Первые \(p\) \((1 \le p \le k)\) запросов \(q_1, q_2, \dots, q_p\) даны явно. Для запросов с \(p+1\) по \(k\) выполняется \(q_j = (q_{j-1} \cdot a + b) \mod c\).

Выведите исключающее или ответов на все запросы.

Входные данные

В первой строке записаны два целых числа \(n\) и \(m\) (\(2 \le n \le 50\); \(n - 1 \le m \le 300\)) — количество вершин и количество ребер в графе.

В каждой из следующих \(m\) строк содержится описание неориентированного ребра: три целых числа \(v\), \(u\) и \(w\) (\(1 \le v, u \le n\); \(v \neq u\); \(0 \le w \le 10^8\)) — вершины, которые соединяет ребро, и его вес. Обратите внимание, что между парой вершин может быть несколько ребер. Ребра образуют связный граф.

В следующей строке записаны пять целых чисел \(p, k, a, b\) и \(c\) (\(1 \le p \le 10^5\); \(p \le k \le 10^7\); \(0 \le a, b \le 10^8\); \(1 \le c \le 10^8\)) — количество запросов, заданных явно, общее количество запросов и параметры для генерации запросов.

В следующей строке записаны \(p\) целых чисел \(q_1, q_2, \dots, q_p\) (\(0 \le q_j < c\)) — первые \(p\) запросов.

Выходные данные

Выведите одно целое число — исключающее или ответов на все запросы.

Примечание

Запросы в первом примере: \(0, 1, 2, 3, 4, 5, 6, 7, 8, 9, 0\). Ответы: \(11, 9, 7, 3, 1, 5, 8, 7, 5, 7, 11\).

Запросы во втором примере: \(3, 0, 2, 1, 6, 0, 3, 5, 4, 1\). Ответы: \(14, 19, 15, 16, 11, 19, 14, 12, 13, 16\).

Запросы в третьем примере: \(75, 0, 0, \dots\). Ответы: \(50, 150, 150, \dots\).

E. Лучшая пара

Бинарный поиск Перебор реализация *2100

Дан массив \(a\) размера \(n\). Пусть \(cnt_x\) — количество элементов исходного массива, равных \(x\). Определим \(f(x, y)\) как \((cnt_x + cnt_y) \cdot (x + y)\).

Также даны \(m\) плохих пар \((x_i, y_i)\). Обратите внимание, что если \((x, y)\) плохая пара, то \((y, x)\) тоже плохая.

Найдите максимальное значение \(f(u, v)\) по всем парам \((u, v)\) таким, что \(u \neq v\), что эта пара не является плохой, а также что числа \(u\) и \(v\) встречаются в массиве \(a\). Гарантируется, что хотя бы одна такая пара существует.

Входные данные

В первой строке задано одно целое число \(t\) (\(1 \le t \le 10\,000\)) — количество наборов входных данных.

Первая строка набора содержит два целых числа \(n\) и \(m\) (\(2 \le n \le 3 \cdot 10^5\), \(0 \le m \le 3 \cdot 10^5\)) — длину массива и количество плохих пар.

Вторая строка набора содержит \(n\) целых чисел \(a_1, a_2, \ldots, a_n\) (\(1 \le a_i \le 10^9\)) — элементы массива.

\(i\)-я из следующих \(m\) строк содержат два целых числа \(x_i\) и \(y_i\) (\(1 \le x_i < y_i \le 10^9\)) — очередную плохую пару. Гарантируется, что ни одна пара не вводится два раза. Также гарантируется, что \(cnt_{x_i} > 0\) и \(cnt_{y_i} > 0\).

Гарантируется, что в каждом наборе входных данных существует хотя бы одна пара чисел \((u, v)\), \(u \ne v\), не являющаяся плохой, такая, что оба этих числа встречаются в массиве \(a\).

Гарантируется, что сумма \(n\) и сумма \(m\) не превосходят \(3 \cdot 10^5\).

Выходные данные

Для каждого набора входных данных выведите единственное целое число — ответ на задачу.

Примечание

В первом тестовом случае в массиве встречаются значения \(3\), \(6\), \(7\).

  • \(f(3, 6) = (cnt_3 + cnt_6) \cdot (3 + 6) = (3 + 2) \cdot (3 + 6) = 45\). Но пара \((3, 6)\) плохая, поэтому её не учитываем.
  • \(f(3, 7) = (cnt_3 + cnt_7) \cdot (3 + 7) = (3 + 1) \cdot (3 + 7) = 40\).
  • \(f(6, 7) = (cnt_6 + cnt_7) \cdot (6 + 7) = (2 + 1) \cdot (6 + 7) = 39\).

Ответ на задачу \(\max(40, 39) = 40\).

D. Минимальный диаметр

Бинарный поиск Перебор *3100

Вам даны n точек на плоскости. Нужно удалить ровно k из них (k < n) так, чтобы диаметр набора оставшихся n - k точек был минимальным. Диаметром набора точек называется максимальное из попарных расстояний между точками набора. Диаметр набора, состоящего из одной точки, равен нулю.

Входные данные

В первой строке входных данных записана пара целых чисел n, k (2 ≤ n ≤ 1000, 1 ≤ k ≤ 30, k < n) — количество точек в наборе и количество точек для удаления, соответственно.

Следующие n строк содержат описание набора точек, по одному описанию в строке. Каждое описание состоит из пары целых чисел xi, yi (0 ≤ xi, yi ≤ 32000) — координат i-ой точки. Точки в наборе могут совпадать.

Выходные данные

Выведите k различных целых чисел от 1 до n — номера точек, которые следует удалить. Точки пронумерованы в порядке их задания во входных данных от 1 до n. Номера можно выводить в любом порядке. Числа выведите в одну строку через пробел. Если решений несколько, выведите любое из них.

C. Анонимность наше все

Бинарный поиск Перебор Структуры данных жадные алгоритмы сортировки *2200 снм

В работе врача важно сохранять анонимность своих клиентов и результатов анализов. Результаты теста отправляются каждому лично по электронной почте, но люди очень нетерпеливые и им хочется узнавать результаты сразу.

Именно поэтому в одном центре для сдачи анализов «Девитро» придумали экспериментальный способ сообщать результаты. Пусть всего анализы сдавало \(n\) человек в порядке очереди. Тогда главврач Стас может сделать несколько сообщений, в каждом из которых сообщить, был ли больной человек среди людей в очереди от \(l\)-го до \(r\)-го (включительно) для некоторых значений \(l\) и \(r\).

В процессе Стас будет проверять, насколько хорошо работает эта схема, и будет интересоваться, можно ли однозначно узнать результат анализа \(i\)-го человека по уже сообщенной информации. И если это сделать можно, то болен ли этот человек.

Помогите Стасу протестировать свою схему.

Входные данные

В первой строке находится два целых числа \(n\) и \(q\) (\(1 \le n, q \le 2 \cdot 10^5\)) — количество людей, сдавших анализы и количество запросов.

В каждой из следующих \(q\) строк находится описание запросов. Первое число в строке \(t\) (\(t = 0\) или \(t = 1\)) — тип запроса.

Если \(t = 0\), то дальше в этой строке находятся еще три целых числа \(l, r, x\) (\(1 \le l \le r \le n\), \(x = 0\) или \(x = 1\)). Этот запрос соответствует тому, что Стас сообщает, что среди людей от \(l\)-го до \(r\)-го (включительно) в очереди:

  • был больной, если \(x=1\),
  • не было больного, если \(x=0\).

Если \(t = 1\), то дальше в этой строке находится одно целое число \(j\) (\(1 \le j \le n\)) — номер пациента в очереди, чья конфиденциальность волнует Стаса.

Гарантируется, что все запросы корректны, то есть всегда существует пример очереди длины \(n\), для которой все озвученные результаты (утверждения из запросов, где \(t = 0\)) корректны.

Выходные данные

После каждого вопроса Стаса (запроса с \(t = 1\)) выведите:

  • «NO», если пациент однозначно не болен,
  • «YES», если пациент однозначно болен,
  • «N/A», если по имеющейся информации нельзя однозначно сказать, болен пациент или нет.
Примечание

В первом тесте для первых пяти запросов:

  1. Изначально Стас сообщает, что среди \(4\), \(5\) людей нет больных.
  2. В следующем запросе Стас интересуется конфиденциальностью человека \(5\). Из предыдущего запроса мы знаем, что он однозначно не болен.
  3. В следующем запросе Стас интересуется конфиденциальностью человека \(6\). Мы не знаем про него вообще никакой информации, поэтому он может быть как болен, так и не болен.
  4. Затем Стас сообщает, что среди \(4\), \(5\), \(6\) людей есть больной.
  5. В следующем запросе Стас интересуется конфиденциальностью человека \(6\). Теперь мы можем однозначно сказать, что он болен, потому что из предыдущего запроса среди трех человек болен мог быть только он.

B. Ночная работа

Бинарный поиск реализация *1500

Однажды Васе поручили очень важное задание — написать за ночь программу, которая состоит из n строк кода. Вася уже очень устал и поэтому работает по следующей схеме: сначала он пишет v строк кода, выпивает стакан чая, после чего пишет уже строк, опять выпивает стакан чая, после пишет строк и так далее: , , , ...

Под выражением понимается целая часть от деления числа a на число b.

Как только текущая величина станет равной 0, Вася немедленно засыпает и просыпается только утром, когда программа должна быть уже полностью написана.

Васе интересно, какое наименьшее допустимое значение может принимать величина v, чтобы успеть написать не менее n строк кода до того момента, как он заснет.

Входные данные

Входные данные состоят из двух целых чисел n и k, записанных через пробел — размер программы в строках и коэффициент уменьшения производительности, 1 ≤ n ≤ 109, 2 ≤ k ≤ 10.

Выходные данные

Выведите единственное целое число — минимальное значение величины v, при котором Вася успеет написать программу за ночь.

Примечание

В первом примере при v = 4 Вася будет печатать код следующим образом: сначала 4 строки, потом 2, потом 1, а затем Вася уснет. Таким образом, он успеет за ночь написать 4 + 2 + 1 = 7 строк, и задание будет выполнено.

Во втором примере при v = 54 Вася печатает код следующими порциями: 54, 6. В сумме 54 + 6 = 60, что даже больше, чем n = 59.

C. Еще одна строковая задача

Строки Бинарный поиск Перебор математика *1600 дп

Строка называется бинарной, если она состоит только из символов «0» и «1».

Строка v называется подстрокой строки w, если она имеет ненулевую длину, и ее можно прочитать, начиная с некоторой позиции, в строке w. Например, у строки «010» есть шесть подстрок: «0», «1», «0», «01», «10», «010». Две подстроки считаются различными, если их позиции вхождения различны. Другими словами, каждую подстроку нужно учитывать столько раз, сколько она встречается.

Дана бинарная строка s. Ваша задача — найти количество ее подстрок, содержащих ровно k единиц.

Входные данные

В первой строке записано единственное целое число k (0 ≤ k ≤ 106). Во второй строке записана непустая бинарная строка s. Длина s не превосходит 106 символов.

Выходные данные

Выведите одно целое число — количество подстрок данной строки, содержащих ровно k символов «1».

Пожалуйста, не используйте спецификатор %lld для чтения или записи 64-х битовых чисел на С++, вместо него рекомендуется использовать потоки cin, cout, а также спецификатор %I64d.

Примечание

В первом примере искомые подстроки: «1», «1», «10», «01», «10», «010».

Во втором примере искомые подстроки: «101», «0101», «1010», «01010».

E. Перенос экзамена

Бинарный поиск Структуры данных математика реализация жадные алгоритмы сортировки *1900

Сейчас у Дмитрия сессия, и он должен сдать \(n\) экзаменов. Сессия начинается в день \(1\) и длится \(d\) дней. \(i\)-й экзамен пройдёт в день \(a_i\) (\(1 \le a_i \le d\)), все \(a_i\) — различны.

Пример, где \(n=3\), \(d=12\), \(a=[3,5,9]\). Оранжевым — дни сдачи экзамена. Перед первым экзаменом Дмитрий отдохнёт \(2\) дня, перед вторым он отдохнёт \(1\) день и перед третьим он отдохнёт \(3\) дня.

Для расписания сессии Дмитрий считает специальную величину \(\mu\) — наименьшее из времен отдыха перед экзаменом по всем экзаменам. Например, для картинки выше \(\mu=1\). Иными словами, для расписания он подсчитывает ровно \(n\) чисел — сколько дней он отдыхает между экзаменом сдачей экзамена \(i-1\) и \(i\) (для \(i=0\) между началом сессии и сдачей экзамена \(i\)). Затем он находит \(\mu\) — минимум среди этих \(n\) чисел.

Дмитрий считает, что может улучшить предложенное расписание сессии. Он может попросить изменить дату одного экзамена (изменить одно произвольное значение \(a_i\)). Помогите ему поменять дату так, чтобы все \(a_i\) остались различны, а значение \(\mu\) было как можно больше.

Например, для рассмотренного выше расписания Дмитрию наиболее выгодно перенести второй экзамен на самый конец сессии. Новое расписание примет вид:

Теперь длительности отдыхов перед экзаменами равны \([2,2,5]\). Следовательно, \(\mu=2\).

Дмитрий может оставить предложенное расписание без изменений (если не существует способа передвинуть один экзамен так, что это приведёт к улучшению ситуации).

Входные данные

Первая строка входных данных содержит одно целое число \(t\) (\(1 \le t \le 10^4\)) — количество наборов входных данных. Далее следуют описания наборов входных данных.

Перед каждым набором в тесте записана пустая строка.

Первая строка описания каждого набора входных данных содержит два целых числа \(n\) и \(d\) (\(2 \le n \le 2 \cdot 10^5, 1 \le d \le 10^9\)) — количество экзаменов и длительность сессии, соответственно.

Вторая строка описания каждого набора входных данных содержит \(n\) целых чисел \(a_i\) (\(1 \le a_i \le d, a_i < a_{i+1}\)), где \(i\)-е число означает дату сдачи \(i\)-го экзамена.

Гарантируется, что сумма \(n\) по всем наборам входных данных не превосходит \(2 \cdot 10^5\).

Выходные данные

Для каждого набора входных данных выведите максимальное возможное значение \(\mu\), если Дмитрий может перенести один любой экзамен на произвольный день. Все значения \(a_i\) должны остаться различны.

Примечание

Первый пример разобран в условии.

Одно из оптимальных изменений расписаний для второго примера:

Изначальное расписание.

Новое расписание

В третьем примере необходимо передвинуть экзамен с дня \(1\) на любой день от \(4\) до \(100\).

В четвёртом примере любое изменение расписания только уменьшит \(\mu\), соответственно расписание нужно оставить исходным.

В пятом примере необходимо перенести экзамен с дня \(1\) на любой день от \(100000000\) до \(300000000\).

Одно из оптимальных изменений расписаний для шестого примера:

Изначальное расписание.

Новое расписание

В седьмом примере каждый день занят экзаменами и перестроить расписание невозможно.

D. Ближайшие точки

Бинарный поиск Структуры данных поиск в глубину и подобное *1900 графы кратчайшие пути

Вам даны \(n\) различных точек на плоскости. Координаты \(i\)-й из них — \((x_i, y_i)\).

Для каждой точки \(i\) вам необходимо найти ближайшую (по Манхэттенскому расстоянию) точку с целочисленными координатами, которая не принадлежит множеству заданных \(n\) точек. Если существует несколько таких точек, вы можете выбрать любую из них.

Манхэттенское расстояние между двумя точками \((x_1, y_1)\) и \((x_2, y_2)\) равно \(|x_1 - x_2| + |y_1 - y_2|\).

Входные данные

Первая строка входных данных содержит одно целое число \(n\) (\(1 \le n \le 2 \cdot 10^5\)) — количество точек в множестве.

Следующие \(n\) строк описывают точки. В \(i\)-й из них находится два целых числа \(x_i\) и \(y_i\) (\(1 \le x_i, y_i \le 2 \cdot 10^5\)) — координаты \(i\)-й точки.

Гарантируется, что все точки во входных данных различны.

Выходные данные

Выведите \(n\) строк. В \(i\)-й из них выведите точку с целочисленными координатами, не принадлежащую заданным \(n\) точкам, и являющуюся ближайшей (по Манхэттенскому расстоянию) к \(i\)-й точке из входных данных.

Выводимые координаты должны находиться в отрезке \([-10^6; 10^6]\). Можно показать, что любой оптимальный ответ удовлетворяет заданным ограничениям.

Если существует несколько возможных ответов, вы можете вывести любой из них.

F. Tower Defense

Бинарный поиск Перебор Структуры данных *3000

Монокарп играет в игру в жанре tower defense. Уровень в этой игре может быть представлен как ось OX, на которой в каждой целочисленной точке от \(1\) до \(n\) стоит башня.

У башни в \(i\)-й точке вместимость маны равна \(c_i\), а скорость восстановления маны равна \(r_i\). В самом начале, до секунды \(0\), у каждой башни полная мана. Если в конце какой-то секунды у \(i\)-й башни \(x\) маны, то к началу следующей секунды становится \(\mathit{min}(x + r_i, c_i)\) маны.

На уровне появляются \(q\) монстров. \(j\)-й монстр появляется в точке \(1\) в начале \(t_j\)-й секунды и имеет \(h_j\) здоровья. Каждый монстр двигается со скоростью \(1\) точка в секунду в направлении увеличения координаты.

Когда монстр проходит мимо башни, башня наносит ему \(\mathit{min}(H, M)\) урона, где \(H\) — это текущий запас здоровья монстра, а \(M\) — текущий запас маны башни. Это количество вычитается из здоровья монстра и из маны башни.

К сожалению, некоторые монстры могут пройти мимо всех \(n\) башен и остаться живыми. Монокарп хочет знать, какой суммарный запас здоровья будет у монстров после того, как они пройдут мимо всех башен.

Входные данные

В первой строке записано одно целое число \(n\) (\(1 \le n \le 2 \cdot 10^5\)) — количество башен.

В \(i\)-й из следующих \(n\) строк записаны два целых числа \(c_i\) и \(r_i\) (\(1 \le r_i \le c_i \le 10^9\)) — вместимость мана и скорость восстановления маны у \(i\)-й башни.

В следующей строке записано одно целое число \(q\) (\(1 \le q \le 2 \cdot 10^5\)) — количество монстров.

В \(j\)-й из следующих \(q\) строк записаны два целых числа \(t_j\) и \(h_j\) (\(0 \le t_j \le 2 \cdot 10^5\); \(1 \le h_j \le 10^{12}\)) — время, когда появляется \(j\)-й монстр, и его здоровье.

Монстры перечислены в порядке увеличения времени появления, поэтому \(t_j < t_{j+1}\) для всех \(1 \le j \le q-1\).

Выходные данные

Выведите одно целое число — суммарный запас здоровья у монстров, который будет после того, как они пройдут мимо всех башен.

F. Параметрическое MST

Бинарный поиск Конструктив математика *2600 жадные алгоритмы сортировки графы

Вам дано \(n\) целых чисел \(a_1, a_2, \ldots, a_n\). Для любого вещественного числа \(t\) рассмотрим полный взвешенный граф на \(n\) вершинах \(K_n(t)\) с весом ребра между вершинами \(i\) и \(j\), равным \(w_{ij}(t) = a_i \cdot a_j + t \cdot (a_i + a_j)\).

Пусть \(f(t)\) будет стоимостью минимального остовного дерева для \(K_n(t)\). Определите, ограничена ли \(f(t)\) сверху, и если да, то выведите максимальное значение, которое она достигает.

Входные данные

Входные данные состоят из нескольких наборов входных данных. В первой строке записано одно целое число \(T\) (\(1 \leq T \leq 10^4\)) — количество наборов входных данных. Далее следуют описания наборов входных данных.

Первая строка каждого набора входных данных содержит целое число \(n\) (\(2 \leq n \leq 2 \cdot 10^5\)) — количество вершин графа.

Вторая строка каждого набора входных данных содержит \(n\) целых чисел \(a_1, a_2, \ldots, a_n\) (\(-10^6 \leq a_i \leq 10^6\)).

Гарантируется, что сумма значений \(n\) по всем наборам входных данных не превосходит \(2 \cdot 10^5\).

Выходные данные

Для каждого набора входных данных выведите одну строку с максимальным значением \(f(t)\) (можно показать, что это целое число) или «INF», если \(f(t)\) не ограничена сверху.

D. Для геймеров. От геймеров.

Бинарный поиск Перебор математика *2000 жадные алгоритмы сортировки

Монокарп играет в стратегическую игру. В игре он собирает отряд для борьбы с монстрами. Перед каждой битвой у Монокарпа есть \(C\) монет, которые он может потратить на свой отряд.

Перед началом каждой битвы в его отряде никого нет. Монокарп выбирает один тип воинов и набирает не больше воинов этого типа, чем он может себе позволить за \(C\) монет.

Существует \(n\) типов воинов. Каждый тип воинов имеет три параметра:

  • \(c_i\) — стоимость одного воина \(i\)-го типа;
  • \(d_i\) — урон, который наносит один воин \(i\)-го типа за секунду;
  • \(h_i\) — здоровье одного воина \(i\)-го типа.

Монокарпу придется сразиться с \(m\) монстрами. У каждого монстра есть два параметра:

  • \(D_j\) — урон, который наносит \(j\)-й монстр за секунду;
  • \(H_j\) — здоровье \(j\)-го монстра.

Монокарп сражается только с \(j\)-м монстром во время \(j\)-й битвы. Он хочет, чтобы все его воины остались в живых. И отряд Монокарпа, и монстр атакуют одновременно и непрерывно. Таким образом, Монокарп выигрывает битву тогда и только тогда, когда его отряд убивает монстра строго быстрее, чем монстр убивает одного из его воинов. Время сравнивается без округления.

Для каждого монстра Монокарп хочет знать минимальное количество монет, которое он должен потратить, чтобы убить этого монстра. Если это количество больше, чем \(C\), то сообщите, что убить этого монстра невозможно.

Входные данные

В первой строке записаны два целых числа \(n\) и \(C\) (\(1 \le n \le 3 \cdot 10^5\); \(1 \le C \le 10^6\)) — количество типов воинов и количество монет у Монокарпа перед каждой битвой.

В \(i\)-й из следующих \(n\) строк записаны три целых числа \(c_i, d_i\) и \(h_i\) (\(1 \le c_i \le C\); \(1 \le d_i, h_i \le 10^6\)).

В следующей строке записано одно целое число \(m\) (\(1 \le m \le 3 \cdot 10^5\)) — количество монстров, с которыми придется сразиться Монокарпу.

В \(j\)-й из следующих \(m\) строк записаны два целых числа \(D_j\) и \(H_j\) (\(1 \le D_j \le 10^6\); \(1 \le H_j \le 10^{12}\)).

Выходные данные

Выведите \(m\) целых чисел. Для каждого монстра выведите минимальное количество монет, которое Монокарп должен потратить, чтобы убить этого монстра. Если это количество больше, чем \(C\), то выведите \(-1\).

Примечание

Рассмотрим первого монстра из первого примера.

Монокарп не может взять одного воина первого типа, потому что и ему, и монстру потребуется \(0.75\) секунды, чтобы убить друг друга. Он может взять двух воинов стоимостью \(6\) монет и убить монстра за \(0.375\) секунду.

Монокарп может взять одного воина второго типа, потому что он убивает монстра за \(0.6\) секунды, а монстр убивает его за \(0.625\) секунды. Воин быстрее. Таким образом, достаточно \(5\) монет.

Монокарпу понадобится как минимум три воина третьего типа, чтобы убить первого монстра, что будет стоить \(30\) монет.

Монокарп потратит меньше всего монет, если выберет второй тип воинов и возьмет одного воина этого типа.

C. Империя на прямой

Бинарный поиск Перебор математика реализация дп *1500 жадные алгоритмы

Вы — амбициозный король, который хочет быть Императором Действительных чисел. Но перед этим вам нужно стать Императором Целых чисел.

Рассмотрим числовую ось. Столица вашей империи изначально находится в точке \(0\). На прямой есть \(n\) незахваченных королевств в позициях \(0<x_1<x_2<\ldots<x_n\). Вы хотите захватить все эти королевства.

Вы можете делать два вида действий:

  • Вы можете переместить свою столицу (пусть ее текущая координата \(c_1\)) в любое захваченное королевство (пусть его позиция \(c_2\)), стоимость такого действия \(a\cdot |c_1-c_2|\).
  • Вы можете из текущей столицы (пусть ее текущая координата \(c_1\)) захватить королевство (пусть его позиция \(c_2\)), стоимость такого действия \(b\cdot |c_1-c_2|\). Вы не можете захватывать королевство, если между вашей столицей и целью есть другие незахваченные королевства.

Обратите внимание, что вы не можете расположить столицу в точке, где нет королевства. Другими словами, в любой момент времени ваша столица может быть только в точке \(0\) или в \(x_1,x_2,\ldots,x_n\). Также обратите внимание, что захват королевства не изменяет положение вашей столицы.

Выведите минимальную суммарную стоимость захвата всех королевств. Ваша столица может оказаться в итоге в любой точке.

Входные данные

Первая строка содержит одно целое число \(t\) (\(1 \le t \le 1000\)) — количество наборов входных данных. Далее следуют описания наборов.

Первая строка каждого набора содержит \(3\) целых числа \(n\), \(a\) и \(b\) (\(1 \leq n \leq 2 \cdot 10^5\); \(1 \leq a,b \leq 10^5\)).

Вторая строка каждого набора содержит \(n\) целых чисел \(x_1, x_2, \ldots, x_n\) (\(1 \leq x_1 < x_2 < \ldots < x_n \leq 10^8\)).

Гарантируется, что сумма значений \(n\) по всем наборам входных данных не превосходит \(2 \cdot 10^5\).

Выходные данные

Для каждого набора входных данных выведите одно число: минимальную стоимость захвата всех королевств.

Примечание

Ниже приведена оптимальная последовательность действий для второго примера:

  1. Захватить королевство в точке \(1\), стоимость \(3\cdot(1-0)=3\).
  2. Переместить столицу в королевство в точке \(1\), стоимость \(6\cdot(1-0)=6\).
  3. Захватить королевство в точке \(5\), стоимость \(3\cdot(5-1)=12\).
  4. Переместить столицу в королевство в точке \(5\), стоимость \(6\cdot(5-1)=24\).
  5. Захватить королевство в точке \(6\), стоимость \(3\cdot(6-5)=3\).
  6. Захватить королевство в точке \(21\), стоимость \(3\cdot(21-5)=48\).
  7. Захватить королевство в точке \(30\), стоимость \(3\cdot(30-5)=75\).

Суммарная стоимость \(3+6+12+24+3+48+75=171\). Нельзя получить меньшую стоимость.

A. Ранклист

Бинарный поиск реализация *1100 сортировки

Завершилось очередное соревнование по программированию. К Вам в руки попала таблица с финальными результатами этого соревнования. Для каждой команды в ней было указано количество задач, решенных данной командой, а также суммарное штрафное время данной команды по всем решенным ей задачам. Однако ни для одной команды в этой таблице не было указано ее финальное место.

Вам известны правила, по которым можно сравнить результаты двух заданных команд. Пусть команда a решила pa задач с суммарным штрафным временем ta, а команда b решила pb задач с суммарным штрафным временем tb. Тогда команда a займет более высокое итоговое место, чем команда b, если она решила больше задач на соревновании, либо она решила такое же количество задач, но с меньшим суммарным временем. Другими словами, команда a окажется выше команды b в финальной таблице результатов, если pa > pb, либо pa = pb и при этом ta < tb.

При этом считается, что команды, решившие одинаковое количество задач с одинаковым штрафным временем, делят между собой все соответствующие места. Более формально, пусть есть группа из x команд, которые решили одинаковое количество задач с одинаковым штрафным временем. Пусть также y команд выступили лучше команд из этой группы. Тогда все команды из группы разделят между собой y + 1, y + 2, ..., y + x места. Команды, результат которых хуже чем у команд из группы, получат свои места в итоговой таблице, начиная с y + x + 1 места.

Вашей задачей будет посчитать, какое количество команд из заданного списка разделило между собой k-ое место.

Входные данные

В первой строке заданы два целых числа n и k (1 ≤ k ≤ n ≤ 50). Далее в n строках следует описание команд: i-ая строка содержит два целых числа pi и ti (1 ≤ pi, ti ≤ 50) — количество решенных задач и суммарное штрафное время i-ой команды, соответственно. Все числа в строках разделены пробелами.

Выходные данные

В единственной строке выведите искомое количество команд, занявших k-ое место в итоговой таблице результатов.

Примечание

Итоговая таблица для первого примера:

  • 1-3 места — 4 решенных задачи, штрафное время равно 10
  • 4 место — 3 решенных задачи, штрафное время равно 20
  • 5-6 места — 2 решенные задачи, штрафное время равно 1
  • 7 место — 1 решенная задача, штрафное время равно 10

По таблице видно, что второе место разделили команды, решившие 4 задачи со штрафным временем 10. Всего есть 3 такие команды.

Итоговая таблица для второго примера:

  • 1 место — 5 решенных задач, штрафное время равно 3
  • 2-5 места — 3 решенные задачи, штрафное время равно 1

По таблице видно, что четвертое место разделили команды, решившие 3 задачи со штрафным временем 1. Всего есть 4 такие команды.

C. Полей деревья

Бинарный поиск математика жадные алгоритмы *1700

В парке находятся \(n\) деревьев, пронумерованных от \(1\) до \(n\). Изначальная высота \(i\)-го дерева равна \(h_i\).

Вы хотите полить эти деревья таким образом, чтобы они все выросли до одинаковой высоты.

Процесс полива происходит следующим образом. Вы начинаете поливать деревья в день \(1\). В течение \(j\)-го дня вы можете:

  • Выбрать дерево и полить его. Если день нечетный (например, \(1, 3, 5, 7, \dots\)), то высота дерева увеличится на \(1\). Если день четный (например, \(2, 4, 6, 8, \dots\)), то высота дерева увеличится на \(2\).
  • Или пропустить день без полива какого-либо дерева.

Заметьте, что вы не можете поливать больше одного дерева в день.

Ваша задача — найти минимальное количество дней, необходимое для того, чтобы все деревья выросли до одинаковой высоты.

Вам необходимо ответить на \(t\) независимых наборов тестовых данных.

Входные данные

Первая строка входных данных содержит одно целое число \(t\) (\(1 \le t \le 2 \cdot 10^4\)) — количество наборов тестовых данных.

Первая строка набора тестовых данных содержит одно целое число \(n\) (\(1 \le n \le 3 \cdot 10^5\)) — количество деревьев.

Вторая строка набора тестовых данных содержит \(n\) целых чисел \(h_1, h_2, \ldots, h_n\) (\(1 \le h_i \le 10^9\)), где \(h_i\) равно высоте \(i\)-го дерева.

Гарантируется, что сумма \(n\) по всем наборам тестовых данных не превосходит \(3 \cdot 10^5\) (\(\sum n \le 3 \cdot 10^5\)).

Выходные данные

Для каждого набора тестовых данных выведите одно целое число — минимальное количество дней, необходимое для того, чтобы все деревья выросли до одинаковой высоты.

Примечание

Рассмотрим первый набор тестовых данных примера. Изначальное состояние деревьев выглядит как \([1, 2, 4]\).

  1. В течение первого дня польем первое дерево, таким образом последовательность высот станет равна \([2, 2, 4]\);
  2. в течение второго дня польем второе дерево, таким образом последовательность высот станет равна \([2, 4, 4]\);
  3. пропустим третий день;
  4. в течение четвертого дня давайте польем первое дерево, таким образом последовательность высот станет равна \([4, 4, 4]\).

Таким образом, ответ равен \(4\).

F. Порталы

Бинарный поиск *2600 жадные алгоритмы

На прямой расположено \(n+1\) порталов. Они находятся в точках \(0\), \(a_1\), \(a_2\), \(a_3\), ..., \(a_n\). Можно телепортироваться из точки \(x\) в точку \(y\), если в обеих этих точках есть порталы, и такая телепортация стоит \((x-y)^2\) энергии.

Вы хотите установить несколько дополнительных порталов так, чтобы можно было телепортироваться из точки \(0\) в точку \(a_n\) (возможно, через какие-то промежуточные порталы), потратив суммарно не более \(m\) энергии. Каждый портал, который вы устанавливаете, должен располагаться в целочисленной точке.

Какое минимальное количество порталов вам нужно установить?

Входные данные

В первой строке задано одно целое число \(n\) (\(1 \le n \le 2 \cdot 10^5\)).

Во второй строке заданы \(n\) целых чисел \(a_1, a_2, \dots, a_n\) (\(1 \le a_1 < a_2 < a_3 < \dots < a_n \le 10^9\)).

В третьей строке задано одно целое число \(m\) (\(a_n \le m \le 10^{18}\)).

Выходные данные

Выведите одно целое число — минимальное количество порталов, которое нужно установить, чтобы можно было телепортироваться из точки \(0\) в точку \(a_n\), потратив суммарно не более \(m\) энергии. Можно показать, что при вышеописанных ограничениях на входные данные это всегда возможно.

C. Заражение дерева

Бинарный поиск Деревья *1600 жадные алгоритмы сортировки

Деревом называется связный граф без циклов. В корневом дереве есть особая вершина, которая называется корнем. Родитель вершины \(v\) (отличной от корня) — вершина перед \(v\) на кратчайшем пути от корня до \(v\). Дети вершины \(v\) — все вершины, для которых \(v\) является родителем.

Вам дано корневое дерево из \(n\) вершин. Вершина \(1\) — корень. Изначально все вершины здоровы.

Каждую секунду вы делаете две операции: распространение и, после этого, инъекцию:

  1. Распространение: для каждой вершины \(v\), если хотя бы один ребёнок \(v\) заражён, то вы можете распространить инфекцию, дополнительно заразив не более одного ребёнка \(v\) на свой выбор.
  2. Инъекция: вы можете выбрать одну любую здоровую вершину и заразить её.

Этот процесс повторяется каждую секунду до тех пор, пока всё дерево не будет заражено. Необходимо найти минимальное время в секундах, за которое можно заразить всё дерево.

Входные данные

Каждый тест состоит из нескольких наборов входных данных. В первой строке находится единственное целое число \(t\) (\(1 \le t \le 10^4\)) — количество наборов входных данных. Далее следует описание наборов входных данных.

Первая строка каждого набора входных данных содержит единственное целое число \(n\) (\(2 \le n \le 2 \cdot 10^5\)) — количество вершин в данном дереве.

Вторая строка каждого набора входных данных содержит \(n - 1\) целое число \(p_2, p_3, \ldots, p_n\) (\(1 \le p_i \le n\)), где \(p_i\) — предок \(i\)-й вершины в дереве.

Гарантируется, что данный граф является деревом.

Гарантируется, что сумма \(n\) по всем наборам входных данных не превосходит \(2 \cdot 10^5\).

Выходные данные

Для каждого набора входных данных выведите одно число — минимальное время в секундах, за которое можно заразить всё дерево.

Примечание

На картинке изображено дерево из первого набора входных данных в каждую секунду.

Вершина покрашена в чёрный, если она не заражена. Вершина покрашена в синий, если она заражена инъекцией в течение последней прошедшей секунды. Вершина покрашена в зелёный, если она заражена распространением в течение последней прошедшей секунды. Вершина покрашена в красный, если она заражена, но не в течение последней прошедшей секунды.

Обратите внимание, что вы можете выбирать, какие именно вершины будут заражены распространением и инъекциями.

F. Съедая конфеты

Бинарный поиск Структуры данных *1100 жадные алгоритмы

Есть \(n\) конфет разложенных слева направо на столе, конфеты пронумерованы слева направо. Вес \(i\)-й конфеты равняется \(w_i\). Алиса и Боб едят конфеты.

Алиса может съесть любое количество конфет слева (она ест их подряд и не может пропускать конфеты).

Боб может съесть любое количество конфет справа (он ест их подряд и не может пропускать конфеты).

Если Алиса съела конфету, то Боб уже не сможет её съесть (и наоборот).

Они хотят поделить конфеты честно. Поэтому суммарные веса съеденных ими конфет должны быть равны. Какое наибольшее суммарное количество конфет они могут съесть в таком случае?

Входные данные

Первая строка входных данных содержит целое число \(t\) (\(1 \leq t \leq 10^4\)) — количество наборов входных данных.

Первая строка каждого набора содержит единственное целое число \(n\) (\(1 \leq n \leq 2\cdot10^5\)) — количество конфет на столе.

Вторая строка каждого набора содержит \(n\) чисел \(w_1, w_2, \dots, w_n\) (\(1 \leq w_i \leq 10^4\)) — веса конфет от самой левой до самой парвой.

Гарантируется, что сумма \(n\) по всем наборам входных данных не превосходит \(2\cdot10^5\).

Выходные данные

Для каждого набора выведите единственное число — максимальное количество, которое могут съесть Алиса и Боб, соблюдая условие.

Примечание

В первом примере Алиса съест одну конфету слева, а Боб съест одну конфету справа. Нет лучшего способа съесть набор конфет одинакового веса. Ответ \(2\), так как они съедят суммарно две конфеты.

Во втором примере Алиса съест первые три конфеты слева (суммарным весом \(7\)), а Боб съест первые три конфеты справа (суммарным весом \(7\)). Они не могут съесть больше конфет, так как все конфеты съедены. Ответ равен \(6\), так как они съели суммарно шесть конфет.

В третьем примере Алиса и Боб не могут съесть наборы конфет одинакового ненулевого веса, поэтому ответ равен \(0\).

В четвертом примере Алиса съест конфеты весом \([7, 3, 20]\), а Боб съест конфеты весом \([10, 8, 11, 1]\), каждый из них съест набор конфет суммарным весом \(30\). Лучшего способа съесть конфеты нет, поэтому ответ \(7\).

D. Очень подозрительно

Бинарный поиск Перебор математика реализация геометрия жадные алгоритмы *1700

Хоссам и его друзья владеют плоскостью, разбитой бесконечной сеткой на правильные шестиугольники, как показано на рисунке ниже. Им нравятся равносторонние треугольники, поэтому они хотят создать на плоскости \(n\) равносторонних треугольников, добавив несколько прямых. Считаться будут только треугольники, внутри которых ничего нет (то есть внутри которых не проходит ни одна прямая и ни одна сторона шестиугольника).

Вы можете добавлять прямые, параллельные сторонам шестиугольников. Вам дано число \(n\), какое минимальное число прямых нужно добавить, чтобы создать хотя бы \(n\) равносторонних треугольников?

Добавление двух красных прямых создает два желтых треугольника.
Входные данные

Первая строка содержит одно цело число \(t\) (\(1 \le t \le 10^5\)) — количество наборов входных данных. Далее следуют \(t\) наборов входных данных.

Каждый набор входных данных состоит из одного целого числа \(n\) (\(1 \le n \le 10^{9}\)) — требуемого количества треугольников.

Выходные данные

Для каждого набора выведите минимальное количество прямых, необходимое для создания \(n\) или больше равносторонних треугольников.

Примечание

В первом и втором примере нужны две прямые. После добавления первой не будет ни одного трекгольника независимо от места создания. После добавления второй можно одновременно создать два треугольника.

В третьем наборе входных данных нужно минимум три прямых, как показано ниже.

C. Dolce Vita

Бинарный поиск Перебор математика жадные алгоритмы *1200

Наступают неспокойные времена, и поэтому вы решили закупиться сахаром про запас. В округе расположены \(n\) магазинов, в которых продают сахар: в \(i\)-м магазине одна пачка сахара стоит \(a_i\), но везде продают только по одной пачке на руки в день. А потому, чтобы купить несколько пачек, придется посетить несколько магазинов.

Есть и другая проблема: цены на сахар растут каждый день: в первый день он стоит \(a_i\), во второй день он стоит \(a_i + 1\), в третий — \(a_i + 2\) и так далее в любом магазине \(i\).

Вы можете тратить на сахар только \(x\) монет каждый день. Другими словами, каждый день вы ходите и покупаете как можно больше пачек сахара суммарной стоимостью не более \(x\). Обратите внимание, что если в какой-то день вы тратите не все монеты, вы не можете оставшиеся монеты использовать в следующие дни.

Рано или поздно, стоимость пачки из любого магазина превысит \(x\), и вы больше не сможете купить ни одной пачки. Вопрос в том, сколько всего пачек вы сможете купить до этого момента?

Входные данные

В первой строке задано одно целое число \(t\) (\(1 \le t \le 1000\)) — количество наборов входных данных. Далее следуют \(t\) наборов входных данных.

В первой строке каждого набора заданы два целых числа \(n\) и \(x\) (\(1 \le n \le 2 \cdot 10^5\); \(1 \le x \le 10^9\)) — количество магазинов в округе и ваш ежедневный бюджет.

Во второй строке каждого набора заданы \(n\) целых чисел \(a_1, a_2, \dots, a_n\) (\(1 \le a_i \le 10^9\)) — первоначальные цены сахара в магазинах.

Гарантируется, что сумма \(n\) не превосходит \(2 \cdot 10^5\).

Выходные данные

Для каждого набора входных данных выведите одно число — суммарное количество пачек сахара, которые вы сможете приобрести, пока цены не превысят ваши возможности.

Примечание

В первом наборе входных данных:

  • День 1: цены равны \([2, 1, 2]\). Вы сможете купить все \(3\) пачки, так как \(2 + 1 + 2 \le 7\).
  • День 2: цены равны \([3, 2, 3]\). Вы не сможете купить все \(3\) пачки, так как \(3 + 2 + 3 > 7\), а потому вы купите только \(2\) пачки.
  • День 3: цены равны \([4, 3, 4]\). Вы сможете купить \(2\) пачки с ценами \(4\) и \(3\).
  • День 4: цены равны \([5, 4, 5]\). Вы больше не сможете купить \(2\) пачки, а потому вы купите только \(1\) пачку.
  • День 5: цены равны \([6, 5, 6]\). Вы сможете купить \(1\) пачку.
  • День 6: цены равны \([7, 6, 7]\). Вы сможете купить \(1\) пачку.
  • День 7: цены равны \([8, 7, 8]\). Вы все еще можете купить \(1\) пачку за цену \(7\).
  • День 8: цены равны \([9, 8, 9]\). Цены слишком высокие, и вы не можете ничего купить.
В результате вы купите \(3 + 2 + 2 + 1 + 1 + 1 + 1 = 11\) пачек.

Во втором наборе, цены слишком высокие с первого дня, и вы не сможете ничего купить.

В третьем наборе, вы можете купить одну пачку только в первый день.

В четвертом наборе, вы можете покупать \(2\) пачки первые \(500\) дней. В день \(501\) цены станут \([501, 501]\), а потому вы сможете покупать только \(1\) пачку следующие \(500\) дней. В день \(1001\) цены станут \([1001, 1001]\) и вы больше ничего не сможете купить. В результате вы купите \(500 \cdot 2 + 500 \cdot 1 = 1500\) пачек.

E. блокнот.exe

Бинарный поиск Конструктив жадные алгоритмы *2200 интерактив

Это интерактивная задача.

В текстовом редакторе есть \(n\) слов. Длина \(i\)-го слова составляет \(l_i\) (\(1 \leq l_i \leq 2000\)). Массив \(l\) скрыт и известен только интерактору.

Текстовый редактор отображает слова в строках, разделяя каждые два слова в строке хотя бы одним пробелом. Обратите внимание, что строка не обязательно должна заканчиваться пробелом. Будем называть высотой текстового редактора количество использованных строк. При данной ширине текстовый редактор будет отображать слова таким образом, чтобы высота была минимальной.

Более формально, предположим, что текстовый редактор имеет ширину \(w\). Пусть \(a\)  — массив длины \(k+1\), где \(1=a_1 < a_2 < \ldots < a_{k+1}=n+1\). \(a\) является допустимым массивом, если для всех \(1 \leq i \leq k\), \(l_{a_i}+1+l_{a_i+1}+1+\ldots+1+l_{a_{i+1}-1} \leq w\). Тогда высота текстового редактора является минимальным \(k\) по всем допустимым массивам.

Обратите внимание, что если \(w < \max(l_i)\), то текстовый редактор не сможет правильно отобразить все слова и завершится аварийно, а высота текстового редактора будет равна \(0\).

Вы можете задать \(n+30\) запросов. В одном запросе вы указываете ширину \(w\). В ответ интерактор вернет высоту \(h_w\) текстового редактора, если его ширина равна \(w\).

Найдите минимальную площадь текстового редактора, которая является минимальным значением \(w \cdot h_w\) по всем \(w\), для которых \(h_w \neq 0\).

Длины зафиксированы заранее. Другими словами, интерактор не является адаптивным.

Входные данные

Первая и единственная строка ввода содержит единственное целое число \(n\) (\(1 \leq n \leq 2000\))  — количество слов в текстовом редакторе.

Гарантируется, что скрытые длины \(l_i\) удовлетворяют \(1 \leq l_i \leq 2000\).

Протокол взаимодействия

Начните взаимодействие с чтения \(n\).

Чтобы сделать запрос, выведите «? \(w\)» (без кавычек, \(1 \leq w \leq 10^9\)). Затем вы должны прочитать ответ из стандартного ввода, то есть высоту \(h_w\).

Если ваша программа сделала некорректный запрос или исчерпала количество попыток, интерактор немедленно завершит работу программы, а ваша программа получит вердикт Неправильный ответ.

Чтобы дать окончательный ответ, выведите «! \(area\)» (без кавычек). Обратите внимание, что этот ответ не учитывается в лимит \(n+30\) запросов.

После вывода каждого запроса не забудьте вывести перевод строки и сбросить буфер вывода. В противном случае вы получите вердикт Решение «зависло». Для сброса буфера используйте:

  • fflush(stdout) или cout.flush() в C++;
  • System.out.flush() в Java;
  • flush(output) в Pascal;
  • stdout.flush() в Python;
  • смотрите документацию для других языков.

    Взломы

    Первая строка ввода должна содержать одно целое число \(n\) (\(1 \leq n \leq 2000\)) — количество слов в текстовом редакторе.

    Вторая строка ввода должна содержать ровно \(n\) разделенных пробелами целых чисел \(l_1,l_2,\ldots,l_n\) (\(1 \leq l_i \leq 2000\)).

Примечание

В первом примере слова  — \(\{\texttt{glory},\texttt{to},\texttt{ukraine},\texttt{and},\texttt{anton},\texttt{trygub}\}\), поэтому \(l=\{5,2,7,3,5,6\}\).

Если \(w=1\), то текстовый редактор не сможет правильно отобразить все слова и завершится аварийно. Высота текстового редактора равна \(h_1=0\), поэтому интерактор вернет \(0\).

Если \(w=9\), то возможный способ отображения слов в текстовом редакторе следующий:

  • \(\texttt{glory__to}\)
  • \(\texttt{ukraine__}\)
  • \(\texttt{and_anton}\)
  • \(\texttt{__trygub_}\)

Высота текстового редактора равна \(h_{9}=4\), поэтому интерактор вернет \(4\).

Если \(w=16\), то возможный способ отображения слов в текстовом редакторе следующий:

  • \(\texttt{glory_to_ukraine}\)
  • \(\texttt{and_anton_trygub}\)

Высота текстового редактора равна \(h_{16}=2\), поэтому интерактор вернет \(2\).

Мы каким-то образом выяснили, что минимальная площадь текстового редактора равна \(32\), поэтому отвечаем её.

E. Уничтожение стены

Бинарный поиск Перебор Конструктив математика *2000 жадные алгоритмы

Монокарп играет в стратегическую компьютерную игру Rage of Empires II: Definitive Edition. Сейчас он собирается атаковать своего оппонента в игре, но вот незадача — противник успел построить стену, и войска Монокарпа не могут попасть в лагерь противника!

Стена состоит из \(n\) секций, расположенных в ряд и пронумерованных слева направо, начиная с единицы. Прочность \(i\)-й секции изначально равна \(a_i\). Если прочность какой-то секции станет равной \(0\) или станет отрицательной, то эта секция будет считаться разрушенной.

Для успешной атаки Монокарп должен разрушить хотя бы две секции стены (любые две: возможно, соседние, но не обязательно). Для этого собирается использовать специальное осадное орудие — онагр. Когда онагр стреляет по секции стены, он наносит \(2\) единицы урона этой секции и по \(1\) единице урона соседним секциям. Иными словами, если онагр стреляет по секции \(x\), прочность секции \(x\) уменьшается на \(2\), а прочности секций \(x - 1\) и \(x + 1\) (если они существуют) уменьшаются на \(1\) каждая.

Монокарп может стрелять из онагра по любым секциям любое количество раз, в том числе можно стрелять по уже разрушенной секции.

Монокарп хочет посчитать минимальное количество выстрелов онагра, необходимое, чтобы разрушить хотя бы две секции стены. Помогите ему!

Входные данные

В первой строке следует целое число \(n\) (\(2 \le n \le 2 \cdot 10^5\)) — количество секций в стене.

Во второй строке следует последовательность целых чисел \(a_1, a_2, \dots, a_n\) (\(1 \le a_i \le 10^6\)), где \(a_i\) равно изначальной прочности \(i\)-й секции стены.

Выходные данные

Выведите целое число — минимальное количество выстрелов онагра, необходимое, чтобы разрушить хотя бы две секции стены.

Примечание

В первом примере можно разрушить \(2\)-ю и \(4\)-ю секции стены за \(10\) выстрелов, например, совершив все \(10\) выстрелов в третью секцию. После этого прочности секций будут равны \([20, 0, 10, 0, 20]\). Существует и другой способ. Можно сначала выстрелить \(5\) раз во \(2\)-ю секцию и затем еще \(5\) раз в \(4\)-ю секцию. После этого прочности секций будут равны \([15, 0, 20, 0, 15]\).

Во втором примере достаточно одного выстрела по \(2\)-й секции. После этого \(1\)-я и \(3\)-я секции будут разрушены.

В третьем примере можно, например, выстрелить два раза во \(2\)-ю секцию (после этого прочности секций станут равны \([5, 2, 4, 8, 5, 8]\)), а затем выстрелить два раза в \(3\)-ю секцию (после этого прочности секций станут равны \([5, 0, 0, 6, 5, 8]\)). Таким образом, после четырех выстрелов будут разрушены \(2\)-я и \(3\)-я секции.

E. Запросы на поедание конфет

Бинарный поиск *1100 жадные алгоритмы сортировки

У Тимура есть \(n\) конфет. В \(i\)-й конфете количество сахара равно \(a_i\). Так, съев \(i\)-ю конфету, Тимур потребляет количество сахара, равное \(a_i\).

Тимур задаст вам \(q\) запросов о своих конфетах. Для \(j\)-го запроса вы должны ответить, какое минимальное количество конфет ему нужно съесть, чтобы потребить количество сахара, большее или равное \(x_j\). Выведите -1, если невозможно получить такое количество. Другими словами, нужно вывести минимально возможное \(k\) такое, что, съев \(k\) конфет, Тимур получит количество сахара не менее \(x_j\), или сказать, что такого \(k\) не существует.

Обратите внимание, что он не может съесть одну и ту же конфету дважды, а запросы не зависят друг от друга (Тимур может использовать одну и ту же конфету в разных запросах).

Входные данные

Первая строка содержит единственное целое число \(t\) (\(1 \leq t \leq 1000\))  — количество наборов входных данных. Далее следуют описания наборов.

Первая строка каждого набора содержит \(2\) целых числа \(n\) и \(q\) (\(1 \leq n, q \leq 1.5\cdot10^5\)) — количество конфет, которые есть у Тимура и количество запросов соответственно.

Вторая строка каждого набора содержит \(n\) целых чисел \(a_1, a_2, \dots, a_n\) (\(1 \leq a_i \leq 10^4\)) — количество сахара в каждой конфете соответственно.

Затем следуют \(q\) строк.

Каждая из \(q\) содержит единственное целое число \(x_j\) (\(1 \leq x_j \leq 2 \cdot 10^9\)) — количество сахара, которое хочет получить Тимур.

Гарантируется, что сумма \(n\) и сумма \(q\) по всем наборам входных данных не превосходит \(1.5 \cdot 10^5\).

Выходные данные

Для каждого набора входных данных выведите \(q\) строк. В \(j\)-й строке выведите количество конфет, которое нужно съесть Тимуру, чтобы получить количество сахара, большее или равное \(x_j\). Выведите -1, если получить такое количество невозможно.

Примечание

В первом наборе входных данных примера:

  • В первом запросе Тимур может съесть любую конфету, и он наберет нужное количество.
  • Во втором запросе Тимур может получить количество не менее \(10\), съев \(7\)-ю и \(8\)-ю конфету, таким образом потребив количество сахара, равное \(14\).
  • На третий запрос нет возможного ответа.
  • В четвертом запросе Тимур может получить количество как минимум \(14\), съев \(7\)-ю и \(8\)-ю конфету, таким образом потребив количество сахара, равное \(14\).

Во втором наборе входных данных примера:

  • Для единственного запроса второго набора входных данных мы можем выбрать третью конфету, из которой Тимур получает количество сахара равное \(3\). Также можно получить тот же ответ, выбрав четвертую конфету.

D. Граф? А... А я думал, барон...

Бинарный поиск дп поиск в глубину и подобное *1900 графы

Однажды Маша прогуливалась по парку и нашла под деревом граф... Удивлены? Вы думали, что в этой задаче будет логичная обоснованная история? Не дождетесь! Так вот...

У Маши есть ориентированный граф, в \(i\)-й вершине которого записано некоторое целое положительное число \(a_i\). Изначально Маша может положить в некоторую вершину графа монетку. За один ход разрешается переместить монетку, которая сейчас находится в некоторой вершине \(u\), в любую вершину \(v\), такую что в графе существует ориентированное ребро \(u \to v\). Каждый раз, когда монетка оказывается в какой-либо вершине \(i\), Маша записывает в блокнот число \(a_i\) (в частности, когда Маша изначально кладет монетку в некоторую вершину графа, она пишет в блокнот число, записанное в этой вершине). Маша хочет сделать ровно \(k - 1\) ходов таким образом, чтобы максимальное число, записанное ей в блокноте, было как можно меньше.

Входные данные

Первая строка содержит три целых числа \(n\), \(m\) и \(k\) (\(1 \le n \le 2 \cdot 10^5\), \(0 \le m \le 2 \cdot 10^5\), \(1 \le k \le 10^{18}\)) — количество вершин и ребер в графе, а также количество ходов, которое хочет сделать Маша, соответственно.

Вторая строка содержит \(n\) целых чисел \(a_i\) (\(1 \le a_i \le 10^9\)) — числа, записанные в вершинах графа.

Каждая из следующих \(m\) строк содержит два целых числа \(u\) и \(v\) (\(1 \le u \ne v \le n\)) — это означает, что в графе существует ребро \(u \to v\).

Гарантируется, что граф не содержит петель и кратных ребер.

Выходные данные

Выведите одно целое число — минимальное значение максимального числа, которое Маша выписала в блокнот, при оптимальном перемещении монетки.

В случае, если Маше не удастся переместить монетку \(k - 1\) раз, в качестве ответа выведите число \(-1\).

Примечание

На изображении ниже приведен граф, описанный в первых двух примерах.

В первом примере можно выбрать в качестве изначальной вершину \(1\). После этого можно выполнить три хода: \(1 \to 3\), \(3 \to 4\) и \(4 \to 5\). В итоге в блокнот будут записаны числа \(1, 2, 3\) и \(4\).

Во втором примере можно выбрать в качестве изначальной вершину \(2\). После этого можно выполнить \(99\) ходов: \(2 \to 5\), \(5 \to 6\), \(6 \to 2\), \(2 \to 5\), и так далее. В итоге в блокнот будут записаны числа \(10, 4, 5, 10, 4, 5, \ldots, 10, 4, 5, 10\).

В третьем примере на имеющемся графе не удастся выполнить \(4\) хода.

C. Двоичная строка

Строки Бинарный поиск *1600 жадные алгоритмы

Дана строка \(s\), состоящая из символов 0 и/или 1.

Вы должны удалить несколько (возможно, ноль) символов из начала строки и несколько (возможно, ноль) символов с конца. Получившаяся строка может оказаться пустой. Стоимость удаления — это максимум из двух величин:

  • количество символов 0, оставшихся в строке;
  • количество символов 1, удаленных из строки.

Чему равна минимальная стоимость удаления, которую можно достигнуть?

Входные данные

В первой строке задано одно целое число \(t\) (\(1 \le t \le 10^4\)) — количество наборов входных данных.

Каждый набор входных данных состоит из единственной строки \(s\) (\(1 \le |s| \le 2 \cdot 10^5\)), состоящей из символов 0 и/или 1.

Сумма длин \(s\) по всем наборам входных данных не превосходит \(2 \cdot 10^5\).

Выходные данные

Для каждого набора входных данных выведите одно целое число — минимальную возможную стоимость удаления.

Примечание

Рассмотрим наборы входных данных из примера:

  1. в первом наборе можно удалить два символа из начала и один символ с конца. Только один 1 был удален, только один 0 остался, поэтому стоимость равна \(1\);
  2. во втором наборе можно удалить три символа из начала и шесть символов с конца. Два символа 0 останутся, будут удалены три символа 1, поэтому стоимость равна \(3\);
  3. в третьем наборе входных данных оптимально удалить четыре символа из начала строки;
  4. в четвертом наборе входных данных оптимально удалить всю строку;
  5. в пятом наборе входных данных оптимально не удалять ни один символ.

E. MEX против DIFF

Бинарный поиск Перебор Структуры данных Конструктив *2100 жадные алгоритмы

У Тёти Люсине, как и у всех гениальных людей, имеются свои странности. Сегодня в качестве развлечения она решила посмотреть на противостояние двух могущественных функций. В зависимости от результата она решит, добавлять ли эти функции в CrowdScript.

Дан массив \(a\) из \(n\) неотрицательных целых чисел. За одну операцию вы можете заменить любое число в массиве на любое неотрицательное целое число.

Назовём стоимостью массива \(\operatorname{DIFF}(a) - \operatorname{MEX}(a)\), где \(\operatorname{MEX}\) множества чисел — это минимальное целое неотрицательное число, которого нет в множестве, а \(\operatorname{DIFF}\) — количество различных чисел в массиве.

Например, \(\operatorname{MEX}(\{1, 2, 3\}) = 0\), \(\operatorname{MEX}(\{0, 1, 2, 4, 5\}) = 3\).

Вам необходимо определить, какую минимальную стоимость массива \(a\) можно получить, если разрешено сделать не больше \(k\) операций.

Входные данные

В первой строке входных данных находится единственное целое число \(t\) (\(1 \le t \le 10^4\)) — количество наборов входных данных.

В первой строке описания каждого набора входных данных находится два целых числа \(n\) и \(k\) (\(1 \le n \le 10^5\), \(0 \le k \le 10^5\)) — размер массива \(a\) и максимальное количество операций, которое можно сделать.

Во второй строке описания каждого набора входных данных находятся \(n\) целых чисел \(a_1, a_2, \ldots, a_n\) (\(0 \le a_i \le 10^9\)) — массив \(a\).

Гарантируется, что сумма \(n\) по всем наборам входных данных не превосходит \(10^5\).

Выходные данные

Для каждого набора входных данных выведите единственное число — минимальная стоимость, которую можно получить, сделав не больше \(k\) операций.

Примечание

В первом наборе входных данных не требуется делать какие-либо операции, чтобы минимизировать \(\operatorname{DIFF} - \operatorname{MEX}\).

Во втором наборе входных данных можно заменить \(5\) на \(1\). После этого массив \(a\) будет \([0,\, 2,\, 4,\, 1]\), \(\operatorname{DIFF} = 4\), \(\operatorname{MEX} = \operatorname{MEX}(\{0, 1, 2, 4\}) = 3\), поэтому ответ равен \(1\).

В третьем наборе входных данных один из возможных массивов \(a\) будет \([4,\, 13,\, 0,\, 0,\, 13,\, 1,\, 2]\), \(\operatorname{DIFF} = 5\), \(\operatorname{MEX} = 3\).

В четвертом наборе входных данных один из возможных массивов \(a\) будет \([1,\, 2,\, 3,\, 0,\, 0,\, 0]\).

C. Sanae и гигантский робот

Бинарный поиск Перебор Структуры данных жадные алгоритмы сортировки снм *2500

Sanae сделала гигантского робота — Hisoutensoku, но с ним что-то не так. Что еще хуже, Sanae, кажется, не может понять, как его остановить, и она вынуждена исправлять это на лету.

Состояние робота можно представить массивом целых чисел длины \(n\). Изначально робот находится в состоянии \(a\). Она хочет превратить его в состояние \(b\).

Как отличный программист, Sanae владеет искусством копирования и вставки. За одну операцию она может выбрать некоторый отрезок из заданных отрезков, скопировать этот отрезок из \(b\) и вставить его в то же место робота, заменив исходное состояние на этих позициях. Однако она должна следить за тем, чтобы сумма \(a\) не менялась после каждой операции копирования на случай, если робот выйдет из строя. Формально Sanae может выбрать отрезок \([l,r]\) и сделать \(a_i = b_i\) (\(l\le i\le r\)), если \(\sum\limits_{i=1}^n a_i\) не изменится после применения операции.

Определите, может ли Sanae успешно перевести робота из начального состояния \(a\) в желаемое состояние \(b\) с помощью любых (возможно, ноль) операций.

Входные данные

Первая строка содержит единственное целое число \(t\) (\(1 \leq t \leq 2\cdot 10^4\)) — количество наборов входных данных. Далее следуют описания наборов входных данных.

Первая строка каждого набора входных данных содержит два целых числа \(n\), \(m\) (\(2 \leq n\leq 2\cdot 10^5\), \(1 \leq m\leq 2\cdot 10^5\)) — длина \(a\), \(b\) и количество отрезков.

Вторая строка содержит \(n\) целых чисел \(a_1,a_2,\ldots,a_n\) (\(1 \leq a_i \leq 10^9\)) — начальное состояние \(a\).

Третья строка содержит \(n\) целых чисел \(b_1,b_2,\ldots,b_n\) (\(1 \leq b_i \leq 10^9\)) — искомое состояние \(b\).

Затем следуют \(m\) строк, \(i\)-я строка содержит два целых числа \(l_i,r_i\) (\(1 \leq l_i < r_i \leq n\)) — отрезки, которые Sanae может скопировать и вставить.

Гарантируется, что сумма \(n\) и сумма \(m\) по всем наборам входных данных не превосходит \(2 \cdot 10 ^ 5\).

Выходные данные

Для каждого теста выведите «YES» (без кавычек), если \(a\) можно превратить в \(b\), или «NO» (без кавычек) в противном случае.

Вы можете вывести «YES» и «NO» в любом регистре (например, строки «yEs», «yes» и «Yes» являются правильным ответом).

Примечание

В первом наборе входных данных один из возможных способов превратить \(a\) в \(b\):

Сначала выберите \([1,3]\). После операции \(a=[3,2,5,2,3]\).

Затем выберите \([2,5]\). После операции \(a=[3,2,5,4,1]=b\).

Во втором наборе входных данных можно показать, что невозможно превратить \(a\) в \(b\).

D. Милые числа

Бинарный поиск Перебор Структуры данных математика реализация снм *2900

Ran Yakumo симпатичная девочка, которая любит решать милые математические задачи.

Пусть \(f(x)\) будет минимальным квадратом строго большим, чем \(x\), и \(g(x)\) будет максимальным квадратом, не строго меньшим, чем \(x\). Например, \(f(1)=f(2)=g(4)=g(8)=4\).

Натуральное целое число \(x\) называется милым, если \(x-g(x)<f(x)-x\). Например, \(1,5,11\) это милые целые числа, а \(3,8,15\) нет.

Ran Yakumo дает вам массив \(a\) длины \(n\). Она хочет, чтобы вы нашли минимальное неотрицательное целое число \(k\), такое что \(a_i + k\) является милым числом для любого элемента массива \(a\).

Входные данные

Первая строка содержит одно целое число \(n\) (\(1 \leq n \leq 10^6\)) — длина \(a\).

Вторая строка содержит \(n\) целых чисел \(a_1,a_2,\ldots,a_n\) (\(1 \leq a_1 \leq a_2 \leq \ldots \leq a_n \leq 2\cdot 10^6\)) — массив \(a\).

Выходные данные

Выведите одно целое число \(k\) — ответ на задачу.

Примечание

В первом тесте \(3\) не является красивым целым числом, поэтому \(k\ne 0\).

\(2,4,9,11\) являются милыми целыми числами, поэтому \(k=1\).

E. Максимизация цен

Бинарный поиск математика *1500 жадные алгоритмы

В магазин привезли партию из \(n\) товаров (\(n\) — чётное число), \(i\)-й из которых имеет вес \(a_i\). Перед продажей товары нужно расфасовать по упаковкам. После фасовки будет выполнено следующее:

  • всего получится \(\frac{n}{2}\) упаковок, в каждой упаковке лежит ровно два товара;
  • вес упаковки, в которой лежат товары с индексами \(i\) и \(j\) (\(1 \le i, j \le n\)) будет равен \(a_i + a_j\).

При этом стоимость упаковки веса \(x\) всегда равна \(\left \lfloor\frac{x}{k}\right\rfloor\) бурлей (округление вниз), где \(k\) — фиксированная и заданная величина.

Распределите товары по упаковкам так, чтобы выручка с их продажи была максимальна. Другими словами, составьте такие \(\frac{n}{2}\) пар из заданных товаров, чтобы сумма величин \(\left \lfloor\frac{x_i}{k} \right \rfloor\), где \(x_i\) — вес упаковки с номером \(i\) (\(1 \le i \le \frac{n}{2}\)), была максимальна.

Например, пусть \(n = 6, k = 3\), веса товаров \(a = [3, 2, 7, 1, 4, 8]\). Объединим их в следующие упаковки.

  • В первую упаковку положим третий и шестой товар. Её вес будет равен \(a_3 + a_6 = 7 + 8 = 15\). Стоимость упаковки составит \(\left \lfloor\frac{15}{3}\right\rfloor = 5\) бурлей.
  • Во вторую упаковку положим первый и пятый товар, вес составит \(a_1 + a_5 = 3 + 4 = 7\). Стоимость упаковки составит \(\left \lfloor\frac{7}{3}\right\rfloor = 2\) бурля.
  • В третью упаковку положим второй и четвертый товар, вес составит \(a_2 + a_4 = 2 + 1 = 3\). Стоимость упаковки составит \(\left \lfloor\frac{3}{3}\right\rfloor = 1\) бурль.

При таком распределении итоговая стоимость всех упаковок составит \(5 + 2 + 1 = 8\) бурлей.

Входные данные

В первой строке записано единственное число \(t\) (\(1 \le t \le 10^4\)) — количество наборов входных данных в тесте.

Далее следуют описания наборов входных данных.

В первой строке каждого набора входных данных содержится два целых числа \(n\) (\(2 \le n \le 2\cdot10^5\)) и \(k\) (\(1 \le k \le 1000\)). Число \(n\) — чётное.

Во второй строке каждого набора входных данных записано ровно \(n\) целых чисел \(a_1, a_2, \dots, a_n\) (\(0 \le a_i \le 10^9\)).

Гарантируется, что сумма \(n\) по всем наборам входных данных не превышает \(2\cdot10^5\).

Выходные данные

Для каждого набора входных данных в отдельной строке выведите единственное число — максимально возможную суммарную стоимость всех упаковок.

Примечание

Первый набор входных данных разобран в условии.

Во втором наборе входных данный можно получить суммарную стоимость, равную \(4\), если в первую упаковку положить первый и второй товар, а во вторую — третий и четвертый.

В третьем наборе входных данных стоимость каждого товара равна \(0\), поэтому суммарная стоимость будет также равна \(0\).

G. Посчитай поезда

Бинарный поиск Структуры данных *2000 жадные алгоритмы сортировки

На рельсах стоит \(n\) автономных вагончиков. Вагончики пронумерованы слева направо от \(1\) до \(n\). Вагончики между собой не сцеплены. При этом вагончики движутся влево, так что вагончик с номером \(1\) движется впереди всех.

У \(i\)-го вагончика есть свой двигатель, который может разогнать вагончик до \(a_i\) км/ч, но при этом, вагончик не может ехать быстрее, чем вагончик перед ним. Для пояснения смотрите пример.

Все вагончики одновременно начинают двигаться влево, при этом, естественно образуются поезда. Будем называть поездом — подряд движущиеся вагончики, имеющие одинаковую скорость.

Например, у нас есть \(n=5\) вагончиков и массив \(a = [10, 13, 5, 2, 6]\). Тогда итоговые скорости вагончиков будут равны: \([10, 10, 5, 2, 2]\). Соответственно, будет образовано \(3\) поезда.

Также приходят сообщения о том, что какой-то двигатель был испорчен:

  • cообщение «k d» означает, что скорость \(k\)-го вагончика уменьшилась на \(d\) (то есть произошло изменение максимальной скорости вагончика \(a_k = a_k - d\)).

Сообщения приходят последовательно, при обработке очередного сообщения учитываются изменения от всех предыдущих сообщений.

После каждого сообщения определите количество образовавшихся поездов.

Входные данные

В первой строке входных данных записано единственное целое число \(t\) (\(1 \le t \le 10^4\)) — количество наборов входных данных.

Далее следуют описания наборов входных данных.

Первая строка каждого набора пустая.

Во второй строке набора входных данных заданы два целых числа \(n\) и \(m\) (\(1 \le n,m \le 10^5\)) — количество вагончиков и количество сообщений по замедлению вагончика, соответственно.

В третьей строке даны \(n\) целых чисел: \(a_1, a_2, \dots, a_n\) (\(0 \le a_i \le 10^9\)) — число \(a_i\) означает, что вагончик с номером \(i\) может развивать скорость до \(a_i\) км/ч.

В следующих \(m\) строках содержится два целых числа \(k_j\) и \(d_j\) (\(1 \le k_j \le n\), \(0 \le d_j \le a_{k_j}\)) — это сообщение о том, что скорость вагончика с номером \(k_j\) уменьшилась на \(d_j\). Другими словами, произошло изменение его максимальной скорости \(a_{k_j} = a_{k_j} - d_j\). Обратите внимание, что в любой момент времени скорость каждого вагончика неотрицательна. Иными словами, \(a_i \ge s_i\), где \(s_i\) — это сумма таких \(d_j\), что \(k_j=i\).

Гарантируется, что сумма значений \(n\) по всем наборам входных данных не превышает \(10^5\). Аналогично гарантируется, что сумма значений \(m\) по всем наборам входных данных не превышает \(10^5\).

Выходные данные

Выведите \(t\) строк. В каждой строке выведите ответ для соответствующего набора входных данных.

Для каждого набора входных данных выведите \(m\) чисел: количество образовавшихся поездов после каждого сообщения.

Примечание

Для первого набора входных данных:

  • Изначально массив \(a = [6, 2, 3, 7]\).
  • После первого сообщения массив \(a = [6, 2, 1, 7]\). Соответственно скорости вагончиков равны: \([6, 2, 1, 1]\) и будет образовано \(3\) поезда.
  • После второго сообщения массив \(a = [6, 2, 1, 0]\). Соответственно скорости вагончиков равны: \([6, 2, 1, 0]\) и будет образовано \(4\) поезда.

Для второго набора входных данных:

  • Изначально массив \(a = [10, 13, 5, 2, 6]\).
  • После первого сообщения массив \(a = [10, 9, 5, 2, 6]\). Соответственно скорости вагончиков равны: \([10, 9, 5, 2, 2]\) и будет образовано \(4\) поезда.
  • После второго сообщения массив \(a = [10, 9, 5, 2, 4]\). Соответственно скорости вагончиков равны: \([10, 9, 5, 2, 2]\) и будет образовано \(4\) поезда.
  • После третьего сообщения массив \(a = [5, 9, 5, 2, 4]\). Соответственно скорости вагончиков равны: \([5, 5, 5, 2, 2]\) и будет образовано \(2\) поезда.
  • После четвёртого сообщения массив \(a = [5, 9, 3, 2, 4]\). Соответственно скорости вагончиков равны: \([5, 5, 3, 2, 2]\) и будет образовано \(3\) поезда.

D. Максимум не меньше суммы

Бинарный поиск Структуры данных Конструктив реализация *1800 разделяй и властвуй

Вам дан массив \(a\) из \(n\) целых чисел. Вам нужно проверить, верно ли, что неравенство \(\)\max(a_i, a_{i + 1}, \ldots, a_{j - 1}, a_{j}) \geq a_i + a_{i + 1} + \dots + a_{j - 1} + a_{j}\(\) выполняется для всех пар индексов \((i, j)\), где \(1 \leq i \leq j \leq n\).

Входные данные

Во входных данных находятся несколько наборов входных данных. В первой строке находится одно целое число \(t\) (\(1 \le t \le 10^5\)) — количество наборов входных данных. Далее следуют наборы входных данных.

Первая строка каждого набора входных данныхх содержит одно целое число \(n\) (\(1 \leq n \leq 2 \cdot 10^5\))  — размер массива.

Вторая строка содержит \(n\) целых чисел \(a_1, a_2, \ldots, a_n\) (\(-10^9 \le a_i \le 10^9\)).

Гарантируется, что сумма значений \(n\) по всем наборам входных данных не превосходит \(2 \cdot 10^5\).

Выходные данные

Для каждого набора входных данных выведите «YES», если условие для данного массива выполнено, и «NO» в противном случае. Вы можете выводить каждую букву в любом регистре (строчную или заглавную).

Примечание

В примерах \(1\) и \(2\) данное неравенство выполняется для всех пар \((i, j)\).

В примере \(3\) неравенство не выполняется для пары \((1, 2)\), так как \(\max(2, 3) < 2 + 3\).

E. Двоичный дек

Бинарный поиск реализация *1200

У Славика есть массив длины \(n\), состоящий только из нулей и единиц. За одну операцию он может удалить либо первый, либо последний элемент массива.

Какое минимальное число операций нужно совершить Славику, чтобы сумма оставшихся элементов в массиве равнялась в точности \(s\) после совершения всех операций? В случае, если число \(s\) не может быть получено как сумма элементов массива после любого числа операций, выведите «-1».

Входные данные

Первая строка содержит единственное число \(t\) (\(1 \leq t \leq 10^4\)) — количество наборов входных данных.

Первая строка каждого набора содержит два числа \(n\) и \(s\) (\(1 \leq n, s \leq 2 \cdot 10^5\)) — длина массива и необходимая сумма элементов.

Вторая строка каждого набора содержит \(n\) целых чисел \(a_i\) (\(0 \leq a_i \leq 1\)) — элементы массива.

Гарантируется что сумма \(n\) по всем наборам данных не превышает \(2 \cdot 10^5\).

Выходные данные

Для каждого набора входных данных выведите единственное число — минимальное количество операций, необходимое чтобы сумма всех элементов массива равнялась \(s\). Выведите «-1», если получить массив с суммой элементов \(s\) невозможно.

Примечание

В первом наборе сумма элементов во всем массиве уже равна \(1\), поэтому никаких операций больше не требуется.

Во втором наборе сумма элементов равна \(2\), а нам нужна сумма \(1\), поэтому мы можем удалить из массива первый элемент, после чего массив превратится в \([1, 0]\), сумма элементов которого будет равна \(1\).

В третьем наборе сумма элементов массива изначально равна \(5\), а нам нужна сумма \(3\). Мы можем получить такую сумму удалив первые 2 элемента, после чего удалив последний элемент, сделав всего 3 операции. Массив станет \([0, 1, 1, 1, 0, 0]\), сумма элементов которого будет \(3\).

F. Я могу ошибаться

Бинарный поиск жадные алгоритмы *3400

Вам дана бинарная строка \(S\) длины \(n\), индексированная от \(1\) до \(n\). Вы можете выполнить следующую операцию любое количество раз (возможно, ноль):

  • Выберите два целых числа \(l\) и \(r\) (\(1 \le l \le r \le n\)). Пусть \(cnt_0\) это количество вхождений 0 в \(S[l \ldots r]\), а \(cnt_1\) это количество вхождений 1 в \(S[l \ldots r]\). Вы можете заплатить \(|cnt_0 - cnt_1| + 1\) монет и отсортировать \(S[l \ldots r]\). (Как \(S[l \ldots r]\) мы обозначаем подстроку \(S\), начинающуюся в позиции \(l\) и заканчивающуюся в позиции \(r\)).

    Например, если \(S = \) 11001, мы можем выполнить операцию над \(S[2 \ldots 4]\) за \(|2 - 1| + 1 = 2\) монеты и получить \(S = \) 10011 в качестве новой строки.

Найдите минимальное общее количество монет, необходимое для сортировки \(S\) в возрастающем порядке.

Входные данные

Первая строка содержит одно целое число \(t\) (\(1 \le t \le 1000\)) — количество наборов входных данных. Далее следует описание наборов входных данныхв.

Первая строка каждого набора входных данных содержит одно целое число \(n\) (\(1 \le n \le 2 \cdot 10^5\)) — размер \(S\).

Вторая строка каждого набора входных данных содержит бинарную строку \(S\) из \(n\) символов \(S_1S_2 \ldots S_n\). (\(S_i = \) 0 или \(S_i = \) 1 для каждого \(1 \le i \le n\)).

Гарантируется, что сумма \(n\) по всем наборам входных данных не превышает \(2 \cdot 10^5\).

Выходные данные

Для каждого набора входных данных выведите минимальное общее количество монет, необходимое для сортировки \(S\) в возрастающем порядке.

Примечание

В первом наборе входных данных \(S\) уже отсортирована.

Во втором наборе входных данных достаточно применить операцию с \(l = 1, r = 2\).

В третьем наборе входных данных достаточно применить операцию с \(l = 1, r = 2\).

D. Граф перестановки

Бинарный поиск Структуры данных Конструктив жадные алгоритмы *1900 разделяй и властвуй кратчайшие пути

Перестановкой является массив, состоящий из \(n\) различных целых чисел от \(1\) до \(n\) в произвольном порядке. Например, \([2,3,1,5,4]\) — перестановка, но \([1,2,2]\) не перестановка (\(2\) встречается в массиве дважды) и \([1,3,4]\) тоже не перестановка (\(n=3\), но в массиве встречается \(4\)).

Дана перестановка \([a_1,a_2,\dots,a_n]\) чисел \(1,2,\dots,n\). Для целых \(i\),\(j\), таких что \(1\le i<j\le n\), определим \(\operatorname{mn}(i,j)\) как \(\min\limits_{k=i}^j a_k\), а \(\operatorname{mx}(i,j)\) как \(\max\limits_{k=i}^j a_k\).

Построим неориентированный граф на \(n\) вершинах, пронумерованных от \(1\) до \(n\). Для каждой пары \(1\le i<j\le n\), если одновременно \(\operatorname{mn}(i,j)=a_i\) и \(\operatorname{mx}(i,j)=a_j\), или одновременно \(\operatorname{mn}(i,j)=a_j\) и \(\operatorname{mx}(i,j)=a_i\), то между вершинами \(i\) и \(j\) проводится неориентированное ребро длины \(1\).

Найдите в этом графе длину кратчайшего пути от вершины \(1\) до вершины \(n\). Можно доказать, что в таком графе вершины \(1\) и \(n\) всегда будут соединены каким-либо путём, так что кратчайший путь всегда существует.

Входные данные

Во входных данных находятся несколько наборов входных данных. В первой строке находится одно целое число \(t\) (\(1 \le t \le 5\cdot 10^4\)) — количество наборов входных данных. Далее следуют наборы входных данных.

Первая строка набора входных данных содержит одно целое число \(n\) (\(1\le n\le 2.5\cdot 10^5\)).

Вторая строка набора входных данных содержит \(n\) целых чисел \(a_1\),\(a_2\),\(\ldots\),\(a_n\) (\(1\le a_i\le n\)). Гарантируется, что \(a\) является перестановкой чисел \(1\),\(2\),\(\dots\),\(n\).

Гарантируется, что сумма значений \(n\) по всем наборам входных данных не превосходит \(5\cdot 10^5\).

Выходные данные

Для каждого набора входных данных выведите одно число — длину кратчайшего пути от \(1\) до \(n\).

Примечание

Ниже приведены построенные графы, отвечающие наборам входных данных.

граф в наборе 1
граф в наборе 2
граф в наборе 3
граф в наборе 4
граф в наборе 5

C. Любимая задача awoo

Строки Бинарный поиск Структуры данных Конструктив реализация *1400 жадные алгоритмы

Заданы две строки \(s\) и \(t\), обе длины \(n\). Каждый символ в обеих строках — 'a', 'b' или 'c'.

За один ход разрешается совершить одно из следующих действий:

  • выбрать вхождение «ab» в \(s\) и заменить его на «ba»;
  • выбрать вхождение «bc» в \(s\) и заменить его на «cb».

Разрешается совершить произвольное количество ходов (включая ноль). Можно ли сделать строку \(s\) равной строке \(t\)?

Входные данные

В первой строке записано одно целое число \(q\) (\(1 \le q \le 10^4\)) — количество наборов входных данных.

В первой строке каждого набора входных данных записано одно целое число \(n\) (\(1 \le n \le 10^5\)) — длина строк \(s\) и \(t\).

Во второй строке записана строка \(s\) длины \(n\). Каждый символ — 'a', 'b' или 'c'.

В третьей строке записана строка \(t\) длины \(n\). Каждый символ — 'a', 'b' или 'c'.

Сумма \(n\) по всем наборам входных данных не превосходит \(10^5\).

Выходные данные

На каждый набор входных данных выведите «YES», если возможно сделать строку \(s\) равной строке \(t\), совершив произвольное количество ходов (возможно, ноль). В противном случае выведите «NO».

D. Угадай строку

Бинарный поиск Конструктив *1900 интерактив

Это интерактивная задача. Не забывайте о том, что ваша программа должна каждый раз после вывода запроса сбрасывать буфер вывода. Для сброса буфера вывода можно использовать fflush(stdout) в C++, system.out.flush() в Java, stdout.flush() в Python или flush(output) в Pascal. Если вы используете другой язык программирования, посмотрите в его документации, как выполняется эта операция. Также рекомендуем вам прочесть руководство по интерактивным задачам: https://cf.m27.workers.dev/blog/entry/45307.

Жюри выбрало строку \(s\) из \(n\) символов; каждый символ \(s\) — это строчная буква латинского алфавита. Ваша задача — угадать эту строку. Изначально вам известна только длина строки.

Вы можете отправлять запросы двух типов:

  • \(1\) \(i\) — запрос первого типа, в котором \(i\) — целое число от \(1\) до \(n\). В ответ на такой запрос программа жюри выведет символ \(s_i\);
  • \(2\) \(l\) \(r\) — запрос второго типа, в котором \(l\) и \(r\) — целые числа, для которых \(1 \le l \le r \le n\). В ответ на такой запрос программа жюри выведет целое число, равное количеству различных символов среди \(s_l, s_{l+1}, \dots, s_r\).

Вы можете отправить не более \(26\) запросов первого типа и не более \(6000\) запросов второго типа. Ваша задача — восстановить строку \(s\).

В каждом тесте к этой задаче строка \(s\) — фиксированная и не меняется при запуске разных решений на одном и том же тесте. Иными словами, интерактор этой задачи не является адаптивным.

Входные данные

Изначально программа жюри выводит одно целое число \(n\) в отдельной строке — размер строки \(s\) (\(1 \le n \le 1000\)).

Выходные данные

Чтобы дать ответ на задачу, выведите одну строку ! s с символом перевода строки в конце, где \(s\) — загаданная строка. После этого ваша программа должна сбросить буфер вывода и завершиться.

Протокол взаимодействия

Чтобы отправить запрос, выведите строку, содержащую этот запрос, в одном из следующих форматов:

  • ? 1 i — для запроса первого типа (\(1 \le i \le n\));
  • ? 2 l r — для запроса второго типа (\(1 \le l \le r \le n\)).

Не забудьте сбросить буфер вывода после того, как выведете строку-запрос.

Ответ на ваш запрос будет выведен на отдельной строке. Для запроса первого типа ответом будет символ \(s_i\). Для запроса второго типа ответом будет целое число, равное количеству различных символов среди \(s_l, s_{l+1}, \dots, s_r\).

Вы можете отправить не более \(26\) запросов первого типа и не более \(6000\) запросов второго типа.

Если вы зададите слишком много запросов, или же программа жюри не сможет распознать формат запроса, ответом на запрос будет число \(0\). После получения ответа \(0\) ваша программа должна сразу же завершиться — иначе вы можете получить вердикт «Ошибка исполнения», «Превышено ограничение времени» или какой-то другой вместо вердикта «Неправильный ответ».

Примечание

Давайте разберем пример взаимодействия из условия.

Загаданная строка — guess, поэтому изначально программа жюри выводит одно целое число \(5\).

  1. первый запрос — ? 2 1 5, что означает «посчитайте количество различных символов среди \(s_1, s_2, \dots, s_5\)». Ответ на этот запрос — \(4\).
  2. второй запрос — ? 1 2, что означает «выведите символ \(s_2\)». Ответ на этот запрос — u.
  3. третий запрос — ? 2 1 2, что означает «посчитайте количество различных символов среди \(s_1\) и \(s_2\)». Ответ на этот запрос — \(2\).
  4. четвертый запрос — ? 1 1, что означает «выведите символ \(s_1\)». Ответ на этот запрос — g.
  5. пятый запрос — ? 1 3, что означает «выведите символ \(s_3\)». Ответ на этот запрос — e.
  6. шестой запрос — ? 1 4, что означает «выведите символ \(s_4\)». Ответ на этот запрос — s.
  7. седьмой запрос — ? 2 4 5, что означает «посчитайте количество различных символов среди \(s_4\) и \(s_5\)». Ответ на этот запрос — \(1\), и можно догадаться, что \(s_4\) и \(s_5\) — одинаковые символы.

В конце ответ на задачу отправляется в формате ! guess, и он является правильным.

D. Угадывание неподвижной точки

Бинарный поиск Конструктив *1600 интерактив

Это интерактивная задача.

Изначально у вас есть массив \(a = [1, 2, \ldots, n]\), где \(n\) — нечетное натуральное число. Жюри выбрало \(\frac{n-1}{2}\) непересекающихся пар элементов, и затем поменяло элементы в соответствующих парах местами. Например, если \(a=[1,2,3,4,5]\), и были выбраны пары \(1 \leftrightarrow 4\) и \(3 \leftrightarrow 5\), то получился массив \([4, 2, 5, 1, 3]\).

Можно заметить, что в результате обменов ровно один элемент остался на своем месте. Вы должны найти этот элемент.

Чтобы сделать это, вы можете сделать несколько запросов. В каждом запросе вы выбираете два целых числа \(l\) и \(r\) (\(1 \leq l \leq r \leq n\)). В качестве ответа вы получите элементы подмассива \([a_l, a_{l + 1}, \dots, a_r]\), отсортированные по возрастанию.

Найдите элемент, оставшийся на своем месте. Вы можете сделать не более чем \(\mathbf{15}\) запросов.

Массив \(a\) зафиксирован до начала взаимодействия и не зависит от ваших запросов.

Массив \(b\) является подмассивом \(a\), если \(b\) может быть получен из \(a\) удалением нескольких (возможно, ни одного или всех) элементов из начала и нескольких (возможно, ни одного или всех) элементов из конца.

Входные данные

Во входных данных находятся несколько наборов входных данных. В первой строке находится одно целое число \(t\) (\(1 \leq t \leq 500\)) — количество наборов входных данных. Далее следуют наборы входных данных.

Первая строка каждого набора входных данных содержит одно целое число \(n\) (\(3 \leq n < 10^4\); \(n\) нечетно) — длину массива \(a\).

После считывания первой строки вы должны начать взаимодействие.

Гарантируется, что сумма значений \(n\) по всем наборам входных данных не превосходит \(10^4\).

Протокол взаимодействия

Для каждого набора входных данных начните взаимодействие считыванием числа \(n\).

Чтобы сделать запрос, выведите строку «\(\texttt{?}\;l\;r\)» (\(1 \leq l \leq r \leq n\)) без кавычек. После этого считайте \(r-l+1\) целое число: числа \(a_l, a_{l + 1}, \dots, a_r\) в возрастающем порядке. Вы можете сделать не более \(15\) таких запросов для каждого набора входных данных.

Если вы получили в ответ или вместо числа \(n\) число \(-1\), это означает, что ваша программа сделала некорректный запрос, превысила ограничение на запросы или неправильно решила предыдущий набор входных данных. Ваша программа должна немедленно завершиться после прочтения такого ответа, вы получите вердикт Неправильный ответ. В противном случае вы можете получить любой вердикт, так как программа продолжит чтение из закрытого потока.

Когда вы готовы дать ответ, выведите «\(\texttt{!}\;x\)» (\(1 \leq x \leq n\)) без кавычек — элемент, который остался на своем месте. Вывод ответа не учитывается в ограничении на \(15\) запросов. После этого ваша программа должна продолжить решать оставшиеся наборы входных данных, или завершиться, если это был последний набор.

После вывода запроса не забудьте вывести перевод строки и сбросить буфер вывода. В противном случае вы получите вердикт Решение «зависло». Для сброса буфера используйте:

  • fflush(stdout) или cout.flush() в C++;
  • System.out.flush() в Java;
  • flush(output) в Pascal;
  • stdout.flush() в Python;
  • смотрите документацию для других языков.

Взломы

Чтобы сделать взлом, используйте следующий формат. Первая строка должна содержать целое число \(t\) (\(1 \leq t \leq 500\)) — количество наборов входных данных. Далее следуют описания наборов входных данных.

Первая строка каждого набора входных данных должна содержать одно целое число \(n\) (\(3 \leq n < 10^4\); \(n\) нечетное) — длину массива \(a\).

Вторая строка должна содержать \(n\) целых чисел \(a_1, a_2, \ldots, a_n\) (\(1 \le a_i \le n\)) — элементы массива \(a\). Массив \(a\) должен быть получен с помощью \(\frac{n-1}{2}\) непересекающихся обменов позиций элементов из массива \([1,2,\dots,n]\).

Примечание

В первом примере взаимодействие происходит следующим образом.

РешениеЖюриПояснение
\(\texttt{2}\)В примере 2 набора входных данных.
\(\texttt{5}\)В первом наборе входных данных загаданный массив \([4,2,5,1,3]\) длины \(5\).
\(\texttt{? 1 4}\)\(\texttt{1 2 4 5}\)Решение запросила подмассив \([4,2,5,1]\) в возрастающем порядке, жюри вернуло \([1,2,4,5]\).
\(\texttt{? 3 5}\)\(\texttt{1 3 5}\)Решение запросило подмассив \([5,1,3]\) в возрастающем порядке, жюри вернуло \([1,3,5]\).
\(\texttt{! 2}\)Решение некоторым образом определило, что \(a_2=2\), и вывело ответ. Так как ответ корректный, взаимодействие продолжается следующим набором входных данных.
\(\texttt{3}\)Во втором наборе входных данных загаданный массив \([1,3,2]\) длины \(3\).
\(\texttt{? 1 1}\)\(\texttt{1}\)Решение запросила подмассив \([1]\), жюри вернуло \([1]\).
\(\texttt{! 1}\)Решение определило, что \(a_1=1\), и вывело ответ. Так как ответ верный и больше нет наборов входных данных, решение завершается.

Обратите внимание, что переводы строк в примере даны для лучшего понимания, и отсутствуют в настоящем взаимодействии.

D. Шлюзы

Бинарный поиск математика дп жадные алгоритмы *1900

Недавно в Диваново построили огромную шлюзовую систему. Всего было построено \(n\) шлюзов, \(i\)-й из них имеет объем \(v_i\) литров, то есть в любой момент времени в нем может находиться любой объем воды от \(0\) до \(v_i\) литров. В каждый шлюз ведет труба, при открытии которой в шлюз будет поступать по \(1\) литру воды в секунду.

Шлюзовая система устроена так, что если доливать воду в \(i\)-й шлюз сверх его объема, то он будет моментально передавать всю лишнюю воду шлюзу с номером \(i + 1\). Если шлюз c номером \(i + 1\) тоже станет заполнен, то вся лишняя вода будет переливаться дальше. Вода из последнего шлюза будет выливаться в реку.

Рисунок показывает \(5\) шлюзов с открытыми трубами к шлюзам \(1\) и \(3\). Так как шлюзы \(1\), \(3\) и \(4\) уже заполнены, фактически вода идет в шлюзы \(2\) и \(5\).

Обратите внимание, что объем \(i\)-го шлюза может быть больше объема \(i + 1\)-го шлюза.

Для того, чтобы шлюзы начали функционировать, необходимо заполнить каждый из них. Мэра Дивановской области интересует \(q\) независимых запросов. Для каждого запроса предположим, что изначально все шлюзы пусты и все трубы закрыты, затем одновременно открываются несколько труб. Для \(j\)-го запроса мэр хочет знать, какое минимальное число труб надо включить, чтобы не позже чем через \(t_j\) секунд все шлюзы стали заполнены.

Помогите мэру справиться с этой сложной задачей, и ответьте на все его запросы!

Входные данные

В первой строке вводится одно целое число \(n\) (\(1 \le n \le 200\,000\)) — количество шлюзов.

Во второй строке вводятся \(n\) целых чисел \(v_1, v_2, \dots, v_n\) (\(1 \le v_i \le 10^9\)) — объемы шлюзов.

В третьей строке вводится одно целое число \(q\) (\(1 \le q \le 200\,000\)) — число запросов.

В следующих \(q\) строках вводится по одному целому числу \(t_j\) (\(1 \le t_j \le 10^9\)) — время, за которое нужно наполнить все шлюзы в \(j\)-м запросе.

Выходные данные

Выведите \(q\) чисел. \(j\)-е из них должно быть равно минимальному числу труб, которые придётся открыть, чтобы наполнить все шлюзы за время \(t_j\). Если за это время наполнить всю шлюзы невозможно, то выведите \(-1\).

Примечание

В первом примере есть \(6\) запросов.

В запросах \(1, 3, 4\) ответ \(-1\). Чтобы заполнить первый шлюз нужно подождать \(4\) секунды, даже если открыть все трубы.

Во шестом запросе можно открыть трубы в шлюзах \(1\), \(3\) и \(4\). Так через \(4\) секунды заполнятся шлюзы \(1\) и \(4\). В следующую \(1\) секунду \(1\) литр воды перельётся в шлюзы \(2\) и \(5\). Шлюз \(3\) будет заполнен своей трубой.

Аналогично во втором запросе можно открыть трубы в шлюзах \(1\), \(3\) и \(4\).

В пятом запросе можно открыть трубы в шлюзах с номерами \(1, 2, 3, 4\).

C. Организация расписания

Бинарный поиск реализация *1400 жадные алгоритмы

Есть \(n\) работников и \(m\) заданий. Работники пронумерованы от \(1\) до \(n\). У каждого задания \(i\) есть значение \(a_i\) — номер работника, который специализируется на этом задании.

Каждое задание должен выполнить один из работников. Если работник специализируется на задании, то он выполняет его за \(1\) час. Иначе он тратит на него \(2\) часа.

Работники работают параллельно и независимо друг от друга. Каждый работник может одновременно работать только над одним заданием.

Назначьте работника на каждое задание так, чтобы все задания были завершены как можно раньше. Работа начинается в момент времени \(0\). К какому минимальному времени все задания могут быть завершены?

Входные данные

В первой строке записано одно целое число \(t\) (\(1 \le t \le 10^4\)) — количество наборов входных данных.

В первой строке каждого набора входных данных записаны два целых числа \(n\) и \(m\) (\(1 \le n \le m \le 2 \cdot 10^5\)) — количество работников и количество заданий.

Во второй строке записаны \(m\) целых чисел \(a_1, a_2, \dots, a_m\) (\(1 \le a_i \le n\)) — номер работника, специализирующегося на \(i\)-м задании.

Сумма \(m\) по всем наборам входных данных не превосходит \(2 \cdot 10^5\).

Выходные данные

На каждый набор входных данных выведите одно целое число — минимальное время, к которому все задания могут быть завершены.

Примечание

В первом наборе первый работник работает над заданиями \(1\) и \(3\), а второй — над заданиями \(2\) и \(4\). Так как они оба специализируются на соответствующих заданиях, они их выполняют по \(1\) часу. Оба они выполняют \(2\) задания за \(2\) часа. Поэтому все задания оказываются выполнены за \(2\) часа.

Во втором наборе оптимально дать первому работнику задания \(1, 2\) и \(3\), а второму — задание \(4\). Первый работник потратит \(3\) часа, второй — \(2\) часа (так как он не специализируется на взятом задании).

В третьем наборе каждый работник может работать над заданием, на котором он специализируется. Так они выполнят все задания за \(1\) час.

D. Восстановление перестановки

Бинарный поиск Структуры данных математика жадные алгоритмы сортировки *1900

У Монокарпа была перестановка \(a\) состоящая из \(n\) чисел \(1\), \(2\), ..., \(n\) (перестановка — это массив, в котором каждый элемент от \(1\) до \(n\) встречается ровно один раз).

Монокарп составил массив целых чисел \(b\) размера \(n\), где \(b_i = \left\lfloor \frac{i}{a_i} \right\rfloor\). Например, если перестановка \(a\) равна \([2, 1, 4, 3]\), то массив \(b\) равен \(\left[ \left\lfloor \frac{1}{2} \right\rfloor, \left\lfloor \frac{2}{1} \right\rfloor, \left\lfloor \frac{3}{4} \right\rfloor, \left\lfloor \frac{4}{3} \right\rfloor \right] = [0, 2, 0, 1]\).

К сожалению, Монокарп потерял свою перестановку, поэтому он хочет восстановить ее. Ваша задача — найти перестановку \(a\), которая соответствует заданному массиву \(b\). Если таких перестановок несколько — выведите любую. Гарантируется, что хотя бы одна подходящая перестановка существует.

Входные данные

Первая строка содержит одно целое число \(t\) (\(1 \le t \le 10^5\)) — количество наборов входных данных.

Первая строка каждого набора содержит одно целое число \(n\) (\(1 \le n \le 5 \cdot 10^5\)).

Вторая строка содержит \(n\) целых чисел \(b_1, b_2, \dots, b_n\) (\(0 \le b_i \le n\)).

Дополнительные ограничения на входные данные:

  • сумма \(n\) по всем наборам входных данных не превосходит \(5 \cdot 10^5\);
  • существует хотя бы одна перестановка \(a\), по которой описанным в условии процессом можно получить заданный массив \(b\).
Выходные данные

Для каждого набора входных данных выведите \(n\) целых чисел — перестановку \(a\), которая соответствует заданному массиву \(b\). Если таких перестановок несколько — выведите любую.

F. Очередная задача про пары, удовлетворяющие неравенству

Бинарный поиск Структуры данных дп жадные алгоритмы сортировки *1300

Вам дан массив целых чисел \(a_1, a_2, \dots a_n\). Найдите число пар индексов \(1 \leq i, j \leq n\) таких, что \(a_i < i < a_j < j\).

Входные данные

Первая строка содержит одно целое число \(t\) (\(1 \leq t \leq 1000\)) — количество наборов входных данных. Далее следует их описание.

Первая строка каждого набора содержит число \(n\) (\(2 \leq n \leq 2 \cdot 10^5\)) — длину массива.

Вторая строка каждого набора содержит \(n\) целых чисел \(a_1, a_2, \dots, a_n\) (\(0 \leq a_i \leq 10^9\)) — элементы массива.

Гарантируется, что сумма \(n\) по всем наборам не превосходит \(2 \cdot 10^5\).

Выходные данные

Для каждого набора входных данных выведите одно число — количество пар индексов, удовлетворяющих неравенству из условия.

Пожалуйста, обратите внимание, что ответ для некоторых тестовых примеров может не поместиться в 32-разрядный целочисленный тип, поэтому вы должны использовать по крайней мере 64-разрядный целочисленный тип в вашем языке программирования (например, long long для C++).

Примечание

В первом наборе входных данных пары \((i, j)\) = \(\{(2, 4), (2, 8), (3, 8)\}\).

  • Пара \((2, 4)\) подходит, потому что \(a_2 = 1\), \(a_4 = 3\) и \(1 < 2 < 3 < 4\).
  • Пара \((2, 8)\) подходит, потому что \(a_2 = 1\), \(a_8 = 4\) и \(1 < 2 < 4 < 8\).
  • Пара \((3, 8)\) подходит, потому что \(a_3 = 2\), \(a_8 = 4\) и \(2 < 3 < 4 < 8\).

E. Марк и профессор Коро

Бинарный поиск Перебор Структуры данных Комбинаторика жадные алгоритмы *2300 битмаски

После просмотра одного аниме перед сном Марку снится, что он стоит в старом классе с меловой доской, на которой записана последовательность из \(n\) положительных целых чисел \(a_1, a_2,\dots,a_n\).

Затем в класс заходит профессор Коро. Он может выполнять следующую операцию:

  • выбрать целое число \(x\) которое присутствует на доске хотя бы \(2\) раза,
  • стереть эти \(2\) вхождения,
  • записать число \(x+1\) на доску.

После чего профессор Коро задает марку вопрос: «Какое максимально возможное число может появиться на доске после некоторого количества таких операций?»

Марк быстро отвечает на этот вопрос, но он всё ещё медленнее профессора Коро. Поэтому профессор Коро решает задать Марку дополнительные вопросы. Он будет менять изначальную последовательность чисел на доске \(q\) раз. Каждый раз он будет выбирать положительные целые числа \(k\) и \(l\), затем менять \(a_k\) на \(l\). После каждого такого изменения он будет спрашивать у Марка ответ на тот же самый вопрос.

Помогите Марку ответить на вопросы быстрее профессора Коро!

Обратите внимание, что изменения начальной последовательности на доске сохраняются. Изменения, внесенные в последовательность \(a\), будут так же применяться при обработке следующих изменений.

Входные данные

Первая строка входных данных содержит два целых числа \(n\) и \(q\) (\(2\leq n\leq 2\cdot 10^5\), \(1\leq q\leq 2\cdot 10^5\)) — длина последовательности \(a\) и количество изменений соответственно.

Вторая строка содержит \(n\) целых чисел \(a_1,a_2,\dots,a_n\) (\(1\leq a_i\leq 2\cdot 10^5\)).

Затем следуют \(q\) строк, каждая из которых содержит два целых числа \(k\) и \(l\) (\(1\leq k\leq n\), \(1\leq l\leq 2\cdot 10^5\)), означающие изменение \(a_k\) на значение \(l\).

Выходные данные

Выведите \(q\) строк, \(i\)-я строка должна содержать единственное целое число — ответ после \(i\)-го изменения.

Примечание

В первом примере программа должна обработать \(4\) изменения.

После первого обновления последовательность на доске выглядит как \([2,3,2,4,5]\). Одна из возможных последовательностей операций, достигающих числа \(6\), такая:

  • Изначально, на доске числа \([2,3,2,4,5]\).
  • Удаляем два вхождения числа \(2\) и записываем \(3\), получая \([3,4,5,\color{red}{3}]\).
  • Удаляем два вхождения числа \(3\) и записываем \(4\), получая \([4,5,\color{red}{4}]\).
  • Удаляем два вхождения числа \(4\) и записываем \(5\), получая \([5,\color{red}{5}]\).
  • Удаляем два вхождения числа \(5\) и записываем \(6\), получая \([\color{red}{6}]\).

Затем, во время второго изменения, массив станет равным \([2,3,2,4,3]\). В этот раз Марк не может достичь числа \(6\). Однако одна из последовательностей операций, приводящая к числу \(5\), такая:

  • Изначально, на доске числа \([2,3,2,4,3]\).
  • Удаляем два вхождения числа \(2\) и записываем \(3\), получая \([3,4,3,\color{red}{3}]\).
  • Удаляем два вхождения числа \(3\) и записываем \(4\), получая \([3,4,\color{red}{4}]\).
  • Удаляем два вхождения числа \(4\) и записываем \(5\), получая \([3,\color{red}{5}]\).

Во время третьего изменения массив станет равным \([2,3,2,1,3]\). Один из возможных вариантов достичь числа \(4\) такой:

  • Изначально, на доске числа \([2,3,2,1,3]\).
  • Удаляем два вхождения числа \(3\) и записываем \(4\), получая \([2,2,1,\color{red}{4}]\).

D1. Нарезка морковки (простая версия)

Бинарный поиск Перебор Конструктив теория чисел жадные алгоритмы *1700

Это простая версия задачи. Единственное отличие между простой и сложной версиями — ограничения на \(n\), \(k\), \(a_i\) и сумму \(n\) по всем наборам входных данных. Вы можете делать взломы, только если обе версии задачи решены.

Обратите внимание на нестандартное ограничение по памяти.

Вам дан массив целых чисел \(a_1, a_2, \ldots, a_n\) длины \(n\) и целое число \(k\).

Стоимость массива целых чисел \(p_1, p_2, \ldots, p_n\) длины \(n\) равна \(\)\max\limits_{1 \le i \le n}\left(\left \lfloor \frac{a_i}{p_i} \right \rfloor \right) - \min\limits_{1 \le i \le n}\left(\left \lfloor \frac{a_i}{p_i} \right \rfloor \right).\(\)

Здесь \(\lfloor \frac{x}{y} \rfloor\) обозначает целую часть от деления \(x\) на \(y\). Найдите минимальную возможную стоимость массива \(p\) такого, что \(1 \le p_i \le k\) для всех \(1 \le i \le n\).

Входные данные

В первой строке задано одно целое число \(t\) (\(1 \le t \le 100\)) — количество наборов входных данных. Далее следуют описания этих наборов.

В первой строке даны два числа \(n\) и \(k\) (\(1 \le n, k \le 3000\)).

Во второй строке даны \(n\) целых чисел \(a_1, a_2, \ldots, a_n\) (\(1 \le a_1 \le a_2 \le \ldots \le a_n \le 3000\)).

Гарантируется, что сумма \(n\) по всем наборам входных данных не превосходит \(3000\).

Выходные данные

Для каждого набора входных данных выведите одно число: минимальную возможную стоимость массива \(p\), удовлетворяющего условию выше.

Примечание

В первом наборе входных данных оптимальный массив \(p = [1, 1, 1, 2, 2]\). Массив значений \(\lfloor \frac{a_i}{p_i} \rfloor\) для данного массива равен \([4, 5, 6, 4, 5]\). Стоимость \(p\) равна \(\max\limits_{1 \le i \le n}(\lfloor \frac{a_i}{p_i} \rfloor) - \min\limits_{1 \le i \le n}(\lfloor \frac{a_i}{p_i} \rfloor) = 6 - 4 = 2\). Можно показать, что не существует массива (удовлетворяющего требованию из условия) с меньшей стоимостью.

Во втором наборе входных данных один из оптимальных массивов \(p = [12, 12, 12, 12, 12]\). Все значения \(\lfloor \frac{a_i}{p_i} \rfloor\) для данного массива равны \(0\).

В третьем наборе входных данных единственный возможный массив \(p = [1, 1, 1]\).

E. Qpwoeirut и вершины

Бинарный поиск Деревья Структуры данных поиск в глубину и подобное жадные алгоритмы разделяй и властвуй *2300 снм

Вам дан связный неориентированный граф из \(n\) вершин и \(m\) рёбер. Вершины графа пронумерованы целыми числами от \(1\) до \(n\), а рёбра графа пронумерованы целыми числами от \(1\) до \(m\).

Вам предстоит ответить на \(q\) запросов, каждый из которых состоит из двух чисел \(l\) и \(r\). Ответом на запрос является наименьшее неотрицательное число \(k\), для которого выполняется следующее условие:

  • для всех пар чисел \((a, b)\) таких, что \(l\le a\le b\le r\), вершины \(a\) и \(b\) достижимы друг из друга по пути, проходящему только по первым \(k\) рёбрам (то есть в пути могут встречаться только рёбра \(1, 2, \ldots, k\)).
Входные данные

В первой строке задано одно целое число \(t\) (\(1\le t\le 1000\)) — количество наборов входных данных. Далее следуют описания этих наборов.

В первой строке даны три числа \(n\), \(m\) и \(q\) (\(2\le n\le 10^5\), \(1\le m, q\le 2\cdot 10^5\)) — количество вершин, рёбер и запросов соответственно.

В каждой из следующих \(m\) строк дано по два числа \(u_i\) и \(v_i\) (\(1\le u_i, v_i\le n\)) — концы \(i\)-го ребра.

Гарантируется, что заданный граф связный и в нём нет кратных рёбер и петель.

В каждой из следующих \(q\) строк дано по два числа \(l\) и \(r\) (\(1\le l\le r\le n\)) — описания запросов.

Гарантируется, что сумма \(n\) во всем наборам входных данных не превосходит \(10^5\), сумма \(m\) во всем наборам входных данных не превосходит \(2\cdot 10^5\), сумма \(q\) во всем наборам входных данных не превосходит \(2\cdot 10^5\).

Выходные данные

Для каждого набора входных данных выведите \(q\) чисел — ответы на запросы.

Примечание
Граф из первого набора входных данных. Около ребра записан его номер.

В первом наборе входных данных граф состоит из \(2\) вершин и одного ребра между вершинами \(1\) и \(2\).

В первом запросе \(l=1\) и \(r=1\). Вершина достижима сама из себя без использования рёбер, поэтому ответ на этот запрос равен \(0\).

Во втором запросе \(l=1\) и \(r=2\). Вершины \(1\) и \(2\) достижимы друг из друга по пути \(1 \longleftrightarrow 2\), состоящему только из первого ребра. В то же время невозможно добраться из вершины \(1\) до вершины \(2\), используя только первые \(0\) рёбер. Поэтому ответ на запрос равен \(1\).

Граф из второго набора входных данных. Около рёбер записаны их номера.

Во втором наборе входных данных граф состоит из \(5\) вершин и \(5\) рёбер.

В первом запросе \(l=1\) и \(r=4\). Чтобы выполнить требуемое условие, достаточно использовать первые \(3\) ребра:

  • Вершины \(1\) и \(2\) достижимы друг из друга по пути \(1 \longleftrightarrow 2\) (состоящему из ребра \(1\)).
  • Вершины \(1\) и \(3\) достижимы друг из друга по пути \(1 \longleftrightarrow 3\) (состоящему из ребра \(2\)).
  • Вершины \(1\) и \(4\) достижимы друг из друга по пути \(1 \longleftrightarrow 2 \longleftrightarrow 4\) (состоящему из рёбер \(1\) и \(3\)).
  • Вершины \(2\) и \(3\) достижимы друг из друга по пути \(2 \longleftrightarrow 1 \longleftrightarrow 3\) (состоящему из рёбер \(1\) и \(2\)).
  • Вершины \(2\) и \(4\) достижимы друг из друга по пути \(2 \longleftrightarrow 4\) (состоящему из ребра \(3\)).
  • Вершины \(3\) и \(4\) достижимы друг из друга по пути \(3 \longleftrightarrow 1 \longleftrightarrow 2 \longleftrightarrow 4\) (состоящему из рёбер \(2\), \(1\) и \(3\)).

Невозможно выполнить требуемое условие, используя меньше \(3\) первых рёбер. Например, при использовании \(2\) рёбер, невозможно добраться из вершины \(1\) в вершину \(4\). Поэтому ответ на запрос равен \(3\).

Во втором запросе \(l=3\) и \(r=4\). Вершины \(3\) и \(4\) достижимы друг из друга по пути \(3 \longleftrightarrow 1 \longleftrightarrow 2 \longleftrightarrow 4\) (состоящему из рёбер \(2\), \(1\) и \(3\)). При использовании меньшего числа первых рёбер вершины \(3\) и \(4\) не будут достижимы друг из друга.

A. Дореми и её IQ

Бинарный поиск Конструктив реализация *1600 жадные алгоритмы

Дореми попросили протестировать \(n\) контестов. Контест \(i\) может быть протестирован только в день \(i\). Сложность контеста \(i\) равна \(a_i\). В начале показатель IQ Дореми равен \(q\). В день \(i\) Дореми решает, протестирует ли она контест \(i\) или нет. Она может протестировать контест только в случае, если её текущий показатель IQ строго больше \(0\).

Если Дореми решает протестировать контест \(i\) в день \(i\), то происходит следующее:

  • если \(a_i>q\), то Дореми чувствует себя недостаточно умной, поэтому \(q\) уменьшается на \(1\);
  • иначе ничего не изменяется.
При решении не тестировать контест ничего не происходит.

Дореми хочет протестировать как можно больше контестов. Помогите Дореми найти оптимальное решение.

Входные данные

Первая строка входных данных содержит одно целое число \(t\) (\(1\le t\le 10^4\)) — количество наборов входных данных в тесте. Далее следует описание наборов.

Первая строка каждого набора содержит целые числа \(n\) и \(q\) (\(1 \le n \le 10^5\), \(1 \le q \le 10^9\)) — число контестов и показатель IQ Дореми в начале.

Вторая строка каждого набора содержит \(n\) целых чисел \(a_1,a_2,\cdots,a_n\) (\(1 \le a_i \le 10^9\)) — сложность каждого контеста.

Гарантируется, что сумма значений \(n\) по всем наборам входных данных не превосходит \(10^5\).

Выходные данные

Для каждого набора выведите бинарную строку \(s\), где \(s_i=1\) если Дореми должна протестировать контест \(i\), и \(s_i=0\) иначе. Число единиц в строке должно быть максимально возможным, и при этом она не должна тестировать контест, когда её показатель IQ меньше либо равен нулю.

Если существуют несколько решений, выведите любое из них.

Примечание

В первом наборе входных данных Дореми тестирует единственный имеющийся контест. Её показатель IQ не уменьшается.

Во втором наборе входных данных Дореми тестирует оба имеющихся контеста. Её показатель IQ уменьшается на \(1\) после тестирования контеста \(2\).

В третьем наборе входных данных Дореми тестирует контесты \(1\) и \(2\). Её показатель IQ уменьшается до \(0\) после тестирования контеста \(2\), поэтому она не может протестировать контест \(3\).

E. Замена

Бинарный поиск Структуры данных *3500

Вам дан массив целых чисел \(a_1,\ldots, a_n\), где \(1\le a_i \le n\) для всех \(i\).

Так же есть функция «замены» \(f\), которая принимает в качестве аргументов пару целых чисел \((l, r)\), где \(l \le r\), и возвращает пару \(\)f\big( (l, r) \big)=\left(\min\{a_l,a_{l+1},\ldots,a_r\},\, \max\{a_l,a_{l+1},\ldots,a_r\}\right).\(\)

Рассмотрим повторные вызовы этой функции. То есть взяв начальную пару \((l, r)\) мы получаем \(f\big((l, r)\big)\), затем \(f\big(f\big((l, r)\big)\big)\), затем \(f\big(f\big(f\big((l, r)\big)\big)\big)\) и так далее.

Вам нужно ответить на \(q\) запросов. В \(i\)-м запросе вам даны два целых числа \(l_i\) и \(r_i\) (\(1\le l_i\le r_i\le n\)). Вы должны сказать, какое минимальное число раз вы должны применить функцию «замены» к паре \((l_i,r_i)\), чтобы получить \((1, n)\), или определить, что это невозможно.

Входные данные

Первая строка содержит два положительных целых числа \(n\), \(q\) (\(1\le n,q\le 10^5\)) — длина последовательности \(a\) и количество запросов.

Вторая строка содержит \(n\) положительных целых чисел \(a_1,a_2,\ldots,a_n\) (\(1\le a_i\le n\)) — последовательность \(a\).

Каждая из следующих \(q\) строк содержит два целых числа \(l_i\), \(r_i\) (\(1\le l_i\le r_i\le n\)) — запросы.

Выходные данные

Для каждого запроса выведите требуемое количество применений функции или \(-1\), если достичь требуемого результата невозможно.

Примечание

В первом примере \(n=5\) и \(a=[2,5,4,1,3]\).

В первом запросе: \((4,4)\to(1,1)\to(2,2)\to(5,5)\to(3,3)\to(4,4)\to\ldots\), поэтому невозможно получить \((1,5)\).

Во втором запросе у вас уже есть \((1,5)\).

В третьем запросе: \((1,4)\to(1,5)\).

В четвертом запросе: \((3,5)\to(1,4)\to(1,5)\).

В пятом запросе: \((4,5)\to(1,3)\to(2,5)\to(1,5)\).

В шестом запросе: \((2,3)\to(4,5)\to(1,3)\to(2,5)\to(1,5)\).

D. Роророробот

Бинарный поиск Структуры данных математика жадные алгоритмы *1700

Дано поле, состоящее из \(n\) строк и \(m\) столбцов. Строки пронумерованы от \(1\) до \(n\) снизу вверх. Столбцы пронумерованы от \(1\) до \(m\) слева направо. В \(i\)-м столбце нижние \(a_i\) ячеек заблокированы (ячейки в строках \(1, 2, \dots, a_i\)), оставшиеся \(n - a_i\) ячеек разблокированы.

Робот ходит по этому полю. Ему можно посылать команды — двигаться вверх, вправо, вниз или влево. Если робот пытается перейти в заблокированную ячейку или за границы поля, то он взрывается.

Однако, робот сломан — он выполняет каждую команду \(k\) раз. То есть, если вы говорите ему двигаться вверх, например, то он перейдет вверх \(k\) раз (на \(k\) ячеек). Нельзя посылать команды, пока робот выполняет текущую.

Приходят \(q\) запросов о роботе. Каждый запрос определяется начальной клеткой, конечной клеткой и значением \(k\). Можно ли послать роботу произвольное количество команд (возможно, ноль) так, что он достигнет конечную клетку из начальной с учетом того, что каждая команда выполняется \(k\) раз?

Робот должен остановиться в конечной ячейке. Если он проходит через конечную клетку во время выполнения команд, то это не считается.

Входные данные

В первой строке записаны два целых числа \(n\) и \(m\) (\(1 \le n \le 10^9\); \(1 \le m \le 2 \cdot 10^5\)) — количество строк и столбцов на поле.

Во второй строке записаны \(m\) целых чисел \(a_1, a_2, \dots, a_m\) (\(0 \le a_i \le n\)) — количество заблокированных ячеек внизу \(i\)-го столбца.

В третьей строке записано одно целое число \(q\) (\(1 \le q \le 2 \cdot 10^5\)) — количество запросов.

В каждой из следующих \(q\) строк записаны пять чисел \(x_s, y_s, x_f, y_f\) и \(k\) (\(a[y_s] < x_s \le n\); \(1 \le y_s \le m\); \(a[y_f] < x_f \le n\); \(1 \le y_f \le m\); \(1 \le k \le 10^9\)) — строка и столбец начальной ячейки, строка и столбец конечной ячейки и количество раз, которое выполняется каждая команда. Начальная и конечная клетки разблокированы.

Выходные данные

На каждый запрос выведите «YES», если можно послать роботу произвольное количество команд (возможно, ноль) так, что он достигнет конечную клетку из начальной с учетом того, что каждая команда выполняется \(k\) раз. Иначе выведите «NO».

B. Дождь

Бинарный поиск Перебор Структуры данных математика реализация геометрия *2100 жадные алгоритмы

Вы владеете полем, который можно представить как бесконечную числовую прямую, все позиции на которой отмечены целыми числами.

В следующие \(n\) дней будет идти дождь. В \(i\)-й день центр дождя будет располагаться в точке \(x_i\), а интенсивность дождя будет равна \(p_i\). Из-за дождей будет собираться дождевая вода; пусть \(a_j\) будет обозначать объем воды, накопившийся в точке \(j\). Изначально \(a_j\) равно \(0\), после дождя в \(i\)-й день это значение увеличится на \(\max(0,p_i-|x_i-j|)\).

Поле затопит, если в некоторый момент будет существовать точка \(j\), в которой накопится \(a_j>m\) воды.

Вы можете использовать заклинание и отменить дождь в ровно один из дней, т. е. установить \(p_i=0\). Для каждого \(i\) от \(1\) до \(n\) определите, если вы отмените дождь в \(i\)-й день, верно ли, что затопления не случится?

Входные данные

Каждый тест состоит из нескольких наборов входных данных. В первой строке находится одно целое число \(t\) (\(1 \leq t \leq 10^4\)) — количество наборов входных данных. Далее следует описание наборов входных данных.

Первая строка содержит два целых числа \(n\) и \(m\) (\(1 \leq n \leq 2 \cdot 10^5\), \(1 \leq m \leq 10^9\)) — количество дней и максимальный объем воды, который может находиться в одной точке, не вызывая затопления.

Далее следуют \(n\) строк. \(i\)-я из этих строк содержит два целых числа \(x_i\) и \(p_i\) (\(1 \leq x_i,p_i \leq 10^9\)) — положение центра и интенсивность дождя в \(i\)-й день.

Гарантируется, что сумма значений \(n\) по всем наборам входных данных не превосходит \(2 \cdot 10^5\).

Выходные данные

Для каждого набора входных данных выведите бинарную строку \(s\) длины \(n\). \(i\)-й символ строки \(s\) должен быть равен 1, если в случае отмены дождя в \(i\)-й день затопления не случится, и 0, если в случае отмены дождя в \(i\)-й день затопление произойдет.

Примечание

В первом наборе входных данных, если не использовать заклинание, собравшаяся вода будет выглядеть следующим образом:

Если отменить дождь в третий день, затопление будет предотвращено, и собравшаяся вода будет выглядеть следующим образом:

Во втором примере изначально нет затопления, поэтому можно отменить дождь в любой день.

В третьем примере нет способа избежать затопления.

E. Два массива

Бинарный поиск Паросочетания *2400 игры

Вам даны два массива целых чисел \(a_1,a_2,\dots,a_n\) и \(b_1,b_2,\dots,b_m\).

Алиса и Боб играют в игру. Алиса ходит первой, а затем они ходят по очереди.

Они играют на доске \(n \times m\) (\(n\) строк и \(m\) столбцов). Изначально в клетке в первой строке и первом столбце стоит ладья.

В свой ход игрок может сделать одну из следующих двух операций:

  1. Переместить ладью в другую клетку в том же ряду или в том же столбце с текущей клеткой. Игрок не может переместить ладью в клетку, которая уже была посещена \(1000\) раз до этого (т. е. ладья может находиться на одной клетке не более \(1000\) раз за всю игру). Обратите внимание, что стартовая клетка считается уже посещенной один раз в начале игры.
  2. Немедленно закончить игру со счетом \(a_r+b_c\), где \((r, c)\) — координаты текущей клетки (т. е. ладья находится в \(r\)-й строку \(c\)-м столбце).

Боб хочет максимизировать счет игры, а Алиса хочет минимизировать его. Если они оба играют оптимально, каким будет итоговый счет?

Входные данные

Первая строка содержит два целых числа \(n\) и \(m\) (\(1 \leq n,m \leq 2 \cdot 10^5\)) — длины массивов \(a\) и \(b\) (которые совпадают с размерами доски).

Вторая строка содержит \(n\) целых чисел \(a_1, a_2, \dots, a_n\) (\(1 \leq a_i \leq 5 \cdot 10^8\)).

Третья строка содержит \(m\) целых чисел \(b_1, b_2,\dots, b_n\) (\(1 \leq b_i \leq 5 \cdot 10^8\)).

Выходные данные

Выведите одну строку — итоговый счет игры.

Примечание

В первом примере Алиса передвинет ладью на клетку \((2, 1)\), а Боб передвинет ладью обратно на клетку \((1, 1)\). Этот процесс повторится \(999\) раз, а затем, после хода Алисы, Боб не сможет передвинуть ладью обратно на клетку \((1, 1)\), так как она уже была посещена \(1000\) раз. Поэтому счет игры будет равен \(a_2+b_1=4\).

Во втором примере счет игры равен \(a_3+b_5\).

D. Пустой граф

Бинарный поиск Структуры данных Конструктив *2000 жадные алгоритмы кратчайшие пути

 — Do you have a wish?
 — I want people to stop gifting each other arrays.
O_o and Another Young Boy

Массив из \(n\) целых положительных чисел \(a_1,a_2,\ldots,a_n\) упал на вас с небес вместе с целым положительным числом \(k \le n\).

Вы можете применить следующую операцию не более \(k\) раз:

  • Выбрать индекс \(1 \le i \le n\) и целое число \(1 \le x \le 10^9\). Затем выполнить \(a_i := x\) (присвоить \(x\) значению \(a_i\)).

Затем вы строите полный неориентированный взвешенный граф с \(n\) вершинами, пронумерованными целыми числами от \(1\) до \(n\), где ребро \((l, r)\) (\(1 \le l < r \le n\)) имеет вес \(\min(a_{l},a_{l+1},\ldots,a_{r})\).

Вам необходимо найти максимально возможный диаметр итогового графа после применения не более \(k\) операций.

Диаметр неориентированного взвешенного графа равен \(\max\limits_{1 \le u < v \le n}{\operatorname{d}(u, v)}\), где \(\operatorname{d}(u, v)\) является длиной кратчайшего пути между вершинами \(u\) и \(v\) данного графа.

Входные данные

Каждый тест состоит из нескольких наборов входных данных. В первой строке находится одно целое число \(t\) (\(1 \le t \le 10^4\)) — количество наборов входных данных. Далее следует описание наборов входных данных.

Первая строка каждого набора входных данных содержит два целых числа \(n\) и \(k\) (\(2 \le n \le 10^5\), \(1 \le k \le n\)).

Вторая строка каждого набора входных данных содержит \(n\) целых положительных чисел \(a_1,a_2,\ldots,a_n\) (\(1 \le a_i \le 10^9\)).

Гарантируется, что сумма значений \(n\) по всем наборам входных данных не превосходит \(10^5\).

Выходные данные

Для каждого набора входных данных выведите единственное целое число — максимально возможный диаметр итогового графа после применения не более \(k\) операций.

Примечание

В первом наборе входных данных один из оптимальных итоговых массивов — \([2,4,5]\).

Граф, полученный из данного массива:

\(\operatorname{d}(1, 2) = \operatorname{d}(1, 3) = 2\) и \(\operatorname{d}(2, 3) = 4\), поэтому диаметр графа равен \(\max(2,2,4) = 4\).

E1. Сумма НОК (простая версия)

Бинарный поиск Перебор Комбинаторика математика теория чисел *2300

We are sum for we are many
Some Number

Это простая версия задачи. Разница между простой и сложной версиями задачи заключается только в ограничении на \(t\). Вы можете делать взломы только в том случае, если обе версии задачи решены.

Вам даны два целых положительных числа \(l\) и \(r\).

Посчитайте количество уникальных троек целых чисел \((i, j, k)\) таких, что \(l \le i < j < k \le r\) и \(\operatorname{lcm}(i,j,k) \ge i + j + k\).

Здесь \(\operatorname{lcm}(i, j, k)\) означает наименьшее общее кратное (НОК) целых чисел \(i\), \(j\), и \(k\).

Входные данные

Каждый тест состоит из нескольких наборов входных данных. В первой строке находится одно целое число \(t\) (\(\bf{1 \le t \le 5}\)) — количество наборов входных данных. Далее следует описание наборов входных данных.

Единственная строка каждого набора входных данных содержит два целых числа \(l\) и \(r\) (\(1 \le l \le r \le 2 \cdot 10^5\), \(l + 2 \le r\)).

Выходные данные

Для каждого набора входных данных выведите единственное целое число — количество уникальных троек целых чисел, подходящих под условия задачи.

Примечание

В первом наборе входных данных существует \(3\) подходящих тройки:

  • \((1,2,3)\),
  • \((1,3,4)\),
  • \((2,3,4)\).

Во втором наборе входных данных существует только \(1\) подходящая тройка:

  • \((3,4,5)\).

F. Триаметр

Бинарный поиск Деревья Структуры данных поиск в глубину и подобное *3200

 — What is my mission?
 — To count graph diameters.
You and Your Submission

Дерево — это неориентированный связный граф без циклов. Взвешенное дерево — это дерево, каждому ребру которого назначен некоторый вес. Степень вершины — это количество ребер, прилегающих к данной вершине.

Вам дано взвешенное дерево с \(n\) вершинами, каждое ребро которого имеет вес \(1\). Определим множество вершин \(L\) следующим образом: все вершины, степень которых равна \(1\), входят в это множество, остальные вершины в это множество не входят.

Вам необходимо ответить на \(q\) независимых запросов. В \(i\)-м запросе:

  1. Вам дано целое положительное число \(x_i\).
  2. Для всех \(u,v \in L\) таких, что \(u < v\), добавьте ребро \((u, v)\) с весом \(x_i\) в граф (который изначально является данным вам деревом).
  3. Найдите диаметр итогового графа.

Диаметр графа равен \(\max\limits_{1 \le u < v \le n}{\operatorname{d}(u, v)}\), где \(\operatorname{d}(u, v)\) — это длина кратчайшего пути между вершинами \(u\) и \(v\).

Входные данные

В первой строке находится единственное целое число \(n\) (\(3 \le n \le 10^6\)).

Во второй строке находится \(n - 1\) целое число \(p_2,p_3,\ldots,p_n\) (\(1 \le p_i < i\)), каждое из которых означает, что в графе есть ребро между вершинами \(i\) и \(p_i\). Гарантируется, что данные ребра образуют дерево.

В третьей строке находится единственное целое число \(q\) (\(1 \le q \le 10\)).

В четвертой строке находится \(q\) целых чисел \(x_1,x_2,\ldots,x_q\) (\(1 \le x_i \le n\)). Все \(x_i\) попарно различны.

Выходные данные

В единственной строке выведите \(q\) целых чисел, которые являются ответами на запросы.

Примечание

Граф в первом тесте после добавления ребер:

G. Префиксы путей

Бинарный поиск Деревья Структуры данных поиск в глубину и подобное *1700

Вам задано корневое дерево. Оно содержит \(n\) вершин, которые пронумерованы от \(1\) до \(n\). Корнем является вершина \(1\).

У каждого ребра есть две положительных целых стоимости. Таким образом, для каждого ребра заданы два положительных целых числа \(a_j\) и \(b_j\).

Выведите \(n-1\) число \(r_2, r_3, \dots, r_n\), где \(r_i\) определяется следующим образом.

Рассмотрим путь из корня (вершины \(1\)) в \(i\) (\(2 \le i \le n\)). Пусть сумма стоимостей \(a_j\) вдоль этого пути равна \(A_i\). Тогда \(r_i\) равно длине максимального такого префикса этого пути, что сумма \(b_j\) вдоль этого префикса не превосходит \(A_i\).

Пример для \(n=9\). Синим цветом изображены стоимости \(a_j\), а красным изображены стоимости \(b_j\).

Рассмотрим пример. В этом случае:

  • \(r_2=0\), так как путь до \(2\) имеет сумму по \(a_j\) равную \(5\), только префикс этого пути длины \(0\) имеет меньшую или равную сумму по \(b_j\);
  • \(r_3=3\), так как путь до \(3\) имеет сумму по \(a_j\) равную \(5+9+5=19\), префикс длины \(3\) этого пути имеет сумму по \(b_j\) равную \(6+10+1=17\) (число \(17 \le 19\));
  • \(r_4=1\), так как путь до \(4\) имеет сумму по \(a_j\) равную \(5+9=14\), префикс длины \(1\) этого пути имеет сумму по \(b_j\) равную \(6\) (это самый длинный подходящий префикс, так как префикс длины \(2\) уже имеет сумму по \(b_j\) равную \(6+10=16\), что больше \(14\));
  • \(r_5=2\), так как путь до \(5\) имеет сумму по \(a_j\) равную \(5+9+2=16\), префикс длины \(2\) этого пути имеет сумму по \(b_j\) равную \(6+10=16\) (это самый длинный подходящий префикс, так как префикс длины \(3\) уже имеет сумму по \(b_j\) равную \(6+10+1=17\), что больше \(16\));
  • \(r_6=1\), так как путь до \(6\) имеет сумму по \(a_j\) равную \(2\), префикс длины \(1\) этого пути имеет сумму по \(b_j\) равную \(1\);
  • \(r_7=1\), так как путь до \(7\) имеет сумму по \(a_j\) равную \(5+3=8\), префикс длины \(1\) этого пути имеет сумму по \(b_j\) равную \(6\) (это самый длинный подходящий префикс, так как префикс длины \(2\) уже имеет сумму по \(b_j\) равную \(6+3=9\), что больше \(8\));
  • \(r_8=2\), так как путь до \(8\) имеет сумму по \(a_j\) равную \(2+4=6\), префикс длины \(2\) этого пути имеет сумму по \(b_j\) равную \(1+3=4\);
  • \(r_9=3\), так как путь до \(9\) имеет сумму по \(a_j\) равную \(2+4+1=7\), префикс длины \(3\) этого пути имеет сумму по \(b_j\) равную \(1+3+3=7\).
Входные данные

В первой строке записано целое число \(t\) (\(1 \le t \le 10^4\)) — количество наборов входных данных в тесте.

Далее следуют описания наборов входных данных.

Каждое описание начинается строкой, которая содержит целое число \(n\) (\(2 \le n \le 2\cdot10^5\)) — количество вершин в дереве.

Далее следует \(n-1\) строка, каждая из которых содержит три числа \(p_j, a_j, b_j\) (\(1 \le p_j \le n\); \(1 \le a_j,b_j \le 10^9\)) — предок вершины \(j\), первая и вторая стоимости ребра, которое ведёт из \(p_j\) в \(j\). Величина \(j\) пробегает все значения от \(2\) до \(n\) включительно. Гарантируется, что в каждом наборе входных данных задано корректное подвешенное дерево с корнем в вершине \(1\).

Гарантируется, что сумма значений \(n\) по всем наборам входных данных не превосходит \(2\cdot10^5\).

Выходные данные

Для каждого набора входных данных выведите \(n-1\) целое число в одной строке: \(r_2, r_3, \dots, r_n\).

Примечание

Первый пример разобран в условии.

Во втором примере:

  • \(r_2=0\), так как путь до \(2\) имеет сумму по \(a_j\) равную \(1\), только префикс этого пути длины \(0\) имеет меньшую или равную сумму по \(b_j\);
  • \(r_3=0\), так как путь до \(3\) имеет сумму по \(a_j\) равную \(1+1=2\), префикс длины \(1\) этого пути имеет сумму по \(b_j\) равную \(100\) (\(100 > 2\));
  • \(r_4=3\), так как путь до \(4\) имеет сумму по \(a_j\) равную \(1+1+101=103\), префикс длины \(3\) этого пути имеет сумму по \(b_j\) равную \(102\), .

C. Турнир по борьбе

Бинарный поиск Структуры данных реализация *1400

Бурёнка пришла смотреть самое интересное спортивное событие года — турнир по борьбе, организованный её другом Тоней.

В турнире участвует \(n\) спортсменов, им были выданы номера от \(1\) до \(n\). Для спортсмена с \(i\)-м номером Бурёнка определила его силу — целое число \(a_i\), где \(1 \leq a_i \leq n\). Все силы различны, то есть массив сил \(a\) является перестановкой длины \(n\). Известно, что если \(a_i > a_j\), то \(i\)-й участник всегда побеждает \(j\)-го

Турнир проходит так: сначала все \(n\) спортсменов встают в очередь по возрастанию своих номеров, а затем происходит бесконечно много туров. В каждом туре происходит ровно один поединок между первыми двумя спортсменами из очереди. Победитель возвращается в начало очереди, а проигравший встаёт в её конец.

Бурёнка решила задать Тоне \(q\) вопросов. В каждом вопросе Бурёнка спрашивает, сколько побед \(i\)-й спортсмен одержит за первые \(k\) туров соревнования для некоторых \(i\) и \(k\). Тоня не очень хорош в аналитике, поэтому просит вас помочь ему с ответом на все вопросы.

Входные данные

Первая строка содержит одно целое число \(t\) (\(1 \leq t \leq 10^4\)) — количество наборов входных данных. Далее следует описание наборов входных данных.

Первая строка каждого набора входных данных содержит два целых числа \(n\) и \(q\) (\(2 \leq n \leq 10^5\), \(1 \leq q \leq 10^5\)) — количество участников турнира и число вопросов.

Вторая строка каждого набора входных данных содержит \(n\) целых чисел \(a_1, a_2, \ldots, a_n\) (\(1 \leq a_i \leq n\)) — массив \(a\), являющийся перестановкой.

Следующие \(q\) строк набора входных данных содержат вопросы. Каждая строка содержит два целых числа \(i\) и \(k\) (\(1 \leq i \leq n\), \(1 \leq k \leq 10^9\)) — номер участника и число туров.

Гарантируется, что сумма значений \(n\) и сумма значений \(q\) по всем наборам входных данных не превосходят \(10^5\).

Выходные данные

На каждый вопрос Бурёнки выведите единственную строку, содержащую одно целое число — ответ на вопрос.

Примечание

В первом наборе входных данных первый по номеру спортсмен имеет силу \(3\), в первом туре он победит спортсмена с номером \(2\) и силой \(1\), а во втором — спортсмена с номером \(3\) и силой \(2\).

Во втором наборе входных данных перечислим силы спортсменов, дерущихся в первых \(5\) боях: \(1\) и \(3\), \(3\) и \(4\), \(4\) и \(2\), \(4\) и \(1\), \(4\) и \(3\). Участник с номером \(4\) в первых \(5\) турах одержал \(0\) побед (его сила равна \(2\)). Участник с номером \(3\) имеет силу \(4\) и в первых двух боях одержал \(1\) победу, проведя \(1\) бой.

C. Мин-макс преобразование массива

Бинарный поиск *1400 жадные алгоритмы

Вам задан отсортированный массив \(a_1, a_2, \dots, a_n\). Вы решили получить из него массив \(b_1, b_2, \dots, b_n\) следующим образом:

  1. Создайте массив \(d\), состоящий из \(n\) произвольных неотрицательных целых чисел.
  2. Присвойте \(b_i = a_i + d_i\) для каждого \(b_i\).
  3. Отсортируйте массив \(b\) в порядке неубывания.

Вам задан полученный в результате массив \(b\). Посчитайте для каждого \(i\), какое минимально и максимально возможное значение \(d_i\) вы можете выбрать так, чтобы было возможно получить массив \(b\).

Заметим, что минимальные (максимальные) \(d_i\) считаются независимо друг от друга, т. е. могут быть получены из разных подходящих массивов \(d\).

Входные данные

В первой строке задано одно целое число \(t\) (\(1 \le t \le 10^4\)) — количество наборов входных данных.

В первой строке каждого набора задано одно целое число \(n\) (\(1 \le n \le 2 \cdot 10^5\)) — длина массивов \(a\), \(b\) и \(d\).

Во второй строке каждого набора заданы \(n\) целых чисел \(a_1, a_2, \dots, a_n\) (\(1 \le a_i \le 10^9\); \(a_i \le a_{i+1}\)) — массив \(a\) в порядке неубывания.

В третьей строке заданы \(n\) целых чисел \(b_1, b_2, \dots, b_n\) (\(1 \le b_i \le 10^9\); \(b_i \le b_{i+1}\)) — массив \(b\) в порядке неубывания.

Дополнительные ограничения на входные данные:

  • существует хотя бы один способ выбрать массив \(d\), состоящий из неотрицательных целых чисел, чтобы получить массив \(b\) из \(a\);
  • сумма \(n\) по всем наборам входных данных не превосходит \(2 \cdot 10^5\).
Выходные данные

Для каждого набора входных данных выведите две строки. Во-первых, выведите \(n\) целых чисел \(d_1^{min}, d_2^{min}, \dots, d_n^{min}\), где \(d_i^{min}\) — минимально возможное значение, которое можно прибавить к \(a_i\).

Во-вторых, выведите \(n\) целых чисел \(d_1^{max}, d_2^{max}, \dots, d_n^{max}\), где \(d_i^{max}\) — максимально возможное значение, которое можно добавить к \(a_i\).

Все \(d_i^{min}\) и \(d_i^{max}\) считаются независимо друг от друга. Другими словами, для каждого \(i\), \(d_i^{min}\) — это просто минимальное значение среди всех возможных \(d_i\).

Примечание

В первом наборе входных данных, для получения \(d_1^{min} = 5\) можно выбрать, например, \(d = [5, 10, 6]\). Тогда \(b\) \(=\) \([2+5,3+10,5+6]\) \(=\) \([7,13,11]\) \(=\) \([7,11,13]\).

Для \(d_2^{min} = 4\) можно выбрать \(d\) \(=\) \([9, 4, 8]\). Тогда \(b\) \(=\) \([2+9,3+4,5+8]\) \(=\) \([11,7,13]\) \(=\) \([7,11,13]\).

B. Basketball Together

Бинарный поиск *1000 жадные алгоритмы сортировки

A basketball competition is held where the number of players in a team does not have a maximum or minimum limit (not necessarily \(5\) players in one team for each match). There are \(N\) candidate players in the competition that will be trained by Pak Chanek, the best basketball coach on earth. The \(i\)-th candidate player has a power of \(P_i\).

Pak Chanek will form zero or more teams from the \(N\) candidate players on the condition that each candidate player may only join in at most one team. Each of Pak Chanek's teams will be sent to compete once with an enemy team that has a power of \(D\). In each match, the team sent is said to defeat the enemy team if the sum of powers from the formed players is strictly greater than \(D\).

One of Pak Chanek's skills is that when a team that has been formed plays in a match, he can change the power of each player in the team to be equal to the biggest player power from the team.

Determine the maximum number of wins that can be achieved by Pak Chanek.

Input

The first line contains two integers \(N\) and \(D\) (\(1 \le N \le 10^5\), \(1 \le D \le 10^9\)) — the number of candidate players and the power of the enemy team.

The second line contains \(N\) integers \(P_1, P_2, \ldots, P_N\) (\(1 \le P_i \le 10^9\)) — the powers of all candidate players.

Output

A line containing an integer representing the maximum number of wins that can be achieved by Pak Chanek.

Note

The \(1\)-st team formed is a team containing players \(4\) and \(6\). The power of each player in the team becomes \(100\). So the total power of the team is \(100 + 100 = 200 > 180\).

The \(2\)-nd team formed is a team containing players \(1\), \(2\), and \(5\). The power of each player in the team becomes \(90\). So the total power of the team is \(90 + 90 + 90 = 270 > 180\).

C. Circular Mirror

Бинарный поиск Комбинаторика математика геометрия *2000

Pak Chanek has a mirror in the shape of a circle. There are \(N\) lamps on the circumference numbered from \(1\) to \(N\) in clockwise order. The length of the arc from lamp \(i\) to lamp \(i+1\) is \(D_i\) for \(1 \leq i \leq N-1\). Meanwhile, the length of the arc between lamp \(N\) and lamp \(1\) is \(D_N\).

Pak Chanek wants to colour the lamps with \(M\) different colours. Each lamp can be coloured with one of the \(M\) colours. However, there cannot be three different lamps such that the colours of the three lamps are the same and the triangle made by considering the three lamps as vertices is a right triangle (triangle with one of its angles being exactly \(90\) degrees).

The following are examples of lamp colouring configurations on the circular mirror.

Figure 1. an example of an incorrect colouring because lamps \(1\), \(2\), and \(3\) form a right triangleFigure 2. an example of a correct colouringFigure 3. an example of a correct colouring

Before colouring the lamps, Pak Chanek wants to know the number of distinct colouring configurations he can make. Count the number of distinct possible lamp colouring configurations, modulo \(998\,244\,353\).

Input

The first line contains two integers \(N\) and \(M\) (\(1 \le N \le 3 \cdot 10^5\), \(2 \le M \le 3 \cdot 10^5\)) — the number of lamps in the mirror and the number of different colours used.

The second line contains \(N\) integers \(D_1, D_2, \ldots, D_N\) (\(1 \le D_i \le 10^9\)) — the lengths of the arcs between the lamps in the mirror.

Output

An integer representing the number of possible lamp colouring configurations, modulo \(998\,244\,353\).

Note

In the first example, all correct lamp colouring configurations are \([1, 1, 2, 1]\), \([1, 1, 2, 2]\), \([1, 2, 1, 2]\), \([1, 2, 2, 1]\), \([1, 2, 2, 2]\), \([2, 1, 1, 1]\), \([2, 1, 1, 2]\), \([2, 1, 2, 1]\), \([2, 2, 1, 1]\), and \([2, 2, 1, 2]\).

D. Deducing Sortability

Бинарный поиск математика битмаски *2900

Let's say Pak Chanek has an array \(A\) consisting of \(N\) positive integers. Pak Chanek will do a number of operations. In each operation, Pak Chanek will do the following:

  1. Choose an index \(p\) (\(1 \leq p \leq N\)).
  2. Let \(c\) be the number of operations that have been done on index \(p\) before this operation.
  3. Decrease the value of \(A_p\) by \(2^c\).
  4. Multiply the value of \(A_p\) by \(2\).

After each operation, all elements of \(A\) must be positive integers.

An array \(A\) is said to be sortable if and only if Pak Chanek can do zero or more operations so that \(A_1 < A_2 < A_3 < A_4 < \ldots < A_N\).

Pak Chanek must find an array \(A\) that is sortable with length \(N\) such that \(A_1 + A_2 + A_3 + A_4 + \ldots + A_N\) is the minimum possible. If there are more than one possibilities, Pak Chanek must choose the array that is lexicographically minimum among them.

Pak Chanek must solve the following things:

  • Pak Chanek must print the value of \(A_1 + A_2 + A_3 + A_4 + \ldots + A_N\) for that array.
  • \(Q\) questions will be given. For the \(i\)-th question, an integer \(P_i\) is given. Pak Chanek must print the value of \(A_{P_i}\).

Help Pak Chanek solve the problem.

Note: an array \(B\) of size \(N\) is said to be lexicographically smaller than an array \(C\) that is also of size \(N\) if and only if there exists an index \(i\) such that \(B_i < C_i\) and for each \(j < i\), \(B_j = C_j\).

Input

The first line contains two integers \(N\) and \(Q\) (\(1 \leq N \leq 10^9\), \(0 \leq Q \leq \min(N, 10^5)\)) — the required length of array \(A\) and the number of questions.

The \(i\)-th of the next \(Q\) lines contains a single integer \(P_i\) (\(1 \leq P_1 < P_2 < \ldots < P_Q \leq N\)) — the index asked in the \(i\)-th question.

Output

Print \(Q+1\) lines. The \(1\)-st line contains an integer representing \(A_1 + A_2 + A_3 + A_4 + \ldots + A_N\). For each \(1 \leq i \leq Q\), the \((i+1)\)-th line contains an integer representing \(A_{P_i}\).

Note

In the first example, the array \(A\) obtained is \([1, 2, 3, 3, 4, 4]\). We can see that the array is sortable by doing the following operations:

  • Choose index \(5\), then \(A = [1, 2, 3, 3, 6, 4]\).
  • Choose index \(6\), then \(A = [1, 2, 3, 3, 6, 6]\).
  • Choose index \(4\), then \(A = [1, 2, 3, 4, 6, 6]\).
  • Choose index \(6\), then \(A = [1, 2, 3, 4, 6, 8]\).

G. Garage

Бинарный поиск математика геометрия *1500

Pak Chanek plans to build a garage. He wants the garage to consist of a square and a right triangle that are arranged like the following illustration.

Define \(a\) and \(b\) as the lengths of two of the sides in the right triangle as shown in the illustration. An integer \(x\) is suitable if and only if we can construct a garage with assigning positive integer values for the lengths \(a\) and \(b\) (\(a<b\)) so that the area of the square at the bottom is exactly \(x\). As a good friend of Pak Chanek, you are asked to help him find the \(N\)-th smallest suitable number.

Input

The only line contains a single integer \(N\) (\(1 \leq N \leq 10^9\)).

Output

An integer that represents the \(N\)-th smallest suitable number.

Note

The \(3\)-rd smallest suitable number is \(7\). A square area of \(7\) can be obtained by assigning \(a=3\) and \(b=4\).

H. Mainak и кровоточащий многоугольник

Бинарный поиск математика реализация геометрия *3500

У Mainak есть выпуклый многоугольник \(\mathcal P\) с \(n\) вершинами, пронумерованными как \(A_1, A_2, \ldots, A_n\) против часовой стрелки. Координаты \(i\)-й точки \(A_i\) даны как \((x_i, y_i)\), где \(x_i\) и \(y_i\) являются целыми числами.

Кроме того, известно, что внутренний угол при \(A_i\) является либо прямым углом, либо правильным тупым углом. Формально, известно, что:

  • \(90 ^ \circ \le \angle A_{i - 1}A_{i}A_{i + 1} < 180 ^ \circ\), \(\forall i \in \{1, 2, \ldots, n\}\), где мы условно считаем \(A_0 = A_n\) и \(A_{n + 1} = A_1\).

Друг Mainak настаивал на том, чтобы все точки \(Q\) такие, что существует хорда многоугольника \(\mathcal P\), проходящая через \(Q\), длины не больше \(1\), должны быть покрашены в \(\color{red}{\text{красный}}\).

Mainak хочет, чтобы вы нашли площадь цветной области, образованной \(\color{red}{\text{красными}}\) точками.

Формально, определите площадь области \(\mathcal S = \{Q \in \mathcal{P}\) | \(Q \text{ покрашено в } \color{red}{\text{красный}}\}\).

Напомним, что хордой многоугольника называется отрезок между двумя точками, лежащими на границе (т.е. вершинами или точками на сторонах) многоугольника.

Входные данные

Первая строка содержит целое число \(n\) (\(4 \le n \le 5000\)) — количество вершин многоугольника \(\mathcal P\).

\(i\)-я из следующих \(n\) строк содержит два целых числа \(x_i\) и \(y_i\) (\(-10^9 \le x_i, y_i \le 10^9\)) — координаты точки \(A_i\).

Гарантируется, что вершины образуют выпуклый многоугольник и перечислены в порядке против часовой стрелки. Также гарантируется, что все внутренние углы лежат в полуинтервале \([90 ^ \circ; 180 ^ \circ)\).

Выходные данные

Выведите площадь многоугольника, покрашенную в \(\color{red}{\text{красный}}\).

Ваш ответ будет считаться правильным, если его абсолютная или относительная погрешность не превосходит \(10^{-4}\).

Формально, пусть ваш ответ равен \(a\), и ответ жюри равен \(b\). Ваш ответ будет принят тогда и только тогда, когда \(\frac{|a - b|}{\max{(1, |b|)}} \le 10^{-4}\).

Примечание

В первом примере многоугольник \(\mathcal P\) можно представить на декартовой плоскости как:

G. Освещение

Бинарный поиск Перебор Комбинаторика математика дп *2700 битмаски

Рассмотрим отрезок \([0, d]\) координатной прямой. В этом отрезке \(n\) фонарей и \(m\) интересных точек.

Для каждого фонаря вы должны выбрать его мощность — целое число от \(0\) до \(d\) (включительно). Фонарь с координатой \(x\) освещает интересную точку с координатой \(y\), если \(|x - y|\) меньше либо равно мощности фонаря.

Способ выбрать мощности для всех фонарей является корректным, если каждая интересная точка освещена хотя бы одним фонарем.

Вам нужно обработать \(q\) запросов. Каждый запрос обозначается одним целым числом \(f_i\). Чтобы ответить на \(i\)-й запрос, вам нужно:

  • добавить фонарь в точку \(f_i\);
  • посчитать количество корректных способов назначить мощность каждому фонарю, и вывести это количество по модулю \(998244353\);
  • удалить только что добавленный фонарь.
Входные данные

В первой строке заданы три целых числа \(d\), \(n\) и \(m\) (\(4 \le d \le 3 \cdot 10^5\); \(1 \le n \le 2 \cdot 10^5\); \(1 \le m \le 16\)) — размер отрезка, количество фонарей и количество интересных точек, соответственно.

Во второй строке заданы \(n\) целых чисел \(l_1, l_2, \dots, l_n\) (\(1 \le l_i \le d - 1\)), где \(l_i\) — координата \(i\)-го фонаря.

В третьей строке заданы \(m\) целых чисел \(p_1, p_2, \dots, p_m\) (\(1 \le p_i \le d - 1\)), где \(p_i\) — координата \(i\)-й интересной точки.

В четвертой строке задано одно целое число \(q\) (\(1 \le q \le 5 \cdot 10^5\)) — количество запросов.

В пятой строке заданы \(q\) целых чисел \(f_1, f_2, \dots, f_q\) (\(1 \le f_i \le d - 1\)), где \(f_i\) — число, соответствующее \(i\)-му запросу.

Дополнительное ограничение на входные данные: при обработке каждого запроса ни в какой точке отрезка нету двух или более объектов (то есть не может быть ни двух фонарей с одинаковой координатой, ни двух интересных точек с одинаковой координатой, ни фонаря и интересной точки с одинаковой координатой).

Выходные данные

Для каждого запроса выведите ответ на него по модулю \(998244353\).

B. Собрание на прямой

Бинарный поиск Тернарный поиск математика реализация *1600 геометрия жадные алгоритмы

\(n\) людей живут на координатной прямой, \(i\)-й человек живет в точке \(x_i\) (\(1 \le i \le n\)). Они хотят выбрать точку \(x_0\) для встречи. \(i\)-й человек потратит \(|x_i - x_0|\) минут, чтобы добраться до места встречи. Также \(i\)-му человеку требуется \(t_i\) минут чтобы одеться, поэтому суммарно ему нужно \(t_i + |x_i - x_0|\) минут чтобы добраться до места встречи.

Здесь \(|y|\) обозначает модуль числа \(y\).

Эти люди просят вас выбрать позицию \(x_0\), которая минимизирует время, через которое все \(n\) людей доберутся до места встречи.

Входные данные

В первой строке задано единственное целое число \(t\) (\(1 \le t \le 10^3\)) — количество наборов входных данных. Затем следуют сами наборы входных данных.

Каждый набор входных данных состоит из трех строк.

В первой строке задано единственное целое число \(n\) (\(1 \le n \le 10^5\)) — количество людей.

Во второй строке заданы \(n\) целых чисел \(x_1, x_2, \dots, x_n\) (\(0 \le x_i \le 10^{8}\)) — позиции людей.

В третьей строке заданы \(n\) целых чисел \(t_1, t_2, \dots, t_n\) (\(0 \le t_i \le 10^{8}\)), где \(t_i\) это время, которое нужно \(i\)-му человеку, чтобы одеться.

Гарантируется, что сумма \(n\) по всем наборам входных данных не превосходит \(2 \cdot 10^5\).

Выходные данные

Для каждого набора входных данных выведите единственное вещественное число — оптимальная позиция \(x_0\). Можно показать, что существует единственная оптимальная позиция \(x_0\).

Ваш ответ будет считаться правильным, если его абсолютная или относительная ошибка не превосходит \(10^{−6}\). Формально, пусть ваш ответ равен \(a\), а ответ жюри равен \(b\). Ваш ответ будет зачтен, если \(\frac{|a−b|}{max(1,|b|)} \le 10^{−6}\).

Примечание
  • В \(1\)-м наборе входных данных есть только один человек, поэтому целесообразно выбрать место встречи в его позиции. Тогда он доберется до него за \(3\) минуты, которые нужны ему, чтобы одеться.
  • Во \(2\)-м наборе входных данных есть \(2\) человека, которым не нужно время, чтобы одеться. Чтобы добраться до позиции \(2\), каждому из них потребуется по одной минуте.
  • В \(5\)-м наборе входных данных \(1\)-му человеку нужно \(4\) минуты, чтобы добраться до позиции \(1\) (\(4\) минуты, чтобы одеться, и \(0\) минут на сам путь); \(2\)-му человеку нужно \(2\) минуты, чтобы добраться до позиции \(1\) (\(1\) минута, чтобы одеться, и \(1\) минута на сам путь); \(3\)-му человеку нужно \(4\) минуты, чтобы добраться до позиции \(1\) (\(2\) минуты, чтобы одеться, и \(2\) минуты на сам путь).

D. Новая карта Valiant

Бинарный поиск Перебор Структуры данных дп *1700

Разработчик игр «DbZ Games» хочет добавить еще одну карту в свою популярную игру «Valiant». В этот раз карта под именем «Panvel» будет сделана на основе города Мумбаи.

Мумбаи можно представить как \(n \times m\) клеточное поле. В каждой клетке \((i, j)\) (\(1 \le i \le n\); \(1 \le j \le m\)) поля расположено здание в форме параллелепипеда высотой \(a_{i,j}\).

В этот раз DbZ Games хотят создать карту с идеальным вертикальным геймплеем. Для этого им нужно выбрать квадрат \(l \times l\) в Мумбаи такой, что каждое здание в этом квадрате имеет высоту хотя бы \(l\).

Можете ли вы помочь DbZ Games найти соответствующий квадрат наибольшего размера \(l\)?

Входные данные

Каждый тест состоит из нескольких наборов входных данных. В первой строке находится одно целое число \(t\) (\(1 \leq t \leq 1000\)) — количество наборов входных данных. Далее следует описание наборов входных данных.

В первой строке каждого набора входных данных заданы два положительных целых числа \(n\) и \(m\) (\(1 \le n \le m\); \(1 \leq n \cdot m \leq 10^6\)).

В \(i\)-й из следующих \(n\) строк заданы \(m\) целых чисел \(a_{i,1}, a_{i,2}, \dots, a_{i,m}\) (\(1 \leq a_{i,j} \leq 10^6\)) — высоты зданий в \(i\)-м ряду.

Гарантируется, что сумма \(n \cdot m\) по всем наборам входных данных не превосходит \(10^6\).

Выходные данные

Для каждого набора входных данных выведите одно число — наибольший размер \(l\) квадрата, который может выбрать DbZ Games.

Примечание

В первом наборе входных данных мы можем выбрать квадрат со стороной \(l = 2\) (т. е. все поле), так как высоты всех зданий больше или равны \(2\).

Во втором наборе мы можем выбрать сторону квадрата только как \(1\), а потому ответ равен \(1\).

В третьем наборе на поле нет квадратов со стороной \(2\), в которых все здания не ниже \(2\), а потому ответ равен \(1\).

C1. Шейх (простая версия)

Бинарный поиск *1800 жадные алгоритмы битмаски

Это простая версия задачи. Единственное различие состоит в том, что в этой версии \(q = 1\).

Вам дан массив целых чисел \(a_1, a_2, \ldots, a_n\).

Стоимостью подотрезка массива \([l, r]\), \(1 \leq l \leq r \leq n\), назовем величину \(f(l, r) = \operatorname{sum}(l, r) - \operatorname{xor}(l, r)\), где \(\operatorname{sum}(l, r) = a_l + a_{l+1} + \ldots + a_r\), а \(\operatorname{xor}(l, r) = a_l \oplus a_{l+1} \oplus \ldots \oplus a_r\) (\(\oplus\) обозначает побитовое исключающее ИЛИ).

У вас будет \(q = 1\) запрос. Каждый запрос задается парой чисел \(L_i\), \(R_i\), где \(1 \leq L_i \leq R_i \leq n\). Вам нужно найти подотрезок \([l, r]\), \(L_i \leq l \leq r \leq R_i\) с максимальным значением \(f(l, r)\). Если подходящих ответов несколько, то среди них нужно найти подотрезок с минимальной длиной, то есть минимальным значением \(r - l + 1\).

Входные данные

Каждый тест состоит из нескольких наборов входных данных. Первая строка содержит целое число \(t\) (\(1 \leq t \leq 10^4\)) — количество наборов входных данных. Далее следует описание наборов входных данных.

Первая строка каждого набора входных данных содержит два целых числа \(n\) и \(q\) (\(1 \leq n \leq 10^5\), \(q = 1\)) — длину массива и количество запросов.

Вторая строка каждого набора входных данных содержит \(n\) целых чисел \(a_1, a_2, \ldots, a_n\) (\(0 \leq a_i \leq 10^9\)) — элементы массива.

\(i\)-я из следующих \(q\) строк каждого набора входных данных содержит два целых числа \(L_i\) и \(R_i\) (\(1 \leq L_i \leq R_i \leq n\)) — границы, в которых нужно найти отрезок.

Гарантируется, что сумма \(n\) по всем наборам входных данных не превосходит \(2 \cdot 10^5\).

Гарантируется, что \(L_1 = 1\) и \(R_1 = n\).

Выходные данные

Для каждого набора входных данных выведите \(q\) пар чисел \(L_i \leq l \leq r \leq R_i\), таких что значение \(f(l, r)\) максимально, а среди таких длина \(r - l + 1\) минимальна. Если существует несколько правильных ответов, выведите любой из них.

Примечание

В первом наборе входных данных \(f(1, 1) = 0 - 0 = 0\).

Во втором наборе входных данных \(f(1, 1) = 5 - 5 = 0\), \(f(2, 2) = 10 - 10 = 0\). Заметим, что \(f(1, 2) = (10 + 5) - (10 \oplus 5) = 0\), но нам среди максимальных значений \(f(l, r)\) нужно найти подотрезок с минимальной длиной. Поэтому правильными ответами будут только отрезки \([1, 1]\) и \([2, 2]\).

В четвертом наборе входных данных \(f(2, 3) = (12 + 8) - (12 \oplus 8) = 16\).

В пятом наборе входных данных есть два правильных ответа, так как \(f(2, 3) = f(3, 4)\) и их длины равны.

C2. Шейх (сложная версия)

Бинарный поиск Перебор реализация *2100 жадные алгоритмы битмаски

Это сложная версия задачи. Единственное различие состоит в том, что в этой версии \(q = n\).

Вам дан массив целых чисел \(a_1, a_2, \ldots, a_n\).

Стоимостью подотрезка массива \([l, r]\), \(1 \leq l \leq r \leq n\), назовем величину \(f(l, r) = \operatorname{sum}(l, r) - \operatorname{xor}(l, r)\), где \(\operatorname{sum}(l, r) = a_l + a_{l+1} + \ldots + a_r\), а \(\operatorname{xor}(l, r) = a_l \oplus a_{l+1} \oplus \ldots \oplus a_r\) (\(\oplus\) обозначает побитовое исключающее ИЛИ).

У вас будет \(q\) запросов. Каждый запрос задается парой чисел \(L_i\), \(R_i\), где \(1 \leq L_i \leq R_i \leq n\). Вам нужно найти подотрезок \([l, r]\), \(L_i \leq l \leq r \leq R_i\) с максимальным значением \(f(l, r)\). Если ответов несколько, то среди них нужно найти подотрезок с минимальной длиной, то есть минимальным значением \(r - l + 1\).

Входные данные

Каждый тест состоит из нескольких наборов входных данных. Первая строка содержит целое число \(t\) (\(1 \leq t \leq 10^4\)) — количество наборов входных данных. Далее следует описание наборов входных данных.

Первая строка каждого набора входных данных содержит два целых числа \(n\) и \(q\) (\(1 \leq n \leq 10^5\), \(q = n\)) — длину массива и количество запросов.

Вторая строка каждого набора входных данных содержит \(n\) целых чисел \(a_1, a_2, \ldots, a_n\) (\(0 \leq a_i \leq 10^9\)) — элементы массива.

\(i\)-я из следующих \(q\) строк каждого набора входных данных содержит два целых числа \(L_i\) и \(R_i\) (\(1 \leq L_i \leq R_i \leq n\)) — границы, в которых нужно найти отрезок.

Гарантируется, что сумма \(n\) по всем наборам входных данных не превосходит \(2 \cdot 10^5\).

Гарантируется, что \(L_1 = 1\) и \(R_1 = n\).

Выходные данные

Для каждого набора входных данных выведите \(q\) пар чисел \(L_i \leq l \leq r \leq R_i\), таких что значение \(f(l, r)\) максимально, а среди таких длина \(r - l + 1\) минимальна. Если существует несколько правильных ответов, выведите любой из них.

Примечание

Во всех наборах входных данных рассматривается первый запрос.

В первом наборе входных данных \(f(1, 1) = 0 - 0 = 0\).

Во втором наборе входных данных \(f(1, 1) = 5 - 5 = 0\), \(f(2, 2) = 10 - 10 = 0\). Заметим, что \(f(1, 2) = (10 + 5) - (10 \oplus 5) = 0\), но нам среди максимальных значений \(f(l, r)\) нужно найти подотрезок с минимальной длиной. Поэтому правильными ответами будут только отрезки \([1, 1]\) и \([2, 2]\).

В четвертом наборе входных данных \(f(2, 3) = (12 + 8) - (12 \oplus 8) = 16\).

В пятом наборе входных данных есть два правильных ответа, так как \(f(2, 3) = f(3, 4)\) и их длины равны.

C1. Хорошие подмассивы (простая версия)

Бинарный поиск Структуры данных *1300 расписания

Это простая версия этой задачи. В этой версии нет запросов. Однако обратите внимание, что в этой версии в каждом тесте может быть несколько наборов входных данных. Вы можете делать взломы только если обе версии задачи решены.

Массив \(b\) длины \(m\) является хорошим, если \(i\)-й элемент больше либо равен \(i\) для всех \(i\). Другими словами, \(b\) хороший, если и только если \(b_i \geq i\) для всех \(i\) (\(1 \leq i \leq m\)).

Вам дан массив \(a\), состоящий из \(n\) положительных целых чисел. Найдите количество пар индексов \((l, r)\), где \(1 \le l \le r \le n\), таких, что массив \([a_l, a_{l+1}, \ldots, a_r]\) хороший.

Входные данные

Каждый тест состоит из нескольких наборов входных данных. В первой строке находится одно целое число \(t\) (\(1 \leq t \leq 2 \cdot 10^5\)) — количество наборов входных данных. Далее следует описание наборов входных данных.

Первая строка каждого набора входных данных содержит одно целое число \(n\) (\(1 \leq n \leq 2 \cdot 10^5\)) — длину массива \(a\).

Вторая строка каждого набора содержит \(n\) целых чисел \(a_1,a_2,\ldots,a_n\) (\(1 \leq a_i \leq n\)) — массив \(a\).

Гарантируется, что сумма значений \(n\) по всем наборам входных данных не превосходит \(2 \cdot 10^5\).

Выходные данные

Для каждого набора входных данных выведите количество подходящих пар индексов.

Примечание

В первом примере все подмассивы \(a\) являются хорошими, поэтому все пары индексов подходят.

Во втором примере пары \((1, 1)\), \((2, 2)\) и \((3, 3)\) подходят. Однако, например, при \((l, r) = (1, 2)\), массив \(b=[1,1]\) не является хорошим, потому что \(b_2 < 2\).

C2. Хорошие подмассивы (сложная версия)

Бинарный поиск Структуры данных дп *2400

Это сложная версия этой задачи. В этой версии присутствуют запросы. Обратите внимание, что в этой версии в каждом тесте ровно один набор входных данных. Вы можете делать взломы только если обе версии задачи решены.

Массив \(b\) длины \(m\) является хорошим, если \(i\)-й элемент больше либо равен \(i\) для всех \(i\). Другими словами, \(b\) хороший, если и только если \(b_i \geq i\) для всех \(i\) (\(1 \leq i \leq m\)).

Вам дан массив \(a\), состоящий из \(n\) положительных целых чисел, а также \(q\) запросов.

В каждом запросе вам даны два целых числа \(p\) и \(x\) (\(1 \leq p,x \leq n\)). Вам нужно выполнить \(a_p := x\) (присвоить \(x\) элементу \(a_p\)). В обновленном массиве, найдите количество пар индексов \((l, r)\), где \(1 \le l \le r \le n\), таких, что массив \([a_l, a_{l+1}, \ldots, a_r]\) хороший.

Обратите внимание, что все запросы независимы то есть после каждого запроса массив \(a\) восстанавливается к изначальному состоянию.

Входные данные

Первая строка содержит одно целое число \(n\) (\(1 \le n \le 2 \cdot 10^5\)).

Вторая строка содержит \(n\) целых чисел \(a_1, a_2, \ldots, a_n\) (\(1 \le a_i \le n\)).

Третья строка содержит одно целое число \(q\) (\(1 \leq q \leq 2 \cdot 10^5\)) — количество запросов.

Каждая из следующих \(q\) строк содержит два целых числа \(p_j\) и \(x_j\) (\(1 \leq p_j, x_j \leq n\)) – описание \(j\)-го запроса.

Выходные данные

Для каждого запроса выведите количество подходящих пар индексов после изменения массива.

Примечание

Ниже находятся примечания к первому примеру.

В первом запросе \(a=[2,4,1,4]\). Здесь \((1,1)\), \((2,2)\), \((3,3)\), \((4,4)\), \((1,2)\) и \((3,4)\) являются подходящими парами.

Во втором запросе \(a=[2,4,3,4]\). Все подмассивы \(a\) являются хорошими.

В третьем запросе \(a=[2,1,1,4]\). Здесь \((1,1)\), \((2,2)\), \((3,3)\), \((4,4)\) и \((3,4)\) являются подходящими парами.

B. Фитнес Элы и роскошные числа

Бинарный поиск математика реализация *1300

Работая в DTL, Эла тщательно следит за своим физическим и психическим здоровьем. Она начала заниматься различными видами спорта, такими как стрельба из лука, йога и футбол.

С тех пор, как Эла начала заниматься спортом, Эла переключается на новый вид спорта в те дни, которые она считает «роскошными». Пусть очередной день является \(x\)-м по порядку с начала занятий (дни нумеруются с единицы, то есть начальный день занятий является \(1\)-м). Этот день является «роскошным», если \(x\) нацело делится на \({\lfloor \sqrt{x} \rfloor}\)

Здесь \(\lfloor r \rfloor\) обозначает округление вниз действительного числа \(r\). Другими словами, это наибольшее целое число, не превышающее \(r\). \(x\)

Например: \(8\)-й, \(56\)-й, \(100\)-й дни — «роскошные», так как \(8\) делится на \(\lfloor \sqrt{8} \rfloor = \lfloor 2.8284 \rfloor = 2\), \(56\) делится на \(\lfloor \sqrt{56} \rfloor = \lfloor 7.4833 \rfloor = 7\) и \(100\) делится на \(\lfloor \sqrt{100} \rfloor = \lfloor 10 \rfloor = 10\). С другой стороны, \(5\)-й или \(40\)-й дни не являются таковыми, поскольку \(5\) не делится на \(\lfloor \sqrt{5} \rfloor = \lfloor 2.2361 \rfloor = 2\), а \(40\) не делится на \(\lfloor \sqrt{40} \rfloor = \lfloor 6.3246 \rfloor = 6\).

Будучи другом Элы, вы хотите заниматься с ней этими фитнес-мероприятиями, чтобы держать ее и себя в тонусе (и, конечно, повеселиться вместе). Ответьте на несколько вопросов, сколько раз Эла меняет вид спорта с \(l\) по \(r\) дни включительно?

Входные данные

Во входных данных находятся несколько наборов входных данных. В первой строке находится одно целое число \(t\) (\(1 \le t \le 10\ 000\)) — количество наборов входных данных. Далее следуют наборы входных данных.

Единственная строка каждого набора входных данных содержит два целых числа \(l\) и \(r\) (\(1 \le l \le r \le 10^{18}\)) — границы интервала, на котором вам нужно узнать, сколько раз Эла поменяет вид спорта.

Выходные данные

Для каждого набора входных данных выведите ответ на задачу.

Примечание

В первом наборе входных данных есть \(5\) «роскошных» чисел на интервале \([8, 19]\): \(8, 9, 12, 15, 16\).

G. Эла на уроке танцев

Бинарный поиск Структуры данных *3500

Работники DTL любят вечеринки по выходным. Эла тоже! К сожалению, она еще не умеет танцевать. Поэтому она решила пойти на урок танцев.

В танцевальном классе \(n\) студентов, включая Элу. В финальном проекте \(n\) студентов примут участие в композиции, описанной ниже.

\(n\) студентов расположатся на положительной стороне оси \(Ox\). \(i\)-й танцор будет находиться в точке \(a_i > 0\). Некоторые танцоры будут менять положение во время танца (назовем их подвижными танцорами), а другие будут оставаться на одном месте во время композиции (назовем их неподвижными танцорами). Обозначим танцоров с помощью бинарной строки \(s\) длины \(n\): если \(s_i\) равно '1', то \(i\)-й танцор подвижный, иначе \(i\)-й танцор неподвижный. Хотя бы один танцор является подвижным.

Назовем значением положительной энергии композиции число \(d > 0\). Танцоры будут выполнять движения на основе этого значения.

Каждую минуту после начала танца подвижный танцор с наименьшей координатой \(x\) начинает движение вправо. В начале движения уровень энергии танцора будет равен значению положительной энергии композиции, то есть \(d\). Каждый раз, когда этот танцор перемещается с какой-то координаты \(y\) на координату \(y+1\), уровень его энергии будет уменьшаться на \(1\). В какой-то момент танцор может встретить другого танцора (возможно, это произойдет несколько раз), в той координате, где он окажется. Если это произойдет, то уровень энергии танцора повысится на \(1\). Танцор перестанет двигаться вправо, когда его уровень энергии достигнет \(0\), и при этом он не стоит на одной координате с каким-либо другим танцором.

Танцоры очень хорошо подготовлены, и каждое движение заканчивается до того, как начинается следующая минута.

Чтобы показать свое понимание этой композиции, Эла должна ответить на \(q\) запросов, каждый из которых состоит из двух целых чисел \(k\) и \(m\). Ответом на этот запрос является координата \(m\)-го танцора (любого типа) слева на \(k\)-й минуте после начала композиции. Другими словами, обозначим как \(x_{k, 1}, x_{k, 2}, \dots, x_{k, n}\) отсортированные координаты танцоров на \(k\)-й минуте от начала, вам нужно вывести \(x_{k, m}\).

Входные данные

Первая строка содержит три целых числа \(n\), \(d\) и \(q\) (\(1 \le n \le 10^5\); \(1 \le d \le 10^9\); \(1 \le q \le 10^5\) ) — количество танцоров, значение положительной энергии композиции и количество запросов.

Вторая строка содержит \(n\) целых чисел \(a_1, a_2, \dots, a_n\) (\(1 \le a_1 < a_2 < \dots < a_n \le 10^9\)) — координаты танцоров.

Третья строка содержит бинарную строку \(s\) длины \(n\) — показатель подвижности каждого танцора. Каждый символ равен '0' или '1', где '0' обозначает неподвижность очередного танцора, а '1' подвижного. Гарантируется, что \(s\) содержит хотя бы один символ '1'.

Далее следуют \(q\) строк, \(i\)-я из которых содержит два целых числа \(k_i\) и \(m_i\) (\(1 \le k_i \le 10^9\), \(1 \le m_i \le n\)) — очередной запрос.

Выходные данные

Для каждого из \(q\) запросов выведите ответ на задачу.

Примечание

Рассмотрим первый пример.

В первую минуту \(1\) — это самая маленькая координата среди подвижных танцоров. Энергия танцора изначально равна \(3\). Затем происходит следующее:

  • Танцор перемещается с \(1\) на \(2\). Уровень энергии снизился до \(2\).
  • Танцор перемещается с \(2\) на \(3\). Уровень энергии снизился до \(1\), а затем увеличился до \(2\), когда он встретил другого танцора в координате \(3\).
  • Танцор перемещается с \(3\) на \(4\). Уровень энергии снизился до \(1\).
  • Танцор перемещается с \(4\) на \(5\). Уровень энергии снизился до \(0\).

В конце первой минуты отсортированные координаты танцоров становятся \([3, 5, 6, 7]\), а их соответствующая подвижность равна '0111'.

На второй минуте \(5\) — самая маленькая координата среди подвижных танцоров. Энергия танцора изначально равна \(3\). Затем происходит следующее:

  • Танцор перемещается с \(5\) на \(6\). Уровень энергии снизился до \(2\), а затем увеличился до \(3\), когда он встретил другого танцора в координате \(6\).
  • Танцор перемещается с \(6\) на \(7\). Уровень энергии снизился до \(2\), а затем увеличился до \(3\), когда он встретил другого танцора в координате \(7\).
  • Танцор перемещается с \(7\) на \(8\). Уровень энергии снизился до \(2\).
  • Танцор перемещается с \(8\) на \(9\). Уровень энергии снизился до \(1\).
  • Танцор перемещается с \(9\) на \(10\). Уровень энергии снизился до \(0\).

В конце второй минуты отсортированные координаты танцоров становятся \([3, 6, 7, 10]\), а их соответствующая подвижность равна '0111'.

D. Сбросить k ребер

Бинарный поиск Деревья Структуры данных поиск в глубину и подобное жадные алгоритмы *1900 графы

Задано корневое дерево, состоящее из \(n\) вершин. Вершины пронумерованы от \(1\) до \(n\), корень — это вершина \(1\).

Вы можете совершить следующую операцию не более \(k\) раз:

  • выбрать ребро \((v, u)\) дерева такое, что \(v\) является родителем \(u\);
  • удалить ребро \((v, u)\);
  • добавить ребро \((1, u)\) (т. е. сделать \(u\) с его поддеревом ребенком корня).

Высотой дерева называют максимальную глубину среди всех его вершин, а глубина вершины — это количество ребер на пути от корня до нее. Например, глубина вершины \(1\) равна \(0\), так как она — корень, а глубина всех ее детей равна \(1\).

Какую минимальную высоту дерева можно получить?

Входные данные

В первой строке записано одно целое число \(t\) (\(1 \le t \le 10^4\)) — количество наборов входных данных.

В первой строке каждого набора входных данных записаны два целых числа \(n\) и \(k\) (\(2 \le n \le 2 \cdot 10^5\); \(0 \le k \le n - 1\)) — количество вершин в дереве и наибольшее количество операций, которые вы можете совершить.

Во второй строке записаны \(n-1\) целых чисел \(p_2, p_3, \dots, p_n\) (\(1 \le p_i < i\)) — родитель \(i\)-й вершины. Вершина \(1\) — корень.

Сумма \(n\) по всем наборам входных данных не превосходит \(2 \cdot 10^5\).

Выходные данные

На каждый набор входных данных выведите одно число — наименьшая высота дерева, которую можно получить, совершив не более \(k\) операций.

F. Разноцветные отрезки

Бинарный поиск Структуры данных математика *2000 сортировки

У Дмитрия есть \(n\) разноцветных отрезков на координатной прямой \(Ox\). Каждый отрезок характеризуется тремя целыми числами \(l_i\), \(r_i\) и \(c_i\) (\(1 \le l_i \le r_i \le 10^9, 1 \le c_i \le n\)), где \(l_i\) и \(r_i\) — координаты концов \(i\)-го отрезка, а \(c_i\) — его цвет.

Дмитрий любит находить минимальные расстояния между отрезками. Однако он считает неинтересными пары отрезков одного цвета. Поэтому он хочет для каждого отрезка узнать расстояние от этого отрезка до ближайшего отрезка другого цвета.

Расстояние между двумя отрезками — это минимальное из расстояний между точкой первого отрезка и точкой второго отрезка. В частности, если отрезки пересекаются, то расстояние между ними равно \(0\).

Например, у Дмитрия есть \(5\) отрезков:

  • Первый отрезок пересекается со вторым (и это отрезки разных цветов), поэтому ответы для них равны \(0\).
  • Для \(3\)-го отрезка ближайший к нему отрезок другого цвета — это \(2\)-й, расстояние до которого равно \(2\).
  • Для \(4\)-го отрезка ближайший к нему отрезок другого цвета — это \(5\)-й, расстояние до которого равно \(1\).
  • \(5\)-й отрезок лежит внутри \(2\)-го (и это отрезки разных цветов), поэтому ответы для них равны \(0\).
Входные данные

Первая строка входных данных содержит целое число \(t\) (\(1 \le t \le 10^4\)) — количество наборов входных данных в тесте.

Далее следуют описания наборов входных данных.

Первая строка описания каждого набора входных данных содержит одно целое число \(n\) (\(2 \le n \le 2 \cdot 10^5\)) — количество отрезков.

Следующие \(n\) строк содержат описания отрезков. Каждый отрезок описывается тремя целыми числами \(l_i\), \(r_i\) и \(c_i\) (\(1 \le l_i \le r_i \le 10^9, 1 \le c_i \le n\)) — координаты левого и правого концов \(i\)-го отрезка, а также цвет этого отрезка. Гарантируется, что есть хотя бы \(2\) отрезка разного цвета.

Гарантируется, что сумма \(n\) по всем наборам входных данных не превосходит \(2 \cdot 10^5\).

Выходные данные

Для каждого набора входных данных в отдельной строке выведите \(n\) целых чисел, где \(i\)-е число равно расстоянию от \(i\)-го отрезка до ближайшего отрезка другого цвета.

Примечание

В первом наборе входных данных первого примера есть только один отрезок цвета \(2\), а все остальные отрезки имеют цвет \(1\). Поэтому для отрезков цвета \(1\) ответ равен расстоянию до \(3\)-го отрезка, а для \(3\)-го ответ равен минимальному из расстояний до отрезков цвета \(1\).

Во втором наборе входных данных первого примера есть только \(2\) отрезка, и для них обоих ответ равен расстоянию между ними.

В третьем наборе входных данных первого примера каждый отрезок пересекается хотя бы одним своим концом с отрезком другого цвета, поэтому все ответы равны \(0\).

Четвёртый набор входных данных первого примера разобран в условии.

В пятом наборе входных данных первого примера один отрезок полностью лежит внутри другого, и для них обоих ответ равен \(0\).

В шестом наборе входных данных первого примера все отрезки являются точками разного цвета.

E. Scuza

Бинарный поиск математика жадные алгоритмы *1200

У Тимура есть лестница с \(n\) ступеньками. Ступенька \(i\) выше предыдущей на \(a_i\) метров. Первая ступенька на \(a_1\) метр выше земли, а земля находится на высоте \(0\) метров.

Лестница из первого примера.

У Тимура есть \(q\) запросов, каждый из которых обозначается целым числом \(k_1, \dots, k_q\). Для каждого запроса \(k_i\) выведите максимально возможную высоту, на которую Тимур может подняться, поднимаясь по ступенькам, если длина его ног \(k_i\). Тимур может подняться на \(j\)-ю ступеньку только в том случае, если длина его ног не меньше \(a_j\). Другими словами, \(k_i \geq a_j\) для каждой ступеньки \(j\).

Обратите внимание, что вы должны ответить на каждый вопрос независимо.

Входные данные

Первая строка содержит одно целое число \(t\) (\(1 \leq t \leq 100\)) — количество наборов входных данных.

Первая строка каждого набора содержит два целых числа \(n, q\) (\(1 \leq n, q \leq 2\cdot10^5\)) — количество ступенек и количество запросов, соответственно.

Вторая строка каждого набора содержит \(n\) целых чисел (\(1 \leq a_i \leq 10^9\)) — разницы в высотах ступенек.

Третья строка каждого теста содержит \(q\) целых чисел (\(0 \leq k_i \leq 10^9\)) — числа для каждого запроса.

Гарантируется, что сумма \(n\) не превышают \(2\cdot10^5\), сумма \(q\) не превышают \(2\cdot10^5\).

Выходные данные

Для каждого набора выведите \(q\) целых чисел - ответ на каждый запрос.

Обратите внимание, что ответ на некоторые запросы не помещается в 32-битный целочисленный тип, поэтому вы должны использовать как минимум 64-битный целочисленный тип в вашем языке программирования (например, long long для C++).

Примечание

Рассмотрим первый пример, изображенный в условии.

  • Если длина ног Тимура \(1\), то он может подняться только на ступеньку \(1\), поэтому максимальная высота, на которую он может забраться это \(1\) метр.
  • Если длина ног Тимура \(2\) или \(4\), то он может подняться только по ступенькам \(1\), \(2\) и \(3\), поэтому максимальная высота, на которую он может забраться это \(1+2+1=4\) метра.
  • Если длина ног Тимура составляет \(9\) или \(10\), то он может подняться по всей лестнице, так максимальная высота, на которую он может забраться это \(1+2+1+5=9\) метров.
В первом вопросе второго тестового примера у Тимура нет ног, поэтому он не может подняться даже на одну ступеньку. :(

E. FTL

Бинарный поиск дп *2400

Монокарп играет в компьютерную игру. В этой игре он управляет космическим кораблем. Его цель — уничтожить космический корабль противника.

На корабле Монокарпа установлены два лазера. Оба лазера \(1\) и \(2\) характеризуются двумя значениями:

  • \(p_i\) — мощность лазера;
  • \(t_i\) — время перезарядки лазера.

Когда лазер полностью заряжен, Монокарп может либо выстрелить из него, либо дождаться полной зарядки другого лазера и выстрелить из них обоих одновременно.

У корабля противника \(h\) прочности и \(s\) силы щита. Когда Монокарп стреляет по кораблю противника, тот получает \((P - s)\) урона (т. е. \((P - s)\) вычитается из его прочности), где \(P\) — это суммарная мощность лазеров, из которых выстрелил Монокарп (т. е. \(p_i\), если он стрелял только из лазера \(i\), и \(p_1 + p_2\), если он стрелял из обоих одновременно). Корабль противника считается уничтоженным, когда его прочность становится меньше или равна \(0\).

Изначально оба лазера разряжены.

За какое наименьшее время Монокарп может уничтожить корабль противника?

Входные данные

В первой строке записаны два целых числа \(p_1\) и \(t_1\) (\(2 \le p_1 \le 5000\); \(1 \le t_1 \le 10^{12}\)) — мощность и время перезарядки первого лазера.

Во второй строке записаны два целых числа \(p_2\) и \(t_2\) (\(2 \le p_2 \le 5000\); \(1 \le t_2 \le 10^{12}\)) — мощность и время перезарядки второго лазера.

В третьей строке записаны два целых числа \(h\) и \(s\) (\(1 \le h \le 5000\); \(1 \le s < \min(p_1, p_2)\)) — прочность и сила щита корабля противника. Обратите внимание, что последнее ограничение подразумевает, что Монокарп всегда может уничтожить корабль противника.

Выходные данные

Выведите одно целое число — наименьшее время, за которое Монокарп может уничтожить корабль противника.

Примечание

В первом примере Монокарп ждет зарядки обоих лазеров, затем стреляет из обоих в \(10\), они наносят \((5 + 4 - 1) = 8\) единиц урона. Затем он снова ждет и стреляет из обоих лазеров в \(20\), нанося еще \(8\) единиц урона.

Во втором примере Монокарп не ждет зарядки второго лазера. Он просто стреляет из первого \(25\) раз, нанося \((10 - 9) = 1\) единицу урона каждый раз.

C. Светофор

Бинарный поиск *1000 реализация

Вы попали на необычный перекресток со странным светофором. У этого светофора есть три возможных цвета: красный (r), желтый (y), зеленый (g). Известно, что светофор повторяет свои цвета каждые \(n\) секунд и в \(i\)-ю секунду горит цвет \(s_i\).

Таким образом, порядок цветов задаётся строкой. Например, если \(s=\)«rggry», то светофор горит так: красный-зеленый-зеленый-красный-желтый-красный-зеленый-зеленый-красный-желтый- ... и так далее.

Более формально, вам дана строка \(s_1, s_2, \ldots, s_n\) длины \(n\). В первую секунду горит цвет \(s_1\), во вторую \(s_2\), ..., в \(n\)-ю секунду горит цвет \(s_n\), в \(n + 1\)-ю секунду горит цвет \(s_1\) и так далее.

Вам нужно перейти дорогу, и это можно сделать только тогда, когда на светофоре горит зеленый цвет.

Вам известно, какой сейчас цвет на светофоре, но вы не знаете текущей момент времени. Вам нужно найти минимальное время, в течение которого вы точно (наверняка) сможете перейти дорогу.

Можно считать, что дорогу мы проходим моментально.

Например, в случае \(s=\)«rggry» и текущего света r возможны два варианта: либо зеленый свет наступит через через \(1\) секунду, либо через \(3\). Таким образом, ответ равен \(3\) — именно через столько секунд мы гарантированно сможем перейти дорогу, если текущий цвет r.

Входные данные

В первой строке входных данных дано единственное целое число \(t\) \((1 \leq t \leq 10^4\)) — количество наборов входных данных.

Далее следуют описания наборов входных данных.

В первой строке каждого набора входных данных содержится целое число \(n\) и символ \(c\) (\(1 \leq n \leq 2 \cdot 10^5\), \(c\) является одним из допустимых цветов светофора r, y или g)— длина строки \(s\) и текущий цвет светофора.

Во второй строке каждого набора входных данных содержится строка \(s\) длины \(n\), состоящая из символов r, y и g.

Гарантируется, что символ g встречается в строке \(s\) и что символ \(c\) встречается в строке \(s\).

Гарантируется, что сумма значений \(n\) по всем наборам входных данных теста не превосходит \(2\cdot10^5\).

Выходные данные

Для каждого набора входных данных выведите минимальное количество секунд, в течение которого можно гарантировано перейти дорогу.

Примечание

Первый набор входных данных разобран в условии.

Во втором наборе входных данных уже сейчас горит зеленый цвет, поэтому можно перейти дорогу сразу же.

В третьем наборе входных данных если изначально горел красный цвет на второй секунде, то ждать зеленого цвета пришлось бы одну секунду, а если бы горел красный цвет на первой секунде, то уже две.

В четвертом наборе входных данных дольше всего ждать зеленый цвет мы будем с пятой секунды.

E1. Задача-шутка (простая версия)

Бинарный поиск Тернарный поиск Конструктив интерактив *2500

Единственная разница между этой задачей и сложной версией — максимальное количество вопросов.

Это интерактивная задача!

Загадано некоторое целое число \(1 \le x \le n\), которое вам нужно найти. Чтобы найти его, вы можете задать не более \(\mathbf{82}\) вопросов.

В каждом вопросе вы можете выбрать непустое множество целых чисел \(S\) и спросить, принадлежит ли \(x\) множеству \(S\) или нет. После каждого запроса, если \(x\) принадлежит \(S\), вы получите «YES», иначе «NO».

Проблема в том, что не все ответы обязательно верны (некоторые из них шуточные). Гарантируется, что на каждые два последовательных вопроса хотя бы на один из них дан правильный ответ.

Вы также можете сделать не более \(2\) попыток угадать \(x\). Каждый раз, если вы правильно угадаете \(x\), вы получите «:)» и ваша программа должна завершиться, иначе вы получите «:(».

Как часть шутки, мы не будем фиксировать значение \(x\) в начале. Наоборот, это значение может изменяться в процессе взаимодействия, но все уже полученные ответы всегда будут корректны с точки зрения описанного выше.

Обратите внимание, что на ваши догадки ответа всегда отвечают правильно. Если вы задаете вопрос до и после догадки, по крайней мере на один из этих ваших вопросов будет дан правильный ответ, как обычно.

Входные данные

Единственная строка входных данных содержит единственное целое число \(n\) (\(1 \le n \le 10^5\)), максимально возможное значение \(x\).

Протокол взаимодействия

Для каждого вопроса, если вы хотите спросить о множестве \(S\), сначала выведите символ «?», затем выведите размер множества \(S\), а затем уже элементы \(S\) один за другим. Все элементы должны быть различными целыми числами от \(1\) до \(n\). После каждого вопроса вы получите ответ на него: «YES» или «NO» в соответствии с условием. Вы можете задать не более \(82\) таких запросов.

Если вы хотите угадать \(x\), сначала выведите «!», а затем выведите свою догадку. Если вы угадаете \(x\) правильно, вы получите «:)» и ваша программа должна завершиться, иначе вы получите «:(». Вы можете сделать не более \(2\) таких догадок.

После вывода запроса не забудьте вывести перевод строки и сбросить буфер вывода. В противном случае вы получите вердикт Решение «зависло». Для сброса буфера используйте:

  • fflush(stdout) или cout.flush() в C++;
  • System.out.flush() в Java;
  • flush(output) в Pascal;
  • stdout.flush() в Python;
  • смотрите документацию для других языков.

Взломы в этой задаче отключены.

Примечание

Если бы ответ на первый вопрос был правильным, то \(x\) было бы равно \(6\), но, как мы видим из первого предположения, \(6\) не является ответом.

Так что ответ на первый вопрос — шутка. Как мы знаем, ответ хотя бы на один из наших двух вопросов правильный, и так как ответ на первый вопрос был шутливым, ответ на второй вопрос должен быть правильным.

Итак, мы понимаем, что \(x\) не равно \(1, 2, 3\) или \(4\), и мы также знаем, что \(x\) не равно \(6\). Следовательно, \(x\) равно \(5\).

G. Подготовка к олимпиаде

Бинарный поиск Потоки Структуры данных реализация геометрия дп сортировки *3500

Антон решил подготовиться к очередной олимпиаде. Чтобы Антону было интереснее, Илья подготовил для него \(n\) задач. Сдать \(i\)-ю задачу можно только в первые \(d_{i}\) дней, причем сдавать несколько задач в один и тот же день нельзя. Илья оценил полезность \(i\)-й задачи как \(r_{i}\), и разделил задачи на три темы, тема \(i\)-й задачи равна \(type_{i}\).

Антон хочет решить ровно \(a\) задач на первую тему, ровно \(b\) на вторую тему и ровно \(c\) задач на третью тему (и каждая из этих задач должна быть решена не позже своего дедлайна). Скажите Антону, сможет ли он это сделать, и если сможет, то выведите максимальную суммарную полезность задач, которые он решит.

Входные данные

В первой строке находится единственное целое число \(t\) (\(1 \le t \le 10^4\)) — количество наборов входных данных. Далее следует описание наборов входных данных.

В первой строке каждого набора входных данных содержатся четыре целых числа \(n, a, b, c\) (\(1 \le n \le 10^5\), \(0 \le a, b, c \le n\)).

В каждой из следующих \(n\) строк содержатся три целых числа \(r_i, type_i, d_i\) (\(0 \le r_i \le 10^{9}\), \(1 \le type_i \le 3\), \(1 \le d_i \le n\)).

Гарантируется, что сумма значений \(n\) по всем наборам входных данных не превосходит \(10^5\).

Выходные данные

Для каждого набора входных данных выведите единственное число: \(-1\), если решить нужный набор задач невозможно, и максимальную полезность решенных задач в противном случае.

Примечание

В первом наборе входных данных выгодно решить \(2\)-ю и \(4\)-ю задачи.

Во втором наборе входных данных ответа не существует.

В третьем наборе входных данных оптимально решить \(2\)-ю, \(3\)-ю и \(4\)-ю задачи.

В последнем наборе входных данных оптимально решить \(1\)-ю, \(2\)-ю и \(4\)-ю задачи.

D. Очередная задача

Бинарный поиск Структуры данных Конструктив *1900 битмаски

Вам дан массив \(a\) из \(n\) целых чисел \(a_1, a_2, a_3, \ldots, a_n\).

Вы должны ответить на \(q\) независимых запросов, каждый из которых состоит из двух целых чисел \(l\) и \(r\).

  • Рассмотрим подмассив \(a[l:r]\) \(=\) \([a_l, a_{l+1}, \ldots, a_r]\). Вы можете применить следующую операцию к подмассиву любое количество раз (возможно, нулевое).
    1. Выберите два целых числа \(L\), \(R\) таких, что \(l \le L \le R \le r\) и \(R - L + 1\) является нечетным.
    2. Замените каждый элемент в подмассиве от \(L\) до \(R\) на XOR элементов в подмассиве \([L, R]\).
  • Ответом на запрос является минимальное количество операций, необходимых для того, чтобы все элементы подмассива \(a[l:r]\) стали равны \(0\), или \(-1\), если невозможно сделать их все равными \(0\).

Более подробную информацию об операции XOR можно найти здесь.

Входные данные

Первая строка содержит два целых числа \(n\) и \(q\) \((1 \le n, q \le 2 \cdot 10^5)\)  — длину массива \(a\) и количество запросов.

Следующая строка содержит \(n\) целых чисел \(a_1, a_2, \ldots, a_n\) \((0 \le a_i \lt 2^{30})\)  — элементы массива \(a\).

В \(i\)-й из следующих \(q\) строк содержится два целых числа \(l_i\) и \(r_i\) \((1 \le l_i \le r_i \le n)\)  — описание \(i\)-го запроса.

Выходные данные

Для каждого запроса выведите одно целое число  — ответ на этот запрос.

Примечание

В первом запросе, \(l = 3, r = 4\), подмассив = \([3, 3]\). Мы можем применять операцию только к подмассивам длины \(1\), что не изменит массив; следовательно, невозможно сделать все элементы равными \(0\).

Во втором запросе, \(l = 4, r = 6\), подмассив = \([3, 1, 2]\). Мы можем выбрать весь подмассив \((L = 4, R = 6)\) и заменить все элементы на их XOR \((3 \oplus 1 \oplus 2) = 0\), получив подмассив \([0, 0, 0]\).

В пятом запрос, \(l = 1, r = 6\), подмассив = \([3, 0, 3, 3, 1, 2]\). Мы можем выполнить следующие операции:

  1. Выбираем \(L = 4, R = 6\), делая подмассив \([3, 0, 3, 0, 0, 0]\).
  2. Выбираем \(L = 1, R = 5\), делая подмассив \([0, 0, 0, 0, 0, 0]\).

E. Очередная задача на подсчёт массивов

Бинарный поиск Потоки Деревья Структуры данных математика дп разделяй и властвуй *2300

Позиция первого максимума на отрезке \([l; r]\) массива \(x = [x_1, x_2, \ldots, x_n]\) это наименьшее целое число \(i\), такое что \(l \le i \le r\) и \(x_i = \max(x_l, x_{l+1}, \ldots, x_r)\).

Вам дан массив \(a = [a_1, a_2, \ldots, a_n]\) длины \(n\). Найдите количество массивов \(b = [b_1, b_2, \ldots, b_n]\) длины \(n\), удовлетворяющих следующим требованиям:

  • \(1 \le b_i \le m\) для всех \(1 \le i \le n\);
  • для всех пар \(1 \le l \le r \le n\), позиция первого максимума на отрезке \([l; r]\) массива \(b\) равна позиции первого максимума на отрезке \([l; r]\) массива \(a\).

Так как это количество может быть очень большим, выведите его по модулю \(10^9+7\).

Входные данные

В первой строке задано одно целое число \(t\) (\(1 \le t \le 10^3\)) — количество наборов входных данных. Далее следуют описания этих наборов.

В первой строке даны два числа \(n\) и \(m\) (\(2 \le n,m \le 2 \cdot 10^5\), \(n \cdot m \le 10^6\)).

Во второй строке даны \(n\) целых чисел \(a_1,a_2,\ldots,a_n\) (\(1 \le a_i \le m\)) — массив \(a\).

Гарантируется, что сумма \(n \cdot m\) по всем наборам входных данных не превосходит \(10^6\).

Выходные данные

Для каждого набора входных данных выведите одно число: количество массивов \(b\), удовлетворяющих требованиям выше, по модулю \(10^9+7\).

Примечание

В первом наборе входных данных следующие \(8\) массивов удовлетворяют требованиям из условия:

  • \([1,2,1]\);
  • \([1,2,2]\);
  • \([1,3,1]\);
  • \([1,3,2]\);
  • \([1,3,3]\);
  • \([2,3,1]\);
  • \([2,3,2]\);
  • \([2,3,3]\).

Во втором наборе входных данных следующие \(5\) массивов удовлетворяют требованиям из условия:

  • \([1,1,1,1]\);
  • \([2,1,1,1]\);
  • \([2,2,1,1]\);
  • \([2,2,2,1]\);
  • \([2,2,2,2]\).

C. Игра с числами

Бинарный поиск Структуры данных реализация *1400 жадные алгоритмы игры

Алиса и Боб играют в игру. У них есть массив положительных целых чисел \(a\) размера \(n\).

Перед началом игры Алиса выбирает целое число \(k \ge 0\). Игра длится \(k\) ходов, номера ходов нумеруются от \(1\) до \(k\). На \(i\)-м ходу Алиса должна удалить из массива элемент, который меньше либо равен \(k - i + 1\). После этого, если массив не пустой, Боб должен прибавить к некоторому элементу массива \(k - i + 1\). Обратите внимание, что и действие Алисы, и следующее за ним действие Боба — это две части одного и того же хода. Если Алиса не может удалить элемент на каком-то ходу — она проигрывает. Если \(k\)-й ход закончился, а Алиса еще не проиграла, то она выигрывает.

Ваша задача — определить максимальное значение \(k\), при котором Алиса может выиграть при оптимальной игре обоих игроков. Боб играет против Алисы, поэтому он пытается, если это возможно, заставить ее проиграть.

Входные данные

Первая строка содержит одно целое число \(t\) (\(1 \le t \le 100\)) — количество наборов входных данных.

Первая строка каждого набора содержит одно целое число \(n\) (\(1 \le n \le 100\)) — размер массива \(a\).

Вторая строка содержит \(n\) целых чисел \(a_1, a_2, \dots, a_n\) (\(1 \le a_i \le n\)).

Выходные данные

Для каждого набора входных данных выведите одно целое число — максимальное значение \(k\), при котором Алиса может выиграть при оптимальной игре обоих игроков.

E. Скобочная стоимость

Строки Бинарный поиск Структуры данных дп жадные алгоритмы *2400 разделяй и властвуй

Деймон Таргариен решил перестать быть похожим на персонажа Metin2. Он превратил себя в прекраснейшую вещь — скобочную последовательность.

Для последовательности скобок мы можем выполнять два вида операций:

  • Выберите одну из её подстрок\(^\dagger\) и циклически сдвиньте её вправо. Например, после циклического сдвига вправо «(())» станет «)(()»;
  • Вставьте любую скобку, открывающую «(» или закрывающую «)», в любом месте последовательности.

Мы определяем стоимость скобочной последовательности как минимальное количество таких операций, чтобы сделать её правильной\(^\ddagger\).

Для заданной скобочной последовательности \(s\) длины \(n\) найдите сумму стоимостей всех \(\frac{n(n+1)}{2}\) её непустых подстрок. Обратите внимание, что для каждой подстроки мы вычисляем стоимость независимо.

\(^\dagger\) Строка \(a\) является подстрокой \(b\), если \(a\) может быть получена из \(b\) удалением нескольких (возможно, ни одного или всех) символов из начала и нескольких (возможно, ни одного или всех) символов из конца.

\(^\ddagger\) Последовательность скобок называется правильной, если её можно превратить в правильное математическое выражение, добавив символы \(+\) и \(1\). Например, последовательности «(())()», «()» и «(()(()))» правильные, в то время как «)(», «(()» и «(()))(» не являются правильными.

Входные данные

Каждый тест состоит из нескольких наборов входных данных. Первая строка содержит единственное целое число \(t\) (\(1 \leq t \leq 10^5\)) — количество наборов входных данных. Далее следует описание наборов входных данных.

Первая строка каждого набора входных данных содержит одно целое число \(n\) (\(1 \le n \le 2 \cdot 10^5\)) — длину скобочной последовательности.

Вторая строка каждого набора входных данных содержит строку \(s\), состоящую только из символов '(' и ')', длины \(n\) — скобочную последовательность.

Гарантируется, что сумма \(n\) по всем наборам входных данных не превышает \(2 \cdot 10^5\).

Выходные данные

Для каждого набора входных данных выведите единственное целое число — сумму стоимостей всех подстрок \(s\).

Примечание

В первом наборе входных данных есть единственная подстрока «)». Её стоимость \(1\), потому что мы можем вставить «(» в начало этой подстроки и получить строку «()», то есть сбалансированную строку.

Во втором наборе входных данных стоимость каждой подстроки длины один равна \(1\). Стоимость подстроки «)(» равна \(1\), потому что мы можем циклически сдвинуть ее вправо и получить строку «()». Стоимость строк « )()» и «()(» равна \(1\), потому что достаточно вставить по одной скобке в каждую из них. Стоимость подстроки «)()(» равна \(1\), потому что мы можем циклически сдвинуть её вправо и получить строку «()()». Таким образом, есть \(4 + 2 + 2 + 1 = 9\) подстрока стоимостью \(1\) и \(1\) подстрока из стоимостью \(0\). Таким образом, сумма стоимостей равна \(9\).

В третьем наборе входных данных:

  • «(», стоимость равна \(1\);
  • «()», стоимость равна \(0\);
  • «())», стоимость равна \(1\);
  • «)», стоимость равна \(1\);
  • «))», стоимость равна \(2\);
  • «)», стоимость равна \(1\).

Таким образом, сумма стоимостей равна \(6\).

E. N станков

Бинарный поиск Перебор жадные алгоритмы *3300

Вы были приглашены в качестве специалиста по оптимизации производственных процессов в одну очень крупную компанию. У компании в распоряжении находятся \(n\) станков, стоящих друг за другом в цепочке производства. Каждый станок можно охарактеризовать одним из двух способов: \((+,~a_i)\) или \((*,~a_i)\).

Если на вход станку вида \((+,~a_i)\) подается заготовка с ценностью \(x\), то на выходе получается заготовка с ценностью \(x + a_i\).

Если на вход станку вида \((*,~a_i)\) подается заготовка с ценностью \(x\), то на выходе получается заготовка с ценностью \(x \cdot a_i\).

Весь производственный процесс выглядит следующим образом. На вход первому станку подается заготовка с ценностью \(1\), полученная после работы первого станка заготовка подается на вход второму станку, результат его работы — на вход третьему станку и так далее. Дела у компании идут не очень хорошо, так что на данный момент ценность полученного на выходе продукта не превосходит \(2 \cdot 10^9\).

Директора компании не довольны эффективностью производственного процесса и выделили вам бюджет в \(b\) монет на его оптимизацию.

Чтобы оптимизировать производство, вы можете менять порядок станков в цепочке. А именно, потратив \(p\) монет, вы можете взять любой станок вида \((+,~a_i)\) и переставить его в любое место в цепочке производства, не меняя порядок остальных станков. Также, потратив \(m\) монет, вы можете взять любой станок вида \((*,~a_i)\) и переставить его в любое место в цепочке производства.

Какой максимальной ценности выходного продукта можно добиться, если сделать перестановки суммарной стоимостью не более \(b\) монет?

Входные данные

Первая строка содержит четыре целых числа \(n\), \(b\), \(p\) и \(m\) (\(1 \le n \le 10^6\), \(1 \le b, p, m \le 10^9\)) — количество станков на производстве, ваш бюджет и стоимости переноса станков обоих видов.

Каждая из следующих \(n\) строк содержит описание очередного станка. Описание станка начинается с символа «+» или «*», обозначающего вид станка. Далее следует целое число \(a_i\) (\(1 \le a_i \le 2 \cdot 10^9\)).

Гарантируется, что текущая ценность выходного продукта не превосходит \(2 \cdot 10^9\).

Выходные данные

Выведите одно целое число — максимальную ценность выходного продукта, которой можно добиться, переставив станки в цепи производства на не более чем \(b\) монет суммарно.

Примечание

В первом тесте бюджет не позволяет нам сдвинуть станок \((*,~2)\), однако мы можем переместить оба \((+,~1)\) в начало, и получить цепочку \((+,~1)\) \((+,~1)\) \((*,~2)\). Если ей на вход подать заготовку ценности \(1\), то ее ценность будет меняться следующим образом: \(1, 2, 3, 6\).

Во втором тесте мы можем сдвинуть только один станок. Переместим \((+,~2)\) из конца в начало получим цепочку \((+,~2)\) \((*,~2)\) \((+,~1)\) \((*,~3)\) при проходе через которую ценность заготовки меняется следующим образом: \(1, 3, 6, 7, 21\).

В третьем тесте поместим станок \((*,~4)\) перед \((*,~5)\) и станок \((+,~3)\) в начало. Получим цепочку \((+,~3)\) \((*,~2)\) \((+,~1)\) \((+,~1)\) \((+,~1)\) \((+,~1)\) \((*,~4)\) \((*,~5)\), при проходе через которую ценность заготовки меняется так: \(1, 4, 8, 9, 10, 11, 12, 48, 240\).

D. Интервал = √Суммы

Бинарный поиск Перебор Конструктив математика *1800

Вам дано целое число \(n\). Найдите последовательность из \(n\) различных целых чисел \(a_1, a_2, \dots, a_n\) такую, что \(1 \leq a_i \leq 10^9\) для всех \(i\), и \(\)\max(a_1, a_2, \dots, a_n) - \min(a_1, a_2, \dots, a_n)= \sqrt{a_1 + a_2 + \dots + a_n}.\(\)

Можно показать, что существует последовательность различных целых чисел, удовлетворяющая всем условиям выше.

Входные данные

Первая строка содержит одно целое число \(t\) (\(1 \leq t \leq 10^4\)) — количество наборов входных данных.

Первая строка каждого набора входных данных содержит одно целое число \(n\) (\(2 \leq n \leq 3 \cdot 10^5\)) — длину последовательности, которую вам нужно найти.

Гарантируется, что сумма значений \(n\) по всем наборам входных данных не превосходит \(3 \cdot 10^5\).

Выходные данные

Для каждого набора входных данных выведите \(n\) различных целых чисел \(a_1, a_2, \dots, a_n\), удовлетворяющих условиям.

Если существуют несколько решений, выведите любое из них. Обратите внимание, числа должны быть различными!

Примечание

В первом примере максимум равен \(3\), минимум \(1\), сумма \(4\), и \(3 - 1 = \sqrt{4}\).

Во втором примере максимум равен \(29\), минимум \(18\), сумма \(121\), и \(29-18 = \sqrt{121}\).

В каждом случае все числа различны.

F. Всевозможные цифры

Бинарный поиск Структуры данных математика теория чисел *1800 жадные алгоритмы

На доске написано положительное число \(x\) длины \(n\) в системе счисления с основанием \(p\) (\(2 \le p \le 10^9\)). Число \(x\) задано в виде последовательности \(a_1, a_2, \dots, a_n\) (\(0 \le a_i < p\)) — цифры числа \(x\) в порядке слева направо (от наиболее значащих к наименее).

Дмитрий очень любит все цифры данной системы счисления, поэтому он хочет увидеть каждую из них хотя бы один раз.

За одну операцию он может:

  • взять любое число \(x\), написанное на доске, увеличить его на \(1\), и выписать на доску новое значение \(x + 1\).

Например, \(p=5\) и \(x=234_5\).

  • Изначально на доске присутствуют цифры \(2\), \(3\) и \(4\);
  • Дмитрий увеличивает число \(234_5\) на \(1\) и записывает число \(240_5\). На доске присутствуют цифры \(0, 2, 3, 4\);
  • Дмитрий увеличивает число \(240_5\) на \(1\) и записывает число \(241_5\). Теперь на доске присутствуют все цифры от \(0\) до \(4\).

Ваша задача — определить, за какое минимальное количество операций можно получить на доске все цифры от \(0\) до \(p-1\) хотя бы по одному разу.

Входные данные

В первой строке входных данных дано единственное целое число \(t\) (\(1 \le t \le 2 \cdot 10^3\)) — количество наборов входных данных. Далее следуют описания наборов входных данных.

Первая строка описания каждого набора входных данных содержит два целых числа \(n\) (\(1 \le n \le 100\)) и \(p\) (\(2 \le p \le 10^9\)) — длина числа и основание системы счисления.

Вторая строка описания каждого набора входных данных содержит \(n\) целых чисел \(a_1, a_2, \dots, a_n\) (\(0 \le a_i < p\)) — цифры числа \(x\) в системе счисления с основанием \(p\)

Гарантируется, что число \(x\) не содержит ведущих нулей (то есть, \(a_1>0\)).

Выходные данные

Для каждого набора входных данных выведите одно целое число — минимальное количество операций, за которое Дмитрий сможет получить на доске все цифры от \(0\) до \(p-1\).

Можно показать, что для этого всегда требуется конечное число операций.

G. Восстанови перестановку

Бинарный поиск Структуры данных Конструктив математика жадные алгоритмы *1900

Последовательность из \(n\) чисел называется перестановкой, если она содержит в себе все числа от \(1\) до \(n\) ровно по одному разу. Например, последовательности [\(3, 1, 4, 2\)], [\(1\)] и [\(2,1\)] являются перестановками, а [\(1,2,1\)], [\(0,1\)] и [\(1,3,4\)] — нет.

Для перестановки \(p\) чётной длины \(n\) можно получить массив \(b\) длины \(\frac{n}{2}\) такой, что:

  • \(b_i = \max(p_{2i - 1}, p_{2i})\) для \(1 \le i \le \frac{n}{2}\)

Например, если \(p\) = [\(2, 4, 3, 1, 5, 6\)], то:

  • \(b_1 = \max(p_1, p_2) = \max(2, 4) = 4\)
  • \(b_2 = \max(p_3, p_4) = \max(3,1)=3\)
  • \(b_3 = \max(p_5, p_6) = \max(5,6) = 6\)
Итого получим \(b\) = \([4, 3, 6]\).

Для заданного массива \(b\) найдите лексикографически минимальную перестановку \(p\) такую, что из неё можно получить заданный массив \(b\).

Если \(b\) = [\(4,3,6\)], то лексикографически минимальная перестановка, из которой можно его получить, это \(p\) = [\(1,4,2,3,5,6\)], так как:

  • \(b_1 = \max(p_1, p_2) = \max(1, 4) = 4\)
  • \(b_2 = \max(p_3, p_4) = \max(2, 3) = 3\)
  • \(b_3 = \max(p_5, p_6) = \max(5, 6) = 6\)

Перестановка \(x_1, x_2, \dots, x_n\) лексикографически меньше перестановки \(y_1, y_2 \dots, y_n\), если и только если существует такое \(i\) (\(1 \le i \le n\)), что \(x_1=y_1, x_2=y_2, \dots, x_{i-1}=y_{i-1}\) и \(x_i<y_i\).

Входные данные

Первая строка входных данных содержит целое число \(t\) (\(1 \le t \le 10^4\)) — количество наборов входных данных в тесте.

Далее следуют описания наборов входных данных.

В первой строке каждого набора входных данных записано одно целое чётное число \(n\) (\(2 \le n \le 2 \cdot 10^5\)).

Вo второй строке каждого набора входных данных записано ровно \(\frac{n}{2}\) целых чисел \(b_i\) (\(1 \le b_i \le n\)) — элементы массива \(b\).

Гарантируется, что сумма значений \(n\) по всем наборам входных данных не превосходит \(2 \cdot 10^5\).

Выходные данные

Для каждого набора входных данных выведите в отдельной строке:

  • лексикографически минимальную перестановку \(p\) такую, что из неё можно получить массив \(b\);
  • или число -1, если искомой перестановки не существует.
Примечание

Первый набор входных данных разобран в условии задачи.

F. Квесты

Бинарный поиск *1500 жадные алгоритмы сортировки

У вас есть возможность выполнять \(n\) квестов. Если вы выполняете \(i\)-й квест, вы получаете \(a_i\) монет. Вы можете выполнить не больше одного квеста в день.

Однако, после того как вы выполнили квест, вы не можете выполнить его снова в течение следующих \(k\) дней. (Например, если \(k=2\) и вы выполняете \(1\)-й квест в \(1\)-й день, тогда вы не сможете выполнить этот квест снова во \(2\)-й или в \(3\)-й день, но сможете его выполнить в \(4\)-й день.)

Заданы два целых числа \(c\) и \(d\). Найдите максимальный \(k\) такой, что возможно получить как минимум \(c\) монет за \(d\) дней. Если таких \(k\) не существует, выведите Impossible. Если \(k\) может быть бесконечно большим, выведите Infinity.

Входные данные

Первая строка содержит одно число \(t\) (\(1 \leq t \leq 10^4\)) — количество наборов входных данных.

Первая строка каждого набора содержит три целых числа \(n,c,d\) (\(2 \leq n \leq 2\cdot10^5\); \(1 \leq c \leq 10^{16}\); \(1 \leq d \leq 2\cdot10^5\)) — количество квестов, количество необходимых монет и количество дней.

Вторая строка каждого набора содержит \(n\) целых чисел \(a_1, a_2, \dots, a_n\) (\(1 \leq a_i \leq 10^9\)) — награды за квесты.

Гарантируется что сумма \(n\) по всем наборам входных данных не превосходит \(2\cdot10^5\), а сумма \(d\) по всем наборам входных данных не превосходит \(2\cdot10^5\).

Выходные данные

Для каждого набора входных данных выведите:

  • если таких \(k\) не существует, выведите Impossible;
  • если \(k\) может быть бесконечно большим, выведите Infinity;
  • иначе, выведите одно целое число — максимальный \(k\) такой что возможно получить как минимум \(c\) монет в течение \(d\) дней.
Примечание

В первом тесте, один из способов получить \(5\) монет за \(4\) дня с \(k=2\) состоит в следующем:

  • день 1: выполнить квест 2, и получить \(2\) монеты;
  • день 2: выполнить квест 1, и получить \(1\) монету;
  • день 3: ничего не делать;
  • день 4: выполнить квест 2, и получить \(2\) монеты.

Суммарно мы получили \(2+1+2=5\) монет.

Во втором тесте, мы можем получить более \(20\) монет в первый день, выполнив лишь только первый квест. Выполнив первый квест, мы сразу получим \(100\) монет, значит значение \(k\) может быть бесконечно большим, так как нам никогда не понадобится выполнить ещё один квест.

В третьем тесте, что бы мы не делали, мы не можем получить \(100\) монет за \(3\) дня.

E. Сделайте связным

Бинарный поиск Деревья Перебор Конструктив жадные алгоритмы *2400 графы снм матрицы

Вам дан простой неориентированный граф, состоящий из \(n\) вершин. Граф не содержит петель, между каждой парой вершин существует не более одного ребра. Ваша задача проста: сделать граф связным.

Вы можете выполнить следующую операцию любое количество раз (возможно, ноль):

  • Выберите произвольную вершину \(u\).
  • Для каждой вершины \(v\), для которой \(v\ne u\), если \(v\) смежна с \(u\), удалите ребро между \(u\) и \(v\), иначе добавьте ребро между \(u\) и \(v\).

Найдите минимальное количество операций, необходимых для того, чтобы сделать граф связным. Также найдите любую последовательность операций минимальной длины, которая делает граф связным.

Входные данные

Каждый тест содержит несколько наборов входных данных. Первая строка содержит одно целое число \(t\) (\(1\leq t\leq 800\)) — количество наборов входных данных. Далее следует описание наборов входных данных.

Первая строка каждого набора входных данных содержит одно целое число \(n\) (\(2\leq n\leq 4000\)) — количество вершин в графе.

Затем следуют \(n\) строк. В \(i\)-й строке содержится бинарная строка \(s_i\) длины \(n\), где \(s_{i,j}\) равно '1', если между вершинами \(i\) и \(j\) изначально существует ребро, иначе \(s_{i,j}\) равно '0'.

Гарантируется, что \(s_{i,i}\) всегда '0' и \(s_{i,j}=s_{j,i}\) для \(1\leq i,j\leq n\).

Гарантируется, что сумма \(n\) по всем наборам входных данных не превышает \(4000\).

Выходные данные

Для каждого набора входных данных в первой строке выведите целое число \(m\)  — минимально необходимое количество операций.

Если \(m\) больше нуля, то выведите дополнительную строку, состоящую из \(m\) целых чисел — вершин, выбранных в операциях в вашем решении. Если существует несколько решений с минимальным количеством операций, выведите любое из них.

Примечание

В первом наборе входных данных граф связен в начале, поэтому ответ  — \(0\).

Во втором наборе входных данных, если мы выполним операцию с вершиной \(1\), то получим следующий граф, представленный следующей матрицей смежности:

\(\) \begin{bmatrix} 0&1&1\\ 1&0&1\\ 1&1&0 \end{bmatrix} \(\)

Очевидно, что приведенный выше граф является связным.

В третьем наборе входных данных, если мы проделаем операцию с вершинами \(3\) и \(4\), то получим следующий граф, представленный следующей матрицей смежности:

\(\) \begin{bmatrix} 0&1&1&1\\ 1&0&1&1\\ 1&1&0&1\\ 1&1&1&0 \end{bmatrix} \(\)

Очевидно, что приведенный выше граф является связным, и можно доказать, что мы не можем выполнить менее \(2\) операций, чтобы сделать граф связным.

F. Хорошие пары

Бинарный поиск Структуры данных дп *2600

Вам дан массив \(a\) из \(n\) целых чисел, а также целое число \(k\).

Пара индексов \((l,r)\) называется хорошей, если существует последовательность индексов \(i_1, i_2, \dots, i_m\) такая, что

  • \(i_1=l\) и \(i_m=r\);
  • \(i_j < i_{j+1}\) для всех \(1 \leq j < m\); а также
  • \(|a_{i_j}-a_{i_{j+1}}| \leq k\) для всех \(1 \leq j < m\).

Найдите количество хороших пар \((l,r)\) (\(1 \leq l \leq r \leq n\)).

Входные данные

Каждый тест состоит из нескольких наборов входных данных. В первой строке находится одно целое число \(t\) (\(1 \leq t \leq 10^5\)) — количество наборов входных данных. Далее следует описание наборов входных данных.

Первая строка каждого набора входных данных содержит два целых числа \(n\) и \(k\) (\(1 \leq n \leq 5 \cdot 10^5\); \(0 \leq k \leq 10^5\)) — длину массива \(a\) и целое число \(k\).

Вторая строка содержит \(n\) целых чисел \(a_1,a_2,\ldots,a_n\) (\(1 \leq a_i \leq 10^5\)) — массив \(a\).

Гарантируется, что сумма значений \(n\) по всем наборам входных данных не превосходит \(5 \cdot 10^5\).

Выходные данные

Для каждого набора входных данных выведите число хороших пар.

Примечание

В первом примере хорошие пары равны \((1,1)\), \((1,2)\), \((1,3)\), \((2,2)\), \((2,3)\) и \((3,3)\).

Во втором примере хорошие пары равны \((1,1)\), \((1,3)\), \((1,4)\), \((2,2)\), \((2,3)\), \((2,4)\), \((3,3)\), \((3,4)\) и \((4,4)\). Пара \((1,4)\) является хорошей, так как существует последовательность индексов \(1, 3, 4\), удовлетворяющая всем ограничениям.

B. Испепеление

Бинарный поиск Перебор Структуры данных математика реализация *1200 сортировки

Для уничтожения человечества, Ассоциация Монстров отправила \(n\) монстров на Землю. \(i\)-й монстр имеет здоровье \(h_i\) и силу \(p_i\).

С его одной атакой, настоящей спиральной испепеляющей пушкой, Генос может нанести \(k\) урона всем живым монстрам. Другими словами, Генос может уменьшить здоровье всех монстров на \(k\) (если \(k > 0\)) одной атакой.

Однако после каждой атаки Геноса монстры продвигаются вперед. Совместными усилиями они уменьшают урон от атаки Геноса на силу \(^\dagger\)самого слабого монстра \(^\ddagger\)оставшегося в живых. Иными словами, минимальное значение \(p_i\) по всем живым в текущий момент монстрам вычитается из \(k\) после каждой атаки.

\(^\dagger\)Самый слабый монстр — это тот, у кого наименьшая сила.

\(^\ddagger\)Монстр жив, если его здоровье строго больше \(0\).

Удастся ли Геносу убить всех монстров?

Входные данные

В первой строке содержится одно целое число \(t\) (\(1 \le t \le 100\)) — количество наборов входных данных. Описания данных следуют далее.

Первая строка каждого набора входных данных содержит два целых числа, \(n\) и \(k\) (\(1 \le n, k \le 10^5\)) — количество монстров и начальный урон от атаки Геноса. Затем следуют две строки, каждая из которых содержит \(n\) целых чисел, описывающих массивы \(h\) и \(p\) (\(1 \le h_i, p_i \le 10^9\)).

Гарантируется, что сумма \(n\)по всем наборам входных данных не превышает \(2 \cdot 10^5\).

Выходные данные

Для каждого набора входных данных выведите ответ — «YES» (без кавычек) если Генос может убить всех монстров и «NO» в противном случае.

Примечание

В первом примере, после первой атаки Геноса, \(h\) и \(k\) станут:

  • \(h: [11,0,6,2,3,0]\)
  • \(k: 7-1 = 6\)
После второй атаки:
  • \(h: [5,0,0,0,0,0]\)
  • \(k: 6-2 = 4\)
После третьей атаки:
  • \(h: [1,0,0,0,0,0]\)
  • \(k: 4-2 = 2\)
После четвертой атаки:
  • \(h: [0,0,0,0,0,0]\)
Поскольку Генос может убить всех монстров, ответ YES.

G1. Дореми и идеальная пара по структурам данных (простая версия)

Бинарный поиск интерактив *2900

Единственное отличие между этой задачей и другими двумя версиями — максимальное количество запросов. В этой версии вы можете сделать не более \(\mathbf{30}\) запросов. Вы можете делать взломы только в том случае, если все версии задачи решены.

Это интерактивная задача.

«Все-все! Идеальная пара Дореми по структурам данных уже начинается! Присаживайтесь и хорошо поработайте, если хотите иметь такой же IQ, как у меня!» На сегодняшней паре Дореми рассказывает о могущественной структуре данных: дереве Дореми! И прямо сейчас она дает вам задание, чтобы проверить, насколько вы внимательно слушаете.

Пусть есть массив целых чисел \(a\) длины \(m\). Дерево Дореми поддерживает запросы \(Q(l,r,k)\), где \(1 \leq l \leq r \leq m\) и \(1 \leq k \leq m\), которые возвращают количество различных целых чисел в массиве \(\left[\lfloor\frac{a_l}{k} \rfloor, \lfloor\frac{a_{l+1}}{k} \rfloor, \ldots, \lfloor\frac{a_r}{k} \rfloor\right]\).

Дореми загадала перестановку \(p\) целых чисел от \(1\) до \(n\). Вы можете делать запросы, в одном запросе вы задаете \(3\) целых числа \(l,r,k\) (\(1 \leq l \leq r \leq n\), \(1 \leq k \leq n\)) и получаете в ответ значение \(Q(l,r,k)\) для массива \(p\). Можете ли вы найти индекс \(y\) (\(1 \leq y \leq n\)) такой, что \(p_y=1\), за не более чем \(\mathbf{30}\) запросов?

Обратите внимание, что перестановка \(p\) зафиксирована до начала взаимодействия.

Протокол взаимодействия

В начале взаимодействия считайте целое число \(n\) (\(3 \le n \le 1024\)) в первой строке — длину перестановки.

Чтобы сделать запрос, выведите

  • «? \(l\ r\ k\)» (\(1 \leq l \leq r \leq n\), \(1 \leq k \leq n\))
на отдельной строке. После вывода запроса считайте целое число \(x\) — значение \(Q(l,r,k)\) для перестановки \(p\). Вы можете сделать не более \(30\) таких запросов.

Чтобы вывести ответ, выведите

  • «! \(y\)» (\(1 \leq y \leq n\))
на отдельной строке, где \(p_y=1\).

После вывода запроса или ответа не забудьте вывести перевод строки и сбросить буфер вывода. В противном случае вы получите вердикт Решение «зависло». Для сброса буфера используйте:

  • fflush(stdout) или cout.flush() в C++;
  • System.out.flush() в Java;
  • flush(output) в Pascal;
  • stdout.flush() в Python;
  • смотрите документацию для других языков.

Формат взломов

Первая строка должна содержать одно целое число \(n\) (\(3 \le n \le 1024\)) — длину перестановки.

Вторая строка должна содержать \(n\) различных целых чисел \(p_1,p_2,\ldots,p_n\) (\(1 \le p_i\le n\)) — загаданную перестановку.

Примечание

Перестановка в примере равна \([3,5,2,1,4]\).

Примеры ввода и вывода иллюстрируют возможное взаимодействие в примере (дополнительные переводы строк добавлены только для удобства чтения).

В этом взаимодействии:

  • В первом запросе \(\lfloor\frac{3}{4}\rfloor=0,\lfloor\frac{5}{4}\rfloor=1,\lfloor\frac{2}{4}\rfloor=0\), поэтому ответ равен \(2\).
  • Во втором запросе \(\lfloor\frac{2}{3}\rfloor=0,\lfloor\frac{1}{3}\rfloor=0,\lfloor\frac{4}{3}\rfloor=1\), поэтому ответ равен \(2\).
  • В третьем запросе \(\lfloor\frac{2}{5}\rfloor=0,\lfloor\frac{1}{5}\rfloor=0\), поэтому ответ равен \(1\).
  • В четвертом запросе \(\lfloor\frac{2}{2}\rfloor=1,\lfloor\frac{1}{2}\rfloor=0,\lfloor\frac{4}{2}\rfloor=2\), поэтому ответ равен \(3\).

После \(4\) запросов был выведен правильный ответ, поэтому это взаимодействие будет зачтено.

G2. Дореми и идеальная пара по структурам данных (средняя версия)

Бинарный поиск интерактив *3000

Единственное отличие между этой задачей и другими двумя версиями — максимальное количество запросов. В этой версии вы можете сделать не более \(\mathbf{25}\) запросов. Вы можете делать взломы только в том случае, если все версии задачи решены.

Это интерактивная задача.

«Все-все! Идеальная пара Дореми по структурам данных уже начинается! Присаживайтесь и хорошо поработайте, если хотите иметь такой же IQ, как у меня!» На сегодняшней паре Дореми рассказывает о могущественной структуре данных: дереве Дореми! И прямо сейчас она дает вам задание, чтобы проверить, насколько вы внимательно слушаете.

Пусть есть массив целых чисел \(a\) длины \(m\). Дерево Дореми поддерживает запросы \(Q(l,r,k)\), где \(1 \leq l \leq r \leq m\) и \(1 \leq k \leq m\), которые возвращают количество различных целых чисел в массиве \(\left[\lfloor\frac{a_l}{k} \rfloor, \lfloor\frac{a_{l+1}}{k} \rfloor, \ldots, \lfloor\frac{a_r}{k} \rfloor\right]\).

Дореми загадала перестановку \(p\) целых чисел от \(1\) до \(n\). Вы можете делать запросы, в одном запросе вы задаете \(3\) целых числа \(l,r,k\) (\(1 \leq l \leq r \leq n\), \(1 \leq k \leq n\)) и получаете в ответ значение \(Q(l,r,k)\) для массива \(p\). Можете ли вы найти индекс \(y\) (\(1 \leq y \leq n\)) такой, что \(p_y=1\), за не более чем \(\mathbf{25}\) запросов?

Обратите внимание, что перестановка \(p\) зафиксирована до начала взаимодействия.

Протокол взаимодействия

В начале взаимодействия считайте целое число \(n\) (\(3 \le n \le 1024\)) в первой строке — длину перестановки.

Чтобы сделать запрос, выведите

  • «? \(l\ r\ k\)» (\(1 \leq l \leq r \leq n\), \(1 \leq k \leq n\))
на отдельной строке. После вывода запроса считайте целое число \(x\) — значение \(Q(l,r,k)\) для перестановки \(p\). Вы можете сделать не более \(25\) таких запросов.

Чтобы вывести ответ, выведите

  • «! \(y\)» (\(1 \leq y \leq n\))
на отдельной строке, где \(p_y=1\).

После вывода запроса или ответа не забудьте вывести перевод строки и сбросить буфер вывода. В противном случае вы получите вердикт Решение «зависло». Для сброса буфера используйте:

  • fflush(stdout) или cout.flush() в C++;
  • System.out.flush() в Java;
  • flush(output) в Pascal;
  • stdout.flush() в Python;
  • смотрите документацию для других языков.

Формат взломов

Первая строка должна содержать одно целое число \(n\) (\(3 \le n \le 1024\)) — длину перестановки.

Вторая строка должна содержать \(n\) различных целых чисел \(p_1,p_2,\ldots,p_n\) (\(1 \le p_i\le n\)) — загаданную перестановку.

Примечание

Перестановка в примере равна \([3,5,2,1,4]\).

Примеры ввода и вывода иллюстрируют возможное взаимодействие в примере (дополнительные переводы строк добавлены только для удобства чтения).

В этом взаимодействии:

  • В первом запросе \(\lfloor\frac{3}{4}\rfloor=0,\lfloor\frac{5}{4}\rfloor=1,\lfloor\frac{2}{4}\rfloor=0\), поэтому ответ равен \(2\).
  • Во втором запросе \(\lfloor\frac{2}{3}\rfloor=0,\lfloor\frac{1}{3}\rfloor=0,\lfloor\frac{4}{3}\rfloor=1\), поэтому ответ равен \(2\).
  • В третьем запросе \(\lfloor\frac{2}{5}\rfloor=0,\lfloor\frac{1}{5}\rfloor=0\), поэтому ответ равен \(1\).
  • В четвертом запросе \(\lfloor\frac{2}{2}\rfloor=1,\lfloor\frac{1}{2}\rfloor=0,\lfloor\frac{4}{2}\rfloor=2\), поэтому ответ равен \(3\).

После \(4\) запросов был выведен правильный ответ, поэтому это взаимодействие будет зачтено.

G3. Дореми и идеальная пара по структурам данных (сложная версия)

Бинарный поиск интерактив *3300

Единственное отличие между этой задачей и другими двумя версиями — максимальное количество запросов. В этой версии вы можете сделать не более \(\mathbf{20}\) запросов. Вы можете делать взломы только в том случае, если все версии задачи решены.

Это интерактивная задача.

«Все-все! Идеальная пара Дореми по структурам данных уже начинается! Присаживайтесь и хорошо поработайте, если хотите иметь такой же IQ, как у меня!» На сегодняшней паре Дореми рассказывает о могущественной структуре данных: дереве Дореми! И прямо сейчас она дает вам задание, чтобы проверить, насколько вы внимательно слушаете.

Пусть есть массив целых чисел \(a\) длины \(m\). Дерево Дореми поддерживает запросы \(Q(l,r,k)\), где \(1 \leq l \leq r \leq m\) и \(1 \leq k \leq m\), которые возвращают количество различных целых чисел в массиве \(\left[\lfloor\frac{a_l}{k} \rfloor, \lfloor\frac{a_{l+1}}{k} \rfloor, \ldots, \lfloor\frac{a_r}{k} \rfloor\right]\).

Дореми загадала перестановку \(p\) целых чисел от \(1\) до \(n\). Вы можете делать запросы, в одном запросе вы задаете \(3\) целых числа \(l,r,k\) (\(1 \leq l \leq r \leq n\), \(1 \leq k \leq n\)) и получаете в ответ значение \(Q(l,r,k)\) для массива \(p\). Можете ли вы найти индекс \(y\) (\(1 \leq y \leq n\)) такой, что \(p_y=1\), за не более чем \(\mathbf{20}\) запросов?

Обратите внимание, что перестановка \(p\) зафиксирована до начала взаимодействия.

Протокол взаимодействия

В начале взаимодействия считайте целое число \(n\) (\(3 \le n \le 1024\)) в первой строке — длину перестановки.

Чтобы сделать запрос, выведите

  • «? \(l\ r\ k\)» (\(1 \leq l \leq r \leq n\), \(1 \leq k \leq n\))
на отдельной строке. После вывода запроса считайте целое число \(x\) — значение \(Q(l,r,k)\) для перестановки \(p\). Вы можете сделать не более \(20\) таких запросов.

Чтобы вывести ответ, выведите

  • «! \(y\)» (\(1 \leq y \leq n\))
на отдельной строке, где \(p_y=1\).

После вывода запроса или ответа не забудьте вывести перевод строки и сбросить буфер вывода. В противном случае вы получите вердикт Решение «зависло». Для сброса буфера используйте:

  • fflush(stdout) или cout.flush() в C++;
  • System.out.flush() в Java;
  • flush(output) в Pascal;
  • stdout.flush() в Python;
  • смотрите документацию для других языков.

Формат взломов

Первая строка должна содержать одно целое число \(n\) (\(3 \le n \le 1024\)) — длину перестановки.

Вторая строка должна содержать \(n\) различных целых чисел \(p_1,p_2,\ldots,p_n\) (\(1 \le p_i\le n\)) — загаданную перестановку.

Примечание

Перестановка в примере равна \([3,5,2,1,4]\).

Примеры ввода и вывода иллюстрируют возможное взаимодействие в примере (дополнительные переводы строк добавлены только для удобства чтения).

В этом взаимодействии:

  • В первом запросе \(\lfloor\frac{3}{4}\rfloor=0,\lfloor\frac{5}{4}\rfloor=1,\lfloor\frac{2}{4}\rfloor=0\), поэтому ответ равен \(2\).
  • Во втором запросе \(\lfloor\frac{2}{3}\rfloor=0,\lfloor\frac{1}{3}\rfloor=0,\lfloor\frac{4}{3}\rfloor=1\), поэтому ответ равен \(2\).
  • В третьем запросе \(\lfloor\frac{2}{5}\rfloor=0,\lfloor\frac{1}{5}\rfloor=0\), поэтому ответ равен \(1\).
  • В четвертом запросе \(\lfloor\frac{2}{2}\rfloor=1,\lfloor\frac{1}{2}\rfloor=0,\lfloor\frac{4}{2}\rfloor=2\), поэтому ответ равен \(3\).

После \(4\) запросов был выведен правильный ответ, поэтому это взаимодействие будет зачтено.

D. Watch the Videos

Бинарный поиск Конструктив *1700

Monocarp wants to watch \(n\) videos. Each video is only one minute long, but its size may be arbitrary. The \(i\)-th video has the size \(a_i\) megabytes. All videos are published on the Internet. A video should be downloaded before it can be watched. Monocarp has poor Internet connection — it takes exactly \(1\) minute to download \(1\) megabyte of data, so it will require \(a_i\) minutes to download the \(i\)-th video.

Monocarp's computer has a hard disk of \(m\) megabytes. The disk is used to store the downloaded videos. Once Monocarp starts the download of a video of size \(s\), the \(s\) megabytes are immediately reserved on a hard disk. If there are less than \(s\) megabytes left, the download cannot be started until the required space is freed. Each single video can be stored on the hard disk, since \(a_i \le m\) for all \(i\). Once the download is started, it cannot be interrupted. It is not allowed to run two or more downloads in parallel.

Once a video is fully downloaded to the hard disk, Monocarp can watch it. Watching each video takes exactly \(1\) minute and does not occupy the Internet connection, so Monocarp can start downloading another video while watching the current one.

When Monocarp finishes watching a video, he doesn't need it on the hard disk anymore, so he can delete the video, instantly freeing the space it occupied on a hard disk. Deleting a video takes negligible time.

Monocarp wants to watch all \(n\) videos as quickly as possible. The order of watching does not matter, since Monocarp needs to watch all of them anyway. Please calculate the minimum possible time required for that.

Input

The first line contains two integers \(n\) and \(m\) (\(1 \le n \le 2 \cdot 10^5\); \(1 \le m \le 10^9\)) — the number of videos Monocarp wants to watch and the size of the hard disk, respectively.

The second line contains \(n\) integers \(a_1, a_2, \dots, a_n\) (\(1 \le a_i \le m\)) — the sizes of the videos.

Output

Print one integer — the minimum time required to watch all \(n\) videos.

H. Hospital Queue

Бинарный поиск реализация жадные алгоритмы графы *2200

There are \(n\) people (numbered from \(1\) to \(n\)) signed up for a doctor's appointment. The doctor has to choose in which order he will appoint these people. The \(i\)-th patient should be appointed among the first \(p_i\) people. There are also \(m\) restrictions of the following format: the \(i\)-th restriction is denoted by two integers \((a_i, b_i)\) and means that the patient with the index \(a_i\) should be appointed earlier than the patient with the index \(b_i\).

For example, if \(n = 4\), \(p = [2, 3, 2, 4]\), \(m = 1\), \(a = [3]\) and \(b = [1]\), then the only order of appointment of patients that does not violate the restrictions is \([3, 1, 2, 4]\). For \(n =3\), \(p = [3, 3, 3]\), \(m = 0\), \(a = []\) and \(b = []\), any order of appointment is valid.

For each patient, calculate the minimum position in the order that they can have among all possible orderings that don't violate the restrictions.

Input

The first line contains two integers \(n\) and \(m\) (\(1 \le n \le 2000\); \(0 \le m \le 2000\)).

The second line contains \(n\) integers \(p_1, p_2, \dots, p_n\) (\(1 \le p_i \le n\)).

Then \(m\) lines follow. The \(i\)-th of them contains two integers \(a_i\) and \(b_i\) (\(1 \le a_i, b_i \le n\); \(a_i \ne b_i\)). All pairs of \((a_i, b_i)\) are distinct (i. e. if \(i \ne j\), then either \(a_i \ne a_j\), \(b_i \ne b_j\), or both).

Additional constraint on the input: there is at least one valid order of patients.

Output

Print \(n\) integers, where \(i\)-th integer is equal to the minimum position of \(i\)-th patient in the order, among all valid orders. Positions in the order are numbered from \(1\) to \(n\).

Note

In the first example, \([3, 1, 2, 4]\) the only one valid order, so the minimum position of each patient is equal to their position in this order.

In the second example, any order is valid, so any patient can be appointed first.

In the third example, there are three valid orders: \([4, 2, 3, 1, 5]\), \([3, 4, 2, 1, 5]\) and \([4, 3, 2, 1, 5]\).

E. Декомпозиция

Бинарный поиск Перебор Структуры данных дп разделяй и властвуй *2300

Для последовательности целых чисел \([x_1, x_2, \dots, x_k]\) обозначим декомпозицию следующим образом:

Будем обрабатывать последовательность слева направо, поддерживая список ее подпоследовательностей. Когда мы обрабатываем элемент \(x_i\), мы приписываем его в конец первой подпоследовательности в списке, для которой побитовое И последнего ее элемента и \(x_i\) больше \(0\). Если такой подпоследовательности в списке нет, создадим новую подпоследовательность с единственным элементом \(x_i\) и запишем ее в конец списка подпоследовательностей.

Например, рассмотрим декомпозицию последовательности \([1, 3, 2, 0, 1, 3, 2, 1]\):

  • обрабатываем элемент \(1\), список подпоследовательностей пуст. Ни к одной подпоследовательности нельзя приписать \(1\), поэтому мы создаем новую подпоследовательность \([1]\);
  • обрабатываем элемент \(3\), список подпоследовательностей — \([[1]]\). Так как побитовое И \(3\) и \(1\) равно \(1\), элемент добавляется в первую подпоследовательность;
  • обрабатываем элемент \(2\), список подпоследовательностей — \([[1, 3]]\). Так как побитовое И \(2\) и \(3\) равно \(2\), элемент добавляется в первую подпоследовательность;
  • обрабатываем элемент \(0\), список подпоследовательностей — \([[1, 3, 2]]\). Ни к одной подпоследовательности нельзя приписать \(0\), поэтому мы создаем новую подпоследовательность \([0]\);
  • обрабатываем элемент \(1\), список подпоследовательностей — \([[1, 3, 2], [0]]\). Ни к одной подпоследовательности нельзя приписать \(1\), поэтому мы создаем новую подпоследовательность \([1]\);
  • обрабатываем элемент \(3\), список подпоследовательностей — \([[1, 3, 2], [0], [1]]\). Так как побитовое И \(3\) и \(2\) равно \(2\), элемент добавляется в первую подпоследовательность;
  • обрабатываем элемент \(2\), список подпоследовательностей — \([[1, 3, 2, 3], [0], [1]]\). Так как побитовое И \(2\) и \(3\) равно \(2\), элемент добавляется в первую подпоследовательность;
  • обрабатываем элемент \(1\), список подпоследовательностей — \([[1, 3, 2, 3, 2], [0], [1]]\). Элемент \(1\) нельзя приписать ни к одной из первых двух подпоследовательностей, но можно приписать к третьей.

В результате получается список подпоследовательностей \([[1, 3, 2, 3, 2], [0], [1, 1]]\).

Пусть \(f([x_1, x_2, \dots, x_k])\) — количество подпоследовательностей, на которое декомпозируется последовательность \([x_1, x_2, \dots, x_k]\).

А теперь — сама задача.

Вам дана последовательность \([a_1, a_2, \dots, a_n]\), в которой каждый элемент — это целое число от \(0\) до \(3\). Пусть \(a[i..j]\) — это последовательность \([a_i, a_{i+1}, \dots, a_j]\). Вы должны посчитать \(\sum \limits_{i=1}^n \sum \limits_{j=i}^n f(a[i..j])\).

Входные данные

В первой строке задано одно целое число \(n\) (\(1 \le n \le 3 \cdot 10^5\)).

Во второй строке заданы \(n\) целых чисел \(a_1, a_2, \dots, a_n\) (\(0 \le a_i \le 3\)).

Выходные данные

Выведите одно целое число, равное \(\sum \limits_{i=1}^n \sum \limits_{j=i}^n f(a[i..j])\).

B2. Копирование файлов II

Бинарный поиск Перебор математика *особая задача *1400

В этой версии задачи размеры копируемых файлов не превышают \(10^{10}\) байт.

Вы копируете с одного сервера на другой \(n\) файлов размером \(a_1, a_2, \ldots, a_n\) байт. Файлы копируются последовательно в заданном порядке.

При копировании вы видите два прогресс-бара: первый показывает процент скопированных данных в текущем файле, а второй — общий процент скопированных данных по всем \(n\) файлам. Оба процента отображаются округлёнными вниз до целого числа. Значения на прогресс-барах обновляются после копирования каждого байта.

Формально, после копирования байта номер \(x\) из файла номер \(i\) первый прогресс-бар показывает \(\lfloor \frac{100 \cdot x}{a_i} \rfloor\) процентов, а второй — \(\lfloor \frac{100 \cdot (a_1 + a_2 + \ldots + a_{i - 1} + x)}{a_1 + a_2 + \ldots + a_n} \rfloor\) процентов. В самом начале копирования оба прогресс-бара показывают \(0\) процентов.

Найдите все такие целые числа от \(0\) до \(100\) включительно, что существует момент времени, в который оба прогресс-бара одновременно показывают это число. Выведите эти числа в порядке возрастания.

Входные данные

В первой строке задано одно целое число \(n\) (\(1 \le n \le 100\)) — число копируемых файлов.

Во второй строке заданы \(n\) целых чисел \(a_1, a_2, \ldots, a_n\) (\(1 \le a_i \le 10^{10}\)) — размеры файлов в байтах в том порядке, в котором они будут копироваться.

Выходные данные

Выведите в возрастающем порядке все числа от \(0\) до \(100\) включительно такие, что существует момент времени, в который на обоих прогресс-барах одновременно показывается это число.

Примечание

В первом тесте копируется всего один файл, поэтому оба прогресс-бара всегда показывают одинаковые значения.

Во втором тесте первый прогресс-бар сразу же уйдёт вперёд, потом сбросится в ноль и начнёт догонять второй прогресс-бар заново. В конце копирования прогресс-бары некоторое время будут показывать одно и то же число.

Обратите внимание, что третий тест в этой версии задачи отличается от третьего теста в предыдущей версии задачи.

E1. Космическое путешествие

Бинарный поиск *1700

Умный Бобер из ABBYY планирует совершить космическое путешествие на суперсовременном космическом корабле, за время которого он посетит n планет. Для i-ой планеты известны числа ai — максимальное число чемоданов, которые инопланетному туристу разрешено провезти на планету, и bi — число жителей на планете.

В путешествие Умный Бобер возьмет с собой сувениры из ABBYY. Сувениры упаковываются в чемоданы, по x штук в каждый. На корабль Бобер возьмет ровно a1 + ... + an чемоданов.

Высаживаясь на i-ой планете, Бобер берет с собой ai чемоданов. В первый день пребывания на планете Бобер гуляет и знакомится с жителями. Во второй и все последующие дни Бобер дарит жителям сувениры — каждому из bi жителей по сувениру каждый день. Бобер покидает планету вечером того дня, когда сувениров становится меньше, чем жителей (то есть как только на следующий день он не сможет подарить нужное количество сувениров). Оставшиеся сувениры он оставляет в отеле.

Всего Бобер собирается путешествовать ровно c дней. Время, затраченное на перелеты между планетами, считается равным нулю. Сколькими способами можно выбрать целое положительное число x так, чтобы планируемое путешествие заняло ровно c дней?

Входные данные

Первая строка входных данных содержит целые числа n и c, разделенные пробелом, — число планет, которые Бобер собирается посетить, и число дней, отведенных на путешествие, соответственно.

Следующие n строк содержат пары целых чисел ai, bi (1 ≤ i ≤ n), разделенных пробелом, — число чемоданов, разрешенных для ввоза на i-ю планету, и число жителей на i-ой планете, соответственно.

Ограничения на входные данные для получения 30 баллов:

  • 1 ≤ n ≤ 100
  • 1 ≤ ai ≤ 100
  • 1 ≤ bi ≤ 100
  • 1 ≤ c ≤ 100

Ограничения на входные данные для получения 100 баллов:

  • 1 ≤ n ≤ 104
  • 0 ≤ ai ≤ 109
  • 1 ≤ bi ≤ 109
  • 1 ≤ c ≤ 109

В связи с возможностью переполнения рекомендуется использовать 64-битную арифметику. Возможны варианты решений, в которых переполняется даже 64-битная арифметика. Поэтому будьте аккуратны в вычислениях!

Выходные данные

Выведите единственное целое число k — количество способов выбрать x так, чтобы путешествовать ровно c дней. Если существует бесконечно много вариантов выбора x, выведите -1.

Пожалуйста, не используйте спецификатор %lld для чтения или записи 64-х битовых чисел на С++. Рекомендуется использовать потоки cin, cout или спецификатор %I64d.

Примечание

В первом примере существует единственное подходящее значение x = 5. Тогда на первую планету Бобер берет 1 чемодан с 5 сувенирами. Здесь он проводит 2 дня: первый день гуляет, второй день дарит 5 сувениров. На вторую планету он берет 2 чемодана с 10 сувенирами. Здесь он проводит 3 дня — один день гуляет, еще два дня дарит по 4 сувенира и последние 2 сувенира оставляет в отеле. Всего в путешествии бобер проводит 5 дней.

При x = 4 и меньше Бобру не хватит сувениров на второй день на первой планете, и путешествие закончится слишком быстро. При x = 6 и больше Бобер проведет как минимум на один день больше на второй планете, и путешествие затянется.

B. Хоссам и друзья

Бинарный поиск Конструктив дп *1400

Хоссам устраивает большую вечеринку, он собирается пригласить на нее своих друзей.

У него есть \(n\) друзей, пронумерованных от \(1\) до \(n\). Они будут организованы в очередь следующим образом: \(1, 2, 3, \ldots, n\).

У Хоссама есть список из \(m\) пар его друзей, которые не знакомы друг с другом. Любая пара, не входящая в этот список, знакома друг с другом.

Подотрезок очереди, начинающийся с друга \(a\) и заканчивающийся другом \(b\), равен \([a, a + 1, a + 2, \ldots, b]\). Подоторезок очереди считается хорошим, если любая пара из этого подотрезка знакома друг с другом.

Хоссам хочешь знать, сколько пар \((a, b)\) (\(1 \le a \le b \le n\)), таких, что подотрезок начинающийся с друга \(a\) и заканчивающийся другом \(b\) хороший.

Входные данные

Каждый тест состоит из нескольких наборов входных данных. Первая строка содержит одно целое число \(t\) (\(1 \le t \le 2 \cdot 10^4\)), количество наборов входных данных. Далее следует их описание.

Первая строка каждого набора содержит два целых числа \(n\) и \(m\) (\(2 \le n \le 10^5\), \(0 \le m \le 10^5\)) означающих число друзей и число пар, соответственно.

В \(i\)-й из следующих \(m\) строк содержатся два целых числа \(x_i\) и \(y_i\) (\(1 \le x_i, y_i\le n\), \(x_i \neq y_i\)) означающих пары друзей Хоссама, которые не знают друг друга.

Обратите внимание, что пары могут повторяться.

Гарантируется, что сумма \(n\) по всем наборам входных данных не превосходит \(10^5\), и сумма \(m\) по всем наборам входных данных не первосходит\(10^5\).

Выходные данные

Для каждого набора входных данных выведите одно целое число — количество хороших подотрезков.

Примечание

В первом наборе ответ равен \(4\). Хорошие подотрезки здесь:

[1]

[2]

[3]

[1, 2]

Во втором наборе ответ равен \(5\). Хорошие подотрезки здесь:

[1]

[2]

[3]

[4]

[3, 4]

F. Хоссам и минимум на отрезке

Строки Бинарный поиск Деревья Структуры данных Теория вероятностей хэши битмаски *2500

Хоссам дал вам последовательность целых чисел \(a_1, \, a_2, \, \dots, \, a_n\) длины \(n\). Кроме того, он последовательно дает вам \(q\) запросов вида \((l, \, r)\). Для каждого запроса он хочет знать среди чисел \(a_l, \, a_{l + 1}, \, \dots, \, a_r\) такое минимальное число, что оно встречается в заданном отрезке последовательности нечетное количество раз.

Вы должны посчитать ответ на каждый запрос, прежде чем отвечать на следующий.

Входные данные

В первой строке входных данных задано единственное целое число \(n\) (\(1 \le n \le 2 \cdot 10^5\)) — длина последовательности.

Во второй строке входных данных задана последовательность из \(n\) целых чисел \(a_1, \, a_2, \, \dots, \, a_n\) (\(1 \le a_i \le 10^9\)).

В третьей строке задано целое число \(q\) (\(1 \le q \le 2 \cdot 10^5\)) — количество запросов.

Затем следуют \(q\) строк, в каждой из которой задано два целых числа \(a\) и \(b\) (\(0 \le a, \, b \le 2 \cdot 10^9\)) — числа, с помощью которых кодируются границы запроса.

Пусть \(\mathrm{ans}_i\) ответ на \(i\)-й запрос, и \(\mathrm{ans}_0\) равен нулю. Тогда \(\)l_i = a_i \oplus \mathrm{ans}_{i - 1},\(\) \(\)r_i = b_i \oplus \mathrm{ans}_{i - 1},\(\) где \(l_i, \, r_i\) параметры \(i\)-го запроса и \(\oplus\) означает битовое исключающие или. Гарантируется, что \(1 \le l \le r \le n\).

Выходные данные

Для каждого запроса выведите минимальное число, которое встречается на заданном отрезке последовательности нечетное количество раз.

Если такого числа не существует, выведите \(0\).

Примечание

В данном примере

\(\)l_1 = 1, \, r_1 = 2,\(\) \(\)l_2 = 1, \, r_2 = 3,\(\) \(\)l_3 = 2, \, r_3 = 4,\(\) \(\)l_4 = 1, \, r_4 = 4,\(\) \(\)l_5 = 2, \, r_5 = 2,\(\) \(\)l_6 = 1, \, r_6 = 5.\(\)

G. Поднятие рейтинга

Бинарный поиск математика реализация жадные алгоритмы сортировки *2200

Монокарп играет в шахматы на одном популярном сайте. На этом сайте у него есть \(n\) соперников. Рейтинг \(i\)-го соперника равен \(a_i\). Изначальный рейтинг Монокарпа равен \(x\). Монокарп хочет достичь рейтинга \(y\) (\(y > x\)).

Когда Монокарп играет партию, он побеждает, если его текущий рейтинг больше или равен рейтинга противника. В случае победы рейтинг Монокарпа повышается на \(1\), в случае поражения — понижается на \(1\). Рейтинг его противника не меняется.

Монокарп хочет за минимальное кол-во партий достигнуть рейтинга \(y\). Но сайт не позволяет ему легко набирать рейтинг в играх против слабых игроков, требуя, чтобы Монокарп играл со всеми противниками примерно равное количество партий. Формально, Монокарп может сыграть партию с противником \(i\) только если нет другого противника \(j\) такого, что Монокарп сыграл против \(i\) больше раз, чем против \(j\).

Посчитайте минимальное кол-во партий, которое нужно сыграть Монокарпу, чтобы достичь рейтинга \(y\), или скажите, что это невозможно. Заметьте, что рейтинги противников Монокарпа остаются неизменными, в отличие от рейтинга самого Монокарпа.

Входные данные

В первой строке задано одно целое число \(t\) (\(1 \le t \le 10^4\)) — количество наборов входных данных.

В первой строке каждого набора заданы три целых числа \(n\), \(x\) и \(y\) (\(1 \le n \le 2 \cdot 10^5\); \(1 \le x < y \le 10^{12}\)) — количество противников Монокарпа, его первоначальный и желаемый рейтинги.

Во второй строке каждого набора заданы \(n\) целых чисел \(a_1, a_2, \dots, a_n\) (\(1 \le a_i \le 10^{12}\)) — рейтинги противников Монокарпа.

Гарантируется, что сумма \(n\) по всем \(t\) наборам входных данных не превосходит \(2 \cdot 10^5\).

Выходные данные

Для каждого набора входных данных выведите одно число — минимальное количество партий, которые нужно сыграть Монокарпу, чтобы получить рейтинг \(y\), или \(-1\), если достичь данного рейтинга невозможно.

Примечание

В первом наборе входных данных, Монокарп может использовать следующую стратегию:

  1. Монокарп играет против \(2\)-го соперника и увеличивает рейтинг (\(2 \to 3\));
  2. Монокарп играет против \(1\)-го соперника и увеличивает рейтинг (\(3 \to 4\));
  3. Монокарп играет против \(4\)-го соперника и увеличивает рейтинг (\(4 \to 5\));
  4. Монокарп играет против \(5\)-го соперника и увеличивает рейтинг (\(5 \to 6\));
  5. Теперь Монокарп должен сыграть с оставшимися тремя соперниками. Он проиграет \(3\) раза и получит рейтинг \(3\) (\(6 \to 5 \to 4 \to 3\));
  6. После этого Монокарп повторит шаги 1-5 два раза. После \(14\) партий получится, что он сыграл дважды к каждым противников и его финальный рейтинг равен \(4\).
  7. Монокарп играет против \(1\)-го соперника и увеличивает рейтинг (\(4 \to 5\));
  8. Монокарп играет против \(2\)-го соперника и увеличивает рейтинг (\(5 \to 6\));
  9. Монокарп играет против \(4\)-го соперника и увеличивает рейтинг (\(6 \to 7\));
  10. Монокарп играет против \(5\)-го соперника и увеличивает рейтинг (\(7 \to 8\));
  11. Монокарп играет против \(7\)-го соперника и увеличивает рейтинг (\(8 \to 9\));
  12. Монокарп играет против \(3\)-го соперника и увеличивает рейтинг (\(9 \to 10\));
В результате Монокарп сыграл дважды с \(6\)-м противником и трижды со всеми остальными, получив рейтинг \(10\) за \(14 + 6 = 20\) партий.

Во втором наборе можно показать, что какие бы партии не сыграл Монокарп, он не сможет получить рейтинг выше \(4\).

F2. Фокусник и свиньи (сложная версия)

Бинарный поиск Перебор Структуры данных реализация *2700

Это сложная версия задачи. Единственное различие между двумя версиями  — это ограничения на \(n\) и \(x\). Вы можете делать взломы, только если обе версии задачи решены.

Little09 давно интересуется магией, и как же ему повезло, что он встречает фокусника! Фокусник выполнит \(n\) операций, каждая из которых является одной из следующих трех:

  • \(1\ x\): Создать свинью с \(x\) очками здоровья.
  • \(2\ x\): Уменьшить очки здоровья всех живых свиней на \(x\).
  • \(3\): Повторить все предыдущие операции. Формально, предполагая, что это \(i\)-я операция в последовательности операций, выполните по очереди первые \(i-1\) операций (включая операции «Повторить»).

Свинья умирает, когда ее очки здоровья становятся меньше или равны \(0\).

Little09 хочет знать, сколько живых свиней осталось после всех операций. Пожалуйста, выведите ответ по модулю \(998\,244\,353\).

Входные данные

Первая строка содержит одно целое число \(n\) (\(1\leq n\leq 8\cdot 10^5\))  — количество операций.

Каждая из следующих \(n\) строк содержит операцию, заданную в форме, описанной в условии задачи. Гарантируется, что \(1\leq x\leq 10^9\) в операциях первых двух типов.

Выходные данные

Выведите одно целое число  — количество живых свиней после всех операций, по модулю \(998\,244\,353\).

Примечание

В первом примере операции эквивалентны повторению следующего четыре раза: создать свинью с \(8\) очками здоровья, а затем уменьшить очки здоровья всех живых свиней на \(3\). Легко видеть, что в конце остаются две живые свиньи с \(2\) и \(5\) очками здоровья.

L. Controllers

Бинарный поиск математика *1500

You are at your grandparents' house and you are playing an old video game on a strange console. Your controller has only two buttons and each button has a number written on it.

Initially, your score is \(0\). The game is composed of \(n\) rounds. For each \(1\le i\le n\), the \(i\)-th round works as follows.

On the screen, a symbol \(s_i\) appears, which is either \(\texttt{+}\) (plus) or \(\texttt{-}\) (minus). Then you must press one of the two buttons on the controller once. Suppose you press a button with the number \(x\) written on it: your score will increase by \(x\) if the symbol was \(\texttt{+}\) and will decrease by \(x\) if the symbol was \(\texttt{-}\). After you press the button, the round ends.

After you have played all \(n\) rounds, you win if your score is \(0\).

Over the years, your grandparents bought many different controllers, so you have \(q\) of them. The two buttons on the \(j\)-th controller have the numbers \(a_j\) and \(b_j\) written on them. For each controller, you must compute whether you can win the game playing with that controller.

Input

The first line contains a single integer \(n\) (\(1 \le n \le 2\cdot 10^5\)) — the number of rounds.

The second line contains a string \(s\) of length \(n\) — where \(s_i\) is the symbol that will appear on the screen in the \(i\)-th round. It is guaranteed that \(s\) contains only the characters \(\texttt{+}\) and \(\texttt{-}\).

The third line contains an integer \(q\) (\(1 \le q \le 10^5\)) — the number of controllers.

The following \(q\) lines contain two integers \(a_j\) and \(b_j\) each (\(1 \le a_j, b_j \le 10^9\)) — the numbers on the buttons of controller \(j\).

Output

Output \(q\) lines. On line \(j\) print \(\texttt{YES}\) if the game is winnable using controller \(j\), otherwise print \(\texttt{NO}\).

Note

In the first sample, one possible way to get score \(0\) using the first controller is by pressing the button with numnber \(1\) in rounds \(1\), \(2\), \(4\), \(5\), \(6\) and \(8\), and pressing the button with number \(2\) in rounds \(3\) and \(7\). It is possible to show that there is no way to get a score of \(0\) using the second controller.

M. Parmigiana With Seafood

Бинарный поиск Деревья дп жадные алгоритмы *3000

The "Parmigiana di melanzane" is a typical Italian dish. Alessandro and Bianca have very different tastes when it comes to it: Alessandro loves to eat Parmigiana with seafood, but Bianca thinks it is an atrocity! To decide which ingredients to include in the dish they prepare, they play the following game.

There are \(n\) possible ingredients, labeled from \(1\) to \(n\). The higher the label, the closer the ingredient is to being seafood. The ingredients are connected by \(n - 1\) edges, in such a way as to form a tree. Alessandro and Bianca take turns, with Alessandro going first. They alternately choose a terminal ingredient \(x\), that is an ingredient currently connected to at most one other ingredient, and remove it from the tree. If the terminal ingredient \(x\) was chosen by Alessandro, it goes in the recipe; if it was chosen by Bianca, it is discarded.

The taste of the Parmigiana is measured as the maximum label of an ingredient in the recipe. Alessandro wants to maximize the taste, while Bianca wants to minimize the taste. If both play optimally, what is the taste of the Parmigiana?

Input

The first line contains an integer \(n\) (\(2\le n \le 100\,000\)) — the number of ingredients.

Each of the following \(n-1\) lines contain two integers \(u_i\) and \(v_i\) (\(1 \le u_i, v_i \le n\), \(u_i \ne v_i\)) — the ingredients that the \(i\)-th edge connects.

It is guaranteed that the edges form a tree (i.e., any pair of ingredients is connected by the edges, possibly indirectly).

Output

Print the value of the taste if both Alessandro and Bianca play optimally.

Note

In the first sample, Alessandro can choose terminal ingredient \(4\) in the first turn. This ingredient is added to the recipe. Since \(4\) is the maximum label of an ingredient, the taste is \(4\) regardless of the choices that follow.

In the second sample, Bianca can make sure that neither ingredient \(4\) nor \(5\) are included in the recipe, in which case Alessandro can include \(3\). Thus, the taste is \(3\).

C. Мастер тестов

Бинарный поиск математика теория чисел сортировки *1700

Администрация школы должна выбрать команду своих представителей для участия в международном тесте. Всего в школе \(n\) учеников. Всех учеников можно описать массивом \(a\), в котором \(a_i\) равно уровню интеллекта \(i\)-го ученика (\(1 \le i \le n\)). Вопросы на тесте покрывают \(m\) тем, обозначенных числами \(1, 2, 3, \ldots, m\). Оказывается, \(i\)-й студент разбирается в теме \(T\), если \((a_i \bmod T) = 0\). Иначе в этой теме он полный новичок.

Будем говорить, что команда учеников коллегиально разбирается во всех темах, если для любой темы по крайней мере один участник команды разбирается в ней.

Нужно найти такую команду учеников, которая бы коллегиально разбиралась во всех темах, но при этом разность между максимальным и минимальным уровнями интеллекта участников команды была бы минимальна. Для такой команды выведите эту разность.

Входные данные

Каждый тест состоит из нескольких наборов входных данных. В первой строке находится одно целое число \(t\) (\(1 \le t \le 10^4\)) — количество наборов входных данных. Далее следует описание наборов входных данных.

Первая строка каждого набора входных данных содержит числа \(n\) и \(m\) (\(1 \le n,m \le 10^5\)).

Вторая строка каждого набора входных данных содержит \(n\) целых чисел \(a_1, a_2, \ldots, a_n\) (\(1 \le a_i \le 10^5\)).

Гарантируется, что сумма значений \(n\) по всем наборам входных данных не превосходит \(10^5\).

Гарантируется, что сумма значений \(m\) по всем наборам входных данных не превосходит \(10^5\).

Выходные данные

Для каждого набора входных данных выведите ответ на отдельной строке. Если решения нет, выведите \(-1\).

Примечание

В первом наборе входных данных имеем учеников с уровнями интеллекта \(3\) и \(7\), а \(m = 4\). В частности, нет ученика с уровнем интеллекта, который бы делился на \(2\). Но поскольку \(2 \leq m\), то выбрать подходящую команду невозможно.

Во втором наборе входных данных мы можем составить команду из одного участника: в ней будет лишь ученик с уровнем интеллекта \(2\). Эта команда будет коллегиально разбираться в обеих темах \(1\) и \(2\).

В третьем наборе входных данных рассмотрим команду с уровнями интеллекта \(4, 5, 6, 7\). Такая команда будет коллегиально разбираться во всех темах \(1, 2, \ldots, 7\).

E. Разворот ребер

Бинарный поиск Деревья поиск в глубину и подобное графы *2200

Задан ориентированный взвешенный граф на \(n\) вершинах и \(m\) ориентированных ребрах, вес \(i\)-го ребра равен \(w_i\) (\(1 \le i \le m\)).

Нужно развернуть несколько ребер (изменить их ориентацию на противоположную) в этом графе таким образом, чтобы все вершины графа стали достижимы из какой-то одной. Стоимость таких разворотов равна максимальному весу среди всех развернутых ребер. Если можно обойтись без разворота ребер, стоимость считается равной \(0\).

Гарантируется, что в графе нет петель и кратных ребер.

Найдите наименьшую стоимость, необходимую для достижения цели. Если решения нет, выведите \(-1\).

Входные данные

Каждый тест состоит из нескольких наборов входных данных. В первой строке находится одно целое число \(t\) (\(1 \le t \le 10^5\)) — количество наборов входных данных. Далее следует описание наборов входных данных.

Первая строка каждого набора входных данных содержит два числа: \(n\) и \(m\) (\(2 \le n \le 2 \cdot 10^5\), \(1 \le m \le 2 \cdot 10^5\)) — количество вершин в графе и количество ребер в графе.

Следующие \(m\) строк каждого набора входных данных содержат по \(3\) числа \(u\), \(v\), \(w\) (\(1 \le u, v \le n\), \(1 \le w \le 10^9\)), которые задают ребро из \(u\) в \(v\) с весом \(w\). Гарантируется, что никакое ребро не соединяет вершину саму с собой, а также никакая пара ребер не имеют одновременно общее начало и общий конец.

Гарантируется, что сумма значений \(n\), а также сумма значений \(m\) по всем наборам входных данных не превосходит \(2 \cdot 10^5\).

Выходные данные

Для каждого набора входных данных выведите наименьшую необходимую стоимость. Если решения нет, выведите \(-1\).

Примечание

В первом наборе входных данных существует ребро из \(1\) в \(2\), так что все вершины уже достижимы из \(1\).

Во втором наборе входных данных невозможно добиться того, чтобы все вершины были достижимы из какой-то одной, как бы ни были развернуты ребра. Поэтому в качестве ответа нужно вывести \(-1\).

В третьем наборе входных данных можно развернуть \(4\)-е или \(5\)-е ребро. После этого все вершины станут достижимы из вершины \(1\). Для ответа выбирается \(5\)-е ребро, поскольку его вес меньше.

D. Битовая угадайка

Бинарный поиск Конструктив *1800 битмаски интерактив

Это интерактивная задача.

Кира загадал некое положительное целое число \(n\), а Хаято требуется его угадать.

Изначально Кира дает Хаято значение \(\mathrm{cnt}\) — количество единичных битов в двоичной записи \(n\). Для того чтобы угадать \(n\), Хаято может делать лишь операции одного типа: выбрать некоторое целое число \(x\) и вычесть его из \(n\). Обратите внимание, что после каждой операции число \(n\) изменяется. Кира не любит плохих запросов, поэтому если Хаято попробует вычесть число \(x\) большее, чем \(n\), то он проиграет Кире. После каждой операции Кира сообщает обновленное значение \(\mathrm{cnt}\) — количество единичных битов в двоичной записи обновленного значения \(n\).

У Киры не так много терпения, поэтому Хаято должен угадать изначальное значение числа \(n\) за не более чем \(30\) запросов.

Так как Хаято учится в начальной школе, он просит вашей помощи — напишите программу, которая угадывает число \(n\). Кира — честный человек, поэтому он зафиксирует значение \(n\) изначально и не станет как-то менять начальное число в зависимости от запросов Хаято.

Входные данные

Во входных данных находятся несколько наборов входных данных. В первой строке находится одно целое число \(t\) (\(1 \le t \le 500\)) — количество наборов входных данных. Далее следуют наборы входных данных.

Первая строка каждого набора входных данных содержит одно целое число \(\mathrm{cnt}\) — изначальное количество единичных битов в двоичной записи \(n\).

Загаданное целое число \(n\) удовлетворяет следующему ограничению \(1 \le n \le 10^9\).

Протокол взаимодействия

Для угадывания \(n\) вы можете не более \(30\) раз произвести описанную операцию. Для этого выведите строку в формете «- x» (\(1 \le x \le 10^9\)).

После этой операции из \(n\) вычитается число \(x\), и поэтому значение \(n\) изменяется. Если число \(x\) оказалось больше, чем текущее число \(n\), то такой запрос считается некорректным.

После каждой операции считайте одно неотрицательное целое число \(\mathrm{cnt}\) — количество единичных битов в двоичной записи текущего \(n\) после совершения операции.

Когда вы узнаете число \(n\), выведите одну строку следующего формата: «! n» (\(1 \le n \le 10^9\)).

После этого переходите к решению следующего набора входных данных или завершите программу, если таких нет.

Если ваша программа сделает более \(30\) операций для одного набора входных данных, вычтет число \(x\) большее, чем \(n\), или сделает некорректный запрос, то ответом на запрос будет -1, после получения такого ответа ваша программа должна немедленно завершится, чтобы получить вердикт Неправильный ответ. Иначе она может получить любой другой вердикт.

После вывода запроса не забудьте вывести перевод строки и сбросить буфер вывода. В противном случае вы получите вердикт Решение «зависло». Для сброса буфера используйте:

  • fflush(stdout) или cout.flush() в C++;
  • System.out.flush() в Java;
  • flush(output) в Pascal;
  • stdout.flush() в Python;
  • смотрите документацию для других языков.

Взломы

Чтобы сделать взлом, используйте следующий формат.

Первая строка должна содержать одно целое число \(t\) (\(1 \leq t \leq 500\)).

Каждый набор входных данных должен содержать одно целое число \(n\) (\(1 \leq n \leq 10^9\)) на отдельной строке.

Примечание

К примеру, количество единичных битов в числе \(6\) это \(2\), потому что двоичное представление \(6\) это \(110\). Для \(13\) количество единичных битов \(3\), так как \(13_{10} = 1101_2\).

В первом примере \(n = 1\), поэтому на вход дается число \(1\). После вычитания из \(n\) единицы оно становится нулевым, поэтому и количество единичных битов у него \(0\).

В третьем примере \(n = 3\), которое в двоичном представлении выглядит как \(3_{10} = 11_2\), следовательно на вход даётся количество единиц, то есть \(2\). После вычитания числа \(2\) мы имеем \(n = 1\), поэтому количество единичных битов теперь \(1\). После вычитания из \(n\) единицы оно становится равно нулю.

E. Джоске и полный граф

Бинарный поиск Перебор Структуры данных математика теория чисел *2400

Джоске в подарок от дедушки получил огромный неориентированный взвешенный полный\(^\dagger\) граф \(G\), который содержит \(10^{18}\) вершин. Особенность подарка в том, что вес ребра между различными вершинами \(u\) и \(v\) равен \(\gcd(u, v)^\ddagger\). Джоске решил поэкспериментировать и сделать новый граф \(G'\). Для этого он выбирает два целых числа \(l \le r\), и оставляет только такие вершины \(v\), что \(l \le v \le r\), а также оставляет только ребра между оставшимися вершинами.

Теперь Джоске интересуется, сколько различных весов ребер в графе \(G'\). Так как граф получился огромный, он просит вашей помощи.

\(^\dagger\) Полным графом называется простой неориентированный граф, в котором каждая пара различных вершин смежна.

\(^\ddagger\) \(\gcd(x, y)\) обозначает наибольший общий делитель (НОД) чисел \(x\) и \(y\).

Входные данные

В первой строке содержится одно целое число \(t\) (\(1 \le t \le 100\)) — количество наборов входных данных.

Первая строка каждого набора входных данных содержит два целых числа \(l\), \(r\) (\(1 \le l \le r \le 10^{18}\), \(l \le 10^9\)).

Выходные данные

Для каждого набора входных данных выведите единственное число — количество различных весов среди оставшихся ребер.

Примечание
Графа \(G'\) для первого набора входных данных.

На рисунке видно, что в графе \(2\) различных веса ребер.

В пятом наборе входных данных остается лишь одна вершина, из которой не исходит ни одного ребра, поэтому ответ — \(0\).

G. Вкусный десерт

Бинарный поиск математика теория чисел *2400 хэши снм строковые суфф. структуры

Сегодня у повара Тонио важный день — в его родной город Морио приехал ревизор. Он доехал и до ресторана Тонио и заказал у него десерт. Тонио к такому повороту событий не был готов.

Как известно, десерт — это строка из строчных латинских символов. Тонио вспомнил общее правило десертов — строку \(s\) длины \(n\). Любой десерт \(t\) является вкусным, если количество вхождений строки \(t\) в строку \(s\) как подстроки делится нацело на длину \(t\).

Теперь Тонио хочет знать количество вкусных подстрок заготовки \(s\). Если подстрока встречается в строке \(s\) несколько раз, то в ответе нужно учесть все вхождения.

Входные данные

В первой строке дано целое число \(n\) (\(1 \leq n \leq 10^6\)) — длина правила \(s\).

Во второй строке находится строка \(s\) длины \(n\) — правило десертов. Правило состоит только из строчных букв латинского алфавита.

Выходные данные

В единственной строке выведите количество подстрок строки \(s\), являющихся вкусными десертами.

Примечание

В первом примере есть много вкусных подстрок — \(7\) из них это подстроки длины \(1\) (так как любое число делится на \(1\) нацело). Рассмотрим другие вкусные подстроки:

  • «ab» встречается в \(s\) \(2\) раза, что делится на длину подстроки.
  • «ba» также встречается \(2\) раза.

Следовательно ответ \(7 + 2 + 2 = 11\).

Обратите внимание, что в ответе учтены оба вхождения как «ab», так и «ba».

E. Сжатие прямоугольников

Бинарный поиск Перебор Структуры данных реализация жадные алгоритмы *2300

Перед вами прямоугольная таблица высоты \(2\) и ширины \(10^9\), состоящая из единичных клеток. На таблице расположено \(n\) прямоугольников, причём границы прямоугольников проходят по границам клеток. \(i\)-й прямоугольник покрывает все клетки в строках с \(u_i\) по \(d_i\) включительно и столбцах с \(l_i\) по \(r_i\) включительно (\(1 \le u_i \le d_i \le 2\); \(1 \le l_i \le r_i \le 10^9\)). Данные прямоугольники могут произвольным образом пересекаться, вкладываться и совпадать.

Вам нужно каждый прямоугольник либо удалить, либо заменить на любой свой непустой подпрямоугольник. Во втором случае подпрямоугольник должен целиком содержаться в исходном прямоугольнике, а его границы всё также должны проходить по границам клеток. При этом разрешается, чтобы подпрямоугольник совпал с исходным прямоугольником.

Требуется, чтобы никакие два (неудаленных) прямоугольника после замены не имели общих клеток, а суммарная площадь, покрытая новыми прямоугольниками, была как можно больше.

Рисунок для первого набора входных данных. Сверху изображены данные прямоугольники, снизу — изменённые. Прямоугольник номер \(4\) был удалён.
Входные данные

Каждый тест состоит из нескольких наборов входных данных. В первой строке находится одно целое число \(t\) (\(1 \le t \le 10^4\)) — количество наборов входных данных. Далее следует описание наборов входных данных.

Первая строка каждого набора входных данных содержит одно целое число \(n\) (\(1 \le n \le 2 \cdot 10^5\)) — количество прямоугольников.

Каждая из следующих \(n\) строк содержит четыре целых числа \(u_i, l_i, d_i, r_i\) (\(1 \le u_i \le d_i \le 2\); \(1 \le l_i \le r_i \le 10^9\)) — координаты клеток, находящихся в левом верхнем и правом нижнем углу прямоугольника соответственно.

Гарантируется, что сумма \(n\) по всем наборам входных данных не превосходит \(2 \cdot 10^5\).

Выходные данные

Для каждого набора входных данных сначала выведите целое число \(s\) — максимальную возможную площадь, покрытую новыми прямоугольниками. Далее в \(n\) строках выведите ваше решение для покрытия такой площади.

В \(i\)-й из этих строк выведите четыре целых числа \(u'_i, l'_i, d'_i, r'_i\). Если вы удаляете \(i\)-й прямоугольник, выведите \(u'_i = l'_i = d'_i = r'_i = 0\). Иначе эти числа обозначают новые координаты клеток в левом верхнем и правом нижнем углу \(i\)-го прямоугольника соответственно. Они должны удовлетворять следующим неравенствам: \(u_i \le u'_i \le d'_i \le d_i\); \(l_i \le l'_i \le r'_i \le r_i\).

Если существует несколько решений, выведите любое из них.

Примечание

На рисунке в условии задачи изображен первый набор входных данных.

C. Очередной Турнир

Бинарный поиск жадные алгоритмы сортировки *1700

Вы участвуете в турнире под названием «Очередной Турнир». В турнире участвуют \(n + 1\) человек: вы и \(n\) ваших соперников, пронумерованных от \(1\) по \(n\).

Каждый участник сыграет против каждого ровно один раз. Если соперник \(i\) состязается с соперником \(j\), он выигрывает тогда и только тогда, когда \(i > j\).

Если же оппонент \(i\) играет против вас, все становится немного сложнее. Для того чтобы победить оппонента \(i\), вам нужно готовиться к матчу на протяжении \(a_i\) минут. В противном случае вы проиграете данному сопернику.

У вас есть \(m\) свободных минут для подготовки к матчам, но вы можете готовиться одновременно только к одному матчу. Другими словами, если вы хотите выиграть у оппонентов \(p_1, p_2, \dots, p_k\), вы должны потратить на подготовку \(a_{p_1} + a_{p_2} + \dots + a_{p_k}\) минут. Если же это число больше \(m\), вы не сможете их всех победить.

Финальное место каждого участника равно количеству участников со строго большим количеством побед \(+\) \(1\). Например, если \(3\) участника выиграли по \(5\) раз, \(1\) участник — \(3\) раза, и \(2\) участника — по \(1\) разу, то первые \(3\) займут \(1\)-е место, четвертый — \(4\)-е место, и два последних — \(5\)-е место.

Посчитайте минимально возможное место (меньше — лучше), которое вы сможете занять, если на подготовку к матчам у вас всего \(m\) минут.

Входные данные

В первой строке задано одно целое число \(t\) (\(1 \le t \le 10^4\)) — количество наборов входных данных.

В первой строке каждого набора входных данных заданы два целых числа \(n\) и \(m\) (\(1 \le n \le 5 \cdot 10^5\); \(0 \le m \le \sum\limits_{i=1}^{n}{a_i}\)) — количество ваших оппонентов и общее время, которое у вас есть на подготовку к матчам.

Во второй строке каждого набора заданы \(n\) целых чисел \(a_1, a_2, \dots, a_n\) (\(0 \le a_i \le 1000\)), где \(a_i\) — это количество минут, необходимое на подготовку к матчу с \(i\)-м оппонентом.

Гарантируется, что сумма \(n\) по всем наборам входных данных не превосходит \(5 \cdot 10^5\).

Выходные данные

Для каждого набора входных данных выведите наименьшее возможное место, которое вы сможете занять, если на подготовку у вас есть только \(m\) минут.

Примечание

В первом наборе входных данных у вас есть время на подготовку ко всем оппонентам, а потому вы выиграете все \(4\) матча и займете \(1\)-е место, так как все ваши оппоненты выиграют не более \(3\) матчей.

Во втором наборе вы можете подготовиться ко второму оппоненту и выиграть у него. В результате вы выиграете \(1\) матч, оппонент \(1\) — \(1\) матч, оппонент \(2\) — \(1\) матч, оппонент \(3\) — \(3\) матча. А потому оппонент \(3\) займет \(1\)-е место, и все остальные, включая вас,  — \(2\)-е место.

В третьем наборе входных у вас нет времени на подготовку, а потому вы проиграете все матчи. Так как у каждого из оппонентов будет хотя бы \(1\) победа, вы займете последнее место (место \(6\)).

В четвертом наборе у вас нет времени на подготовку, но вы все равно выиграете у первого оппонента. В результате оппонент \(1\) не выиграл ни одного матча, у вас \(1\) победа, и у всех остальных хотя бы \(2\) победы. А потому ваше место \(4\).

H. Разбалловка Codeforces

Бинарный поиск Структуры данных геометрия дп *3300

Вы участвуете в раунде Codeforces с \(n\) задачами.

На решение каждой задачи вы тратите ровно одну минуту, время на отправку решения можно не учитывать. В каждый момент времени вы можете решать не более одной задачи. Раунд начинается в момент времени \(0\), поэтому свою первую посылку вы можете сделать в момент времени \(t \ge 1\) минут. Когда вы отправляете решение, вы всегда правильно решаете задачу.

Получаемые баллы за \(i\)-ю задачу могут быть описаны тремя целыми числами \(k_i\), \(b_i\) и \(a_i\). Если вы решите эту задачу по прошествии \(t\) минут, вы получите \(\max(b_i - k_i \cdot t,a_i)\) баллов.

Ваша задача — выбрать порядок решения всех этих \(n\) задач, чтобы получить максимальное количество очков. Можете считать, что раунд достаточно длинный, и вы успеете решить все задачи.

Входные данные

Каждый тест содержит несколько наборов входных данных. Первая строка содержит целое число \(t\) (\(1 \le t \le 10^4\)) — количество наборов входных данных.

Первая строка каждого набора входных данных содержит одно целое число \(n\) (\(1 \le n \le 2 \cdot 10^5\)) — количество задач.

Далее следуют \(n\) строк, \(i\)-я из которых содержит три целых числа \(k_i\), \(b_i\), \(a_i\) (\(1\le k_i,b_i,a_i\le 10^9\); \(a_i < b_i\)), которые означают, что вы получите \(\max(b_i - k_i \cdot t,a_i)\) баллов, если решите эту \(i\)-ю задачу на \(t\)-й минуте.

Гарантируется, что сумма \(n\) не превосходит \(2 \cdot 10^5\).

Выходные данные

Для каждого набора входных данных выведите строку, содержащую одно целое число — максимальный балл, который вы можете получить.

Примечание

Во втором наборе входных данных баллы всех задач на каждой минуте перечислены ниже.

Время\(1\)\(2\)\(3\)\(4\)\(5\)\(6\)
Задача \(1\)\(7\)\(6\)\(5\)\(\color{red}{4}\)\(3\)\(2\)
Задача \(2\)\(\color{red}{20}\)\(11\)\(4\)\(4\)\(4\)\(4\)
Задача \(3\)\(12\)\(10\)\(\color{red}{8}\)\(6\)\(4\)\(3\)
Задача \(4\)\(9\)\(5\)\(1\)\(1\)\(\color{red}{1}\)\(1\)
Задача \(5\)\(17\)\(\color{red}{15}\)\(13\)\(11\)\(9\)\(7\)
Задача \(6\)\(5\)\(5\)\(5\)\(5\)\(5\)\(\color{red}{5}\)

Красным цветом показан один из оптимальных порядков решения задач, который дает \(53\) балла.

D. Движущиеся точки

Бинарный поиск Перебор Комбинаторика математика *2000

Вы играете в игру с \(n\) точками на числовой прямой.

Изначальная координата \(i\)-й точки равна \(x_i\). Координаты всех точек различны. Каждая точка начинает двигаться одновременно с одинаковой постоянной скоростью.

Каждая точка движется в направлении к ближайшей точке (отличной от нее самой), пока не встретится с какой-либо точкой. В случае равенства до ближайшей точки слева и справа, точка движется влево. Две точки встречаются, если их координаты совпадают, при этом они навсегда прекращают движение.

Через некоторое время все точки перестанут двигаться. Результатом игры является количество различных координат, в которых остановятся точки.

Поскольку эта игра слишком проста, подсчитайте сумму результатов игр для каждого подмножества из данных \(n\) точек, в котором есть хотя бы две точки. Так как ответ может быть очень большим, выведите его по модулю \(10^9+7\).

Входные данные

Первая строка содержит одно целое число \(n\) (\(2 \leq n \leq 3000\)).

Следующая строка содержит \(n\) целых чисел \(x_1, x_2, \ldots, x_n\) (\(1 \leq x_1 < x_2 < \ldots < x_n \leq 10^9\)), где \(x_i\) является координатой \(i\)-й точки.

Выходные данные

Выведите сумму результатов по модулю \(10^9+7\).

Примечание

В первом примере для подмножества размером \(2\) две точки движутся навстречу друг другу, поэтому существует \(1\) координата, где точки останавливаются.

Для подмножества размером \(3\) первая точка и третья точка движутся ко второй точке, поэтому существует \(1\) координата, где точки останавливаются, вне зависимости от направления движения второй точки.

Для подмножества \([1, 2, 4, 6]\) первая и вторая точки движутся навстречу друг другу. Для третьей точки изначально вторая точка и четвертая точка являются ближайшими точками. Из-за этого равенства третья точка движется влево. Четвертая точка также движется влево. Таким образом, существует \(1\) координата, где точки останавливаются, которая равна \(1.5\).

Поскольку существует \(6\) подмножеств размером \(2\), \(4\) подмножеств размером \(3\) и одно подмножество размером \(4\), ответ равен \(6 \cdot 1 + 4 \cdot 1 + 1 = 11\).

Во втором примере для подмножества размером \(5\) (когда есть точки в координатах \(1\), \(3\), \(5\), \(11\), \(15\)) точки в координатах \(1\) и \(11\) будут двигаться вправо, а точки в координатах \(3\), \(5\), \(15\) — влево. Точки на \(1\), \(3\), \(5\) в конце концов встретятся в координате \(2\), а точки на \(11\) и \(15\) встретятся в координате \(13\), поэтому существует \(2\) координаты, где точки остановятся.

F. Range Update Point Query

Бинарный поиск Перебор Структуры данных *1500

Дан массив \(a_1, a_2, \dots, a_n\), вам нужно обработать суммарно \(q\) запросов и обновлений следующих типов:

  • \(1\) \(l\) \(r\) — для каждого индекса \(i\) такого, что \(l \leq i \leq r\), заменить значение \(a_i\) на сумму цифр в \(a_i\).
  • \(2\) \(x\) — вывести \(a_x\).
Входные данные

Первая строка содержит целое число \(t\) (\(1 \leq t \leq 1000\)) — количество наборов входных данных.

Первая строка каждого набора входных данных содержит два целых числа \(n\) и \(q\) (\(1 \le n, q \le 2 \cdot 10^5\)) — размер массива и количество запросов соответственно.

Вторая строка каждого набора входных данных содержит \(n\) целых чисел \(a_1, a_2, \dots, a_n\) (\(1 \le a_i \le 10^9\)).

Следующие \(q\) строк каждого набора входных данных содержат запросы следующих видов:

  • \(1\) \(l\) \(r\) (\(1 \leq l \leq r \leq n\)) — означает, что для каждого индекса \(i\) такого, что \(l \leq i \leq r\), вам следует заменить значение \(a_i\) на сумму его цифр.
  • \(2\) \(x\) (\(1 \leq x \leq n\)) — означает, что вы должны вывести \(a_x\).

Гарантируется, что существует хотя бы один запрос второго типа.

Сумма \(n\) по всем наборам входных данных не превосходит \(2 \cdot 10^5\).

Сумма \(q\) по всем наборам входных данных не превосходит \(2 \cdot 10^5\).

Выходные данные

Для каждого набора входных данных выведите ответы на запросы второго типа, в том порядке, в котором они заданы в тесте.

Примечание

В первом наборе входных данных происходят следующие изменения:

  • Изначально \(a = [1, 420, 69, 1434, 2023]\).
  • Операция применяется с \(l=2\), \(r=3\), получаем \([1, \color{red}{6}, \color{red}{15}, 1434, 2023]\).
  • Запрошены значения с \(x=2\), \(x=3\), и \(x=4\), выводим \(6\), \(15\), и \(1434\).
  • Операция применяется с \(l=2\), \(r=5\), получаем \([1, \color{red}{6}, \color{red}{6}, \color{red}{12}, \color{red}{7}]\).
  • Запрошены значения с \(x=1\), \(x=3\), и \(x=5\), выводим \(1\), \(6\), и \(7\).

G2. Телепорты (Сложная версия)

Бинарный поиск жадные алгоритмы сортировки *1900

Единственное отличие между простой и сложной версиями — точки, куда вы можете телепортироваться.

Рассмотрим точки \(0,1,\dots,n+1\) расположенные на прямой. Имеются телепорты, расположенные в каждой из точек \(1,2,\dots,n\). В точке \(i\) вы можете сделать следующее:

  • Переместиться влево на единицу. Это стоит \(1\) монету.
  • Переместиться вправо на единицу. Это стоит \(1\) монету.
  • Воспользоваться телепортом в точке \(i\), если он существует. Это стоит \(a_i\) монет. В результате, вы телепортируетесь в точку \(0\) или \(n+1\) на ваш выбор. Каждым телепортом можно воспользоваться только один раз.

У вас есть \(c\) монет, и вы начинаете в точке \(0\). Каким наибольшим числом телепортов вы сможете воспользоваться?

Входные данные

Каждый тест содержит несколько наборов входных данных. Первая строка теста содержит целое число \(t\) (\(1 \leq t \leq 1000\)) — количество наборов входных данных. Затем следуют описания наборов.

Первая строка каждого набора содержит два целых числа \(n\) и \(c\) (\(1 \leq n \leq 2\cdot10^5\); \(1 \leq c \leq 10^9\))  — длина массива и количество монет, которое у вас есть соответственно.

Следующая строка содержит \(n\) целых чисел \(a_1,a_2,\dots,a_n\) (\(1 \leq a_i \leq 10^9\)), разделенных пробелами — стоимости использования телепортов.

Гарантируется, что сумма \(n\) по всем наборам входных данных не превосходит \(2\cdot10^5\).

Выходные данные

Для каждого набора входных данных выведите максимальное количество телепортов, которым вы сможете воспользоваться.

Примечание

В первом наборе входных данных вы можете переместиться на одну единицу вправо, использовать телепорт в точке \(1\) и телепортироваться в точку \(n+1\), переместиться на одну единицу влево и использовать телепорт в точке \(5\). У вас останется \(6-1-1-1-1 = 2\) монеты, этого недостаточно, чтобы использовать другой телепорт. Вы использовали два телепорта, поэтому ответ — два.

Во втором наборе входных данных вы перемещаетесь на четыре единицы вправо и используете телепорт, перемещаясь в \(n+1\), затем перемещаетесь на три единицы влево и используете телепорт в точке \(6\), перемещаясь в \(n+1\), и затем перемещаетесь влево на четыре единицы и используете телепорт. Общая стоимость составит \(4+6+3+4+4+9 = 30\) и вы использовали три телепорта.

В третьем наборе входных данных у вас недостаточно монет для использования любого телепорта, поэтому ответ равен нулю.

C. Min Max сортировка

Бинарный поиск Перебор математика *1500 жадные алгоритмы

Вам дана перестановка \(p\) размера \(n\) (перестановка размера \(n\) — это массив размера \(n\), в котором каждое целое число от \(1\) до \(n\) встречается ровно один раз).

Вы можете выполнить следующую операцию любое количество раз (возможно, ноль):

  1. выбрать два различных элемента \(x\) и \(y\) и удалить их из перестановки;
  2. вставить минимум из \(x\) и \(y\) в перестановку таким образом, чтобы он стал первым элементом;
  3. вставить максимум из \(x\) и \(y\) в перестановку таким образом, чтобы он стал последним элементом;

Например, если \(p = [1, 5, 4, 2, 3]\), и мы хотим применить операцию к элементам \(3\) и \(5\), тогда после первого шага операции \(p = [1, 4, 2]\); а после вставки элементов \(p = [3, 1, 4, 2, 5]\).

Ваша задача — определить минимальное количество вышеописанных операций, позволяющих отсортировать перестановку \(p\) в возрастающем порядке (т. е. преобразуйте \(p\) таким образом, что \(p_1 < p_2 < \dots < p_n\)).

Входные данные

Первая строка содержит одно целое число \(t\) (\(1 \le t \le 10^4\)) — количество наборов входных данных.

Первая строка каждого набора содержит одно целое число \(n\) (\(1 \le n \le 2 \cdot 10^5\)) — размер перестановки.

Вторая строка набора входных данных содержит \(n\) различных целых чисел от \(1\) до \(n\) — заданную перестановку \(p\).

Сумма \(n\) по всем наборам входных данных не превосходит \(2 \cdot 10^5\).

Выходные данные

Для каждого набора выходных данных выведите одно целое число — минимальное количество вышеописанных операций, позволяющих отсортировать перестановку \(p\) в возрастающем порядке.

Примечание

В первом примере можно действовать следующим образом:

  1. в перестановке \(p = [1, 5, 4, 2, 3]\) выберем элементы \(4\) и \(2\), тогда после применения операции перестановка \(p = [2, 1, 5, 3, 4]\);
  2. в перестановке \(p = [2, 1, 5, 3, 4]\) выберем элементы \(1\) и \(5\), тогда после применения операции перестановка \(p = [1, 2, 3, 4, 5]\).

D. Перестановки с неподвижным префиксом

Бинарный поиск Структуры данных математика сортировки *1700 хэши битмаски

Заданы \(n\) перестановок \(a_1, a_2, \dots, a_n\), каждая длины \(m\). Напомним, что перестановка длины \(m\) — это последовательность из \(m\) различных целых чисел от \(1\) до \(m\).

Назовем красотой перестановки \(p_1, p_2, \dots, p_m\) наибольшее такое \(k\), что \(p_1 = 1, p_2 = 2, \dots, p_k = k\). Если \(p_1 \neq 1\), то красота равна \(0\).

Произведение двух перестановок \(p \cdot q\) — это такая перестановка \(r\), что \(r_j = q_{p_j}\).

Для каждого \(i\) от \(1\) до \(n\) выведите наибольшую красоту перестановки \(a_i \cdot a_j\) по всем \(j\) от \(1\) до \(n\) (возможно, \(i = j\)).

Входные данные

В первой строке записано одно целое число \(t\) (\(1 \le t \le 10^4\)) — количество наборов входных данных.

В первой строке каждого набора входных данных записаны два целых числа \(n\) и \(m\) (\(1 \le n \le 5 \cdot 10^4\); \(1 \le m \le 10\)) — количество перестановок и длина каждой перестановки.

В \(i\)-й из следующих \(n\) строк записана перестановка \(a_i\) — \(m\) различных чисел от \(1\) до \(m\).

Сумма \(n\) по всем наборам входных данных не превосходит \(5 \cdot 10^4\).

Выходные данные

На каждый набор входных данных выведите \(n\) целых чисел. \(i\)-е значение должно быть равно наибольшей красоте перестановки \(a_i \cdot a_j\) по всем \(j\) (\(1 \le j \le n\)).

D. Московские гориллы

Бинарный поиск математика реализация дп *1800 жадные алгоритмы

Зимой обитателям Московского зоопарка очень скучно, в частности, это касается горилл. Вы решили развлечь их и принесли в зоопарк перестановку \(p\) длины \(n\).

Перестановкой длины \(n\) называется массив, состоящий из \(n\) различных целых чисел от \(1\) до \(n\) в произвольном порядке. Например, \([2,3,1,5,4]\) является перестановкой, но \([1,2,2]\) не является перестановкой (\(2\) встречается дважды в массиве) и \([1,3,4]\) тоже не является перестановкой (\(n=3\), но \(4\) присутствует в массиве).

У горилл оказалась своя перестановка \(q\) длины \(n\). Они предложили вам посчитать количество пар целых чисел \(l, r\) (\(1 \le l \le r \le n\)) таких, что \(\operatorname{MEX}([p_l, p_{l+1}, \ldots, p_r])=\operatorname{MEX}([q_l, q_{l+1}, \ldots, q_r])\).

\(\operatorname{MEX}\) последовательности это минимальное целое положительное число, отсутствующее в этой последовательности. Например, \(\operatorname{MEX}([1, 3]) = 2\), \(\operatorname{MEX}([5]) = 1\), \(\operatorname{MEX}([3, 1, 2, 6]) = 4\).

Вы не хотите рисковать своим здоровьем, поэтому не посмеете отказать гориллам.

Входные данные

Первая строка содержит одно целое число \(n\) (\(1 \le n \le 2 \cdot 10^5\)) — длина перестановок.

Вторая строка содержит \(n\) различных целых чисел \(p_1, p_2, \ldots, p_n\) (\(1 \le p_i \le n\)) — элементы перестановки \(p\).

Третья строка содержит \(n\) различных целых чисел \(q_1, q_2, \ldots, q_n\) (\(1 \le q_i \le n\)) — элементы перестановки \(q\).

Выходные данные

Выведите одно целое число — количество подходящих пар \(l\) и \(r\).

Примечание

В первом примере подходят два отрезка — \([1, 3]\), для которого \(\operatorname{MEX}\) в обоих массивах равен \(4\), и \([3, 3]\), для которого \(\operatorname{MEX}\) в обоих массивах равен \(1\).

Во втором примере, например, подходит отрезок \([1, 4]\), а отрезок \([6, 7]\) не подходит, потому что \(\operatorname{MEX}(5, 4) \neq \operatorname{MEX}(1, 4)\).

E. Велепин и маркетинг

Бинарный поиск Структуры данных дп *2600 жадные алгоритмы сортировки

Знаменитый писатель Велепин очень продуктивный. Совсем недавно он подписал контракт с известным изданием и теперь ему нужно написать \(k_i\) книг за \(i\)-й год. Для него это вообще не проблема, он может сколько угодно писать о самураях, космосе, пустоте, насекомых и оборотнях.

У него есть \(n\) постоянных читателей, каждый из которых в \(i\)-й год прочитает одну из \(k_i\) книг, выпущенных Велепиным. Читатели очень любят обсуждать книги, поэтому \(j\)-й из них будет доволен в течение года, если такую же книгу, как он, прочитают как минимум \(a_j\) человек (включая его самого).

У Велепина есть явные проблемы с маркетингом, поэтому он обратился к вам! Известный сервис чтения книг может управлять тем, что будет читать каждый из поклонников Велепина, но он не хочет чтобы книги пропадали зря, поэтому каждую книгу должен кто-то прочитать. И вот они обратились к вам, с просьбой сказать, какое максимальное количество постоянных читателей можно сделать довольным в течение каждого из годов, если вы можете выбирать каждому человеку книгу, которую он будет читать.

Входные данные

В первой строке дано одно целое число \(n\) \((2 \le n \le 3 \cdot 10^5)\) — количество постоянных читателей Велепина.

Во второй строке дано \(n\) целых чисел \(a_1, a_2, \ldots, a_n\) \((1 \le a_i \le n)\) — количество необходимых читателей той же книги для счастья \(i\)-го человека.

В третьей строке дано одно целое число \(q\) \((1 \le q \le 3 \cdot 10^5)\) — количество лет, которые нужно проанализировать.

В каждой из следующих \(q\) строк дано по одному целому числу \(k_j\) \((2 \le k_j \le n)\) — количество книг, которые Велепин должен написать в \(j\)-й год.

Выходные данные

Выведите \(q\) строк, в каждой из них ровно одно число — максимальное количество человек, которые могут быть довольны в \(j\)-й год, если Велепин выпустит \(k_j\) книг.

Примечание

В первом примере в первый год оптимальным является разделение \(1, 2, 2, 2, 2\) (первую книгу читает первый человек, а все остальные вторую). Во второй год оптимальным решением является \(1, 2, 2, 3, 3\) (первую книгу читает первый человек, вторую книгу читает второй и третий человек, а все остальные третью книгу). В третий год оптимальным будет разбиение \(1, 2, 3, 4, 2\). Соответственно количество довольных людей по годам будет — \(5, 5, 3\).

Во втором примере в первый год оптимальным является разделение \(1, 1, 1, 1, 1, 2\), тогда будут довольны все кроме \(6\)-го человека. Во второй год оптимальным разделением является \(1, 1, 1, 1, 2, 3\), тогда будут довольны все кроме \(5\)-го и \(6\)-го человека.

C. Оценка подпоследовательностей

Бинарный поиск математика жадные алгоритмы *1300

Определим оценку последовательности \([s_1, s_2, \ldots, s_d]\) как \(\displaystyle \frac{s_1\cdot s_2\cdot \ldots \cdot s_d}{d!}\), где \(d!=1\cdot 2\cdot \ldots \cdot d\). В частности, оценка пустой последовательности равна \(1\).

Для последовательности \([s_1, s_2, \ldots, s_d]\) пусть \(m\) будет максимальной оценкой среди всех ее подпоследовательностей. Тогда ее стоимость определяется как максимальная длина подпоследовательности с оценкой \(m\).

Вам дана неубывающая последовательность \([a_1, a_2, \ldots, a_n]\) целых чисел длины \(n\). Другими словами, выполняется условие \(a_1 \leq a_2 \leq \ldots \leq a_n\). Для каждого \(k=1, 2, \ldots , n\) найдите стоимость последовательности \([a_1, a_2, \ldots , a_k]\).

Последовательность \(x\) называется подпоследовательностью последовательности \(y\), если \(x\) получается из \(y\) удалением нескольких (возможно, нуля или всех) элементов.

Входные данные

Каждый тест состоит из нескольких наборов входных данных. В первой строке находится одно целое число \(t\) (\(1 \le t \le 10^4\)) — количество наборов входных данных. Далее следует описание наборов входных данных.

Первая строка каждого набора входных данных содержит целое число \(n\) (\(1\le n\le 10^5\)) — длину заданной последовательности.

Вторая строка каждого набора входных данных содержит \(n\) целых чисел \(a_1,a_2,\ldots,a_n\) (\(1\le a_i\leq n\)) — заданную последовательность. Гарантируется, что ее элементы расположены в неубывающем порядке.

Гарантируется, что сумма \(n\) по всем наборам входных данных не превосходит \(5\cdot 10^5\).

Выходные данные

Для каждого набора входных данных выведите \(n\) целых чисел — стоимости последовательностей \([a_1, a_2, \ldots , a_k]\) в порядке возрастания \(k\).

Примечание

В первом наборе входных данных:

  • Максимальная оценка среди подпоследовательностей \([1]\) равна \(1\). Подпоследовательности \([1]\) и \([]\) (пустая последовательность) — единственные с такой оценкой. Таким образом, стоимость \([1]\) составляет \(1\).
  • Максимальная оценка среди подпоследовательностей \([1, 2]\) равна \(2\). Единственная подпоследовательность с такой оценкой — \([2]\). Таким образом, стоимость \([1, 2]\) составляет \(1\).
  • Максимальная оценка среди подпоследовательностей \([1, 2, 3]\) равна \(3\). Подпоследовательности \([2, 3]\) и \([3]\) — единственные с такой оценкой. Таким образом, стоимость \([1, 2, 3]\) составляет \(2\).
Следовательно, ответ в этом случае равен \(1\:\:1\:\:2\) — стоимости \([1], [1, 2]\) и \([1, 2, 3]\) в этом порядке.

C. Дегустация чая

Бинарный поиск Структуры данных реализация *1500

Производитель чая рашил организовать огромную церемонию дегустации чая. \(n\) дегустаторов будут пробовать \(n\) сортов чая. И сорта чая, и дегустаторы пронумерованы от \(1\) до \(n\). Производитель подготовил \(a_i\) миллилитров \(i\)-го сорта чая. \(j\)-й дегустатор способен выпить \(b_j\) миллилитров чая за раз.

Дегустация будет происходить по этапам. На первом этапе \(i\)-й дегустатор попробует \(i\)-й сорт чая. \(i\)-й дегустатор выпивает \(\min(a_i, b_i)\) чая (сколько доступно \(i\)-го сорта чая и сколько \(i\)-й дегустатор способен выпить). \(a_i\) также уменьшается на это количество.

Затем все дегустаторы переходят к предыдущему сорту чая. Тогда на втором этапе \(i\)-й дегустатор пробует \((i-1)\)-й сорт чая. \(i\)-й дегустатор выпивает \(\min(a_{i-1}, b_i)\) чая. \(1\)-й дегустатор заканчивает дегустацию.

На третьем этапе \(i\)-й дегустатор пробует \((i-2)\)-й сорт чая. \(2\)-й дегустатор заканчивает дегустацию. Это продолжается, пока все дегустаторы не закончат дегустацию.

Рассмотрим процесс дегустации для \(n = 3\), \(a = [10, 20, 15]\), \(b = [9, 8, 6]\). В левом столбце записаны текущие количества каждого сорта чая. В правом столбце записаны текущие выпитые количества чая для каждого дегустатора. Стрелка указывает, какой дегустатор пьет каждый чай на текущем шаге. Число на стрелке — это количество — минимум из того, сколько доступно сорта чая, и того, сколько может выпить дегустатор.

Для каждого дегустатора выведите, сколько миллилитров чая он/она суммарно выпьет.

Входные данные

В первой строке записано целое число \(t\) (\(1 \le t \le 10^4\)) — количество наборов входных данных.

В первой строке каждого набора входных данных записано одно целое число \(n\) (\(1 \le n \le 2 \cdot 10^5\)) — количество сортов чая и количество дегустаторов.

Во второй строке записаны \(n\) целых чисел \(a_1, a_2, \dots, a_n\) (\(1 \le a_i \le 10^9\)) — количество каждого сорта чая.

В третьей строке записаны \(n\) целых чисел \(b_1, b_2, \dots, b_n\) (\(1 \le b_i \le 10^9\)) — количество чая, которое каждый дегустатор может выпить за раз.

Сумма \(n\) по всем наборам входных данных не превосходит \(2 \cdot 10^5\).

Выходные данные

На каждый набор входных данных выведите \(n\) целых чисел — \(i\)-е значение должно быть равно суммарному количеству чая, выпитому \(i\)-м дегустатором.

Примечание

Первый набор входных данных описан в условии. Здесь предоставлены оставшиеся количества каждого сорта чая после каждого этапа и количество выпитого каждым дегустатором чая:

  • \(a = [1, 12, 9]\), \(\mathit{ans} = [9, 8, 6]\)
  • \(a = [0, 6, 9]\), \(\mathit{ans} = [9, 9, 12]\)
  • \(a = [0, 6, 9]\), \(\mathit{ans} = [9, 9, 12]\)

Во втором наборе входных данных единственный дегустатор выпьет \(\min(5, 7)\) миллилитров чая единственного сорта.

Здесь предоставлены оставшиеся количества каждого сорта чая после каждого этапа и количество выпитого каждым дегустатором чая для третьего набора входных данных:

  • \(a = [10, 4, 3, 3]\), \(\mathit{ans} = [3, 4, 2, 1]\);
  • \(a = [6, 2, 2, 3]\), \(\mathit{ans} = [3, 8, 4, 2]\);
  • \(a = [4, 1, 2, 3]\), \(\mathit{ans} = [3, 8, 6, 3]\);
  • \(a = [3, 1, 2, 3]\), \(\mathit{ans} = [3, 8, 6, 4]\).

Здесь предоставлены оставшиеся количества каждого сорта чая после каждого этапа и количество выпитого каждым дегустатором чая для четвертого набора входных данных:

  • \(a = [999999999, 999999999, 0]\), \(\mathit{ans} = [1, 1, 1000000000]\);
  • \(a = [999999998, 0, 0]\), \(\mathit{ans} = [1, 2, 1999999999]\);
  • \(a = [0, 0, 0]\), \(\mathit{ans} = [1, 2, 2999999997]\).

E. Взрывы?

Бинарный поиск Структуры данных математика дп жадные алгоритмы *2200

Вы играете в очередную компьютерную игру, где вы убиваете монстров с помощью магических заклинаний. Поле состоит из \(n\) клеток, расположенных в ряд и пронумерованных от \(1\) по \(n\). Первоначально, в \(i\)-й клетке находится \(i\)-й монстер с \(h_i\) единиц здоровья.

У вас есть базовое заклинание, которое стоит \(1\) MP и наносит \(1\) урона выбранному вами монстру. Вы можете использовать его любое количество раз. Также у вас есть свиток с заклинанием «Взрыв», которое вы можете использовать только один раз. Вы хотите закончить убийство монстров с помощью взрыва, а потому вы сначала используете базовое заклинание несколько раз (возможно, ни разу), а потом используете один «Взрыв».

Как же работает заклинание «Взрыв»? Во-первых, вы выбираете мощность заклинания: если вы вольете в него \(x\) MP, «Взрыв» нанесет \(x\) урона. Во-вторых, вы выбираете монстра \(i\), который будет целью заклинания. Вот что происходит дальше:

  • если его текущее здоровье \(h_i > x\), то он остается живым со здоровьем, пониженным на \(x\);
  • если \(h_i \le x\), то \(i\)-й монстр умирает и взрывается, нанося \(h_i - 1\) урона монстрам в соседних клетках \(i - 1\) и \(i + 1\), если эти клетки есть и монстры в них еще живы;
  • если урона, нанесенного взрывом, достаточно, чтобы убить монстра \(i - 1\) (или \(i + 1\)), т. е. текущее \(h_{i - 1} \le h_i - 1\) (или \(h_{i + 1} \le h_i - 1\)), то этот монстр также взрывается, нанося \(h_{i-1} - 1\) (или \(h_{i+1} - 1\)) урона своим соседям, которые также могут взорваться, если умрут, и так далее.

Ваша задача — убить всех оставшихся монстров с помощью этих «цепных» взрывов, а потому вам может понадобиться базовое заклинание, чтобы уменьшить \(h_i\) некоторых монстров, а может, даже убить их заранее (монстры умирают, когда их текущее здоровье \(h_i\) становится меньше или равно нулю). Заметим, что монстры не перемещаются между клетками, а потому, например, монстры \(i\) и \(i + 2\) никогда не станут соседними.

Какое наименьшее суммарное MP вам нужно, чтобы уничтожить монстров описанным выше способом? Общее MP считается как сумма количества использований базового заклинания и выбранной мощности \(x\) заклинания «Взрыв».

Входные данные

В первой строке задано одно целое число \(t\) (\(1 \le t \le 10^4\)) — количество наборов входных данных.

В первой строке каждого набора задано одно целое число \(n\) (\(1 \le n \le 3 \cdot 10^5\)) — количество клеток на поле, или же количество монстров.

Во второй строке каждого набора заданы \(n\) целых чисел \(h_1, h_2, \dots, h_n\) (\(1 \le h_i \le 10^6\)) — первоначальное здоровье монстров.

Гарантируется, что сумма \(n\) по всем наборам входных данных не превосходит \(3 \cdot 10^5\).

Выходные данные

Для каждого набора входных данных выведите одно число — наименьшее суммарное количество MP, которое вам понадобится, для того, чтобы уничтожить всех монстров с помощью взрыва в конце.

Примечание

В первом наборе входных данных вы можете, например, использовать базовое заклинание на монстрах \(1\) и \(2\) (один раз на каждого), чтобы уничтожить их. После этого вы кастуете «Взрыв» мощности \(x = 1\) на монстра \(3\), чтобы убить его. Суммарное MP равно \(2 + 1 = 3\).

Во втором наборе, выгодно скастовать базовое заклинание \(4\) раза на монстра \(1\) и убить его. После этого, вы кастуете «Взрыв» мощности \(x = 2\) на монстра \(3\). Он умирает и взрывается с силой \(1\), чем убивает монстров \(2\) и \(4\). Суммарное MP равно \(4 + 2 = 6\).

В третьем наборе, вы кастуете «Взрыв» силы \(15\) на монстра \(3\). Взрыв \(3\)-го монстра (силы \(14\)) убивает монстров \(2\) и \(4\). Взрыв монстра \(2\) (силы \(9\)), в свою очередь, убивает монстра \(1\).

F. Блокирующие фишки

Бинарный поиск Деревья Конструктив поиск в глубину и подобное жадные алгоритмы *2400

Задано дерево, состоящее из \(n\) вершин. На нем есть \(k\) фишек, расположенных в вершинах \(a_1, a_2, \dots, a_k\). Все \(a_i\) различны. Вершины \(a_1, a_2, \dots, a_k\) изначально покрашены в черный цвет. Остальные вершины белые.

Вы сыграете в игру, в ходе которой сделаете какое-то количество ходов (возможно, ноль). На \(i\)-м ходе (в \(1\)-индексации) вы подвинете фишку номер \(((i - 1) \bmod k + 1)\) из ее текущей вершины в соседнюю белую вершину и покрасите эту вершину в черный. То есть, если \(k=3\), то вы двигаете фишку \(1\) на ходе \(1\), фишку \(2\) на ходе \(2\), фишку \(3\) на ходе \(3\), фишку \(1\) на ходе \(4\), фишку \(2\) на ходе \(5\), и так далее. Если нет соседней белой вершины, то игра заканчивается.

Какое наибольшее количество ходов вы можете совершить?

Входные данные

В первой строке записано одно целое число \(t\) (\(1 \le t \le 10^4\)) — количество наборов входных данных.

В первой строке каждого набора входных данных записано одно целое число \(n\) (\(1 \le n \le 2 \cdot 10^5\)) — количество вершин дерева.

В каждой из следующих \(n - 1\) строк записаны два целых числа \(v\) и \(u\) (\(1 \le v, u \le n\)) — описания ребер. Данные ребра задают дерево.

В следующей строке записано одно целое число \(k\) (\(1 \le k \le n\)) — количество фишек.

В следующей строке записаны \(k\) целых чисел \(a_1, a_2, \dots, a_k\) (\(1 \le a_i \le n\)) — вершины с фишками. Все \(a_i\) различны.

Сумма \(n\) по всем наборам входных данных не превосходит \(2 \cdot 10^5\).

Выходные данные

На каждый набор входных данных выведите одно целое число — наибольшее количество ходов, которые вы можете совершить.

C. Максимальное множество

Бинарный поиск математика *1600

Назовем множество из положительных целых чисел \(S\) красивым, если для каждой пары чисел \(x\) и \(y\) из этого множества верно, что либо \(x\) делится на \(y\), либо \(y\) делится на \(x\).

Даны два целых числа \(l\) и \(r\). Рассмотрим все красивые множества, состоящие из чисел не меньше \(l\) и не больше \(r\). Выведите два числа:

  • максимально возможный размер красивого множества, состоящего из чисел от \(l\) до \(r\);
  • количество красивых множеств, состоящих из чисел от \(l\) до \(r\), с максимальным размером.

Так как второе число может быть очень большим, выведите его по модулю \(998244353\).

Входные данные

В первой строке задано одно целое число \(t\) (\(1 \le t \le 2 \cdot 10^4\)) — количество наборов входных данных.

Каждый набор входных данных состоит из одной строки, содержащей два целых числа \(l\) и \(r\) (\(1 \le l \le r \le 10^6\)).

Выходные данные

Для каждого набора входных данных выведите два целых числа — максимально возможный размер красивого множества, состоящего из чисел от \(l\) до \(r\), и количество таких множеств с максимальным размером. Так как второе число может быть очень большим, выведите его по модулю \(998244353\).

Примечание

В первом наборе входных данных максимальный размер красивого множества из чисел от \(3\) до \(11\) равен \(2\). Существуют \(4\) подобных множества с максимальным размером:

  • \(\{ 3, 6 \}\);
  • \(\{ 3, 9 \}\);
  • \(\{ 4, 8 \}\);
  • \(\{ 5, 10 \}\).

F. Подели пополам или вычти

Бинарный поиск Перебор дп жадные алгоритмы сортировки *2700

У вас есть массив положительных целых чисел \(a_1, a_2, \ldots, a_n\) длины \(n\). Также вам дано положительное целое число \(b\).

Мы можете сделать следующие операции несколько раз в любом порядке:

  1. Выберите некоторый индекс \(1 \le i \le n\) и замените \(a_i\) на \(\lceil \frac{a_i}{2} \rceil\). Здесь \(\lceil x \rceil\) обозначает минимальное целое число не меньше чем \(x\).
  2. Выберите некоторый индекс \(1 \le i \le n\) и замените \(a_i\) на \(\max(a_i - b, 0)\).

Однако также нужно, чтобы следующие условия удовлетворялись:

  • Вы можете сделать не более \(k_1\) операций типа 1.
  • Вы можете сделать не более \(k_2\) операций типа 2.
  • Для всех \(1 \le i \le n\), вы можете сделать не более \(1\) операции типа 1 с элементом \(a_i\).
  • Для всех \(1 \le i \le n\), вы можете сделать не более \(1\) операции типа 2 с элементом \(a_i\).

Цена массива это сумма его элементов. Найдите минимальную цену массива \(a\), которую можно получить, выполняя эти операции.

Входные данные

В первой строке находится единственное целое число \(t\) (\(1 \le t \le 5000\)) — количество наборов входных данных. Описания наборов входных данных следуют.

В первой строке описания каждого набора входных данных находится четыре целых числа \(n\), \(b\), \(k_1\), \(k_2\) (\(1 \le n \le 5000\), \(1 \le b \le 10^9\), \(0 \le k_1, k_2 \le n\)).

Во второй строке описания каждого набора входных данных находится \(n\) целых чисел \(a_1, a_2, \ldots, a_n\) задающих массив \(a\) (\(1 \le a_i \le 10^9\)).

Гарантируется, что сумма \(n\) по всем наборам входных данных не превосходит \(5000\).

Выходные данные

Для каждого набора входных данных выведите минимальную цену массива \(a\), которую можно получить, выполняя операции.

Примечание

В первом наборе входных данных вы можете сделать следующее:

  • Сделать операцию 2 с элементом \(a_3\). Он поменяется с \(5\) на \(3\).
  • Сделать операцию 1 с элементом \(a_1\). Он поменяется с \(9\) на \(5\).

После всех операций получается массив \(a = [5, 3, 3]\) который имеет цену \(5 + 3 + 3 = 11\). Можно показать, что это минимальная достижимая цена.

Во втором наборе входных данных обратите внимание, что нам не разрешено применять операцию типа 1 более одного раза с элементом \(a_1\). Поэтому оптимально применить операцию типа 1 к элементам \(a_1\) и \(a_2\). Также можно применить операцию 1 только к \(a_1\), потому что эта операция никак не меняет элемент \(a_2\).

В третьем наборе входных данных можно получить массив стоимости \(23\):

  • Сделать операцию 1 с элементом \(a_4\). Он поменяется с \(19\) на \(10\).
  • Сделать операцию 2 с элементом \(a_4\). Он поменяется с \(10\) на \(7\).

После всех операций получается массив \(a = [2, 8, 3, 7, 3]\). Цена массива \(a\) это \(2 + 8 + 3 + 7 + 3 = 23\). Можно показать, что это минимальная достижимая цена.

E. Кубики

Бинарный поиск дп *1800

Представьте, что вы играете в следующую несложную компьютерную игру. На экране нарисованы n кубиков, расположенных в ряд. Каждый кубик окрашен в один из m цветов. Вам разрешается удалить не более чем k кубиков (которые не обязательно идут подряд). После этого оставшиеся кубики сомкнутся и будет произведен подсчет очков. Количество очков, которое вы получите, равно длине максимальной последовательности подряд идущих кубиков одного цвета. Напишите программу, определяющую максимально возможное количество очков, которое вы можете получить.

Обратите внимание: разрешается удалять не более k произвольных кубиков, допустимо не удалять кубики вообще.

Входные данные

В первой строке записаны три целых числа n, m и k (1 ≤ n ≤ 2·105, 1 ≤ m ≤ 105, 0 ≤ k < n). Во второй строке записаны n целых чисел от 1 до m — номера цветов кубиков. Номера цветов разделяются одиночными пробелами.

Выходные данные

Выведите максимально возможное количество очков, которое можно набрать.

Примечание

В первом примере следует удалить пятый и шестой кубики.

Во втором примере следует удалить четвертый и седьмой кубики.

В третьем примере следует не удалять ни одного кубика.

C. Музыкальный фестиваль

Бинарный поиск Структуры данных дп жадные алгоритмы сортировки *1900

Мальчик Витя очень любит слушать музыку. Он пристально следит за обновлениями своих любимых групп, поэтому знает, что в эту пятницу должны быть выпущены \(n\) альбомов, \(i\)-й из которых содержит \(k_i\) треков. Разумеется, Витя, как самый преданный фанат, уже послушал все треки, которые должны выйти в ближайшее время, и знает, что в \(i\)-м альбоме крутость \(j\)-го трека равна \(a_{i,j}\).

У Вити есть подруга Маша, которую он очень хочет пригласить на фестиваль, где выступают его любимые группы. Однако для того, чтобы подруга согласилась, она должна сначала оценить вышедшие новинки. Витя знает, что, если Маша послушает трек, который был круче всех прошлых, она получит 1 единицу впечатления. К сожалению, альбомы можно слушать только целиком, не меняя песни в них местами.

Помогите Вите найти такой порядок альбомов, чтобы впечатление Маши оказалось как можно больше, и она точно сходила вместе с ним на фестиваль.

Входные данные

Каждый тест состоит из нескольких наборов входных данных. В первой строке находится одно целое число t (\(1 \le t \le 200\,000\)) — количество наборов входных данных. Далее следует описание наборов входных данных.

В первой строке каждого набора дано единственное целое число \(n\) (\(1 \le n \le 200\,000\)) — количество альбомов.

Далее следуют описания альбомов. Каждое описание альбома состоит из двух строк:

В первой строке дано единственное целое число \(k_i\) (\(1 \le k_i \le 200\,000\)) — количество треков в \(i\)-м альбоме.

В следующей строке даны \(k_i\) целых чисел \(a_{i, 1},\ a_{i, 2},\ a_{i, 3},\ \ldots,\ a_{i, k_i}\) (\(1 \le a_{i,j} \le 200\,000\)) — крутость треков в \(i\)-м альбоме.

Обозначим за \(\sum k_i\) сумму по всем \(k_i\). Гарантируется, что \(\sum k_i \le 200\,000\).

Выходные данные

Для каждого тестового набора выведите единственное число — максимальное впечатление, которое может может получить Маша.

Примечание

В первом тестовом примере оптимальным порядком является прослушивание 4-го, 2-го, 3-го и 1-го альбомов. В таком случае Маша послушает треки в следующем порядке: 1; 7; 8, 6; 4, 9, 4, 6, 8 и получит 4 единицы впечатления. Во втором тестовом примере необходимо сначала прослушать 1-й, потом 4-й и в любом порядке 2-й и 3-й. В таком случае Маша получит максимальное впечатление, причём за каждую песню в 1-м и 4-м альбомах и ничего за 2-й и 3-й.

D. Путь домой

Бинарный поиск Структуры данных *2100 дп жадные алгоритмы сортировки графы кратчайшие пути

Известный фокусник Боря Будини путешествовал по стране \(X\), которая состоит из \(n\) городов. Однако случилось несчастье, и его обокрали в городе номер \(1\). Теперь Будини предстоит нелегкий путь домой в город \(n\).

Добираться он собирается самолетами. Всего в стране есть \(m\) авиарейсов, \(i\)-й летит из города \(a_i\) в город \(b_i\) и стоит \(s_i\) монет. Обратите внимание, что \(i\)-й рейс односторонний, то есть не может использоваться, чтобы добраться из города \(b_i\) в город \(a_i\). Чтобы им воспользоваться, Боря должен быть в городе \(a_i\) и иметь на руках хотя бы \(s_i\) монет (которые он потратит на перелет).

После ограбления у него осталось всего \(p\) монет, однако он не отчаивается! Находясь в городе \(i\), он может хоть каждый день организовывать представления, которые будут приносить ему по \(w_i\) монет каждый.

Помогите фокуснику узнать, сможет ли он добраться до дома, а также какое минимальное количество представлений придется для этого организовать.

Входные данные

Каждый тест состоит из нескольких наборов входных данных. В первой строке находится одно целое число \(t\) (\(1 \le t \le 80\)) — количество наборов входных данных. Далее следует описание наборов входных данных.

Первая строка каждого набора входных содержит три целых числа \(n\), \(m\) и \(p\) (\(2 \le n \le 800\), \(1 \le m \le 3000\), \(0 \le p \le 10^9\)) — количество городов, количество авиарейсов и изначальное количество монет.

Во второй строке каждого набора входных даны \(n\) целых чисел \(w_1, w_2, \ldots, w_n\) \((1 \le w_i \le 10^9)\) — прибыль от представлений.

В следующих \(m\) строках даны по три целых числа \(a_i\), \(b_i\) и \(s_i\) (\(1 \le a_i, b_i \le n\), \(1 \le s_i \le 10^9\)) — начальный и конечный город, а также стоимость \(i\)-го авиарейса.

Гарантируется, что сумма \(n\) по всем наборам входных данных не превосходит \(800\), а также, что сумма \(m\) по всем наборам входных данных не превосходит \(10000\).

Выходные данные

Для каждого теста выведите единственное целое число — минимальное количество представлений, которое придется организовать Боре, чтобы добраться до дома, или \(-1\), если это сделать невозможно.

Примечание

В первом примере Боре оптимально сделать \(4\) представления в первом городе, имея в итоге \(2 + 7 \cdot 4 = 30\) рублей, а потом пройтись по маршруту \(1-3-2-4\), потратив \(6+8+11=25\) рублей.

Во втором примере Боре оптимально сделать \(15\) представлений в первом городе, полететь в \(3\) город, сделать там \(9\) представлений, и далее отправиться в \(4\) город.

F. Приближение диаметра

Бинарный поиск графы разделяй и властвуй *2700 кратчайшие пути

У Джека есть граф из \(n\) вершин и \(m\) рёбер. Все рёбра двунаправлены и имеют единичную длину. Граф связен, то есть существует путь между любыми двумя его вершинами. Одну и ту же пару вершин может соединять несколько ребер. Граф может содержать петли, то есть рёбра, соединяющие вершину саму с собой.

Расстояние между вершинами \(u\) и \(v\) обозначается как \(\rho(u, v)\) и равно минимально возможному количеству рёбер на пути между \(u\) и \(v\). Диаметр графа \(G\) определяется как максимальное расстояние между парой его вершин и обозначается как \(d(G)\). Формально, \(\)d(G) = \max_{1 \le u, v \le n}{\rho(u, v)}.\(\)

Джек планирует последовательно применить к своему графу \(q\) модификаций. Каждая модификация добавляет ровно одно ребро. Обозначим через \(G_i\) граф Джека после первых \(i\) модификаций. Джек хочет вычислить \(q + 1\) значений \(d(G_0), d(G_1), d(G_2), \ldots, d(G_q)\).

Джек подозревает, что нахождение точных диаметров \(q + 1\) графов может быть сложной задачей, поэтому ему подойдут приближённые ответы, отличающиеся от правильных ответов не более чем в два раза. Формально, Джек хочет найти последовательность целых положительных чисел \(a_0, a_1, a_2, \ldots, a_q\) такую, что \(\)\left\lceil \frac{d(G_i)}{2} \right\rceil \le a_i \le 2 \cdot d(G_i)\(\) для каждого \(i\).

Взломы

Вы не можете делать взломы в этой задаче.

Входные данные

Первая строка входных данных содержит три целых числа \(n\), \(m\) и \(q\) (\(2 \leq n \leq 10^5\), \(n - 1 \leq m \leq 10^5\), \(0 \leq q \leq 10^5\)) — количество вершин в данном графе, количество рёбер и количество модификаций соответственно.

Далее следуют \(m\) строк, описывающие исходные рёбра графа. В \(i\)-й из этих строк записаны два целых числа \(u_i\) и \(v_i\) (\(1 \leq u_i, v_i \leq n\)) — номера вершин, соединенных \(i\)-м ребром.

Затем следуют \(q\) строк, описывающие модификации. В \(i\)-й из этих строк записаны два целых числа \(u'_i\) и \(v'_i\) (\(1 \leq u'_i, v'_i \leq n\)) — номера вершин, соединенных ребром, которое добавляется в граф в \(i\)-й модификации.

Важное примечание. Для осуществления тестирования входные данные могут содержать дополнительные строки. Они будут использоваться проверяющей программой для проверки вашего ответа на корректность. Эти строки не являются частью тестовых данных, вы не должны использовать их никоим образом, и вы можете даже не считывать их.

Выходные данные

Выведите последовательность из \(q + 1\) целого положительного числа \(a_0, a_1, a_2, \ldots, a_q\). \(i\)-е из этих чисел должно отличаться от диаметра графа \(G_i\) не более чем в два раза.

Примечание

В первом примере последовательность значений диаметров \(d(G_0), d(G_1), d(G_2), \ldots, d(G_q)\) равна \(6, 6, 6, 3, 3, 3, 2, 2, 2\).

Во втором примере входные данные содержат дополнительную строку, чтение которой можно не делать. Она не являются частью теста и будет использоваться для проверки правильности вашего ответа. Вывод на второй пример содержит правильные значения \(d(G_i)\).

C. Места для селфи

Бинарный поиск Структуры данных математика геометрия *1400

Вселенная представляет собой координатную плоскость. На ней проложено \(n\) космических трасс, каждая из которых представляет собой прямую \(y=kx\), проходящую через начало координат \((0, 0)\). Также там есть \(m\) астероидных поясов, которые представляют собой параболы ветвями вверх, их можно представить как графики функций \(y=ax^2+bx+c\), где \(a > 0\).

Вы хотите сфотографировать каждую параболу. Для этого для каждой параболы вам нужно выбрать прямую, которая не пересекается с этой параболой и не касается её. Вы можете выбирать одну и ту же прямую для нескольких парабол. Найдите для каждой параболы такую прямую или определите, что её нет.

Входные данные

Каждый тест состоит из нескольких наборов входных данных. В первой строке содержится одно число \(t\) (\(1 \le t \le 10^4\)) — количество наборов входных данных. Далее следует описание наборов входных данных.

В первой строке каждого набора даны \(2\) целых числа \(n\) и \(m\) (\(1 \le n, m \le 10^5\)) — количество прямых и парабол соответственно.

Далее в \(n\) строках содержится по одному целому числу \(k\) (\(|k| \le 10^8\)) — коэффициенты уравнений прямых \(y=kx\), описывающих прямые. Прямые могут совпадать, \(k\) может быть равно \(0\).

Далее в \(m\) строках содержится по \(3\) целых числа \(a\), \(b\) и \(c\) (\(a, |b|, |c| \le 10^8\), \(a > 0\)) — коэффициенты уравнений парабол \(ax^2+bx+c\). Параболы могут совпадать.

Гарантируется, что сумма \(n\) по всем наборам не превосходит \(10^5\) и сумма \(m\) по всем наборам также не превосходит \(10^5\).

Выходные данные

Для каждого набора входных данных выведите ответ для каждой параболы в данном порядке. Если в данном наборе есть прямая, не пересекающаяся с данной параболой и не касающаяся ее, выведите сначала в отдельной строке слово «YES», а далее в отдельной строке число \(k\) — коэффициент этой прямой. Если таких прямых несколько, выведите любую из них. Если же искомой прямой нет, выведите одно слово «NO».

Вы можете выводить каждую букву в любом регистре (строчную или заглавную). Например, строки «yEs», «yes», «Yes» и «YES» будут приняты как положительный ответ.

Пустые строки в выводе в примере даны только для наглядности, вам их выводить необязательно (но можно).

Примечание

В первом наборе входных данных обе параболы не пересекаются с единственной данной прямой \(y=1\cdot x\), поэтому ответом будет два числа \(1\).

Во втором наборе прямая \(y=x\) и парабола \(2x^2+5x+1\) пересекаются, а также прямая \(y=4x\) и парабола \(x^2+2x+1\) касаются, поэтому эти пары не удовлетворяют условию. Значит, для первой параболы ответом будет \(1\) (\(y=1x\)), а для второй параболы — \(4\).

В третьем тестовом наборе прямая и парабола пересекаются, поэтому ответ — «NO».

F1. Выживание слабейших (простая версия)

Бинарный поиск Перебор математика реализация *2600 сортировки

Это простая версия задачи. Она отличается от сложной только ограничением на \(n\). Вы можете делать взломы, только если заблокируете обе версии задачи.

Пусть \(a_1, a_2, \ldots, a_n\) — массив, состоящий из целых неотрицательных чисел. Определим \(F(a_1, a_2, \ldots, a_n)\) как отсортированный по неубыванию массив, состоящий из \(n - 1\) минимальных чисел вида \(a_i + a_j\), где \(1 \le i < j \le n\). Другими словами, \(F(a_1, a_2, \ldots, a_n)\) — это отсортированный по неубыванию массив из \(n - 1\) минимальных сумм всевозможных пар элементов массива \(a_1, a_2, \ldots, a_n\). Например, \(F(1, 2, 5, 7) = [1 + 2, 1 + 5, 2 + 5] = [3, 6, 7]\).

Вам дан массив, состоящий из целых неотрицательных чисел \(a_1, a_2, \ldots, a_n\). Определите, чему равен единственный элемент массива \(\underbrace{F(F(F\ldots F}_{n-1}(a_1, a_2, \ldots, a_n)\ldots))\). Так как ответ может быть достаточно большим, выведите его по модулю \(10^9+7\).

Входные данные

Первая строка содержит одно целое число \(n\) (\(2 \le n \le 3000\)) — начальную длину массива.

Вторая строка содержит \(n\) целых чисел \(a_1, a_2, \ldots, a_n\) (\(0 \le a_i \le 10^9\)) — элементы массива.

Выходные данные

Выведите единственное число — ответ на задачу по модулю \(10^9 + 7\).

Примечание

В первом тесте массив трансформируется следующим образом: \([1, 2, 4, 5, 6] \to [3, 5, 6, 6] \to [8, 9, 9] \to [17, 17] \to [34]\). Единственный элемент конечного массива равен \(34\).

Во втором тесте \(F(a_1, a_2, \ldots, a_n)\) будет равен \([2, 2, 2, 8, 8, 8, 8, 8]\). Этот массив составлен из \(3\) чисел вида \(1 + 1\) и из \(5\) чисел вида \(1 + 7\).

В четвёртом тесте массив трансформируется следующим образом: \([10^9, 10^9, 777] \to [10^9+777, 10^9+777] \to [2 \cdot 10^9 + 1554]\). \(2 \cdot 10^9 + 1554\) по модулю \(10^9+7\) равняется \(1540\).

E. Интервью

Бинарный поиск реализация *1300 интерактив

Это интерактивная задача. Если вы не знаете, как работают интерактивные задачи, то рекомендуем прочитать руководство для участников.

Перед последним этапом экзамена директор провел собеседование. Он дал Гону \(n\) кучек камней, в \(i\)-й кучке лежало \(a_i\) камней.

Все камни одинаковы и весят \(1\) грамм, за исключением одного особого камня, который лежит в неизвестной куче и весит \(2\) грамма.

Картинка первого набора входных данных. Кучка \(2\) имеет особый камень. Кучки имеют веса \(1,3,3,4,5\), соответственно.

Гон может задавать директору вопросы только одного типа: он может выбрать \(k\) кучек, и директор скажет ему общую массу выбранных куч. Более формально, Гон может выбрать целое число \(k\) (\(1 \leq k \leq n\)) и \(k\) различных кучек \(p_1, p_2, \dots, p_k\) (\(1 \leq p_i \leq n\)), и директор скажет ему общую массу \(m_{p_1} + m_{p_2} + \dots + m_{p_k}\), где \(m_i\) обозначает массу кучки \(i\).

Гону поручено найти кучку, в которой находится особый камень. Однако директор — занятой человек, поэтому помогите Гону найти эту кучу не более чем за \(\mathbf{30}\) запросов.

Входные данные

Каждый тест состоит из нескольких наборов входных данных. Первая строка содержит одно целое число \(t\) (\(1 \leq t \leq 1000\)) — количество наборов входных данных. Далее следует описание наборов входных данных.

Первая строка каждого набора входных данных содержит одно целое число \(n\) (\(1 \leq n \leq 2 \cdot 10^5\)) — количество кучек.

Вторая строка каждого набора входных данных содержит \(n\) целых чисел \(a_i\) (\(1 \leq a_i \leq 10^4\)) — количество камней в каждой куче.

Гарантируется, что сумма \(n\) по всем наборам входных данных не превышает \(2 \cdot 10^5\).

После считывания входных данных для каждого набора, продолжите взаимодействие следующим образом.

Протокол взаимодействия

Вы можете выполнить не более \(\mathbf{30}\) операций, чтобы угадать кучу.

Чтобы сделать запрос, выведите строку следующего формата:

  • \(\texttt{?}\ k \ p_1 \ p_2 \ p_3 \ ... \ p_{k-1}\ p_k\) (\(1 \leq k \leq n\); \(1 \leq p_i \leq n\); все \(p_i\) различны) — индексы кучек.

После каждой операции вы должны считать строку, содержащую одно целое число \(x\) — сумму масс выбранных кучек. (Формально, \(x = m_{p_1} + m_{p_2} + \dots + m_{p_k}\)).

Когда вы узнаете индекс кучки с особым камнем, выведите одну строку следующего формата: \(\texttt{!}\ m\) (\(1 \leq m \leq n\)).

После этого переходите к следующему набору входных данных или завершите программу, если наборов больше не осталось.

Если ваша программа выполнит более \(30\) операций для одного набора или сделает некорректный запрос, вы можете получить вердикт Неправильный ответ.

После вывода запроса или ответа не забудьте вывести перевод строки и сбросить буфер вывода. В противном случае вы получите вердикт Решение «зависло». Для сброса буфера используйте:

  • fflush(stdout) или cout.flush() в C++;
  • System.out.flush() в Java;
  • flush(output) в Pascal;
  • stdout.flush() в Python;
  • смотрите документацию для других языков.

Дополнительно рекомендуется прочитать интерактивное руководство по решению задач для участников.

Взломы

Чтобы сделать взлом, используйте следующий формат.

Первая строка должна содержать одно целое число \(t\) (\(1 \leq t \leq 1000\)) — количество наборов входных данных.

Первая строка каждого набора входных данных должна содержать два целых числа \(n, m\) (\(1 \leq n \leq 2 \cdot 10^5\)) – количество кучек и кучка с особым камнем.

Вторая строка каждого набора входных данных должна содержать \(n\) целых \(a_i\) (\(1 \leq a_i \leq 10^4\)) — количество камней в каждой куче.

Обратите внимание, что интерактор является неадаптивным, то есть ответ известен до того, как участник задает запросы, и не зависит от запросов, заданных участником.

Примечание

В первом наборе входных данных камень с массой два находится в куче \(2\), как показано на рисунке. Взаимодействие происходит так:

  • \(\texttt{? 4 1 2 3 4}\) — спрашиваем общую массу кучек \(1\), \(2\), \(3\) и \(4\). Общая масса, которую мы получим, равна \(1+3+3+4=11\).
  • \(\texttt{? 2 2 3}\) — спрашиваем общую массу кучек \(2\) и \(3\). Общая масса, которую мы получим, равна \(3+3=6\).
  • \(\texttt{? 1 2}\) — спрашиваем общую массу кучи \(2\). Общая масса, которую мы получим, равна \(3\).
  • \(\texttt{! 2}\) — мы выяснили, что куча \(2\) содержит особый камень, поэтому выводим его и переходим к следующему набору входных данных.

Во втором наборе входных данных камень с весом два находится на индексе \(7\). Взаимодействие происходит так:

  • \(\texttt{? 4 2 3 5 6}\) — спрашиваем общую массу кучек \(2\), \(3\), \(5\) и \(6\). Общая масса, которую мы получим обратно, равна \(2+3+3+4=12\).
  • \(\texttt{? 2 1 4}\) — спрашиваем общую массу кучек \(1\) и \(4\). Общая масса, которую мы получим, равна \(1+5=6\).
  • \(\texttt{! 7}\) — мы каким-то образом выяснили, что куча \(7\) содержит особый камень, поэтому выводим его и завершаем взаимодействие.

D. Петя, Petya, Petr и палиндромы

Бинарный поиск Перебор Структуры данных *2100

У мальчика Пети и его друга, робота Petya++, есть общий друг — киборг Petr#. Иногда Petr# заходит к ребятам на чай и рассказывает интересные задачи.

Сегодня Petr# рассказал следующую задачу.

Палиндромом называется последовательность, которая одинаково читается как слева направо, так и справа налево. Например, \([38, 12, 8, 12, 38]\), \([1]\) и \([3, 8, 8, 3]\) — палиндромы.

Назовем палиндромностью последовательности \(a_1, a_2, \dots, a_n\) минимальное количество чисел, которое необходимо заменить, чтобы эта последовательность стала палиндромом. Например, палиндромность последовательности \([38, 12, 8, 38, 38]\) равна \(1\), поскольку достаточно лишь заменить число \(38\) на четвертой позиции на число \(12\). А палиндромность последовательности \([3, 3, 5, 5, 5]\) равна двум, так как можно заменить тройки на первых двух позициях на пятерки, и полученная последовательность \([5, 5, 5, 5, 5]\) станет палиндромом.

Дана последовательность \(a\) длины \(n\). Также дано некоторое нечетное число \(k\). Необходимо найти суммарную палиндромность всех подмассивов длины \(k\), то есть сумму по значениям палиндромности последовательностей \(a_i, a_{i+1}, \dots, a_{i+k-1}\) для всех \(i\) от \(1\) до \(n-k+1\).

Ребята быстро справились с задачей Petr#. А Вы сможете?

Входные данные

В первой строке входных данных находится два целых числа \(n\) и \(k\) (\(1 \le n \le 2 \cdot 10^5\), \(1 \le k \le n\), \(k\) нечетное) — длина последовательности и длина подстрок, для которых надо вычислять палиндромность.

Во второй строке входных данных находится \(n\) целых чисел \(a_1, a_2, \ldots, a_n\) (\(1 \le a_i \le 2 \cdot 10^5\)) — сама последовательность.

Выходные данные

Выведите одно целое число — суммарную палиндромность всех подмассивов длины \(k\).

Примечание

В первом примере палиндромность подмассива \([1, 2, 8, 2, 5]\) равна \(1\), палиндромность подмассива \([2, 8, 2, 5, 2]\) также равна \(1\), палиндромность подмассива \([8, 2, 5, 2, 8]\) равна \(0\), а палиндромность подмассива \([2, 5, 2, 8, 6]\) равна \(2\). Итого суммарная палиндромность равна \(1+1+0+2 = 4\).

Во втором примере единственный подмассив длины \(9\) совпадает со всем массивом, а его палиндромность равна \(0\), поэтому ответ также равен \(0\).

B. Точки на плоскости

Бинарный поиск математика *1000 жадные алгоритмы

У вас есть двумерная координатная плоскость, и вам надо расставить \(n\) фишек на ней.

Вы можете ставить фишки только в точки с целочисленными координатами. Стоимость поставить фишку в точку \((x, y)\) равна \(|x| + |y|\) (где \(|a|\) означает абсолютное значение числа \(a\)).

Стоимость расстановки \(n\) фишек равна максимуму из стоимостей каждой фишки.

Вам нужно расставить \(n\) фишек на плоскости так, чтобы евклидово расстояние между любой парой фишек было строго больше \(1\) и стоимость расстановки была как можно меньше.

Входные данные

В первой строке задано одно целое число \(t\) (\(1 \le t \le 10^4\)) — количество наборов входных данных. Далее следуют \(t\) наборов входных данных.

В первой и единственной строке каждого набора задано одно целое число \(n\) (\(1 \le n \le 10^{18}\)) — количество фишек, которое вам нужно расставить.

Выходные данные

Для каждого набора входных данных, выведите одно целое число — минимально возможную стоимость расстановки \(n\) фишек, если расстояние между каждой парой фишек должно быть строго больше \(1\).

Примечание

В первом наборе входных данных, вы можете разместить единственную фишку в точку \((0, 0)\) с общей стоимостью \(0 + 0 = 0\).

Во втором наборе, вы можете, например, поставить фишки в точки \((-1, 0)\), \((0, 1)\) и \((1, 0)\) со стоимостями \(|-1| + |0| = 1\), \(|0| + |1| = 1\) и \(|0| + |1| = 1\). Расстояние между каждой парой фишек больше чем \(1\) (например, расстояние между \((-1, 0)\) и \((0, 1)\) равно \(\sqrt{2}\)). Общая стоимость равна \(\max(1, 1, 1) = 1\).

В третьем наборе, вы можете, например, поставить фишки в точки \((-1, -1)\), \((-1, 1)\), \((1, 1)\), \((0, 0)\) и \((0, 2)\). Общая стоимость равна \(\max(2, 2, 2, 0, 2) = 2\).

E. Две бочки

Бинарный поиск математика реализация дп *2400

Есть две бочки — в первую помещается \(a\) литров воды, во вторую помещается \(b\) литров воды. В первой бочке изначально \(c\) (\(0 \le c \le a\)) литров воды, во второй бочке изначально \(d\) (\(0 \le d \le b\)) литров воды.

Вы хотите провести \(n\) действий над ними. \(i\)-е действие задается одним ненулевым целым числом \(v_i\). Если \(v_i > 0\), то вы пытаетесь налить \(v_i\) литров воды из первой бочки во вторую. Если \(v_i < 0\), то вы пытаетесь налить \(-v_i\) литров воды из второй бочки в первую.

Когда вы пытаетесь налить \(x\) литров воды из бочки, в которой сейчас \(y\) литров воды, в бочку, в которой может поместиться еще \(z\) литров воды, то за действие вы перельете только \(\min(x, y, z)\) литров воды.

Для всех пар начальных объемов воды \((c, d)\) таких, что \(0 \le c \le a\) и \(0 \le d \le b\), посчитайте объем воды в первой бочке после применения всех действий.

Входные данные

В первой строке записаны три целых числа \(n, a\) и \(b\) (\(1 \le n \le 10^4\); \(1 \le a, b \le 1000\)) — количество действий и вместимости бочек, соответственно.

Во второй строке записаны \(n\) целых чисел \(v_1, v_2, \dots, v_n\) (\(-1000 \le v_i \le 1000\); \(v_i \neq 0\)) — объем воды, который вы пытаетесь перелить в каждом действии.

Выходные данные

Для всех пар начальных объемов воды \((c, d)\) таких, что \(0 \le c \le a\) и \(0 \le d \le b\), посчитайте объем воды в первой бочке после применения всех действий.

Выведите \(a + 1\) строку, в каждой строке должно быть \(b + 1\) целых чисел. \(j\)-е значение в \(i\)-й строке должно быть ответом для \(c = i - 1\) и \(d = j - 1\).

Примечание

Рассмотрим \(c = 3\) и \(d = 2\) из первого примера:

  • В первом действии вы пытаетесь перелить \(2\) литра воды из второй бочки в первую, во второй бочке есть \(2\) литра воды, в первую поместится еще \(1\) литр. Поэтому переливается \(\min(2, 2, 1) = 1\) литр, в первой бочке теперь \(4\) литра, во второй \(1\) литр.
  • Во втором действии вы пытаетесь перелить \(1\) литр воды из первой бочки во вторую. Переливается \(\min(1, 4, 3) = 1\) литр, в первой бочке теперь \(3\) литра, во второй \(2\) литра.
  • В третьем действии вы пытаетесь перелить \(2\) литра воды из первой бочки во вторую. Переливается \(\min(2, 3, 2) = 2\) литра, в первой бочке теперь \(1\) литр, во второй \(4\) литра.

В конце в первой бочке \(1\) литр воды. Поэтому третье значение в четвертой строке равно \(1\).

F. Путешествие по Берляндии

Бинарный поиск Структуры данных реализация жадные алгоритмы графы *2500

В Берляндии \(n\) городов, расположенных по кругу и пронумерованных от \(1\) до \(n\) по часовой стрелке.

Мы хотим объехать всю Берляндию, начав в каком-то городе, посетив все остальные города и вернувшись в стартовый город. К сожалению, ехать мы можем только по Берляндской Кольцевой Автодороге, соединяющей все \(n\) городов. Проектировал дорогу очень титулованный и респектабельный министр, поэтому она односторонняя — по ней можно ехать только по часовой стрелке, то есть только из города \(i\) в город \((i \bmod n) + 1\) (т.е. из \(1\) в \(2\), из \(2\) в \(3\), ..., из \(n\) в \(1\)).

Бензобак машины вмещает до \(k\) литров бензина. На пути \(i\)-го города в следующий машина расходует \(a_i\) литров бензина.

В каждом городе есть заправка; литр бензина на заправке в \(i\)-м городе стоит \(b_i\) бурлей. Заправляться между городами нельзя; если бензин закончился между городами, то такая поездка считается незавершенной.

Для каждого города посчитайте минимальную стоимость путешествия, если оно должно начаться и закончиться в нем.

Входные данные

Первая строка содержит одно целое число \(t\) (\(1 \le t \le 10^4\)) — количество наборов входных данных.

Первая строка каждого набора содержит два целых числа \(n\) и \(k\) (\(3 \le n \le 2 \cdot 10^5\); \(1 \le k \le 10^9\)) — количество городов и объем бензобака, соответственно.

Вторая строка содержит \(n\) целых чисел \(a_1, a_2, \dots, a_n\) (\(1 \le a_i \le k\)).

Третья строка содержит \(n\) целых чисел \(b_1, b_2, \dots, b_n\) (\(1 \le b_i \le 2\)).

Сумма \(n\) по всем наборам входных данных не превосходит \(2 \cdot 10^5\).

Выходные данные

Для каждого набора входных данных выведите \(n\) целых чисел, где \(i\)-е из них равно минимальной стоимости путешествия, если начать и закончить в \(i\)-м городе.

B. Сколько троек

Бинарный поиск Перебор *1300

Заданы n точек на плоскости. Все точки различны.

Найдите количество различных троек точек (A, B, C) таких, что точка B является серединой отрезка AC.

Тройки считаются неупорядоченными, то есть если точка B середина отрезка AC, то тройки (A, B, C) и (C, B, A) считаются одинаковыми.

Входные данные

В первой строке записано единственное целое число n (3 ≤ n ≤ 3000) — количество точек.

В следующих n строках заданы точки. В i-ой строке записаны координаты i-ой точки: два целых числа через пробел xi, yi ( - 1000 ≤ xi, yi ≤ 1000).

Гарантируется, что все заданные точки различны.

Выходные данные

Выведите единственное число — ответ на задачу.

D. Заползание на дерево

Бинарный поиск математика *1700

Улитки взбираются на дерево. Высота дерева \(h\) метров, а улитки начинают с позиции \(0\).

Каждая улитка задается парой целых чисел \(a\) и \(b\) (\(a > b\)). Начиная с \(1\)-го дня, одна улитка взбирается на дерево так: в светлое время суток она поднимается вверх на \(a\) метров; ночью улитка отдыхает и сползает на \(b\) метров. Если в \(n\)-й день улитка впервые достигает позиции \(h\) (то есть вершины дерева), то она заканчивает взбираться, и мы говорим, что улитка залезает на дерево за \(n\) дней. Обратите внимание, что в последний день улитка не обязательно поднимается вверх на \(a\) метров, если ее расстояние до вершины меньше \(a\).

К сожалению, изначально вы не знаете точную высоту дерева \(h\), но знаете, что \(h\) — положительное целое число. Вам нужно обработать следующие \(q\) событий по порядку.

  • Событие типа \(1\): приходит улитка с параметрами \(a\) и \(b\) и утверждает, что залезла на дерево за \(n\) дней. Если это утверждение противоречит ранее принятой информации (то есть не существует дерева, для которого все ранее принятые утверждения, а также данное, верны), игнорируйте его. В противном случае примите данное утверждение.
  • Событие типа \(2\): приходит улитка с параметрами \(a\) и \(b\) и спрашивает, сколько дней она будет залезать на дерево. Вы можете дать ответ только на основе принятый вами на текущий момент информации. Если вы не можете точно определить ответ, сообщите об этом.

Вам нужно обработать все события по порядку.

Входные данные

Каждый тест содержит несколько наборов входных данных. Первая строка содержит единственное целое число \(t\) (\(1 \le t \le 10^4\)) — количество наборов входных данных. Затем следует их описание.

Первая строка каждого набора входных данных содержит одно целое число \(q\) (\(1\le q \le 2\cdot 10^5\)) — количество событий.

Для следующих \(q\) строк первое целое число в каждой строке равно \(1\) или \(2\) — типу события.

Если тип события равен \(1\), то далее следуют три целых числа \(a\), \(b\) и \(n\) (\(1\le a,b,n \le 10^9\), \(a>b\)).

Если тип события равен \(2\), то далее следуют два целых числа \(a\) и \(b\) (\(1\le a,b \le 10^9\), \(a>b\)).

Гарантируется, что сумма \(q\) по всем наборам входных данных не превосходит \(2\cdot 10^5\).

Выходные данные

Для каждого набора входных данных выведите \(q\) целых чисел — по одному на каждое событие по порядку.

  • Для каждого события \(1\), если вы принимаете утверждение, выведите \(1\); если вы игнорируете его, выведите \(0\).
  • Для каждого события \(2\) выведите целое число, обозначающее количество дней, которое улитка будет забираться на дерева. Если нельзя определить ответ, выведите \(-1\).
Примечание

В первом наборе входных данных мы можем определить \(h=7\) по первому событию, поэтому мы знаем, что второй и третьей улиткам нужно потратить \(2\) и \(5\) дней соответственно, чтобы достичь вершины.

Покажем, как забирается вторая улитка:

  • В светлое время суток \(1\)-го дня: поднимается на \(4\) метра, теперь на позиции \(4\).
  • Ночью \(1\)-го дня: сползает вниз на \(1\) метр, теперь в позиции \(3\).
  • В светлое время суток \(2\)-го дня: поднимается на \(4\) метра, теперь на позиции \(7\) (достигает вершину).

В третьем наборе входных данных сообщение второй улитки противоречит сообщению первой улитки, потому что вторая улитка говорит, что потратила \(3\) дня, а за первые \(3\) дня она может подняться не более чем на \(1+1+2=4\) метра. Однако первой улитке требуется всего \(1\) день, чтобы подняться на \(4\) метра.

E. Живая последовательность

Бинарный поиск математика дп *1500 теория чисел

В Японии цифра \(4\) читается как смерть, поэтому Боб решил построить живую последовательность. Живая последовательность \(a\) содержит все натуральные числа, не содержащие цифры \(4\). \(a = [1, 2, 3, 5, 6, 7, 8, 9, 10, 11, 12, 13, 15, 16, \ldots]\).

Например, число \(1235\) входит в последовательность \(a\), а числа \(4321\), \(443\) не входят в последовательность \(a\).

Боб понял, что не умеет быстро искать конкретное число по позиции \(k\) в последовательности, поэтому просит вас о помощи.

Например, если Боб хочет узнать число на позиции \(k = 4\) (индексация с \(1\)), то вам нужно ответить \(a_k = 5\).

Входные данные

В первой строке входных данных дано единственное целое число \(t\) (\(1 \le t \le 10^4\)) — количество наборов входных данных в тесте.

В единственной строке каждого набора входных данных задано одно целое число \(k\) (\(1 \le k \le 10^{12}\)) — позиция, интересующая Боба.

Выходные данные

Для каждого набора входных данных выведите в отдельной строке число \(a_k\) в индексации с \(1\).

G2. Влад и правильные пути (сложная версия)

Бинарный поиск Структуры данных Комбинаторика математика дп *2200

Это сложная версия задачи, она отличается от простой только ограничениями на \(n\) и \(k\).

Влад нашёл ряд из \(n\) плиток и число \(k\). Плитки пронумерованы слева направо и \(i\)-я плитка имеет цвет \(c_i\). Немного подумав, он решил, что с этим делать.

Вы можете начать с любой плитки и прыгать на любое количество плиток вправо, формируя при этом путь \(p\). Назовём путь \(p\) длины \(m\) правильным, если верно:

  • \(p\) разбивается на блоки длины ровно \(k\), то есть \(m\) делится на \(k\) без остатка;
  • \(c_{p_1} = c_{p_2} = \ldots = c_{p_k}\);
  • \(c_{p_{k+1}} = c_{p_{k+2}} = \ldots = c_{p_{2k}}\);
  • \(\ldots\)
  • \(c_{p_{m-k+1}} = c_{p_{m-k+2}} = \ldots = c_{p_{m}}\);

Ваша задача найти количество правильных путей максимальной длины. Так как это число может оказаться слишком большим, выведите его по модулю \(10^9 + 7\).

Входные данные

Первая строка входных данных содержит единственное число \(t\) (\(1 \le t \le 10^4\)) — количество наборов входных данных в тесте.

Первая строка каждого набора содержит два целых числа \(n\) и \(k\) (\(1 \le k \le n \le 5000\)) — количество плиток в ряду и длину блока.

Вторая строка каждого набора содержит \(n\) целых чисел \(c_1, c_2, c_3, \dots, c_n\) (\(1 \le c_i \le n\)) — цвета плиток.

Гарантируется, что сумма \(n^2\) по всем наборам не превосходит \(25 \cdot 10^6\).

Выходные данные

Выведите \(t\) чисел, каждое из которых является ответом на соответствующий набор входных данных — количество правильных путей максимальной длины по модулю \(10^9 + 7\).

Примечание

В первом примере невозможно составить правильный путь, длины больше \(0\).

Во втором примере нас интересуют следующие пути:

  • \(1 \rightarrow 3 \rightarrow 4 \rightarrow 5\)
  • \(2 \rightarrow 4 \rightarrow 5 \rightarrow 7\)
  • \(1 \rightarrow 3 \rightarrow 5 \rightarrow 7\)
  • \(1 \rightarrow 3 \rightarrow 4 \rightarrow 7\)

В третьем примере подходит любой путь длины \(8\).

D. Балансировка пушек

Бинарный поиск Перебор Структуры данных математика *2500

Вы получили работу в игровой студии, которая разработала и поддерживает онлайн шутер, и ваша первая по-настоящему большая работа — это помочь в балансировке оружия. В игре есть \(n\) пушек: у \(i\)-й пушки есть целочисленная скорость стрельбы \(f_i\) и целочисленный урон от одного выстрела \(d_i\). Таким образом, общая огневая мощь \(i\)-й пушки равна \(p_i = f_i \cdot d_i\).

Для начала, вам дали задачу изменить значения \(d_i\) некоторых пушек таким образом, чтобы новые значения \(d_i\) оставались целыми и огневая мощь всего оружия оказалась сбалансирована. Вам дали число \(k\), и сказали, что оружие сбалансировано, если \(\max\limits_{1 \le i \le n}{p_i} - \min\limits_{1 \le i \le n}{p_i} \le k\).

Так как игроки не любят больших изменений, вам нужно изменить значения \(d_i\) у наименьшего возможного количества пушек. Чему равно наименьшее количество пушек, у которых вы должны изменить урон, чтобы сделать игру сбалансированной?

Заметьте, что новые значения \(d_i\) должны быть целыми и строго больше \(0\).

Входные данные

В первой строке задано одно целое число \(t\) (\(1 \le t \le 1000\)) — количество наборов входных данных.

В первой строке каждого набора заданы два целых числа \(n\) и \(k\) (\(2 \le n \le 3000\); \(0 \le k \le 1500\)) — количество пушек в игре и максимально возможный разрыв между самой сильной и самой слабой пушкой.

Во второй строке заданы \(n\) целых чисел \(f_1, f_2, \dots, f_n\) (\(1 \le f_i \le 2000\)), где \(f_i\) равно скорости стрельбы \(i\)-й пушки.

В третьей строке заданы \(n\) целых чисел \(d_1, d_2, \dots, d_n\) (\(1 \le d_i \le 10^9\)), где \(d_i\) равно урону от одного выстрела \(i\)-й пушки.

Гарантируется, что сумма \(n\) по всем наборам не превосходит \(3000\).

Выходные данные

Для каждого набора входных данных, выведите наименьшее количество пушек, у которых нужно изменить урон \(d_i\), чтобы сделать все оружие сбалансированным.

Заметим, что новые значения \(d_i\) должны быть целыми и больше \(0\).

Примечание

В первом наборе входных данных вы можете выставить \(d_1 = 2\) и \(d_2 = 4\). Вы получите массив \(d = [2, 4, 1, 2]\) и общую огневую мощь \(p = [12, 12, 13, 14]\). Пушки сбалансированы, так как \(14 - 12 \le 2\).

Во втором наборе вы должны изменить урон \(d_i\) всех трех пушек. Например, вы можете сделать \(d = [5151, 5100, 5050]\).

В третьем наборе все оружие уже сбалансировано, и вам не нужно ничего менять.

A. Почти возрастающая подпоследовательность

Бинарный поиск Структуры данных *1500 жадные алгоритмы

Последовательность называется почти возрастающей, если она не содержит трех идущих подряд элементов \(x, y, z\) таких, что \(x\ge y\ge z\).

Вам дан массив \(a_1, a_2, \dots, a_n\) и \(q\) запросов.

Каждый запрос состоит из двух целых чисел \(1\le l\le r\le n\). Для каждого запроса найдите длину самой длинной почти возрастающей подпоследовательности подмассива \(a_l, a_{l+1}, \dots, a_r\).

Подпоследовательность — это последовательность, которая может быть получена из данной последовательности путем удаления нуля или более элементов без изменения порядка оставшихся элементов.

Входные данные

Первая строка ввода содержит два целых числа \(n\) и \(q\) (\(1 \leq n, q \leq 200\,000\)) — длину массива \(a\) и количество запросов.

Вторая строка содержит \(n\) целых чисел \(a_1, a_2, \dots, a_n\) (\(1 \leq a_i \leq 10^9\))  — значения массива \(a\).

Каждая из следующих \(q\) строк содержит описание запроса. Каждая строка содержит два целых числа \(l\) и \(r\) (\(1 \leq l \leq r \leq n\)) — запрос, относящийся к подмассиву \(a_l, a_{l+1}, \dots, a_r\).

Выходные данные

Для каждого из \(q\) запросов выведите строку, содержащую длину самой длинной почти возрастающей подпоследовательности подмассива \(a_l, a_{l+1}, \dots, a_r\).

Примечание

В первом запросе подмассив состоит из элементов \(a_1, a_2, a_3 = [1,2,4]\). Весь подмассив является почти возрастающим, поэтому ответ равен \(3\).

Во втором запросе подмассив состоит из элементов \(a_1, a_2, a_3,a_4 = [1,2,4,3]\). Весь подмассив является почти возрастающим, потому что нет трех подряд идущих элементов таких, что \(x \geq y \geq z\). Таким образом, ответ равен \(4\).

В третьем запросе подмассив состоит из элементов \(a_2, a_3, a_4, a_5 = [2, 4, 3, 3]\). Весь подмассив не является почти возрастающим, потому что последние три элемента удовлетворяют условию \(4 \geq 3 \geq 3\). Почти возрастающую подпоследовательность длиной \(3\) можно найти (например, взяв элементы \(a_2,a_3,a_5 = [2,4,3]\)). Таким образом, ответ равен \(3\).

D. Черные клетки

Бинарный поиск Перебор математика жадные алгоритмы *1900

Вы играете с очень длинной полоской, состоящей из \(10^{18}\) белых клеток и пронумерованной слева направо числами \(0\), \(1\), \(2\) и так далее. Вы управляете особым указателем, который первоначально указывает на клетку \(0\). Также у вас есть кнопка «Shift», которую вы можете зажимать.

За один шаг, вы можете сделать одно из трех действий:

  • сдвинуть указатель вправо (из клетки \(x\) в клетку \(x + 1\));
  • нажать и держать кнопку «Shift»;
  • отпустить кнопку «Shift»: в момент, когда вы отпустите Shift, все клетки, которые были посещены с зажатым Shift, будут покрашены в черный.
(Конечно же, вы не можете нажать на уже зажатый Shift. Аналогично, вы не можете отпустить уже отпущенный Shift.)

Ваша задача — покрасить хотя бы \(k\) клеток, но есть ограничение: вам заданы \(n\) отрезков \([l_i, r_i]\) — вы можете красить только клетки, которые принадлежат этим отрезкам, т. е. вы можете покрасить клетку \(x\) только если \(l_i \le x \le r_i\) для некоторого \(i\).

Какое наименьшее количество шагов вам нужно выполнить, чтобы покрасить хотя бы \(k\) клеток в черный?

Входные данные

В первой строке задано одно целое число \(t\) (\(1 \le t \le 10^4\)) — количество наборов входных данных.

В первой строке каждого набора заданы два целых числа \(n\) и \(k\) (\(1 \le n \le 2 \cdot 10^5\); \(1 \le k \le 10^9\)) — количество отрезков и желаемое количество черных клеток.

Во второй строке заданы \(n\) целых чисел \(l_1, l_2, \dots, l_n\) (\(1 \le l_1 < l_2 < \dots < l_n \le 10^9\)), где \(l_i\) — это левая граница \(i\)-го отрезка.

В третьей строке заданы \(n\) целых чисел \(r_1, r_2, \dots, r_n\) (\(1 \le r_i \le 10^9\); \(l_i \le r_i < l_{i + 1} - 1\)), где \(r_i\) — это правая граница \(i\)-го отрезка.

Дополнительные ограничения на входные данные:

  • каждая клетка принадлежит не более чем одному отрезку;
  • сумма \(n\) по всем наборам не превосходит \(2 \cdot 10^5\).
Выходные данные

Для каждого набора входных данных выведите наименьшее количество шагов, необходимых для покраски хотя бы \(k\) клеток в черный, или \(-1\), если это невозможно.

Примечание

В первом наборе входных данных, одна из оптимальных стратегий — следующая:

  1. Сдвинуть вправо: указатель сдвигается в ячейку \(1\);
  2. Зажать Shift;
  3. Отпустить Shift: клетка \(1\) покрасится в черный;
  4. Сдвинуть вправо: указатель сдвигается в ячейку \(2\);
  5. Сдвинуть вправо: указатель сдвигается в ячейку \(3\);
  6. Зажать Shift;
  7. Сдвинуть вправо: указатель сдвигается в ячейку \(4\);
  8. Отпустить Shift: клетки \(3\) и \(4\) покрасятся в черный.
Мы покрасили \(3\) клетки за \(8\) шагов.

Во втором наборе входных данных, мы можем покрасить только \(8\) клеток, а нам нужно покрасить \(20\) клеток.

В третьем наборе, одна из оптимальных стратегий — следующая:

  1. Сдвинуть вправо: указатель сдвигается в ячейку \(1\);
  2. Сдвинуть вправо: указатель сдвигается в ячейку \(2\);
  3. Сдвинуть вправо: указатель сдвигается в ячейку \(3\);
  4. Зажать Shift;
  5. Сдвинуть вправо: указатель сдвигается в ячейку \(4\);
  6. Сдвинуть вправо: указатель сдвигается в ячейку \(5\);
  7. Отпустить Shift: клетки \(3\), \(4\) и \(5\) покрасятся в черный.
Мы покрасили \(3\) клетки за \(7\) шагов.

B1. Сортировка подотрезков (простая версия)

Бинарный поиск Деревья дп *2000 жадные алгоритмы снм

Единственная разница между простой и сложной версиями состоит в ограничениях на \(t\) и \(n\).

Вам задан массив \(a\), состоящий из \(n\) различных целых чисел \(a_1, a_2, \ldots, a_n\).

Определим стоимость массива \(p_1, p_2, \ldots p_k\) как минимальное количество времени, необходимое для сортировки этого массива с использованием произвольного количества операций сортировки диапазона. В каждой операции сортировки диапазона вы будете делать следующее:

  • Выберите два целых числа \(l\) и \(r\) (\(1 \le l < r \le k\)).
  • Отсортируйте подмассив \(p_l, p_{l + 1}, \ldots, p_r\) за \(r - l\) секунд.

Пожалуйста, посчитайте сумму стоимостей по всем подмассивам массива \(a\).

Подмассив массива определяется как непрерывная последовательность элементов массива.

Входные данные

Каждый тест содержит несколько наборов входных данных. Первая строка содержит количество наборов входных данных \(t\) (\(1 \le t \le 5 \cdot 10^3\)). Далее следует их описание.

Первая строка каждого набора входных данных содержит одно целое число \(n\) (\(1 \le n \le 5 \cdot 10^3\)) — длина массива \(a\).

Вторая строка каждого набора входных данных состоит из \(n\) целых чисел \(a_1,a_2,\ldots, a_n\) (\(1\le a_i\le 10^9\)). Гарантируется, что все элементы \(a\) попарно различны.

Гарантируется, что сумма \(n\) по всем наборам входных данных не превосходит \(5 \cdot 10^3\).

Выходные данные

Для каждого набора входных данных выведите сумму стоимостей по всем подмассивам массива \(a\).

Примечание

В первом наборе входных данных:

  • Подмассив \([6]\) уже отсортирован, поэтому его стоимость равна \(0\).
  • Подмассив \([4]\) уже отсортирован, поэтому его стоимость равна \(0\).
  • Подмассив \([6, 4]\) можно отсортировать за одну операцию, выбрав \(l = 1\) и \(r = 2\). Его стоимость равна \(1\).
Сумма стоимостей по всем подмассивам данного массива равна \(0 + 0 + 1 = 1\).

Во втором наборе входных данных:

  • Подмассив \([3]\) уже отсортирован, поэтому его стоимость равна \(0\).
  • Подмассив \([10]\) уже отсортирован, поэтому его стоимость равна \(0\).
  • Подмассив \([6]\) уже отсортирован, поэтому его стоимость равна \(0\).
  • Подмассив \([3, 10]\) уже отсортирован, поэтому его стоимость равна \(0\).
  • Подмассив \([10, 6]\) можно отсортировать за одну операцию, выбрав \(l = 1\) и \(r = 2\). Его стоимость равна \(2 - 1 = 1\).
  • Подмассив \([3, 10, 6]\) можно отсортировать за одну операцию, выбрав \(l = 2\) и \(r = 3\). Его стоимость равна \(3 - 2 = 1\).
Сумма стоимостей по всем подмассивам данного массива равна \(0 + 0 + 0 + 0 + 1 + 1 = 2\).

B2. Сортировка подотрезков (сложная версия)

Бинарный поиск Структуры данных дп жадные алгоритмы *2400

Единственная разница между простой и сложной версиями состоит в ограничениях на \(t\) и \(n\).

Вам задан массив \(a\), состоящий из \(n\) различных целых чисел \(a_1, a_2, \ldots, a_n\).

Определим стоимость массива \(p_1, p_2, \ldots p_k\) как минимальное количество времени, необходимое для сортировки этого массива с использованием произвольного количества операций сортировки диапазона. В каждой операции сортировки диапазона вы будете делать следующее:

  • Выберите два целых числа \(l\) и \(r\) (\(1 \le l < r \le k\)).
  • Отсортируйте подмассив \(p_l, p_{l + 1}, \ldots, p_r\) за \(r - l\) секунд.

Пожалуйста, посчитайте сумму стоимостей по всем подмассивам массива \(a\).

Подмассив массива определяется как непрерывная последовательность элементов массива.

Входные данные

Каждый тест содержит несколько наборов входных данных. Первая строка содержит количество наборов входных данных \(t\) (\(1 \le t \le 10^4\)). Далее следует их описание.

Первая строка каждого набора входных данных содержит одно целое число \(n\) (\(1 \le n \le 3 \cdot 10^5\)) — длина массива \(a\).

Вторая строка каждого набора входных данных состоит из \(n\) целых чисел \(a_1,a_2,\ldots, a_n\) (\(1\le a_i\le 10^9\)). Гарантируется, что все элементы \(a\) попарно различны.

Гарантируется, что сумма \(n\) по всем наборам входных данных не превосходит \(3 \cdot 10^5\).

Выходные данные

Для каждого набора входных данных выведите сумму стоимостей по всем подмассивам массива \(a\).

Примечание

В первом наборе входных данных:

  • Подмассив \([6]\) уже отсортирован, поэтому его стоимость равна \(0\).
  • Подмассив \([4]\) уже отсортирован, поэтому его стоимость равна \(0\).
  • Подмассив \([6, 4]\) можно отсортировать за одну операцию, выбрав \(l = 1\) и \(r = 2\). Его стоимость равна \(1\).
Сумма стоимостей по всем подмассивам данного массива равна \(0 + 0 + 1 = 1\).

Во втором наборе входных данных:

  • Подмассив \([3]\) уже отсортирован, поэтому его стоимость равна \(0\).
  • Подмассив \([10]\) уже отсортирован, поэтому его стоимость равна \(0\).
  • Подмассив \([6]\) уже отсортирован, поэтому его стоимость равна \(0\).
  • Подмассив \([3, 10]\) уже отсортирован, поэтому его стоимость равна \(0\).
  • Подмассив \([10, 6]\) можно отсортировать за одну операцию, выбрав \(l = 1\) и \(r = 2\). Его стоимость равна \(2 - 1 = 1\).
  • Подмассив \([3, 10, 6]\) можно отсортировать за одну операцию, выбрав \(l = 2\) и \(r = 3\). Его стоимость равна \(3 - 2 = 1\).
Сумма стоимостей по всем подмассивам данного массива равна \(0 + 0 + 0 + 0 + 1 + 1 = 2\).

C. Разбиение на палиндромы

Строки Бинарный поиск Перебор Структуры данных дп *2600 хэши

Подстрокой называется непрерывный и непустой подотрезок букв из данной строки, без изменения порядка.

Чётным палиндромом называется строка, которая читается одинаково как слева направо, так и справа налево, и имеет чётную длину. Например, строки «zz», «abba», «abccba» являются чётными палиндромами, а строки «codeforces», «reality», «aba», «c» не являются.

Красивой строкой называется чётный палиндром или строка, которую можно разбить на несколько меньших чётных палиндромов.

Дана строка \(s\), состоящая из \(n\) строчных латинских букв. Подсчитайте количество красивых подстрок в \(s\).

Входные данные

Каждый тест содержит несколько наборов входных данных. Первая строка содержит количество наборов входных данных \(t\) (\(1 \le t \le 10^4\)). Затем следует их описание.

Первая строка каждого набора входных данных содержит одно целое число \(n\) (\(1 \le n \le 5\cdot 10^5\)).

Вторая строка каждого набора входных данных содержит строку \(s\). Строка \(s\) состоит только из строчных латинских букв и имеет длину \(n\).

Гарантируется, что сумма \(n\) по всем наборам входных данных не превышает \(5\cdot 10^5\).

Выходные данные

Для каждого набора входных данных выведите количество красивых подстрок.

Примечание

В первом наборе входных данных красивыми подстроками являются «abaaba», «baab», «aa».

В последнем наборе входных данных красивыми подстроками являются «aa» (подсчитано дважды), «abba», «bb», «bbaa», «abbaaa».

E. Автобусные маршруты

Бинарный поиск Деревья Конструктив поиск в глубину и подобное жадные алгоритмы *3400

Существует страна, состоящая из \(n\) городов и соединяющих их \(n - 1\) двунаправленных дорог, так что мы можем путешествовать между любыми двумя городами по этим дорогам. Другими словами, эти города и дороги образуют дерево.

Есть \(m\) автобусных маршрутов, соединяющих города между собой. Автобусный маршрут между городами \(x\) и \(y\) позволяет вам путешествовать между любыми двумя городами по простому пути между \(x\) и \(y\) по этому маршруту.

Определите, можно ли из каждой пары городов \(u\) и \(v\) проехать из \(u\) в \(v\), используя не более двух автобусных маршрутов.

Входные данные

Каждый тест содержит несколько наборов входных данных. Первая строка содержит количество наборов входных данных \(t\) (\(1 \le t \le 10^4\)). Далее следует их описание.

Первая строка каждого набора входных данных содержит два целых числа \(n\) и \(m\) (\(2 \le n \le 5 \cdot 10^5, 0 \le m \le 5 \cdot 10^5\)) — количество городов и количество автобусных маршрутов.

Затем следует \(n - 1\) строка. Каждая строка содержит два целых числа \(u\) и \(v\), обозначающие дорогу, соединяющую города \(u\) и \(v\) (\(1 \le u, v \le n, u \neq v\)). Гарантируется, что эти города и дороги образуют дерево.

Далее следуют \(m\) строк. Каждая строка содержит два целых числа \(x\) и \(y\), обозначающие маршрут автобуса между городами \(x\) и \(y\) (\(1 \le x, y \le n\)).

Гарантируется, что сумма \(n\) по всем наборам тестов не превосходит \(5 \cdot 10^5\), а сумма \(m\) по всем наборам входных данных не превышает \(5 \cdot 10^5\).

Выходные данные

Для каждого теста выведите «YES», если вы можете путешествовать между любой парой городов, используя не более двух автобусных маршрутов.

В противном случае выведите «NO». В следующей строке выведите два города \(x\) и \(y\) (\(1 \le x, y \le n\)) такие, что до города \(y\) из города \(x\) невозможно добраться не более чем двумя автобусными маршрутами.

Вы можете вывести ответ в любом регистре (верхнем или нижнем). Например, строки «yEs», «yes», «Yes» и «YES» будут распознаны как положительные. ответы.

Примечание

Ниже приведены иллюстрации к \(1\), \(2\) и \(4\) наборам входных данных:

D1. Красно-синие операции (простая версия)

Бинарный поиск математика реализация *2100 жадные алгоритмы

Единственное отличие между простой и сложной версиями — максимальные значения \(n\) и \(q\).

Задан массив, состоящий из \(n\) целых чисел. Изначально все элементы красные.

К массиву можно несколько раз применить следующую операцию. На \(i\)-й операции вы выбираете элемент массива; затем:

  • если элемент красный, то он увеличивается на \(i\) и становится синим;
  • если элемент синий, то он уменьшается на \(i\) и становится красным.

Операции нумеруются с \(1\), т. е. на первой операции некоторый элемент изменяется на \(1\) и так далее.

К массиву задаются \(q\) запросов следующего вида:

  • дано целое число \(k\), какой может быть наибольший минимум в массиве после того как вы примените ровно \(k\) операций к нему?

Обратите внимание, что операции не изменяют массив между запросами, все запросы задаются к начальному массиву \(a\).

Входные данные

В первой строке записано два целых числа \(n\) и \(q\) (\(1 \le n, q \le 1000\)) — количество элементов массива и количество запросов.

Во второй строке записаны \(n\) целых чисел \(a_1, a_2, \dots, a_n\) (\(1 \le a_i \le 10^9\)).

В третьей строке записаны \(q\) целых чисел \(k_1, k_2, \dots, k_q\) (\(1 \le k_j \le 10^9\)).

Выходные данные

На каждый запрос выведите одно целое число — наибольший минимум, который может быть в массиве после того как вы примените ровно \(k\) операций к нему.

D2. Красно-синие операции (сложная версия)

Бинарный поиск Конструктив математика реализация жадные алгоритмы *2400

Единственное отличие между простой и сложной версиями — максимальные значения \(n\) и \(q\).

Задан массив, состоящий из \(n\) целых чисел. Изначально все элементы красные.

К массиву можно несколько раз применить следующую операцию. На \(i\)-й операции вы выбираете элемент массива; затем:

  • если элемент красный, то он увеличивается на \(i\) и становится синим;
  • если элемент синий, то он уменьшается на \(i\) и становится красным.

Операции нумеруются с \(1\), т. е. на первой операции некоторый элемент изменяется на \(1\) и так далее.

К массиву задаются \(q\) запросов следующего вида:

  • дано целое число \(k\), какой может быть наибольший минимум в массиве после того как вы примените ровно \(k\) операций к нему?

Обратите внимание, что операции не изменяют массив между запросами, все запросы задаются к начальному массиву \(a\).

Входные данные

В первой строке записано два целых числа \(n\) и \(q\) (\(1 \le n, q \le 2 \cdot 10^5\)) — количество элементов массива и количество запросов.

Во второй строке записаны \(n\) целых чисел \(a_1, a_2, \dots, a_n\) (\(1 \le a_i \le 10^9\)).

В третьей строке записаны \(q\) целых чисел \(k_1, k_2, \dots, k_q\) (\(1 \le k_j \le 10^9\)).

Выходные данные

На каждый запрос выведите одно целое число — наибольший минимум, который может быть в массиве после того как вы примените ровно \(k\) операций к нему.

F. Зомби

Бинарный поиск дп *3200

Поликарп играет в компьютерную игру, в которой он управляет группой выживших в постапокалиптическом мире. Мир захвачен ордами зомби, которые рвутся на базу выживших. Зомби будут пытаться пробраться на базу выживших в течение \(x\) минут, начиная с минуты \(0\). Всего на базу есть \(n\) входов, каждую минуту через каждый вход пытается пробраться один зомби.

Чтобы ограничить вторжение зомби, выжившие могут охранять входы на базу. Есть два варианта:

  • вручную — отстреливать зомби на определенном входе;
  • автоматически — установить электрическую сетку на определенном входе, чтобы поджаривать зомби.

Если в течение какой-то минуты вход охраняется любым или обоими способами, в эту минуту зомби не пробираются на базу через этот вход.

Каждый вход охраняется одним из выживших. \(i\)-й вход охраняется с минуты \(l_i\) по минуту \(r_i\) не включительно — \([l_i, r_i)\).

В распоряжении выживших есть \(k\) генераторов, при помощи которых можно охранять входы автоматически. Каждый вход должен быть подключён ровно к одному генератору, но при этом каждый генератор может запитать любое количество входов. Каждый генератор будет работать ровно \(m\) минут подряд. Поликарп выбирает время запуска каждого генератора независимо друг от друга, этот интервал длиной \(m\) минут должен вкладываться в интервал \([0, x)\).

Поликарп — не совсем нормальный игрок. Он хочет, чтобы игра была для него как можно сложнее. Поэтому он подключит каждый вход к генератору и настроит время работы генераторов так, чтобы как можно больше зомби пробралось на базу. Помогите ему это сделать!

Входные данные

В первой строке записано четыре целых числа \(n, k, x\) и \(m\) (\(1 \le k \le n \le 2000\); \(1 \le m \le x \le 10^9\)) — количество входов, количество генераторов, длительность атаки зомби и дилтельность всех генераторов.

В \(i\)-й из следующий \(n\) строк записаны два целых числа \(l_i\) и \(r_i\) (\(0 \le l_i < r_i \le x\)) — отрезок времени, в течение которого \(i\)-й вход охраняется вручную.

Выходные данные

Выведите одно целое число — наибольшее количество зомби, которые могут пробраться на базу после того как Поликарп подсоединит каждый вход к некоторому генератору и выберет время для каждого генератора.

E. MEX НОК

Бинарный поиск Структуры данных математика реализация теория чисел *2300

Вам дан массив \(a\) длины \(n\). Назовем целое положительное число \(x\) хорошим, если нельзя найти такой подотрезок\(^{\dagger}\) массива, что наименьшее общее кратное всех элементов на нём равно \(x\).

Вам требуется найти наименьшее хорошее число.

Подотрезком \(^{\dagger}\) массива \(a\) называется набор элементов \(a_l, a_{l + 1}, \ldots, a_r\) для некоторых \(1 \le l \le r \le n\). Будем обозначать такой подотрезок \([l, r]\).

Входные данные

Каждый тест состоит из нескольких наборов входных данных. В первой строке находится одно целое число \(t\) (\(1 \le t \le 5 \cdot 10^4\)) — количество наборов входных данных. Далее следует описание наборов входных данных.

Первая строка каждого набора входных данных содержит единственное число \(n\) (\(1 \leq n \leq 3 \cdot 10^5\)) — длина массива \(a\).

Вторая строка каждого набора входных данных содержит \(n\) целых чисел \(a_1, a_2, \ldots , a_n\) (\(1 \leq a_i \leq 10^9\)) — элементы массива \(a\).

Гарантируется, что сумма \(n\) по всем наборам входных данных не превосходит \(3 \cdot 10^5\).

Выходные данные

Для каждого набора входных выведите единственное целое число — наименьшее хорошее число.

Примечание

В первом наборе входных данных, \(4\) — хорошее число, при этом оно является наименьшим, так как числа \(1,2,3\) встречаются в массиве, а значит, есть подотрезки массива длины \(1\) с наименьшими общими кратными \(1,2,3\). При этом нельзя найти подотрезок массива с наименьшим общим кратным равным \(4\).

Во втором наборе входных данных, \(7\) — хорошее число. При этом числа \(1,2,3,4,5\) встречаются в массиве явно, а число \(6\) является наименьшим общим кратных подотрезков \([2, 3]\) и \([1, 3]\).

В третьем наборе входных данных, \(1\) — хорошее число, так как наименьшие общие кратные для чисел на отрезках \([1, 1], [1, 2], [2, 2]\), соответственно, равны \(2,6,3\).

B. Лотерея

Бинарный поиск Перебор математика жадные алгоритмы *2500

Для участия в лотерее пришли \(n\) человек, пронумерованных от \(1\) до \(n\). Каждый получил билет с целым числом от \(0\) до \(m\).

В лотерее равновероятно вытягивается одно целое целевое число от \(0\) до \(m\). Победителями объявляются \(k\) билетов (или меньше, если участников недостаточно) с числами, наиболее близкими к целевому. В случае ничьей победителем объявляется билет, принадлежащий человеку с меньшим номером.

Байтек решил принять в ней участие. Он знает значения на билетах всех предыдущих участников. Он может выбрать любое значение на своем билете, но, к сожалению, поскольку он получил его последним, номер Байтека равен \(n + 1\).

Байтек хочет выиграть в лотерею. Таким образом, он хочет узнать, какое число он должен выбрать, чтобы максимизировать шансы на выигрыш. Он хочет узнать наименьшее целое число в случае, если таких целых чисел много. Ваша задача — найти число и рассчитать шансы на выигрыш.

Входные данные

В первой строке входных данных находятся целые числа \(n\), \(m\) и \(k\) (\(1 \leq n \leq 10^6\), \(0 \leq m \leq 10^{18}\), \(1 \leq k \leq 10^6\)).

В следующей строке находятся \(n\) целых чисел, обозначающих номера на билетах, полученных людьми, участвующими в лотерее. Эти числа — целые числа в диапазоне от \(0\) до \(m\).

Выходные данные

Вы должны вывести два целых числа. Первое должно быть равно количеству значений целевого числа (от \(0\) до \(m\)), при котором Байтек выигрывает, если оптимально выберет свой билет. Второе должно быть равно целому числу, которое Байтек должен выбрать, чтобы максимизировать свой шанс на выигрыш в лотерею.

Примечание

В первом примере Байтек выиграет при \(4\)-х целевых значениях (а именно \(0, 1, 2, 3\)), если выберет целое число \(2\), которое является наименьшим оптимальным значением. Если он выберет \(3\), он также выиграет в четырех случаях, но это значение не является наименьшим.

F. Разбор на двоих

Бинарный поиск Структуры данных реализация жадные алгоритмы *2400

Только что закончилась Берлядская межвузовская олимпиада. Монокарп и Поликарп, как члены жюри, собираются провести разбор. К сожалению, время у них ограничено, так как надо закончить до церемонии закрытия.

В соревновании было \(n\) задач. Задачи пронумерованы от \(1\) до \(n\). Разбор \(i\)-й задачи занимает \(a_i\) минут. Монокарп и Поликарп планируют разобрать ровно \(k\) из них.

Разбор проходит следующим образом. Перед ними лежит весь проблемсет из \(n\) задач. Они убирают \(n - k\) из них, не изменяя порядок оставшихся \(k\) задач. Затем Монокарп забирает себе какой-то префикс из этих \(k\) задач (возможно, пустой или все задачи). Поликарп забирает себе оставшийся суффикс. После этого они идут в разные комнаты и проводят разборы для своих задач параллельно. Так что разбор занимает столько времени, сколько занимает более долгий из этих двух.

Пожалуйста, помогите Монокарпу и Поликарпу выбрать задачи и разделить их между собой так, чтобы разбор закончился как можно раньше. Выведите длительность разбора.

Входные данные

В первой строке записано одно целое число \(t\) (\(1 \le t \le 10^4\)) — количество наборов входных данных.

В первой строке каждого набора входных данных записаны два целых числа \(n\) и \(k\) (\(1 \le k \le n \le 3 \cdot 10^5\)) — количество задач во всем проблемсете и количество задач, для которых Монокарп и Поликарп планируют провести разбор.

Во второй строке записаны \(n\) целых чисел \(a_1, a_2, \dots, a_n\) (\(1 \le a_i \le 10^9\)) — время, которое занимает каждый разбор.

Сумма \(n\) по всем наборам входных данных не превосходит \(3 \cdot 10^5\).

Выходные данные

На каждый набор входных данных выведите одно целое число — наименьшее время, которое может занять разбор, если Монокарп и Поликарп могут выбирать, какие \(k\) из \(n\) задач разбирать и как разделять их между собой.

F. Застрявший конвейер

Бинарный поиск Конструктив интерактив *3000

Это интерактивная задача.

Имеется сетка конвейерных лент размером \(n\) на \(n\), расположенных в позициях с \((1, 1)\) по \((n, n)\) координатной плоскости. Все остальные клетки плоскости пусты. Каждый конвейер может быть настроен на перемещение коробок вверх ('^'), вниз ('v'), влево ('<') или вправо ('>'). Если клетка перемещается на пустую клетку, она прекращает движение.

Однако, одна из \(n^2\) лент застряла, и всегда будет перемещать ящики в одном и том же направлении, независимо от того, как она настроена. Ваша цель - провести серию тестов, чтобы определить, какая лента застряла, и в каком направлении она посылает предметы.

Для достижения этой цели вы можете провести до \(25\) тестов. В каждом тесте вы задаете направление всем \(n^2\) лентам, ставите коробку на одну из них, а затем включаете все конвейеры.

Один из возможных результатов запроса с \(n=4\). В этом случае ящик начинается с \((2, 2)\). Если бы не было застрявшего конвейера, она бы закончилась в \((5, 4)\), но из-за застрявшего конвейера '>' в \((3, 3)\) она попадает в бесконечный цикл.

Конвейеры перемещают коробку слишком быстро, чтобы вы могли ее увидеть, поэтому единственная информация, которую вы получаете от теста - это то, остановилась ли коробка в конце концов, и если да, то координаты ее конечного положения.

Протокол взаимодействия

Вы начинаете взаимодействие с чтения одного целого числа \(n\) (\(2 \le n\le 100\)) — количество строк и столбцов в сетке.

Затем вы можете сделать не более \(25\) запросов.

Каждый запрос должен начинаться со строки вида ?r c, где r и c - начальные строка и столбец ячейки, соответственно.

Следующие \(n\) строк запроса должны содержать по \(n\) символов. \(j\)-й символ \(i\)-й строки должен быть одним из '^', 'v', '<' или '>', указывая направление конвейера \((i, j)\) для данного запроса.

После каждого запроса вы получите два целых числа \(x\) и \(y\). Если \(x = y = -1\), то ящик вошел в бесконечный цикл. В противном случае его конечное положение было \((x, y)\).

Если вы сделаете слишком много запросов или сделаете неправильный запрос, вы получите вердикт Неправильный ответ.

После того как вы нашли застрявший конвейер и его направление, выведите единственную строку ! r c dir, где r и c - строка и столбец застрявшего конвейера соответственно, а dir - один из символов '^', 'v', '<' или '>', указывающий направление застрявшего конвейера. Обратите внимание, что вывод ответа не засчитывается в \(25\) запросов. После вывода этой строки ваша программа должна завершиться.

Интерактор является неадаптивным. Это означает, что местоположение и направление застрявшего конвейера фиксировано в начале взаимодействия и не меняется после выполнения запросов.

После вывода запроса не забудьте вывести перевод строки и сбросить буфер вывода. В противном случае вы получите вердикт Решение «зависло». Для сброса буфера используйте:

  • fflush(stdout) или cout.flush() в C++;
  • System.out.flush() в Java;
  • flush(output) в Pascal;
  • stdout.flush() в Python;
  • смотрите документацию для других языков.

Взломы

Чтобы сделать взлом, используйте следующий формат.

Первая строка должна содержать одно целое число \(n\) (\(1 \le n \le 100\)) — количество строк и столбцов в сетке.

Следующая строка должна содержать два целых числа \(r\) и \(c\) (\(1 \le r, c \le n\)), а также символ \(\mathrm{dir}\) (\(\mathrm{dir}\) - одно из '^', 'v', '<', '>') — положение застрявшего конвейера и его фиксированное направление. Эти значения должны быть разделены пробелами.

Примечание

В первом запросе первого примера ящик стартует на \((2, 2)\) и входит в бесконечный цикл, содержащий строки \(2\) и \(3\). Поскольку застрявший конвейер находится в ряду \(1\), он не влияет на результат запроса.

Во втором запросе первого примера конвейеры настроены аналогичным образом, но ящик стартует с \((1, 1)\). Если бы не было застрявшего конвейера, он попал бы в бесконечный цикл между \((1, 2)\) и \((1, 3)\). Однако застрявший конвейер перенаправляет его на \((0, 2)\).

После этих двух запросов программа определяет, что застрявший конвейер находится в точке \((1, 2)\) и направляет предметы вверх.

Запрос для второго примера соответствует картинке выше. После запроса существует множество вариантов застрявшего конвейера, но программа правильно определяет, что он находится в точке \((3, 3)\) и направляет предметы вправо.

D. Фестиваль деревянных игрушек

Бинарный поиск *1400 жадные алгоритмы сортировки

В одном небольшом городке есть мастерская, специализирующаяся на работах по дереву. Так как город маленький, в ней работают всего три резчика.

Скоро в городе планируется фестиваль деревянных игрушек. Работники мастерской хотят к нему подготовиться.

Они знают, что \(n\) человек придёт в мастерскую с просьбой сделать деревянную игрушку. Люди разные и могут хотеть разные игрушки. Для простоты обозначим паттерн игрушки, которую хочет \(i\)-й человек за \(a_i\) (\(1 \le a_i \le 10^9\)).

Каждый из резчиков может заранее выбрать какой-то паттерн \(x\) (\(1 \le x \le 10^9\)), разные резчики могут выбрать разные паттерны. \(x\) - натуральное число. За время подготовки к фестивалю резчики идеально отработают технику выполнения игрушки выбранного паттерна, что позволит им мгновенно вырезать её из дерева. Чтобы сделать игрушку паттерна \(y\) резчику, выбравшему паттерн \(x\), понадобится \(|x - y|\) времени, ведь чем больше игрушка похожа на ту, что он умеет делать мгновенно, тем быстрее резчик справится с работой.

В день фестиваля, когда очередной человек зайдёт в мастерскую с просьбой сделать деревянную игрушку, резчики могут выбрать, кто из них примется за работу. При этом резчики очень умелые люди и могут одновременно выполнять заказы для разных людей.

Так как люди не любят ждать, резчики хотят выбрать паттерны для подготовки таким образом, чтобы максимальное время ожидания среди всех людей было как можно меньше.

Выведите наилучшее максимальное время ожидания, которого смогут добиться резчики.

Входные данные

В первой строке входных данных содержится целое число \(t\) (\(1 \le t \le 10^4\)) — количество наборов входных данных в тесте.

Далее следуют описания наборов.

В первой строке набора содержится единственное целое число \(n\) (\(1 \le n \le 2 \cdot 10^5\)) — количество людей, которые придут в мастерскую.

Во второй строке набора содержится \(n\) целых чисел \(a_1, a_2, a_3, \dots, a_n\) (\(1 \le a_i \le 10^9\)) — паттерны игрушек.

Cумма значений \(n\) по всем наборам входных данных не превосходит \(2 \cdot 10^5\).

Выходные данные

Выведите \(t\) чисел, каждое из которых является ответом на соответствующий набор — наилучшее максимальное время ожидания, которого смогут добиться резчики.

Примечание

В первом примере входных данных резчики могут выбрать паттерны \(1\), \(7\), \(9\) для подготовки.

Во втором примере входных данных резчики могут выбрать паттерны \(3\), \(30\), \(60\) для подготовки.

Во третьем примере входных данных резчики могут выбрать паттерны \(14\), \(50\), \(85\) для подготовки.

E. Слежка за отрезками

Бинарный поиск Перебор Структуры данных *1600

У вас есть массив \(a\), состоящий из \(n\) нулей. Также, вам дан набор из \(m\) необязательно различных отрезков. Каждый отрезок задается двумя числами \(l_i\) и \(r_i\) (\(1 \le l_i \le r_i \le n\)) и представляет собой подмассив \(a_{l_i}, a_{l_i+1}, \dots, a_{r_i}\) массива \(a\).

Назовём отрезок \(l_i, r_i\) красивым, если количество единиц на этом отрезке строго больше, чем количество нулей. Например, если \(a = [1, 0, 1, 0, 1]\), тогда отрезок \([1, 5]\) является красивым (количество единиц равно \(3\), количество нулей равно \(2\)), но отрезок \([3, 4]\) не является красивым (количество единиц равно \(1\), количество нулей равно \(1\)).

У вас также есть \(q\) изменений. Каждое изменение задано числом \(1 \le x \le n\), это означает, что вы должны присвоить элементу \(a_x\) значение \(1\).

Вы должны найти первое изменение, после которого хотя бы один из \(m\) заданных отрезков становится красивым, или сообщить, что ни один из них не является красивым после применения всех \(q\) изменений.

Входные данные

Первая строка содержит одно целое число \(t\) (\(1 \le t \le 10^4\)) — количество наборов входных данных.

Первая строка каждого набора входных данных содержит два целых числа \(n\) и \(m\) (\(1 \le m \le n \le 10^5\)) — размер массива \(a\) и количество отрезков соответственно.

Далее следует \(m\) строк, состоящих из двух чисел \(l_i\) и \(r_i\) (\(1 \le l_i \le r_i \le n\)) — границы отрезков.

В следующей строке дано целое число \(q\) (\(1 \le q \le n\)) — количество измений.

В следующих \(q\) строках содержится по одному целому числу \(x\) (\(1 \le x \le n\)) — индекс элемента массива, который нужно приравнять к \(1\). Гарантируется, что все индексы в запросах различны.

Гарантируется, что сумма \(n\) по всем наборам входных данных не превышает \(10^5\).

Выходные данные

Для каждого набора входных данных выведите одно целое число — наименьший номер изменения, после которого хотя бы один из отрезков окажется красивым, или \(-1\), если ни один отрезок не станет красивым.

Примечание

В первом примере, после первых двух изменений не будет красивых отрезков, а после третьего изменения на отрезке \([1; 5]\) будет 3 единицы и 2 нуля, получается ответ 3.

Во втором примере у нас не будет красивых отрезков.

F2. Перестановка минимальной стоимости (сложная версия)

Бинарный поиск Структуры данных Конструктив математика *2800 жадные алгоритмы сортировки

Единственное отличие между этой задачей и простой версией — в ограничениях на \(t\) и \(n\).

Вам дан массив из \(n\) положительных целых чисел \(a_1,\dots,a_n\), а также целое (возможно, отрицательное) число \(c\).

Среди всех возможных перестановок \(b_1,\dots,b_n\) массива \(a_1,\dots,a_n\), рассмотрим минимально возможное значение \(\)\sum_{i=1}^{n-1} |b_{i+1}-b_i-c|.\(\) Найдите лексикографически наименьшую перестановку \(b\) массива \(a\), на которой достигается этот минимум.

Последовательность \(x\) лексикографически меньше последовательности \(y\), если и только если выполняется один из следующих пунктов:

  • \(x\) — префикс \(y\), но \(x \ne y\);
  • в первой позиции, где \(x\) и \(y\) различны, в последовательности \(x\) находится элемент, меньший соответствующего элемента \(y\).
Входные данные

Каждый тест состоит из нескольких наборов входных данных. В первой строке находится одно целое число \(t\) (\(1 \le t \le 10^4\)) — количество наборов входных данных. Далее следует описание наборов входных данных.

Первая строка каждого набора входных данных содержит два целых числа: \(n\) и \(c\) (\(1 \le n \le 2 \cdot 10^5\), \(-10^9 \le c \le 10^9\)).

Вторая строка каждого набора входных данных содержит \(n\) целых чисел \(a_1,\dots,a_n\) (\(1 \le a_i \le 10^9\)).

Гарантируется, что сумма значений \(n\) по всем наборам входных данных не превосходит \(2 \cdot 10^5\).

Выходные данные

Для каждого набора входных данных выведите \(n\) целых чисел \(b_1,\dots,b_n\), задающих лексикографически наименьшую перестановку \(a\), на которой достигается минимум \(\sum\limits_{i=1}^{n-1} |b_{i+1}-b_i-c|\).

Примечание

В первом наборе входных данных можно доказать, что минимальное значение \(\sum\limits_{i=1}^{n-1} |b_{i+1}-b_i-c|\) равно \(27\), а перестановка \(b = [9,3,1,4,5,1]\) является лексикографически наименьшей перестановкой \(a\), на которой достигается этот минимум: \(|3-9-(-7)|+|1-3-(-7)|+|4-1-(-7)|+|5-4-(-7)|+|1-5-(-7)| = 1+5+10+8+3 = 27\).

Во втором наборе входных данных минимально возможное значение \(\sum\limits_{i=1}^{n-1} |b_{i+1}-b_i-c|\) равно \(0\), при этом \(b = [1,3,5]\) является лексикографически наименьшей перестановкой \(a\), на которой достигается этот минимум.

В третьем наборе входных данных существует всего одна перестановка \(b\).

C. Сильный пароль

Строки Бинарный поиск дп *1400 жадные алгоритмы

Монокарп наконец-то набрался смелости зарегистрироваться на ForceCoders. Он придумал ник, но все еще думает насчет пароля.

Он хочет, чтобы пароль был как можно сильнее, поэтому придумал следующие критерии:

  • длина пароля должна быть ровно \(m\);
  • пароль должен состоять только из цифр от \(0\) до \(9\);
  • пароль не должен встречаться в базе данных паролей (заданной строкой \(s\)) как подпоследовательность (не обязательно подряд идущих цифр).

Монокарп также придумал две строки длины \(m\): \(l\) и \(r\), обе состоящие только из цифр от \(0\) до \(9\). Он хочет, чтобы \(i\)-я цифра его пароля была от \(l_i\) до \(r_i\) включительно.

Существует ли пароль, который подходит под все условия?

Входные данные

В первой строке записано одно целое число \(t\) (\(1 \le t \le 10^4\)) — количество наборов входных данных.

В первой строке каждого набора входных данных записана строка \(s\) (\(1 \le |s| \le 3 \cdot 10^5\)), состоящая только из цифр от \(0\) до \(9\) — база данных паролей.

Во второй строке записано одно целое число \(m\) (\(1 \le m \le 10\)) — требуемая длина пароля.

В третьей строке записана строка \(l\) (\(|l| = m\)), состоящая только из цифр от \(0\) до \(9\), — нижняя граница на каждую цифру.

В четвертой строке записана строка \(r\) (\(|r| = m\)), состоящая только из цифр от \(0\) до \(9\), — верхняя граница на каждую цифру. \(l_i \le r_i\) для всех \(i\) от \(1\) до \(m\).

Сумма длин \(s\) по всем наборам входных данных не превосходит \(3 \cdot 10^5\).

Выходные данные

На каждый набор входных данных выведите «YES», если существует пароль, который подходит под все условия. Иначе выведите «NO».

Примечание

В первом наборе входных данных Монокарп может выбрать пароль «50». Он не встречается в \(s\) как подпоследовательность.

Во втором наборе все наборы из трех цифр, каждая из которых от \(1\) до \(4\), подходит под условия на \(l\) и \(r\). Однако, все они встречаются в \(s\) как подпоследовательности. Например, «314» встречается на позициях \([3, 5, 12]\), а «222» встречается на позициях \([2, 6, 10]\).

В третьем наборе Монокарп может выбрать пароль «4321». На самом деле это единственный пароль, который подходит под условия на \(l\) и \(r\). К счастью, он не встречается в \(s\) как подпоследовательность.

В четвертом наборе только «49» и «59» подходят под условия на \(l\) и \(r\). Оба они встречаются в \(s\) как подпоследовательности.

В пятом набор Монокарп может выбрать пароль «11».

D. Рейтинговая система

Бинарный поиск Перебор Структуры данных математика дп *1800 жадные алгоритмы снм

Вы разрабатываете рейтинговую систему для онлайн-игры. Каждый раз, когда игрок участвует в матче в этой игре, его рейтинг меняется в зависимости от результатов.

Изначально рейтинг игрока равен \(0\). Он будет участвовать в \(n\) матчах; после \(i\)-го матча рейтинг изменяется на \(a_i\) (рейтинг увеличивается на \(a_i\), если \(a_i\) положительное, или уменьшается на \(|a_i|\), если отрицательное. В последовательности \(a\) нет нулей).

В системе есть дополнительное правило: для заданного целого числа \(k\), если рейтинг игрока достиг значения \(k\), он никогда не опустится ниже него. Формально, если рейтинг игрока хотя бы \(k\), а изменение рейтинга должно сделать его меньше \(k\), то рейтинг снизится ровно до \(k\).

Ваша задача состоит в том, чтобы определить значение \(k\) таким образом, чтобы рейтинг игрока после всех \(n\) матчей был максимально возможным (среди всех возможных целочисленных значений \(k\)). Если существует несколько возможных ответов, выведите любой из них.

Входные данные

Первая строка содержит одно целое число \(t\) (\(1 \le t \le 10^4\)) — количество наборов входных данных.

Первая строка каждого набора содержит одно целое число \(n\) (\(1 \le n \le 3 \cdot 10^5\)) — количество матчей.

Вторая строка содержит \(n\) целых чисел \(a_1, a_2, \dots, a_n\) (\(-10^9 \le a_i \le 10^9\); \(a_i \ne 0\)) — изменение рейтинга после \(i\)-го матча.

Сумма \(n\) по всем наборам входных данных не превосходит \(3 \cdot 10^5\).

Выходные данные

Для каждого набора входных данных выведите одно целое число \(m\) (\(-10^{18} \le m \le 10^{18}\)) — такое значение \(k\), при котором рейтинг игрока будет максимально возможным. Можно показать, что существует хотя бы одно такое значение, которое удовлетворяет ограничениям \(-10^{18} \le m \le 10^{18}\).

Примечание

В первом примере, если \(k=3\), то рейтинг изменяется следующим образом: \(0 \rightarrow 3 \rightarrow 3 \rightarrow 4 \rightarrow 6\).

Во втором примере, если \(k=0\), то рейтинг изменяется следующим образом: \(0 \rightarrow 0 \rightarrow 0 \rightarrow 0\).

В третьем примере, если \(k=25\), то рейтинг изменяется следующим образом: \(0 \rightarrow 4 \rightarrow 6\).

В четвертом примере, если \(k=6\), то рейтинг изменяется следующим образом: \(0 \rightarrow 5 \rightarrow 6 \rightarrow 6 \rightarrow 8 \rightarrow 7 \rightarrow 6 \rightarrow 8\).

E2. Рудольф и снежинки (сложная версия)

Бинарный поиск Перебор математика реализация *1800

Это сложная версия задачи. Единственное отличие в том, что в этой версии \(n \le 10^{18}\).

Однажды зимним утром Рудольф задумчиво смотрел в окно и наблюдал за падающими снежинками. Он очень быстро заметил некоторую симметрию в конфигурации снежинок. И как истинный математик, Рудольф придумал математическую модель снежинки.

Он определил снежинку как неориентированный граф, строящийся по следующим правилам:

  • Изначально в графе одна единственная вершина.
  • Далее в граф добавляются ещё вершины. Исходная вершина соединяется ребрами с ещё \(k\) новыми вершинами (\(k > 1\)).
  • Каждая из вершин, соединённая только с одной другой вершиной, соединяется ребрами с ещё \(k\) новыми вершинами. Этот шаг нужно выполнить хотя бы один раз.

Минимальная снежинка для \(k = 4\) приведена на рисунке.

После некоторых математических изысканий Рудольф понял, что такие снежинки могут иметь далеко не любое число вершин. Помогите Рудольфу проверить, может ли существовать снежинка с \(n\) вершинами.

Входные данные

В первой строке входных данных содержится целое число \(t\) (\(1 \le t \le 10^4\)) — количество наборов входных данных в тесте.

Далее следуют описания наборов.

В первой строке набора содержится целое число \(n\) (\(1 \le n \le 10^{18}\)) — количество вершин, для которого нужно проверить существование снежинки.

Выходные данные

Выведите \(t\) строк, каждая из которых является ответом на соответствующий набор — «YES», если существует такое \(k > 1\), для которого можно построить снежинку с заданным количеством вершин; «NO» в противном случае.

F. Личность босса

Бинарный поиск Структуры данных математика поиск в глубину и подобное жадные алгоритмы сортировки битмаски *2500

Во время расследования происхождения Диаволо, Джорно получает от Полнареффа секретный код. Код можно представить в виде бесконечной последовательности целых положительных чисел: \(a_1, a_2, \dots \). Джорно сразу видит закономерность, лежащую в основе кода. Первые \(n\) чисел \(a_1, a_2, \dots, a_n\) являются известными. Для \(i > n\) значение \(a_i\) равно \((a_{i-n}\ |\ a_{i-n+1})\), где \(|\) обозначает операцию побитового ИЛИ.

Части информации о Диаволо скрыты в \(q\) вопросах. Каждый вопрос связан с положительным целым числом \(v\), а ответом на него является наименьший индекс \(i\), такой, что \(a_i > v\). Если такого \(i\) не существует, то ответом будет \(-1\). Помогите Джорно ответить на вопросы!

Входные данные

Каждый тест содержит несколько наборов входных данных. Первая строка содержит количество наборов входных данных \(t\) (\(1 \le t \le 10\,000\)). Далее следует описание наборов входных данных.

Первая строка каждого набора входных данных содержит два целых числа \(n\) и \(q\) (\(2 \leq n \leq 2 \cdot 10^5\) , \(1 \leq q \leq 2 \cdot 10^5\)).

Вторая строка каждого набора входных данных содержит \(n\) целых \(a_1,a_2,\ldots,a_n\) (\(0 \leq a_i \leq 10^9\)) — части кода, которые определяют шаблон.

В \(i\)-й из следующих \(q\) строк содержится одно целое число \(v_i\) (\(0 \leq v_i \leq 10^9\)) — вопрос, который задает Джорно.

Сумма \(n\) и \(q\) по всем наборам входных данных не превышает \(2 \cdot 10^5\).

Выходные данные

Выведите \(q\) чисел. Число \(i\) является ответом на \(i\)-й вопрос, заданный Джорно.

Примечание

В первом примере \(a = [2,1,3,3,\ldots]\).

  • Для первого вопроса, \(a_1=2\) – элемент с наименьшим индексом, больший чем \(1\).
  • Для второго вопроса, \(a_3=3\) – элемент с наименьшим индексом, больший чем \(2\).
  • Для третьего вопроса, нет индекса \(i\), такого что \(a_i > 3\).
.

B. Вика и мостик

Бинарный поиск Структуры данных математика реализация жадные алгоритмы *1200 сортировки

Летом Вика любит бывать на даче. Там есть всё для отдыха: удобные качели, велосипеды и речка.

Через речку прокинут деревянный мостик, состоящий из \(n\) дощечек. Он уже довольно старый и неказистый, поэтому Вика решила его покрасить. Да и в сарае как раз нашлись банки с краской \(k\) цветов.

Покрасив каждую дощечку в один из \(k\) цветов, Вика уже хотела пойти качаться на качелях, чтобы отдохнуть от работы. Однако поняла, что дом находится на другой стороне речки, а краска ещё не полностью засохла и ходить по мостику пока нельзя.

Чтобы не портить внешний вид мостика, Вика решила, что всё же пройдёт по нему, но наступая только на дощечки одного цвета. Так как иначе небольшой слой краски на её подошве испортит дощечку другого цвета. У девушки также осталось немного краски, но её хватит на перекрашивание лишь одной дощечки мостика.

Сейчас Вика стоит на земле перед первой дощечкой. Чтобы пройти по мостику, она выберет некоторые дощечки одинакового цвета (после перекрашивания), которые имеют номера \(1 \le i_1 < i_2 < \ldots < i_m \le n\) (дощечки нумеруются с \(1\) слева направо). Тогда Вике придётся переступить \(i_1 - 1, i_2 - i_1 - 1, i_3 - i_2 - 1, \ldots, i_m - i_{m-1} - 1, n - i_m\) дощечек в результате каждого из \(m + 1\) шагов.

Так как Вика боится упасть, она не хочет делать слишком длинные шаги. Помогите ей и скажите минимально возможное максимальное количество дощечек, через которые ей придётся переступить за один шаг, если в процессе перехода по мостику она может перекрасить одну (или ноль) дощечек в другой цвет.

Входные данные

Каждый тест состоит из нескольких наборов входных данных. В первой строке находится одно целое число \(t\) (\(1 \le t \le 10^4\)) — количество наборов входных данных. Далее следует описание наборов входных данных.

В первой строке каждого набора входных данных содержатся два целых числа \(n\) и \(k\) (\(1 \le k \le n \le 2 \cdot 10^5\)) — количество дощечек в мостике и количество различных цветов краски.

Во второй строке каждого набора входных данных содержится \(n\) целых чисел \(c_1, c_2, c_3, \dots, c_n\) (\(1 \le c_i \le k\)) — цвета, в которые Вика покрасила дощечки мостика.

Гарантируется, что сумма \(n\) по всем наборам входных данных не превосходит \(2 \cdot 10^5\).

Выходные данные

Для каждого набора входных данных выведите единственное число — минимально возможное максимальное количество дощечек, через которое придётся переступить Вике за один шаг.

Примечание

В первом наборе входных данных Вика может перекрасить дощечку посередине в цвет \(1\) и пройти через мостик, не переступая через дощечки.

Во втором наборе входных данных Вика может перекрасить дощечку посередине в цвет \(2\) и пройти через мостик, каждый раз переступая через одну дощечку.

В третьем наборе входных данных Вика может перекрасить предпоследнюю дощечку в цвет \(2\) и пройти по мостику, наступая только на дощечки с номерами \(2\) и \(5\). Тогда Вике придётся переступить \(1\), \(2\) и \(1\) дощечку при каждом шаге, поэтому ответ равен \(2\).

В четвёртом наборе входных данных Вика может вовсе не перекрашивать мостик и пройти по нему, каждый раз переступая через две дощечки, идя по дощечкам цвета \(3\).

В пятом наборе входных данных Вика может вовсе не перекрашивать мостик и пройти по нему, не переступая через дощечки.

D. Вика и бонусы

Бинарный поиск Тернарный поиск Перебор математика *2200

В любимом Викином магазине косметики «Золотая груша» новая система бонусов!

Работает эта система следующим образом: пусть у покупателя есть \(b\) бонусов. Перед оплатой покупки он может выбрать одну из двух опций:

  • Получить скидку в размере текущего количества бонусов, при этом бонусы не списываются.
  • Накопить дополнительно \(x\) бонусов, где \(x\) — последняя цифра числа \(b\). В результате чего на счету покупателя станет \(b+x\) бонусов.

Например, если у покупателя было \(24\) бонуса, он может как получить скидку в размере \(24\), так и накопить ещё \(4\) бонуса, после чего на его счету станет \(28\) бонусов.

На данный момент Вика уже успела накопить \(s\) бонусов.

Девушка знает, что за оставшееся время действия бонусной системы она совершит ещё \(k\) покупок в сети магазинов «Золотая груша».

Ознакомившись с правилами работы системы бонусов, Вике стало интересно, какую максимальную суммарную скидку она сможет получить.

Помогите девушке ответить на этот вопрос.

Входные данные

Каждый тест состоит из нескольких наборов входных данных. В первой строке находится одно целое число \(t\) (\(1 \le t \le 10^5\)) — количество наборов входных данных. Далее следует описание наборов входных данных.

В единственной строке каждого набора входных данных содержится пара целых чисел \(s\) и \(k\) (\(0 \le s \le 10^9\), \(1 \le k \le 10^9\)) — текущее количество бонусов на счету у Вики и сколько ещё покупок девушка совершит.

Выходные данные

Для каждого набора входных данных выведите одно целое число — максимально возможную суммарную скидку, которую можно получить по бонусной системе.

Примечание

В первом наборе входных данных Вика может накопить бонусы после первой и второй покупки, после чего получить скидку \(4\).

Во втором наборе входных данных Вика может три раза получить скидку \(11\), суммарная скидка составит \(33\).

В третьем наборе входных данных независимо от действий Вики у неё всегда будет суммарная скидка \(0\).

F. Вика и вики

Бинарный поиск Комбинаторика математика дп *2400 разделяй и властвуй битмаски

На днях Вика изучала свой любимый интернет-ресурс — Википедию.

На просторах Википедии она вычитала про интересную математическую операцию побитового исключающего ИЛИ, обозначаемую \(\oplus\).

Вика стала изучать свойства этой загадочной операции. Для этого она взяла массив \(a\), состоящий из \(n\) целых неотрицательных чисел и применила одновременно ко всем его элементам следующую операцию: \(a_i = a_i \oplus a_{(i+1) \bmod n}\). Здесь \(x \bmod y\) обозначает остаток от деления \(x\) на \(y\). Элементы массива нумеруются, начиная с \(0\).

Так как для полного изучения недостаточно проделать вышеописанные действия единожды, Вика повторяет их до тех пор, пока массив \(a\) не превратится в состоящий только из нулей.

Определите, через сколько описанных выше действий все элементы массива \(a\) станут нулевыми. Если такой момент никогда не наступит, выведите \(-1\).

Входные данные

В первой строке находится единственное целое число \(n\) (\(1 \le n \le 2^{20}\)) — длина массива \(a\).

Гарантируется, что \(n\) представимо в виде \(2^k\) для некоторого целого числа \(k\) (\(0 \le k \le 20\)).

Вторая строка содержит \(n\) целых чисел \(a_0, a_1, a_2, \dots, a_{n-1}\) (\(0 \le a_i \le 10^9\)) — элементы массива \(a\).

Выходные данные

Выведите единственное число — минимальное число действий, необходимое, чтобы сделать все элементы массива \(a\) нулевыми, или \(-1\), если массив \(a\) никогда не станет нулевым.

Примечание

В первом примере после одной операции массив \(a\) станет равен \([3, 3, 3, 3]\). Через ещё одну операцию он будет равен \([0, 0, 0, 0]\).

Во втором примере массив \(a\) изначально состоит только из нулей.

В третьем примере после одной операции массив \(a\) станет равен \([0]\).

C. Копирование бинарной строки

Строки Бинарный поиск Перебор Структуры данных *1600 хэши

Вам задана строка \(s\), состоящая из \(n\) символов 0 и/или 1.

Вы делаете \(m\) копий этой строки. Пусть \(i\)-я копия — это строка \(t_i\). Затем вы выполняете ровно одну операцию над каждой из копий: в \(i\)-й копии вы сортируете подстроку \([l_i; r_i]\) (подстроку, начинающуюся с \(l_i\)-го символа и заканчивающуюся \(r_i\)-м символом, обе границы включаются). Заметьте, что каждая операция затрагивает только одну копию, и каждая копия затрагивается только одной операцией.

Ваша задача — посчитать количество различных строк среди \(t_1, t_2, \ldots, t_m\). Заметьте, что изначальная строка \(s\) должна считаться только тогда, когда хотя бы одна копия остается неизменной после операции.

Входные данные

Первая строка содержит одно целое число \(t\) (\(1 \le t \le 10^4\)) — количество наборов входных данных.

Первая строка каждого набора содержит два целых числа \(n\) и \(m\) (\(1 \le n, m \le 2 \cdot 10^5\)) — длину строки \(s\) и количество копий соответственно.

Вторая строка содержит \(n\) символов 0 и/или 1 — строку \(s\).

Затем следуют \(m\) строк. В \(i\)-й из них содержатся два целых числа \(l_i\) и \(r_i\) (\(1 \le l_i \le r_i \le n\)) — описание операции, применяемой к \(i\)-й копии.

Сумма \(n\) по всем наборам входных данных не превосходит \(2 \cdot 10^5\). Сумма \(m\) по всем наборам входных данных не превосходит \(2 \cdot 10^5\).

Выходные данные

Выведите одно целое число — количество различных строк среди \(t_1, t_2, \ldots, t_m\).

Примечание

Рассмотрим первый тестовый пример. Копии ниже представлены в порядке операций из входных данных. Сортируемые подстроки подчеркнуты:

  1. 101100 \(\rightarrow\) 011100;
  2. 101100 \(\rightarrow\) 011100;
  3. 101100 \(\rightarrow\) 101100;
  4. 101100 \(\rightarrow\) 101100;
  5. 101100 \(\rightarrow\) 000111.

Среди \(t_1, t_2, t_3, t_4, t_5\) всего три различные строки: 000111, 011100 и 101100.

Рассмотрим второй тестовый пример:

  1. 100111 \(\rightarrow\) 100111;
  2. 100111 \(\rightarrow\) 001111;
  3. 100111 \(\rightarrow\) 001111;
  4. 100111 \(\rightarrow\) 010111.

Среди \(t_1, t_2, t_3, t_4\) всего три различные строки: 001111, 010111 и 100111.

E. Максимум справа от минимума

Бинарный поиск Структуры данных дп разделяй и властвуй *2300 снм

Дана перестановка \(p\) длины \(n\) — массив, состоящий из целых чисел от \(1\) до \(n\), все различные.

Пусть \(p_{l,r}\) задает подмассив — массив, полученный при выписывании элементов с позиции \(l\) по позицию \(r\), включительно.

Пусть \(\mathit{maxpos}_{l,r}\) задает позицию максимального элемента на \(p_{l,r}\). Аналогично, пусть \(\mathit{minpos}_{l,r}\) задает позицию минимального элемента на нем.

Посчитайте количество подмассивов \(p_{l,r}\) таких, что \(\mathit{maxpos}_{l,r} > \mathit{minpos}_{l,r}\).

Входные данные

В первой строке записано одно целое число \(n\) (\(1 \le n \le 10^6\)).

Во второй строке записаны \(n\) целых чисел \(p_1, p_2, \dots, p_n\) (\(1 \le p_i \le n\)). Все \(p_i\) различны.

Выходные данные

Выведите одно целое число — количество подмассивов \(p_{l,r}\) таких, что \(\mathit{maxpos}_{l,r} > \mathit{minpos}_{l,r}\).

F. XOR-разделение

Бинарный поиск Деревья Структуры данных жадные алгоритмы разделяй и властвуй *2700 битмаски

Для множества целых чисел \(S\) определим его стоимость как минимальное значение \(x \oplus y\) среди всех пар различных чисел из множества (\(\oplus\) обозначает оператор побитового исключающего ИЛИ). Если в множестве менее двух элементов, его стоимость равна \(2^{30}\).

Вам дано множество целых чисел \(\{a_1, a_2, \dots, a_n\}\). Вы должны разделить его на два множества \(S_1\) и \(S_2\) таким образом, что каждый элемент принадлежит ровно одному из этих двух множеств. Стоимость разделения — это минимум из стоимостей \(S_1\) и \(S_2\).

Найдите разделение с максимальной стоимостью.

Входные данные

В первой строке задано одно целое число \(n\) (\(2 \le n \le 200000\)) — количество элементов в множестве.

Во второй строке задано \(n\) различных целых чисел \(a_1\), \(a_2\), ..., \(a_n\) (\(0 \le a_i < 2^{30}\)) — элементы множества.

Выходные данные

Выведите строку из \(n\) символов 0 и/или 1, описывающую разделение следующим образом: \(i\)-й символ строки должен быть 0, если \(a_i\) принадлежит \(S_1\), в противном случае этот символ должен быть 1.

Если существует несколько оптимальных ответов — выведите любой из них.

E. Время сериала! - 2

Бинарный поиск Структуры данных *3000

Представьте себе декартову систему координат. В k различных точках расположены станции метро. Из любой станции метро можно мгновенно попасть в любую. То есть время путешествия на метро между любыми двумя станциями можно считать равным нулю. На метро разрешается путешествовать только между станциями метро, то есть выйти из метро где-то посередине пути между станциями нельзя.

Есть n гномов, они заданы своими координатами на плоскости. Гномы хотят все вместе посмотреть сериал в какой-нибудь одной целочисленной точке плоскости. Для этого они выбирают точку, в которой соберутся, и одновременно начинают идти в нее. За одну секунду гном из точки с координатами (x, y) может переместиться в одну из точек: (x - 1, y), (x + 1, y), (x, y - 1), (x, y + 1). Также гномы могут пользоваться метро сколько угодно (метро перемещает гномов мгновенно). Гномы не мешают друг другу при перемещении (то есть гномы перемещаются одновременно и независимо друг от друга).

Помогите гномам, найдите минимальное время, за которое им удастся собраться в одной точке.

Входные данные

В первой строке записано два целых числа n и k (1 ≤ n ≤ 105; 0 ≤ k ≤ 105) — количество гномов и станций метро, соответственно.

В следующих n строках записаны координаты гномов. В i-й строке записаны два целых числа через пробел xi и yi (|xi|, |yi| ≤ 108) — координаты i-го гнома. Гарантируется, что все гномы находятся в различных точках.

В следующих k строках записаны координаты станций метро. В t-й строке записаны два целых числа через пробел xt и yt (|xt|, |yt| ≤ 108) — координаты t-й станции метро. Гарантируется, что все станции метро находятся в различных точках.

Выходные данные

Выведите одно целое число — минимальное время, за которое всем гномам удастся собраться в одной точке, чтобы посмотреть сериал.

E. Картон для картин

Бинарный поиск математика реализация геометрия *1100

У Мирчи есть \(n\) картин. \(i\)-я картина является квадратом со стороной \(s_i\) сантиметров.

Он прикрепил каждую картину к квадратному куску картона так, чтобы у каждой картинки был картон шириной \(w\) сантиметров со всех сторон. Всего он использовал \(c\) квадратных сантиметров картона. Зная размеры картин и значение \(c\), сможете ли вы найти значение \(w\)?

Картинка первого тестового примера. Здесь \(c = 50 = 5^2 + 4^2 + 3^2\), поэтому ответ \(w=1\).

Обратите внимание, что кусок картона находится за каждой картинкой, а не только по краям.

Входные данные

Первая строка содержит одно целое число \(t\) (\(1 \leq t \leq 1000\)) — количество наборов входных данных.

Первая строка каждого набора содержит два положительных целых числа \(n\) (\(1 \leq n \leq 2 \cdot 10^5\)) и \(c\) (\(1 \leq c \leq 10^{18}\)) — количество картин и количество использованных квадратных сантиметров картона.

Вторая строка каждого набора содержит \(n\) целых чисел, разделенных пробелами, \(s_i\) (\(1 \leq s_i \leq 10^4\)) — размеры картин.

Сумма \(n\) по всем наборам не превышает \(2 \cdot 10^5\).

Дополнительное ограничение на ввод: Для каждого набора входных данных существует такое целое число \(w\).

Пожалуйста, обратите внимание, что некоторые наборы входных данных могут не поместиться в 32-разрядный целочисленный тип, поэтому вам следует использовать по крайней мере 64-разрядный целочисленный тип в вашем языке программирования (например, long long для C++).

Выходные данные

Для каждого набора входных данных выведите одно целое число — значение \(w\) (\(w \geq 1\)), при котором понадобится ровно \(c\) квадратных сантиметров картона.

Примечание

Первый пример объяснен в условии.

Для второго примера выбрано значение \(w\) равное \(2\), таким образом, площадь, покрытая картоном, составляет \(c = (2 \cdot 2 + 6)^2 = 10^2 = 100\) квадратных сантиметров.

Для третьего примера выбрано значение \(w\) равное \(4\), что дает площадь покрытия \(c = (2 \cdot 4 + 2)^2 \times 5 = 10^2 \times 5 = 100 \times 5 = 500\) квадратных сантиметров.

G. Влад и горы

Бинарный поиск Деревья Структуры данных реализация *2000 сортировки графы снм

Влад решил отправиться в путешествие в горы. Всего он планирует перемещаться по \(n\) горам, между некоторыми из которых есть дороги. Горы имеют высоты, высота \(i\)-й горы равна \(h_i\).

Если между горами \(i\) и \(j\) есть дорога, то Влад может перейти с горы \(i\) на гору \(j\), потратив при этом \(h_j - h_i\) единиц энергии. Если при переходе его энергия должна опуститься ниже нуля, он не сможет перейти с горы \(i\) на гору \(j\). Обратите внимание, что \(h_j - h_i\) может быть отрицательным и тогда энергия восстановится.

Влад хочет рассмотреть разные варианты маршрута, поэтому просит вас ответить на следующие запросы: можно ли построить какой-либо маршрут, начинающийся на горе \(a\) и заканчивающийся на горе \(b\), если изначально у него есть \(e\) единиц энергии?

Входные данные

В первой строке входных данных содержится целое число \(t\) (\(1 \le t \le 10^4\)) — количество наборов входных данных в тесте.

Далее следуют описания наборов.

Первая строка набора содержит два числа \(n\) и \(m\) (\(2 \le n \le 2 \cdot 10^5\), \(1 \le m \le \min(\frac{n\cdot(n - 1)}{2}, 2 \cdot 10^5)\)) — количество гор и дорог между ними, соответственно.

Вторая строка содержит \(n\) целых чисел \(h_1, h_2, h_3, \dots, h_n\) (\(1 \le h_i \le 10^9\)) — высоты гор.

Следующие \(m\) строк содержат по два целых числа \(u\) и \(v\) (\(1 \le u, v \le n\), \(u \ne v\)) — номера гор, которые соединяет дорога. Гарантируется, что ни одна дорога не встречается дважды.

Следующая строка содержит одно целое число \(q\) (\(1 \le q \le 2 \cdot 10^5\)) — количество запросов.

Следующие \(q\) строк содержат по три числа \(a\), \(b\) и \(e\) (\(1 \le a, b \le n\), \(0 \le e \le 10^9\)) — начальная и конечная горы маршрута и количество энергии, соответственно.

Гарантируется, что сумма \(n\) по всем наборам не превосходит \(2 \cdot 10^5\). Также это гарантируется для \(m\) и \(q\).

Выходные данные

Для каждого запроса выведите «YES», если Влад может составить маршрут от горы \(a\) до горы \(b\), и «NO» в противном случае.

Вы можете выводить ответ в любом регистре (например, строки «yEs», «yes», «Yes» и «YES» будут распознаны как положительный ответ).

В примерах ниже ответы на разные наборы данных разделены пустой строкой, вы можете её не выводить.

A. Набор Ntarsis

Бинарный поиск математика теория чисел *1800

Ntarsis получил набор \(S\), изначально содержащий целые числа \(1, 2, 3, \ldots, 10^{1000}\) в отсортированном порядке. Каждый день он будет одновременно удалять \(a_1\)-е, \(a_2\)-е, \(\ldots\), \(a_n\)-е наименьшие числа в \(S\).

Какое наименьшее число останется в \(S\) после \(k\) дней?

Входные данные

Каждый тест состоит из нескольких наборов входных данных. В первой строке находится одно целое число \(t\) (\(1 \le t \le 10^5\)) — количество наборов входных данных. Далее следует описание наборов входных данных.

Первая строка каждого набора входных данных содержит два целых числа \(n\) и \(k\) (\(1 \leq n,k \leq 2 \cdot 10^5\)) — длина массива \(a\) и количество дней.

Следующая строка каждого набора входных данных содержит \(n\) целых чисел \(a_1, a_2, \ldots, a_n\) (\(1 \leq a_i \leq 10^9\)) — элементы массива \(a\).

Гарантируется, что:

  • Сумма \(n\) по всем наборам не превышает \(2 \cdot 10^5\);
  • Сумма \(k\) по всем наборам не превышает \(2 \cdot 10^5\);
  • \(a_1 < a_2 < \cdots < a_n\) для всех наборов входных данных.
Выходные данные

Для каждого набора входных данных выведите целое число, которое является наименьшим элементом в \(S\) после \(k\) дней.

Примечание

В первом наборе входных данных каждый день удаляется \(1\)-й, \(2\)-й, \(4\)-й, \(5\)-й и \(6\)-й наименьшие элементы из \(S\). Таким образом, после первого дня \(S\) станет равным \(\require{cancel}\) \(\{\cancel 1, \cancel 2, 3, \cancel 4, \cancel 5, \cancel 6, 7, 8, 9, \ldots\} = \{3, 7, 8, 9, \ldots\}\). Наименьшим элементом является \(3\).

Во втором наборе каждый день удаляется \(1\)-й, \(3\)-й, \(5\)-й, \(6\)-й и \(7\)-й наименьшие элементы из \(S\). \(S\) будет изменяться следующим образом:

День\(S\) до\(S\) после
1\(\{\cancel 1, 2, \cancel 3, 4, \cancel 5, \cancel 6, \cancel 7, 8, 9, 10, \ldots \}\)\(\to\)\(\{2, 4, 8, 9, 10, \ldots\}\)
2\(\{\cancel 2, 4, \cancel 8, 9, \cancel{10}, \cancel{11}, \cancel{12}, 13, 14, 15, \ldots\}\)\(\to\)\(\{4, 9, 13, 14, 15, \ldots\}\)
3\(\{\cancel 4, 9, \cancel{13}, 14, \cancel{15}, \cancel{16}, \cancel{17}, 18, 19, 20, \ldots\}\)\(\to\)\(\{9, 14, 18, 19, 20, \ldots\}\)

Наименьшим элементом, оставшимся после \(k = 3\) дней, является \(9\).

B. Фибоначчарсис

Бинарный поиск Перебор математика *1200

На день рождения Ntarsis получил два целых числа \(n\) и \(k\). Он задался вопросом, сколько фибоначчи-подобных последовательностей длины \(k\) можно сформировать таким образом, чтобы \(n\) было \(k\)-м элементом последовательности.

Последовательность неубывающих неотрицательных целых чисел считается фибоначчи-подобной, если \(f_i = f_{i-1} + f_{i-2}\) для всех \(i > 2\), где \(f_i\) обозначает \(i\)-й элемент последовательности. Обратите внимание, что \(f_1\) и \(f_2\) могут быть произвольными.

Например, последовательности \([4,5,9,14]\) и \([0,1,1]\) считаются допустимыми, в то время как \([0,0,0,1,1]\), \([1, 2, 1, 3]\) и \([-1,-1,-2]\) — нет: первые две не везде удовлетворяют \(f_i = f_{i-1} + f_{i-2}\), а последняя не выполняет условие, что элементы неотрицательны.

Произведите впечатление на Ntarsis, оказав ему помощь в решении этой задачи.

Входные данные

Каждый тест состоит из нескольких наборов входных данных. В первой строке находится одно целое число \(t\) (\(1 \leq t \leq 2 \cdot 10^5\)) — количество наборов входных данных. Далее следует описание наборов входных данных.

Единственная строка каждого набора входных данных содержит два целых числа \(n\) и \(k\) (\(1 \leq n \leq 2 \cdot 10^5\), \(3 \leq k \leq 10^9\)).

Гарантируется, что сумма \(n\) по всем наборам входных данных не превышает \(2 \cdot 10^5\).

Выходные данные

Для каждого набора входных данных выведите одно число — количество допустимых фибоначчи-подобных последовательностей длины \(k\), в которых \(k\)-м элементом является \(n\). Иными словами, выведите количество последовательностей \(f\) из \(k\) элементов таких, что \(f\) — фибоначчи-подобная, и \(f_k = n\). Можно показать, что это число конечно.

Примечание

Для \(n = 22\), \(k = 4\) существует \(4\) допустимые фибоначчи-подобные последовательности:

  • \([6,8,14,22]\)
  • \([4,9,13,22]\)
  • \([2,10,12,22]\)
  • \([0,11,11,22]\)

Для \(n = 3\), \(k = 9\) можно показать, что не существует допустимой фибоначчи-подобной последовательности, удовлетворяющей данным условиям.

Для \(n = 55\), \(k = 11\), единственная подходящая фибоначчи-подобная последовательность это \([0, 1, 1, 2, 3, 5, 8, 13, 21, 34, 55]\).

D. Майкл и отель

Бинарный поиск Деревья интерактив *3000

Майкл и Брайан застряли в отеле с \(n\) номерами, пронумерованными от \(1\) до \(n\), и должны найти друг друга. Но все двери в отеле заперты, и единственный способ передвижения — это использование телепортов в каждом номере. В номере \(i\) есть телепорт, который перенесет вас в номер \(a_i\) (может оказаться, что \(a_i = i\)). Но они не знают значений \(a_1,a_2, \dots, a_n\).

Вместо этого они могут позвонить в регистратуру и задать запрос. В одном из запросов они указывают номер \(u\), целое положительное число \(k\) и набор номеров \(S\). Консьерж отеля отвечает, попадет ли человек, начав жить в номере \(u\) и воспользовавшись телепортами \(k\) раз, в номер из набора \(S\).

Брайан находится в номере \(1\). Майкл хочет знать набор номеров \(A\) такой, что если он начнет жить в одном из этих номеров, они могли встретиться с помощью телепортов. Он может задать не более \(2000\) запросов.

Значения \(a_1, a_2, \dots, a_n\) фиксированы до начала взаимодействия и не зависят от запросов. Другими словами, интерактор не является адаптивным.

Входные данные

На вход подается одно целое число \(n\) (\(2 \leq n \leq 500\)).

Протокол взаимодействия

Чтобы сделать запрос, выведите строку в формате «? u k |S| S_1 S_2 ... S_|S|», в которой \(1 \leq u, S_1, \ldots, S_{|S|} \leq n\), все \(S_i\) различны, а \(1 \leq k \leq 10^9\).

В качестве ответа на запрос вы получите «1», если ответ положительный, и «0», если ответ отрицательный.

Чтобы вывести ответ, необходимо напечатать «! |A| A_1 A_2 ... A_|A|», где \(1 \leq A_1, \ldots, A_{|A|} \leq n\), все они различны. Вывод ответа не считается запросом.

Для большей ясности смотрите пример взаимодействия.

Если вы зададите слишком много запросов или неправильно сформируете запрос, то получите вердикт Неправильный ответ.

После вывода запроса не забудьте вывести перевод строки и сбросить буфер вывода. В противном случае вы получите вердикт Решение «зависло». Для сброса буфера используйте:

  • fflush(stdout) или cout.flush() в C++;
  • System.out.flush() в Java;
  • flush(output) в Pascal;
  • stdout.flush() в Python;
  • смотрите документацию для других языков.

Взломы

Для взломов используйте следующий формат.

Первая строка должна содержать \(n\) — количество комнат.

Вторая строка должна содержать \(n\) целых чисел \(a_1, a_2, \dots, a_n\) — телепорт в комнате \(i\) ведет в комнату \(a_i\).

Примечание

В примере имеется \(n=5\) комнат, а массив (скрытый), описывающий поведение телепортов, имеет вид \([1, 2, 1, 3, 2]\).

  • В первом запросе спрашивается, можно ли, начиная с номера комнаты \(a=3\) и используя телепорты \(5\) раз, оказаться в одной из двух комнат \(S=\{2, 3\}\). В результате этого действия мы оказываемся в комнате \(1\), поэтому ответ — \(0\).
  • Второй запрос спрашивает, можно ли, начиная с номера комнаты \(a=2\) и используя телепорты \(5\) раз, оказаться в одной из двух комнат \(S=\{2, 3\}\). В результате этого действия мы оказываемся в комнате \(2\), поэтому ответ - \(1\).

C. Стать максимумом

Бинарный поиск Перебор Структуры данных *1600 дп

Вам дан массив целых чисел \(a\) длины \(n\).

Одна операция состоит из:

  • Выбора индекса \(i\) такого, что \(1 \le i \le n - 1\) и \(a_i \le a_{i + 1}\).
  • Увеличения \(a_i\) на \(1\).

Найдите максимально возможное значение \(\max(a_1, a_2, \ldots a_n)\), которое можно получить, выполнив эту операцию не более \(k\) раз.

Входные данные

Каждый тест состоит из нескольких наборов входных данных. В первой строке находится одно целое число \(t\) (\(1 \le t \le 100\)) — количество наборов входных данных. Далее следует описание наборов входных данных.

Первая строка каждого набора входных данных содержит два целых числа \(n\) и \(k\) (\(2 \le n \le 1000\), \(1 \le k \le 10^{8}\)) — длина массива \(a\) и максимальное количество операций, которых можно выполнить.

Вторая строка каждого набора входных данных содержит \(n\) целых чисел \(a_1,a_2,\ldots,a_n\) (\(1 \le a_i \le 10^{8}\)) — элементы массива \(a\).

Гарантируется, что сумма \(n\) по всем наборам входных данных не превышает \(1000\).

Выходные данные

Для каждого набора входных данных выведите одно целое число — максимально возможный максимум массива после выполнения не более \(k\) операций.

Примечание

В первом наборе входных данных одной возможной оптимальной последовательностью операций является: \([\color{red}{1}, 3, 3] \rightarrow [2, \color{red}{3}, 3] \rightarrow [\color{red}{2}, 4, 3] \rightarrow [\color{red}{3}, 4, 3] \rightarrow [4, 4, 3]\).

Во втором наборе вдодных данных одной возможной оптимальной последовательностью операций является: \([1, \color{red}{3}, 4, 5, 1] \rightarrow [1, \color{red}{4}, 4, 5, 1] \rightarrow [1, 5, \color{red}{4}, 5, 1] \rightarrow [1, 5, \color{red}{5}, 5, 1] \rightarrow [1, \color{red}{5}, 6, 5, 1] \rightarrow [1, \color{red}{6}, 6, 5, 1] \rightarrow [1, 7, 6, 5, 1]\).

F. Сумма и произведение

Бинарный поиск Структуры данных математика *1600

У вас есть массив \(a\) длины \(n\).

Ваша задача — ответить на \(q\) запросов: для заданных \(x,y\) найти количество пар \(i\) и \(j\) (\(1 \le i < j \le n\)), таких что и \(a_i + a_j = x\) и \(a_i \cdot a_j = y\).

То есть для массива \([1,3,2]\) и запросов \(x=3,y=2\) ответ \(1\):

  • \(i=1\) и \(j=2\) не удовлетворяет условию, потому что \(1 + 3 = 4\) а не \(3,\) также \(1 \cdot 3=3\) а не \(2\);
  • \(i=1\) и \(j=3\) удовлетворяет условию;
  • \(i=2\) и \(j=3\) не удовлетворяет условию, потому что \(3 + 2 = 5\) а не \(3,\) также \(3 \cdot 2=6\) а не \(2\);
Входные данные

Первая строка содержит одно целое число \(t\) (\(1\le t\le 10^4\)) — количество наборов входных данных.

Вторая строка каждого набора содержит одно целое число \(n\) (\(1 \le n \le 2\cdot 10^5\)) — длина массива \(a\).

Третья строка каждого набора содержит \(n\) целых чисел \(a_1,a_2,\dots,a_n\) (\(1 \le |a_i| \le 10^9\)) — массив \(a\).

Четвертая строка каждого набора содержит целое число \(q\) (\(1 \le q \le 2\cdot 10^5\)) — количество запросов.

Следующие \(q\) строк содержат по два числа \(x\) и \(y\) (\(1 \le |x|\le 2\cdot 10^9,1\le |y|\le 10^{18}\)) — запрос.

Гарантируется, что сумма \(n\) по всем наборам входных данных не превосходит \(2\cdot 10^5\). Также это гарантируется для суммы значений \(q\).

Выходные данные

Для каждого набора выведите \(q\) чисел в одной строке — ответы на запросы.

Примечание

Для первого набора входных данных разберем каждую пару чисел из массива отдельно:

  • пара \((a_1,a_2)\): \(a_1 + a_2 = 4\) , \(a_1 \cdot a_2 = 3\)
  • пара \((a_1,a_3)\): \(a_1 + a_3 = 3\) , \(a_1 \cdot a_3 = 2\)
  • пара \((a_2,a_3)\): \(a_2 + a_3 = 5\) , \(a_2 \cdot a_3 = 6\)
Из этого видно, что для первого запроса нам подходит пара \((a_1,a_3)\), для второго \((a_2,a_3)\), а для третьего и четвертого подходящих пар нет.

Во втором наборе входных данных все комбинации пар подходят.

D. Андрей и побег из Капиграда

Бинарный поиск Структуры данных дп *1800 жадные алгоритмы сортировки снм

В Капиграде, столице Тяголяндии, произошло происшествие, все капибары в городе одичали и стали кидаться мандаринами. Андрей был вынужден сбежать из города максимально далеко, пользуясь порталами.

Тяголяндия представляет из себя числовую прямую, а Капиград находится в точке \(0\). По всей Тяголяндии расставлены \(n\) порталов, каждый из которых характеризуется четырьмя целыми числами \(l_i\), \(r_i\), \(a_i\) и \(b_i\) (\(1 \le l_i \le a_i \le b_i \le r_i \le 10^9\)). Обратите внимание, что отрезок \([a_i, b_i]\) содержится в отрезке \([l_i, r_i]\).

Если Андрей находится на отрезке \([l_i, r_i]\), тогда портал может его телепортировать в любую точку на отрезке \([a_i, b_i]\). У Андрея есть проездной, который позволяет ему пользоваться порталами неограниченное количество раз.

Андрей считает, что точка \(x\) находится на отрезке \([l, r]\), если выполняется неравенство \(l \le x \le r\).

У Андрея есть \(q\) вариантов откуда начать свой побег, каждый вариант характеризуется одним целом числом \(x_i\) — позицией начала побега. Он хочет убежать от Капиграда как можно дальше (в точку с максимально возможной координатой). Помогите Андрею узнать, насколько далеко от Капиграда он может убежать, начиная в каждой из \(q\) позиций.

Входные данные

Каждый тест состоит из нескольких наборов входных данных. Первая строка входных данных содержит одно целое число \(t\) (\(1 \le t \le 10^4\)) — количество наборов входных данных. Далее следует описание наборов входных данных.

Первая строка каждого набора данных содержит одно целое число \(n\) (\(1 \le n \le 2 \cdot 10^5\)) — количество порталов.

Каждая из следующих \(n\) строк содержит четыре целых числа \(l_i\), \(r_i\), \(a_i\) и \(b_i\) \((1 \le l_i \le a_i \le b_i \le r_i \le 10^9)\) — характеристики порталов.

Следующая строка содержит одно целое число \(q\) (\(1 \le q \le 2 \cdot 10^5\)) — количество позиций.

В следующей строке задано \(q\) целых чисел \(x_1, x_2, \ldots, x_q\) (\(1 \le x_i \le 10^9\)) — позиция, откуда Андрей начнет свой побег в \(i\)-м варианте.

Гарантируется, что сумма \(n\) и сумма \(q\) по всем наборам входных данных не превосходит \(2 \cdot 10^5\).

Выходные данные

Для каждого набора входных данных выведите одну строку из \(q\) целых чисел, содержащую ответы на интересующие Андрея вопросы.

Примечание

В первом наборе входных данных:

Оптимальные действия при старте из каждой позиции:

  1. Воспользуемся порталом \(1\) и телепортируемся в точку \(b_1 = 14\).
  2. Воспользуемся сначала порталом \(2\) и телепортируемся в точку \(6\), находящуюся на отрезке \([l_1, r_1] = [6, 17]\), после чего воспользуемся порталом \(1\) и телепортируемся в точку \(b_1 = 14\).
  3. Останемся в точке \(x_3=23\), не пользуясь порталами.
  4. Останемся в точке \(x_4=15\), не пользуясь порталами.
  5. Точка \(x_5=28\) не находится ни на одном отрезке, поэтому Андрей не сможет никуда телепортироваться.
  6. Точка \(x_6=18\) находится на отрезке \([l_3, r_3] = [16, 24]\), воспользуемся порталом \(3\) и телепортируемся в точку \(b_3 = 22\).

В пятом наборе входных данных:

Оптимальные действия при старте из каждой позиции:

  1. Воспользуемся сначала порталом \(1\) и телепортируемся в точку \(15\) на отрезке \([a_1, b_1] = [14, 20]\), после чего воспользуемся порталом \(2\) и телепортируемся в точку \(21\), находящуюся на отрезке \([l_4, r_4] = [21, 33]\) и на отрезке \([a_2, b_2] = [13, 24]\), после телепортируемся в точку \(b_4 = 32\).
  2. Воспользуемся сначала порталом \(6\) и телепортируемся в точку \(20\) на отрезке \([a_6, b_6] = [20, 21]\), после чего воспользуемся порталом \(2\) и телепортируемся в точку \(22\), находящуюся одновременно на отрезке \([l_4, r_4] = [21, 33]\) и на отрезке \([a_2, b_2] = [13, 24]\), после телепортируемся в точку \(b_4 = 32\).
  3. Сделаем те же самые действия что из с первой позиции.
  4. Останемся в точке \(x_4=5\), не пользуясь порталами.
  5. Точка \(8\) не находится ни на одном отрезке, поэтому Андрей не сможет никуда телепортироваться.
  6. Останемся в точке \(x_6=33\), не пользуясь порталами.
  7. Воспользуемся порталом \(5\) и телепортируемся в точку \(b_5 = 4\).
  8. Сделаем те же самые действия что и из первой позиции.

B. Юбилейные монеты

Бинарный поиск Перебор математика жадные алгоритмы *1200

Монокарп собирается сделать покупку на ровно \(m\) бурлей.

У него есть два типа монет в следующем количестве:

  • монеты номиналом \(1\) бурль: \(a_1\) обычных монет и бесконечно много юбилейных монет;
  • монеты номиналом \(k\) бурлей: \(a_k\) обычных монет и бесконечно много юбилейных монет.

Монокарп планирует совершить покупку так, чтобы не получить сдачи — суммарный номинал предоставленных монет должен быть ровно \(m\). Он может использовать и обычные, и юбилейные монеты. Однако, он хочет потратить как можно меньше юбилейных монет.

Какое наименьшее суммарное количество юбилейных монет Монокарп может потратить на покупку?

Входные данные

В первой строке записано одно целое число \(t\) (\(1 \le t \le 3 \cdot 10^4\)) — количество наборов входных данных.

В единственной строке каждого набора входных данных записаны четыре целых числа \(m, k, a_1\) и \(a_k\) (\(1 \le m \le 10^8\); \(2 \le k \le 10^8\); \(0 \le a_1, a_k \le 10^8\)) — стоимость покупки, номинал второго типа монет и количества обычных монет каждого из двух типов, соответственно.

Выходные данные

На каждый набор входных данных выведите одно целое число — наименьшее суммарное количество юбилейных монет, которые Монокарп может потратить на покупку.

Примечание

В первом наборе входных данных нет обычных монет ни одного из типов. Монокарп может использовать \(2\) юбилейные монеты номиналом \(1\) бурль и \(3\) юбилейные монеты номиналом \(3\) (так как \(k=3\)) бурля, чтобы получить суммарно \(11\) бурлей за \(5\) юбилейных монет.

Во втором наборе у Монокарпа очень много обычных монет обоих типов. Он может использовать \(11\) монет номиналом \(1\) бурль, например. Обратите внимание, что Монокарп не обязан минимизировать суммарное количество использованных монет. Таким образом, он использует \(0\) юбилейных монет.

В третьем наборе Монокарп может использовать \(5\) обычных монет номиналом \(1\) бурль и \(1\) обычную монету номиналом \(3\) бурля. Так он получит \(8\) бурлей суммарно, когда ему нужно \(11\). Так что \(1\) юбилейной монеты номиналом \(3\) бурля хватит.

F. Четыре масти

Бинарный поиск Потоки жадные алгоритмы битмаски *3200

Игра в берландский покер проводится следующим образом. Участвуют \(n+1\) человек: \(n\) игроков, пронумерованных от \(1\) до \(n\), и дилер. У дилера есть колода, содержащая карты четырех разных мастей (количество карт каждой масти необязательно одинаковое); количество карт в колоде нацело делится на \(n\). Дилер раздает все карты игрокам, что каждый игрок получает одинаковое количество карт, и все карты колоды розданы.

После раздачи карт каждый игрок выбирает одну из четырех мастей (независимо) и сбрасывает все карты из своей руки, которые не принадлежат к выбранной им масти. Победителем игры становится игрок, у которого на руках осталось максимальное количество карт. Количество очков, которые получает победитель, равно \(x - y\), где \(x\) — количество карт в руке победителя, а \(y\) — максимальное количество карт среди всех других игроков; все остальные получают \(0\) очков. Обратите внимание, это означает, что если есть несколько игроков с максимальным количеством карт, каждый получает \(0\) очков.

Поскольку каждый игрок хочет максимизировать свои шансы на победу, он выберет масть с максимальным количеством карт в своей руке.

Монокарп — дилер. Он уже раздал несколько карт игрокам; \(i\)-й игрок получил \(a_{i,j}\) карт масти \(j\). Обратите внимание, что количество карт на руках игроков в данный момент необязательно должно быть одинаковым. У Монокарпа в колоде осталось \(b_1, b_2, b_3, b_4\) карт мастей \(1, 2, 3, 4\) соответственно. Он должен раздать их игрокам таким образом, чтобы после раздачи всех карт у каждого игрока стало одинаковое количество карт.

Для каждого игрока подсчитайте максимальное количество очков, которое он может получить среди всех возможных способов раздачи оставшихся карт в соответствии с правилами игры.

Входные данные

Первая строка входных данных содержит одно целое число \(n\) (\(2 \le n \le 5 \cdot 10^4\)) — количество игроков.

Затем следуют \(n\) строк, \(i\)-я из них содержит четыре целых числа \(a_{i,1}, a_{i,2}, a_{i,3}, a_{i,4}\) (\(0 \le a_{i,j} \le 10^6\)), где \(a_{i,j}\) — это количество карт \(j\)-й масти, которые в данный момент есть у \(i\)-го игрока.

Последняя строка содержит \(4\) целых числа \(b_1, b_2, b_3, b_4\) (\(0 \le b_j \le 10^6\)), где \(b_j\) — это количество карт \(j\)-й масти, которые Монокарп еще должен раздать.

Дополнительное ограничение на входные данные: оставшиеся карты можно раздать таким образом, чтобы у каждого игрока стало одинаковое количество карт.

Выходные данные

Выведите \(n\) целых чисел, \(i\)-е из них — максимальное количество очков, которое может получить \(i\)-й игрок среди всех возможных способов раздачи оставшихся карт.

C. Забор в цветочном городе

Бинарный поиск Структуры данных реализация *1100 сортировки

Аня живет в цветочном городе. По указу мэра города она должна построить себе забор.

Забор состоит из \(n\) досок, каждая из которых высотой \(a_i\) метров. По указу высоты досок должны не возрастать. То есть верно, что \(a_i \ge a_j\) для всех \(i < j\).

Ане стало интересно, является ли ее забор симметричным относительно диагонали. То есть получится ли у нее такой же забор, если она уложит все доски горизонтально в том же порядке.

Например, для \(n = 5\), \(a = [5, 4, 3, 2, 1]\) забор является симметричным. Так как если уложить все доски горизонтально, то получится забор \([5, 4, 3, 2, 1]\), как на картинке.

Слева забор \([5, 4, 3, 2, 1]\), справа этот же забор, уложенный горизонтально

А для \(n = 3\), \(a = [4, 2, 1]\) забор не является симметричным. Так как если уложить все доски горизонтально, то получится забор \([3, 2, 1, 1]\), как на картинке.

Слева забор \([4, 2, 1]\), справа этот же забор, уложенный горизонтально

Помогите Ане и выясните является ли ее забор симметричным.

Входные данные

Каждый тест состоит из нескольких наборов входных данных. В первой строке входных данных содержится одно целое число \(t\) (\(1 \le t \le 10^4\)) — количество наборов входных данных. Далее следует описание наборов входных данных.

В первой строке каждого набора входных данных содержится единственное целое число \(n\) (\(1 \le n \le 2 \cdot 10^5\)) — длина забора.

Во второй строке набора содержатся \(n\) натуральных чисел \(a_1 \ge a_2 \ge a_3 \ge \dots \ge a_n\) (\(1 \le a_i \le 10^9\)) — высоты досок.

Cумма значений \(n\) по всем наборам входных данных не превосходит \(2 \cdot 10^5\).

Выходные данные

Для каждого набора входных данных выведите «YES», если забор симметричный, в противном случае выведите «NO».

Вы можете выводить каждую букву в любом регистре (строчную или заглавную). Например, строки «yEs», «yes», «Yes» и «YES» будут приняты как положительный ответ.

Примечание

В первом и втором наборах входных данных примера забор является симметричным.

В третьем наборе входных данных примера забор не является симметричным. Если уложить доски горизонтально, то получится забор \([3, 2, 1, 1]\).

В четвертом наборе входных данных примера забор не является симметричным. Если уложить доски горизонтально, то получится забор \([1, 1]\).

В пятом и шестом наборах входных данных примера забор является симметричным.

В седьмом наборе входных данных примера забор не является симметричным. Если уложить доски горизонтально, то получится забор \([2, 1, 1, 1, 1, 1]\).

D. Шарики мороженого

Бинарный поиск Конструктив Комбинаторика математика *1300

Тёма решил увлечься приготовлением мороженого. Он достаточно преуспел в этом деле и научился хорошо делать мороженое в рожке ровно из двух шариков.

До увлечения мороженым Тёма увлекался математикой. Поэтому он заинтересовался, какое минимальное количество шариков ему нужно иметь, чтобы из них можно было приготовить ровно \(n\) различных видов мороженого.

Шарики мороженого бывают разных вкусов: \(1, 2, 3, \dots\). Тёма может приготовить мороженое из двух шариков любого вкуса (возможно, одинакового).

Два мороженых считаются различными, если множества вкусов их шариков отличаются. Например \(\{1, 2\} = \{2, 1\}\), но \(\{1, 1\} \neq \{1, 2\}\).

Например, имея следующие шарики мороженого: \(\{1, 1, 2\}\), можно приготовить всего два вида мороженого: \(\{1, 1\}\) и \(\{1, 2\}\).

Обратите внимание, что Теме не нужно делать все стаканчики мороженого одновременно. Это означает, что он делает стаканчики мороженого независимо друг от друга. Также, чтобы сделать следующий стаканчик \(\{x, x\}\) для некоторого \(x\), Теме нужно иметь как минимум \(2\) шарика типа \(x\).

Помогите Тёме ответить на этот вопрос. Можно показать, что ответ всегда существует.

Входные данные

Каждый тест состоит из нескольких наборов входных данных. В первой строке входных содержится одно целое число \(t\) (\(1 \le t \le 10^4\)) — количество наборов входных данных. Далее следует описание наборов входных данных.

В первой строке каждого набора входных данных содержится единственное целое число \(n\) (\(1 \le n \le 10^{18}\)) — количество видов мороженого, которое хочет получить Тёма.

Выходные данные

Для каждого набора входных данных выведите единственное число — минимальное количество шариков, которое необходимо купить Тёме.

Примечание

В первом примере достаточно иметь следующие типы шариков: \(\{1, 1\}\). Обратите внимание, что множество \(\{1\}\) недостаточно, так как нам нужно как минимум \(2\) шарика типа \(1\), чтобы сделать такой стаканчик \(\{1, 1\}\).

Во втором примере невозможно сделать это с \(2\) шариками, но это можно сделать с помощью следующих шариков: \(\{1, 2, 3\}\).

В третьем примере оптимальным ответом является \(\{1, 2, 3, 4\}\), поэтому мы можем получить следующие стаканчики мороженого: \(\{1, 2\}\), \(\{1, 3\}\), \(\{1, 4\}\), \(\{2, 3\}\), \(\{2, 4\}\), \(\{3, 4\}\).

F. Волшебство спасёт мир

Бинарный поиск Перебор дп *1800 битмаски

На границе миров открылся портал тёмных сил, и теперь всему миру грозит страшная угроза. Чтобы закрыть портал и спасти мир, нужно сперва победить \(n\) чудовищ, что последовательно вылезают из портала.

Справиться с этим может только волшебница Вика. Она владеет двумя магическими силами — магией воды и магией огня. За секунду Вика может сгенерировать \(w\) единиц водяной маны и \(f\) единиц огненной маны. Мана понадобится ей для создания заклинаний. Изначально у Вики \(0\) единиц водяной маны и \(0\) единиц огненной маны.

Каждое из \(n\) чудовищ, что вылезают из портала, имеет свою силу, выраженную натуральным числом. Чтобы победить \(i\)-е чудовище силы \(s_i\), нужно применить заклинание воды или заклинание огня не меньшей силы. Иначе говоря, Вика может потратить не менее единиц \(s_i\) водяной маны на заклинание воды, либо же не менее единиц \(s_i\) огненной маны на заклинание огня.

Вика умеет создавать и применять заклинания мгновенно. Вика может применять любое количество заклинаний каждую секунду, пока у неё хватает на это маны.

Волшебница хочет спасти мир как можно быстрее, подскажите, сколько времени ей на это понадобится.

Входные данные

Каждый тест состоит из нескольких наборов входных данных. В первой строке входных содержится одно целое число \(t\) (\(1 \le t \le 100\)) — количество наборов входных данных. Далее следует описание наборов входных данных.

В первой строке каждого набора входных данных содержатся два целых числа \(w\), \(f\) (\(1 \le w, f \le 10^9\)) — количество водяной и огненной маны, которое может сгенерировать Вика за секунду.

Во второй строке набора содержится единственное целое число \(n\) (\(1 \le n \le 100\)) — количество чудовищ.

В третьей строке набора содержится \(n\) натуральных чисел \(s_1, s_2, s_3, \dots, s_n\) (\(1 \le s_i \le 10^4\)) — силы чудовищ.

Cумма значений \(n\) по всем наборам входных данных не превосходит \(100\).

Выходные данные

Для каждого набора входных данных выведите единственное целое число — минимальное время в секундах, за которое Вика сможет победить всех чудовищ.

Примечание

В первом наборе входных данных Вика может после первой секунды потратить \(2\) единицы огненной маны, чтобы убить первое чудовище. После этого у неё останется \(2\) единицы водяной маны и \(1\) единица огненной. После третьей секунды в её распоряжении будет \(6\) единиц водяной маны и \(7\) огненной маны. Этого хватит, чтобы сразу убить второе и третьей чудовище.

G. Великий Уравнитель

Бинарный поиск Структуры данных математика *2000 сортировки

Тёма приобрел на радиорынке старый прибор с маленьким экраном и потёртой надписью «Великий Уравнитель» на боковой стенке.

Продавец сказал, что прибору на вход необходимо подать массив целых чисел \(a\), после чего «Великий Уравнитель» будет работать следующим образом:

  1. Отсортировать текущий массив по неубыванию и выкинуть повторяющиеся элементы, оставляя только одно вхождение каждого элемента.
  2. Если текущая длина массива равна \(1\), прибор заканчивает работу и выводит на экран единственное число массива — результат работы прибора.
  3. Прибавить к текущему массиву арифметическую прогрессию {\(n,\ n - 1,\ n - 2,\ \ldots,\ 1\)}, где \(n\) — длина текущего массива. Иными словами, к \(i\)-у элементу массива, при нумерации с нуля, прибавится \(n - i\).
  4. Перейти к первому шагу.

Чтобы протестировать работу прибора, Тёма придумал некоторый массив целых чисел \(a\), после чего захотел проделать \(q\) операций с массивом \(a\) следующего вида:

  1. Присвоить элементу \(a_i\) (\(1 \le i \le n\)) значение \(x\) (\(1 \le x \le 10^9\)).
  2. Подать на вход прибору массив \(a\) и узнать результат работы прибора, при этом во время работы прибора, массив \(a\) не изменяется.

Помогите Тёме узнать результат работы прибора после каждого запроса изменения.

Входные данные

В первой строке входных данных содержится одно целое число \(t\) (\(1 \le t \le 10^4\)) — количество наборов входных данных в тесте.

Далее следуют описания наборов.

В первой строке набора содержится единственное число \(n\) (\(1 \le n \le 2 \cdot 10^5\)) — размер массива \(a\), который изначально придумал Тёма.

Во второй строке набора содержится \(n\) чисел \(a_1, a_2, a_3, \ldots, a_n\) (\(1 \le a_i \le 10^9\)) — элементы массива \(a\).

В третьей строке набора содержится единственное число \(q\) (\(1 \le q \le 2 \cdot 10^5\)) — количество запросов.

В каждой из следующих \(q\) строк набора содержится два целых числа \(i\) (\(1 \le i \le n\)) и \(x\) (\(1 \le x \le 10^9\)) — описания запросов.

Гарантируется, что сумма значений \(n\) и сумма значений \(q\) по всем наборам входных данных не превосходят \(2 \cdot 10^5\).

Выходные данные

Для каждого набора входных данных выведите \(q\) целых чисел — результат работы прибора после каждого запроса изменения.

Примечание

Давайте рассмотрим первый пример входных данных.

Сначала массив чисел, подаваемый на вход прибору будет равен \([6, 4, 8]\). Он будет меняться следующим образом: \(\)[6, 4, 8] \rightarrow [4, 6, 8] \rightarrow [7, 8, 9] \rightarrow [10, 10, 10] \rightarrow [10]\(\)

Затем массив чисел, подаваемый на вход прибору будет равен \([6, 10, 8]\). Он будет меняться следующим образом: \(\)[6, 10, 8] \rightarrow [6, 8, 10] \rightarrow [9, 10, 11] \rightarrow [12, 12, 12] \rightarrow [12]\(\)

Последний массив чисел, подаваемый на вход прибору будет равен \([6, 10, 1]\). Он будет меняться следующим образом: \(\)[6, 10, 1] \rightarrow [1, 6, 10] \rightarrow [4, 8, 11] \rightarrow [7, 10, 12] \rightarrow [10, 12, 13] \rightarrow [13, 14, 14] \rightarrow [13, 14] \rightarrow [15, 15] \rightarrow [15]\(\)

F. Freak Joker Process

Бинарный поиск Структуры данных сортировки *3100

After the success of the basketball teams formed and trained by Pak Chanek last year (Basketball Together), Pak Chanek wants to measure the performance of each player that is considered as a superstar.

There are \(N\) superstar players that have been trained by Pak Chanek. At the end of the season, some calculations will be made on the performance of the \(N\) players using an international method. Each player has two values \(A_i\) and \(B_i\) where each represents the offensive and defensive value of that player.

Define \(\text{RankA}(i)\) as the offensive ranking of the \(i\)-th player, whose value is \(c+1\) with \(c\) here representing the number of \(j\) (\(1 \leq j \leq N\)) such that \(A_j>A_i\). Define \(\text{RankB}(i)\) as the defensive ranking of the \(i\)-th player, whose value is \(c+1\) with \(c\) here representing the number of \(j\) (\(1 \leq j \leq N\)) such that \(B_j>B_i\).

Define \(\text{RankOverall}(i)\) as the overall ranking of the \(i\)-th player, whose value is \(c+1\) with \(c\) here representing the number of \(j\) (\(1 \leq j \leq N\)) such that \(\text{RankA}(j)+\text{RankB}(j)<\text{RankA}(i)+\text{RankB}(i)\).

During the next \(Q\) days, exactly one event will happen on each day. Each event is one of the three following possibilities:

  • 1 k c – If \(c\) is +, then \(A_k\) increases by \(1\). If \(c\) is -, then \(A_k\) decreases by \(1\). (\(1\leq k\leq N\); \(c\) is + or -)
  • 2 k c – If \(c\) is +, then \(B_k\) increases by \(1\). If \(c\) is -, then \(B_k\) decreases by \(1\). (\(1\leq k\leq N\); \(c\) is + or -)
  • 3 k – Pak Chanek wants to know the value of \(\text{RankOverall}(k)\) at that moment. (\(1\leq k\leq N\))
Input

The first line contains a single integer \(N\) (\(1\leq N\leq10^5\)) — the number of superstar players.

The second line contains \(N\) integers \(A_1, A_2, A_3 \ldots, A_N\) (\(1 \leq A_i \leq 10^5\)) — the offensive value of each player.

The third line contains \(N\) integers \(B_1, B_2, B_3 \ldots, B_N\) (\(1 \leq B_i \leq 10^5\)) — the defensive value of each player.

The fourth line contains a single integer \(Q\) (\(1\leq Q\leq10^5\)) — the number of events.

The \(j\)-th of the next \(Q\) lines contains the \(j\)-th event as described. At any moment, each value of \(A_i\) and \(B_i\) is always between \(1\) and \(10^5\) inclusive. There is at least one event of type \(3\).

Output

For each event of type \(3\), output a line containing an integer representing the value of \(\text{RankOverall}(k)\) at that moment.

Note

At the \(8\)-th event, \(A=[3,2,1,3,2]\) and \(B=[3,6,1,4,1]\). It can be obtained that the values of \(\text{RankA}\) and \(\text{RankB}\) for each player are as follows:

  • \(\text{RankA}(1)=1\), \(\text{RankB}(1)=3\)
  • \(\text{RankA}(2)=3\), \(\text{RankB}(2)=1\)
  • \(\text{RankA}(3)=5\), \(\text{RankB}(3)=4\)
  • \(\text{RankA}(4)=1\), \(\text{RankB}(4)=2\)
  • \(\text{RankA}(5)=3\), \(\text{RankB}(5)=4\)

So it can be obtained that \(\text{RankOverall}(1)=2\).

G. Grouped Carriages

Бинарный поиск Потоки Структуры данных *2100 дп жадные алгоритмы

Pak Chanek observes that the carriages of a train is always full on morning departure hours and afternoon departure hours. Therefore, the balance between carriages is needed so that it is not too crowded in only a few carriages.

A train contains \(N\) carriages that are numbered from \(1\) to \(N\) from left to right. Carriage \(i\) initially contains \(A_i\) passengers. All carriages are connected by carriage doors, namely for each \(i\) (\(1\leq i\leq N-1\)), carriage \(i\) and carriage \(i+1\) are connected by a two-way door.

Each passenger can move between carriages, but train regulation regulates that for each \(i\), a passenger that starts from carriage \(i\) cannot go through more than \(D_i\) doors.

Define \(Z\) as the most number of passengers in one same carriage after moving. Pak Chanek asks, what is the minimum possible value of \(Z\)?

Input

The first line contains a single integer \(N\) (\(1 \leq N \leq 2\cdot10^5\)) — the number of carriages.

The second line contains \(N\) integers \(A_1, A_2, A_3, \ldots, A_N\) (\(0 \leq A_i \leq 10^9\)) — the initial number of passengers in each carriage.

The third line contains \(N\) integers \(D_1, D_2, D_3, \ldots, D_N\) (\(0 \leq D_i \leq N-1\)) — the maximum limit of the number of doors for each starting carriage.

Output

An integer representing the minimum possible value of \(Z\).

Note

One strategy that is optimal is as follows:

  • \(5\) people in carriage \(1\) move to carriage \(4\) (going through \(3\) doors).
  • \(3\) people in carriage \(5\) move to carriage \(3\) (going through \(2\) doors).
  • \(2\) people in carriage \(6\) move to carriage \(5\) (going through \(1\) door).
  • \(1\) person in carriage \(6\) moves to carriage \(7\) (going through \(1\) door).

The number of passengers in each carriage becomes \([2,4,5,5,4,5,4]\).

K. Keen Tree Calculation

Бинарный поиск Деревья Структуры данных реализация геометрия дп графы *2500

There is a tree of \(N\) vertices and \(N-1\) edges. The \(i\)-th edge connects vertices \(U_i\) and \(V_i\) and has a length of \(W_i\).

Chaneka, the owner of the tree, asks you \(Q\) times. For the \(j\)-th question, the following is the question format:

  • \(X_j\) \(K_j\) – If each edge that contains vertex \(X_j\) has its length multiplied by \(K_j\), what is the diameter of the tree?

Notes:

  • Each of Chaneka's question is independent, which means the changes in edge length do not influence the next questions.
  • The diameter of a tree is the maximum possible distance between two different vertices in the tree.
Input

The first line contains a single integer \(N\) (\(2\leq N\leq10^5\)) — the number of vertices in the tree.

The \(i\)-th of the next \(N-1\) lines contains three integers \(U_i\), \(V_i\), and \(W_i\) (\(1 \leq U_i,V_i \leq N\); \(1\leq W_i\leq10^9\)) — an edge that connects vertices \(U_i\) and \(V_i\) with a length of \(W_i\). The edges form a tree.

The \((N+1)\)-th line contains a single integer \(Q\) (\(1\leq Q\leq10^5\)) — the number of questions.

The \(j\)-th of the next \(Q\) lines contains two integers \(X_j\) and \(K_j\) as described (\(1 \leq X_j \leq N\); \(1 \leq K_j \leq 10^9\)).

Output

Output \(Q\) lines with an integer in each line. The integer in the \(j\)-th line represents the diameter of the tree on the \(j\)-th question.

Note

In the first example, the following is the tree without any changes.

The following is the tree on the \(1\)-st question.

The maximum distance is between vertices \(6\) and \(7\), which is \(6+6+6=18\), so the diameter is \(18\).

The following is the tree on the \(2\)-nd question.

The maximum distance is between vertices \(2\) and \(6\), which is \(3+2+6=11\), so the diameter is \(11\).

L. Lihmuf Balling

Бинарный поиск Перебор математика *2400

After working at a factory (Lihmuf Sorting), Lihmuf wants to play a game with his good friend, Pak Chanek. There are \(N\) boxes numbered from \(1\) to \(N\). The \(i\)-th box contains \(i\) balls. Pak Chanek and Lihmuf will play a game using those boxes.

There will be \(N\) turns numbered from \(1\) to \(N\). On each turn, Pak Chanek chooses one box and takes all balls from that box, then Lihmuf does the same thing for one box he chooses (it is possible that the two chosen boxes are the same).

Given an integer \(M\). Before the game begins, Lihmuf must choose an integer \(K\) satisfying \(1 \leq K \leq M\). It is known that on the \(j\)-th turn, Pak Chanek will choose the \(j\)-th box, while Lihmuf will choose the \(y\)-th box, with \(y=((j \times K - 1) \bmod N) + 1\). Help Lihmuf choose the correct value of \(K\) so that he will get as many balls as possible! If there are more than one possible values of \(K\) that result in the maximum total balls, find the minimum such value of \(K\).

Keep in mind that each box can be chosen more than once, but after a box is chosen for the first time, the box becomes empty.

Input

The only line contains two integers \(N\) and \(M\) (\(1 \leq N \leq 10^9\); \(1 \leq M \leq 2000\)) — the number of boxes and the maximum limit for the value of \(K\).

Output

An integer representing the value of \(K\) that will make Lihmuf get as many balls as possible. If there are more than one possible value of \(K\) that result in the maximum total balls, find the minimum such value of \(K\).

Note

In the first example, if Lihmuf chooses \(K=1\), the game will go as follows:

  1. Pak Chanek chooses the \(1\)-st box and gets \(1\) ball, then Lihmuf chooses the \(1\)-st box and gets \(0\) balls.
  2. Pak Chanek chooses the \(2\)-nd box and gets \(2\) balls, then Lihmuf chooses the \(2\)-nd box and gets \(0\) balls.
  3. Pak Chanek chooses the \(3\)-rd box and gets \(3\) balls, then Lihmuf chooses the \(3\)-rd box and gets \(0\) balls.

In total, Lihmuf gets \(0+0+0=0\) balls.

The maximum total balls that can be earned by Lihmuf is \(0\) because he can only choose \(K=1\). Therefore, \(K=1\) is the minimum possible value of \(K\) that results in the maximum total balls.

In the second example, if Lihmuf chooses \(K=3\), the game will go as follows:

  1. Pak Chanek chooses the \(1\)-st box and gets \(1\) ball, then Lihmuf chooses the \(3\)-rd box and gets \(3\) balls.
  2. Pak Chanek chooses the \(2\)-nd box and gets \(2\) balls, then Lihmuf chooses the \(1\)-st box and gets \(0\) balls.
  3. Pak Chanek chooses the \(3\)-rd box and gets \(0\) balls, then Lihmuf chooses the \(4\)-th box and gets \(4\) balls.
  4. Pak Chanek chooses the \(4\)-th box and gets \(0\) balls, then Lihmuf chooses the \(2\)-nd box and gets \(0\) balls.
  5. Pak Chanek chooses the \(5\)-th box and gets \(5\) balls, then Lihmuf chooses the \(5\)-th box and gets \(0\) balls.

In total, Lihmuf gets \(3+0+4+0+0=7\) balls.

It can be obtained that \(7\) is the maximum total balls that can be earned by Lihmuf. The possible values of \(K\) that result in \(7\) total balls are \(3\) and \(4\). Therefore, \(K=3\) is the minimum possible value of \(K\) that results in the maximum total balls.

C. Разноцветная таблица

Бинарный поиск Структуры данных математика реализация дп *1300

Вам даны два целых числа \(n\) и \(k\). Также вам дан массив целых чисел \(a_1, a_2, \ldots, a_n\) размера \(n\). Известно, что для всех \(1 \leq i \leq n\) верно, что \(1 \leq a_i \leq k\).

Определим двумерный массив \(b\) размера \(n \times n\) так: \(b_{i, j} = \min(a_i, a_j)\). Представим массив \(b\) как квадрат, где верхняя левая клетка — это \(b_{1, 1}\), строки нумеруются сверху вниз от \(1\) до \(n\), столбцы — слева направо от \(1\) до \(n\). Назовём цветом клетки число, которое в ней записано (для клетки с координатами \((i, j)\) это \(b_{i, j}\)).

Для каждого цвета от \(1\) до \(k\) найдём минимальный прямоугольник в массиве \(b\), содержащий все клетки этого цвета. Выведите сумму ширины и высоты этого прямоугольника.

Входные данные

Первая строка содержит одно целое число \(t\) (\(1 \leq t \leq 10^4\)) — количество наборов входных данных. Далее следует описание наборов входных данных.

Первая строка каждого набора входных данных содержит два целых числа \(n\) и \(k\) (\(1 \leq n, k \leq 10^5\)) — размер массива \(a\), а также количество цветов.

Вторая строка каждого набора входных данных содержит \(n\) целых чисел \(a_1, a_2, \ldots, a_n\) (\(1 \leq a_i \leq k\)) — массив \(a\).

Гарантируется, что суммы значений \(n\) и \(k\) по всем наборам входных данных не превосходят \(10^5\).

Выходные данные

На каждый набор входных данных выведите \(k\) чисел: сумму ширины и высоты минимального прямоугольника, содержащего все клетки одного цвета, для цветов от \(1\) до \(k\).

Примечание

В первом наборе входных данных весь массив \(b\) состоит из цвета \(1\), поэтому минимальный прямоугольник для цвета \(1\) имеет размер \(2 \times 2\), сумма его сторон это \(4\).

Во втором наборе входных данных массив \(b\) выглядит так:

11
12

Одна из угловых клеток имеет цвет \(2\), три остальные клетки имеют цвет \(1\). Поэтому для цвета \(1\) минимальный прямоугольник имеет размер \(2 \times 2\), а для цвета \(2\)\(1 \times 1\).

В последнем наборе входных данных \(b\) выглядит так:

11111
12221
12321
12221
11111

F. Ленивые числа

Бинарный поиск математика *2900

Вам даны натуральные числа \(n\) и \(k\). Для каждого числа от \(1\) до \(n\) выпишем его запись в системе счисления с основанием \(k\) (без ведущих нулей), а затем отсортируем получившийся массив в лексикографическом порядке как строки. В отсортированном массиве пронумеруем элементы от \(1\) до \(n\) (то есть индексация начинается с \(1\)). Найдите количество чисел \(i\) таких, что запись числа \(i\) оказалась на \(i\)-й позиции в отсортированном массиве записей.

Примеры записей: \(1\) в любой системе счисления равно \(1\), \(7\) при \(k = 3\) будет записано как \(21\), \(81\) при \(k = 9\) будет записано как \(100\).

Входные данные

Первая строка содержит одно целое число \(t\) (\(1 \leq t \leq 10^3\)) — количество наборов входных данных. Далее следует описание наборов входных данных.

Единственная строка каждого набора входных данных содержит целые числа \(n\) и \(k\) (\(1 \leq n \leq 10^{18}\), \(2 \leq k \leq 10^{18}\)).

Выходные данные

На каждый набор входных данных выведите одно целое число — количество чисел \(1 \leq i \leq n\) таких, что запись числа \(i\) в системе счисления с основанием \(k\) оказалась на \(i\)-й позиции после сортировки

Примечание

В первом наборе входных данных для чисел \(1\) и \(2\) их записи на \(1\) и \(2\) будут на позициях соответственно.

Во втором наборе входных данных отсортированный массив равен \([1_2 = 1, 10_2 = 2, 100_2 = 4, 11_2 = 3]\), на нужных позициях только записи чисел \(1\) и \(2\).

В третьем наборе входных данных отсортированный массив равен \([1_4 = 1, 10_4 = 4, 11_4 = 5, 12_4 = 6, 2_4 = 2, 3_4 = 3]\), на своей позиции только число \(1\).

E. Фанат структур данных

Бинарный поиск Структуры данных дп *1500 битмаски

Вам дан массив целых чисел \(a_1, a_2, \ldots, a_n\), а также бинарная строка\(^{\dagger}\) \(s\), состоящая из \(n\) символов

Августин — большой фанат структур данных. Поэтому он попросил вас реализовать структуру данных, способную ответить на \(q\) запросов. Запросы бывают двух типов:

  • «1 \(l\) \(r\)» (\(1\le l \le r \le n\)) — для всех \(l \le i \le r\) заменить символ \(s_i\) на противоположный. То есть, заменить все \(\texttt{0}\) на \(\texttt{1}\), а все \(\texttt{1}\) на \(\texttt{0}\).
  • «2 \(g\)» (\(g \in \{0, 1\}\)) — вычислить значение побитового XORа чисел \(a_i\) по всем индексам \(i\) таким, что \(s_i = g\). Обратите внимание, что \(\operatorname{XOR}\) от пустого набора чисел считается равным \(0\).

Пожалуйста, помогите Августину ответить на все запросы!

Например, если \(n = 4\), \(a = [1, 2, 3, 6]\), \(s = \texttt{1001}\), рассмотрим серию запросов:

  1. «2 \(0\)» — нас интересуют индексы \(i\), для которых \(s_i = \tt{0}\), так как \(s = \tt{1001}\) — это индексы \(2\) и \(3\), а значит, ответом на запрос будет \(a_2 \oplus a_3 = 2 \oplus 3 = 1\).
  2. «1 \(1\) \(3\)» — нужно заменить символы \(s_1, s_2, s_3\) на противоположные, таким образом до запроса \(s = \tt{1001}\), а после запроса: \(s = \tt{0111}\).
  3. «2 \(1\)» — нас интересуют индексы \(i\), для которых \(s_i = \tt{1}\), так как \(s = \tt{0111}\) — это индексы \(2\), \(3\) и \(4\), а значит, ответом на запрос будет \(a_2 \oplus a_3 \oplus a_4 = 2 \oplus 3 \oplus 6 = 7\).
  4. «1 \(2\) \(4\)» — \(s = \tt{0111}\) \(\to\) \(s = \tt{0000}\).
  5. «2 \(1\)» — \(s = \tt{0000}\), индексов с \(s_i = \tt{1}\) нет, а значит, так как \(\operatorname{XOR}\) от пустого набора чисел считается равным \(0\), ответ на этот запрос: \(0\).

\(^{\dagger}\) Бинарная строка — это строка, содержащая только символы \(\texttt{0}\) или \(\texttt{1}\).

Входные данные

Первая строка входных данных содержит целое число \(t\) (\(1 \le t \le 10^4\)) — количество наборов входных данных в тесте.

Далее следуют описания наборов входных данных.

Первая строка описания каждого набора входных данных содержит целое число \(n\) (\(1 \le n \le 10^5\)) — длина массива.

Вторая строка набора входных данных содержит \(n\) целых чисел \(a_1, a_2, \dots, a_n\) (\(1 \le a_i \le 10^9\)).

Третья строка набора входных данных содержит бинарную строку \(s\) длины \(n\).

Четвёртая строка набора входных данных содержит целое число \(q\) (\(1 \le q \le 10^5\)) — количество запросов.

Последующие \(q\) строк набора входных данных описывают запросы. Первое число каждого запроса, \(tp \in \{1, 2\}\) характеризует тип запроса: если \(tp = 1\), далее следует \(2\) целых числа \(1 \le l \le r \le n\), означающее, что нужно выполнить операцию типа \(1\) с параметрами \(l, r\), если \(tp = 2\), далее следует целое число \(g \in \{0, 1\}\), означающее, что нужно выполнить операцию типа \(2\) с параметром \(g\).

Гарантируется, что сумма \(n\) по всем наборам не превышает \(10^5\), а также сумма \(q\) по всем наборам не превышает \(10^5\).

Выходные данные

Для каждого набора входных данных, и для каждого запроса типа \(2\) в нём, выведите ответ на соответствующий запрос.

Примечание

Разберём первый набор входных данных примера:

  1. «2 \(0\)» — нас интересуют индексы \(i\), для которых \(s_i = \tt{0}\), так как \(s = \tt{01000}\) — это индексы \(1, 3, 4\) и \(5\), а значит, ответом на запрос будет \(a_1 \oplus a_3 \oplus a_4 \oplus a_5 = 1 \oplus 3 \oplus 4 \oplus 5 = 3\).
  2. «2 \(1\)» — нас интересуют индексы \(i\), для которых \(s_i = \tt{1}\), так как \(s = \tt{01000}\) — единственный подходящий индекс: \(2\), а значит, ответом на запрос будет \(a_2 = 2\).
  3. «1 \(2\) \(4\)» — нужно заменить символы \(s_2, s_3, s_4\) на противоположные, таким образом до запроса \(s = \tt{01000}\), а после запроса: \(s = \tt{00110}\).
  4. «2 \(0\)» — нас интересуют индексы \(i\), для которых \(s_i = \tt{0}\), так как \(s = \tt{00110}\) — это индексы \(1, 2\) и \(5\), а значит, ответом на запрос будет \(a_1 \oplus a_2 \oplus a_5 = 1 \oplus 2 \oplus 5 = 6\).
  5. «2 \(1\)» — нас интересуют индексы \(i\) для которых \(s_i = \tt{1}\), так как \(s = \tt{00110}\) — это индексы \(3\) и \(4\), а значит ответом на запрос будет \(a_3 \oplus a_4 = 3 \oplus 4 = 7\).
  6. «1 \(1\) \(3\)» — \(s = \tt{00110}\) \(\to\) \(s = \tt{11010}\).
  7. «2 \(1\)» — нас интересуют индексы \(i\), для которых \(s_i = \tt{1}\), так как \(s = \tt{11010}\) — это индексы \(1, 2\) и \(4\), а значит, ответом на запрос будет \(a_1 \oplus a_2 \oplus a_4 = 1 \oplus 2 \oplus 4 = 7\).

E. Построение аквариума

Бинарный поиск *1100 сортировки

Вы любите рыб, поэтому решили построить аквариум. У вас есть кусок коралла, состоящий из \(n\) колонн, \(i\)-я из которых имеет высоту \(a_i\) единиц. Затем вы построите вокруг коралла аквариум следующим образом:

  • Выберите целое число \(h \geq 1\) — высоту аквариума. Постройте стены высотой \(h\) с обеих сторон аквариума.
  • Затем заполните аквариум водой так, чтобы высота каждой колонны была равна \(h\), если только коралл не выше \(h\); в этом случае в эту колонну вода добавляться не должна.
Например, с \(a=[3,1,2,4,6,2,5]\) и высотой \(h=4\), вы потратите в общей сложности \(w=8\) единиц воды, как показано на рисунке.
Вы можете использовать не более \(x\) единиц воды для заполнения аквариума, но вы хотите построить наибольший возможный аквариум. Какое наибольшее значение \(h\) вы можете выбрать?
Входные данные

Первая строка содержит одно целое число \(t\) (\(1 \leq t \leq 10^4\)) — количество наборов входных данных.

Первая строка каждого набора содержит два положительных целых числа \(n\) и \(x\) (\(1 \leq n \leq 2 \cdot 10^5\); \(1 \leq x \leq 10^9\)) — количество колонн коралла и максимальное количество воды, которое вы можете использовать.

Вторая строка каждого набора содержит \(n\) целых чисел, разделенных пробелом, \(a_i\) (\(1 \leq a_i \leq 10^9\)) — высоты колонн коралла.

Сумма \(n\) по всем наборам входных данных не превышает \(2 \cdot 10^5\).

Выходные данные

Для каждого набора входных данных выведите одно положительное целое число \(h\) (\(h \geq 1\)) — максимальную высоту аквариума, для заполнения которого вам потребуется не более \(x\) единиц воды.

Можно доказать, что при таких ограничениях всегда существует такое значение \(h\).

Примечание

Первый пример изображен в условии. С \(h=4\) нам потребуется \(8\) единиц воды, но если увеличить \(h\) до \(5\), нам потребуется \(13\) единиц воды, что больше, чем \(x=9\). Поэтому оптимальное значение \(h=4\).

Во втором примере случае мы можем выбрать \(h=4\) и добавить \(3\) единицы к каждой колонне, используя в общей сложности \(9\) единиц воды. Можно показать, что это оптимально.

В третьем примере случае мы можем выбрать \(h=2\) и использовать всю нашу воду, поэтому это оптимально.

F. Деревья с деньгами

Бинарный поиск математика жадные алгоритмы *1300

Лука стоит перед рядом из \(n\) деревьев. У \(i\)-го дерева есть \(a_i\) фруктов и высота \(h_i\).

Он хочет выбрать непрерывный подмассив массива \([h_l, h_{l+1}, \dots, h_r]\), такой что для каждого \(i\) (\(l \leq i < r\)), \(h_i\) делится\(^{\dagger}\) на \(h_{i+1}\). Он соберет все фрукты с каждого дерева в подмассиве (то есть, он соберет \(a_l + a_{l+1} + \dots + a_r\) фруктов). Однако, если он соберет больше \(k\) фруктов в общей сложности, его поймают.

Какова максимальная длина подмассива, который Лука может выбрать, чтобы не попасться?

\(^{\dagger}\) \(x\) делится на \(y\), если отношение \(\frac{x}{y}\) является целым числом.

Входные данные

Первая строка содержит одно целое число \(t\) (\(1 \leq t \leq 1000\)) — количество наборов входных данных.

Первая строка каждого набора содержит два целых числа, разделенных пробелом: \(n\) и \(k\) (\(1 \leq n \leq 2 \cdot 10^5\); \(1 \leq k \leq 10^9\)) — количество деревьев и максимальное количество фруктов, которое Лука может собрать, не попавшись.

Вторая строка каждого набора содержит \(n\) целых чисел, разделенных пробелом: \(a_i\) (\(1 \leq a_i \leq 10^4\)) — количество фруктов в \(i\)-м дереве.

Третья строка каждого набора содержит \(n\) целых чисел, разделенных пробелом: \(h_i\) (\(1 \leq h_i \leq 10^9\)) — высота \(i\)-го дерева.

Сумма \(n\) по всем наборам входных данных не превышает \(2 \cdot 10^5\).

Выходные данные

Для каждого набора входных данных выведите одно целое число, длину максимального непрерывного подмассива, удовлетворяющего условиям, или \(0\), если такого подмассива нет.

Примечание

В первом примере Лука может выбрать подмассив с \(l=1\) и \(r=3\).

Во втором примере Лука может выбрать подмассив с \(l=3\) и \(r=4\).

В третьем примере Лука может выбрать подмассив с \(l=2\) и \(r=2\).

F. Неопределенная рыба-клоун

Бинарный поиск графы *3500

Пак Чанек только что купил пустой аквариум и мечтал заполнить его своими любимыми рыбками — рыбой-клоуном. Рыбы-клоуны нравятся Пак Чанеку тем, что они способны менять свой пол по желанию. Поскольку его аквариум очень большой, Пак Чанек хочет купить ровно \(k\) рыб-клоунов, чтобы заполнить его.

Пак Чанек отправляется в местный рыбный магазин. Магазин предоставляет \(n\) рыб-клоунов, пронумерованных от \(1\) до \(n\), причем рыба-клоун \(i\) имеет размер \(a_i\). Изначально каждая рыба-клоун в магазине не имеет определенного пола, но имеет возможность быть отнесенной к двум возможным полам - женскому или мужскому.

В магазине существует процедура, которой должен следовать Пак Чанек, чтобы купить рыбу-клоуна. Владелица магазина будет последовательно показывать на каждую рыбу-клоуна от \(1\) до \(n\) и про каждую рыбу-клоуна спрашивать у Пака Чанека, покупать ее или нет. При этом Пак Чанек должен ответить, прежде чем хозяйка магазина перейдет к следующей рыбе-клоуну. Если Пак Чанек решает купить рыбу-клоуна, о которой его спрашивают, то он также должен немедленно объявить пол, который будет присвоен этой рыбе-клоуну. При назначении пола для спрашиваемой в данный момент рыбы-клоуна должны выполняться следующие условия:

  • Если Пак Чанек назначает ее самкой, а до этого он уже покупал рыбу-клоуна женского пола, то размер текущей рыбы должен быть ровно на \(1\) больше, чем размер последней самки.
  • Если Пак Чанек считает, что это самец, и он уже покупал самца рыбы-клоуна, то размер этой рыбы должен быть ровно на \(1\) меньше, чем размер последнего самца.

Пак Чанек хочет купить ровно \(k\) рыб-клоунов, таких, что:

  • Имеется по крайней мере одна рыба-клоун женского пола и один рыба-клоун мужского пола.
  • Среди \(k\) рыб-клоунов, которых покупает Пак Чанек, средний размер самки рыбы-клоуна равен среднему размеру самца рыбы-клоуна.

Пусть \(l\) и \(r\) - соответственно минимальный и максимальный индекс рыбы-клоуна, которую покупает Пак Чанек. Каково минимально возможное значение \(r-l\)?

Входные данные

Первая строка содержит два целых числа \(n\) и \(k\) (\(2 \leq k \leq n \leq 2\cdot10^5\)) — количество рыб-клоунов в магазине и количество рыб-клоунов, которых должен купить Пак Чанек.

Вторая строка содержит \(n\) целых чисел \(a_1,a_2,a_3,\ldots,a_n\) (\(1\leq a_i\leq n\)) — размер каждой рыбки-клоуна.

Выходные данные

Выведите минимально возможное значение \(r-l\). Если невозможно купить ровно \(k\) рыб-клоунов и удовлетворить условиям задачи, выведите \(-1\).

Примечание

В первом примере Пак Чанек может сделать следующее:

  1. Не покупать рыбу-клоуна \(1\).
  2. Купить рыбу-клоуна \(2\) и присвоить ей статус самца.
  3. Купить рыбу-клоуна \(3\) и присвоить ей статус самки.
  4. Купить рыбу-клоуна за \(4\) и присвоить ей статус самца.
  5. Купить рыбу-клоуна за \(5\) и присвоить ей статус самца.
  6. Не покупать рыбу-клоуна \(6\).
  7. Купить рыбу-клоуна \(7\) и присвоить ей статус самца.
  8. Купить рыбу-клоуна \(8\) и присвоить ей статус самки.
  9. Не покупать рыбу-клоуна \(9\).

Тогда получаем, что:

  • Средний размер среди \(2\) самок рыб-клоунов, которых покупает Пак Чанек, составляет \(\frac{2+3}{2} = 2.5\).
  • Средний размер среди \(4\) самцов рыбы-клоуна, которых покупает Пак Чанек, составляет \(\frac{4+3+2+1}{4} = 2.5\).
  • \(l=2\), \(r=8\), \(r-l=6\).

Стратегий с ответом лучше не существует.

G. Clubstep

Бинарный поиск Деревья Перебор Структуры данных жадные алгоритмы *3500

Существует чрезвычайно сложная видеоигра, которая является одной из любимых видеоигр Чанеки. Один из самых трудных уровней в игре называется Clubstep. Clubstep состоит из \(n\) частей, пронумерованных от \(1\) до \(n\). Чанека хорошо натренировалась в прохождении уровня, поэтому на данный момент ее уровень знакомства с каждой частью \(i\) составляет \(a_i\).

После этого Чанека может сделать несколько (возможно, ноль) попыток пройти Clubstep. В каждой попытке она погибает на одной из \(n\) частей. Если попытка заканчивается на части \(p\), то это означает, что она успешно проходит только через каждую часть \(k\) для всех \(1 \leq k \leq p-1\) и не достигает ни одной части \(k\) для всех \(p+1 \leq k \leq n\). Попытка, закончившаяся на части \(p\), занимает \(p\) секунд.

Известно, что Чанека улучшает ту часть, на которой она погибает, гораздо больше, чем все остальные. Известно также, что во время попытки Чанека не успевает потренироваться на тех частях, до которых она не дошла. Таким образом, эффект от попытки, которая заканчивается на части \(p\), будет следующим:

  • Значение знакомства Чанеки с частью \(p\) увеличивается на \(2\).
  • Значение знакомства Чанеки с каждой частью \(k\) для всех \(1 \leq k \leq p-1\) увеличивается на \(1\).
Имеется \(q\) вопросов. В \(j\)-м вопросе Вам даются три целых числа \(l_j\), \(r_j\) и \(x_j\). Затем требуется найти минимальное время (в секундах), которое потребуется Чанеке для того, чтобы значение знакомства с каждой частью \(p\) (\(l_j \leq p \leq r_j\)) стало не меньше \(x_j\).

Заметим, что каждый запрос является независимым, поэтому попытка, которую предпринимает Чанека в одном запросе, не влияет на значения знакомства в других запросах.

Входные данные

Первая строка содержит одно целое число \(n\) (\(1 \leq n \leq 3\cdot10^5\)) — количество частей в Clubstep.

Вторая строка содержит \(n\) целых чисел \(a_1,a_2,a_3,\ldots,a_n\) (\(1\leq a_i\leq10^9\)) — значение знакомства Чанеки с каждой частью.

Третья строка содержит одно целое число \(q\) (\(1\leq q\leq3\cdot10^5\)) — количество запросов.

В \(j\)-й из следующих \(q\) строк содержатся три целых числа \(l_j\), \(r_j\) и \(x_j\) (\(1\leq l_j\leq r_j\leq n\); \(1\leq x_j\leq10^9\)) — описание \(j\)-го запроса.

Выходные данные

Выведите \(q\) целых чисел в отдельных строках. Число в \(j\)-й строке равняется минимальнму времени (в секундах), за которое Чанека может сделать так, чтобы значение знакомства для каждой части \(p\) (\(l_j \leq p \leq r_j\)) было не менее \(x_j\).

Примечание

Для ответа на \(1\)-й вопрос можно поступить следующим образом:

  1. Сделать \(1\) попытку, которая заканчивается на части \(1\). Это занимает \(1\) секунду. Значения знакомства становятся \([3, 3, 2, 1, 2]\).
  2. Выполнить \(1\) попытку, которая заканчивается на части \(4\). Это занимает \(4\) секунды. Значения знакомства становятся \([4, 4, 3, 3, 2]\).
  3. Выполнить \(2\) попытки, которые заканчиваются на части \(5\). Это занимает \(10\) секунд. Значения знакомства становятся \([6, 6, 5, 5, 6]\).

Общее время (в секундах) составляет \(1+4+10=15\).

Для ответа на \(2\)-й вопрос можно поступить следующим образом:

  1. Сделать попытку \(1\), которая заканчивается на части \(3\). Это занимает \(3\) секунды. Значения знакомства становятся \([2, 4, 4, 1, 2]\).
  2. Выполнить \(2\) попытки, которые заканчиваются на части \(4\). Это занимает \(8\) секунд. Значения знакомства становятся \([4, 6, 6, 5, 2]\).

Общее время (в секундах) составляет \(3+8=11\).

E. Ива и Пав

Бинарный поиск Структуры данных *1400 жадные алгоритмы битмаски

Ива дала Паву массив \(a\) из \(n\) элементов.

Пусть \(f(l, r) = a_l \ \& \ a_{l+1} \ \& \dots \& \ a_r\) (здесь \(\&\) обозначает побитовое И).

Обратите внимание, что \(f(l, r)\) не определено, если \(l>r\).

Ива также дала Паву \(q\) запросов.

Каждый запрос состоит из 2 чисел, \(k\) и \(l\), и она хочет, чтобы Пав нашел наибольший индекс \(r\) (\(l \le r \le n\)), такой что \(f(l, r) \ge k\).

Пав хочет решить эту задачу быстро, потому что он не хочет расстроить Иву. Он нуждается в вашей помощи.

Входные данные

Первая строка содержит одно целое число \(t\) (\(1 \le t \le 10^4\)) — количество наборов входных данных.

Первая строка каждого набора содержит одно целое число \(n\) (\(1 \le n \le 2 \cdot 10^5\)) — длина массива \(a\).

Вторая строка каждого набора содержит \(n\) целых чисел \(a_1, a_2, \dots, a_n\) (\(1 \le a_i \le 10^9\)) — элементы массива \(a\).

Третья строка каждого набора содержит одно целое число \(q\) (\(1 \le q \le 10^5\)) — количество запросов, которые Ива дала Паву.

Следующие \(q\) строк каждого набора содержат по два числа, \(l\) и \(k\) (\(1 \le l \le n\), \(1 \le k \le 10^9\)) — левая граница для отрезка и целое число \(k\), описанное в условии.

Гарантируется, что сумма \(n\) по всем наборам не превышает \(2 \cdot 10^5\). Также гарантируется, что сумма \(q\) по всем наборам не превышает \(2 \cdot 10^5\).

Выходные данные

Для каждого запроса выведите максимальный индекс \(r\) (\(l \le r \le n\)) такой, что \(a_l \ \& \ a_{l+1} \ \& \dots \& \ a_r \ \ge \ k\).

Если такого \(r\) не существует, выведите \(-1\).

Примечание

В первом наборе примера \(n=5\), и массив \(a = [15, 14, 17, 42, 34]\)

Первый запрос просит найти наибольший индекс \(r\), такой что \(f(1, r) \ge 7\).

\(f(1,1) = 15, \ f(1, 2) = 14, \ f(1,3)=0 \ f(1, 4)=0 \ f(1, 5)=0\), поэтому ответ \(r=2\).

Второй запрос просит найти \(f(2, r) \ge 15\). Поскольку такой \(r\) не существует, ответ \(-1\).

Третий запрос просит найти \(f(4, r) \ge 5\). \(f(4, 4) = 42, \ f(4, 5) = 34\), поэтому ответ \(r=5\).

Во втором наборе примера \(n=5\), и массив \(a= [7, 5, 3, 1, 7]\).

Для первого запроса, \(f(1, r) \ge 7\).

\(f(1, 1)=7, \ f(1, 2)=5, \ f(1, 3) = 1, \ f(1,4) = 1, \ f(1, 5)=1\), поэтому ответ на этот запрос \(1\).

Для второго запроса, \(f(5, r) \ge 7\).

\(f(5, 5) = 7\), поэтому ответ \(5\).

Для третьего запроса, \(f(2, r) \ge 3\).

\(f(2, 2) = 5, \ f(2, 3) = 1, \ f(2, 4) = 1, \ f(2, 5) = 1\), поэтому ответ \(2\).

G. Дерево wxhtzdy ORO

Бинарный поиск Деревья Перебор Структуры данных реализация поиск в глубину и подобное *2300 битмаски

После (наконец-то) прохождения отбора на IOI 2023, wxhtzdy был очень счастлив и решил сделать то, что делают многие люди: попытаться угадать задачи, которые будут на IOI. В процессе этого он случайно создал задачу, которая, по его мнению, была очень крутой.

Дано дерево (связный ациклический граф) с \(n\) вершинами и \(n-1\) ребром. Вершине \(i\) (\(1 \le i \le n\)) соответствует значение \(a_i\). Пусть \(g(u, v)\) - это побитовое ИЛИ значений всех вершин на кратчайшем пути от \(u\) до \(v\). Например, если мы хотим вычислить \(g(3, 4)\) на дереве из первого набора данных примера. На пути от \(3\) до \(4\) находятся вершины \(3\), \(1\), \(4\). Тогда \(g(3, 4) = a_3 \ | \ a_1 \ | \ a_4\) (здесь \(|\) обозначает побитовое ИЛИ).

Также дано \(q\) запросов, и каждый запрос выглядит следующим образом:

Вам даны \(x\) и \(y\). Рассмотрим все вершины \(z\) такие, что \(z\) находится на кратчайшем пути от \(x\) до \(y\) (включительно).

Определим красоту вершины \(z\) как сумму количества ненулевых битов в \(g(x, z)\) и количества ненулевых битов в \(g(y, z)\). Вам нужно найти максимальную красоту среди всех вершин \(z\) на кратчайшем пути от \(x\) до \(y\).

Так как его мозг очень устал после решения output only задачи на SIO (он должен был это сделать, чтобы пройти отбор на IOI), он хочет вашей помощи в этой задаче.

Входные данные

Первая строка ввода содержит одно целое число \(t\) (\(1 \le t \le 10^4\)) — количество наборов входных данных.

Первая строка каждого набора содержит одно целое число \(n\) (\(1 \le n \le 2 \cdot 10^5\)) — количество вершин.

Вторая строка каждого набора содержит \(n\) положительных целых чисел \(a_1, a_2, \dots, a_n\) (\(1 \le a_v \le 10^9\)) — значение каждой вершины, \(i\)-е число в этой строке соответствует вершине \(i\).

Следующие \(n - 1\) строк описывают дерево.

Каждая строка содержит два целых числа \(u\) и \(v\) (\(1 \le u, v \le n, u \ne v\)) указывающие, что вершины \(u\) и \(v\) соединены ребром.

Следующая строка содержит одно целое число \(q\) (\(1 \le q \le 10^5\)) — количество запросов.

Следующие \(q\) строк содержат 2 целых числа \(x, y\) (\(1 \le x, y \le n\)) — вершины \(x\) и \(y\) для каждого запроса.

Гарантируется, что сумма \(n\) по всем наборам не превышает \(2 \cdot 10^5\).

Гарантируется, что сумма \(q\) по всем наборам не превышает \(10^5\).

Выходные данные

Для каждого набора входных данных выведите \(q\) целых чисел, каждое из которых является ответом на соответствующий запрос.

Примечание

На изображении ниже показано дерево из первого набора входных данных второго примера.

Дерево из первого набора входных данных второго примера.

В первом запросе \(x=7\), \(y=5\). Самый короткий путь от \(7\) до \(5\) это \(7-4-2-1-5\).

Давайте вычислим красоту вершины \(7\) на этом пути. У нас есть \(g(7,7)=a_7=10=(1010)_2\) и \(g(5,7)=a_5 \ | \ a_1 \ | \ a_2 \ | \ a_4 \ | \ a_7=10 \ | \ 4 \ | \ 7 \ | \ 4 \ | \ 10=15=(1111)_2\), поэтому ее красота равна \(2 + 4 = 6\).

Теперь давайте вычислим красоту вершины \(4\) на этом пути. У нас есть \(g(7,4)=a_7 \ | \ a_4=10 \ | \ 4=14=(1110)_2\) и \(g(5,4)=a_5 \ | \ a_1 \ | \ a_2 \ | \ a_4=10 \ | \ 4 \ | \ 7 \ | \ 4=15=(1111)_2\), поэтому ее красота равна \(3 + 4 = 7\).

Теперь давайте вычислим красоту вершины \(2\) на этом пути. У нас есть \(g(7,2)=a_7 \ | \ a_4 \ | \ a_2=10 \ | \ 4 \ | \ 7=15=(1111)_2\) и \(g(5,2)=a_5 \ | \ a_1 \ | \ a_2=10 \ | \ 4 \ | \ 7=15=(1111)_2\), поэтому ее красота равна \(4 + 4 = 8\).

Теперь давайте вычислим красоту вершины \(1\) на этом пути. У нас есть \(g(7,1)=a_7 \ | \ a_4 \ | \ a_2 \ | \ a_1=10 \ | \ 4 \ | \ 7 \ | \ 4=15=(1111)_2\) и \(g(5,1)=a_5 \ | \ a_1=10 \ | \ 4=14=(1110)_2\), поэтому ее красота равна \(4 + 3 = 7\).

Наконец, давайте вычислим красоту вершины \(5\) на этом пути. У нас есть \(g(7,5)=a_7 \ | \ a_4 \ | \ a_2 \ | \ a_1 \ | \ a_5=10 \ | \ 4 \ | \ 7 \ | \ 4 \ | \ 10=15=(1111)_2\) и \(g(5,5)=a_5=10=(1010)_2\), поэтому ее красота равна \(4 + 2 = 6\).

Максимальная красота на этом пути у вершины \(2\), и она равна \(8\).

G. Аня и таинственная строка

Бинарный поиск Структуры данных *2000

Ане подарили строку \(s\) длины \(n\), привезённую из Рима. Строка \(s\) состоит из маленьких латинских букв и на первый взгляд не вызывает подозрений. К строке была приложена инструкция.

Начало инструкции.

Палиндромом называется строка, которая читается одинаково как слева направо, так и справа налево. Например, строки «anna», «aboba», «level» являются палиндромами, а строки «gorilla», «banan», «off» — нет.

Подстрокой \([l \ldots r]\) строки \(s\) называется строка \(s_l s_{l+1} \ldots s_{r-1} s_r\). Например, подстрокой \([4 \ldots 6]\) строки «generation» является строка «era».

Строка называется красивой, если она не содержит подстроки длины хотя бы два, являющейся палиндромом. Например, строки «fox», «abcdef» и «yioy» красивые, а строки «xyxx», «yikjkitrb» — нет.

Когда к символу \(s_i\) прибавляют целое положительное число \(x\), он \(x\) раз заменяется на следующий в алфавите, при этом «z» заменяется на «a».

Когда к подстроке \([l, r]\) строки \(s\) прибавляют целое положительное число \(x\), она превращается в строку \(s_1 s_2 \ldots s_{l-1} (s_l + x) (s_{l+1} + x) \ldots (s_{r-1} + x) (s_r + x) s_{r+1} \ldots s_n\). Например, при прибавлении к подстроке \([2, 4]\) строки «abazaba» числа \(6\), получится строка «ahgfaba».

Конец инструкции.

После прочтения инструкции Аня смирилась с тем, что ей предстоит ответить на \(m\) запросов. Запросы бывают двух типов:

  1. Прибавить к подстроке \([l \ldots r]\) строки \(s\) число \(x\).
  2. Сказать, является ли подстрока \([l \ldots r]\) строки \(s\) красивой.
Входные данные

В первой строке дано целое число \(t\) (\(1 \le t \le 10^4\)) — количество наборов входных данных.

Далее следуют описания наборов входных данных.

В первой строке даны целые числа \(n\), \(m\) (\(1 \le n, m \le 2 \cdot 10^5\)) — длина строки \(s\) и количество запросов.

Во второй строке дана строка \(s\) длины \(n\), состоящая из маленьких букв латинского алфавита.

Следующие \(m\) строк содержат запросы:

  • \(1\) \(l\) \(r\) \(x\) (\(1 \le l \le r \le n\), \(1 \le x \le 10^9\)) — описание запроса первого типа;
  • \(2\) \(l\) \(r\) (\(1 \le l \le r \le n\)) — описание запроса второго типа.

Гарантируется, что сумма \(n\) и сумма \(m\) по всем наборам входных данных не превосходят \(2 \cdot 10^5\).

Выходные данные

Для каждого запроса второго типа выведите «YES», если подстрока \([l \ldots r]\) строки \(s\) является красивой, в противном случае выведите «NO».

Вы можете выводить «YES» и «NO» в любом регистре (например, строки «yEs», «yes», «Yes» и «YES» будут распознаны как положительный ответ).

Примечание

В первом наборе входных данных первого теста происходит следующее:

  • tedubcyyxopz: строка edub является красивой;
  • tedubcyyxopz \(\to\) tedwdeaaxopz;
  • tedwdeaaxopz: строка tedwdea не является красивой, так как содержит палиндром edwde;
  • tedwdeaaxopz \(\to\) terkreaaxopz;
  • terkreaaxopz \(\to\) terkreaaarsz;
  • terkreaaarsz \(\to\) terkreaaaasz;
  • terkreaaaasz: строка kreaaaa не является красивой, так как содержит палиндром aaaa;
  • terkreaaaasz: строка asz является красивой.

G1. Танцы (простая версия)

Бинарный поиск *1400 жадные алгоритмы

Это простая версия задачи. Единственное различие состоит в том, что в этой версии \(m = 1\).

Вам даны два массива целых чисел \(a_1, a_2, \ldots, a_n\) и \(b_1, b_2, \ldots, b_n\). До начала применения операций вы можете переупорядочить элементы каждого из массивов как угодно. Дальше за одну операцию вы делаете оба следующих действия, если массивы не пусты:

  • Выбрать любой элемент из массива \(a\) и удалить его (все остальные элементы в том же порядке сдвигаются в один новый массив \(a\)),
  • Выбрать любой элемент из массива \(b\) и удалить его (все остальные элементы в том же порядке сдвигаются в один новый массив \(b\)).

Пусть \(k\) — итоговый размер обоих массивов. Вам нужно найти наименьшее количество операций, чтобы выполнялось \(a_i < b_i\) для всех \(1 \leq i \leq k\).

Эта задача была слишком проста и автор задачи решил ее усложнить. Вам также дано натуральное число \(m\). Теперь вам нужно найти сумму ответов на задачу для \(m\) пар массивов \((c[i], b)\), где \(1 \leq i \leq m\). Массив \(c[i]\) получается из \(a\) следующим образом:

  • \(c[i]_1 = i\),
  • \(c[i]_j = a_j\), для \(2 \leq j \leq n\).
Входные данные

Каждый тест состоит из нескольких наборов входных данных. Первая строка содержит единственное целое число \(t\) (\(1 \leq t \leq 10^4\)) — количество наборов входных данных. Далее следует их описание.

Первая строка каждого набора входных данных содержит два целых числа \(n\) и \(m\) (\(2 \leq n \leq 10^5\), \(m = 1\)) — размер массивов \(a\) и \(b\) и ограничения на значения элемента \(a_1\).

Вторая строка каждого набора входных данных содержит \(n - 1\) целое число \(a_2, \ldots, a_n\) (\(1 \leq a_i \leq 10^9\)).

Третья строка каждого набора входных данных содержит \(n\) целых чисел \(b_1, b_2, \ldots, b_n\) (\(1 \leq b_i \leq 10^9\)).

Гарантируется, что сумма \(n\) по всем наборам входных данных не превосходит \(10^5\).

Выходные данные

Для каждого набора входных данных выведите суммарное количество наименьших операций по всем парам массивов \((c_i, b)\).

Примечание

В первом наборе входных данных для пары массивов \(([1, 1], [3, 2])\) ответ \(0\). Можно не применять операции и не переставлять элементы.

G2. Танцы (сложная версия)

Бинарный поиск жадные алгоритмы сортировки *1900

Это сложная версия задачи. Единственное различие состоит в том, что в этой версии \(m \leq 10^9\).

Вам даны два массива целых чисел \(a_1, a_2, \ldots, a_n\) и \(b_1, b_2, \ldots, b_n\). До начала применения операций вы можете переупорядочить элементы каждого из массивов как угодно. Дальше за одну операцию вы делаете оба следующих действия, если массивы не пусты:

  • Выбрать любой элемент из массива \(a\) и удалить его (все остальные элементы в том же порядке сдвигаются в один новый массив \(a\)),
  • Выбрать любой элемент из массива \(b\) и удалить его (все остальные элементы в том же порядке сдвигаются в один новый массив \(b\)).

Пусть \(k\) — итоговый размер обоих массивов. Вам нужно найти наименьшее количество операций, чтобы выполнялось \(a_i < b_i\) для всех \(1 \leq i \leq k\).

Эта задача была слишком проста и автор задачи решил ее усложнить. Вам также дано натуральное число \(m\). Теперь вам нужно найти сумму ответов на задачу для \(m\) пар массивов \((c[i], b)\), где \(1 \leq i \leq m\). Массив \(c[i]\) получается из \(a\) следующим образом:

  • \(c[i]_1 = i\),
  • \(c[i]_j = a_j\), для \(2 \leq j \leq n\).
Входные данные

Каждый тест состоит из нескольких наборов входных данных. Первая строка содержит единственное целое число \(t\) (\(1 \leq t \leq 10^4\)) — количество наборов входных данных. Далее следует их описание.

Первая строка каждого набора входных данных содержит два целых числа \(n\) и \(m\) (\(2 \leq n \leq 10^5\), \(1 \leq m \leq 10^9\)) — размер массивов \(a\) и \(b\) и ограничения на значения элемента \(a_1\).

Вторая строка каждого набора входных данных содержит \(n - 1\) целое число \(a_2, \ldots, a_n\) (\(1 \leq a_i \leq 10^9\)).

Третья строка каждого набора входных данных содержит \(n\) целых чисел \(b_1, b_2, \ldots, b_n\) (\(1 \leq b_i \leq 10^9\)).

Гарантируется, что сумма \(n\) по всем наборам входных данных не превосходит \(10^5\).

Выходные данные

Для каждого набора входных данных выведите суммарное количество наименьших операций по всем парам массивов \((c_i, b)\).

Примечание

В первом наборе входных данных:

  • Для пары массивов \(([1, 1], [3, 2])\) ответ \(0\). Можно не применять операции и не переставлять элементы.
  • Для пары массивов \(([2, 1], [3, 2])\) ответ \(0\). Можно переставить элементы первого массива, получить \([1, 2)\). Операции применять не нужно.
  • Для пары массивов \(([3, 1], [3, 2])\) ответ \(1\). Можно удалить \(3\) из первого массива и \(2\) из второго.
  • Для пары массивов \(([4, 1], [3, 2])\) ответ \(1\). Можно удалить \(4\) из первого массива и \(3\) из второго.

B. Дом с привидениями

Бинарный поиск математика *1100 жадные алгоритмы

Дано число в двоичной системе счисления, состоящее из \(n\) битов, возможно, с лидирующими нулями. Например, для \(n = 5\) число \(6\) задается как \(00110\), а для \(n = 4\) число \(9\) задается как \(1001\).

Фиксируем некоторое целое \(i\), такое что \(1 \le i \le n\). За одну операцию вы можете поменять местами любые два соседних элемента битовой записи. Ваша цель — найти наименьшее количество операций, за которое можно превратить исходное число в делящееся на \(2^i\), или сказать, что это невозможно.

Обратите внимание, что для каждого \(1 \le i \le n\) вы решаете задачу независимо.

Входные данные

Каждый тест состоит из нескольких наборов входных данных. В первой строке находится одно целое число \(t\) (\(1 \le t \le 10^4\)) — количество наборов входных данных. Далее следует описание наборов входных данных.

Первая строка каждого набора входных данных содержит одно целое число \(n\) (\(1 \le n \le 10^5\)) — длину битовой записи числа.

Вторая строка каждого набора входных данных содержит строку длины \(n\), состоящую из \(0\) и \(1\), — описание числа в двоичной системе счисления.

Гарантируется, что сумма \(n\) по всем наборам входных данных не превосходит \(2 \cdot 10^5\).

Выходные данные

В каждом наборе входных данных для каждого \(1 \le i \le n\) выведите наименьшее количество операций, необходимое для того, чтобы сделать число делящимся на \(2^i\), или выведите \(-1\), если это нельзя сделать.

Примечание

В первом наборе входных данных мы не можем менять элементы местами, и число \(1\) не делится на \(2\).

Во втором наборе входных данных исходное число равно \(1\). Оно не делится на \(2\), но если применить операцию, то получится число, в двоичной записи равное \(10\), что в десятичной системе равно \(2\), а значит, делится на \(2\). Но на \(4\) это число не делится, а с помощью операции нельзя получить других чисел.

В третьем наборе входных данных исходное число равно \(2\). Для \(i = 1\) операции применять не нужно, так как исходное число делится на \(2\). Для \(i = 2\) можно применить одну операцию, поменяв первые два бита местами (в двоичном представлении получим число \(100\), которое задает число \(4\)). Для \(i = 3\) ответа не существует.

B. Fear of the Dark

Бинарный поиск математика геометрия *1200

Монокарп пытается добраться домой с работы. В данный момент он находится в точке \(O = (0, 0)\) двумерной координатной плоскости; его дом находится в точке \(P = (P_x, P_y)\).

К сожалению, уже поздний вечер, и поэтому очень темно. Монокарп боится темноты. Он хотел бы идти домой по освещенному пути.

К счастью, есть два фонаря, расположенные в точках \(A = (A_x, A_y)\) и \(B = (B_x, B_y)\). Вы можете выбрать любое неотрицательное число \(w\) и установить мощность обоих фонарей равной \(w\). Если мощность фонаря установлена на \(w\), то он освещает круг радиусом \(w\) с центром в месте расположения фонаря (включая границы круга).

Вам нужно выбрать минимальное неотрицательное значение \(w\) для мощности фонарей таким образом, чтобы существовал полностью освещенный путь от точки \(O\) до точки \(P\). Считайте, что фонари не мешают движению Монокарпа.

Картинка, показывающая первые два набора входных данных
Входные данные

Первая строка входных данных содержит одно целое число \(t\) (\(1 \le t \le 10^4\)) — количество наборов входных данных.

Каждый набор входных данных состоит из трех строк:

  • первая строка содержит два целых числа \(P_x\) и \(P_y\) (\(-10^3 \le P_x, P_y \le 10^3\)) — местоположение дома Монокарпа;
  • вторая строка содержит два целых числа \(A_x\) и \(A_y\) (\(-10^3 \le A_x, A_y \le 10^3\)) — местоположение первого фонаря;
  • третья строка содержит два целых числа \(B_x\) и \(B_y\) (\(-10^3 \le B_x, B_y \le 10^3\)) — местоположение второго фонаря.

Дополнительное ограничение на входные данные:

  • в каждом наборе входных данных точки \(O\), \(P\), \(A\) и \(B\) не совпадают друг с другом.
Выходные данные

Для каждого набора входных данных выведите ответ на отдельной строке — одно вещественное число, равное минимальному значению \(w\), при котором существует полностью освещенный путь от точки \(O\) до точки \(P\).

Ваш ответ будет считаться правильным, если его абсолютная или относительная ошибка не превышает \(10^{-6}\) — формально, если ваш ответ равен \(a\), а ответ жюри равен \(b\), ваш ответ будет принят, если \(\dfrac{|a - b|}{\max(1, b)} \le 10^{-6}\).

B. Путешествия во времени

Бинарный поиск *1900 графы кратчайшие пути

Берляндия — страна с древней историей, столетиями в ней строились и разрушались дороги. Известно, что в Берляндии всегда было \(n\) городов. Также у вас сохранились записи про \(t\) ключевых моментов в истории страны, пронумерованных от \(1\) до \(t\). Каждая запись содержит список двунаправленных дорог между некоторым парами городов, по которым можно было перемещаться в Берляндии в конкретный момент времени.

Вы обнаружили машину времени, которая перемещает вас между ключевыми моментами. К сожалению, вы не можете выбирать, в какой момент времени переместиться, но знаете порядок, состоящий из \(k\) моментов времени \(a_{i}\), в котором машина будет вас перемещать. Так как времени между перемещениями мало, то оказавшись в очередном ключевом моменте времени (в том числе после последнего перемещения во времени), вы можете проехать не более чем по одной существующей в данный момент времени дороге, выходящей из города, в котором вы оказались перед перемещением во времени.

Сейчас вы находитесь в городе \(1\), и машина времени уже перенесла вас в момент времени \(a_{1}\). Вы хотите как можно быстрее добраться до города \(n\). Определите минимальное количество перемещений во времени, включая первое, которые нужно совершить, чтобы оказаться в городе \(n\).

Входные данные

Первая строка содержит два целых числа \(n\) и \(t\) (\(2 \le n \le 2 \cdot 10^5, 1 \le t \le 2 \cdot 10^5\)) — количество городов в Берляндии и количество записей про ключевые моменты истории. Далее следует описание каждой из \(t\) записей.

Первая строка описания каждой записи содержит одно целое число \(m_{i}\) (\(0 \le m_{i} \le \min \left(\frac{n(n-1)}{2}, 2 \cdot 10^5\right)\)) — количество дорог в \(i\)-й записи.

Каждая из следующих \(m_i\) строк содержит два целых числа \(v_{j}\) и \(u_{j}\) (\(1 \le v_{j}, u_{j} \le n\), \(v_{j} \neq u_{j}\)) — номера городов, которые соединяет \(j\)-я дорога в \(i\)-й ключевой момент истории.

Следующая строка содержит одно целое число \(k\) (\(1 \le k \le 2 \cdot 10^5\)) — количество моментов времени, между которыми будут происходить перемещения.

Следующая строка содержит \(k\) целых чисел \(a_1, a_2, \ldots, a_k\) (\(1 \le a_{i} \le t\)) — моменты времени, в которых вы будете оказываться после каждого перемещения.

Гарантируется, что сумма \(m_{i}\) не превосходит \(2 \cdot 10^5\). Гарантируется, что каждая неупорядоченная пара \((u, v)\) встречается в описании дорог для одной записи не более одного раза.

Выходные данные

Выведите единственное целое число — минимально количество перемещений во времени, чтобы добраться из города \(1\) в город \(n\), или \(-1\), если это невозможно.

Обратите внимание, что перемещение в момент времени \(a_{1}\) тоже считается перемещением.

Примечание

В первом примере вы находитесь в городе \(1\) и перемещаетесь в момент \(a_{1} = 2\). Так как подходящих для проезда дорог нет, то вы ничего не делаете и перемещаетесь в момент \(a_{2} = 1\), после чего проезжаете по дороге \((1, 2)\). Переместившись в момент \(a_{3} = 2\), вы проезжаете по дороге \((2, 3)\). Переместившись в момент \(a_{4} = 1\), вы останетесь в городе \(3\) и сделаете следующее перемещение во времени. В момент времени \(a_{5} = 2\) вы проедете по дороге \((3, 5)\) и окажетесь в конечном городе за \(5\) перемещений во времени.

Во втором примере можно показать, что при данных перемещениях во времени добраться до города \(5\) невозможно.

C. Минимальный массив

Бинарный поиск Перебор Структуры данных Конструктив жадные алгоритмы *2400 хэши

Дан массив \(a\) длины \(n\), состоящий из целых чисел. Далее к нему последовательно \(q\) раз применяют следующую операцию:

  • Выбирают индексы \(l\) и \(r\) (\(1 \le l \le r \le n\)) и целое число \(x\);
  • Ко всем элементам массива \(a\) на отрезке \([l, r]\) прибавляют \(x\). Более формально, присваивают \(a_i := a_i + x\) для всех \(l \le i \le r\).

Пусть \(b_j\) — массив \(a\), полученный после применения первых \(j\) операций (\(0 \le j \le q\)). Обратите внимание, что \(b_0\) — это массив \(a\) до применения всех операций.

Вам нужно найти лексикографически минимальный\(^{\dagger}\) массив среди всех \(b_j\).

\(^{\dagger}\)Массив \(x\) лексикографически меньше чем массив \(y\), если есть индекс \(i\) такой, что \(x_i < y_i\), и \(x_j = y_j\) для всех \(j < i\). Иными словами, для первого такого индекса \(i\), где массивы различны, \(x_i < y_i\).

Входные данные

Каждый тест состоит из нескольких наборов входных данных. Первая строка содержит одно целое число \(t\) (\(1 \le t \le 5 \cdot 10^5\)) — количество наборов входных данных. Далее следует описание наборов входных данных.

Первая строка каждого набора входных данных содержит одно целое число \(n\) (\(1 \le n \le 5 \cdot 10^5\)) — длина массива \(a\).

Вторая строка каждого набора входных данных содержит \(n\) целых чисел \(a_1, a_2, \ldots, a_n\) (\(-10^9 \le a_i \le 10^9\)) — элементы массива \(a\).

Третья строка каждого набора входных данных содержит одно целое число \(q\) (\(0 \le q \le 5 \cdot 10^5\)) — количество операций с массивом.

В каждой из следующих \(q\) строк находятся по три целых числа \(l_j\), \(r_j\) и \(x_j\) \((1 \le l_j \le r_j \le n, -10^9 \le x_j \le 10^9)\) — описание каждой операции. Операции следуют в порядке их применения.

Гарантируется, что сумма \(n\) по всем наборам входных данных и сумма \(q\) по всем наборам входных данных не превосходят \(5 \cdot 10^5\).

Выходные данные

Для каждого набора входных данных выведите лексикографически минимальный массив среди всех \(b_j\).

Примечание

В первом наборе входных данных:

  • \(b_0 = [1,2,3,4]\);
  • \(b_1 = [1,2,3,4]\);
  • \(b_2 = [-99,-98,-97,4]\).

Таким образом, лексикографически минимальным является массив \(b_2\).

Во втором наборе входных данных лексикографически минимальным является массив \(b_0\).

D. Разрез

Бинарный поиск Деревья Структуры данных математика разделяй и властвуй *2700 снм

Назовём массив \(b_1, b_2, \ldots, b_m\) (\(m \ge 2\)) хорошим, если его можно разрезать на две части так, чтобы все элементы в левой части были строго меньше, чем все элементы в правой части. Другими словами, должен существовать такой индекс \(1 \le i < m\), что любой элемент из \(b_1, \ldots, b_i\) строго меньше любого элемента из \(b_{i+1}, \ldots, b_m\).

Дан массив \(a_1, a_2, \ldots a_n\), состоящий из различных целых чисел от \(1\) до \(n\). Поступают \(q\) запросов. В каждом запросе даны два числа \(l\) и \(r\). Требуется для каждого запроса проверить, является ли массив \(a_l, a_{l+1}, \ldots, a_r\) хорошим.

Входные данные

Первая строка содержит единственное целое число \(n\) (\(2 \le n \le 3 \cdot 10^5\)) — размер массива.

Вторая строка содержит \(n\) различных целых чисел \(a_1, a_2, \ldots, a_n\) (\(1 \le a_n \le n\)) — элементы массива \(a\).

Третья строка содержит единственное целое число \(q\) (\(1 \le q \le 3 \cdot 10^5\)) — количество запросов.

Каждая из следующих \(q\) строк содержит два целых числа \(l_i\) и \(r_i\) (\(1 \le l_i < r_i \le n\)) — описание \(i\)-го запроса.

Выходные данные

Для каждого запроса выведите «Yes» (без кавычек), если массив \(a_l, a_{l+1}, \ldots, a_r\) является хорошим, и «No» (без кавычек) иначе.

Вы можете выводить «Yes» и «No» в любом регистре (например, строки «yEs», «yes», «Yes» и «YES» будут распознаны как положительный ответ).

Примечание

В первом примере:

  • Массив \([3,2,1,4,5]\) можно разрезать на две части \([3,2,1]\) и \([4,5]\).
  • Массив \([3,2,1]\) нельзя разрезать на две части так, чтобы все элементы в левой части были меньше всех элементов в правой части.
  • Массив \([3,2,1,4]\) можно разрезать на две части \([3,2,1]\) и \([4]\).
  • Массив \([3,2]\) нельзя разрезать на две части так, чтобы все элементы в левой части были меньше всех элементов в правой части.
  • Массив \([2,1,4,5]\) можно разрезать на две части \([2,1]\) и \([4,5]\).

Во втором примере:

  • Массив \([2,4,3]\) можно разрезать на две части \([2]\) и \([4,3]\).
  • Массив \([6,2,4,3,5]\) нельзя разрезать на две части так, чтобы все элементы в левой части были меньше всех элементов в правой части.
  • Массив \([4,3,5]\) можно разрезать на две части \([4,3]\) и \([5]\).

E. Хорошие раскраски

Бинарный поиск Конструктив графы интерактив *3100

Алиса предложила Бобу сыграть в игру. Бобу эта идея не понравилась, но отказать Алисе он не смог, а потому попросил вас написать программу, которая будет играть вместо него.

Игра начинается с того, что Алиса достает клетчатый лист размера \(n \times n\), клетки которого изначально не закрашены. После этого она закрашивает какие-то \(2n\) различных клеток в цвета \(1,2,\ldots, 2n\), соответственно, и сообщает об этих клетках Бобу.

За один ход Боб может указать на какую-то ещё не закрашенную клетку и попросить Алису закрасить эту клетку. Алиса закрашивает эту клетку в один из \(2n\) цветов по своему выбору, сообщая при этом Бобу выбранный цвет. Боб может сделать не более \(10\) ходов, после чего ему требуется найти хорошую четвёрку клеток.

Четвёрка клеток называется хорошей, если выполняются следующие условия:

  • Все клетки из четвёрки закрашены;
  • Никакие две клетки из четвёрки не раскрашены в один и тот же цвет;
  • Центры клеток образуют прямоугольник, стороны которого параллельны линиям сетки.
Входные данные

Каждый тест состоит из нескольких наборов входных данных. Первая строка содержит одно целое число \(t\) (\(1 \le t \le 200\)) — количество наборов входных данных. Далее следует описание наборов входных данных.

Первая строка каждого набора входных данных содержит одно целое число \(n\) (\(3 \le n \le 1000\)) — размер поля.

\(i\)-я из следующих \(2n\) строк содержит два целых числа \(x_i\) и \(y_i\) (\(1 \le x_i, y_i \le n\)) — координаты клетки, покрашенной в \(i\)-й цвет.

Гарантируется, что все координаты \((x_i, y_i)\) попарно различны для одного набора входных данных.

После считывания входных данных для каждого набора продолжите взаимодействие описанным ниже образом.

Протокол взаимодействия

Вы можете совершить не более \(10\) ходов. Чтобы сделать ход, выведите «? \(x\) \(y\)» (\(1 \leq x,y \leq n\)). В ответ на это программа жюри в единственной строке выведет единственное целое число от \(1\) до \(2n\) — цвет клетки \((x,y)\).

После всех ходов (не обязательно делать все \(10\) ходов и не обязательно делать хотя бы один ход) выведите строку в формате «! \(x_1\) \(x_2\) \(y_1\) \(y_2\)» (\(1 \leq x_1, x_2, y_1, y_2 \leq n, x_1 \ne x_2, y_1 \ne y_2\)). Если клетки \((x_1, y_1)\), \((x_1, y_2)\), \((x_2, y_1)\), \((x_2, y_2)\) раскрашены в различные цвета, то программа жюри выведет «OK». После этого переходите к следующему набору входных данных или завершите программу, если наборов больше не осталось.

В ином случае, если какие-то из указанных клеток раскрашены в один цвет или одна из клеток ещё не раскрашена, то программа жюри выведет вам «ERROR». В таком случае ваша программа должна немедленно завершить своё исполнение, чтобы получить вердикт Неправильный ответ. В противном случае вы можете получить произвольный вердикт.

После каждого хода или ответа не забудьте вывести перевод строки и сбросить буфер вывода. В противном случае вы получите вердикт Решение «зависло». Для сброса буфера используйте:

  • fflush(stdout) или cout.flush() в C++;
  • System.out.flush() в Java;
  • flush(output) в Pascal;
  • stdout.flush() в Python;
  • смотрите документацию для других языков.

Обратите внимание, что интерактор является адаптивным, то есть цвет, в который Алиса будет закрашивать клетки при ходах Боба, не фиксирован заранее.

Взломы

Вы не можете делать взломы в этой задаче.

Примечание

В первом наборе входных данных:

Во втором наборе входных данных клетки с координатами \((1, 1), (1, 2), (2, 1), (2, 2)\) изначально раскрашены Алисой в различные цвета.

C. Смайло и монстры

Бинарный поиск Конструктив *1500 жадные алгоритмы сортировки

Мальчик Смайло играет в новую игру! В игре есть \(n\) орд монстров, в \(i\)-й орде \(a_i\) монстров. Цель игры — уничтожить всех монстров. Для этого у вас есть два типа атак и счетчик комбо \(x\), изначально равный \(0\):

  • Первый тип атаки: вы выбираете число \(i\) от \(1\) до \(n\) такое, что в орде с номером \(i\) остался хотя бы один монстр. Затем вы убиваете одного монстра из орды с номером \(i\), и счетчик комбо \(x\) увеличивается на \(1\).
  • Второй тип атаки: вы выбираете число \(i\) от \(1\) до \(n\) такое, что в орде с номером \(i\) осталось хотя бы \(x\) монстров. Затем вы применяете ультимейт и убиваете \(x\) монстров из орды под номером \(i\). После этого \(x\) обнуляется.

Ваша задача — зачистить всех монстров, то есть сделать так, чтобы ни в одной орде не осталось ни одного монстра. Смайло хочет как можно скорее победить, поэтому скажите, какое минимальное число атак можно применить?

Входные данные

В первой строке содержится единственное число \(t\) (\(1 \leq t \leq 10^4\)) — количество наборов входных данных. Далее следует описание наборов входных данных.

Первая строка каждого набора входных данных содержит одно целое число \(n\) (\(1 \leq n \leq 2 \cdot 10^5\)) — число орд монстров.

Вторая строка содержит \(n\) целых чисел \(a_1, a_2, \ldots, a_n\) (\(1 \leq a_i \leq 10^9\)) — количества монстров в каждой орде.

Гарантируется, что сумма \(n\) по всем тестовым наборам не превосходит \(2 \cdot {10^5}\).

Выходные данные

Для каждого набора входных данных выведите минимальное число атак, которое нужно, чтобы убить всех монстров.

Примечание

В первом наборе входных данных можно применить атаку первого типа по одному разу на \(1\)-ю, \(3\)-ю и \(4\)-ю орду, затем добить атакой второго типа \(2\)-ю орду. Итого нужно \(4\) атаки.

Во втором наборе входных данных можно применить атаку первого типа по одному разу на \(1\)-ю, \(3\)-ю орду, затем добить атакой второго типа \(2\)-ю орду, затем применить атаку первого типа один раз на \(4\)-ю орду. Итого нужно \(4\) атаки.

В четвёртом наборе входных данных можно применить атаку первого типа один раз на \(1\)-ю орду, два раза на \(2\)-ю орду, затем применить один раз атаку второго типа на \(2\)-ю орду, затем применить один раз атаку первого типа на \(2\)-ю орду. Итого нужно \(5\) атак.

D. Подозрительные логарифмы

Бинарный поиск Перебор математика *1900

Пусть \(f\)(\(x\)) — это округленный вниз двоичный логарифм \(x\). То есть \(f\)(\(x\)) — наибольшее такое целое неотрицательное число \(y\), что \(2^y\) не превосходит \(x\).

Пусть \(g\)(\(x\)) — это округленный вниз логарифм числа \(x\) по основанию \(f\)(\(x\)). То есть \(g\)(\(x\)) — наибольшее такое целое неотрицательное число \(z\), что \({f(x)}^{z}\) не превосходит \(x\).

Вам даны \(q\) запросов. \(i\)-й запрос выглядит как два числа \(l_i\), \(r_i\). Ответом на запрос является сумма \(g\)(\(k\)) по всем целым положительным \(k\) таким, что \(l_i \leq k \leq r_i\). Ответы на запросы выводите по модулю \({10^9 + 7}\).

Входные данные

В первой строке дано число \(q\) — число запросов (\(1 \leq q \leq 10^5\)).

В следующих \(q\) строках заданы два числа \(l_i\), \(r_i\) — границы отрезка \(i\)-го запроса (\(4 \leq l_i \leq r_i \leq 10^{18}\)).

Выходные данные

Для каждого запроса выведите ответ на него по модулю \(10^9 + 7\).

Примечание

В таблице снизу приведены значения функций \(f\)(\(x\)) и \(g\)(\(x\)) при целых \(x\), таких что \(1 \leq x \leq 8\).

\(x\)\(1\)\(2\)\(3\)\(4\)\(5\)\(6\)\(7\)\(8\)
\(f\)\(0\)\(1\)\(1\)\(2\)\(2\)\(2\)\(2\)\(3\)
\(g\)\(-\)\(-\)\(-\)\(2\)\(2\)\(2\)\(2\)\(1\)

E. Бесконечная карточная игра

Бинарный поиск Перебор Структуры данных дп поиск в глубину и подобное жадные алгоритмы сортировки графы *2300 снм игры

Монокарп и Бикарп играют в карточную игру. Каждая карта имеет два параметра: значение атаки и значение защиты. Карта \(s\) бьет карту \(t\), если значение атаки карты \(s\) строго больше значения защиты карты \(t\).

У Монокарпа есть \(n\) карт, \(i\)-я из которых имеет значение атаки \(\mathit{ax}_i\) и значение защиты \(\mathit{ay}_i\). У Бикарпа есть \(m\) карт, \(j\)-я из которых имеет значение атаки \(\mathit{bx}_j\) и значение защиты \(\mathit{by}_j\).

На первом ходе Монокарп выбирает одну из своих карт и кладет ее на стол. Бикарп должен побить эту карту своей картой. Затем Монокарп должен побить карту Бикарпа. Затем ход переходит к Бикарпу, и так далее.

После того, как карта побита, она возвращается в руку игрока, который ее сыграл. Это подразумевает, что у игрока, который сейчас ходит, всегда на руках те же карты, что и в начале игры. Игра заканчивается, когда у текущего игрока нет карт, которые побеждают карту, которую только что сыграл его оппонент, и текущий игрок проигрывает.

Если игра длится \(100^{500}\) ходов, объявляется ничья.

И Монокарп, и Бикарп играют оптимально. То есть, если у игрока есть выигрышная стратегия независимо от ходов его оппонента, он играет на победу. В противном случае, если у него есть стратегия для ничьи, он играет на ничью.

Вам нужно вычислить три значения:

  • количество начальных ходов Монокарпа, которые приводят к победе Монокарпа;
  • количество начальных ходов Монокарпа, которые приводят к ничьей;
  • количество начальных ходов Монокарпа, которые приводят к победе Бикарпа.
Входные данные

Первая строка содержит одно целое число \(t\) (\(1 \le t \le 10^4\)) — количество наборов входных данных.

Первая строка каждого набора содержит целое число \(n\) (\(1 \le n \le 3 \cdot 10^5\)) — количество карт у Монокарпа.

Вторая строка содержит \(n\) целых чисел \(\mathit{ax}_1, \mathit{ax}_2, \dots, \mathit{ax}_n\) (\(1 \le \mathit{ax}_i \le 10^6\)) — значения атаки карт Монокарпа.

Третья строка содержит \(n\) целых чисел \(\mathit{ay}_1, \mathit{ay}_2, \dots, \mathit{ay}_n\) (\(1 \le \mathit{ay}_i \le 10^6\)) — значения защиты карт Монокарпа.

Четвертая строка содержит одно целое число \(m\) (\(1 \le m \le 3 \cdot 10^5\)) — количество карт у Бикарпа.

Пятая строка содержит \(m\) целых чисел \(\mathit{bx}_1, \mathit{bx}_2, \dots, \mathit{bx}_m\) (\(1 \le \mathit{bx}_j \le 10^6\)) — значения атаки карт Бикарпа.

Шестая строка содержит \(m\) целых чисел \(\mathit{by}_1, \mathit{by}_2, \dots, \mathit{by}_m\) (\(1 \le \mathit{by}_j \le 10^6\)) — значения защиты карт Бикарпа.

Дополнительные ограничения на входные данные: сумма \(n\) по всем наборам входных данных не превосходит \(3 \cdot 10^5\), сумма \(m\) по всем наборам входных данных не превосходит \(3 \cdot 10^5\).

Выходные данные

Для каждого набора входных данных выведите три целых числа:

  • количество начальных ходов Монокарпа, которые приводят к победе Монокарпа;
  • количество начальных ходов Монокарпа, которые приводят к ничьей;
  • количество начальных ходов Монокарпа, которые приводят к победе Бикарпа.

G. Два символа, два цвета

Бинарный поиск Потоки Структуры данных дп жадные алгоритмы *3100

Дана строка, состоящая из символов 0 и/или 1. Вам нужно покрасить каждый символ этой строки в один из двух цветов: красный или синий.

Если вы покрасите \(i\)-й символ в красный цвет, вы получите \(r_i\) монет. Если вы покрасите его в синий цвет, вы получите \(b_i\) монет.

После покраски строки из нее удаляются все символы синего цвета. Затем в полученной строке подсчитывается количество инверсий (т. е. количество пар символов, в которых левый символ в паре — 1, а правый символ — 0). За каждую инверсию вы должны заплатить \(1\) монету.

Какое максимальное количество монет вы можете заработать?

Входные данные

Первая строка содержит одно целое число \(t\) (\(1 \le t \le 10^4\)) — количество наборов входных данных.

Каждый набор входных данных состоит из четырех строк:

  • первая строка содержит одно целое число \(n\) (\(1 \le n \le 4 \cdot 10^5\)) — длину строки;
  • вторая строка содержит \(s\) — последовательность из \(n\) символов, где каждый символ либо 0, либо 1;
  • третья строка содержит \(n\) целых чисел \(r_1, r_2, \dots, r_n\) (\(1 \le r_i \le 10^{12}\));
  • четвертая строка содержит \(n\) целых чисел \(b_1, b_2, \dots, b_n\) (\(1 \le b_i \le 10^{12}\)).

Дополнительное ограничение на входные данные: сумма значений \(n\) по всем наборам входных данных не превышает \(4 \cdot 10^5\).

Выходные данные

Для каждого набора входных данных выведите одно целое число — максимальное количество монет, которое вы можете заработать.

Примечание

Пояснения для наборов входных данных в примере из условия (синие символы подчеркнуты, красные — нет):

  1. \(0100\underline{0}1\underline{0}\);
  2. \(10\underline{11}1\);
  3. \(\underline{0}1\underline{00000000}\);
  4. \(0\underline{1}010000\).

C. Сопоставление массивов

Бинарный поиск Конструктив *1400 жадные алгоритмы сортировки

Даны два массива \(a\) и \(b\) длины \(n\). Назовём красотой массивов \(a\) и \(b\) количество индексов \(i\) таких, что \(a_i > b_i\).

Вам также дано целое число \(x\). Определите, можно ли переставить элементы \(b\) так, чтобы красота массивов стала равна \(x\). Если это возможно, то выведите любой подходящий массив, который можно получить из \(b\).

Входные данные

Каждый тест состоит из нескольких наборов входных данных. В первой строке находится одно целое число \(t\) (\(1 \le t \le 10^4\)) — количество наборов входных данных. Далее следует описание наборов входных данных.

Первая строка каждого набора входных данных содержит два целых числа \(n\) и \(x\) (\(1 \le n \le 2\cdot 10^5\), \(0 \le x \le n\)) — длину массивов \(a\) и \(b\) и желаемую красоту массивов.

Вторая строка каждого набора входных данных содержит \(n\) целых чисел \(a_1, a_2, \ldots, a_n\) (\(1 \le a_i \le 2n\)) — элементы массива \(a\).

Третья строка каждого набора входных данных содержит \(n\) целых чисел \(b_1, b_2, \ldots, b_n\) (\(1 \le b_i \le 2n\)) — элементы массива \(b\).

Гарантируется, что сумма \(n\) по всем наборам входных данных не превышает \(2\cdot 10^5\).

Выходные данные

Для каждого набора входных данных выведите «NO», если невозможно переставить \(b\) так, чтобы красота массивов стала равна \(x\).

В противном случае выведите «YES». Затем, в следующей строке выведите \(n\) целых чисел, которые представляют собой перестановку массива \(b\).

Если существует несколько решений, выведите любое из них.

Вы можете выводить каждую букву в любом регистре (строчную или заглавную). Например, строки «yEs», «yes», «Yes» и «YES» будут приняты как положительный ответ.

Примечание

В наборах входных данных 1 и 2 красота массивов может быть равна только \(0\), так как \(a_1 = 1 \le 2 = b_1\).

В наборах входных данных 3, 4, 5 и 6 возможны следующие красоты массивов: \(x = 1\) и \(x = 2\). В частности, если \(b\) сделать равным \([2, 4, 1]\), то \(a_3 = 3 > 1 = b_3\), поэтому красота массивов равна \(1\). Если же \(b\) не менять, то \(a_2 = 4 > b_2 = 1\) и \(a_3 = 3 > 2 = b_3\), так что красота массивов равна \(2\).

D. Единицы и двойки

Бинарный поиск Структуры данных математика *1700 разделяй и властвуй

Вам дан массив \(a\) длины \(n\) в \(1\)-нумерации, каждый элемент которого равен \(1\) или \(2\).

Обработайте \(q\) запросов следующих двух типов:

  • «1 s»: проверить, существует ли подотрезок\(^{\dagger}\) массива \(a\), сумма которого равна \(s\).
  • «2 i v»: заменить \(a_i\) на \(v\).

\(^{\dagger}\) Массив \(b\) является подотрезком массива \(a\), если \(b\) может быть получен из \(a\) путем удаления нескольких (возможно, нуля или всех) элементов из начала и нескольких (возможно, нуля или всех) элементов из конца. В частности, массив является подотрезком самого себя.

Входные данные

Каждый тест состоит из нескольких наборов входных данных. В первой строке находится одно целое число \(t\) (\(1 \le t \le 10^4\)) — количество наборов входных данных. Далее следует описание наборов входных данных.

Первая строка каждого набора входных данных содержит два целых числа \(n\) и \(q\) (\(1\le n,q\le 10^5\)) — длину массива \(a\) и количество запросов.

Вторая строка каждого набора входных данных содержит \(n\) целых чисел \(a_1,a_2,\ldots,a_n\) (\(a_i\) равно \(1\) или \(2\)) — элементы массива \(a\).

Каждая из следующих \(q\) строк каждого набора входных данных содержит некоторое количество целых чисел. Первое целое число \(\mathrm{op}\) равно либо \(1\), либо \(2\).

  • Если \(\mathrm{op}\) равно \(1\), то за ним следует одно целое число \(s\) (\(1 \leq s \leq 2n\)).
  • Если \(\mathrm{op}\) равно \(2\), то за ним следуют два целых числа \(i\) и \(v\) (\(1 \leq i \leq n\), \(v\) равно \(1\) или \(2\)).

Гарантируется, что сумма \(n\) и сумма \(q\) по всем наборам входных данных не превышают \(10^5\).

Выходные данные

Для каждого запроса с \(\mathrm{op}=1\) выведите в отдельной строке «YES», если существует подотрезок \(a\), сумма которого равна \(s\), в противном выведите «NO».

Вы можете выводить каждую букву в любом регистре (строчную или заглавную). Например, строки «yEs», «yes», «Yes» и «YES» будут приняты как положительный ответ.

Примечание

Рассмотрим первый набор входных данных:

  • Ответом на первый запрос будет «YES», потому что \(a_1+a_2+a_3=2+1+2=5\).
  • Ответ на второй запрос — «YES», потому что \(a_1+a_2+a_3+a_4=2+1+2+1=6\).
  • Ответом на третий запрос будет «NO», так как нельзя найти ни одного подотрезка \(a\), сумма которого равна \(7\).
  • После четвертого запроса массив \(a\) становится равным \([2,1,2,2,2]\).
  • Ответом на пятый запрос будет «YES», так как \(a_2+a_3+a_4+a_5=1+2+2+2=7\).

F. Локальные удаления

Бинарный поиск Структуры данных реализация *2800

Для массива \(b_1, b_2, \ldots, b_m\), для индекса \(i\) (\(1 < i < m\)) элемент \(b_i\) считается локальным минимумом, если \(b_i < b_{i-1}\) и \(b_i < b_{i+1}\). Элемент \(b_1\) считается локальным минимумом, если \(b_1 < b_2\). Элемент \(b_m\) считается локальным минимумом, если \(b_m < b_{m-1}\).

Для массива \(b_1, b_2, \ldots, b_m\), для индекса \(i\) (\(1 < i < m\)) элемент \(b_i\) считается локальным максимумом, если \(b_i > b_{i-1}\) и \(b_i > b_{i+1}\). Элемент \(b_1\) считается локальным максимумом, если \(b_1 > b_2\). Элемент \(b_m\) считается локальным максимумом, если \(b_m > b_{m-1}\).

Пусть \(x\) — массив, в котором все элементы различны. Определим две операции над ним.

  • \(1\) — удалить из \(x\) все элементы, которые не являются локальными минимумами.
  • \(2\) — удалить из \(x\) все элементы, которые не являются локальными максимумами.

Определим \(f(x)\) следующим образом: повторять операции \(1, 2, 1, 2, \ldots\) в таком порядке, пока в массиве не останется только один элемент. В конце вернуть этот элемент.

Например, возьмем массив \([1,3,2]\). Сначала выполним операцию типа \(1\) и получим \([1, 2]\). Затем выполним операцию типа \(2\) и получим \([2]\). Значит, \(f([1,3,2]) = 2\).

Дана перестановка\(^\dagger\) \(a\) длины \(n\) и \(q\) запросов. Каждый запрос состоит из двух целых чисел \(l\) и \(r\) таких, что \(1 \le l \le r \le n\). Для каждого запроса требуется посчитать \(f([a_l, a_{l+1}, \ldots, a_r])\).

\(^\dagger\) Перестановкой длины \(n\) является массив, состоящий из \(n\) различных целых чисел от \(1\) до \(n\) в произвольном порядке. Например, \([2,3,1,5,4]\) — перестановка, но \([1,2,2]\) не перестановка (\(2\) встречается в массиве дважды) и \([1,3,4]\) тоже не перестановка (\(n=3\), но в массиве встречается \(4\)).

Входные данные

Первая строка содержит два целых числа \(n\) и \(q\) (\(1 \le n, q \le 10^5\)) — длину перестановки \(a\) и количество запросов.

Вторая строка содержит \(n\) целых чисел \(a_1, a_2, \ldots, a_n\) (\(1 \le a_i \le n\)) — элементы перестановки \(a\).

В \(i\)-й из следующих \(q\) строк содержатся два целых числа \(l_i\) и \(r_i\) (\(1 \le l_i \le r_i \le n\)) — описание \(i\)-го запроса.

Выходные данные

Для каждого запроса выведите одно целое число — ответ на этот запрос.

Примечание

В первом запросе первого примера единственным числом в подотрезке массива является \(1\), поэтому оно и является ответом.

Во втором запросе первого примера наш подотрезок изначально имеет вид \([1, 4]\). После выполнения операции типа \(1\) мы получаем \([1]\).

В третьем запросе первого примера наш подотрезок изначально имеет вид \([4, 3]\). После выполнения операции типа \(1\) мы получаем \([3]\).

В четвертом запросе первого примера наш подотрезок изначально имеет вид \([1, 4, 3, 6]\). После выполнения операции типа \(1\) мы получаем \([1, 3]\). Затем выполняем операцию типа \(2\) и получаем \([3]\).

В пятом запросе первого примера наш подотрезок изначально имеет вид \([1, 4, 3, 6, 2, 7, 5]\). После выполнения операции типа \(1\) мы получаем \([1,3,2,5]\). После выполнения операции типа \(2\) получаем \([3,5]\). Затем выполняем операцию типа \(1\) и получаем \([3]\).

В первом и единственном запросе второго примера наш подотрезок изначально имеет вид \([1,2,3,4,5,6,7,8,9,10]\). Здесь \(1\) — единственный локальный минимум, поэтому после выполнения операции типа \(1\) остается только он.

D. Очередное сражение с монстрами

Бинарный поиск математика реализация дп жадные алгоритмы *1700

Вася — волшебник, который сражается с монстрами. В очередной раз. В ряд расположены \(n\) монстров, количество очков здоровья \(i\)-го монстра равно \(a_i\).

Вася — очень могущественный волшебник и знает очень много мощных заклинаний. В этом сражении он решил использовать цепную молнию, чтобы победить всех монстров. Давайте посмотрим, как работает это заклинание.

Сначала Вася выбирает индекс какого-то монстра \(i\) (\(1 \le i \le n\)) и изначальную силу заклинания \(x\). Затем заклинание поражает монстров ровно \(n\) раз, каждого монстра ровно один раз. Первой целью заклинания всегда является монстр \(i\). Каждой целью заклинания, за исключением первой, выбирается случайный монстр, который еще не был поражен заклинанием и является соседним к одному из пораженных монстров. Таким образом, каждый из монстров будет поражен ровно единожды. Первый монстр, пораженный заклинанием, получает \(x\) единиц урона, второй получает \((x-1)\) единиц урона, третий получает \((x-2)\) единиц урона, и так далее.

Вася хочет показать, насколько он силен, поэтому он хочет убить всех монстров за одно применение цепной молнии. Монстр считается мертвым тогда, когда его количество очков здоровья меньше либо равно урону, который он получил. С другой стороны, Вася хочет показать, что он не настолько сильно переживает за сражение, поэтому он хочет выбрать минимальную изначальную силу заклинания \(x\), способную убить всех монстров вне зависимости от того, какой монстр (среди тех, кто может получить урон) получит урон на каждом из шагов.

Вася, конечно же, является волшебником, но количество вычислений, необходимое для нахождения оптимального варианта применения заклинания, выше его возможностей, поэтому вам поручено помочь ему найти минимальную силу заклинания, необходимую для убийства всех монстров.

Заметьте, что Вася выбирает изначальную цель и силу заклинания, другие события являются случайными и Вася хочет убить всех монстров даже в худшем из возможных исходов.

Входные данные

Первая строка входных данных содержит одно целое число \(n\) (\(1 \le n \le 3 \cdot 10^5\)) — количество монстров.

Вторая строка входных данных содержит \(n\) целых чисел \(a_1, a_2, \ldots, a_n\) (\(1 \le a_i \le 10^9\)), где \(a_i\) равно количеству очков здоровья \(i\)-го монстра.

Выходные данные

Выведите одно целое число — минимальную силу заклинания, необходимую для убийства всех монстров, если Вася выберет первую цель заклинания оптимально, а порядок ударов заклинания может быть любым возможным, удовлетворяющим правилам задачи.

F. Благоустройство

Бинарный поиск геометрия *2900

Вас назначили на очень важное дело: подготовиться к выравниванию одной особой дороги.

Дорогу можно представить как ломаную линию, начинающуюся в \((0, 0)\) и заканчивающуюся в \((n - 1, 0)\), которая состоит из \(n\) вершин (включая стартовую и финишную). Координаты \(i\)-й вершины ломаной равны \((i, a_i)\).

«Выравнивание» дороги эквивалентно выбору некоторого отрезка из \((0, y_0)\) в \((n - 1, y_1)\) такого, что все точки ломаной находятся ниже выбранного отрезка (или на той же высоте). Значения \(y_0\) и \(y_1\) могут быть действительными числами.

Вы можете представить, что первоначально на дороге есть всякие ямы и ухабы, и вы начинаете насыпать на нее покрытие, пока не сделаете ее ровной. Для простоты, в точках \(0\) и \(n - 1\) находятся бесконечно высокие стены, а потому покрытие не вываливается наружу отрезка \([0, n - 1]\).

Цена выровненной дороги равна площади между выбранным отрезком и ломаной. Вы хотите минимизировать эту цену, а потому выровненная дорога будет необязательно горизонтальной.

Но есть одна проблема: ваша информация могла устареть. А потому вы отправили специального человека померить новые высоты. Этот человек идет из \(0\) в \(n - 1\) и посылает вам новые высоты \(b_i\) для каждой вершины \(i\) ломаной.

Так как подсчет новых высот может занять много времени, а вы не знаете, когда вас попросят отчитаться, посчитайте наименьшую цену (и соответствующие \(y_0\) и \(y_1\)) для выравнивания дороги после получения каждого нового значения \(b_i\).

Входные данные

В первой строке задано одно целое число \(n\) (\(3 \le n \le 2 \cdot 10^5\)) — количество вершин ломаной.

Во второй строке заданы \(n\) целых чисел \(a_0, a_1, \dots, a_{n - 1}\) (\(0 \le a_i \le 10^9\); \(a_0 = a_{n - 1} = 0\)) — высоты соответствующих вершин.

В третьей строке заданы \(n\) целых чисел \(b_0, b_1, \dots, b_{n - 1}\) (\(0 \le b_i \le 10^9\); \(b_0 = b_{n - 1} = 0\)) — новые высоты соответствующих вершин.

Выходные данные

Выведите \(n\) чисел: \(i\)-м числом (\(0\)-индексация) выведите \(y_0 + y_1\) «лучшего отрезка» (т. е. сумму координат отрезка, который имеет минимальную цену), если вы уже знаете новые значения высот \(b_0, \dots, b_i\).

Если существует несколько «лучших отрезков», выведите наименьшее возможное значение \(y_0 + y_1\).

Ваш ответ будет считаться правильным, если его абсолютная или относительная ошибка не превосходит \(10^{-9}\).

Формально, пусть ваш ответ равен \(x\), а ответ жюри равен \(y\). Ваш ответ будет зачтен, если и только если \(\frac{|x - y|}{\max{(1, |y|)}} \le 10^{-9}\).

Примечание

Первый ответ на первый пример изображен выше.

Вы можете получить второй ответ, выбрав следующий «лучший отрезок»:

Вы можете достигнуть третий ответ, используя следующий «лучший отрезок»:

Вы можете получить четвертый ответ следующим образом:

B. Зарабатывание баллов

Бинарный поиск Перебор *1100 жадные алгоритмы

Монокарп — студент Берландского государственного университета. Из-за недавних изменений в системе образования Берландии, Монокарпу приходится изучать только один предмет — программирование.

Учебный семестр состоит из \(n\) дней, и чтобы не быть отчисленным, Монокарп должен заработать как минимум \(P\) баллов в течение этих \(n\) дней. Есть два способа заработать баллы — выполнение практических заданий и посещение лекций. За каждое выполненное практическое задание Монокарп получает \(t\) баллов, а за каждую посещенную лекцию — \(l\) баллов.

Практические задания становятся доступными «каждую неделю» по мере продвижения семестра: первое задание становится доступным в день \(1\) (и может быть выполнено в любой день с \(1\) по \(n\)), второе задание становится доступным в день \(8\) (и может быть выполнено в любой день с \(8\) по \(n\)), третье задание становится доступным в день \(15\), и так далее.

Каждый день с \(1\) по \(n\) проходит лекция, на которую может прийти Монокарп. И каждый день Монокарп выбирает, учиться ему сегодня или отдыхать весь день. Когда Монокарп решает учиться, он посещает лекцию и может выполнить не более \(2\) заданий, которые уже доступны и еще не выполнены. Если Монокарп отдыхает весь день, он пропускает лекцию и игнорирует задания.

Монокарп хочет иметь как можно больше выходных, то есть максимизировать количество дней, которые он может отдыхать. Помогите ему вычислить максимальное количество дней, которые он может отдыхать!

Входные данные

Первая строка содержит одно целое число \(tc\) (\(1 \le tc \le 10^4\)) — количество наборов входных данных. Далее следуют описания самих наборов.

В единственной строке каждого набора входных данных задано четыре целых числа \(n\), \(P\), \(l\) и \(t\) (\(1 \le n, l, t \le 10^9\); \(1 \le P \le 10^{18}\)) — количество дней, минимальное суммарное количество баллов, которое должен заработать Монокарп, баллы за посещение одной лекции и баллы за выполнение одного задания.

Для каждого набора гарантируется, что Монокарп не будет отчислен, если будет посещать все лекции и выполнять все задания.

Выходные данные

Для каждого набора входных данных выведите одно целое число — максимальное количество дней, которые Монокарп может отдыхать, не будучи отчисленным из университета.

Примечание

В первом наборе семестр длится \(1\) день, поэтому Монокарп должен посетить лекцию в день \(1\). Поскольку посещение одной лекции уже дает \(5\) баллов (\(5 \ge P\)), не имеет значения, выполнит ли Монокарп задание или нет.

Во втором наборе Монокарп может, например, учиться в дни \(8\) и \(9\): в день \(8\) он посетит лекцию за \(10^9\) баллов и выполнит два задания еще на \(5 \cdot 10^8 + 5 \cdot 10^8\) баллов. А в день \(9\) он посетит только лекцию еще на \(10^9\) баллов.

В третьем наборе Монокарп может, например, учиться только в день \(42\): посещение лекции дает ему \(1\) балл, а решение \(2\) из \(6\) доступных заданий дает ему еще \(2 \cdot 10\) баллов.

В четвертом наборе Монокарп должен посетить все лекции и выполнить все задания, чтобы получить \(8 \cdot 10 + 2 \cdot 20 = 120\) баллов.

В пятом наборе Монокарп может, например, учиться в дни: \(8\) — одна лекция и первое и второе задания; \(15\) — одна лекция и третье задание; \(22\) — одна лекция и четвертое задание; \(29\) — одна лекция и пятое задание; \(36\) — одна лекция и шестое задание.

D. Запросы робота

Бинарный поиск Структуры данных реализация дп *1900

В точке \((0, 0)\) \(2\)-мерной плоскости стоит робот. Робот может выполнять четыре команды:

  • U — переместиться из точки \((x, y)\) в \((x, y + 1)\);
  • D — переместиться из точки \((x, y)\) в \((x, y - 1)\);
  • L — переместиться из точки \((x, y)\) в \((x - 1, y)\);
  • R — переместиться из точки \((x, y)\) в \((x + 1, y)\).

Задана последовательность команд \(s\) длины \(n\). Ваша задача — ответить на \(q\) независимых запросов: для четырех целых чисел \(x\), \(y\), \(l\) и \(r\) определить, посетит ли робот точку \((x, y)\), выполняя последовательность \(s\), где подстрока с \(l\) по \(r\) перевернута (то есть робот выполняет команды в порядке \(s_1 s_2 s_3 \dots s_{l-1} s_r s_{r-1} s_{r-2} \dots s_l s_{r+1} s_{r+2} \dots s_n\)).

Входные данные

Первая строка содержит два целых числа \(n\) и \(q\) (\(1 \le n, q \le 2 \cdot 10^5\)) — длину последовательности команд и количество запросов соответственно.

Вторая строка содержит строку \(s\) длины \(n\), состоящую из символов U, D, L и/или R.

Затем следуют \(q\) строк, \(i\)-я из них содержит четыре целых числа \(x_i\), \(y_i\), \(l_i\) и \(r_i\) (\(-n \le x_i, y_i \le n\); \(1 \le l \le r \le n\)), описывающие \(i\)-й запрос.

Выходные данные

Для каждого запроса выведите YES, если робот посещает точку \((x, y)\), выполняя последовательность \(s\), где подстрока с \(l\) по \(r\) перевернута; в противном случае выведите NO.

Примечание

В первом запросе первого примера путь робота выглядит следующим образом:

Во втором запросе первого примера путь робота выглядит следующим образом:

В третьем запросе первого примера путь робота выглядит следующим образом:

D1. Максимум и запросы (простая версия)

Бинарный поиск Перебор жадные алгоритмы *1700 битмаски

Это простая версия задачи. Единственное различие между двумя версиями — это ограничения на \(n\) и \(q\), а также ограничения по времени и памяти. Вы можете делать взломы, только если обе версии задачи решены.

Теофанису очень нравится играть с битами чисел. У него есть массив \(a\) длины \(n\) и целое число \(k\). Он может совершить не более \(k\) операций с массивом, в каждой из которых он выбирает один элемент и увеличивает его на \(1\).

Он нашел максимальное побитовое И, которое может иметь массив \(a\) после выполнения не более чем \(k\) операций.

Теофанис приложил много усилий, чтобы найти это значение, и был очень доволен своим результатом. К сожалению, Адас, будучи злым человеком, решил поиздеваться над ним, неоднократно меняя значение \(k\).

Помогите Теофанису, вычислив максимально возможное побитовое И для \(q\) различных значений \(k\).

Входные данные

Первая строка содержит два целых числа \(n\) и \(q\) (\(1 \le n, q \le 10^5\) и \(n \cdot q \le 10^5\)) — длину массива и количество запросов.

Вторая строка содержит \(n\) целых чисел \(a_1, a_2, \ldots, a_n\) (\(0 \le a_i \le 10^6\)) — элементы массива.

Следующие \(q\) строк описывают запросы. В \(i\)-й строке содержится одно целое число \(k_i\) (\(0 \le k_i \le 10^{18}\)) — количество операций, которое может быть выполнено в \(i\)-м запросе.

Выходные данные

Для каждого запроса выведите одно целое число — максимальное побитовое И, которое может иметь массив \(a\) после выполнения не более чем \(k_i\) операций.

Примечание

В первом наборе входных данных, в первом запросе, мы добавляем \(1\) к первому и последнему элементу массива.

Таким образом, массив становится равен \([2,3,7,6]\) с побитовым И, равным \(2\).

Во втором наборе входных данных, в первом запросе, мы добавляем \(1\) к первому элементу, \(5\) ко второму и \(3\) к третьему, после чего все элементы становятся равны \(5\).

F. Няня

Бинарный поиск Деревья Структуры данных графы 2-sat *2500

Теофанис хочет играть в видеоигры, но при этом он должен заботиться о своей сестре. Поскольку Теофанис учится на программиста, он нашел способ делать и то, и другое. Он установит в своем доме несколько камер, чтобы убедиться, что с его сестрой все в порядке.

Его дом — это неориентированный граф с \(n\) вершинами и \(m\) ребрами. Его сестра любит играть на ребрах графа, поэтому он должен установить камеру хотя бы в одном из концов каждого ребра графа. Теофанис хочет найти вершинное покрытие, которое максимизирует минимальную разницу между номерами выбранных вершин.

Более формально, пусть \(a_1, a_2, \ldots, a_k\) — вершинное покрытие графа. Пусть минимальная разница между номерами выбранных вершин — это минимальное \(\lvert a_i - a_j \rvert\) (где \(i \neq j\)) среди вершин, которые вы выбрали. Если \(k = 1\), то считаем, что минимальная разница между номерами выбранных вершин равна \(n\).

Можете ли вы найти максимально возможную минимальную разницу между номерами выбранных вершин?

Входные данные

Первая строка содержит одно целое число \(t\) (\(1 \le t \le 10^4\)) — количество наборов входных данных.

Первая строка каждого набора входных данных содержит два целых числа \(n\) и \(m\) (\(1 \le n \le 10^{5}, 1 \le m \le 2 \cdot 10^{5}\)) — количество вершин и количество ребер.

В \(i\)-й из следующих \(m\) строк содержатся два целых положительных числа \(u_i\) и \(v_i\) (\(1 \le u_i,v_i \le n\)), обозначающие, что между ними в графе существует ребро.

Гарантируется, что сумма \(n\) по всем наборам входных данных не превосходит \(10^{5}\).

Гарантируется, что сумма \(m\) по всем наборам входных данных не превосходит \(2 \cdot 10^{5}\).

Выходные данные

Для каждого набора входных данных выведите максимум среди минимальных разностей между выбранными вершинами среди всех вершинных покрытий.

Примечание

В первом наборе входных данных мы можем установить камеры в вершинах \(1\), \(3\) и \(7\), поэтому ответ — \(2\).

Во втором наборе входных данных мы можем установить только одну камеру в вершине \(1\), поэтому ответ равен \(3\).

B. Игра в коллекционирование

Бинарный поиск дп *1100 жадные алгоритмы сортировки

Вам дан массив \(a\) из \(n\) целых положительных чисел и счет. Если ваш счет больше или равен \(a_i\), то вы можете увеличить свой счет на \(a_i\) и удалить \(a_i\) из массива.

Для каждого индекса \(i\) выведите максимальное количество дополнительных элементов массива, которые вы можете удалить, если удалите \(a_i\) и начнёте со счетом, равным \(a_i\). Обратите внимание, что удаление \(a_i\) не должно учитываться в ответе.

Входные данные

Каждый тест состоит из нескольких наборов входных данных. В первой строке находится одно целое число \(t\) (\(1 \leq t \leq 5000\)) — количество наборов входных данных. Далее следует описание наборов входных данных.

Первая строка каждого набора входных данных содержит одно целое число \(n\) (\(1 \le n \le 10^5\)) — длину массива.

Вторая строка каждого набора входных данных содержит \(n\) целых чисел \(a_1, a_2, \ldots, a_n\) (\(1 \le a_i \le 10^9\)) — элементы массива.

Гарантируется, что сумма \(n\) по всем наборам входных данных не превосходит \(10^5\).

Выходные данные

Для каждого набора входных данных выведите \(n\) целых чисел, \(i\)-е из которых обозначает максимальное количество дополнительных элементов массива, которые можно удалить, если удалить из массива \(a_i\) и начать со счетом \(a_i\).

Примечание

В первом наборе входных данных ответы выглядят следующим образом:

Если мы начинаем с \(i=4\), то наш изначальный счет равен \(a_4=4\) и \(a=[20,5,1,2]\). Мы можем удалить \(3\) дополнительных элемента в следующем порядке:

  1. Поскольку \(4 \ge 1\), мы можем удалить \(1\), и наш счет станет равен \(5\). После этого \(a=[20,5,2]\).
  2. Поскольку \(5 \ge 5\), мы можем удалить \(5\) и наш счет станет \(10\). После этого \(a=[20,2]\).
  3. Поскольку \(10 \ge 2\), мы можем удалить \(2\), и наш счет станет \(12\). После этого \(a=[20]\).

Если мы начнем с \(i=1\), то сможем удалить все оставшиеся элементы массива, поэтому ответ будет \(4\).

Если мы начнем с \(i=2\), то сможем удалить \(3\) дополнительных элемента в следующем порядке: \(1\), \(4\), \(2\).

Если мы начнем с \(i=3\), то не сможем удалить ни одного дополнительного элемента.

Если мы начинаем с \(i=5\), то можем удалить \(1\) дополнительный элемент: \(1\).

C. Игра с массивом

Бинарный поиск Перебор Структуры данных *1400 сортировки

Вам дан массив \(a\) из \(n\) целых положительных чисел. За одну операцию вы должны выбрать некоторую пару \((i, j)\) такую, что \(1\leq i < j\leq |a|\) и добавить \(|a_i - a_j|\) к концу \(a\) (то есть увеличить \(n\) на \(1\) и сделать новый элемент \(a_n\) равным \(|a_i - a_j|\)). Ваша задача — минимизировать и вывести минимальный элемент \(a\) после выполнения \(k\) операций.

Входные данные

Каждый тест состоит из нескольких наборов входных данных. В первой строке находится одно целое число \(t\) (\(1 \leq t \leq 1000\)) — количество наборов входных данных. Далее следует описание наборов входных данных.

Первая строка каждого набора входных данных содержит два целых числа \(n\) и \(k\) (\(2\le n\le 2\cdot 10^3\), \(1\le k\le 10^9\)) — длину массива и количество операций, которое необходимо выполнить.

Вторая строка каждого набора входных данных содержит \(n\) целых чисел \(a_1, a_2, \ldots, a_n\) (\(1\le a_i\le 10^{18}\)) — элементы массива \(a\).

Гарантируется, что сумма \(n^2\) по всем наборам входных данных не превосходит \(4\cdot 10^6\).

Выходные данные

Для каждого набора входных данных выведите одно целое число — наименьшее возможное значение минимума массива \(a\) после выполнения \(k\) операций.

Примечание

В первом наборе входных данных после любых \(k=2\) операций минимальное значение \(a\) будет равно \(1\).

Во втором наборе входных данных оптимальная стратегия состоит в том, чтобы сначала выбрать \(i=1, j=2\) и добавить \(|a_1 - a_2| = 3\) к концу \(a\), получив \(a=[7, 4, 15, 12, 3]\). Затем выбрать \(i=3, j=4\) и добавить \(|a_3 - a_4| = 3\) к концу \(a\), получив \(a=[7, 4, 15, 12, 3, 3]\). В последней операции выбрать \(i=5, j=6\) и добавить \(|a_5 - a_6| = 0\) в конец \(a\). Тогда минимальный элемент \(a\) станет равным \(0\).

В третьем наборе входных данных оптимальная стратегия состоит в том, чтобы сначала выбрать \(i=2, j=3\) и добавить \(|a_2 - a_3| = 3\) к концу \(a\). Любая вторая операция все равно не приведет к тому, чтобы минимальное значение \(a\) стало меньше \(3\).

D. Spaceship Exploration

Бинарный поиск геометрия *2800

In The ICPC Galaxy, there exists a zone filled with asteroids that is unsafe to enter. The map of the galaxy is represented in a 2D Cartesian coordinate system. The zone is in the shape of an \(N\)-sided convex polygon. Each corner is numbered from \(1\) to \(N\); corner \(i\) is located at \((X_i, Y_i)\). At any moment, you should not be inside this polygon; however, it is safe to touch the side of the polygon.

There are \(Q\) scenarios (numbered from \(1\) to \(Q\)). In scenario \(j\), you want to go from a starting point at \((A_j, B_j)\) to an ending point at \((C_j, D_j)\). You will be riding on a special spaceship that can only travel in a straight line. First, you set the direction of the spaceship, then the spaceship will start traveling in that direction. During the travel, you are only allowed to change direction at most once. Changing direction means you stop the spaceship, set a new direction, and then start traveling again in the new direction.

For each scenario, determine the minimum distance required to travel without being inside of the zone at any moment, or report if it is impossible to reach the ending point.

Input

The first line consists of an integer \(N\) (\(3 \leq N \leq 100\,000\)).

Each of the next \(N\) lines consists of two integers \(X_i\) \(Y_i\) (\(-10^9 \leq X_i, Y_i \leq 10^9\)). The points form a convex polygon in counterclockwise order. There are no three points which are collinear.

The following line consists of an integer \(Q\) (\(1 \leq Q \leq 100\,000\)).

Each of the next \(Q\) lines consists of four integers \(A_j\) \(B_j\) \(C_j\) \(D_j\) (\(-10^9 \leq A_j, B_j, C_j, D_j \leq 10^9\)). There are no starting points and ending points inside the zone. However, it is possible for the starting point and the ending point to be at the side of the zone.

All the coordinates in the input are integers.

Output

For each scenario, output the answer in a single line.

If it is possible to reach the ending point without being inside the zone at any moment, then output the minimum distance required to travel. Otherwise, output -1.

Your answer is considered correct if its absolute error or relative error does not exceed \(10^{-6}\). Namely, if your answer is \(a\) and the jury's answer is \(b\), then your answer is accepted if \(\frac{|a - b|}{\max(1, |b|)} \leq 10^{-6}\).

Note

Explanation for the sample input/output #1

This sample is depicted in the following illustration.

During scenario \(1\) and \(4\), you can directly go to the ending point without changing the direction.

During scenario \(2\), you can go to \((0, 2)\), then change direction to the ending point.

During scenario \(3\), you can go to \((6, 2)\), then change direction to the ending point.

During scenario \(5\), it can be shown that it is impossible to reach the ending point.

D. Прыжки по отрезкам

Бинарный поиск Конструктив *1400

Поликарп разрабатывает уровень для игры. Уровень состоит из \(n\) отрезков на числовой прямой, \(i\)-й отрезок начинается в точке с координатой \(l_i\) и заканчивается в точке с координатой \(r_i\).

Игрок начинает уровень в точке с координатой \(0\). За один ход он может переместиться на любую точку, расстояние до которой не больше \(k\). После своего \(i\)-го хода игрок должен оказаться в \(i\)-м отрезке, то есть в такой координате \(x\), что \(l_i \le x \le r_i\). То есть:

  • После первого хода он должен оказаться внутри первого отрезка (от \(l_1\) до \(r_1\));
  • После второго хода он должен оказаться внутри второго отрезка (от \(l_2\) до \(r_2\));
  • ...
  • После \(n\)-го хода он должен оказаться внутри \(n\)-го отрезка (от \(l_n\) до \(r_n\)).

Уровень считается пройденным, если игрок добрался до \(n\)-го отрезка, следуя правилам, описанным выше. Немного подумав, Поликарп понял, что при некоторых \(k\) пройти уровень невозможно.

Поликарп не хочет, чтобы уровень был слишком простым, поэтому просит вас определить минимальное целое число \(k\), при котором его возможно пройти.

Входные данные

Первая строка содержит одно целое число \(t\) (\(1 \le t \le 10^4\)) — количество наборов входных данных. Далее следуют описания наборов.

Первая строка каждого набора содержит одно целое число \(n\) (\(1 \le n \le 2 \cdot 10^5\)) — количество отрезков на уровне.

Далее следуют \(n\) строк, \(i\)-я из которых содержит два числа \(l_i\) и \(r_i\) (\(0 \le l_i \le r_i \le 10^9\)) — границы \(i\)-го отрезка. Отрезки могут пересекаться.

Гарантируется, что сумма \(n\) по всем наборам входных данных не превосходит \(2 \cdot 10^5\).

Выходные данные

Для каждого набора входных данных выведите единственное целое число — минимальное целое \(k\), при котором возможно пройти уровень.

Примечание

В третьем примере игрок может сделать следующие ходы:

  • Переместиться из точки \(0\) в точку \(5\) (\(3 \le 5 \le 8\));
  • Переместиться из точки \(5\) в точку \(10\) (\(10 \le 10 \le 18\));
  • Переместиться из точки \(10\) в точку \(7\) (\(6 \le 7 \le 11\)).

Обратите внимание, что последним ходом игрок мог не перемещаться и всё равно пройти уровень.

E. Разгон митингов

Бинарный поиск Деревья Структуры данных *2200

В Берляндии неспокойные времена. Берляндская оппозиция, финансируемая из соседнего государства, организовала митинги в столице Берляндии городе Берляндске. Благодаря работе разведки известно, что митинги продлятся k дней.

К счастью, в Берляндии есть специальный полицейский отряд, который может спасти страну. В нем ровно n солдат, пронумерованных от 1 до n. Берляндский генерал, командующий отрядом, должен составить расписание работы отряда в эти непростые k дней. В каждый из этих дней генерал должен отправить некоторое количество полицейских для разгона беспорядков. Так как отряд большой, а генерал не очень умный, то он может выбрать только набор из всех солдат с номерами от l до r, включительно, где l и r он выбирает произвольно.

Сейчас у генерала есть ровно две проблемы. Во-первых, нельзя два раза отправлять один и тот же отряд — тогда солдатам станет скучно и они взбунтуются. Во-вторых, не все солдаты одинаково надежны. У каждого солдата есть некоторая надежность ai. Надежность отряда считается как сумма надежностей солдат в нем. Надежность одного солдата может быть отрицательной, тогда при включении в отряд он будет только помехой. Генерал отличается большой жадностью и столь же большой недальновидностью, поэтому каждый день он отправляет на разгон самый надежный отряд солдат из возможных (то есть из всех отрядов, которые еще не были отправлены).

Правительство Берляндии решило узнать, какова будет минимальная надежность отряда, отправляемого на разгон митингов в течение этих k дней. Сам генерал не может справиться со столь сложной задачей. Помогите ему не опозориться перед начальством!

Входные данные

На первой строке записаны два целых числа n и k — количество солдат в отряде и количество дежурств.

На второй строке задано n целых чисел через пробел ai, не превосходящих по модулю 109 — надежности солдат.

Пожалуйста, не используйте спецификатор %lld для чтения или записи 64-х битовых чисел на С++, вместо него рекомендуется использовать потоки cin, cout, а также спецификатор %I64d.

Выходные данные

Выведите одно число — искомую минимальную надежность отряда в течение этих k дней.

H. Сумма цифр сумм

Бинарный поиск Структуры данных *особая задача *2400

Дан массив \([a_1, a_2, \dots, a_n]\), состоящий из положительных целых чисел.

Для каждого \(i\) от \(1\) до \(n\) посчитайте \(\sum \limits_{j=1}^{n} F(a_i + a_j)\), где \(F(x)\) — сумма цифр \(x\).

Входные данные

В первой строке задано одно целое число \(n\) (\(2 \le n \le 2 \cdot 10^5\)).

Во второй строке заданы \(n\) целых чисел \(a_1, a_2, \dots, a_n\) (\(1 \le a_i < 10^9\)).

Выходные данные

Выведите \(n\) целых чисел, \(i\)-е из них должно быть равно \(\sum \limits_{j=1}^{n} F(a_i + a_j)\).

C. Игра с мультимножеством

Бинарный поиск Перебор жадные алгоритмы *1300 битмаски

В этой задаче вам изначально дано пустое мультимножество. Вам нужно обработать два типа запросов:

  1. ADD \(x\) — добавить элемент, равный \(2^{x}\), в мультимножество;
  2. GET \(w\) — сказать, возможно ли взять сумму некоторого подмножества текущего мультимножества и получить значение, равное \(w\).
Входные данные

Первая строка содержит одно целое число \(m\) (\(1 \le m \le 10^5\)) — количество запросов.

Затем следуют \(m\) строк, каждая из которых содержит два целых числа \(t_i\), \(v_i\), обозначающих \(i\)-й запрос. Если \(t_i = 1\), то \(i\)-й запрос — ADD \(v_i\) (\(0 \le v_i \le 29\)). Если \(t_i = 2\), то \(i\)-й запрос — GET \(v_i\) (\(0 \le v_i \le 10^9\)).

Выходные данные

Для каждого запроса GET выведите YES, если возможно выбрать подмножество с суммой, равной \(w\), или NO, если это невозможно.

F. Палиндромы и изменения

Строки Бинарный поиск Структуры данных *2800 хэши строковые суфф. структуры

Вам дана строка \(s\) длины \(n\), состоящая из строчных латинских букв.

Вам разрешено заменить не более одного символа строки на произвольную строчную латинскую букву.

Выведите лексикографически минимальную строку, которая получается из исходной и содержит максимальное количество палиндромов в качестве подстрок. Если какой-то палиндром входит как подстрока несколько раз, он учитывается столько же раз, сколько встречается в строке.

Строка \(a\) лексикографически меньше строки \(b\), если и только если выполняется один из следующих пунктов:

  • \(a\) — префикс \(b\), но \(a \ne b\);
  • в первой позиции, где \(a\) и \(b\) различаются, в строке \(a\) находится буква, которая встречается в алфавите раньше, чем соответствующая буква в \(b\).
Входные данные

В первой строке записано одно целое число \(n\) (\(1 \leq n \leq 3 \cdot 10^5\)) — количество символов в строке.

Во второй строке задана сама строка \(s\) из \(n\) строчных латинских букв

Выходные данные

В первой строке выведите одно целое число — максимальное количество подстрок-палиндромов, которое может быть у строки, которую можно получить, применив операцию не более одного раза.

Во второй строке выведите строку, которую можно получить из \(s\) и которая содержит максимальное количество подстрок-палиндромов. Если таких строк несколько, выведите лексикографически минимальную.

C. Можно ли построить квадрат?

Бинарный поиск реализация *800

У Калина есть \(n\) ведер, \(i\)-е из которых содержит \(a_i\) деревянных квадратов со стороной длиной \(1\).

Может ли Калин построить один большой квадрат, используя все заданные квадраты?

Входные данные

Первая строка содержит одно целое число \(t\) (\(1 \leq t \leq 10^4\)) — количество наборов входных данных.

Первая строка каждого набора входных данных содержит одно целое число \(n\) (\(1 \leq n \leq 2 \cdot 10^5\)) — количество ведер.

Вторая строка каждого набора входных данных содержит \(n\) целых чисел \(a_1, \ldots, a_n\) (\(1 \leq a_i \leq 10^9\)) — количество квадратов в каждом ведре.

Сумма \(n\) по всем тестам не превышает \(2 \cdot 10^5\).

Выходные данные

Для каждого набора входных данных выведите «YES», если Калин может построить квадрат, используя все заданные квадраты \(1 \times 1\), и «NO» в противном случае.

Вы можете вывести ответ в любом регистре (например, строки «yEs», «yes», «Yes» и «YES» будут распознаны как положительный ответ).

Примечание

В первом наборе входных данных Калин может построить квадрат \(3 \times 3\).

Во втором наборе входных данных Калин может построить квадрат \(4 \times 4\).

В третьем наборе входных данных Калин не может построить квадрат, используя все заданные квадраты.

D. Блокировка элементов

Бинарный поиск Структуры данных реализация дп *1900

Вам дан массив чисел \(a_1, a_2, \ldots, a_n\). Ваша задача — заблокировать некоторые элементы массива так, чтобы минимизировать его стоимость. Допустим, вы заблокировали элементы с индексами \(1 \leq b_1 < b_2 < \ldots < b_m \leq n\). Тогда стоимость массива вычисляется как максимум из:

  • суммы заблокированных элементов, то есть \(a_{b_1} + a_{b_2} + \ldots + a_{b_m}\).
  • максимума из сумм на частях, на которые распадается массив, если удалить заблокированные элементы. То есть максимум из сумм на следующем (\(m + 1\))-ом подотрезке: [\(1, b_1 − 1\)], [\(b_1 + 1, b_2 − 1\)], [\(\ldots\)], [\(b_{m−1} + 1, b_m - 1\)], [\(b_m + 1, n\)] (сумма чисел на подотрезке вида [\(x,x − 1\)] полагается равной \(0\)).

К примеру, если \(n = 6\), исходный массив равен [\(1, 4, 5, 3, 3, 2\)], и вы заблокировали элементы на позициях \(2\) и \(5\), то стоимость массива будет равна максимуму из суммы заблокированных элементов (\(4 + 3 = 7\)) и сумм на отрезках (\(1\), \(5 + 3 = 8\), \(2\)) что равно \(\max(7,1,8,2) = 8\).

Вам нужно вывести минимальную стоимость массива после блокировки.

Входные данные

В первой строке входных данных вводится одно число \(t\) (\(1 \leq t \leq 30\,000\)) — количество запросов.

Каждый набор входных данных состоит из двух строк. В первой строке вводится число \(n\) (\(1 \leq n \leq 10^5\)) — длина массива \(a\). Во второй строке вводится \(n\) элементов \(a_1, a_2, \ldots, a_n\) (\(1 \leq a_i \leq 10^9\)) — массив \(a\).

Гарантируется, что сумма \(n\) по всем наборам входных данных не превышает \(10^5\).

Выходные данные

Для каждого набора входных данных выведите одно число — минимальную стоимость блокировки массива.

Примечание

Первый набор совпадает с массивом из условия. Чтобы получить стоимость \(7\) нужно заблокировать элементы на позициях \(2\) и \(4\), В таком случае стоимость массива вычислится как максимум из:

  • суммы заблокированных элементов, которая равна \(a_2 + a_4 = 7\).
  • максимума из сумм на частях, на которые распадается массив, если убрать заблокированные, то есть максимум из \(a_1\), \(a_3\), \(a_5 + a_6 = \max(1,5,5) = 5\).

То есть стоимость равна \(\max(7,5) = 7\).

Во втором наборе можно заблокировать элементы на позициях \(1\) и \(4\).

В третьем наборе чтобы получить ответ \(11\) можно заблокировать элементы на позициях \(2\) и \(5\). Есть и другие способы получить такой ответ, например заблокировать позиции \(4\) и \(6\).

A. Модные числа

Бинарный поиск Перебор реализация *1300

Как вам хорошо известно, в этом году самые модные числа — это так называемые треугольные числа (то есть целые числа, представимые в виде , где k — некоторое целое положительное число), а самые крутые — те, которые представимы в виде суммы двух треугольных.

Небезызвестный хипстер Андрей очень любит все модное и крутое, но, к сожалению, он не дружит с математикой. Помогите ему по числу n сказать, раскладывается ли оно в сумму двух треугольных чисел (не обязательно различных)!

Входные данные

В первой строке записано целое число n (1 ≤ n ≤ 109).

Выходные данные

Выведите «YES» (без кавычек), если n раскладывается в сумму двух треугольных, и «NO» (без кавычек) в противном случае.

Примечание

В первом примере число .

Во втором примере число 512 представить в виде суммы двух треугольных невозможно.

D. Повторение в массиве

Бинарный поиск Перебор математика реализация *1900 снм

У Джейдена есть массив \(a\), который изначально пуст. Ему необходимо выполнить \(n\) операций двух типов в заданном порядке.

  1. Джейден добавляет целое число \(x\) (\(1 \leq x \leq n\)) в конец массива \(a\).
  2. Джейден добавляет \(x\) копий массива \(a\) в конец массива \(a\). Другими словами, массив \(a\) становится равным \([a,\underbrace{a,\ldots,a}_{x}]\). Гарантируется, что перед этим была выполнена хотя бы одна операция первого типа.

У Джейдена есть \(q\) запросов. Для каждого запроса вы должны сообщить ему \(k\)-й элемент массива \(a\). Элементы массива нумеруются с \(1\).

Входные данные

Каждый тест состоит из нескольких наборов входных данных. Первая строка содержит одно целое число \(t\) (\(1 \leq t \leq 5000\)) — количество наборов входных данных. Далее следует описание наборов входных данных.

Первая строка каждого набора входных данных содержит два целых числа \(n\) и \(q\) (\(1 \leq n, q \leq 10^5\)) — количество операций и количество запросов.

Следующие \(n\) строк описывают операции. Каждая строка содержит два целых числа \(b\) и \(x\) (\(b \in \{1, 2\}\)), где \(b\) обозначает тип операции. Если \(b=1\), то \(x\) (\(1 \leq x \leq n\)) является целым числом, которое Джейден добавляет в конец массива. Если \(b=2\), то \(x\) (\(1 \leq x \leq 10^9\)) является количеством копий, которые Джейден добавляет в конец массива.

Следующая строка каждого набора входных данных содержит \(q\) целых чисел \(k_1, k_2, \ldots, k_q\) (\(1 \leq k_i \leq \min(10^{18}, c)\)), которые обозначают запросы, где \(c\) — размер массива после выполнения всех \(n\) операций.

Гарантируется, что сумма \(n\) и сумма \(q\) по всем наборам входных данных не превышает \(10^5\).

Выходные данные

Для каждого набора входных данных выведите \(q\) целых чисел — ответы на запросы Джейдена.

Примечание

В первом наборе входных данных:

  • После первой операции \(a = [1]\);
  • После второй операции \(a = [1, 2]\);
  • После третьей операции \(a = [1, 2, 1, 2]\);
  • После четвёртой операции \(a = [1, 2, 1, 2, 3]\);
  • После пятой операции \(a = [1, 2, 1, 2, 3, 1, 2, 1, 2, 3, 1, 2, 1, 2, 3, 1, 2, 1, 2, 3]\).

В четвёртом наборе входных данных после всех операций \(a = [1, 2]\).

F1. Спокойное плавание (простая версия)

Бинарный поиск Перебор Структуры данных поиск в глубину и подобное графы кратчайшие пути снм *2500

Единственное отличие двух версий этой задачи состоит в ограничении на \(q\). Вы можете делать взломы, только если обе версии задачи решены.

Томас плавает вокруг острова, окружённого океаном. Океан и остров можно представить в виде таблицы с \(n\) строками и \(m\) столбцами. Строки пронумерованы от \(1\) до \(n\) сверху вниз, а столбцы пронумерованы от \(1\) до \(m\) слева направо. Позицию клетки в строке \(r\) и в столбце \(c\) обозначим как \((r, c)\). Ниже приведен пример допустимой таблицы.

Пример допустимой таблицы

Существует три типа клеток: остров, океан и подводный вулкан. Клетки, представляющие остров, отмечены символом '#', клетки, представляющие океан, отмечены символом '.', а клетки, представляющие подводный вулкан, отмечены символом 'v'. Гарантируется, что есть хотя бы одна клетка острова и хотя бы одна клетка подводного вулкана. Также гарантируется, что множество всех клеток острова образует единую связную компоненту\(^{\dagger}\), и множество всех клеток океана и подводных вулканов также образует единую связную компоненту. Кроме того, гарантируется, что на краю таблицы (то есть, в строке \(1\), в строке \(n\), в столбце \(1\) и в столбце \(m\)) нет клеток острова.

Определим круговой маршрут, проходимый Томасом, начинающийся в клетке \((x, y)\), как путь, который удовлетворяет следующим условиям:

  • Путь начинается и заканчивается в клетке \((x, y)\).
  • Если Томас находится в клетке \((i, j)\), то он может перейти в клетки \((i+1, j)\), \((i-1, j)\), \((i, j-1)\) и \((i, j+1)\), при условии, что клетка, в которую он переходит, является клеткой океана или подводного вулкана и находится внутри таблицы. Обратите внимание, что Томасу разрешается посещать одну и ту же клетку несколько раз за один круговой маршрут.
  • Путь должен обойти остров и полностью его окружить. Некоторый путь \(p\) полностью окружает остров, если невозможно добраться от клетки острова до клетки на границе таблицы, перемещаясь только в соседние по стороне или диагонали клетки, не посещая при этом клетку на пути \(p\). На изображении ниже путь, начинающийся в \((2, 2)\), приходящий в \((1, 3)\) и возвращающийся в \((2, 2)\) в обратную сторону, не полностью окружает остров и не считается круговым маршрутом.
Пример пути, который не полностью окружает остров

Безопасность кругового маршрута — это минимальное манхэттенское расстояние\(^{\ddagger}\) от клетки на круговом маршруте до подводного вулкана (обратите внимание, что наличие клеток острова не влияет на это расстояние).

У вас есть \(q\) запросов. Запрос можно представить как \((x, y)\), и для каждого запроса вы хотите найти максимальную безопасность кругового маршрута, начинающегося в \((x, y)\). Гарантируется, что \((x, y)\) является клеткой океана или подводного вулкана.

\(^{\dagger}\)Множество клеток образует единую связную компоненту, если из любой клетки этого множества можно добраться до любой другой клетки этого множества, перемещаясь только по клеткам этого множества, каждый раз переходя в клетку с общей стороной.

\(^{\ddagger}\)Манхэттенское расстояние между клетками \((r_1, c_1)\) и \((r_2, c_2)\) равно \(|r_1 - r_2| + |c_1 - c_2|\).

Входные данные

Первая строка содержит три целых числа \(n\), \(m\) и \(q\) (\(3 \leq n, m \leq 10^5\), \(9 \leq n \cdot m \leq 3 \cdot 10^5\), \(1 \leq q \leq 5\)) — количество строк и столбцов таблицы и количество запросов.

Каждая из следующих \(n\) строк содержит \(m\) символов, описывающих клетки таблицы. Символ '#' обозначает клетку острова, '.' обозначает клетку океана, и 'v' обозначает клетку подводного вулкана.

Гарантируется, что есть хотя бы одна клетка острова и хотя бы одна клетка подводного вулкана. Гарантируется, что множество всех клеток острова образует единую связную компоненту, и множество всех клеток океана и подводных вулканов также образует единую связную компоненту. Также гарантируется, что нет клеток острова на краю таблицы (то есть, в строке \(1\), в строке \(n\), в столбце \(1\) и в столбце \(m\)).

Следующие \(q\) строк описывают запросы. Каждая из этих строк содержит два целых числа \(x\) и \(y\) (\(1 \leq x \leq n\), \(1 \leq y \leq m\)), обозначающие круговой маршрут, начинающийся в \((x, y)\).

Гарантируется, что \((x, y)\) является клеткой океана или подводного вулкана.

Выходные данные

Для каждого запроса выведите одно целое число — максимальную безопасность кругового маршрута, начинающегося в указанной клетке.

Примечание

Для первого примера на изображении ниже показан оптимальный круговой маршрут, начинающийся в \((1, 1)\). Безопасность кругового маршрута равна \(3\), так как минимальное манхэттенское расстояние от клетки на круговом маршруте до подводного вулкана равно \(3\).

Пример оптимального кругового маршрута

В четвёртом примере помните, что Томасу разрешается посещать одну и ту же клетку несколько раз за один круговой маршрут. Например, это необходимо для кругового маршрута, начинающегося в \((7, 6)\).

F2. Спокойное плавание (сложная версия)

Бинарный поиск Деревья Структуры данных геометрия графы *3000 снм

Единственное отличие двух версий этой задачи состоит в ограничении на \(q\). Вы можете делать взломы, только если обе версии задачи решены.

Томас плавает вокруг острова, окружённого океаном. Океан и остров можно представить в виде таблицы с \(n\) строками и \(m\) столбцами. Строки пронумерованы от \(1\) до \(n\) сверху вниз, а столбцы пронумерованы от \(1\) до \(m\) слева направо. Позицию клетки в строке \(r\) и в столбце \(c\) обозначим как \((r, c)\). Ниже приведен пример допустимой таблицы.

Пример допустимой таблицы

Существует три типа клеток: остров, океан и подводный вулкан. Клетки, представляющие остров, отмечены символом '#', клетки, представляющие океан, отмечены символом '.', а клетки, представляющие подводный вулкан, отмечены символом 'v'. Гарантируется, что есть хотя бы одна клетка острова и хотя бы одна клетка подводного вулкана. Также гарантируется, что множество всех клеток острова образует единую связную компоненту\(^{\dagger}\), и множество всех клеток океана и подводных вулканов также образует единую связную компоненту. Кроме того, гарантируется, что на краю таблицы (то есть, в строке \(1\), в строке \(n\), в столбце \(1\) и в столбце \(m\)) нет клеток острова.

Определим круговой маршрут, проходимый Томасом, начинающийся в клетке \((x, y)\), как путь, который удовлетворяет следующим условиям:

  • Путь начинается и заканчивается в клетке \((x, y)\).
  • Если Томас находится в клетке \((i, j)\), то он может перейти в клетки \((i+1, j)\), \((i-1, j)\), \((i, j-1)\) и \((i, j+1)\), при условии, что клетка, в которую он переходит, является клеткой океана или подводного вулкана и находится внутри таблицы. Обратите внимание, что Томасу разрешается посещать одну и ту же клетку несколько раз за один круговой маршрут.
  • Путь должен обойти остров и полностью его окружить. Некоторый путь \(p\) полностью окружает остров, если невозможно добраться от клетки острова до клетки на границе таблицы, перемещаясь только в соседние по стороне или диагонали клетки, не посещая при этом клетку на пути \(p\). На изображении ниже путь, начинающийся в \((2, 2)\), приходящий в \((1, 3)\) и возвращающийся в \((2, 2)\) в обратную сторону, не полностью окружает остров и не считается круговым маршрутом.
Пример пути, который не полностью окружает остров

Безопасность кругового маршрута — это минимальное манхэттенское расстояние\(^{\ddagger}\) от клетки на круговом маршруте до подводного вулкана (обратите внимание, что наличие клеток острова не влияет на это расстояние).

У вас есть \(q\) запросов. Запрос можно представить как \((x, y)\), и для каждого запроса вы хотите найти максимальную безопасность кругового маршрута, начинающегося в \((x, y)\). Гарантируется, что \((x, y)\) является клеткой океана или подводного вулкана.

\(^{\dagger}\)Множество клеток образует единую связную компоненту, если из любой клетки этого множества можно добраться до любой другой клетки этого множества, перемещаясь только по клеткам этого множества, каждый раз переходя в клетку с общей стороной.

\(^{\ddagger}\)Манхэттенское расстояние между клетками \((r_1, c_1)\) и \((r_2, c_2)\) равно \(|r_1 - r_2| + |c_1 - c_2|\).

Входные данные

Первая строка содержит три целых числа \(n\), \(m\) и \(q\) (\(3 \leq n, m \leq 10^5\), \(9 \leq n \cdot m \leq 3 \cdot 10^5\), \(1 \leq q \leq 3 \cdot 10^5\)) — количество строк и столбцов таблицы и количество запросов.

Каждая из следующих \(n\) строк содержит \(m\) символов, описывающих клетки таблицы. Символ '#' обозначает клетку острова, '.' обозначает клетку океана, и 'v' обозначает клетку подводного вулкана.

Гарантируется, что есть хотя бы одна клетка острова и хотя бы одна клетка подводного вулкана. Гарантируется, что множество всех клеток острова образует единую связную компоненту, и множество всех клеток океана и подводных вулканов также образует единую связную компоненту. Также гарантируется, что нет клеток острова на краю таблицы (то есть, в строке \(1\), в строке \(n\), в столбце \(1\) и в столбце \(m\)).

Следующие \(q\) строк описывают запросы. Каждая из этих строк содержит два целых числа \(x\) и \(y\) (\(1 \leq x \leq n\), \(1 \leq y \leq m\)), обозначающие круговой маршрут, начинающийся в \((x, y)\).

Гарантируется, что \((x, y)\) является клеткой океана или подводного вулкана.

Выходные данные

Для каждого запроса выведите одно целое число — максимальную безопасность кругового маршрута, начинающегося в указанной клетке.

Примечание

Для первого примера на изображении ниже показан оптимальный круговой маршрут, начинающийся в \((1, 1)\). Безопасность кругового маршрута равна \(3\), так как минимальное манхэттенское расстояние от клетки на круговом маршруте до подводного вулкана равно \(3\).

Пример оптимального кругового маршрута

В четвёртом примере помните, что Томасу разрешается посещать одну и ту же клетку несколько раз за один круговой маршрут. Например, это необходимо для кругового маршрута, начинающегося в \((7, 6)\).

D. Слизни

Бинарный поиск Структуры данных Конструктив *1800 жадные алгоритмы

В линию расположено \(n\) слизней. Слизни нумеруются от \(1\) до \(n\) слева направо. Размер \(i\)-го слизня равен \(a_i\).

Каждую секунду происходит следующее: ровно один слизень съедает одного из своих соседей и увеличивает свой размер на значение размера соседа. Слизень может съесть своего соседа, только если он строго больше этого соседа. Если нет такого слизня, который больше хотя бы одного из его соседей — процесс завершается.

Например, предположим, что \(n = 5\), \(a = [2, 2, 3, 1, 4]\). Процесс может пройти следующим образом:

  • сначала \(3\)-й слизень съедает \(2\)-го. Размер \(3\)-го слизня становится равным \(5\), \(2\)-й слизень съеден.
  • затем \(3\)-й слизень съедает \(1\)-го (они соседи, так как \(2\)-й уже съеден). Размер \(3\)-го слизня становится равным \(7\), \(1\)-й слизень съеден.
  • затем \(5\)-й слизень съедает \(4\)-го. Размер \(5\)-го слизня становится равным \(5\), \(4\)-й слизень съеден.
  • затем \(3\)-й слизень съедает \(5\)-го (они соседи, так как \(4\)-й уже съеден). Размер \(3\)-го слизня становится равным \(12\), \(5\)-й слизень съеден.

Для каждого слизня вычислите минимальное количество секунд, за которое он может оказаться съеден каким-то другим слизнем (среди всех возможных вариантов, как может происходить процесс), или сообщите, что это невозможно.

Входные данные

Первая строка содержит одно целое число \(t\) (\(1 \le t \le 10^4\)) — количество наборов входных данных.

Первая строка каждого набора содержит одно целое число \(n\) (\(1 \le n \le 3 \cdot 10^5\)) — количество слизней.

Вторая строка содержит \(n\) целых чисел \(a_1, a_2, \dots, a_n\) (\(1 \le a_i \le 10^9\)).

Сумма \(n\) по всем наборам входных данных не превышает \(3 \cdot 10^5\).

Выходные данные

Для каждого набора входных данных выведите \(n\) целых чисел, где \(i\)-е число должно быть равно минимальному количеству секунд, необходимому для того, чтобы \(i\)-й слизень был съеден другим слизнем, или -1, если это невозможно.

F. Shrink-Reverse

Строки Бинарный поиск Перебор реализация *2800 жадные алгоритмы хэши строковые суфф. структуры

Вам задана бинарная строка \(s\) длины \(n\) (строка, состоящая из \(n\) символов, и каждый символ — либо 0, либо 1).

Посмотрим на строку \(s\) как на двоичное представление некоторого числа, и назовем это число значением строки \(s\). Например, значение строки 000 равно \(0\), значение 01101 равно \(13\), значение 100000 — это \(32\), и так далее.

Вы можете применить не более \(k\) операций к \(s\). Каждая операция должна иметь один из следующих двух типов:

  • SWAP: выбрать два индекса \(i < j\) в \(s\) и поменять местами \(s_i\) и \(s_j\);
  • SHRINK-REVERSE: удалить все лидирующие нули из \(s\) и перевернуть строку \(s\).
Например, после применения SHRINK-REVERSE к строке 000101100 вы получите строку 001101.

Какое минимальное значение строки \(s\) вы можете получить, применив не более \(k\) операций к \(s\)?

Входные данные

В первой строке заданы два целых числа \(n\) и \(k\) (\(2 \le n \le 5 \cdot 10^5\); \(1 \le k \le n\)) — длина строки \(s\) и максимальное количество операций.

Во второй строке задана строка \(s\) длины \(n\), состоящая из символов 0 и/или 1.

Дополнительное ограничение на входные данные: в строке \(s\) есть хотя бы одна цифра 1.

Выходные данные

Выведите одно целое число — наименьшее возможное значение строки \(s\), которое вы можете получить, применив не более \(k\) операций. Так как ответ может быть слишком большим, выведите его по модулю \(10^{9} + 7\).

Заметим, что вы должны минимизировать само значение, а не его остаток.

Примечание

В первом примере, одна из оптимальных стратегий — следующая:

  1. 10010010 \(\xrightarrow{\texttt{SWAP}}\) 00010110;
  2. 00010110 \(\xrightarrow{\texttt{SWAP}}\) 00000111.
Значение строки 00000111 равно \(7\).

Во втором примере, одна из оптимальных стратегий — следующая:

  1. 01101000 \(\xrightarrow{\texttt{SHRINK}}\) 1101000 \(\xrightarrow{\texttt{REVERSE}}\) 0001011;
  2. 0001011 \(\xrightarrow{\texttt{SWAP}}\) 0000111.
Значение строки 0000111 равно \(7\).

E. Влад и нечётное упорядочение

Бинарный поиск Структуры данных математика реализация дп *1500 теория чисел битмаски

У Владислава есть \(n\) карт с номерами \(1, 2, \dots, n\). Он хочет выложить их в ряд следующим образом:

  • Сначала он выкладывает все карты с нечетными номерами от наименьшего к наибольшему.
  • Затем он выкладывает все карты, которые являются удвоенными нечетными числами, от наименьшего к наибольшему (т.е., \(2\) умноженное на нечётное число).
  • Затем он выкладывает все карты, которые являются нечетными числами, умноженными на \(3\), от наименьшего к наибольшему (т.е., \(3\) умноженное на нечётное число).
  • Затем он выкладывает все карты, которые являются нечетными числами, умноженными на \(4\), от наименьшего к наибольшему (т.е., \(4\) умноженное на нечётное число).
  • И так далее, пока все карты не будут выложены.
Какая карта будет \(k\)-й, которую он выложит в этом процессе? После того, как Влад положил карту, он не может использовать ее снова.
Входные данные

Первая строка содержит целое число \(t\) (\(1 \leq t \leq 5 \cdot 10^4\)) — количество наборов входных данных.

Единственная строка каждого набора содержит два целых числа \(n\) и \(k\) (\(1 \leq k \leq n \leq 10^9\)) — количество карт у Влада и позицию карты, которую нужно вывести.

Выходные данные

Для каждого набора входных данных выведите одно целое число — \(k\)-ю карту, которую выложит Влад.

Примечание

В первых семи наборах входных данных примера \(n=7\). Влад выкладывает карты следующим образом:

  • Сначала — все карты с нечетными номерами в порядке \(1\), \(3\), \(5\), \(7\).
  • Затем — все карты, которые являются удвоенными нечетными числами, в порядке \(2\), \(6\).
  • Затем нет оставшихся карт, которые являются нечетными числами, умноженными на \(3\). (У Влада есть только по одной карте каждого числа.)
  • Затем — все карты, которые являются нечетными числами, умноженными на \(4\), и есть только одна такая карта: \(4\).
  • Больше карт не осталось, поэтому Влад останавливается.
Таким образом, порядок карт будет \(1\), \(3\), \(5\), \(7\), \(2\), \(6\), \(4\).

D. Найди различные!

Бинарный поиск Перебор Структуры данных дп жадные алгоритмы *1300 снм

Вам дан массив \(a\) из \(n\) целых чисел, а также \(q\) запросов.

Каждый запрос представлен двумя числами \(l\) и \(r\) (\(1 \le l \le r \le n\)). Ваша задача для каждого запроса найти такие два индекса \(i\) и \(j\) (или сообщить, что их не существует), что:

  • \(l \le i \le r\);
  • \(l \le j \le r\);
  • \(a_i \ne a_j\).

Иными словами, вам нужно для каждого запроса найти пару различных элементов среди \(a_l, a_{l+1}, \dots, a_r\) или сообщить, что такой пары не существует.

Входные данные

Первая строка входных данных содержит одно целое число \(t\) (\(1 \le t \le 10^4\)) — количество наборов входных данных. Далее следуют описания наборов.

Первая строка каждого набора содержит одно целое число \(n\) (\(2 \le n \le 2 \cdot 10^5\)) — длину массива \(a\).

Вторая строка каждого набора содержит \(n\) целых чисел \(a_1, a_2, \dots, a_n\) (\(1 \le a_i \le 10^6\)) — элементы массива \(a\).

Третья строка каждого набора содержит одно целое число \(q\) (\(1 \le q \le 2 \cdot 10^5\)) — количество запросов.

Следующие \(q\) строк содержат по два целых числа \(l\) и \(r\) (\(1 \le l < r \le n\)) — границы запроса.

Гарантируется, что сумма значений \(n\) по всем наборам не превышает \(2 \cdot 10^5\). Аналогично, гарантируется, что сумма значений \(q\) по всем наборам не превышает \(2 \cdot 10^5\).

Выходные данные

Для каждого запроса выведите два числа: искомые \(i\) и \(j\) (\(l \le i, j \le r\)), для которых \(a_i \ne a_j\). Если такой пары не существует, выведите \(i=-1\) и \(j=-1\).

Вы можете разделять выводы для наборов входных данных пустыми строками. Это не является обязательным требованием.

B. Уравняй

Бинарный поиск жадные алгоритмы *1200 сортировки

У Васи есть два хобби — прибавлять перестановки\(^{\dagger}\) к массивам и находить самый часто встречающийся элемент. Недавно он нашел массив \(a\) и решил узнать, какое максимальное количество элементов равных одинаковому числу в массиве \(a\) он может получить после того, как прибавит какую-то перестановку к массиву \(a\).

Более формально, Вася может выбрать какую-то перестановку \(p_1, p_2, p_3, \ldots, p_n\) длины \(n\), после чего изменить элементы массива \(a\) по правилу \(a_i := a_i + p_i\). После этого Вася считает, сколько раз каждое число встречается в массиве \(a\), и берёт максимум по этим значениям. Вам нужно определить, какое максимальное значение он может получить.

\(^{\dagger}\)Перестановкой длины \(n\) является массив, состоящий из \(n\) различных целых чисел от \(1\) до \(n\) в произвольном порядке. Например, \([2,3,1,5,4]\) — перестановка, но \([1,2,2]\) не перестановка (\(2\) встречается в массиве дважды) и \([1,3,4]\) тоже не перестановка (\(n=3\), но в массиве встречается \(4\)).

Входные данные

Каждый тест состоит из нескольких наборов входных данных. Первая строка содержит одно целое число \(t\) (\(1 \leq t \leq 2 \cdot 10^4\)) — количество наборов входных данных. Далее следует описание наборов входных данных.

Первая строка каждого набора входных данных содержит одно целое число \(n\) (\(1 \le n \le 2 \cdot 10^5\)) — длина массива \(a\).

Вторая строка каждого набора входных данных содержит \(n\) целых чисел \(a_1, a_2, \ldots, a_n\) (\(1 \le a_i \le 10^9\)) — элементы массива \(a\).

Гарантируется, что сумма \(n\) по всем наборам входных данных не превосходит \(2 \cdot 10^5\).

Выходные данные

Для каждого набора входных данных выведите одно число — максимальное количество элементов, равных одинаковому числу, после операции прибавления перестановки.

Примечание

В первом наборе входных данных оптимально выбрать \(p = [2, 1]\). Тогда после применения операции массив \(a\) будет равен \([3, 3]\), в котором число \(3\) встречается дважды, поэтому ответ равен \(2\).

Во втором наборе входных данных одним из оптимальных вариантов является \(p = [2, 3, 1, 4]\). После применения операции массив \(a\) будет равен \([9, 4, 5, 5]\). Так как число \(5\) встречается дважды, то ответ равен \(2\).

C. Саша и казино

Бинарный поиск Перебор Конструктив математика *1400 жадные алгоритмы игры

Саша решил подарить лучшую сумочку своей девушке, но, к несчастью для Саши, она очень дорогая. Поэтому Саша хочет на неё заработать. Посмотрев советы по заработку в интернете, он решил пойти в казино.

Саша знает, что казино работает по следующим правилам. Если Саша сделает ставку в \(y\) монет (где \(y\) — положительное целое число), то в случае победы он получит \(y \cdot k\) монет (то есть количество его монет увеличится на \(y \cdot (k - 1)\)). А в случае поражения он потеряет всю сумму ставки (то есть количество его монет уменьшится на \(y\)).

Обратите внимание, что сумма ставки всегда должна быть положительным (\(> 0\)) целым числом и не может превышать текущее количество монет у Саши.

Также Саше известно, что в казино действует акция: он не может проиграть более \(x\) раз подряд.

Изначально у Саши есть \(a\) монет. Ему интересно, может ли он делать ставки так, чтобы у него гарантированно получилось выиграть сколь угодно много монет. Другими словами, правда ли, что для любого целого числа \(n\), Саша сможет делать ставки так, чтобы при любых их результатах, не противоречащих описанным выше правилам, в какой-то момент времени у него было хотя бы \(n\) монет.

Входные данные

Каждый тест состоит из нескольких наборов входных данных. Первая строка содержит одно целое число \(t\) (\(1 \le t \le 1000\)) — количество наборов входных данных. Далее следует описание наборов входных данных.

Единственная строка каждого набора входных данных содержит три целых числа \(k, x\) и \(a\) (\(2 \leq k \leq 30\), \(1 \leq x \leq 100\), \(1 \leq a \leq 10^9\)) — количество раз, в которое увеличивается ставка при выигрыше, максимальное количество проигрышей подряд и изначальное количество монет у Саши.

Выходные данные

Для каждого набора входных данных выведите «YES» (без кавычек), если Саша сможет получить сколь угодно много монет и «NO» (без кавычек) в противном случае.

Вы можете выводить «YES» и «NO» в любом регистре (например, строки «yEs», «yes» и «Yes» будут распознаны как положительный ответ).

Примечание

В первом наборе входных данных Саша может действовать следующим образом:

  • Если Саша делает ставку в первый раз или в предыдущий раз он выиграл, то он ставит \(1\) монету.
  • Если в предыдущий раз Саша проиграл, то он ставит \(2\) монеты.

Обратите внимание, что Саша не может проиграть более одного раза подряд.

Можно доказать, что при такой стратегии Саша может получить сколько угодно много монет.

Во втором наборе входных данных Саша может в первый раз поставить только \(1\) монету. Но в случае проигрыша он больше не сможет делать ставки, поэтому он не сможет сделать так, чтобы у него гарантированно оказалось сколь угодно много монет.

C. Лексикографически наибольший

Бинарный поиск Структуры данных Конструктив жадные алгоритмы сортировки *1700

У Стека есть массив \(a\) длины \(n\). У него также есть пустое множество \(S\). Заметим, что \(S\) не является мультимножеством.

Он выполнит следующую трехшаговую операцию ровно \(n\) раз:

  1. Выбрать индекс \(i\) такой, что \(1 \leq i \leq |a|\).
  2. Вставить\(^\dagger\) \(a_i + i\) в \(S\).
  3. Удалить \(a_i\) из \(a\). Обратите внимание, что индексы всех элементов справа от \(a_i\) уменьшаются на \(1\).

Обратите внимание, что после \(n\) операций массив \(a\) станет пустым.

После Стек построит новый массив \(b\), который является \(S\), отсортированным в порядке убывания. Формально, \(b\) — это массив длины \(|S|\), где \(b_i\) — \(i\)-й наибольший элемент \(S\) для всех \(1 \leq i \leq |S|\).

Найдите лексикографически наибольший\(^\ddagger\) массив \(b\), который может получить Стек.

\(^\dagger\) Множество может содержать только уникальные элементы. Вставка элемента, который уже присутствует в множестве, не изменит множество.

\(^\ddagger\) Массив \(p\) лексикографически больше массива \(q\) тогда и только тогда, когда выполняется одно из следующих условий:

  • \(q\) является префиксом \(p\), но \(p \ne q\); или
  • в первой позиции, где \(p\) и \(q\) различаются, массив \(p\) имеет больший элемент, чем соответствующий элемент в \(q\).

Заметим, что \([3,1,4,1,5]\) лексикографически больше, чем \([3,1,3]\), \([\,]\) и \([3,1,4,1]\), но не больше \([3,1,4,1,5,9]\), \([3,1,4,1,5]\) и \([4]\).

Входные данные

Каждый тест состоит из нескольких наборов входных данных. В первой строке находится одно целое число \(t\) (\(1 \leq t \leq 10^4\)) — количество наборов входных данных. Далее следует описание наборов входных данных.

Первая строка каждого набора входных данных содержит одно целое число \(n\) (\(1 \leq n \leq 3 \cdot 10^5\)) — длину массивов \(a\).

Вторая строка каждого набора входных данных содержит \(n\) целых чисел \(a_1,a_2,\ldots,a_{n}\) (\(1 \leq a_i \leq 10^9\)) — элементы массива \(a\).

Сумма \(n\) по всем наборам входных данных не превосходит \(3 \cdot 10^5\).

Выходные данные

Для каждого набора входных данных выведите лексикографически наибольшее значение \(b\).

Примечание

В первом наборе входных данных выберите \(i=1\) в первой операции, вставьте \(a_1 + 1 = 3\) в \(S\) и удалите \(a_1\) из \(a\). После первой операции массив \(a\) станет \(a=[1]\). Во второй операции снова выберите \(i=1\) и вставьте \(a_1 + 1 = 2\) в \(S\). Таким образом, \(S=\{2, 3\}\), и \(b = [3, 2]\).

Обратите внимание, что если в первой операции выбрать \(i=2\), а во второй выбрать \(i=1\), то \(S=\{3\}\), так как \(3\) будет вставлено дважды, в результате чего \(b=[3]\).

Поскольку \([3,2]\) лексикографически больше \([3]\), то в первой операции следует выбрать \(i=1\).

Во втором примере в каждой операции нужно выбирать последний элемент.

E. Оптимальные тренировки

Бинарный поиск Тернарный поиск математика реализация *1500

Исаак начинает свою тренировку. Доступно \(n\) маршрутов, \(i\)-й маршрут (\(1 \le i \le n\)) состоит из \(a_i\) участков одинаковой длины.

Дано целое число \(u\) (\(1 \le u \le 10^9\)), завершение каждого участка может увеличить способности Исаака на определенное значение:

  • Завершение \(1\)-го участка увеличивает способности Исаака на \(u\).
  • Завершение \(2\)-го участка увеличивает способности Исаака на \(u-1\).
  • Завершение \(3\)-го участка увеличивает способности Исаака на \(u-2\).
  • \(\ldots\)
  • Завершение \(k\)-го участка (\(k \ge 1\)) увеличивает способности Исаака на \(u+1-k\). (Значение \(u+1-k\) может быть отрицательным, что означает, что завершение дополнительного участка уменьшает способности Исаака.)

Также дано целое число \(l\). Вы можете выбрать целое число \(r\), такое что \(l \le r \le n\), и тогда Исаак завершит каждый участок каждого маршрута \(l, l + 1, \dots, r\) (то есть, всего \(\sum_{i=l}^r a_i = a_l + a_{l+1} + \ldots + a_r\) участков).

Ответьте на следующий вопрос: какое оптимальное значение \(r\) вы можете выбрать, чтобы увеличение способностей Исаака было максимальным?

Если существует несколько значений \(r\), которые максимизируют увеличение способностей Исаака, выведите наименьшее значение \(r\).

Для увеличения сложности вам нужно ответить на вопрос для \(q\) различных значений \(l\) и \(u\).

Входные данные

Первая строка ввода содержит одно целое число \(t\) (\(1 \le t \le 10^4\)) — количество наборов входных данных.

Далее следуют описания наборов.

Первая строка содержит одно целое число \(n\) (\(1 \le n \le 10^5\)).

Вторая строка содержит \(n\) целых чисел \(a_1, a_2, \ldots, a_n\) (\(1 \le a_i \le 10^4\)).

Третья строка содержит одно целое число \(q\) (\(1 \le q \le 10^5\)).

Следующие \(q\) строк содержат по два целых числа \(l\) и \(u\) (\(1 \le l \le n, 1 \le u \le 10^9\)) — описания каждого запроса.

Сумма \(n\) по всем наборам входных данных теста не превышает \(2 \cdot 10^5\). Сумма \(q\) по всем наборам входных данных теста не превышает \(2 \cdot 10^5\).

Выходные данные

Для каждого теста выведите \(q\) целых чисел: \(i\)-е целое число содержит оптимальное значение \(r\) для \(i\)-го запроса. Если существует несколько решений, выведите наименьшее из них.

Примечание

Для \(1\)-го запроса в первом тесте:

  • Выбрав \(r = 3\), Исаак завершает \(a_1 + a_2 + a_3 = 3 + 1 + 4 = 8\) участков в общей сложности, поэтому его увеличение способностей составляет \(u+(u-1)+\ldots+(u-7)=8+7+6+5+4+3+2+1 = 36\).
  • Выбрав \(r = 4\), Исаак завершает \(a_1 + a_2 + a_3 + a_4 = 3 + 1 + 4 + 1 = 9\) участков в общей сложности, поэтому его увеличение способностей составляет \(u+(u-1)+\ldots+(u-8)=8+7+6+5+4+3+2+1+0 = 36\).

Оба варианта дают оптимальное увеличение способностей, однако мы хотим выбрать наименьшее значение \(r\). Поэтому мы выбираем \(r = 3\).

Для \(2\)-го запроса в первом тесте, выбрав \(r = 4\), Исаак завершает \(a_2 + a_3 + a_4 = 1 + 4 + 1 = 6\) участков в общей сложности, поэтому его увеличение способностей составляет \(u+(u-1)+\ldots+(u-5)=7+6+5+4+3+2 = 27\). Это оптимальное увеличение способностей.

Для \(3\)-го запроса в первом тесте:

  • Выбрав \(r = 5\), Исаак завершает \(a_5 = 5\) участков в общей сложности, поэтому его увеличение способностей составляет \(u+(u-1)+\ldots+(u-4)=9+8+7+6+5 = 35\).
  • Выбрав \(r = 6\), Исаак завершает \(a_5 + a_6 = 5 + 9 = 14\) участков в общей сложности, поэтому его увеличение способностей составляет \(u+(u-1)+\ldots+(u-13)=9+8+7+6+5+4+3+2+1+0+(-1)+(-2)+(-3)+(-4) = 35\).

Оба варианта дают оптимальное увеличение способностей, однако мы хотим выбрать наименьшее значение \(r\). Поэтому мы выбираем \(r = 5\).

Таким образом, вывод для первого теста: \([3, 4, 5]\).

C. Найдите мину

Бинарный поиск Конструктив математика геометрия жадные алгоритмы *1700 интерактив

Это интерактивная задача.

Вам дано клетчатое поле из \(n\) строк и \(m\) столбцов. Координаты \((x, y)\) обозначают клетку на поле, где \(x\) (\(1 \leq x \leq n\)) — номер строки, начиная сверху, и \(y\) (\(1 \leq y \leq m\)) — номер столбца, начиная слева. Гарантируется, что на поле ровно \(2\) мины в различных клетках, обозначенных \((x_1, y_1)\) и \((x_2, y_2)\). Вы можете сделать не более \(4\) запросов к интерактору, и после этих запросов вы должны предоставить расположение одной из мин.

В каждом запросе вы выбираете позицию на поле \((x, y)\), и в качестве ответа вы получите манхэтонское расстояние от выбранной позиции до ближайшей из двух мин, то есть значение \(\min(|x-x_1|+|y-y_1|, |x-x_2|+|y-y_2|)\).

Ваша задача — определить расположение одной из мин, сделав свои запросы.

Входные данные

Каждый тест состоит из нескольких наборов входных данных. В первой строке находится одно целое число \(t\) (\(1 \leq t \leq 3 \cdot 10^{3}\)) — количество наборов входных данных.

Единственная строка каждого набора входных данных содержит два целых числа \(n\) и \(m\) (\(2 \leq n \leq 10^{8}\), \(2 \leq m \leq 10^{8}\)) — количество строк и столбцов.

Протокол взаимодействия

Для каждого набора входных данных интеракция начинается с чтения \(n\) и \(m\).

Затем вы можете сделать не более \(4\) запросов следующим образом:

«? x y» (\(1 \leq x \leq n\) и \(1 \leq y \leq m\))

После каждого из них вы должны прочитать число \(d\), которое равняется \(\min(|x-x_1|+|y-y_1|, |x-x_2|+|y-y_2|)\).

Когда вы нашли расположение любой из мин, выведите в единственной строке «! x y» (без кавычек), обозначающие строку и столбец для этой мины. Вывод ответа не считается за запрос.

После вывода ответа ваша программа должна продолжить решать оставшиеся тестовые случаи или завершиться, если все тестовые случаи были решены.

Интерактор в этой задаче не является адаптивным: расположение мин зафиксировано заранее и не зависит от запросов.

После вывода запроса не забудьте вывести перевод строки и сбросить буфер вывода. В противном случае вы получите вердикт Решение «зависло». Для сброса буфера используйте:

  • fflush(stdout) или cout.flush() в C++;
  • System.out.flush() в Java;
  • flush(output) в Pascal;
  • stdout.flush() в Python;
  • смотрите документацию для других языков.

Взломы:

Чтобы сделать взлом, используйте следующий формат:

В первой строке находится одно целое число \(t\) (\(1 \leq t \leq 3 \cdot 10^{3}\)) — количество наборов входных данных.

Описание каждого тестового случая должно состоять из трех строк.

Первая строка содержит два целых числа \(n\) и \(m\) (\(2 \leq n \leq 10^{8}\), \(2 \leq m \leq 10^{8}\)) — количество строк и столбцов.

Вторая строка содержит координаты первой мины \(x_1\) и \(y_1\)(\(1 \leq x_1 \leq n\), \(1 \leq y_1 \leq m\)).

Третья строка содержит координаты второй мины \(x_2\) и \(y_2\)(\(1 \leq x_2 \leq n\), \(1 \leq y_2 \leq m\)).

Мины должны располагаться в различных позициях.

Примечание

В первом наборе входных данных мы сначала спрашиваем про верхний левый угол \((1, 1)\) и получаем результат \(3\), что означает, что есть мина на побочной диагонали, и нет мин над ней.

На картинке ниже каждая клетка содержит число, обозначающее расстояние до синей клетки. Зеленые клетки — кандидаты, в которых содержится ближайшая мина.

Затем мы спрашиваем три клетки на диагонали и в последнем запросе мы получаем результат \(0\), что означает, что одна из мин найдена на позиции \((2, 3)\).

Вторая мина располагалась на позиции \((3, 2)\).

Во втором наборе входных данных мы сначала спрашиваем нижний правый угол \((5, 5)\) и получаем результат \(1\), который означает, что одна из двух соседних клеток содержит мину, назовем ее миной \(1\).

Затем мы спрашиваем клетку \((2, 2)\). Можем заметить, что зеленые клетки не пересекаются с зелеными клетками из первого запроса, поэтому они содержат оставшуюся мину, назовем ее миной \(2\).

Запрос \(3\) — это клетка \((3, 3)\). Эти клетки содержат мину \(1\), но мы все еще не знаем, где именно. Тем не менее, мы можем определить, что единственной возможной клеткой для мины \(2\) является клетка \((1, 1)\), потому что все остальные кандидаты находятся на дистанции менее \(3\) для этого запроса.

C. Мессенджер в ЦПМ

Бинарный поиск Перебор Структуры данных Конструктив дп *1800 жадные алгоритмы сортировки

В новом мессенджере для учащихся Центра Помощи Магистрам, Кефтемерум, планируется обновление, в котором разработчики хотят оптимизировать набор сообщений, показываемых пользователю. Всего есть \(n\) сообщений, каждое сообщение характеризуется двумя целыми числами \(a_i\) и \(b_i\). Время, потраченное на прочтение набора сообщений с номерами \(p_1, p_2, \ldots, p_k\) (\(1 \le p_i \le n\), все \(p_i\) различны) рассчитывается по формуле:

\(\)\Large \sum_{i=1}^{k} a_{p_i} + \sum_{i=1}^{k - 1} |b_{p_i} - b_{p_{i+1}}|\(\)

Обратите внимание, что время прочтения набора сообщений, состоящего из одного сообщения с номером \(p_1\), равно \(a_{p_1}\). Также время прочтения пустого набора сообщений считается равным \(0\).

Пользователь может сам определить время \(l\), которое он готов провести в мессенджере. Мессенджер же должен сообщить пользователю максимально возможный размер набора сообщений, время прочтения которого не превышает \(l\). Обратите внимание, что максимальный размер набора сообщений может быть равен \(0\).

Разработчики популярного мессенджера не справились внедрить данную функцию, поэтому попросили вас решить эту задачу.

Входные данные

Каждый тест состоит из нескольких наборов входных данных. Первая строка содержит одно целое число \(t\) (\(1 \leq t \leq 5 \cdot 10^4\)) — количество наборов входных данных. Далее следует описание наборов входных данных.

Первая строка каждого набора входных данных содержит два целых числа \(n\) и \(l\) (\(1 \leq n \leq 2000\), \(1 \leq l \leq 10^9\)) — количество сообщений и время, которое пользователь готов провести в мессенджере.

\(i\)-я из следующих \(n\) строк содержит два целых числа \(a_i\) и \(b_i\) (\(1 \le a_i, b_i \le 10^9\)) — характеристики \(i\)-го сообщения.

Гарантируется, что сумма \(n^2\) по всем наборам входных данных не превосходит \(4 \cdot 10^6\).

Выходные данные

Для каждого набора входных данных выведите одно целое число — максимально возможный размер набора сообщений, время прочтения которого не превышает \(l\).

Примечание

В первом наборе входных данных, можно взять набор из трёх сообщений с номерами \(p_1 = 3\), \(p_2 = 2\) и \(p_3 = 5\). Время, затрачиваемое на прочтение данного набора, равно \(a_3 + a_2 + a_5 + |b_3 - b_2| + |b_2 - b_5| = 2 + 1 + 2 + |4 - 5| + |5 - 3| = 8\).

Во втором наборе входных данных, можно взять набор из одного сообщения со номером \(p_1 = 1\). Время, затрачиваемое на прочтение данного набора, равно \(a_1 = 4\).

В пятом наборе входных данных можно показать, что не существует такого непустого набора сообщений, затрачиваемое время на прочтение которого не превышает \(l\).

D. Экзамен в ЦПМ

Бинарный поиск Комбинаторика математика реализация *1800

Центр Помощи Магистрам объявил вступительный экзамен, который заключается в следующем.

Кандидату даётся множество \(s\) размера \(n\), а также некоторое странное число \(c\). Для этого множества нужно посчитать количество пар целых чисел \((x, y)\) таких, что \(0 \leq x \leq y \leq c\), \(x + y\) не содержится в множестве \(s\), а также \(y - x\) не содержится в множестве \(s\).

Ваш друг хочет поступить в Центр. Помогите ему сдать экзамен!

Входные данные

Каждый тест состоит из нескольких наборов входных данных. Первая строка содержит одно целое число \(t\) (\(1 \leq t \leq 2 \cdot 10^4\)) — количество наборов входных данных. Далее следует описание наборов входных данных.

Первая строка каждого набора входных данных содержит два целых числа \(n\) и \(c\) (\(1 \leq n \leq 3 \cdot 10^5\), \(1 \leq c \leq 10^9\)) — размер множества и странное число.

Вторая строка каждого набора входных данных содержит \(n\) целых чисел \(s_1, s_2, \ldots, s_{n}\) (\(0 \leq s_1 < s_2 < \ldots < s_{n} \leq c\)) — элементы множества \(s\).

Гарантируется, что сумма \(n\) по всем наборам входных данных не превосходит \(3 \cdot 10^5\).

Выходные данные

Для каждого набора входных данных выведите одно целое число — количество подходящих пар целых чисел.

Примечание

В первом наборе входных данных подходят следующие пары: \((0, 0)\), \((2, 2)\), \((3, 3)\).

В третьем наборе входных данных подходят следующие пары: \((0, 1)\), \((0, 2)\), \((0, 4)\), \((1, 3)\), \((2, 6)\), \((3, 4)\), \((3, 5)\), \((4, 5)\), \((4, 6)\), \((5, 6)\).

F. Дерево Андрея

Бинарный поиск Деревья Структуры данных Конструктив реализация *2800 поиск в глубину и подобное жадные алгоритмы снм

Магистр Андрей очень любит деревья\(^{\dagger}\), поэтому у него есть дерево, состоящее из \(n\) вершин.

Но не все так просто. Магистр Тимофей решил украсть одну вершину из дерева. Если Тимофей украл вершину \(v\) из дерева, то вершина \(v\) и все ребра с концом в вершине \(v\) удаляются из дерева, при этом номера других вершин не меняются. Чтобы Андрей не расстраивался, Тимофей решил сделать получившийся граф снова деревом. Для этого он может добавлять ребра между произвольными вершинами \(a\) и \(b\), однако при добавлении такого ребра он должен заплатить \(|a - b|\) монет в Центр Помощи Магистрам.

Обратите внимание, что получившееся дерево не содержит вершину \(v\).

Тимофей не определился, какую вершину \(v\) он удалит из дерева, поэтому он хочет знать для каждой вершины \(1 \leq v \leq n\), какое минимальное количество монет нужно потратить, чтобы после удаления вершины \(v\) сделать граф снова деревом, а также какие ребра при этом нужно добавить.

\(^{\dagger}\)Деревом называется неориентированный связный граф без циклов.

Входные данные

Каждый тест состоит из нескольких наборов входных данных. Первая строка содержит одно целое число \(t\) (\(1 \le t \le 10^4\)) — количество наборов входных данных. Далее следует описание наборов входных данных.

Первая строка каждого набора входных данных содержит одно целое число \(n\) (\(5 \le n \le 2\cdot10^5\)) — количество вершин в дереве Андрея.

В следующих \(n - 1\) строках содержится описание ребер дерева. \(i\)-я из этих строк содержит два целых числа \(u_i\) и \(v_i\) (\(1 \le u_i, v_i \le n\)) — номера вершин, соединённых \(i\)-м ребром.

Гарантируется, что данные рёбра образуют дерево.

Гарантируется, что сумма \(n\) по всем наборам входных данных не превосходит \(2\cdot10^5\).

Выходные данные

Для каждого набора входных данных выведите ответ в следующем формате:

Для каждой вершины \(v\) (в порядке от \(1\) до \(n\)) в первой строке выведите два целых числа \(w\) и \(m\) — минимальное количество монет, которое нужно потратить, чтобы граф после удаления вершины \(v\) снова стал деревом, и количество добавленных ребер.

Далее выведите \(m\) строк, каждая из которых содержит два целых числа \(a\) и \(b\) (\(1 \le a, b \le n, a \ne v, b \ne v\), \(a \ne b\)) — концы добавленного ребра.

Если существует несколько способов добавить ребра, вы можете вывести любое решение с минимальной стоимостью.

Примечание

В первом наборе входных данных:

Рассмотрим удаление вершины \(4\):

Оптимальным решением будет провести ребро из вершины \(5\) в вершину \(3\). Тогда мы потратим \(|5 - 3| = 2\) монеты.

В третьем наборе входных данных:

Рассмотрим удаление вершины \(1\):

Оптимальным решением будет:

  • Провести ребро из вершины \(2\) в вершину \(3\), потратив \(|2 - 3| = 1\) монету.
  • Провести ребро из вершины \(3\) в вершину \(4\), потратив \(|3 - 4| = 1\) монету.
  • Провести ребро из вершины \(4\) в вершину \(5\), потратив \(|4 - 5| = 1\) монету.

Тогда сумарно мы потратим \(1 + 1 + 1 = 3\) монеты.

Рассмотрим удаление вершины \(2\):

Ребра проводить не нужно, так как после удаления вершины граф останется деревом.

B. Пинбол

Бинарный поиск Структуры данных математика реализация *2000

Дана полоска из \(n\) клеток. В \(i\)-й клетке полоски находится символ \(s_i\), равный '<' или '>'.

Когда шарик помещают в одну из клеток, он начинает движение в соответствии со следующими правилами:

  • Если шарик находится в \(i\)-й клетке и \(s_i\) равно '<', то шарик за одну секунду сдвигается на одну клетку влево. Если же \(s_i\) равно '>', то шарик сдвигается на одну клетку вправо.
  • После того как шарик сдвинулся, символ \(s_i\) заменяется на противоположный (т. е. если символ \(s_i\) был равен '<', он становится равным '>', и наоборот).
  • Шарик прекращает движение, когда покидает полоску: он выходит за границы либо слева, либо справа.

Вам нужно ответить на \(n\) независимых запросов. В \(i\)-м запросе шарик изначально помещается в \(i\)-ю клетку. Обратите внимание, что шарик всегда помещается на одну из клеток изначальной полоски.

Для каждого запроса посчитайте, сколько пройдёт секунд до момента, когда шарик выйдет за пределы полоски. Можно доказать, что шарик всегда покинет полоску за конечное число шагов.

Входные данные

Каждый тест состоит из нескольких наборов входных данных. В первой строке находится одно целое число \(t\) (\(1 \le t \le 10^5\)) — количество наборов входных данных. Далее следует описание наборов входных данных.

Первая строка каждого набора входных данных содержит одно целое число \(n\) (\(1 \le n \le 5 \cdot 10^5\)).

Вторая строка каждого набора входных данных содержит строку \(s_1s_2 \ldots s_{n}\) длины \(n\), состоящую из символов '<' и '>'.

Гарантируется, что сумма значений \(n\) по всем наборам входных данных не превосходит \(5 \cdot 10^5\).

Выходные данные

Для каждого набора входных данных, для каждого \(i\) (\(1 \le i \le n\)) выведите ответ, если шарик изначально помещается в \(i\)-ю клетку.

Примечание

В первом наборе входных данных движение шарика для \(i=1\) показано на картинке ниже. Шарику нужно \(3\) секунды, чтобы покинуть полоску.

Движение шарика для \(i=2\) показано на картинке ниже. Шарику нужно \(6\) секунд, чтобы покинуть полоску.

D. Битовый парадокс

Бинарный поиск Структуры данных жадные алгоритмы битмаски *3100

Даны два массива целых чисел \(a\) и \(b\) длины \(n\), а также фиксированное целое число \(v\).

Отрезок \([l, r]\) назовём хорошим, если \((b_l \mid b_{l+1} \mid \ldots \mid b_r) \ge v\), где \(|\) обозначает операцию побитового ИЛИ. Далее, красота хорошего отрезка определяется как \(\max(a_l, a_{l+1}, \ldots, a_r)\).

Вам даны \(q\) запросов двух типов:

  • «1 i x»: нужно выполнить присваивание \(b_i := x\);
  • «2 l r»: найдите минимальную красоту среди всех хороших отрезков \([l_0,r_0]\), удовлетворяющих условию \(l \le l_0 \le r_0 \le r\). Если подходящих красивых отрезков нет, выведите \(-1\).

Обработайте все запросы.

Входные данные

Каждый тест состоит из нескольких наборов входных данных. В первой строке находится одно целое число \(t\) (\(1 \le t \le 10^5\)) — количество наборов входных данных. Далее следует описание наборов входных данных.

Первая строка каждого набора входных данных содержит два целых числа \(n\) и \(v\) (\(1 \le n \le 2 \cdot 10^5\), \(1 \le v \le 10^9\)).

Вторая строка каждого набора входных данных содержит \(n\) целых чисел \(a_1, a_2, \ldots, a_n\) (\(1 \le a_i \le 10^9\)).

Третья строка каждого набора входных данных содержит \(n\) целых чисел \(b_1, b_2, \ldots, b_n\) (\(1 \le b_i \le 10^9\)).

Четвёртая строка каждого набора входных данных содержит одно целое число \(q\) (\(1 \le q \le 2 \cdot 10^5\)).

В \(i\)-й из следующих \(q\) строк содержится описание очередного запроса. Каждая строка имеет один из двух типов:

  • «1 i x» (\(1 \le i \le n\), \(1 \le x \le 10^9)\);
  • «2 l r» (\(1 \le l \le r \le n\)).

Гарантируется, что сумма значений \(n\) по всем наборам входных данных, как и сумма значений \(q\) по всем наборам входных данных, не превосходит \(2 \cdot 10^5\).

Выходные данные

Для каждого набора входных данных выведите ответы на все запросы второго типа.

Примечание

В первом наборе входных данных \(a = [2, 1, 3]\), \(b = [2, 2, 3]\), \(v = 7\).

Первый запрос является запросом второго типа, в нём \(l = 1\) и \(r = 3\). Самый большой доступный отрезок есть \([1, 3]\), но даже на нём побитовое ИЛИ равно \(b_1 \mid b_2 \mid b_3 = 3\), что меньше \(v\). Значит, не существует ни одного хорошего отрезка.

Второй запрос просит заменить \(b_2\) на \(5\), так что массив \(b\) становится равен \([2, 5, 3]\).

Третий запрос является запросом второго типа, в нём \(l = 2\) и \(r = 3\). Есть три возможных отрезка: \([2, 2]\), \([3, 3]\) и \([2, 3]\). Однако, \(b_2 = 5 < v\), \(b_3 = 3 < v\). Так что только последний отрезок является хорошим: для него \(b_2 \mid b_3 = 7\). Значит, ответ равен \(\max(a_2, a_3) = 3\).

Четвёртый запрос является запросом второго типа, в нём \(l = 1\) и \(r = 3\). Есть три хороших отрезка: \([1, 2]\), \([2, 3]\) и \([1, 3]\). Их красоты равны \(2\), \(3\), \(3\) соответственно. Таким образом, ответ равен \(2\).

Во втором наборе входных данных \(a = [5, 1, 2, 4]\), \(b = [4, 2, 3, 3]\), \(v = 5\).

В первом запросе \(l = 1\) и \(r = 4\). Хорошими отрезками являются только следующие: \([1, 2]\), \([1, 3]\), \([1, 4]\). Их красоты равны \(5\), \(5\), \(5\) соответственно. Таким образом, ответ равен \(5\).

F. Великий финал: круги

Бинарный поиск геометрия *3300

На плоскости даны \(n\) кругов: \(i\)-й из этих кругов задан тройкой целых чисел \((x_i, y_i, r_i)\), где \((x_i, y_i)\) — координаты его центра, а \(r_i\) — радиус круга.

Найдите круг \(C\), который удовлетворяет следующим условиям:

  • \(C\) содержится внутри всех \(n\) данных кругов.
  • Среди всех кругов \(C\), удовлетворяющих первому условию, радиус круга максимален.

Пусть наибольший подходящий круг имеет радиус \(a\).

Ваш круг \(C\), задаваемый тройкой \((x,y,r)\), будет считаться верным, если он удовлетворяет следующим условиям:

  • Для каждого \(i\), \(\sqrt{(x_i-x)^2+(y_i-y)^2}+ r \le r_i+\max(a,1)\cdot 10^{-7}\).
  • Абсолютная или относительная ошибка \(r\) не превышает \(10^{-7}\). Формально, ваш ответ будет зачтён, если и только если \(\frac{\left|r - a\right|}{\max(1, a)} \le 10^{-7}\).
Входные данные

Первая строка содержит одно целое число \(n\) (\(1 \le n \le 10^5\)) — количество кругов.

В \(i\)-й из следующих \(n\) строк содержится три целых числа \(x_i\), \(y_i\), \(r_i\) (\(-10^6 \le x_i,y_i \le 10^6\), \(1 \le r_i \le 2 \cdot 10^6\)).

Гарантируется, что существует круг радиуса хотя бы \(10^{-6}\), лежащий внутри всех \(n\) кругов.

Выходные данные

Выведите три числа \(x\), \(y\) и \(r\) — координаты центра и радиус круга.

Примечание

Ниже представлена координатная плоскость, описывающая первый набор входных данных. Найденный круг \(C\) заштрихован синими линиями.

Ниже представлена координатная плоскость, описывающая второй набор входных данных. Найденный круг \(C\) заштрихован синими линиями.

E. Рудольф и k мостов

Бинарный поиск Структуры данных *1600 дп

Бернард любит ездить к Рудольфу в гости, но постоянно опаздывает. Проблема в том, что Бернард вынужден переплывать реку на пароме. Рудольф решил помочь своему другу решить эту проблему.

Река представляет собой клетчатое поле из \(n\) строк и \(m\) столбцов. На пересечении \(i\)-й строки и \(j\)-го столбца записано число \(a_{i,j}\) — глубина в соответствующей клетке. Все клетки первого и последнего столбцов соответствуют берегам реки, поэтому глубина в них \(0\).

Река может выглядеть так.

Рудольф может выбрать строку \((i,1), (i,2), \ldots, (i,m)\) и построить над ней мост. В каждой клетке строки он может установить опору для моста. Стоимость установки опоры в клетке \((i,j)\) равна \(a_{i,j}+1\). Опоры необходимо установить так, чтобы были выполнены следующие условия:

  1. В клетке \((i,1)\) должна быть установлена опора;
  2. В клетке \((i,m)\) должна быть установлена опора;
  3. Расстояние между любой парой соседних опор должно быть не больше \(d\). Расстояние между опорами \((i, j_1)\) и \((i, j_2)\) равно \(|j_1 - j_2| - 1\).

Построить один мост это скучно. Поэтому Рудольф решил построить \(k\) мостов на последовательных строках реки, то есть выбрать некоторое \(i\) (\(1 \le i \le n - k + 1\)) и независимо построить по мосту на каждой из строк \(i, i + 1, \ldots, i + k - 1\). Помогите Рудольфу минимизировать суммарную стоимость установки опор.

Входные данные

Первая строка содержит одно целое число \(t\) \((1 \le t \le 10^3)\) — количество наборов входных данных. Далее следуют описания наборов.

Первая строка каждого набора данных содержит четыре целых числа \(n\), \(m\), \(k\) и \(d\) (\(1 \le k \le n \le 100\), \(3 \le m \le 2 \cdot 10^5\), \(1 \le d \le m\)) — количество строк и столбцов поля, количество мостов, максимальное расстояние между опорами.

Далее следует \(n\) строк, \(i\)-я строка содержит \(m\) целых положительных чисел \(a_{i, j}\) (\(0 \le a_{i, j} \le 10^6\), \(a_{i, 1} = a_{i, m} = 0\)) — глубины клеток реки.

Гарантируется, что сумма \(n \cdot m\) по всем наборам входных данных не превышает \(2 \cdot 10^5\).

Выходные данные

Для каждого набора входных данных выведите одно число — минимальную суммарную стоимость опор.

Примечание

В первом наборе тестовых данных выгоднее всего построить мост на второй строке.

Это не вид сверху, а вид сбоку: серые ячейки — сам мост, белые ячейки — пустые, черные ячейки — опоры, синие ячейки — вода, коричневые ячейки — дно реки.

Во втором наборе мост выгоднее всего построить на второй и третьей строках. Опоры будут стоять в клетках \((2, 3)\), \((3, 2)\) и на берегах.

В третьем наборе опоры можно расположить по берегам.

F. Рудольф и дисбаланс

Бинарный поиск *1800 жадные алгоритмы сортировки

Рудольф подготовил набор из \(n\) задач со сложностями \(a_1 < a_2 < a_3 < \dots < a_n\). Он не совсем доволен балансом, поэтому хочет добавить не больше одной задачи, чтобы его исправить.

Для этого Рудольф придумал \(m\) моделей задач и \(k\) функций. Сложность \(i\)-й модели равна \(d_i\), а сложность \(j\)-й функции равна \(f_j\). Чтобы составить задачу, он выбирает значения \(i\) и \(j\) (\(1 \le i \le m\), \(1 \le j \le k\)) и, совмещая \(i\)-ю модель с \(j\)-й функцией, получает новую задачу сложности \(d_i + f_j\) (в массив \(a\) добавляется новый элемент).

Чтобы определить дисбаланс набора, Рудольф сортирует сложности задач по возрастанию и находит самое большое значение \(a_i - a_{i - 1}\) (\(i > 1\)).

Какого минимального значения дисбаланса может добиться Рудольф, добавив не больше одной задачи, составленной по описанным правилам?

Входные данные

Первая строка входных данных содержит одно целое число \(t\) (\(1 \le t \le 10^4\)) — количество наборов входных данных.

Первая строка каждого набора содержит три целых числа \(n\), \(m\) и \(k\) (\(2 \le n \le 10^5\), \(1 \le m, k \le 2 \cdot 10^5\)) — количество готовых задач, количество моделей и количество функций, соответственно.

Вторая строка каждого набора содержит \(n\) целых чисел \(a_1, a_2, a_3, \dots a_n\) (\(1 \le a_i \le 2 \cdot 10^9\), \(a_i < a_{i+1}\)) — сложности готовых задач.

Третья строка каждого набора содержит \(m\) целых чисел \(d_1, d_2, d_3, \dots d_m\) (\(1 \le d_i \le 10^9\)) — сложности моделей.

Четвёртая строка каждого набора содержит \(k\) целых чисел \(f_1, f_2, f_3, \dots f_k\) (\(1 \le f_i \le 10^9\)) — сложности функций.

Гарантируется, что сумма \(n\) по всем наборам входных данных не превосходит \(10^5\).

Гарантируется, что сумма \(m\) по всем наборам входных данных не превосходит \(2 \cdot 10^5\).

Гарантируется, что сумма \(k\) по всем наборам входных данных не превосходит \(2 \cdot 10^5\).

Выходные данные

Для каждого набора входных данных выведите единственное число — минимальный дисбаланс, которого сможет добиться Рудольф.

D. Учимся рисовать

Бинарный поиск Структуры данных реализация *2100 дп поиск в глубину и подобное жадные алгоритмы сортировки

Элси учится рисовать. У нее есть холст из \(n\) клеток, пронумерованных от \(1\) до \(n\), и она может раскрасить любое (возможно, пустое) подмножество клеток.

У Элси есть двумерный массив \(a\), который она будет использовать для оценки картин. Пусть максимальные непрерывные отрезки закрашенных клеток в картине равны \([l_1,r_1],[l_2,r_2],\ldots,[l_x,r_x]\). Красота картины — это сумма \(a_{l_i,r_i}\) по всем \(1 \le i \le x\). На изображении выше максимальные непрерывные отрезки закрашенных клеток равны \([2,4],[6,6],[8,9]\), а красота картины равна \(a_{2,4}+a_{6,6}+a_{8,9}\).

Всего есть \(2^n\) различных способов раскрасить холст. Помогите Элси найти \(k\) наибольших значений красоты картины, которые она может получить, среди всех способов. Обратите внимание, что эти \(k\) значений не обязательно должны быть различными. Гарантируется, что существует не менее \(k\) различных способов раскрасить холст.

Входные данные

Каждый тест состоит из нескольких наборов входных данных. В первой строке находится одно целое число \(t\) (\(1 \leq t \leq 10^3\)) — количество наборов входных данных. Далее следует описание наборов входных данных.

Первая строка каждого набора входных данных содержит \(2\) целых числа \(n\) и \(k\) (\(1 \leq n \leq 10^3\), \(1 \leq k \leq \min(2^n, 5 \cdot 10^3)\)) — количество клеток и количество наибольших значений красоты картины, которые вы должны найти.

Следующие \(n\) строк каждого набора входных данных описывают двумерный массив \(a\), \(i\)-я строка содержит \(n-i+1\) целых чисел \(a_{i,i},a_{i,i+1},\ldots,a_{i,n}\) (\(-10^6 \leq a_{i,j} \leq 10^6\)).

Гарантируется, что сумма \(n\) по всем наборам входных данных не превосходит \(10^3\), а сумма \(k\) по всем наборам входных данных не превосходит \(5 \cdot 10^3\).

Выходные данные

Для каждого набора входных данных выведите в отдельной строке \(k\) целых чисел: \(i\)-е из них должно равняться \(i\)-му наибольшему значение красоты картины, которое может получить Элси.

Примечание

В первом наборе входных данных Элси может либо закрасить единственную клетку, либо не закрашивать ее. Если она раскрасит единственную клетку, красота картины составит \(-5\). Если она решит не раскрашивать ее, красота картины составит \(0\). Таким образом, наибольшая красота, которую она может получить, равна \(0\), а вторая по величине красота, которую она может получить, равна \(-5\).

Ниже приведена иллюстрация третьего набора входных данных.

E1. MEX игра - 2 (простая версия)

Бинарный поиск Перебор жадные алгоритмы *2900

Это простая версия задачи. Единственное различие между двумя версиями заключается в ограничениях на \(t\), \(m\) и сумму \(m\). Вы можете делать взломы, только если обе версии задачи решены.

Алиса и Боб играют в очередную игру на массиве \(a\) длины \(n\). Алиса начинает с пустого массива \(c\). Оба игрока ходят по очереди, причем Алиса начинает первой.

В свой ход Алиса выбирает один элемент из \(a\), добавляет его в \(c\), а затем удаляет из \(a\).

В свой ход Боб выбирает не более \(k\) элементов из \(a\), а затем удаляет их из \(a\).

Игра заканчивается, когда массив \(a\) становится пустым. Счет Алисы определяется как MEX\(^\dagger\) элементов \(c\). Алиса хочет максимизировать свой счет, а Боб — минимизировать его. Найдите итоговый счет Алисы, если оба игрока играют оптимально.

Массив будет дан в сжатом формате. Вместо того, чтобы давать элементы, присутствующие в массиве, мы будем давать их частоты. Формально, вам будет дано \(m\) — максимальный элемент массива, а затем \(m + 1\) целых чисел \(f_0, f_1, \ldots, f_m\), где \(f_i\) представляет собой количество раз, которое \(i\) встречается в массиве \(a\).

\(^\dagger\) \(\operatorname{MEX}\) (minimum excludant) массива целых чисел определяется как наименьшее целое неотрицательное число, которое не встречается в массиве. Например:

  • MEX массива \([2,2,1]\) равен \(0\), потому что \(0\) не принадлежит массиву.
  • MEX массива \([3,1,0,1]\) равен \(2\), потому что \(0\) и \(1\) принадлежат массиву, а \(2\) — нет.
  • MEX массива \([0,3,1,2]\) равен \(4\), потому что \(0\), \(1\), \(2\) и \(3\) принадлежат массиву, а \(4\) — нет.
Входные данные

Каждый тест состоит из нескольких наборов входных данных. В первой строке находится одно целое число \(t\) (\(1 \leq t \leq 500\)) — количество наборов входных данных. Далее следует описание наборов входных данных.

Первая строка каждого набора входных данных содержит два целых числа \(m\) и \(k\) (\(1 \le m \le 50, 1 \le k \le 10^9\)).

Вторая строка содержит \(m + 1\) целых чисел \(f_0, f_1, \ldots, f_m\) (\(1 \le f_i \le 10^9\)).

Гарантируется, что сумма \(m\) по всем наборам входных данных не превосходит \(1000\).

Выходные данные

Для каждого набора входных данных найдите счет Алисы, если оба игрока играют оптимально.

Примечание

В первом наборе входных данных массив \(a\) равняется \([0, 0, 0, 0, 1, 1, 1, 1, 1]\). Возможная игра со счетом \(2\) выглядит следующим образом:

  1. Алиса выбирает элемент \(0\). После этого хода \(a = [0, 0, 0, 1, 1, 1, 1, 1]\) и \(c=[0]\).
  2. Боб выбирает для удаления \(3\) элемента \(0\), \(0\) и \(1\). После этого хода \(a = [0, 1, 1, 1, 1]\) и \(c=[0]\).
  3. Алиса выбирает элемент \(1\). После этого хода \(a = [0,1,1,1]\) и \(c=[0,1]\).
  4. Боб удаляет оставшиеся \(4\) элемента \(0\), \(1\), \(1\) и \(1\). После этого хода \(a=[\,]\) и \(c=[0,1]\).

В конце массив \(c=[0,1]\), его MEX равен \(2\). Обратите внимание, что это пример игры и не обязательно представляет собой оптимальную стратегию для обоих игроков.

Во втором наборе входных данных Алиса может выбрать \(0\) в свой первый ход, гарантируя, что ее счет будет не меньше \(1\). Боб может удалить все копии элемента \(1\) в свой первый ход, гарантируя тем самым, что счет Алисы не будет превосходить \(1\). Таким образом, счет Алисы равен \(1\), если оба игрока играют оптимально.

E2. MEX игра - 2 (сложная версия)

Бинарный поиск жадные алгоритмы *3300

Это сложная версия задачи. Единственное различие между двумя версиями заключается в ограничениях на \(t\), \(m\) и сумму \(m\). Вы можете делать взломы, только если обе версии задачи решены.

Алиса и Боб играют в очередную игру на массиве \(a\) длины \(n\). Алиса начинает с пустого массива \(c\). Оба игрока ходят по очереди, причем Алиса начинает первой.

В свой ход Алиса выбирает один элемент из \(a\), добавляет его в \(c\), а затем удаляет из \(a\).

В свой ход Боб выбирает не более \(k\) элементов из \(a\), а затем удаляет их из \(a\).

Игра заканчивается, когда массив \(a\) становится пустым. Счет Алисы определяется как MEX\(^\dagger\) элементов \(c\). Алиса хочет максимизировать свой счет, а Боб — минимизировать его. Найдите итоговый счет Алисы, если оба игрока играют оптимально.

Массив будет дан в сжатом формате. Вместо того, чтобы давать элементы, присутствующие в массиве, мы будем давать их частоты. Формально, вам будет дано \(m\) — максимальный элемент массива, а затем \(m + 1\) целых чисел \(f_0, f_1, \ldots, f_{m}\), где \(f_i\) представляет собой количество раз, которое \(i\) встречается в массиве \(a\).

\(^\dagger\) \(\operatorname{MEX}\) (minimum excludant) массива целых чисел определяется как наименьшее целое неотрицательное число, которое не встречается в массиве. Например:

  • MEX массива \([2,2,1]\) равен \(0\), потому что \(0\) не принадлежит массиву.
  • MEX массива \([3,1,0,1]\) равен \(2\), потому что \(0\) и \(1\) принадлежат массиву, а \(2\) — нет.
  • MEX массива \([0,3,1,2]\) равен \(4\), потому что \(0\), \(1\), \(2\) и \(3\) принадлежат массиву, а \(4\) — нет.
Входные данные

Каждый тест состоит из нескольких наборов входных данных. В первой строке находится одно целое число \(t\) (\(1 \leq t \leq 10^5\)) — количество наборов входных данных. Далее следует описание наборов входных данных.

Первая строка каждого набора входных данных содержит два целых числа \(m\) и \(k\) (\(1 \le m \le 2 \cdot 10^5, 1 \le k \le 10^9\)).

Вторая строка содержит \(m + 1\) целых чисел \(f_0, f_1, \ldots, f_m\) (\(1 \le f_i \le 10^9\)).

Гарантируется, что сумма \(m\) по всем наборам входных данных не превосходит \(2 \cdot 10^5\).

Выходные данные

Для каждого набора входных данных найдите счет Алисы, если оба игрока играют оптимально.

Примечание

В первом наборе входных данных массив \(a\) равняется \([0, 0, 0, 0, 1, 1, 1, 1, 1]\). Возможная игра со счетом \(2\) выглядит следующим образом:

  1. Алиса выбирает элемент \(0\). После этого хода \(a = [0, 0, 0, 1, 1, 1, 1, 1]\) и \(c=[0]\).
  2. Боб выбирает для удаления \(3\) элемента \(0\), \(0\) и \(1\). После этого хода \(a = [0, 1, 1, 1, 1]\) и \(c=[0]\).
  3. Алиса выбирает элемент \(1\). После этого хода \(a = [0,1,1,1]\) и \(c=[0,1]\).
  4. Боб удаляет оставшиеся \(4\) элемента \(0\), \(1\), \(1\) и \(1\). После этого хода \(a=[\,]\) и \(c=[0,1]\).

В конце массив \(c=[0,1]\), его MEX равен \(2\). Обратите внимание, что это пример игры и не обязательно представляет собой оптимальную стратегию для обоих игроков.

Во втором наборе входных данных Алиса может выбрать \(0\) в свой первый ход, гарантируя, что ее счет будет не меньше \(1\). Боб может удалить все копии элемента \(1\) в свой первый ход, гарантируя тем самым, что счет Алисы не будет превосходить \(1\). Таким образом, счет Алисы равен \(1\), если оба игрока играют оптимально.

E. Бинарный поиск

Бинарный поиск Конструктив жадные алгоритмы *1700

Антону стало скучно в походе, и он захотел что-нибудь порешать. Он спросил у Кирилла, нет ли у него какой-то новой задачи, и у Кирилла она естественно нашлась.

Дана перестановка \(p\) размера \(n\), а также число \(x\), которое необходимо найти. Перестановкой длины \(n\) является массив, состоящий из \(n\) различных целых чисел от \(1\) до \(n\) в произвольном порядке. Например, \([2,3,1,5,4]\) — перестановка, но \([1,2,2]\) не перестановка (\(2\) встречается в массиве дважды) и \([1,3,4]\) тоже не перестановка (\(n=3\), но в массиве встречается \(4\)).

Вы решили, что вы крутой программист, поэтому будете использовать для поиска продвинутый алгоритм — бинарный поиск. Однако, вы забыли, что для бинарного поиска массив должен быть отсортирован.

Вы не отчаялись и решили все равно применить этот алгоритм, а чтобы получить правильный ответ, вы перед запуском алгоритма можете не более \(2\) раз выполнить следующую операцию: выбрать индексы \(i\), \(j\) (\(1\le i, j \le n\)) и поменять местами элементы на позициях \(i\) и \(j\).

После этого выполняется бинарный поиск. В начале алгоритма объявляются две переменные \(l = 1\) и \(r = n + 1\). Далее выполняется цикл:

  1. Если \(r - l = 1\), закончить цикл
  2. \(m = \lfloor \frac{r + l}{2} \rfloor\)
  3. Если \(p_m \le x\), присвоить \(l = m\), иначе \(r = m\).

Цель — до алгоритма переставить числа в перестановке так, чтобы после выполнения алгоритма \(p_l\) было равно \(x\). Можно показать, что \(2\) операции всегда достаточно.

Входные данные

Каждый тест состоит из нескольких наборов входных данных. В первой строке находится одно целое число \(t\) (\(1 \le t \le 2\cdot 10^4\)) — количество наборов входных данных. Далее следуют описания наборов входных данных.

Первая строка каждого набора содержит два целых числа \(n\) и \(x\) (\(1 \le x \le n \le 2\cdot 10^5\)) — длину перестановки и число, которое нужно найти.

Во второй строке через пробел вводится перестановка \(p\) (\(1 \le p_i \le n\)).

Гарантируется, что сумма значений \(n\) по всем наборам входных данных не превосходит \(2\cdot 10^5\).

Выходные данные

Для каждого набора входных данных выведите в первой строке целое число \(k\) (\(0 \le k \le 2\)) — количество совершенных вами операций. В следующих \(k\) строках через пробел выведите по \(2\) целых числа \(i\), \(j\) (\(1 \le i, j \le n\)) означающих, что вы меняете местами элементы на позициях \(i\) и \(j\).

Обратите внимание, что вам не нужно минимизировать количество операций.

G. Повар и каша

Бинарный поиск Структуры данных Конструктив реализация *2500

Наконец-то, обед!

\(n\) школьников выстроились в длинную очередь к палатке повара за кашей. Повар будет выдавать кашу в течение \(D\) минут. Школьник, который стоит на \(i\)-м месте в очереди, имеет приоритет \(k_i\) и съедает одну порцию каши за \(s_i\) минут.

В начале каждой минуты перерыва повар накладывает первому в очереди школьнику одну порцию каши, после этого школьник уходит есть свою порцию. Если \(i\)-му школьнику выдали порцию в начале \(x\)-й минуты, то он вернётся в очередь в конце \((x + s_i)\)-й минуты.

Когда \(i\)-й школьник возвращается в очередь, школьники в конце очереди, приоритет которых строго меньше, чем у \(i\)-го школьника, должны пропустить его. Таким образом, он встанет в очередь за последним из школьников, приоритет которого не меньше, чем его собственный. То есть за последним школьником \(j\), у которого \(k_j \ge k_i\). Если в очереди нет ни одного такого школьника, то \(i\)-й школьник встаёт в начало очереди.

Если несколько школьников возвращаются в одно время, то они вернутся в очередь в порядке возрастания их \(s_i\).

Например, если \(n = 3\), \(D = 3\), \(k = [2, 3, 2]\) и \(s = [2, 1, 3]\), то выдача будет происходить следующим образом:

  • В начале \(1\) минуты в очереди стоят школьники \([1, 2, 3]\), школьнику \(1\) выдают кашу;
  • в начале \(2\) минуты в очереди стоят школьники \([2, 3]\), школьнику \(2\) выдают кашу;
  • в начале \(3\) минуты в очереди стоят школьники \([3]\) школьнику \(3\) выдают кашу;
  • в конце \(3\) минуты в очередь возвращается школьник \(2\) и очередь становится \([2]\);
  • в конце \(3\) минуты в очередь возвращается школьник \(1\) и очередь становится \([2, 1]\), так как его приоритет ниже.

Определите, через какое минимальное количество минут после начала перерыва каждый школьник получит кашу хотя бы один раз или сообщите, что за \(D\) минут этого не произойдёт.

Входные данные

Каждый тест состоит из нескольких наборов входных данных. В первой строке находится одно целое число \(t\) (\(1 \le t \le 1000\)) — количество наборов входных данных. Далее следует описание наборов входных данных.

Первая строка каждого набора содержит два целых числа \(n\) и \(D\) (\(1 \le n \le 2 \cdot 10^5\), \(1 \le D \le 3\cdot 10^5\)) — количество школьников в очереди и время перерыва соответственно.

Следующие \(n\) строк содержат по два целых числа \(k_i\) и \(s_i\) (\(1 \le k_i, s_i, \le 10^9\)) — приоритет и время поедания одной порции каши для очередного школьника. Школьники заданы в порядке, в котором они стоят в очереди (от начала к концу).

Гарантируется, что сумма значений \(n\) по всем наборам входных данных не превосходит \(2\cdot 10^5\). Аналогично гарантируется, что сумма значений \(D\) по всем наборам входных данных не превосходит \(3\cdot 10^5\).

Выходные данные

Для каждого набора входных данных выведите минимальное количество минут, через которое каждый школьник получит кашу хотя бы один раз. Если этого не произойдёт за время перерыва, выведите \(-1\).

C. Разрезание дерева

Бинарный поиск Деревья реализация *1600 дп жадные алгоритмы

Вам дано дерево из \(n\) вершин.

Ваша задача — найти такое максимальное число \(x\), что можно удалить из этого дерева ровно \(k\) ребер так, чтобы размер каждой оставшейся компоненты связности\(^{\dagger}\) был не менее \(x\).

\(^{\dagger}\) Две вершины \(v\) и \(u\) находятся в одной компоненте связности, если существует такая последовательность чисел \(t_1, t_2, \ldots, t_k\) произвольной длины \(k\), такая что \(t_1 = v\), \(t_k = u\), и для каждого \(i\) от \(1\) до \(k - 1\) вершины \(t_i\) и \(t_{i+1}\) соединены ребром.

Входные данные

Каждый тест состоит из нескольких наборов входных данных. В первой строке находится одно целое число \(t\) (\(1 \le t \le 10^4\)) — количество наборов входных данных. Далее следует описание наборов входных данных.

Первая строка каждого набора входных данных содержит два целых числа \(n\) и \(k\) (\(1 \le k < n \le 10^5\)) — количество вершин в дереве и количество ребер, которое нужно удалить.

Каждая из следующих \(n - 1\) строк каждого набора входных данных содержит два целых числа \(v\) и \(u\) (\(1 \le v, u \le n\)) — очередное ребро дерева.

Гарантируется, что сумма значений \(n\) по всем наборам входных данных не превосходит \(10^5\).

Выходные данные

Для каждого набора входных данных в отдельной строке выведите такое максимальное число \(x\), что можно удалить ровно \(k\) ребер дерева так, чтобы размер каждой оставшейся компоненты связности был равен не менее \(x\).

Примечание

Дерево в первом наборе входных данных:

После удаления ребра \(1\) — \(3\) дерево будет выглядеть следующим образом:

Дерево распалось на две компоненты связности. Первая компонента состоит из двух вершин: \(1\) и \(2\). Вторая компонента связности состоит из трех вершин: \(3, 4\) и \(5\). В обоих компонентах связности не менее двух вершин. Можно показать, что ответ \(3\) не достижим, поэтому ответ \(2\).

B. Charming Meals

Бинарный поиск Перебор *1500 жадные алгоритмы сортировки

The Czech cuisine features \(n\) appetizers and \(n\) main dishes. The \(i\)-th appetizer has spiciness \(a_i\), and the \(i\)-th main dish has spiciness \(b_i\).

A typical Czech meal consists of exactly one appetizer and one main dish. You want to pair up the \(n\) appetizers and \(n\) main dishes into \(n\) meals with each appetizer and each main dish being included in exactly one meal.

Your meals shall surprise the diners, so you want the spiciness levels of the two parts of the same meal to be as different as possible. The charm of a meal is the difference (in absolute value) between the spiciness of the appetizer and the spiciness of the main dish. So, a meal consisting of an appetizer with spiciness \(x\) and a main dish with spiciness \(y\) has charm equal to \(|x-y|\).

You want to maximize the minimum charm of the resulting \(n\) meals. What is the largest possible value of the minimum charm that you can achieve?

Input

Each test contains multiple test cases. The first line contains an integer \(t\) (\(1\le t\le 1\,000\)) — the number of test cases. The descriptions of the \(t\) test cases follow.

The first line of each test case contains a single integer \(n\) (\(1 \leq n \leq 5\,000\)) —the number of appetizers and main dishes.

The second line of each test case contains \(n\) integers \(a_1, a_2, \ldots, a_n\) (\(0 \leq a_i \leq 10^{9}\)) — the spicinesses of the \(n\) appetizers.

The third line of each test case contains \(n\) integers \(b_1, b_2, \ldots, b_n\) (\(0 \leq b_i \leq 10^{9}\)) — the spicinesses of the \(n\) main dishes.

It is guaranteed that the sum of \(n^2\) over all test cases does not exceed \(25\cdot 10^6\).

Output

For each test case, print the largest possible value of the minimum charm you can achieve.

Note

In the first test case, no matter how you pair up the appetizers with the main dishes, each meal will have an appetizer with spiciness \(0\) and a main dish with spiciness \(1000000000\), so the charm of each meal will be \(1000000000\).

In the second test case, one optimal way to pair up appetizers and main dishes is: \((1, 5)\), \((2, 4)\), \((3, 1)\), \((4, 2)\), \((5, 3)\). The corresponding meals have charms: \(4\), \(2\), \(2\), \(2\), \(2\). The resulting minimum charm is \(2\).

In the third test case, one way to maximize the minimum charm is to pair up the three appetizers with spiciness \(0\) with the three main dishes with spiciness \(100\), and the three appetizers with spiciness \(100\) with the three main dishes with spiciness \(0\). Doing so, the charm of each meal will be exactly \(100\).

A. Посмотрим футбол

Бинарный поиск Перебор математика *1000

Валерик и Валерко пропустили последний матч чемпионата Европы по футболу и решили посмотреть основные моменты этого матча в интернете. Им хочется побыстрее начать смотреть, но низкая скорость соединения не позволяет этого сделать. Если сразу включить видео, то оно будет «тормозить» из-за того, что размер данных, необходимых для просмотра одной секунды видео, превышает размер данных, которые можно получить за одну секунду.

Ребята хотят посмотреть все видео целиком без задержек, поэтому они должны подождать некоторое целое количество секунд, пока загрузится часть видео, а потом начинать смотреть. При этом не обязательно чтобы видео загрузилось полностью, оно может продолжать загружаться после включения.

Предположим видео идет c секунд, а Валерик и Валерко подождут перед просмотром t секунд. Тогда необходимо, чтобы для любого момента времени t0, t ≤ t0 ≤ c + t, выполнялось условие, что количество данных, полученных за t0 секунд, не меньше, чем количество данных, необходимых для просмотра t0 - t секунд видео.

Конечно же, ребята хотят ждать как можно меньше, поэтому вам предстоит найти минимальное целое количество секунд, которое необходимо подождать перед включением видео, чтобы можно было посмотреть его без задержек.

Входные данные

В первой строке записаны через пробел три целых числа a, b и c (1 ≤ a, b, c ≤ 1000, a > b). Первое число (a) обозначает количество данных, необходимое для просмотра одной секунды видео, второе (b) — количество данных, которое Валерик и Валерко могут загрузить из интернета за одну секунду, третье (c) — длину видео в секундах.

Выходные данные

Выведите одно целое число — минимальное целое количество секунд, которое Валерик и Валерко должны подождать, чтобы посмотреть футбол без задержек.

Примечание

В первом примере длина видео 1 секунда, чтобы посмотреть 1 секунду видео необходимо загрузить 4 единицы данных, таким образом всего ребятам нужно загрузить 4 · 1 = 4 единиц данных для просмотра всего видео. Наиболее оптимально будет подождать 3 секунды пока загрузится 3 единицы данных, а затем начать смотреть. Пока ребята будут смотреть видео, за одну секунду загрузится еще одна единица данных и к моменту окончания просмотра Валерик и Валерко будут иметь необходимые 4 единицы. При этом в любой момент времени до окончания видео у ребят будет загружено данных больше, чем нужно для просмотра.

Во втором примере ребятам нужно загрузить 2 · 10 = 20 единиц данных, поэтому им нужно подождать 5 секунд, и тогда у них загрузятся необходимые 20 единиц еще до окончания второй секунды. Однако если ребята подождут 4 секунды, то они смогут посмотреть первую секунду видео без задержек, но к концу второй секунды у них загрузится всего 18 единиц, что меньше, чем необходимо.

B. Битвы коров

Бинарный поиск Структуры данных жадные алгоритмы *1200

В турнире по программированию участвуют \(n\) коров. Корова \(i\) имеет рейтинг Cowdeforces, равный \(a_i\) (все значения разные), и изначально находится на позиции \(i\). Турнир состоит из \(n-1\) матча, проводимых следующим образом:

  • Первый матч проводится между коровой на позиции \(1\) и коровой на позиции \(2\).
  • В дальнейшем матч \(i\) проводится между коровой на позиции \(i+1\) и победителем матча \(i-1\).
  • В каждом матче корова с более высоким рейтингом Cowdeforces побеждает и переходит к следующему матчу.

Вы являетесь владельцем коровы \(k\). Для вас не важна победа в турнире, скорее, вы хотите, чтобы ваша корова выиграла как можно больше матчей. Будучи знакомым организаторов турнира, вы можете попросить их поменять место вашей коровы с другой коровой только один раз, или же вы можете ничего не делать.

Найдите максимальное количество побед, которое может одержать ваша корова.

Входные данные

Каждый тест состоит из нескольких наборов входных данных. Первая строка содержит целое число \(t\) (\(1 \le t \le 10^4\)) — количество наборов входных данных. Далее следует описание наборов входных данных.

Первая строка каждого набора входных данных содержит два целых числа \(n\) и \(k\) (\(2 \le n \le 10^5, 1 \le k \le n\)) — количество коров и индекс вашей коровы.

Вторая строка каждого набора входных данных содержит \(n\) целых чисел \(a_1, a_2, \ldots, a_n\) (\(1 \le a_i \le 10^9\)) — рейтинги коров на Cowdeforces. Гарантируется, что \(a_i\) попарно различны.

Гарантируется, что сумма \(n\) по всем наборам входных данных не превосходит \(10^5\).

Выходные данные

Для каждого набора входных данных выведите одно целое число: максимальное количество побед коровы \(k\), которого можно достичь, если сделать оптимальный обмен (или ничего не делать).

Примечание

При первом наборе входных данных оптимально ничего не делать. Пусть \(a'\) — это рейтинги на Cowdeforces коров в изначальном порядке (при этом рейтинг вашей коровы выделен жирным шрифтом), тогда

  • Изначально, \(a' = [\mathbf{12}, 10, 14, 11, 8, 3]\).
  • Ваша корова играет против коровы с рейтингом Cowdeforces \(10\) и выигрывает. \(a' = [\mathbf{12}, 14, 11, 8, 3]\).
  • Ваша корова играет против коровы с рейтингом Cowdeforces \(14\) и проигрывает.
В общей сложности ваша корова выигрывает в \(1\) матче.

Во втором наборе входных данных оптимально поменять вашу корову с коровой на позиции \(3\). Тогда пусть \(a'\) — это рейтинги на Cowdeforces коров в порядке после обмена позициями.

  • Изначально, \(a' = [7, 2, \mathbf{12}, 10, 727, 13]\).
  • Корова с рейтингом Cowdeforces \(7\) играет против коровы с рейтингом Cowdeforces \(2\) и выигрывает. \(a' = [7, \mathbf{12}, 10, 727, 13]\).
  • Корова с рейтингом Cowdeforces \(7\) играет против вашей коровы, и ваша корова побеждает. \(a' = [\mathbf{12}, 10, 727, 13]\).
  • Ваша корова играет против коровы с рейтингом Cowdeforces \(10\) и выигрывает. \(a' = [\mathbf{12}, 727, 13]\).
  • Ваша корова играет против коровы с рейтингом Cowdeforces \(727\) и проигрывает.
В общей сложности ваша корова выиграет \(2\) матча.

H. Щелчок Таноса

Бинарный поиск Деревья дп жадные алгоритмы *3200 игры

Имеется массив \(a\) длины \(2^k\), который изначально является перестановкой значений от \(1\) до \(2^k\) для некоторого целого положительного числа \(k\). Алиса и Боб играют в следующую игру на массиве \(a\). Сначала Алисе и Бобу даётся значение \(t\) между \(1\) и \(k\). Затем, ровно \(t\) ходов происходит следующее:

  • Алиса либо ничего не делает, либо выбирает два различных элемента массива \(a\) и меняет их местами.
  • Боб выбирает либо левую половину, либо правую половину массива \(a\), и стирает её.

Счет игры определяется как максимальное значение в \(a\) после всех \(t\) ходов. Алиса хочет максимизировать этот счет, а Боб — минимизировать.

Вам нужно вывести \(k\) чисел: счет игры, если и Алиса, и Боб играют оптимально, для всех \(t\) от \(1\) до \(k\).

Входные данные

Каждый тест состоит из нескольких наборов входных данных. Первая строка содержит целое число \(t\) (\(1 \le t \le 10^4\)) — количество наборов входных данных. Далее следует описание наборов входных данных.

Первая строка каждого набора входных данных содержит целое число \(k\) (\(1 \le k \le 20\)) — параметр длины массива \(a\).

Вторая строка каждого набора входных данных содержит \(2^k\) целых чисел \(a_1, a_2, \ldots, a_{2^k}\) (\(1 \le a_i \le 2^k\), \(a_i\) попарно различны) — заданный массив \(a\).

Гарантируется, что сумма \(2^k\) по всем наборам входных данных не превосходит \(2^{20}\).

Выходные данные

Для каждого набора входных данных выведите \(k\) чисел, где \(i\)-е число — это счет игры, если Алиса и Боб играют оптимально, а игра длится \(t = i\) ходов.

Примечание

В третьем наборе входных данных, для \(t = 2\), игра могла бы проходить следующим образом:

  • Изначально, \(a = [5, 1, 6, 4, 7, 2, 8, 3]\).
  • Алиса меняет местами \(a_6\) и \(a_8\), \(a\) становится \([5, 1, 6, 4, 7, 3, 8, 2]\).
  • Боб стирает правую половину массива, \(a\) становится \([5, 1, 6, 4]\).
  • Алиса ничего не делает, \(a\) остается \([5, 1, 6, 4]\).
  • Боб стирает правую половину массива, \(a\) становится \([5, 1]\).
  • Игра заканчивается со счётом \(5\).

I. Выращивание деревьев

Бинарный поиск Потоки Конструктив жадные алгоритмы графы *3200

Вам дан неориентированный связный простой граф с \(n\) вершинами и \(m\) ребрами, где ребро \(i\) соединяет вершины \(u_i\) и \(v_i\). С каждым ребром связаны два положительных параметра \(a_i\) и \(b_i\). Кроме того, вам дано целое число \(k\).

Неотрицательный массив \(x\) длины \(m\) называется генератором \(k\)-остовного-дерева, если он удовлетворяет следующим условиям:

  • Рассмотрим неориентированный мультиграф с \(n\) вершинами, в котором ребро \(i\) клонировано \(x_i\) раз (т.е. существует \(x_i\) ребер, соединяющих \(u_i\) и \(v_i\)). Можно разбить ребра этого графа на \(k\) остовных деревьев, где каждое ребро принадлежит ровно одному остовному дереву\(^\dagger\).

Стоимость такого массива \(x\) определяется как \(\sum_{i = 1}^m a_i x_i^2 + b_i x_i\). Найдите минимальную стоимость генератора \(k\)-остовного-дерева.

\(^\dagger\) Остовное дерево (мульти)графа — это подмножество ребер графа, которые образуют дерево, соединяющее все вершины графа.

Входные данные

Каждый тест состоит из нескольких наборов входных данных. Первая строка содержит целое число \(t\) (\(1 \le t \le 500\)) — количество наборов входных данных. Далее следует описание наборов входных данных.

Первая строка каждого набора входных данных содержит три целых числа \(n\), \(m\) и \(k\) (\(2 \le n \le 50, n - 1 \le m \le \min(50, \frac{n(n - 1)}{2}), 1 \le k \le 10^7\)) — количество вершин в графе, количество ребер в графе и параметр для генератора \(k\)-остовного-дерева.

Каждая из следующих \(m\) строк каждого набора входных данных содержит четыре целых числа \(u_i\), \(v_i\), \(a_i\) и \(b_i\) (\(1 \le u_i, v_i \le n, u_i \neq v_i, 1 \le a_i, b_i \le 1000\)) — конечные точки ребра \(i\) и два его параметра. Гарантируется, что граф прост и связен.

Гарантируется, что сумма \(n^2\) и сумма \(m^2\) по всем наборам входных данных не превосходит \(2500\).

Выходные данные

Для каждого набора входных данных выведите одно целое число: минимальную стоимость генератора \(k\)-остовного-дерева.

Примечание

В первом наборе входных данных допустимым генератором \(1\)-остовного-дерева является \(x = [1, 1, 1, 1, 0]\), как показано на следующем рисунке. Стоимость этого генератора равна \((1^2 \cdot 5 + 1 \cdot 5) + (1^2 \cdot 5 + 1 \cdot 7) + (1^2 \cdot 6 + 1 \cdot 2) + (1^2 \cdot 3 + 1 \cdot 5) + (0^2 \cdot 4 + 0 \cdot 9) = 38\). Можно доказать, что ни один другой генератор не имеет меньшей стоимости.

Разбиение \(1\)-остовного-дерева \(x = [1, 1, 1, 1, 0]\)

Во втором наборе входных данных допустимым генератором \(3\)-остовного-дерева является \(x = [2, 3, 2, 2, 3]\), как показано на следующем рисунке. Стоимость этого генератора равна \((2^2 \cdot 5 + 2 \cdot 5) + (3^2 \cdot 5 + 3 \cdot 7) + (2^2 \cdot 6 + 2 \cdot 2) + (2^2 \cdot 3 + 2 \cdot 5) + (3^2 \cdot 4 + 3 \cdot 9) = 191\). Можно доказать, что ни один другой генератор не имеет меньшей стоимости.

Разбиение \(3\)-остовного-дерева \(x = [2, 3, 2, 2, 3]\)

G. Захват математиков

Бинарный поиск математика *особая задача поиск в глубину и подобное

Математик захватил мой компьютер, когда я готовил эту задачу, удалил условие и изменил примеры по своему усмотрению. Основное решение и формат ввода/вывода все еще верны, но примеры неверны.

Я частично исправил задачу, поэтому при отправке вашего решения оно будет тестироваться на правильной версии задачи. Однако я не могу исправить примеры ниже. Как computer scientist, можете ли вы решить правильную задачу?

Входные данные

Единственная строка ввода содержит вещественное число \(x\) (\(1 \leq x \leq 100\)), заданное с точностью до трех десятичных знаков.

Выходные данные

Выведите одно вещественное число — ответ. Ваш ответ считается правильным, если его абсолютная или относительная ошибка не превышает \(10^{-4}\). Формально, пусть ваш ответ будет \(a\), а ответ жюри будет \(b\). Ваш ответ принимается, если и только если \(\frac{|a-b|}{\max(1,|b|)} \le 10^{-4}\).

E. Цепная реакция

Бинарный поиск Структуры данных математика реализация теория чисел жадные алгоритмы *2200 снм

В ряд стоят \(n\) монстров, у \(i\)-го монстра \(a_i\) очков здоровья.

В каждую секунду вы можете выбрать одного живого монстра и запустить в него цепную молнию. Молния наносит ему \(k\) урона, а также распространяется налево (в сторону уменьшения \(i\)) и направо (в сторону увеличения \(i\)) по живым монстрам, нанося каждому по \(k\) урона. Когда молния доходит до мертвого монстра или до начала/конца ряда, она останавливается. Монстр считается живым, если количество его очков здоровья строго больше \(0\).

Например, рассмотрим следующий сценарий: три монстра с уровнями здоровья \([5, 2, 7]\), \(k = 3\). Можно убить всех монстров за \(4\) секунды:

  • запустить цепную молнию в \(3\)-го монстра, тогда уровни здоровья будут равны \([2, -1, 4]\);
  • запустить цепную молнию в \(1\)-го монстра, тогда уровни здоровья будут равны \([-1, -1, 4]\);
  • запустить цепную молнию в \(3\)-го монстра, тогда уровни здоровья будут равны \([-1, -1, 1]\);
  • запустить цепную молнию в \(3\)-го монстра, тогда уровни здоровья будут равны \([-1, -1, -2]\).

Для каждого \(k\) от \(1\) до \(\max(a_1, a_2, \dots, a_n)\) посчитайте минимальное количество секунд, за которое можно убить всех монстров.

Входные данные

В первой строке записано одно целое число \(n\) (\(1 \le n \le 10^5\)) — количество монстров.

Во второй строке записаны \(n\) целых чисел \(a_1, a_2, \dots, a_n\) (\(1 \le a_i \le 10^5\)) — количество очков здоровья у \(i\)-го монстра.

Выходные данные

Для каждого \(k\) от \(1\) до \(\max(a_1, a_2, \dots, a_n)\) выведите минимальное количество секунд, за которое можно убить всех монстров.

A. Игра Нины

Бинарный поиск Перебор Структуры данных жадные алгоритмы *800 игры

Нина придумала новую игру, основанную на возрастающей последовательности целых чисел \(a_1, a_2, \ldots, a_k\).

В этой игре, изначально \(n\) игроков встают в ряд. В каждом раунде происходит следующее:

  • Нина находит \(a_1\)-го, \(a_2\)-го, \(\ldots\), \(a_k\)-го игроков в ряду. Они покидают игру одновременно. Если игру должен покинуть \(i\)-й игрок в ряду, но в ряду меньше \(i\) игроков, этот игрок пропускается.

Как только в некотором раунде никто не покинул игру, все игроки, находящиеся в игре в данный момент, объявляются победителями.

Например, рассмотрим игру с \(a=[3, 5]\) и \(n=5\) игроками. Пусть игроков зовут игрок A, игрок B, \(\ldots\), игрок E в том порядке, в котором они выстроились изначально. Тогда,

  • Перед первым раундом, порядок игроков в ряду ABCDE. Нина находит \(3\)-го и \(5\)-го игроков в ряду. Это игроки C и E. Они покидают игру в первом раунде.
  • Теперь порядок игроков ABD. Нина находит \(3\)-го и \(5\)-го игроков в ряду. \(3\)-й игрок это игрок D и в ряду нет \(5\)-го игрока. Поэтому только игрок D покидает игру во втором раунде.
  • В третьем раунде никто не покидает игру, поэтому после этого раунда игра заканчивается.
  • Игроки A и B объявляются победителями.

Нина пока не решила, сколько игроков будут принимать участие в игре. Она даст вам \(q\) целых чисел \(n_1, n_2, \ldots, n_q\), а вы должны ответить на следующий вопрос для всех \(1 \le i \le q\) независимо:

  • Сколько игроков будут объявлены победителями, если изначально в игре будут принимать участие \(n_i\) игроков?
Входные данные

В первой строке дано одно целое число \(t\) (\(1 \le t \le 250\)) — количество наборов входных данных.

В первой строке даны два целых числа \(k\) и \(q\) (\(1 \le k, q \le 100\)) — длина последовательности \(a\) и количество значений \(n_i\), для которых вы должны решить задачу.

Во второй строке даны \(k\) целых чисел \(a_1,a_2,\ldots,a_k\) (\(1\leq a_1<a_2<\ldots<a_k\leq 100\)) — последовательность \(a\).

В третьей строке даны \(q\) целых чисел \(n_1,n_2,\ldots,n_q\) (\(1\leq n_i \leq 100\)).

Выходные данные

Для каждого набора входных данных выведите \(q\) целых чисел: \(i\)-е (\(1\le i \le q\)) из них должно быть равно количеству игроков, которые будут объявлены победителями, если изначально в игре будет принимать участие \(n_i\) игроков.

Примечание

Первый набор входных данных разобран в условии.

Во втором наборе входных данных при \(n=1\), единственный игрок остаётся в игре после первого раунда. После этого, игра заканчивается и он объявляется победителем.

F1. Несоответствие частот (простая версия)

Бинарный поиск Деревья Структуры данных Теория вероятностей *2600 разделяй и властвуй хэши

Это простая версия задачи. Единственное отличие между версиями — ограничение на \(k\). Вы можете делать взломы, только если обе версии задачи решены.

Вам дано неориентированное дерево из \(n\) вершин. На каждой вершине \(v\) записано значение \(a_v\). Вы должны ответить на запросы, связанные с деревом.

Вам дано \(q\) запросов. В каждом запросе дается \(5\) целых чисел, \(u_1, v_1, u_2, v_2, k\). Обозначим количество вершин со значением \(c\) на пути \(u_1 \rightarrow v_1\) как \(x_c\), а количество вершин со значением \(c\) на пути \(u_2 \rightarrow v_2\) как \(y_c\). Пусть существует \(z\) таких значений \(c\), что \(x_c \neq y_c\). Тогда выведите любые \(\min(z, k)\) таких значений в любом порядке.

Входные данные

Первая строка содержит одно целое число \(n\) (\(1 \leq n \leq 10^5\)) — количество вершин в дереве.

Следующая строка содержит \(n\) целых чисел, \(a_1, a_2, \ldots, a_n\) (\(1 \leq a_i \leq 10^5\)) — значения, записанные на каждой вершине дерева.

Затем следует \(n - 1\) строка. Каждая строка содержит два целых числа \(u\) и \(v\) (\(1 \leq u, v \leq n, u \neq v\)), обозначающие ребро дерева. Гарантируется, что заданные ребра образуют дерево.

Следующая строка содержит одно целое число \(q\) (\(1 \leq q \leq 10^5\)) — количество запросов.

Затем следуют \(q\) строк. Каждая строка содержит пять целых чисел \(u_1, v_1, u_2, v_2, k\) (\(1 \leq u_1, v_1, u_2, v_2 \leq n\), \(k = 1\)).

Выходные данные

Для каждого запроса выведите ответ на отдельной строке. Для каждого запроса сначала выведите \(\min(z, k)\), а затем в той же строке выведите любые \(\min(z, k)\) значений, которые встречаются разное количество раз на путях, в любом порядке.

Примечание

Для \(1\) запроса первый путь: \(1 \rightarrow 2 \rightarrow 4\), на котором встречается мультинабор значений \(\{5, 2, 4\}\). На втором пути \(4 \rightarrow 2 \rightarrow 5\) мы имеем мультинабор \(\{4, 2, 3\}\). Два числа — \(3\) и \(5\) встречаются разное количество раз, поэтому мы выводим одно из них.

Во \(2\) запросе пути совпадают, поэтому выводим \(0\).

В \(3\) запросе первый путь — только вершина \(5\), что приводит к мультинабору \(\{3\}\), а второй путь — \(4 \rightarrow 2 \rightarrow 1 \rightarrow 3\) дает \(\{4, 2, 5, 3\}\). Числа \(5\), \(2\) и \(4\) встречаются разное количество раз.

F2. Несоответствие частот (сложная версия)

Бинарный поиск Деревья Структуры данных Теория вероятностей поиск в глубину и подобное *2700 хэши

Это сложная версия задачи. Единственное отличие между версиями — ограничение на \(k\). Вы можете делать взломы, только если обе версии задачи решены.

Вам дано неориентированное дерево из \(n\) вершин. На каждой вершине \(v\) записано значение \(a_v\). Вы должны ответить на запросы, связанные с деревом.

Вам дано \(q\) запросов. В каждом запросе дается \(5\) целых чисел, \(u_1, v_1, u_2, v_2, k\). Обозначим количество вершин со значением \(c\) на пути \(u_1 \rightarrow v_1\) как \(x_c\), а количество вершин со значением \(c\) на пути \(u_2 \rightarrow v_2\) как \(y_c\). Пусть существует \(z\) таких значений \(c\), что \(x_c \neq y_c\). Тогда выведите любые \(\min(z, k)\) таких значений в любом порядке.

Входные данные

Первая строка содержит одно целое число \(n\) (\(1 \leq n \leq 10^5\)) — количество вершин в дереве.

Следующая строка содержит \(n\) целых чисел, \(a_1, a_2, \ldots, a_n\) (\(1 \leq a_i \leq 10^5\)) — значения, записанные на каждой вершине дерева.

Затем следует \(n - 1\) строка. Каждая строка содержит два целых числа \(u\) и \(v\) (\(1 \leq u, v \leq n, u \neq v\)), обозначающие ребро дерева. Гарантируется, что заданные ребра образуют дерево.

Следующая строка содержит одно целое число \(q\) (\(1 \leq q \leq 10^5\)) — количество запросов.

Затем следуют \(q\) строк. Каждая строка содержит пять целых чисел \(u_1, v_1, u_2, v_2, k\) (\(1 \leq u_1, v_1, u_2, v_2 \leq n\), \(1 \leq k \leq 10\)).

Выходные данные

Для каждого запроса выведите ответ на отдельной строке. Для каждого запроса сначала выведите \(\min(z, k)\), а затем в той же строке выведите любые \(\min(z, k)\) значений, которые встречаются разное количество раз на путях, в любом порядке.

Примечание

Для \(1\) запроса первый путь: \(1 \rightarrow 2 \rightarrow 4\), на котором встречается мультинабор значений \(\{5, 2, 4\}\). На втором пути \(4 \rightarrow 2 \rightarrow 5\) мы имеем мультинабор \(\{4, 2, 3\}\). Два числа — \(3\) и \(5\) встречаются разное количество раз, поэтому мы выводим оба числа.

Во \(2\) запросе пути совпадают, поэтому выводим \(0\).

В \(3\) запросе у нас те же пути, что и в запросе \(1\), но нам нужно вывести только \(1\) значение, поэтому мы выводим \(5\).

В \(4\) запросе первый путь — только вершина \(5\), что приводит к мультинабору \(\{3\}\), а второй путь — \(4 \rightarrow 2 \rightarrow 1 \rightarrow 3\) дает \(\{4, 2, 5, 3\}\). Числа \(5\), \(2\) и \(4\) встречаются разное количество раз.

A. Подсчет перестановок

Бинарный поиск математика реализация *1400 жадные алгоритмы сортировки

У вас есть несколько карточек, на каждой из которых написано целое число от \(1\) до \(n\). В частности, для каждого \(i\) от \(1\) до \(n\) у вас есть \(a_i\) карточек, на которых написано число \(i\).

Также есть магазин, который содержит неограниченное количество карточек каждого типа. У вас есть \(k\) монет, поэтому вы можете купить в общей сложности \(k\) дополнительных карточек, а купленные вами карточки могут содержать любые целые числа от \(1\) до \(n\).

После покупки новых карточек вы расставляете все свои карточки в линию. Счет расстановки — это количество (непрерывных) подмассивов длины \(n\), которые являются перестановкой массива \([1, 2, \ldots, n]\). Какой максимальный счет вы можете получить?

Входные данные

Каждый тест состоит из нескольких наборов входных данных. В первой строке указано количество наборов входных данных \(t\ (1\le t\le 100)\). Далее следует описание наборов входных данных.

Первая строка каждого набора входных данных содержит два целых числа \(n\) и \(k\) (\(1\le n \le 2 \cdot 10^5\), \(0\le k \le 10^{12}\)) — количество различных типов карт и количество монет.

Вторая строка каждого набора входных данных содержит \(n\) целых чисел \(a_1, a_2, \ldots, a_n\) (\(1 \le a_i \le 10^{12}\)) — количество карт типа \(i\), имеющихся у вас в начале.

Гарантируется, что сумма \(n\) по всем наборам входных данных не превосходит \(5 \cdot 10^5\).

Выходные данные

Для каждого набора входных данных выведите в отдельной строке одно целое число — максимальный счет, который вы можете получить.

Примечание

В первом наборе входных данных искомый (и единственный) массив, который можно получить, — это \([1, 1, 1, 1, 1, 1, 1, 1, 1, 1, 1]\) (\(11\) карточек с числом \(1\)), который содержит \(11\) подмассивов, состоящих из перестановки \([1]\).

Во втором наборе входных данных мы можем купить \(0\) карточек типа \(1\) и \(4\) карточки типа \(2\), а затем расставить карточки следующим образом: \([1, 2, 1, 2, 1, 2, 1, 2, 1, 2, 1, 2, 1, 2, 1, 2]\). Есть \(8\) подмассивов, равных \([1, 2]\), и \(7\) подмассивов, равных \([2, 1]\), что в сумме составляет \(15\) подмассивов, которые являются перестановкой \([1, 2]\). Можно также доказать, что это максимальный счет, который мы можем получить.

В третьем наборе входных данных одной из возможных оптимальных расстановок является \([3, 3, 1, 2, 3, 1, 2, 3, 1, 2, 3, 1, 2, 3, 1, 2, 3, 1, 3]\).

D. Длинный путь к неубыванию

Бинарный поиск реализация *2800 поиск в глубину и подобное графы кратчайшие пути

Малышка R — волшебница, которая любит неубывающие массивы. У нее есть массив длины \(n\), изначально равный \(a_1, \ldots, a_n\), в котором каждый элемент — целое число в диапазоне \([1, m]\). Она хочет, чтобы он стал неубывающим, то есть выполнялось \(a_1 \leq a_2 \leq \ldots \leq a_n\).

Для этого она может проделать несколько фокусов. У малышки R есть фиксированный массив \(b_1\ldots b_m\) длины \(m\). Формально определим фокус как процедуру, которая выполняет следующие действия по порядку:

  • Выбрать множество \(S \subseteq \{1, 2, \ldots, n\}\).
  • Для каждого \(u \in S\) присвоить \(a_u\) значение \(b_{a_u}\).

Малышка R задается вопросом, сколько нужно сделать фокусов, чтобы исходный массив стал неубывающим. Если это невозможно ни при каком количестве фокусов, выведите вместо этого \(-1\).

Входные данные

Каждый тест состоит из нескольких наборов входных данных. Первая строка содержит одно целое число \(t\) (\(1\le t\le 10^4\)) — количество наборов входных данных. Далее следует описание наборов входных данных.

Первая строка каждого набора входных данных содержит два целых числа \(n\) и \(m\) (\(1\leq n \leq 10^6\), \(1 \leq m \leq 10^6\)) — длину исходного массива и диапазон элементов в массиве.

Вторая строка каждого набора входных данных содержит \(n\) целых чисел \(a_1, \ldots, a_n\) (\(1 \leq a_i \leq m\)) — изначальный массив.

Третья строка каждого набора входных данных содержит \(m\) целых чисел \(b_1, \ldots, b_m\) (\(1 \leq b_i \leq m\)) — фиксированный магический массив.

Гарантируется, что сумма \(n\) по всем наборам входных данных не превосходит \(10^6\), и сумма \(m\) по всем наборам входных данных не превосходит \(10^6\).

Выходные данные

Для каждого набора входных данных выведите одно целое число: минимально необходимое количество фокусов или \(-1\), если невозможно сделать \(a_1, \ldots, a_n\) неубывающим.

Примечание

В первом наборе входных данных изначальный массив \(a_1, \ldots, a_n\) равен \([1, 6, 3, 7, 1]\). Вы можете выбрать \(S\) следующим образом:

  • первый фокус: \(S = [2, 4, 5]\), \(a = [1, 1, 3, 5, 2]\);
  • второй фокус: \(S = [5]\), \(a = [1, 1, 3, 5, 3]\);
  • третий фокус: \(S = [5]\), \(a = [1, 1, 3, 5, 5]\).
Таким образом, с помощью \(3\) фокусов можно сделать \(a_1, \ldots, a_n\) неубывающим. Можно показать, что это минимально возможное количество фокусов.

Во втором наборе входных данных невозможно сделать \(a_1, \ldots, a_n\) неубывающим.

F. Отрезки с равным XOR

Бинарный поиск Структуры данных *1800

Давайте назовем массив \(x_1,\dots,x_m\) интересным, если возможно разделить массив на \(k>1\) частей так, чтобы побитовое исключающее ИЛИ(XOR) значений из каждой части было равно.

Формально, вам нужно разделить массив \(x\) на \(k\) последовательных отрезков, причем каждый элемент \(x\) должен принадлежать ровно \(1\) отрезку. Пусть XOR элементов из каждой части равны \(y_1,\dots,y_k\), соответственно. Тогда должно выполняться условие \(y_1=y_2=\dots=y_k\).

Например, если \(x = [1, 1, 2, 3, 0]\), вы можете разделить его следующим образом: \([\color{blue}1], [\color{green}1], [\color{red}2, \color{red}3, \color{red}0]\). Действительно, \(\color{blue}1=\color{green}1=\color{red}2 \oplus \color{red}3\oplus \color{red}0\).

Вам дан массив \(a_1,\dots,a_n\). Ваша задача — ответить на \(q\) запросов:

  • Для фиксированных \(l\), \(r\) определить, является ли подмассив \(a_l,a_{l+1},\dots,a_r\) интересным.
Входные данные

Первая строка содержит одно целое число \(t\) (\(1\le t\le 10^4\)) — количество наборов входных данных.

Первая строка каждого набора содержит два целых числа \(n\) и \(q\) (\(2 \le n \le 2 \cdot 10^5\), \(1 \le q \le 2 \cdot 10^5\)) — количество элементов в массиве и количество запросов соответственно.

Следующая строка содержит \(n\) целых чисел \(a_1,\dots,a_n\) (\(0 \le a_i < 2^{30}\)) — элементы массива.

Следующие \(q\) строк содержат по два целых числа \(l\) и \(r\) (\(1 \le l < r \le n\)) описывающие запрос.

Гарантируется, что сумма \(n\) по всем наборам входных данных не превышает \(2 \cdot 10^5\).

Гарантируется, что сумма \(q\) по всем наборам входных данных не превышает \(2 \cdot 10^5\).

Выходные данные

Для каждого запроса выведите «YES», если подмассив интересный, и «NO» в противном случае.

Вы можете выводить «Yes» и «No» в любом регистре (например, строки «yES», «yes» и «Yes» будут распознаны как правильные ответы).

Примечание

Объяснение для первого примера:

Первый запрос описан в условии.

Во втором запросе мы должны разделить \([1,2,3]\). Возможное разделение — \([1,2],[3]\), так как \(1\oplus 2=3\).

Можно показать, что для запросов \(3,4,5\) подмассивы не интересны.

G1. Деление + LCP (простая версия)

Строки Бинарный поиск Структуры данных дп *1900 хэши строковые суфф. структуры

Это простая версия задачи. В этой версии \(l=r\).

Дана строка \(s\). Для фиксированного \(k\) рассмотрим деление \(s\) на ровно \(k\) непрерывных подстрок \(w_1,\dots,w_k\). Пусть \(f_k\) — максимально возможное \(LCP(w_1,\dots,w_k)\) среди всех делений.

\(LCP(w_1,\dots,w_m)\) — это длина самого длинного общего префикса строк \(w_1,\dots,w_m\).

Например, если \(s=abababcab\) и \(k=4\), то возможное деление \(\color{red}{ab}\color{blue}{ab}\color{orange}{abc}\color{green}{ab}\). \(LCP(\color{red}{ab},\color{blue}{ab},\color{orange}{abc},\color{green}{ab})\) равно \(2\), так как \(ab\) — самый длинный общий префикс этих четырех строк. Обратите внимание, что каждая подстрока состоит из непрерывного сегмента символов, и каждый символ принадлежит ровно одной подстроке.

Ваша задача — найти \(f_l,f_{l+1},\dots,f_r\). В этой версии \(l=r\).

Входные данные

Первая строка содержит одно целое число \(t\) (\(1 \le t \le 10^4\)) — количество наборов входных данных.

Первая строка каждого теста содержит три целых числа \(n\), \(l\) и \(r\) (\(1 \le l = r \le n \le 2 \cdot 10^5\)) — длина строки и заданный диапазон.

Вторая строка каждого набора содержит строку \(s\) из \(n\) символов, все символы — строчные буквы английского алфавита.

Гарантируется, что сумма \(n\) по всем наборам входных данных не превышает \(2\cdot 10^5\).

Выходные данные

Для каждого набора входных данных выведите \(r-l+1\) значений: \(f_l,\dots,f_r\).

Примечание

В первом примере \(n=k\), поэтому единственное деление \(aba\)\(\color{red}a\color{blue}b\color{orange}a\). Ответ — ноль, потому что у этих строк нет общего префикса.

Во втором примере единственное деление — \(\color{red}a\color{blue}a\color{orange}a\). Их самый длинный общий префикс равен одному.

G2. Деление + LCP (сложная версия)

Строки Бинарный поиск Перебор Структуры данных математика дп хэши *2200 строковые суфф. структуры

Это cложная версия задачи. В этой версии \(l\le r\).

Дана строка \(s\). Для фиксированного \(k\) рассмотрим деление \(s\) на ровно \(k\) непрерывных подстрок \(w_1,\dots,w_k\). Пусть \(f_k\) — максимально возможное \(LCP(w_1,\dots,w_k)\) среди всех делений.

\(LCP(w_1,\dots,w_m)\) — это длина самого длинного общего префикса строк \(w_1,\dots,w_m\).

Например, если \(s=abababcab\) и \(k=4\), то возможное деление \(\color{red}{ab}\color{blue}{ab}\color{orange}{abc}\color{green}{ab}\). \(LCP(\color{red}{ab},\color{blue}{ab},\color{orange}{abc},\color{green}{ab})\) равно \(2\), так как \(ab\) — самый длинный общий префикс этих четырех строк. Обратите внимание, что каждая подстрока состоит из непрерывного сегмента символов, и каждый символ принадлежит ровно одной подстроке.

Ваша задача — найти \(f_l,f_{l+1},\dots,f_r\).

Входные данные

Первая строка содержит одно целое число \(t\) (\(1 \le t \le 10^4\)) — количество наборов входных данных.

Первая строка каждого теста содержит три целых числа \(n\), \(l\) и \(r\) (\(1 \le l \le r \le n \le 2 \cdot 10^5\)) — длина строки и заданный диапазон.

Вторая строка каждого набора содержит строку \(s\) из \(n\) символов, все символы — строчные буквы английского алфавита.

Гарантируется, что сумма \(n\) по всем наборам входных данных не превышает \(2\cdot 10^5\).

Выходные данные

Для каждого набора входных данных выведите \(r-l+1\) значений: \(f_l,\dots,f_r\).

E. Уникальный массив

Бинарный поиск Структуры данных дп жадные алгоритмы *2400 разделяй и властвуй

Задан целочисленный массив \(a\) размера \(n\). Подмассивом массива \(a\) назовем его непрерывную подпоследовательность (то есть массив \([a_l, a_{l+1}, \dots, a_r]\) для некоторых \(l\) и \(r\), удовлетворяющих условию \(1 \le l < r \le n\)). Назовем подмассив уникальным, если в нем есть целое число, которое встречается ровно один раз.

Вы можете выполнять следующую операцию любое количество раз (возможно, ни разу): выберите элемент массива и замените его любым целым числом.

Ваша задача — посчитать минимальное количество вышеописанных операций, чтобы все подмассивы массива \(a\) стали уникальными.

Входные данные

Первая строка содержит одно целое число \(t\) (\(1 \le t \le 10^4\)) — количество наборов входных данных.

Первая строка каждого набора содержит одно целое число \(n\) (\(1 \le n \le 3 \cdot 10^5\)).

Вторая строка содержит \(n\) целых чисел \(a_1, a_2, \dots, a_n\) (\(1 \le a_i \le n\)).

Дополнительное ограничение на входные данные: сумма \(n\) по всем наборам входных данных не превышает \(3 \cdot 10^5\).

Выходные данные

Для каждого набора входных данных выведите одно целое число — минимальное количество вышеописанных операций, чтобы все подмассивы массива \(a\) стали уникальными.

Примечание

Во втором наборе входных данных можно заменить \(1\)-й и \(3\)-й элемент, например, следующим образом: \([3, 4, 1, 4]\).

В третьем наборе входных данных можно заменить \(4\)-й элемент, например, следующим образом: \([3, 1, 2, 3, 2]\).

E. Найти машину

Бинарный поиск математика *1500 сортировки

Тимур находится в машине, двигающейся по числовой прямой от точки \(0\) до точки \(n\). Машина начинает движение из точки \(0\) в минуту \(0\).

На прямой находится \(k+1\) знак в точках \(0, a_1, a_2, \dots, a_k\), и Тимур знает, что машина прибудет туда в минуты \(0, b_1, b_2, \dots, b_k\) соответственно. Последовательности \(a\) и \(b\) возрастающие, причем \(a_k = n\).

Машина движется с постоянной скоростью между любыми двумя соседними знаками. У Тимура есть \(q\) запросов: каждый запрос будет целым числом \(d\), и Тимур хочет, чтобы вы вывели, сколько минут машина затратит, чтобы добраться до точки \(d\), округленное в меньшую сторону.

Входные данные

Первая строка содержит одно целое число \(t\) (\(1 \leq t \leq 10^4\)) — количество наборов входных данных.

Первая строка каждого набора содержит три целых числа \(n\), \(k\) и \(q\), (\(k \leq n \leq 10^9\); \(1 \leq k, q \leq 10^5\)) — конечное местоположение, количество точек, для которых Тимур знает время, и количество запросов соответственно.

Вторая строка каждого набора содержит \(k\) целых чисел \(a_i\) (\(1 \leq a_i \leq n\); \(a_i < a_{i+1}\) для каждого \(1 \leq i \leq k-1\); \(a_k = n\)).

Третья строка каждого набора содержит \(k\) целых чисел \(b_i\) (\(1 \leq b_i \leq 10^9\); \(b_i < b_{i+1}\) для каждого \(1 \leq i \leq k-1\)).

Каждая из следующих \(q\) строк содержит одно целое число \(d\) (\(0 \leq d \leq n\)) — расстояние, для которого Тимур запрашивает количество минут.

Гарантируется, что сумма \(k\) по всем наборам не превышает \(10^5\), и сумма \(q\) по всем наборам не превышает \(10^5\).

Выходные данные

Для каждого запроса выведите одно целое число — количество минут, затраченных на достижение машиной точки \(d\), округленное в меньшую сторону.

Примечание

В первом примере машина проходит от точки \(0\) до точки \(10\) за \(10\) минут, поэтому скорость составляет \(1\) единицу в минуту и:

  • В точке \(0\) время будет \(0\) минут.
  • В точке \(6\) время будет \(6\) минут.
  • В точке \(7\) время будет \(7\) минут.

Во втором примере машина движется со скоростью \(1\) единицу в минуту между точками \(0\) и \(4\), и со скоростью \(2\) единицы в минуту между \(4\) и \(10\) и:

  • В точке \(6\) время будет \(5\) минут.
  • В точке \(4\) время будет \(4\) минут.
  • В точке \(2\) время будет \(2\) минут.
  • В точке \(7\) время будет \(5.5\) минут, поэтому ответ — \(5\).

В четвёртом примере машина движется со скоростью \(1.2\) единицы в минуту, поэтому ответы на запросы:

  • В точке \(2\) время будет \(1.66\dots\) минут, поэтому ответ — \(1\).
  • В точке \(6\) время будет \(5\) минут.
  • В точке \(5\) время будет \(4.16\dots\) минут, поэтому ответ — \(4\).

F. Периметр круга

Бинарный поиск Перебор математика реализация *1600 геометрия поиск в глубину и подобное

Дано целое число \(r\), найдите количество решетчатых точек, Евклидово расстояние от которых до \((0, 0)\) больше или равно \(r\), но строго меньше \(r+1\).

Решетчатая точка — это точка с целыми координатами. Евклидово расстояние от \((0, 0)\) до точки \((x,y)\) равно \(\sqrt{x^2 + y^2}\).

Входные данные

Первая строка содержит одно целое число \(t\) (\(1 \leq t \leq 1000\)) — количество наборов входных данных.

Единственная строка каждого набора входных данных содержит одно целое число \(r\) (\(1 \leq r \leq 10^5\)).

Сумма \(r\) по всем наборам входных данных не превышает \(10^5\).

Выходные данные

Для каждого набора входных данных выведите одно целое число — количество решетчатых точек, расстояние от которых до \((0, 0)\) равно \(d\), где \(r \leq d < r+1\).

Примечание

Точки для первых трех наборов входных данных показаны ниже.

B. Кот, Лиса и одинокий массив

Бинарный поиск Структуры данных математика жадные алгоритмы *1300 битмаски

Сегодня Кот и Лиса нашли массив \(a\), состоящий из \(n\) целых неотрицательных чисел.

Определим одиночество массива \(a\) как наименьшее целое положительное число \(k\) (\(1 \le k \le n\)) такое, что для любых двух целых положительных чисел \(i\) и \(j\) (\(1 \leq i, j \leq n - k +1\)) выполняется \(\)a_i | a_{i+1} | \ldots | a_{i+k-1} = a_j | a_{j+1} | \ldots | a_{j+k-1},\(\) где \(x | y\) обозначает операцию побитового ИЛИ чисел \(x\) и \(y\). Другими словами, побитовое ИЛИ любых \(k\) подряд идущих элементов совпадает. Заметьте, что одиночество массива \(a\) определено корректно, так как при \(k = n\) условие выполняется.

Кот и Лиса хотят узнать, насколько одинок массив \(a\). Помогите им вычислить одиночество найденного массива.

Входные данные

Каждый тест состоит из нескольких наборов входных данных. Первая строка содержит одно целое число \(t\) (\(1 \leq t \leq 10^4 \)) — количество наборов входных данных. Далее следует описание наборов входных данных.

Первая строка каждого набора входных данных содержит одно целое число \(n\) (\(1 \leq n \leq 10^5\)) — длину массива \(a\).

Вторая строка каждого набора входных данных содержит \(n\) целых чисел \(a_1, a_2, \ldots, a_n\) (\(0 \leq a_i < 2^{20}\)) — элементы массива.

Гарантируется, что сумма \(n\) по всем наборам входных данных не превосходит \(10^5\).

Выходные данные

Для каждого набора входных данных выведите одно целое число — одиночество данного массива.

Примечание

В первом примере одиночество массива с одним элементом равно \(1\), поэтому ответом будет \(1\).

Во втором примере побитовое ИЛИ каждого подмассива длины \(k = 1\) равняется \(2\), поэтому одиночество всего массива равно \(1\).

В седьмом примере верно, что \((0 | 1 | 3) = (1 | 3 | 2) = (3 | 2 | 2) = (2 | 2 | 1) = (2 | 1 | 0) = (1 | 0 | 3) = 3\), поэтому условие выполняется для \(k = 3\). Можно убедиться, что условие не выполняется при любом меньшем \(k\), поэтому ответ действительно равен \(3\).

F. Игра с отрезанием

Бинарный поиск Перебор Структуры данных реализация сортировки *1900

Алиса и Боб снова играли в игру. У них есть клетчатое поле размера \(a \times b\) (\(1 \le a, b \le 10^9\)), на котором расположены \(n\) фишек, в каждой клетке может быть не более одной фишки. Клетка на пересечении \(x\)-й строки и \(y\)-го столбца имеет координаты \((x, y)\).

Первой ходила Алиса, игроки ходили по очереди. На каждом ходу игрок мог отрезать несколько (но не все) строк или столбцов с начала или конца оставшегося поля и получить очко за каждую фишку, которая находилась на отрезанной части поля. Каждый ход может быть описан символом 'U', 'D', 'L' или 'R' и числом \(k\):

  • Если символ равен 'U', то будут отрезаны \(k\) первых строк среди оставшихся;
  • Если символ равен 'D', то будут отрезаны \(k\) последних строк среди оставшихся;
  • Если символ равен 'L', то будут отрезаны \(k\) первых столбцов среди оставшихся;
  • Если символ равен 'R', то будут отрезаны \(k\) последних столбцов среди оставшихся.

По изначальному состоянию поля и ходам игроков определите количество очков, заработанное Алисой и Бобом соответственно.

Входные данные

Первая строка содержит одно целое число \(t\) (\(1 \le t \le 10^4\)) — количество наборов входных данных.

Первая строка каждого набора содержит четыре целых числа \(a\), \(b\), \(n\) и \(m\) (\(2 \le a, b \le 10^9\), \(1 \le n, m \le 2 \cdot 10^5\)) — размеры поля, количество фишек и количество ходов.

Следующие \(n\) строк содержат по два целых числа \(x_i\) и \(y_i\) (\(1 \le x_i \le a\), \(1 \le y_i \le b\)) — координаты фишек. Все пары координат различны.

Следующие \(m\) строк содержат символ \(c_j\) и число \(k_j\) — описание \(j\)-го хода. Гарантируется, что \(k\) меньше количества строк/столбцов текущего поля. То есть игрок не мог отрезать всё оставшееся поле на своём ходу.

Гарантируется, что сумма значений \(n\) по всем наборам входных данных в тесте не превосходит \(2 \cdot 10^5\). Гарантируется, что сумма значений \(m\) по всем наборам входных данных в тесте не превосходит \(2 \cdot 10^5\).

Выходные данные

Для каждого набора входных данных выведите два целых числа — количество очков, заработанное Алисой и Бобом соответственно.

Примечание

Ниже показана игра из первого примера:

На своём ходу Алиса отрезала \(2\) строки снизу и получила \(2\) очка, после Боб отрезал \(1\) столбец справа и получил одно очко. Обратите внимание, что если бы Боб отрезал \(1\) строку снизу, он также получил бы \(1\) очко.

C. Массив Чамо и Мокки

Бинарный поиск Перебор жадные алгоритмы *1200

Мокка любит массивы, поэтому перед отъездом Чамо подарил ей массив \(a\), состоящий из \(n\) целых положительных чисел.

Мокка не любит массивы, содержащие разные числа, поэтому Мокка решила использовать магию, чтобы изменить массив. Мокка может выполнить следующую трехэтапную операцию несколько (возможно, ноль) раз:

  1. Выбрать индексы \(l\) и \(r\) (\(1 \leq l < r \leq n\))
  2. Пусть \(x\) — медиана\(^\dagger\) подмассива \([a_l, a_{l+1},\ldots, a_r]\)
  3. Сделать все значения \(a_l, a_{l+1},\ldots, a_r\) равными \(x\)

Предположим, что изначально \(a=[1,2,3,4,5]\):

  • Если Мокка на первой операции выберет \((l,r)=(3,4)\), то \(x=3\), массив изменится на \(a=[1,2,3,3,5]\).
  • Если Мокка на первой операции выберет \((l,r)=(1,3)\), то \(x=2\), массив изменится на \(a=[2,2,2,4,5]\).

Мокка будет выполнять операции до тех пор, пока все элементы массива не станут равными одному числу. Мокка хочет узнать, чему равняется максимально возможное значение этого числа.

\(^\dagger\) Медиана в массиве \(b\) длины \(m\) — это элемент, занимающий позицию номер \(\lfloor \frac{m+1}{2} \rfloor\) после сортировки элементов в неубывающем порядке. Например, медиана \([3,1,4,1,5]\) равна \(3\), а медиана \([5,25,20,24]\) равна \(20\).

Входные данные

Каждый тест состоит из нескольких наборов входных данных. Первая строка содержит одно целое число \(t\) (\(1\leq t\leq 500\)) — количество наборов входных данных. Далее следует описание наборов входных данных.

Первая строка каждого набора входных данных содержит одно целое число \(n\) (\(2\leq n\leq 10^5\)) — длину массива \(a\).

Вторая строка каждого набора входных данных содержит \(n\) целых чисел \(a_1,a_2,\ldots,a_n\) (\(1\leq a_i \leq 10^9\)) — элементы массива \(a\).

Гарантируется, что сумма \(n\) по всем наборам входных данных не превосходит \(10^5\).

Выходные данные

Для каждого набора входных данных выведите максимальное возможное значение элементов массива.

Примечание

В первом наборе входных данных \(a=[1,2]\). Мокка может выбрать только интервал \((l,r)=(1,2)\). Массив будет изменен на \(a=[1,1]\). Поэтому ответом будет \(1\).

Со вторым набором входных данных Мокка может выполнить следующие операции:

  • Выбрать интервал \((l,r)=(4,5)\), тогда \(a=[1,2,3,4,4]\).
  • Выбрать интервал \((l,r)=(3,5)\), тогда \(a=[1,2,4,4,4]\).
  • Выбрать интервал \((l,r)=(1,5)\), тогда \(a=[4,4,4,4,4]\).

Все элементы массива равны \(4\). Можно доказать, что максимальное значение конечного числа не может быть больше \(4\).

E. Цепные запросы

Бинарный поиск Деревья Структуры данных реализация *2100 поиск в глубину и подобное

Вам дано дерево из \(n\) вершин, пронумерованных от \(1\) до \(n\). Изначально все вершины окрашены в белый или черный цвет.

Вам предлагается выполнить \(q\) запросов:

  • «u» — поменять цвет вершины \(u\) (если она была белой, то поменять на черную и наоборот).

После каждого запроса вы должны ответить, образуют ли все черные вершины цепочку. То есть существуют ли две черные вершины такие, что простой путь между ними проходит через все черные вершины и только через черные вершины. В частности, если существует только одна черная вершина, то она образует цепочку. Если черных вершин нет, то они не образуют цепочку.

Входные данные

Каждый тест состоит из нескольких наборов входных данных. Первая строка содержит одно целое число \(t\) (\(1\leq t\leq 10^4\)) — количество наборов входных данных. Далее следует описание наборов входных данных.

Первая строка каждого набора входных данных содержит два целых числа \(n\) и \(q\) (\(1\leq n,q\leq 2\cdot 10^5\)).

Вторая строка каждого набора входных данных содержит \(n\) целых чисел \(c_1,c_2,\ldots,c_n\) (\(c_i \in \{ \mathtt{0}, \mathtt{1} \}\)) — изначальные цвета вершин. \(c_i\) обозначает цвет вершины \(i\), где \(\mathtt{0}\) обозначает белый цвет, а \(\mathtt{1}\) — черный.

Далее следует \(n - 1\) строка, каждая из которых содержит по два целых числа \(x_i\) и \(y_i\) (\(1 \le x_i,y_i \le n\)), обозначающих ребро между вершинами \(x_i\) и \(y_i\). Гарантируется, что эти ребра образуют дерево.

Следующие \(q\) строк содержат по одному целому числу \(u_i\) (\(1 \le u_i \le n\)), указывающему на то, что цвет вершины \(u_i\) необходимо поменять.

Гарантируется, что и сумма \(n\), и сумма \(q\) по всем наборам входных данных не превосходят \(2\cdot 10^5\).

Выходные данные

Для каждого запроса выведите «Yes», если черные вершины образуют цепочку, и «No» в противном случае.

Вы можете выводить каждую букву в любом регистре (строчную или заглавную). Например, строки «yEs», «yes», «Yes» и «YES» будут приняты как положительный ответ.

Примечание

Во втором наборе входных данных цвета вершин следующие:

Исходное дерево:

Первый запрос меняет цвет вершины \(4\):

Второй запрос меняет цвет вершины \(3\):

Третий запрос меняет цвет вершины \(2\):

Четвертый запрос меняет цвет вершины \(5\):

C. Собеседование на работу

Бинарный поиск реализация *1600 дп жадные алгоритмы

Монокарп открывает свою IT-компанию. Он хочет нанять \(n\) программистов и \(m\) тестировщиков.

На собеседование придут \(n+m+1\) кандидатов, пронумерованных от \(1\) до \(n+m+1\) в хронологическом порядке их прибытия. У \(i\)-го кандидата есть навык программирования \(a_i\) и навык тестирования \(b_i\) (навык программирования человека отличается от его навыка тестирования). Навык команды — это сумма навыков программирования всех нанятых в качестве программистов и сумма навыков тестирования всех нанятых в качестве тестировщиков.

Когда кандидат приходит на собеседование, Монокарп пытается назначить его на наиболее подходящую должность (если его навык программирования выше, то как программиста, в противном случае как тестировщика). Если все места для этой должности заняты, Монокарп назначает его на другую должность.

Ваша задача — для каждого кандидата рассчитать навык команды, если на собеседование придут все, кроме него. Обратите внимание, что это означает, что придут ровно \(n+m\) кандидатов, и все \(n+m\) мест в компании будут заняты.

Входные данные

Первая строка содержит одно целое число \(t\) (\(1 \le t \le 10^4\)) — количество наборов входных данных.

Каждый набор входных данных состоит из трех строк:

  • первая строка содержит два целых числа \(n\) и \(m\) (\(0 \le n, m \le 2 \cdot 10^5\); \(2 \le n + m + 1 \le 2 \cdot 10^5\)) — количество программистов и количество тестировщиков, которых Монокарп хочет нанять, соответственно;
  • вторая строка содержит \(n + m + 1\) целых чисел \(a_1, a_2, \dots, a_{n+m+1}\) (\(1 \le a_i \le 10^9\)), где \(a_i\) — навык программирования \(i\)-го кандидата;
  • третья строка содержит \(n + m + 1\) целых чисел \(b_1, b_2, \dots, b_{n+m+1}\) (\(1 \le b_i \le 10^9\); \(b_i \ne a_i\)), где \(b_i\) — навык тестирования \(i\)-го кандидата.

Дополнительное ограничение на входные данные: сумма \((n + m + 1)\) по всем наборам входных данных не превышает \(2 \cdot 10^5\).

Выходные данные

Для каждого набора входных данных выведите \(n + m + 1\) целых чисел, где \(i\)-е число должно быть равно навыку команды, если на собеседование придут все, кроме \(i\)-го кандидата.

Примечание

Рассмотрим третий набор входных данных в примере:

  • если \(1\)-й кандидат не придет, \(2\)-го кандидата возьмут тестировщиком, \(3\)-го кандидата возьмут программистом, \(4\)-го кандидата возьмут тестировщиком. Суммарный навык команды будет \(2 + 5 + 1 = 8\);
  • если \(2\)-й кандидат не придет, \(1\)-го кандидата возьмут тестировщиком, \(3\)-го кандидата возьмут программистом, \(4\)-го кандидата возьмут тестировщиком. Суммарный навык команды будет \(5 + 5 + 1 = 11\);
  • если \(3\)-й кандидат не придет, \(1\)-го кандидата возьмут тестировщиком, \(2\)-го кандидата возьмут тестировщиком, \(4\)-го кандидата возьмут программистом. Суммарный навык команды будет \(5 + 2 + 4 = 11\);
  • если \(4\)-й кандидат не придет, \(1\)-го кандидата возьмут тестировщиком, \(2\)-го кандидата возьмут тестировщиком, \(3\)-го кандидата возьмут программистом. Суммарный навык команды будет \(5 + 2 + 5 = 12\).

D. Инвертируемые скобочные последовательности

Бинарный поиск Структуры данных Комбинаторика реализация *2000 разделяй и властвуй

Правильная скобочная последовательность — это скобочная последовательность, которую можно превратить в корректное арифметическое выражение, вставив символы '1' и '+' между исходными символами. Например:

  • скобочные последовательности «()()» и «(())» — правильные (из них можно получить выражения «(1)+(1)» и «((1+1)+1)»);
  • скобочные последовательности «)(», «(» и «)» — неправильные.

Давайте определим инверсию скобочной последовательности следующим образом: заменить все скобки '(' на ')', и наоборот (все скобки ')' на '('). Например, строки «()((» и «)())» являются инверсиями друг друга.

Задана правильная скобочная последовательность \(s\). Ваша задача — посчитать количество таких пар целых чисел \((l,r)\) (\(1 \le l \le r \le |s|\)), что если заменить всю подстроку \(s\) с \(l\)-го символа по \(r\)-й символ (включительно) на ее инверсию, \(s\) все еще будет правильной скобочной последовательностью.

Входные данные

Первая строка содержит одно целое число \(t\) (\(1 \le t \le 10^4\)) — количество наборов входных данных.

Единственная строка каждого набора содержит непустую правильную скобочную последовательность; она состоит только из символов '(' и/или ')'.

Дополнительное ограничение на входные данные: общая длина правильных скобочных последовательностей по всем наборам входных данных не превышает \(2 \cdot 10^5\).

Выходные данные

Для каждого набора входных данных выведите одно целое число — количество пар \((l,r)\), удовлетворяющих условию задачи.

Примечание

В первом примере есть только одна пара:

  • \((2, 3)\): (()) \(\rightarrow\) ()().

Во втором примере подходящих пар нет.

В третьем примере есть три подходящих пары:

  • \((2, 3)\): ()()() \(\rightarrow\) (())();
  • \((4, 5)\): ()()() \(\rightarrow\) ()(());
  • \((2, 5)\): ()()() \(\rightarrow\) (()());

B. Новая булочная

Бинарный поиск Тернарный поиск математика жадные алгоритмы *800

Боб решил открыть булочную. В день открытия он испёк \(n\) булок, которые может продать. Обычная цена булки равна \(a\) монет, но чтобы привлечь покупателей, Боб организовал следующую акцию:

  • Боб выбирает некоторое целое число \(k\) (\(0 \le k \le \min(n, b)\)).
  • Первые \(k\) булок Боб продаёт по изменённой цене. В таком случае цена \(i\)-й (\(1 \le i \le k\)) проданной булки равна \((b - i + 1)\) монет.
  • Оставшиеся \((n - k)\) булок Боб продаёт по \(a\) монет за каждую.

Обратите внимание, что \(k\) может равняться \(0\). В таком случае Боб продаст все булки по \(a\) монет за каждую.

Помогите Бобу определить максимальную прибыль, которую он может получить, если продаст все \(n\) булок.

Входные данные

Каждый тест состоит из нескольких наборов входных данных. Первая строка содержит одно целое число \(t\) (\(1 \le t \le 10^4\)) — количество наборов входных данных. Далее следует описание наборов входных данных.

Единственная строка каждого набора входных данных содержит три целых числа \(n\), \(a\) и \(b\) (\(1 \le n, a, b \le 10^9\)) — количество булок, обычная цена булки и цена первой булки, которая будет продана по изменённой цене.

Выходные данные

Для каждого набора входных данных выведите одно целое число — максимальную прибыль, которую может получить Боб.

Примечание

В первом наборе входных данных Бобу выгодно выбрать \(k = 1\). Тогда он продаст одну булку за \(5\) монет, и три булки по обычной цене за \(4\) монеты. Тогда прибыль равна \(5 + 4 + 4 + 4 = 17\) монет.

Во втором наборе входных данных Бобу выгодно выбрать \(k = 5\). Тогда он продаст все булки по изменённой цене и получит прибыль \(9 + 8 + 7 + 6 + 5 = 35\) монет.

В третьем наборе входных данных Бобу выгодно выбрать \(k = 0\). Тогда он продаст все булки по обычной цене и получит прибыль \(10 \cdot 10 = 100\) монет.

C. Заработать на ставках

Бинарный поиск Конструктив Комбинаторика теория чисел *1200

Вам было предложено сыграть в игру. В данной игре возможно \(n\) исходов, на каждый из которых вы должны поставить некоторое целое количество монет. В случае, если \(i\)-й исход окажется выигрышным, вы получите обратно количество монет в размере вашей ставки на этот исход, умноженной на \(k_i\). Обратите внимание, что ровно один из \(n\) исходов окажется выигрышным.

Ваша задача — сказать, как распределить монеты так, чтобы при любом выигрышном исходе выйти в плюс. Более формально, суммарное количество монет, которое вы поставили на все исходы, должно быть строго меньше числа монет, полученных обратно при каждом возможном выигрышном исходе.

Входные данные

Каждый тест состоит из нескольких наборов входных данных. Первая строка содержит одно целое число \(t\) (\(1 \le t \le 10^4\)) — количество наборов входных данных. Далее следует описание наборов входных данных.

Первая строка каждого набора входных данных содержит одно целое число \(n\) (\(1 \le n \le 50\)) — количество исходов.

Вторая строка каждого набора входных данных содержит \(n\) целых чисел \(k_1,k_2,\ldots,k_n\) (\(2 \le k_i \le 20\)) — во сколько раз умножается количество монет, если \(i\)-й исход оказывается выигрышным.

Гарантируется, что сумма \(n\) по всем наборам входных данных не превосходит \(2 \cdot 10^5\).

Выходные данные

Для каждого набора входных данных выведите \(-1\), если требуемого способа распределить монеты не существует. Иначе выведите \(n\) целых чисел \(x_1, x_2,\ldots, x_n\) (\(1 \le x_i \le 10^{9}\)) — ваши ставки на исходы.

Можно показать, что если какой-то ответ существует, то всегда существует ответ, удовлетворяющий данным ограничениям.

Если существует несколько подходящих решений, выведите любое из них.

Примечание

В первом наборе входных данных можно распределить монеты следующим образом: \(27\) монет на первый исход, \(41\) монета на второй исход, \(12\) монет на третий исход. Тогда суммарное количество монет, которое будет поставлено на все исходы, равно \(27 + 41 + 12 = 80\) монет. Если первый исход окажется выигрышным, то вы получите обратно \(3 \cdot 27 = 81\) монету, если второй исход окажется выигрышным, то вы получите обратно \(2 \cdot 41 = 82\) монеты, если третий исход окажется выигрышным, то вы получите обратно \(7 \cdot 12 = 84\) монеты. Все эти значения строго больше \(80\).

Во втором наборе входных данных одним из способов является поставить по одной монете на каждый из исходов.

E. Манхэттенский треугольник

Бинарный поиск Структуры данных Конструктив реализация геометрия *2400

Манхэттенским расстоянием между двумя точками \((x_1, y_1)\) и \((x_2, y_2)\) называется величина, равная: \(\)|x_1 - x_2| + |y_1 - y_2|.\(\)

Назовем манхэттенским треугольником три точки на плоскости, манхэттенские расстояния между каждой парой из которых равны.

Вам дан набор попарно различных точек и четное целое число \(d\). Ваша задача — найти любой манхэттенский треугольник, составленный из трёх различных точек данного набора, у которого манхэттенское расстояние между любой парой вершин равно \(d\).

Входные данные

Каждый тест состоит из нескольких наборов входных данных. Первая строка содержит одно целое число \(t\) (\(1 \le t \le 10^4\)) — количество наборов входных данных. Далее следует описание наборов входных данных.

Первая строка каждого набора входных данных содержит два целых числа \(n\) и \(d\) (\(3 \le n \le 2 \cdot 10^5\), \(2 \le d \le 4 \cdot 10^5\), \(d\) — чётное) — количество точек и требуемое манхэттенское расстояние между вершинами треугольника.

\((i + 1)\)-я строка каждого набора входных данных содержит два целых числа \(x_i\) и \(y_i\) (\(-10^5 \le x_i, y_i \le 10^5\)) — координаты \(i\)-й точки. Гарантируется, что все точки попарно различны.

Гарантируется, что сумма \(n\) по всем наборам входных данных не превосходит \(2 \cdot 10^5\).

Выходные данные

Для каждого набора входных данных, выведите три целых попарно различных целых числа \(i\), \(j\) и \(k\) (\(1 \le i,j,k \le n\)) — индексы точек, образующих манхэттенский треугольник. Если ответа не существует, выведите «\(0\ 0\ 0\)» (без кавычек).

Если существует несколько решений, выведите любое из них.

Примечание

В первом наборе входных данных:

Точки \(A\), \(B\) и \(F\) образуют манхэттенский треугольник, манхэттенское расстояние между каждой парой вершин равно \(4\). Точки \(D\), \(E\) и \(F\) также могут быть ответом.

В третьем наборе входных данных:

Точки \(A\), \(C\) и \(E\) образуют манхэттенский треугольник, манхэттенское расстояние между каждой парой вершин равно \(6\).

В четвертом наборе входных данных не существует двух точек, манхэттенское расстояние между которыми равно \(4\), а следовательно подходящего манхэттенского треугольника не существует.

C. Доставка канцерогена

Бинарный поиск геометрия *2400

Рейнджер Йцукен прибыл в систему Диатар с очень важным поручением. Он должен доставить на планету Персефона особый канцероген для научных исследований. Дело очень срочное, поэтому Йцукен должен долететь до планеты как можно раньше. Сутки задержки и работа не будет оплачена — просроченный канцероген никому не нужен.

Можно считать, что корабль Йцукена, планета Персефона и звезда Диатар являются точками на плоскости. Диатар находится в центре координат — в точке (0, 0). Персефона вращается вокруг Диатар по круговой орбите радиусом R против часовой стрелки с постоянной линейной скоростью vp (так, например, полный оборот вокруг звезды занимает время ). В начальный момент времени Персефона находится в точке (xp, yp).

В начальный момент времени корабль Йцукена находится в точке (x, y). Йцукен может двигаться в любом направлении со скоростью, не превышающей v (v > vp). Звезда Диатар горячая (как и все звезды), поэтому Йцукен не может приближаться к ней слишком близко. Обшивка корабля плавится уже на расстоянии r (r < R) от звезды.

Определите наименьшее время, за которое Йцукен сможет доставить канцероген на планету Персефона.

Входные данные

В первой строке записаны через пробел целые числа xp, yp и vp ( - 104 ≤ xp, yp ≤ 104, 1 ≤ vp < 104) — начальное положение Персефоны и скорость ее вращения вокруг Диатар.

Во второй строке записаны через пробел целые числа x, y, v и r ( - 104 ≤ x, y ≤ 104, 1 < v ≤ 104, 1 ≤ r ≤ 104) — начальное положение корабля Йцукена, максимальная скорость его движения и минимальное безопасное расстояние до звезды Диатар.

Гарантируется, что r2 < x2 + y2, r2 < xp2 + yp2 и vp < v.

Выходные данные

Выведите одно вещественное число — наименьшее возможное время доставки. Ответ будет считаться правильным, если его относительная или абсолютная погрешность не будет превышать 10 - 6.

E. Захватывающая история

Бинарный поиск Структуры данных *2400 сортировки

Однажды рейнджер Йцукен стал свидетелем столкновения двух транспортных кораблей. В результате столкновения все содержимое их трюмов раскидало по космосу. И сейчас Йцукен хочет подобрать как можно больше потерянных предметов, чтобы их затем продать.

Так случилось, что оба судна перевозили партии новых гравитонных захватов. Захват — прибор, который можно установить на корабль и затем притягивать к себе предметы, находящиеся в космосе, и перемещать в трюм корабля.

Всего из потерпевших крушение кораблей вывалилось n гравитонных захватов: i-ый из них находится в точке с координатами (xi, yi). Каждый захват имеет две характеристики — pi (мощность) и ri (радиус действия) — и позволяет притягивать любые предметы массой не более pi на расстоянии не более ri. Сам захват тоже является предметом и имеет собственную массу mi.

Корабль Йцукена находится в точке (x, y) и оборудован стареньким магнитным захватом с характеристиками p и r. Других захватов в трюме корабля нет.

Определите какое наибольшее количество захватов сможет собрать Йцукен. В процессе сбора предметов Йцукен может произвольно устанавливать себе на корабль любой захват из трюма, в том числе, и только что подобранный (в любой момент времени на корабле может быть установлен только один действующий захват). Считается, что во время сбора все предметы и корабль Йцукена неподвижны (кроме момента притягивания — тогда предмет перемещается в трюм, а корабль все также остается неподвижен). Можно считать, что в трюм корабля могут поместиться все захваты. Любой подобранный захват, а также изначальный захват Йцукена, можно использовать произвольное количество раз.

Входные данные

В первой строке записаны пять целых чисел x, y, p, r и n ( - 109 ≤ x, y ≤ 109, 1 ≤ p, r ≤ 109, 1 ≤ n ≤ 250000) — начальное положение корабля, характеристики первоначального захвата и количество вывалившихся при крушении захватов.

В следующих n строках находятся описания захватов: i-ая из них содержит пять целых чисел xi, yi, mi, pi, ri ( - 109 ≤ xi, yi ≤ 109, 1 ≤ mi, pi, ri ≤ 109) — координаты i-го захвата и его характеристики.

Гарантируется, что все захваты находятся в различных точках. Никакой из захватов не находится в той же точке, что и корабль Йцукена.

Выходные данные

Выведите одно число — наибольшее количество захватов, которые Йцукен может притянуть к себе (имеющийся изначально старенький магнитный захват учитывать не нужно).

Примечание

В первом примере нужно сначала притянуть к себе второй захват, затем с помощью второго захвата притянуть первый, а затем с помощью первого захвата притянуть себе четвертый. Третий захват притянуть нельзя, поскольку он слишком тяжелый, а пятый находится слишком далеко.

C. Скучный день

Бинарный поиск Структуры данных дп жадные алгоритмы *1200

В очередной день Егору стало скучно, и он решил чем-нибудь заняться. Но так как у него нет друзей, он придумал игру, в которую и хочет сыграть.

У Егора есть колода из \(n\) карт, на \(i\)-й карте сверху написано какое-то число \(a_i\). Егор хочет сыграть в игру некоторое количество раундов, пока не закончатся карты. В каждом раунде он берет некоторое ненулевое количество карт с верха колоды и заканчивает раунд. Если сумма чисел на набранных за раунд картах находится между \(l\) и \(r\) включительно, то раунд считается выигранным, иначе проигранным.

Егор знает, в каком порядке идут числа на картах в колоде. Помогите Егору узнать, какое наибольшее количество раундов он сможет выиграть в такой игре. Обратите внимание, что Егор не обязан выигрывать раунды подряд.

Входные данные

Каждый тест состоит из нескольких наборов входных данных. Первая строка содержит целое число \(t\) (\(1 \le t \le 10^{4}\)) — количество наборов входных данных. Далее следует описание наборов входных данных.

Первая строка каждого набора входных данных содержит три целых числа \(n\), \(l\) и \(r\) (\(1 \le n \le 10^{5}\), \(1 \le l \le r \le 10^9\)).

Вторая строка каждого набора входных данных содержит \(n\) целых чисел \(a_1, a_2, \ldots, a_n\) (\(1 \le a_i \le 10^9\)) — числа на картах сверху вниз.

Гарантируется, что сумма \(n\) по всем наборам входных данных не превосходит \(2 \cdot 10^{5}\).

Выходные данные

Для каждого набора входных данных выведите одно число — наибольшее количество раундов, которое сможет выиграть Егор.

Примечание

В первом наборе входных данных Егор может выиграть \(3\) раунда:

  • В первом раунде взять \(2\) верхние карты со значениями \(2\) и \(1\) и выиграть, так как в сумме они дают \(3\). Колода после этого будет выглядеть так: \([11, 3, 7]\).
  • Во втором раунде взять верхнюю карту и проиграть, так как ее значение \(11\) больше \(r = 10\). Колода после этого будет выглядеть так: \([3, 7]\).
  • В третьем раунде взять верхнюю карту со значением \(3\) и выиграть. Колода после этого будет выглядеть так: \([7]\).
  • После этого в четвертом раунде Егору остается только взять последнюю карту в колоде со значением \(7\) и снова выиграть.

Во втором наборе входных данных Егор не сможет выиграть ни одного раунда, как бы он не старался.

В третьем наборе входных данных можно каждый раунд брать по одной карте, тогда первый и третий раунд будут проигрышными, а второй — выигрышным.

В четвертом наборе данных можно брать по две карты каждый раунд и всегда выигрывать.

F. И снова задача о сортировке

Бинарный поиск Структуры данных *2600 сортировки

У вас есть массив \(a\) из \(n\) элементов. Также есть \(q\) изменений массива. Перед первым изменением и далее после каждого изменения вы бы хотели узнать следующее:

Какой подотрезок минимальной длины необходимо отсортировать по неубыванию, чтобы массив \(a\) был полностью отсортирован по неубыванию?

Более формально, вы хотите выбрать подотрезок массива \((l, r)\) с минимальным значением \(r - l + 1\). После этого вы отсортируете элементы \(a_{l}, a_{l + 1}, \ldots, a_{r}\) и хотите, чтобы выполнялось условие \(a_{i} \le a_{i + 1}\) для всех \(1 \le i < n\). Если же массив уже отсортирован по неубыванию, то \(l\) и \(r\) стоит считать равными \(-1\).

Обратите внимание, что нахождение таких \((l, r)\) никак не меняет массив. А сами изменения имеют вид: присвоить \(a_{pos} = x\) для заданных \(pos\) и \(x\).

Входные данные

Каждый тест состоит из нескольких наборов входных данных. Первая строка содержит целое число \(t\) (\(1 \le t \le 10\)) — количество наборов входных данных. Далее следует описание наборов входных данных.

Первая строка каждого набора входных данных содержит одно целое число \(n\) (\(1 \le n \le 5 \cdot 10^{5}\)).

Вторая строка каждого набора входных данных содержит \(n\) целых чисел \(a_{i}\) (\(0 \le |a_{i}| \le 10^{9}\)) — изначальные элементы массива \(a\).

В третьей строке каждого набора входных данных дано число \(q\) (\(0 \le q \le 5 \cdot 10^{5}\)) — количество изменений массива.

Следующие \(q\) строк каждого набора входных данных содержат по два целых числа \(pos_{i}\) (\(1 \le pos_{i} \le n\)) и \(val_{i}\) (\(0 \le |val_{i}| \le 10^{9}\)) — это означает, что при \(i\)-м изменении \(a_{pos_{i}}\) присваивается значение \(val_{i}\).

Гарантируется, что сумма \(n\) и сумма \(q\) по всем наборам входных данных не превосходит \(5 \cdot 10^{5}\).

Выходные данные

Для каждого набора входных данных выведите \(q + 1\) строку. В каждой строке должно быть по \(2\) целых числа \(l, r\) — границы минимального подотрезка, при сортировке которого массив \(a\) станет полностью отсортирован. Если \(a\) уже отсортирован, то выведите \(l = -1\), \(r = -1\).

Примечание

Рассмотрим первый набор входных данных:

  • Изначально массив отсортирован по неубыванию: \([2, 2, 3, 4, 5]\)
  • После первого запроса массив выглядит так: \([\color{red}{2}, \color{red}{1}, 3, 4, 5]\).
  • После второго запроса массив выглядит так: \([\color{red}{2}, \color{red}{1}, \color{red}{3}, \color{red}{1}, 5]\).
  • После третьего запроса массив выглядит так: \([1, 1, \color{red}{3}, \color{red}{1}, 5]\).

Красным цветом показаны отрезки, которые нужно отсортировать, чтобы весь массив был отсортирован по неубыванию.

C. Трое в лодке, не считая торт

Бинарный поиск Перебор реализация *1400 жадные алгоритмы

Алиса, Боб и Чарли хотят разделить прямоугольный торт, разрезанный на \(n\) частей. Каждый считает, что каждый кусок торта имеет определённую ценность. Алиса считает, что \(i\)-й кусок имеет ценность \(a_i\), Боб — \(b_i\), а Чарли — \(c_i\).

Суммы всех \(a_i\), всех \(b_i\) и всех \(c_i\) по отдельности одинаковы и равны \(tot\).

Учитывая ценности каждого куска торта для каждого человека, нужно дать каждому человеку несколько подряд идущих кусков торта. Другими словами, индексы левых и правых концов этих подотрезков (номера кусков, отданных определённому человеку) можно представить как \((l_a, r_a)\), \((l_b, r_b)\) и \((l_c, r_c)\) для Алисы, Боба и Чарли соответственно. Разбиение должно удовлетворять следующим условиям:

  • Ни один кусок не отдан более чем одному человеку, т.е. никакие два подотрезка из \([l_a,\ldots,r_a]\), \([l_b, \ldots, r_b]\) и \([l_c, \ldots, r_c]\) не пересекаются.
  • Каждая из трёх сумм \( \sum_{i = l_a}^{r_a} a_i, \sum_{i = l_b}^{r_b} b_i, \sum_{i = l_c}^{r_c} c_i \geq \lceil \frac{tot}{3} \rceil\).

Здесь запись \(\lceil \frac{a}{b} \rceil\) обозначает деление с округлением вверх. Результат равен наименьшему целому числу, большему или равному результату точного деления \(a\) на \(b\). Иными словами, результат деления округляется вверх до ближайшего целого. Например, \(\lceil \frac{10}{3} \rceil = 4\) и \(\lceil \frac{15}{3} \rceil = 5\).

Входные данные

Первая строка содержит целое число \(t\) — количество наборов входных данных (\(1 \le t \le 10^4\))

Для каждого набора входных данных:

Первая строка содержит целое число \(n\) (\(3 \le n \le 2 \cdot 10^5\)).

Следующие три строки содержат по \(n\) целых чисел:

Одна строка с \(n\) целыми числами \(a_1, a_2, \ldots, a_n\) представляет ценности для Алисы (\(1 \le a_i \le 10^6\)).

Следующая строка с \(n\) целыми числами \(b_1, b_2, \ldots, b_n\) представляет ценности для Боба (\(1 \le b_i \le 10^6\)).

Следующая строка с \(n\) целыми числами \(c_1, c_2, \ldots, c_n\) представляет ценности для Чарли (\(1 \le c_i \le 10^6\)).

Гарантируется, что \( \sum_{i = 1}^{n} a_i = \sum_{i = 1}^{n} b_i = \sum_{i = 1}^{n} c_i\).

Сумма \(n\) по всем наборам входных данных не превосходит \(2 \cdot 10^5\).

Выходные данные

Для каждого набора входных данных выведите \(-1\), если искомые подотрезки не существуют.

В противном случае выведите шесть чисел: \(l_a, r_a, l_b, r_b, l_c, r_c\) — соответствующие начальные и конечные индексы (в \(1\)-индексации) подотрезков для Алисы, Боба и Чарли соответственно.

Примечание

В первом наборе входных данных сумма каждого из трех массивов равна \(9\). Каждому человеку нужна часть торта, соответствующая подотрезку с суммарной ценностью не менее \(\lceil \frac{9}{3} \rceil = 3\).

Если мы назначим подотрезок (\(1\),\(1\)) Алисе, то его общая ценность для нее составит \(5\), что \(\ge 3\); назначим подотрезок (\(2\),\(3\)) Бобу, общая ценность для него составит \(1 + 5 = 6\), что \(\ge 3\); и назначим подотрезок (\(4\),\(5\)) Чарли, общая ценность для него составит \(1 + 5 = 6\), что также \(\ge 3\). Каждый человек получает свои куски торта, и ни один кусок не является общим для двух или более человек.

Можно показать, что для третьего набора входных данных невозможно раздать кусочки торта таким образом, чтобы удовлетворить заданным условиям.

F. Значения массивов

Бинарный поиск Структуры данных жадные алгоритмы битмаски *2500

У вас есть массив целых неотрицательных чисел \(a_1, a_2, \ldots, a_n\).

Значение подотрезка длины \(\ge 2\): \(a[l, r] = [a_l, a_{l+1}, \ldots, a_r]\) — это минимальное значение \(a_i \oplus a_j\) такое, что \(l \le i < j \le r\), где \(\oplus\) обозначает операцию побитового исключающего ИЛИ.

Вам нужно найти \(k\)-е наименьшее значение среди всех подотрезков длины \(\ge 2\).

Входные данные

Каждый тест состоит из нескольких наборов входных данных. Первая строка содержит одно целое число \(t\) (\(1 \le t \le 2 \cdot 10^4\)) — количество наборов входных данных. Далее следует описание наборов входных данных.

Первая строка каждого набора входных данных содержит целые числа \(n\) и \(k\) (\(2 \le n \le 10^5\), \(1 \le k \le \frac{n\cdot(n-1)}{2}\)).

Вторая строка входных данных содержит \(n\) целых положительных чисел \(a_1, a_2, \ldots, a_n\) (\(0 \le a_i \le 10^9\)) — сам массив.

Гарантируется, что сумма \(n\) по всем наборам входных данных не превосходит \(10^5\).

Выходные данные

Для каждого набора входных данных в отдельной строке выведите \(k\)-ю порядковую статистику среди значений всех подотрезков длины хотя бы \(2\).

Примечание

В первом наборе входных данных мы имеем такие подотрезки и наименьшие значения побитового исключающего ИЛИ пары элементов:

\([1,2]: 3\)

\([2,3]: 1\)

\([3,4]: 7\)

\([4,5]: 1\)

\([1,2,3]: 1\)

\([2,3,4]: 1\)

\([3,4,5]: 1\)

\([1,2,3,4]: 1\)

\([2,3,4,5]: 1\)

\([1,2,3,4,5]: 1\)

Упорядоченные значения: \(1, 1, 1, 1, 1, 1, 1, 1, 3, 7\). Таким образом, вторым наименьшим элементом будет \(1\).

F. Финальный босс

Бинарный поиск Структуры данных *1500

Вы сталкиваетесь с финальным боссом в своей любимой видеоигре. У босса \(h\) здоровья. У вашего персонажа есть \(n\) атак, \(i\)-я атака наносит \(a_i\) урона боссу, но имеет перезарядку \(c_i\) ходов, что означает, что вы сможете использовать эту атаку в следующий раз в ход \(x + c_i\), если ваш текущий ход \(x\). Каждый ход вы можете использовать сразу все атаки, которые сейчас не находятся в режиме перезарядки. Если все атаки находятся в режиме перезарядки, вы ничего не делаете в этот ход и переходите к следующему.

Изначально все атаки не находятся в режиме перезарядки. Сколько ходов вам понадобится, чтобы победить босса? Босс будет побежден, когда его здоровье станет \(0\) или меньше.

Входные данные

Первая строка содержит \(t\) (\(1 \leq t \leq 10^4\))  – количество наборов входных данных.

Первая строка каждого набора содержит два целых числа \(h\) и \(n\) (\(1 \leq h, n \leq 2 \cdot 10^5\)) – здоровье босса и количество ваших атак.

Следующая строка каждого набора содержит \(n\) целых чисел \(a_1, a_2, ..., a_n\) (\(1 \leq a_i \leq 2 \cdot 10^5\)) – урон ваших атак.

Следующая строка каждого набора содержит \(n\) целых чисел \(c_1, c_2, ..., c_n\) (\(1 \leq c_i \leq 2 \cdot 10^5\)) – перезарядка ваших атак.

Гарантируется, что сумма \(h\) и \(n\) по всем наборам входных данных не превышает \(2 \cdot 10^5\).

Выходные данные

Для каждого набора входных данных выведите целое число, минимальное количество ходов, необходимое для победы над боссом.

Примечание

В первом примере вы можете использовать атаки \(1\) и \(2\) на первом ходу, нанеся в общей сложности \(3\) урона и убив босса.

Во втором примере вы можете победить босса за \(3\) хода, используя следующие атаки:

Ход \(1\): Используйте атаки \(1\) и \(2\), нанеся \(3\) урона боссу. У босса осталось \(2\) здоровья.

Ход \(2\): Используйте атаку \(2\), нанеся \(1\) урон боссу. У босса осталось \(1\) здоровья.

Ход \(3\): Используйте атаку \(1\), нанеся \(2\) урона боссу. У босса осталось \(-1\) здоровья. Поскольку его здоровье меньше или равно \(0\), вы побеждаете босса.

В шестом примере: не забудьте использовать 64-битный целочисленный тип, так как ответ может быть большим.

G1. Задача на перестановку (простая версия)

Бинарный поиск Перебор Структуры данных Комбинаторика математика теория чисел *2200

Это простая версия задачи. Единственное различие состоит в том, что в этой версии \(n \leq 10^5\) и сумма \(n\) по всем наборам входных данных не превосходит \(10^5\).

Вам дана перестановка \(p\) длины \(n\). Посчитайте количество пар индексов \(1 \leq i < j \leq n\), таких что \(p_i \cdot p_j\) делится без остатка на \(i \cdot j\).

Перестановка — это последовательность из \(n\) целых чисел, в которой каждое целое число от \(1\) до \(n\) встречается ровно по одному разу. Например, \([1]\), \([3,5,2,1,4]\), \([1,3,2]\) — перестановки, а \([2,3,2]\), \([4,3,1]\), \([0]\) — нет.

Входные данные

Каждый тест состоит из нескольких наборов входных данных. Первая строка содержит единственное целое число \(t\) (\(1 \leq t \leq 10^4\)) — количество наборов входных данных. Далее следует их описание.

Первая строка каждого набора входных данных содержит одно целое число \(n\) (\(1 \leq n \leq 10^5\)) — длина перестановки \(p\).

Вторая строка каждого набора входных данных содержит \(n\) различных целых чисел \(p_1, p_2, \ldots, p_n\) (\(1 \leq p_i \leq n\)) — перестановку \(p\).

Гарантируется, что сумма \(n\) по всем наборам входных данных не превосходит \(10^5\).

Выходные данные

Для каждого набора входных данных выведите количество пар индексов \(1 \leq i < j \leq n\), таких что \(p_i \cdot p_j\) делится без остатка на \(i \cdot j\).

Примечание

В первом наборе входных данных нет ни одной пары индексов, так как размер перестановки равен \(1\).

Во втором наборе входных данных есть одна пара индексов \((1, 2)\) и она подходит.

В третьем наборе входных данных подходит пара индексов \((1, 2)\).

В четвертом наборе входных данных подходят пары индексов \((1, 2)\), \((1, 5)\) и \((2, 5)\).

E. Сумма минимумов на подотрезках

Бинарный поиск Перебор Структуры данных реализация разделяй и властвуй *2300

Для массива \([a_1,a_2,\ldots,a_n]\) длины \(n\) определим \(f(a)\) как сумму минимального элемента по всем подотрезкам этого массива. Иными словами, \(\)f(a)=\sum_{l=1}^n\sum_{r=l}^n \min_{l\le i\le r}a_i.\(\)

Перестановка — это последовательность целых чисел от \(1\) до \(n\) длиной \(n\), содержащая каждое число ровно один раз. Вам дана перестановка \([a_1,a_2,\ldots,a_n]\). Для каждого \(i\) решите следующую задачу независимо:

  • Удалите \(a_i\) из \(a\), объединив оставшиеся части, получив \(b = [a_1,a_2,\ldots,a_{i-1},\;a_{i+1},\ldots,a_{n}]\).
  • Вычислите \(f(b)\).
Входные данные

Каждый тест содержит несколько наборов входных данных. Первая строка содержит количество наборов входных данных \(t\) (\(1 \le t \le 10^5\)). Затем следует описание наборов.

Первая строка каждого набора содержит целое число \(n\) (\(1\le n\le 5\cdot 10^5\)).

Вторая строка каждого набора содержит \(n\) различных целых чисел \(a_1,\ldots,a_n\) (\(1\le a_i\le n\)).

Гарантируется, что сумма \(n\) по всем наборам не превышает \(10^6\).

Выходные данные

Для каждого набора выведите одну строку, содержащую \(n\) целых чисел. \(i\)-е целое число должно быть ответом при удалении \(a_i\).

Примечание

Во втором наборе входных данных \(a=[3,1,2]\).

  • При удалении \(a_1\), \(b=[1,2]\). \(f(b)=1+2+\min\{1,2\}=4\).
  • При удалении \(a_2\), \(b=[3,2]\). \(f(b)=3+2+\min\{3,2\}=7\).
  • При удалении \(a_3\), \(b=[3,1]\). \(f(b)=3+1+\min\{3,1\}=5\).

E1. Поймай крота (легкая версия)

Бинарный поиск Деревья Структуры данных поиск в глубину и подобное интерактив *2500

Это легкая версия задачи. Единственное отличие — это ограничение на количество запросов.

Это интерактивная задача.

Вам дано дерево из \(n\) вершин с вершиной \(1\) в качестве корневой.

В одной из вершин спрятан крот. Чтобы найти его положение, вы можете выбрать вершину \(x\) (\(1 \le x \le n\)) и сделать запрос к жюри. После этого жюри вернет \(1\), если крот находится в поддереве вершины \(x\). В противном случае жюри вернет \(0\). Если жюри возвращает \(0\) и крот не находится в корневой вершине \(1\), крот переместится в вершину-родителя той вершины, в которой он находится в данный момент.

Используя не более \(300\) операций, найдите текущую вершину, в которой находится крот.

Входные данные

Первая строка входных данных содержит единственное целое число \(t\) (\(1 \le t \le 100\)) — количество наборов входных данных. Описание наборов входных данных следует ниже.

Протокол взаимодействия

Первая строка каждого набора входных данных содержит одно целое число \(n\) (\(2 \le n \le 5000\)).

Следующая \(n-1\) строка описывает ребра дерева. Каждая строка содержит два целых числа, разделенные пробелом, \(u_i\) и \(v_i\) (\(1 \le u_i, v_i \le n\)), обозначающие ребро между вершинами \(u_i\) и \(v_i\).

Гарантируется, что входные данные представляют собой дерево.

Интерактор в этой задаче не является адаптивным. Другими словами, вершина, где изначально находится крот, зафиксирована в каждом наборе входных данных и не меняется во время взаимодействия.

Чтобы сделать запрос, вам нужно выбрать вершину \(x\) (\(1 \le x \le n\)) и вывести строку следующего вида:

  • «? x»

После этого вы получите:

  • \(0\), если крот не находится в поддереве \(x\);
  • \(1\), если крот находится в поддереве \(x\).

Вы можете сделать не более \(300\) запросов такого вида для каждого набора входных данных.

Затем, если вы определили текущую вершину, где находится крот, выведите строку следующего вида:

  • «! x»

Обратите внимание, что эта строка не считается запросом и не учитывается при подсчете количества заданных запросов.

После этого переходите к следующему набору входных данных.

Если вы сделаете более \(300\) запросов во время взаимодействия, ваша программа должна немедленно завершиться, и вы получите вердикт Неправильный ответ. В противном случае вы можете получить произвольный вердикт, потому что ваше решение будет продолжать читать из закрытого потока.

После вывода запроса не забудьте вывести перевод строки и сбросить буфер вывода. В противном случае вы получите вердикт Решение «зависло». Для сброса буфера используйте:

  • fflush(stdout) или cout.flush() в C++;
  • System.out.flush() в Java;
  • flush(output) в Pascal;
  • stdout.flush() в Python;
  • смотрите документацию для других языков.

Взломы

Чтобы сделать взлом, используйте следующий формат:

Первая строка содержит количество наборов входных данных \(t\) (\(1 \le t \le 100\)). Далее следует описание наборов входных данных.

Первая строка каждого набора входных данных содержит два целых числа \(n\) и \(x\) (\(2 \le n \le 5000\), \(1 \le x \le n\)), описывающие размер дерева и начальное положение крота.

Следующая \(n-1\) строка описывает ребра дерева. Каждая строка содержит два целых числа, разделенные пробелом, \(u_i\) и \(v_i\) (\(1 \le u_i, v_i \le n\)), обозначающие ребро между вершинами \(u_i\) и \(v_i\).

Входные данные обязаны представлять собой дерево.

Примечание

В первом наборе входных данных крот изначально находится в вершине \(2\).

Для запроса «? 2», жюри возвращает \(1\), потому что крот находится в поддереве вершины \(2\). После этого запроса крот не перемещается.

Ответ \(2\) — это текущая вершина, где находится крот, поэтому ответ считается правильным.

Во втором наборе входных данных крот изначально находится в вершине \(6\).

Для запроса «? 2», жюри возвращает \(0\), потому что крот не находится в поддереве вершины \(2\). После этого запроса крот перемещается из вершины \(6\) в вершину \(5\).

Для запроса «? 6», жюри возвращает \(0\), потому что крот не находится в поддереве вершины \(6\). После этого запроса крот перемещается из вершины \(5\) в вершину \(4\).

Для запроса «? 4», жюри возвращает \(1\), потому что крот находится в поддереве вершины \(4\). После этого запроса крот не перемещается.

Ответ \(4\) — это текущая вершина, где находится крот, поэтому ответ считается правильным.

Обратите внимание, что приведенный пример предназначен только для понимания условия, и запросы в примере не гарантируют определение уникального положения крота.

E2. Поймай крота (сложная версия)

Бинарный поиск Деревья Структуры данных *2600 поиск в глубину и подобное разделяй и властвуй интерактив

Это сложная версия задачи. Единственное отличие — это ограничение на количество запросов.

Это интерактивная задача.

Вам дано дерево из \(n\) вершин с вершиной \(1\) в качестве корневой.

В одной из вершин спрятан крот. Чтобы найти его положение, вы можете выбрать вершину \(x\) (\(1 \le x \le n\)) и сделать запрос к жюри. После этого жюри вернет \(1\), если крот находится в поддереве вершины \(x\). В противном случае жюри вернет \(0\). Если жюри возвращает \(0\) и крот не находится в корневой вершине \(1\), крот переместится в вершину-родителя той вершины, в которой он находится в данный момент.

Используя не более \(160\) операций, найдите текущую вершину, в которой находится крот.

Входные данные

Первая строка входных данных содержит единственное целое число \(t\) (\(1 \le t \le 100\)) — количество наборов входных данных. Описание наборов входных данных следует ниже.

Протокол взаимодействия

Первая строка каждого набора входных данных содержит одно целое число \(n\) (\(2 \le n \le 5000\)).

Следующая \(n-1\) строка описывает ребра дерева. Каждая строка содержит два целых числа, разделенные пробелом, \(u_i\) и \(v_i\) (\(1 \le u_i, v_i \le n\)), обозначающие ребро между вершинами \(u_i\) и \(v_i\).

Гарантируется, что входные данные представляют собой дерево.

Интерактор в этой задаче не является адаптивным. Другими словами, вершина, где изначально находится крот, зафиксирована в каждом наборе входных данных и не меняется во время взаимодействия.

Чтобы сделать запрос, вам нужно выбрать вершину \(x\) (\(1 \le x \le n\)) и вывести строку следующего вида:

  • «? x»

После этого вы получите:

  • \(0\), если крот не находится в поддереве \(x\);
  • \(1\), если крот находится в поддереве \(x\).

Вы можете сделать не более \(160\) запросов такого вида для каждого набора входных данных.

Затем, если вы определили текущую вершину, где находится крот, выведите строку следующего вида:

  • «! x»

Обратите внимание, что эта строка не считается запросом и не учитывается при подсчете количества заданных запросов.

После этого переходите к следующему набору входных данных.

Если вы сделаете более \(160\) запросов во время взаимодействия, ваша программа должна немедленно завершиться, и вы получите вердикт Неправильный ответ. В противном случае вы можете получить произвольный вердикт, потому что ваше решение будет продолжать читать из закрытого потока.

После вывода запроса не забудьте вывести перевод строки и сбросить буфер вывода. В противном случае вы получите вердикт Решение «зависло». Для сброса буфера используйте:

  • fflush(stdout) или cout.flush() в C++;
  • System.out.flush() в Java;
  • flush(output) в Pascal;
  • stdout.flush() в Python;
  • смотрите документацию для других языков.

Взломы

Чтобы сделать взлом, используйте следующий формат:

Первая строка содержит количество наборов входных данных \(t\) (\(1 \le t \le 100\)). Далее следует описание наборов входных данных.

Первая строка каждого набора входных данных содержит два целых числа \(n\) и \(x\) (\(2 \le n \le 5000\), \(1 \le x \le n\)), описывающие размер дерева и начальное положение крота.

Следующая \(n-1\) строка описывает ребра дерева. Каждая строка содержит два целых числа, разделенные пробелом, \(u_i\) и \(v_i\) (\(1 \le u_i, v_i \le n\)), обозначающие ребро между вершинами \(u_i\) и \(v_i\).

Входные данные обязаны представлять собой дерево.

Примечание

В первом наборе входных данных крот изначально находится в вершине \(2\).

Для запроса «? 2», жюри возвращает \(1\), потому что крот находится в поддереве вершины \(2\). После этого запроса крот не перемещается.

Ответ \(2\) — это текущая вершина, где находится крот, поэтому ответ считается правильным.

Во втором наборе входных данных крот изначально находится в вершине \(6\).

Для запроса «? 2», жюри возвращает \(0\), потому что крот не находится в поддереве вершины \(2\). После этого запроса крот перемещается из вершины \(6\) в вершину \(5\).

Для запроса «? 6», жюри возвращает \(0\), потому что крот не находится в поддереве вершины \(6\). После этого запроса крот перемещается из вершины \(5\) в вершину \(4\).

Для запроса «? 4», жюри возвращает \(1\), потому что крот находится в поддереве вершины \(4\). После этого запроса крот не перемещается.

Ответ \(4\) — это текущая вершина, где находится крот, поэтому ответ считается правильным.

Обратите внимание, что приведенный пример предназначен только для понимания условия, и запросы в примере не гарантируют определение уникального положения крота.

D. Медизация

Бинарный поиск дп жадные алгоритмы *2200

Даны два положительных целых числа \(n\) и \(k\), а также массив \(a\) из \(n\) целых чисел.

При выполнении операции вы можете выбрать любой подмассив размера \(k\) из \(a\), а затем удалить его из массива, не меняя порядок других элементов. Более формально, пусть \((l, r)\) — это операция над подпорядком \(a_l, a_{l+1}, \ldots, a_r\), такая что \(r-l+1=k\), тогда выполнение этой операции означает замену \(a\) на \([a_1, \ldots, a_{l-1}, a_{r+1}, \ldots, a_n]\).

Например, если \(a=[1,2,3,4,5]\) и мы выполним операцию \((3,5)\) над этим массивом, он станет \(a=[1,2]\). Помимо того, операция \((2, 4)\) приведет к \(a=[1,5]\), а операция \((1,3)\) приведет к \(a=[4,5]\).

Вам нужно повторять операцию, пока длина \(a\) больше \(k\) (что означает \(|a| \gt k\)). Какова наибольшая возможная медиана\(^\dagger\) всех оставшихся элементов массива \(a\) после процесса?

\(^\dagger\)Медиана массива длины \(n\) — это элемент, индекс которого равен \(\left \lfloor (n+1)/2 \right \rfloor\) после сортировки элементов в неубывающем порядке. Например: \(median([2,1,5,4,3]) = 3\), \(median([5]) = 5\), и \(median([6,8,2,4]) = 4\).

Входные данные

Первая строка содержит одно целое число \(t\) (\(1 \le t \le 10^4\)) — количество наборов входных данных.

Первая строка каждого набора входных данных содержит два целых числа \(n\) и \(k\) (\(1 \le n, k \le 5 \cdot 10^5\)).

Вторая строка содержит \(n\) целых чисел \(a_1, a_2, \ldots, a_n\) (\(1 \le a_i \le 10^9\)) — массив \(a\).

Гарантируется, что сумма \(n\) по всем наборам входных данных не превышает \(5 \cdot 10^5\).

Выходные данные

Для каждого набора входных данных выведите одно целое число — наибольшая возможная медиана после выполнения операций.

Примечание

В первом наборе входных данных подмассив \((l, r)\) может быть либо \((1, 3)\), либо \((2, 4)\). Таким образом, два получаемых конечных массива — это \([3]\) и \([2]\). Первый имеет большую медиану (\(3 > 2\)), поэтому ответ — \(3\).

Во втором наборе входных данных три получаемых конечных массива — это \([6, 4]\), \([3, 4]\) и \([3, 2]\). Их медианы равны \(4\), \(3\) и \(2\) соответственно. Ответ — \(4\).

В третьем наборе входных данных в конечном массиве остается только один элемент, и это может быть любой элемент начального массива. Наибольший из них — \(9\), поэтому ответ — \(9\).

C. Голодные игры

Бинарный поиск *1600 дп

Ярослав играет в компьютерную игру, и на одном из уровней перед ним оказалось \(n\) выстроенных в ряд грибов. Каждый гриб имеет свой уровень ядовитости, \(i\)-й с начала гриб имеет уровень ядовитости \(a_i\). Ярослав может выбрать два целых числа \(1 \le l \le r \le n\), а затем его персонаж будет по очереди слева направо поедать грибы из этого подотрезка, то есть грибы с номерами \(l, l+1, l+2, \ldots, r\).

У персонажа есть уровень отравленности \(g\), изначально равный \(0\). Компьютерная игра определяется числом \(x\) — максимальным уровнем отравленности в любой момент времени. При поедании гриба с ядовитостью \(k\) происходит следующее:

  1. К отравленности персонажа добавляется \(k\).
  2. Если \(g \leq x\), процесс продолжается, иначе \(g\) становится равным нулю и процесс продолжается.

Ярославу стало интересно, сколько существует способов выбрать значения \(l\) и \(r\) таких, что итоговое значение \(g\) не равно нулю. Помогите Ярославу найти это число!

Входные данные

Каждый тест состоит из нескольких наборов входных данных. Первая строка содержит целое число \(t\) (\(1 \le t \le 10^{4}\)) — количество наборов входных данных. Далее следует описание наборов входных данных.

Первая строка каждого набора входных данных содержит два целых числа \(n\), \(x\) (\(1 \leq n \leq 2 \cdot 10^5, 1 \le x \le 10^9\)) — количество грибов и максимальный уровень отравленности.

Вторая строка каждого набора входных данных содержит \(n\) чисел \(a_1, a_2, \ldots, a_n\) (\(1 \leq a_i \leq 10^9\)).

Гарантируется, что сумма \(n\) по всем наборам входных данных не превосходит \(2 \cdot 10^5\).

Выходные данные

Для каждого набора входных данных выведите одно число — количество подотрезков, таких что итоговое значение \(g\) будет не равно нулю.

Примечание

В первом наборе входных данных подходят подотрезки \((1, 1)\), \((1, 2)\), \((1, 4)\), \((2, 2)\), \((2, 3)\), \((3, 3)\), \((3, 4)\) и \((4, 4)\).

Во втором наборе входных данных ненулевое \(g\) останется только на подотрезках \((1, 1)\) и \((2, 2)\).

В третьем наборе входных данных на единственном возможном подотрезке \(g\) будет равно нулю.

B1. Букет (легкая версия)

Бинарный поиск Перебор *1100 жадные алгоритмы сортировки

Это легкая версия задачи. Единственное отличие в том, что в этой версии цветы заданы перечислением.

Девочка готовится к своему дню рождения и хочет составить невероятной красоты букет. Всего в магазине есть \(n\) цветов, каждый из которых характеризуется своим количеством лепестков; цветок с \(k\) лепестками стоит \(k\) монет. Девочка решила, что количество лепестков у любых двух цветов, которые она будет использовать в составлении своего букета, должно отличаться не более чем на единицу. При этом девочка хочет собрать букет с максимально возможным количеством лепестков. К сожалению, у неё есть только \(m\) монет, и потратить больше она не может. Букет с каким максимальным суммарным количеством лепестков она может собрать?

Входные данные

Каждый тест состоит из нескольких наборов входных данных. Первая строка содержит одно целое число \(t\) (\(1 \le t \le 10\,000\)) — количество наборов входных данных. Далее следуют описания наборов входных данных.

Первая строка каждого набора входных данных содержит два целых числа \(n\), \(m\) (\(1 \le n \le 2 \cdot 10^5, 1 \le m \le 10^{18}\)) — количество цветов в магазине и количество монет у девочки соответственно. Вторая строка каждого набора входных данных содержит \(n\) целых чисел \(a_1, a_2, \ldots, a_n\) (\(1 \le a_i \le 10^9\)), где \(a_i\) — количество лепестков у \(i\)-го цветка в магазине.

Сумма \(n\) по всем наборам входных данных не превосходит \(2 \cdot {10}^5\).

Выходные данные

Для каждого набора входных данных выведите одно целое число — максимально возможное количество лепестков в букете, который может собрать девочка, соблюдая все перечисленные выше условия.

Примечание

В первом наборе входных данных вы можете собрать букет из \((1, 1, 2, 2), (2, 2, 3), (1, 1), (2, 2)\). Максимум из разрешенных букетов, не превышающий \(10\), составляет \(7\) для \((2, 2, 3)\). В третьем наборе входных данных вы можете собрать букет из одного цветка любого типа, поэтому ответ — \(610\). В четвертом наборе входных данных вы можете собрать букет из \((4, 4, 5)\), что даст вам \(13\) лепестков, и это максимальное количество лепестков, которое может купить девочка.

B2. Букет (сложная версия)

Бинарный поиск Структуры данных математика жадные алгоритмы сортировки *1700

Это сложная версия задачи. Единственное отличие в том, что в этой версии вместо перечисления количеств лепестков у каждого цветка задано для всех типов цветов (по количеству лепестков) их количество в магазине.

Девочка готовится к своему дню рождения и хочет составить невероятной красоты букет. В магазине представлено в общей сложности \(n\) различных типов цветов, для каждого из перечисленных типов цветов указано их количество в магазине. Цветок с \(k\) лепестками стоит \(k\) монет. Девочка решила, что разница в количестве лепестков между любыми двумя цветами, которые она будет использовать для составления букета, не должна превышать единицы. В то же время девочка хочет собрать букет с максимально возможным количеством лепестков. К сожалению, у неё есть только \(m\) монет, и она не может потратить больше. С каким максимальным количеством лепестков она может собрать букет?

Входные данные

Каждый тест состоит из нескольких тестовых наборов. В первой строке содержится одно целое число \(t\) (\(1 \le t \le 10\,000\)) — количество тестовых наборов. Далее следует описание тестовых наборов.

Первая строка каждого тестового примера содержит два целых числа \(n\), \(m\) (\(1 \le n \le 2 \cdot 10^5, 1 \le m \le 10^{18}\)) — количество типов цветов в магазине и количество монет у девочки. Вторая строка каждого тестового примера содержит \(n\) целых различных чисел \(a_1, a_2, \ldots, a_n\) (\(1 \le a_i \le 10^9\)), где \(a_i\) – это количество лепестков у \(i\)-го типа цветов в магазине (для различных индексов \(i \neq j\) гарантируется, что количество лепестков у соответствующих типов цветов различное, то есть \(a_i \neq a_j\)). Третья строка каждого тестового примера содержит \(n\) целых чисел \(c_1, c_2, \ldots, c_n\) (\(1 \le c_i \le 10^9\)), где \(c_i\) – количество цветов \(i\)-го типа в магазине.

Сумма \(n\) по всем тестовым случаям не превышает \(2 \cdot {10}^5\).

Выходные данные

Для каждого набора входных данных выведите одно целое число — максимально возможное количество лепестков в букете, который может собрать девочка, соблюдая все перечисленные выше условия.

Примечание

В первом наборе входных данных некоторые разрешенные букеты — это \((1, 1, 2, 2), (2, 2, 3), (1, 1), (2, 2)\). Максимум из разрешенных букетов, не превышающий \(10\), составляет \(7\) для \((2, 2, 3)\). Во втором наборе входных данных вы можете собрать разрешенный букет из \((206, 206, 207, 207, 207)\) с суммой \(1033\), что является максимальным количеством лепестков, которое может купить девушка. В третьем наборе входных данных вы можете собрать корректный букет из \((5, 5, 5, 4)\) с суммой \(19\). Видно, что ни в одном разрешенном букете не может быть \(20\) лепестков.

A. Ноги

Бинарный поиск Тернарный поиск математика *800

Снова прекрасный день на ферме Фермера Джона.

После того, как Фермер Джон прибыл на свою ферму, он насчитал \(n\) ног. Известно, что на ферме живут только куры и коровы, причем у куриц по \(2\) ноги, а у коров по \(4\).

Какое минимальное количество животных может быть у Фермера Джона на его ферме, если он посчитал количество ног у всех животных?

Входные данные

Первая строка содержит одно целое число \(t\) (\(1 \leq t \leq 10^3\)) — количество наборов входных данных.

Каждый набор содержит целое число \(n\) (\(2 \leq n \leq 2 \cdot 10^3\), \(n\) четное).

Выходные данные

Для каждого набора входных данных выведите одно целое число — минимальное количество животных у Фермера Джона на его ферме.

D. Веселье

Бинарный поиск Перебор Комбинаторика математика *1500 теория чисел

Подсчёт — это весело!
— satyam343

Даны два целых числа \(n\) и \(x\), найдите количество троек (\(a,b,c\)) положительных целых чисел, таких, что \(ab + ac + bc \le n\) и \(a + b + c \le x\).

Обратите внимание, что порядок имеет значение (например, (\(1, 1, 2\)) и (\(1, 2, 1\)) считаются разными) и \(a\), \(b\), \(c\) должны быть строго больше \(0\).

Входные данные

Первая строка содержит одно целое число \(t\) (\(1 \leq t \leq 10^4\))  — количество наборов входных данных.

Каждый набор содержит два целых числа \(n\) и \(x\) (\(1 \leq n,x \leq 10^6\)).

Гарантируется, что сумма \(n\) по всем наборам входных данных не превышает \(10^6\) и сумма \(x\) по всем наборам входных данных не превышает \(10^6\).

Выходные данные

Выведите одно целое число — количество троек (\(a,b,c\)) положительных целых чисел, таких, что \(ab + ac + bc \le n\) и \(a + b + c \le x\).

Примечание

В первом примере подходящие тройки это (\(1, 1, 1\)), (\(1, 1, 2\)), (\(1, 2, 1\)) и (\(2, 1, 1\)).

Во втором примере подходящие тройки это (\(1, 1, 1\)), (\(1, 1, 2\)), (\(1, 1, 3\)), (\(1, 2, 1\)), (\(1, 2, 2\)), (\(1, 3, 1\)), (\(2, 1, 1\)), (\(2, 1, 2\)), (\(2, 2, 1\)) и (\(3, 1, 1\)).

F. Бомба

Бинарный поиск математика жадные алгоритмы *1900

Искорка дает вам два массива \(a\) и \(b\) длиной \(n\). Изначально ваш счет равен \(0\). За одну операцию вы можете выбрать целое число \(i\) и добавить \(a_i\) к вашему счету. Затем вы должны установить \(a_i\) = \(\max(0, a_i - b_i)\).

У вас есть время выполнить \(k\) операций, прежде чем Искорка подорвет ядерную бомбу! Каков максимальный счет, который вы можете набрать после \(k\) операций?

Входные данные

Первая строка содержит \(t\) (\(1 \leq t \leq 1000\)) — количество наборов входных данных.

Первая строка каждого набора содержит \(n\) и \(k\) (\(1 \leq n \leq 2 \cdot 10^5, 1 \leq k \leq 10^9\)) — длина массивов и количество операций, которые вы можете выполнить.

Следующая строка содержит \(n\) целых чисел \(a_1, a_2, ... a_n\) (\(1 \leq a_i \leq 10^9\)).

Следующая строка содержит \(n\) целых чисел \(b_1, b_2, ... b_n\) (\(1 \leq b_i \leq 10^9\)).

Гарантируется, что сумма \(n\) по всем наборам входных данных не превышает \(2 \cdot 10^5\).

Выходные данные

Для каждого набора входных данных выведите целое число, максимальный счет, который вы можете набрать после \(k\) операций.

D. Максимизация корня

Бинарный поиск Деревья дп *1500 поиск в глубину и подобное жадные алгоритмы

Задано корневое дерево, состоящее из \(n\) вершин. Вершины в дереве пронумерованы от \(1\) до \(n\), вершина \(1\) — корень. Значение \(a_i\) записано в \(i\)-й вершине.

Вы можете выполнять следующую операцию любое количество раз (возможно, ноль): выбрать вершину \(v\), у которой есть хотя бы один сын; увеличить \(a_v\) на \(1\); и уменьшить \(a_u\) на \(1\) для всех вершин \(u\), которые находятся в поддереве \(v\) (за исключением самой \(v\)). Но после каждой операции значения на всех вершинах должны быть неотрицательными.

Ваша задача — посчитать максимальное возможное значение в корне, используя вышеописанную операцию.

Входные данные

Первая строка содержит одно целое число \(t\) (\(1 \le t \le 10^4\)) — количество наборов входных данных.

Первая строка каждого набора входных данных содержит одно целое число \(n\) (\(2 \le n \le 2 \cdot 10^5\)) — количество вершин в дереве.

Вторая строка содержит \(n\) целых чисел \(a_1, a_2, \dots, a_n\) (\(0 \le a_i \le 10^9\)) — начальные значения, записанные в вершинах.

Третья строка содержит \(n-1\) целых чисел \(p_2, p_3, \dots, p_n\) (\(1 \le p_i \le n\)), где \(p_i\) — родитель \(i\)-й вершины в дереве. Вершина \(1\) является корнем.

Дополнительное ограничение на входные данные: сумма \(n\) по всем наборам входных данных не превышает \(2 \cdot 10^5\).

Выходные данные

Для каждого набора входных данных выведите одно целое число — максимальное возможное значение в корне, используя вышеописанную операцию.

Примечание

В первом наборе входных данных возможна следующая последовательность операций:

  • провести операцию на \(v=3\), тогда значения на вершинах станут \([0, 1, 1, 1]\);
  • провести операцию на \(v=1\), тогда значения на вершинах станут \([1, 0, 0, 0]\).

E. Прокачка персонажа

Бинарный поиск Перебор Структуры данных реализация разделяй и властвуй *2200

Монокарп играет в компьютерную игру. Он начинает игру, будучи \(1\) уровня. Ему предстоит сразиться с \(n\) монстрами в порядке от \(1\) до \(n\). Уровень \(i\)-го из них равен \(a_i\).

Когда Монокарп встречает очередного монстра, происходит следующее:

  • если уровень Монокарпа строго выше уровня монстра, то монстр спасается бегством;
  • иначе Монокарп сражается с монстром.

После каждого \(k\)-го сражения с монстром (сбежавшие монстры не считаются) уровень Монокарпа увеличивается на \(1\). То есть, после \(k\) сражений с монстрами уровень становится равен \(2\), после \(2k\) — равен \(3\), после \(3k\) — равен \(4\) и так далее.

Требуется обработать \(q\) запросов следующего вида:

  • \(i~x\): будет ли Монокарп сражаться с \(i\)-м монстром (или же этот монстр сбежит), если параметр \(k\) равен \(x\)?
Входные данные

В первой строке записаны два целых числа \(n\) и \(q\) (\(1 \le n, q \le 2 \cdot 10^5\)) — количество монстров и количество запросов.

Во второй строке записаны \(n\) целых чисел \(a_1, a_2, \dots, a_n\) (\(1 \le a_i \le 2 \cdot 10^5\)) — уровни монстров.

В \(j\)-й из следующих \(q\) строк записаны два целых числа \(i\) и \(x\) (\(1 \le i, x \le n\)) — номер монстра и количество сражений, необходимых для повышения уровня в \(j\)-м запросе.

Выходные данные

На каждый запрос выведите «YES», если Монокарп сразится с \(i\)-м монстром в этом запросе, и «NO», если \(i\)-й монстр сбежит.

C. Выполните операции и максимизируйте счёт

Бинарный поиск Перебор Конструктив реализация жадные алгоритмы *1900

Я вижу хендл satyam343. У меня идут мурашки по телу. Пожалуйста, в этот раз больше задач про медианы. Я их обожаю. Пожалуйста, satyam343, мы верим в тебя.
— Самый большой поклонник satyam343

Вам дан массив \(a\) длины \(n\) и целое число \(k\). Вам также дан бинарный массив \(b\) длины \(n\).

Вы можете выполнить следующую операцию не более \(k\) раз:

  • Выбрать индекс \(i\) (\(1 \leq i \leq n\)) такой, что \(b_i = 1\). Установить \(a_i = a_i + 1\) (т.е. увеличить \(a_i\) на \(1\)).

Ваш счёт определяется как \(\max\limits_{i = 1}^{n} \left( a_i + \operatorname{median}(c_i) \right)\), где \(c_i\) обозначает массив длины \(n-1\), который вы получаете, удаляя \(a_i\) из \(a\). Другими словами, ваш счёт — это максимальное значение \(a_i + \operatorname{median}(c_i)\) среди всех \(i\) от \(1\) до \(n\).

Найдите максимальный счёт, который можно получить при оптимальном выполнении операций.

Для произвольного массива \(p\), \(\operatorname{median}(p)\) определяется как \(\left\lfloor \frac{|p|+1}{2} \right\rfloor\)-й элемент в отсортированном \(p\). Например, \(\operatorname{median} \left( [3,2,1,3] \right) = 2\) и \(\operatorname{median} \left( [6,2,4,5,1] \right) = 4\).

Входные данные

Каждый тест состоит из нескольких наборов входных данных. Первая строка содержит одно целое число \(t\) (\(1 \leq t \leq 10^4\)) — количество наборов входных данных. Далее следует описание наборов входных данных.

Каждый набор входных данных начинается с двух целых чисел \(n\) и \(k\) (\(2 \leq n \leq 2 \cdot 10^5\), \(0 \leq k \leq 10^9\)) — длина \(a\) и количество операций, которые вы можете выполнить.

Следующая строка содержит \(n\) разделенных пробелом целых чисел \(a_1, a_2, \ldots, a_n\) (\(1 \leq a_i \leq 10^9\)) — массив \(a\).

Следующая строка содержит \(n\) разделенных пробелом целых чисел \(b_1, b_2, \ldots, b_n\) (\(b_i\) равно \(0\) или \(1\)) — массив \(b\).

Гарантируется, что сумма \(n\) по всем наборам входных данных не превосходит \(2 \cdot 10^5\).

Выходные данные

Для каждого набора входных данных выведите на отдельной строке максимальное значение счёт, которое вы можете получить.

Примечание

Для первого набора входных данных оптимально выполнить \(5\) операций над обоими элементами и получить \(a = [8,8]\). Таким образом, максимальная оценка, которую мы можем получить, равна \(\max(8 + \operatorname{median}[8], 8 + \operatorname{median}[8]) = 16\), так как \(c_1 = [a_2] = [8]\). Можно доказать, что получить больший счёт невозможно.

Для второго набора входных данных вы не можете выполнить операции ни над одним элементом, поэтому \(a\) остается \([3,3,3]\). Таким образом, максимальная оценка, которую мы можем получить, равна \(3 + \operatorname{median}[3, 3] = 6\), так как \(c_1 = [a_2, a_3] = [3, 3]\). Можно доказать, что получить больший счёт невозможно.

E1. Удаление шаров с помощью слияния (лёгкая версия)

Бинарный поиск Перебор Структуры данных жадные алгоритмы разделяй и властвуй *2200

Пейте воду.
— Сунь-Цзы, Искусство стать здоровым программистом

Это лёгкая версия задачи. Единственное отличие в том, что в этой версии \(x=n\). Вы можете делать взломы только в том случае, если обе версии задачи решены.

Вам даны два целых числа \(n\) и \(x\) (\(x=n\)). В ряд выстроены \(n\) шаров, пронумерованных от \(1\) до \(n\) слева направо. Изначально на \(i\)-м шаре записано значение \(a_i\).

Для каждого целого числа \(i\) от \(1\) до \(n\) мы определяем функцию \(f(i)\) следующим образом:

  • Предположим, что у вас есть множество \(S = \{1, 2, \ldots, i\}\).

  • В рамках одной операции вам нужно выбрать целое число \(l\) (\(1 \leq l < i\)) из \(S\) такое, что \(l\) не является наибольшим элементом \(S\). Предположим, что \(r\) — наименьший элемент \(S\), значение которого больше \(l\).

    • Если \(a_l > a_r\), то установить \(a_l = a_l + a_r\) и удалить \(r\) из \(S\).
    • Если \(a_l < a_r\), то установить \(a_r = a_l + a_r\) и удалить \(l\) из \(S\).
    • Если \(a_l = a_r\), вы выбираете целое число \(l\) или \(r\) для удаления из \(S\):
      • Если вы решили удалить \(l\) из \(S\), вы устанавливаете \(a_r = a_l + a_r\) и удаляете \(l\) из \(S\).
      • Если вы решили удалить \(r\) из \(S\), вы устанавливаете \(a_l = a_l + a_r\) и удаляете \(r\) из \(S\).

  • \(f(i)\) обозначает количество целых чисел \(j\) (\(1 \le j \le i\)) таких, что можно получить \(S = \{j\}\), выполнив вышеописанную операцию ровно \(i - 1\) раз.

Для каждого целого числа \(i\) от \(x\) до \(n\) необходимо найти \(f(i)\).

Входные данные

Каждый тест состоит из нескольких наборов входных данных. Первая строка содержит одно целое число \(t\) (\(1 \leq t \leq 10^4\)) — количество наборов входных данных. Далее следует описание наборов входных данных.

Первая строка каждого набора входных данных содержит два целых числа \(n\) и \(x\) (\(1 \leq n \leq 2 \cdot 10^5; x = n\)) — количество шаров и наименьший индекс \(i\), для которого нужно найти \(f(i)\).

Вторая строка каждого набора входных данных содержит \(a_1, a_2, \ldots, a_n\) (\(1 \leq a_i \leq 10^9\)) — начальное число, записанное на каждом шаре.

Гарантируется, что сумма \(n\) по всем наборам входных данных не превосходит \(2 \cdot 10^5\).

Выходные данные

Для каждого набора входных данных выведите на отдельной строке \(n-x+1\) целых числа, разделенных пробелом, где \(j\)-е целое число равняется \(f(x+j-1)\).

Примечание

В первом наборе входных данных требуется вычислить \(f(5)\). Можно показать, что после \(4\) операций \(S\) может содержать \(2\), \(3\) или \(4\). Ниже показаны операции, необходимые для того, чтобы получить \(S = \{4\}\).

  • Изначально \(S = \{1, 2, 3, 4, 5\}\) и \(a = [1, 2, 3, 2, 1]\).
  • Выбираем \(l = 1\). Тогда \(r = 2\). Так как \(a_1 < a_2\), зададим \(a_2 = 1 + 2\) и удалим \(1\) из \(S\). Теперь \(S = \{2, 3, 4, 5\}\) и \(a = [1, 3, 3, 2, 1]\).
  • Выбираем \(l = 4\). Тогда \(r = 5\). Поскольку \(a_4 > a_5\), зададим \(a_4 = 2 + 1\) и удалим \(5\) из \(S\). Теперь \(S = \{2, 3, 4\}\) и \(a = [1, 3, 3, 3, 1]\).
  • Выбираем \(l = 3\). Тогда \(r = 4\). Поскольку \(a_3 = a_4\), у нас есть выбор, удалить \(3\) или \(4\). Поскольку мы хотим сохранить \(4\), удалим \(3\). Итак, зададим \(a_4 = 3 + 3\) и удалим \(3\) из \(S\). Теперь \(S = \{2, 4\}\) и \(a = [1, 3, 3, 6, 1]\).
  • Выбираем \(l = 2\). Тогда \(r = 4\). Поскольку \(a_2 < a_4\), зададим \(a_4 = 3 + 6\) и удалим \(2\) из \(S\). Наконец, \(S = \{4\}\) и \(a = [1, 3, 3, 9, 1]\).

Во втором наборе входных данных требуется вычислить \(f(7)\). Можно показать, что после \(6\) операций \(S\) может содержать \(2\), \(4\), \(6\) или \(7\).

E2. Удаление шаров с помощью слияния (сложная версия)

Бинарный поиск Перебор Структуры данных реализация жадные алгоритмы разделяй и властвуй *2500

Пейте воду.
— Сунь-Цзы, Искусство стать здоровым программистом

Это сложная версия задачи. Единственное отличие в том, что в этой версии \(x=1\). Вы можете делать взломы только в том случае, если обе версии задачи решены.

Вам даны два целых числа \(n\) и \(x\) (\(x=1\)). В ряд выстроены \(n\) шаров, пронумерованных от \(1\) до \(n\) слева направо. Изначально на \(i\)-м шаре записано значение \(a_i\).

Для каждого целого числа \(i\) от \(1\) до \(n\) мы определяем функцию \(f(i)\) следующим образом:

  • Предположим, что у вас есть множество \(S = \{1, 2, \ldots, i\}\).

  • В рамках одной операции вам нужно выбрать целое число \(l\) (\(1 \leq l < i\)) из \(S\) такое, что \(l\) не является наибольшим элементом \(S\). Предположим, что \(r\) — наименьший элемент \(S\), значение которого больше \(l\).

    • Если \(a_l > a_r\), то установить \(a_l = a_l + a_r\) и удалить \(r\) из \(S\).
    • Если \(a_l < a_r\), то установить \(a_r = a_l + a_r\) и удалить \(l\) из \(S\).
    • Если \(a_l = a_r\), вы выбираете целое число \(l\) или \(r\) для удаления из \(S\):
      • Если вы решили удалить \(l\) из \(S\), вы устанавливаете \(a_r = a_l + a_r\) и удаляете \(l\) из \(S\).
      • Если вы решили удалить \(r\) из \(S\), вы устанавливаете \(a_l = a_l + a_r\) и удаляете \(r\) из \(S\).

  • \(f(i)\) обозначает количество целых чисел \(j\) (\(1 \le j \le i\)) таких, что можно получить \(S = \{j\}\), выполнив вышеописанную операцию ровно \(i - 1\) раз.

Для каждого целого числа \(i\) от \(x\) до \(n\) необходимо найти \(f(i)\).

Входные данные

Каждый тест состоит из нескольких наборов входных данных. Первая строка содержит одно целое число \(t\) (\(1 \leq t \leq 10^4\)) — количество наборов входных данных. Далее следует описание наборов входных данных.

Первая строка каждого набора входных данных содержит два целых числа \(n\) и \(x\) (\(1 \leq n \leq 2 \cdot 10^5; x = 1\)) — количество шаров и наименьший индекс \(i\), для которого нужно найти \(f(i)\).

Вторая строка каждого набора входных данных содержит \(a_1, a_2, \ldots, a_n\) (\(1 \leq a_i \leq 10^9\)) — начальное число, записанное на каждом шаре.

Гарантируется, что сумма \(n\) по всем наборам входных данных не превосходит \(2 \cdot 10^5\).

Выходные данные

Для каждого набора входных данных выведите на отдельной строке \(n-x+1\) целых числа, разделенных пробелом, где \(j\)-е целое число равняется \(f(x+j-1)\).

Примечание

Для первого набора входных данных ниже приведены возможные значения \(j\) для каждого \(f(i)\) от \(1\) до \(n\).

  • Для \(f(1)\) единственным возможным значением \(j\) является \(1\).
  • Для \(f(2)\) единственным возможным значением \(j\) является \(2\).
  • Для \(f(3)\) возможные значения \(j\): \(2\) и \(3\).
  • Для \(f(4)\) возможные значения \(j\): \(2\) и \(3\).
  • Для \(f(5)\) возможные значения \(j\): \(2\), \(3\) и \(4\).

G1. Линейка (лёгкая версия)

Бинарный поиск *1500 интерактив

Это легкая версия задачи. Единственное отличие между двумя версиями заключается в том, что в этой версии вы можете сделать не более \(\mathbf{10}\) запросов.

Это интерактивная задача. Если вы не уверены, как работают интерактивные задачи, рекомендуется прочитать руководство для участников.

У нас есть секретная линейка, на которой отсутствует одно число \(x\) (\(2 \leq x \leq 999\)). Когда вы измеряете объект длиной \(y\), линейка сообщает следующие значения:

  • Если \(y < x\), линейка (правильно) измеряет объект как имеющий длину \(y\).
  • Если \(y \geq x\), линейка неправильно измеряет объект как имеющий длину \(y+1\).

Линейка выше не имеет числа \(4\), поэтому она правильно измеряет первый отрезок как длину \(3\), но неправильно измеряет второй отрезок как длину \(6\), хотя на самом деле он равен \(5\).

Вам нужно найти значение \(x\). Для этого вы можете делать запросы следующего вида:

  • \(\texttt{?}~a~b\) — в ответ мы измерим стороны прямоугольника \(a \times b\) с помощью нашей линейки и умножим результаты, сообщив вам измеренную площадь прямоугольника. Например, если \(x=4\) и вы запрашиваете прямоугольник \(3 \times 5\), мы измерим его стороны как \(3 \times 6\) и сообщим вам \(18\).

Найдите значение \(x\). Вы можете задать не более \(\mathbf{10}\) запросов.

Входные данные

Каждый тест содержит несколько наборов входных данных. Первая строка входных данных содержит одно целое число \(t\) (\(1 \leq t \leq 1000\)) — количество наборов входных данных.

Протокол взаимодействия

Для каждого набора нет начального ввода. Вы должны начать взаимодействие, задав запрос.

Чтобы сделать запрос, выведите одну строку формата \(\texttt{?}~a~b\) (\(1 \leq a, b \leq 1000\)). В ответ вам будет сообщена измеренная площадь прямоугольника согласно нашей секретной линейке.

Когда вы будете готовы вывести ответ, выведите одну строку формата \(\texttt{!}~x\) (\(2 \leq x \leq 999\)). После этого продолжайте обрабатывать следующий набор или завершите программу, если это был последний набор. Печать ответа не считается запросом.

Интерактор не адаптивен, что означает, что ответ известен до того, как участник задаст запросы, и не зависит от запросов, заданных участником.

Если ваша программа сделает более \(10\) запросов для одного набора входных данных, сделает недопустимый запрос или выведет неправильное значение \(x\), то ответ на запрос будет \(-1\). После получения такого ответа ваша программа должна немедленно завершиться, чтобы получить вердикт Неправильный ответ. В противном случае вы можете получить произвольный вердикт, поскольку ваше решение продолжит чтение из закрытого потока.

После вывода запроса не забудьте вывести конец строки и сбросить вывод. В противном случае вы можете получить вердикт Превышен лимит бездействия. Для этого используйте:

  • fflush(stdout) или cout.flush() в C++;
  • System.out.flush() в Java;
  • flush(output) в Pascal;
  • stdout.flush() в Python;
  • смотрите документацию для других языков.

Взломы

Чтобы сделать взлом, используйте следующий формат.

Первая строка должна содержать одно целое число \(t\) (\(1 \leq t \leq 1000\)) — количество наборов входных данных.

Единственная строка каждого набора должна содержать одно целое число \(x\) (\(2 \leq x \leq 999\)) — отсутствующее число на линейке.

Примечание

В примере взаимодействие происходит следующим образом.

РешениеЖюриОбъяснение
\(\texttt{2}\)Есть 2 набора входных данных.
\(\texttt{? 3 5}\)\(\texttt{18}\)Тайно жюри выбрало \(x=4\). Решение запрашивает прямоугольник \(3 \times 5\), и жюри отвечает \(3 \times 6 = 18\), как описано в условии.
\(\texttt{? 4 4}\)\(\texttt{25}\)Решение запрашивает прямоугольник \(4 \times 4\), который жюри измеряет как \(5 \times 5\) и отвечает \(25\).
\(\texttt{! 4}\)Решение каким-то образом определило, что \(x=4\), и выводит его. Поскольку вывод правильный, жюри переходит к следующему набору.
\(\texttt{? 99 100}\)\(\texttt{1}\)Тайно жюри выбрало \(x=100\). Решение запрашивает прямоугольник \(99 \times 100\), который жюри измеряет как \(99 \times 101\) и отвечает \(9999\).
\(\texttt{! 100}\)Решение каким-то образом определило, что \(x=100\), и выводит его. Поскольку вывод правильный и больше нет наборов, жюри и решение завершают работу.

Обратите внимание, что переносы строк в примерах ввода и вывода сделаны для ясности и не происходят в реальном взаимодействии.

G2. Линейка (сложная версия)

Бинарный поиск Тернарный поиск *1700 интерактив

Это сложная версия задачи. Единственное отличие между двумя версиями заключается в том, что в этой версии вы можете сделать не более \(\mathbf{7}\) запросов.

Это интерактивная задача. Если вы не уверены, как работают интерактивные задачи, рекомендуется прочитать руководство для участников.

У нас есть секретная линейка, на которой отсутствует одно число \(x\) (\(2 \leq x \leq 999\)). Когда вы измеряете объект длиной \(y\), линейка сообщает следующие значения:

  • Если \(y < x\), линейка (правильно) измеряет объект как имеющий длину \(y\).
  • Если \(y \geq x\), линейка неправильно измеряет объект как имеющий длину \(y+1\).

Линейка выше не имеет числа \(4\), поэтому она правильно измеряет первый отрезок как длину \(3\), но неправильно измеряет второй отрезок как длину \(6\), хотя на самом деле он равен \(5\).

Вам нужно найти значение \(x\). Для этого вы можете делать запросы следующего вида:

  • \(\texttt{?}~a~b\) — в ответ мы измерим стороны прямоугольника \(a \times b\) с помощью нашей линейки и умножим результаты, сообщив вам измеренную площадь прямоугольника. Например, если \(x=4\) и вы запрашиваете прямоугольник \(3 \times 5\), мы измерим его стороны как \(3 \times 6\) и сообщим вам \(18\).

Найдите значение \(x\). Вы можете задать не более \(\mathbf{7}\) запросов.

Входные данные

Каждый тест содержит несколько наборов входных данных. Первая строка входных данных содержит одно целое число \(t\) (\(1 \leq t \leq 1000\)) — количество наборов входных данных.

Протокол взаимодействия

Для каждого набора нет начального ввода. Вы должны начать взаимодействие, задав запрос.

Чтобы сделать запрос, выведите одну строку формата \(\texttt{?}~a~b\) (\(1 \leq a, b \leq 1000\)). В ответ вам будет сообщена измеренная площадь прямоугольника согласно нашей секретной линейке.

Когда вы будете готовы вывести ответ, выведите одну строку формата \(\texttt{!}~x\) (\(2 \leq x \leq 999\)). После этого продолжайте обрабатывать следующий набор или завершите программу, если это был последний набор. Печать ответа не считается запросом.

Интерактор не адаптивен, что означает, что ответ известен до того, как участник задаст запросы, и не зависит от запросов, заданных участником.

Если ваша программа сделает более \(7\) запросов для одного набора входных данных, сделает недопустимый запрос или выведет неправильное значение \(x\), то ответ на запрос будет \(-1\). После получения такого ответа ваша программа должна немедленно завершиться, чтобы получить вердикт Неправильный ответ. В противном случае вы можете получить произвольный вердикт, поскольку ваше решение продолжит чтение из закрытого потока.

После вывода запроса не забудьте вывести конец строки и сбросить вывод. В противном случае вы можете получить вердикт Превышен лимит бездействия. Для этого используйте:

  • fflush(stdout) или cout.flush() в C++;
  • System.out.flush() в Java;
  • flush(output) в Pascal;
  • stdout.flush() в Python;
  • смотрите документацию для других языков.

Взломы

Чтобы сделать взлом, используйте следующий формат.

Первая строка должна содержать одно целое число \(t\) (\(1 \leq t \leq 1000\)) — количество наборов входных данных.

Единственная строка каждого набора должна содержать одно целое число \(x\) (\(2 \leq x \leq 999\)) — отсутствующее число на линейке.

Примечание

В примере взаимодействие происходит следующим образом.

РешениеЖюриОбъяснение
\(\texttt{2}\)Есть 2 набора входных данных.
\(\texttt{? 3 5}\)\(\texttt{18}\)Тайно жюри выбрало \(x=4\). Решение запрашивает прямоугольник \(3 \times 5\), и жюри отвечает \(3 \times 6 = 18\), как описано в условии.
\(\texttt{? 4 4}\)\(\texttt{25}\)Решение запрашивает прямоугольник \(4 \times 4\), который жюри измеряет как \(5 \times 5\) и отвечает \(25\).
\(\texttt{! 4}\)Решение каким-то образом определило, что \(x=4\), и выводит его. Поскольку вывод правильный, жюри переходит к следующему набору.
\(\texttt{? 99 100}\)\(\texttt{1}\)Тайно жюри выбрало \(x=100\). Решение запрашивает прямоугольник \(99 \times 100\), который жюри измеряет как \(99 \times 101\) и отвечает \(9999\).
\(\texttt{! 100}\)Решение каким-то образом определило, что \(x=100\), и выводит его. Поскольку вывод правильный и больше нет наборов, жюри и решение завершают работу.

Обратите внимание, что переносы строк в примерах ввода и вывода сделаны для ясности и не происходят в реальном взаимодействии.

D. Язык программирования

Бинарный поиск Перебор Разбор выражений реализация *1800

Недавно Валерий познакомился с совершенно новым языком программирования. Больше всего в этом языке его привлекли шаблонные функции и процедуры. Напомним, что шаблонами называются средства языка, предназначенные для кодирования обобщённых алгоритмов, без привязки к некоторым параметрам (например, типам данных, размерам буферов, значениям по умолчанию).

Валерий решил более подробно изучить шаблонные процедуры этого языка. Описание шаблонной процедуры состоит из имени процедуры и списка типов ее параметров. В качестве параметров шаблонных процедур могут использоваться параметры обобщенного типа T.

Вызов процедуры состоит из имени процедуры и списка переменных-параметров. Назовем процедуру подходящей для данного вызова, если выполняются условия:

  • ее имя совпадает с именем вызванной процедуры;
  • количество ее параметров совпадает с количеством параметров вызванной процедуры;
  • типы ее параметров совпадают с соответствующими типами переменных в вызове процедуры. Тип параметра совпадает с типом переменной, если параметр имеет обобщенный тип T, либо типы переменной и параметра совпадают.

Вам дано описание некоторого набора шаблонных процедур. Также дан список переменных, используемых в программе, а также непосредственные вызовы процедур с использованием описанных переменных. Для каждого вызова от Вас требуется посчитать количество процедур, подходящих данному вызову.

Входные данные

В первой строке задано единственное целое число n (1 ≤ n ≤ 1000) — количество шаблонных процедур. Далее в n строках задано описание процедур, в следующем формате:

«void procedureName (type_1, type_2, ..., type_t)» (1 ≤ t ≤ 5), где void — ключевое слово, procedureName — имя процедуры, type_i — тип очередного параметра. Типами параметров языка могут являться «int», «string», «double», а также ключевое слово «T», которое обозначает обобщенный тип.

В следующей строке задано единственное целое число m (1 ≤ m ≤ 1000) — количество используемых переменных. Далее в m строках задано описание переменных, в следующем формате:

«type variableName», где type — тип переменной, который может принимать значения «int», «string», «double», variableName — имя переменной.

В следующей строке задано единственное целое число k (1 ≤ k ≤ 1000) — количество вызовов процедур. Далее в k строках заданы вызовы процедур в следующем формате:

«procedureName (var_1, var_2, ..., var_t)» (1 ≤ t ≤ 5), где procedureName — имя процедуры, var_i — имя очередной переменной.

В строках описания переменных, шаблонных процедур и их вызовов могут присутствовать пробелы в начале строки, в конце строки, перед и после скобок и запятых. Пробелы могут присутствовать до и после ключевого слова void. Длина каждой строки входных данных не превосходит 100 символов. Имена переменных и процедур являются непустыми строками из латинских строчных букв и цифр длиной не более 10 символов. Отметим, что это — единственное ограничение на имена переменных и процедур. В вызовах процедур используются только описанные переменные. Имена переменных различны. Никакие две процедуры не совпадают. Две процедуры совпадают, если они имеют одинаковые имена, а также упорядоченные наборы типов их параметров совпадают.

Выходные данные

В каждую из k строк выведите единственное число. Число в i-ой строке означает количество подходящих шаблонных процедур под i-ый вызов. Вызовы нумеруются в том порядке, в котором они заданы во входных данных.

G. Звонок во время пути

Бинарный поиск Перебор *2100 жадные алгоритмы графы кратчайшие пути

Вы живёте в городе, состоящем из \(n\) перекрёстков и \(m\) улиц, соединяющих некоторые пары перекрёстков. По каждой улице можно перемещаться в любую сторону. Никакие две улицы не соединяют одну и ту же пару перекрёстков, и никакая улица не соединяет перекрёсток с самим собой. Из любого перекрёстка можно добраться до любого другого, возможно, проходя через какие-то другие перекрёстки.

Каждую минуту вы можете сесть на автобус на перекрёстке \(u_i\) и доехать за \(l_{i1}\) минут до перекрёстка \(v_i\). И наоборот доехать от перекрёстка \(v_i\) до перекрёстка \(u_i\) за \(l_{i1}\) минут. Садиться в автобус и выходить из него можно только на перекрёстках. Сесть в автобус на перекрёстке можно только находясь в нём.

Также по каждой улице можно пройти пешком за \(l_{i2} > l_{i1}\) минут.

Вы можете делать остановки на перекрёстках.

Вы живёте на перекрёстке с номером \(1\). Сегодня вы проснулись в момент времени \(0\), и у вас запланировано важное мероприятие на перекрёстке с номером \(n\), на которое вы должны добраться не позднее момента времени \(t_0\). Также у вас запланирован телефонный звонок, который продлится с \(t_1\) по \(t_2\) минуту (\(t_1 < t_2 < t_0\)).

Во время телефонного разговора нельзя ехать на автобусе, но можно идти по любым улицам пешком, сделать остановку или находиться у себя дома. Вы можете выходить из автобуса в минуту \(t_1\) и заходить в автобус в минуту \(t_2\).

Так как вы хотите выспаться, вам стало интересно — как поздно вы можете выйти из дома, чтобы успеть поговорить по телефону и при этом не опоздать на мероприятие?

Входные данные

Первая строка содержит целое число \(t\) (\(1 \le t \le 10^4\)) — количество наборов входных данных. Далее следуют описания наборов входных данных.

Первая строка описания каждого набора входных данных содержит два целых числа \(n\), \(m\) (\(2 \le n \le 10^5, 1 \le m \le 10^5\)) — количество перекрёстков и улиц в городе.

Вторая строка описания каждого набора входных данных содержит три целых числа \(t_0\), \(t_1\), \(t_2\) (\(1 \le t_1 < t_2 < t_0 \le 10^9\)) — время начала мероприятия, время начала телефонного звонка и время его конца, соответственно.

Следующие \(m\) строк каждого набора данных содержат описания улиц.

\(i\)-я строка содержит четыре целых числа \(u_i\), \(v_i\), \(l_{i1}\), \(l_{i2}\) (\(1 \le u_i, v_i \le n\), \(u_i \neq v_i\), \(1 \le l_{i1} < l_{i2} \le 10^9\)) — номера перекрёстков, соединяемых \(i\)-й улицей, а также время пути по улице на автобусе и пешком. Гарантируется, что никакие две улицы не соединяют одну и ту же пару перекрёстков, а также что из любого перекрёстка можно добраться до любого другого.

Гарантируется, что сумма значений \(n\) по всем наборам входных данных не превосходит \(10^5\). Также гарантируется, что сумма значений \(m\) по всем наборам входных данных не превосходит \(10^5\).

Выходные данные

Для каждого набора входных данных выведите одно целое число — максимальный момент времени, когда вы можете выйти из дома, чтобы успеть поговорить по телефону и не опоздать на мероприятие. Если вы не можете попасть на мероприятие вовремя, выведите -1.

H. Ксюша и загруженное множество

Бинарный поиск Перебор Структуры данных реализация *2200

Ксюша решила основать компанию по производству игр. Чтобы выделиться среди конкурентов и добиться успеха, она решила написать свой игровой движок. Движок должен поддерживать множество, изначально состоящее из \(n\) различных целых чисел \(a_1, a_2, \ldots, a_n\).

К множеству будут последовательно применяться \(m\) операций. Операции бывают следующих типов:

  • Вставить элемент \(x\) в множество;
  • Удалить элемент \(x\) из множества;
  • Сообщить \(k\)-загруженность множества.

\(k\)-загруженностью множества называется такое минимальное целое положительное число \(d\), что числа \(d, d + 1, \ldots, d + (k - 1)\) не встречаются в этом множестве. Например, \(3\)-загруженность множества \(\{3, 4, 6, 11\}\) равна \(7\), так как числа \(7, 8, 9\) отсутствуют в множестве, а никакое меньшее значение не подходит.

Ксюша занята менеджерскими делами, поэтому движок придётся писать вам. Реализуйте эффективную поддержку описанных операций.

Входные данные

В первой строке дано целое число \(t\) (\(1 \le t \le 10^4\)) — количество наборов входных данных.

Далее следуют описания наборов.

В первой строке дано целое число \(n\) (\(1 \le n \le 2 \cdot 10^5\)) — начальный размер множества.

Во второй строке даны \(n\) целых чисел \(a_1, a_2, \ldots, a_n\) (\(1 \le a_1 < a_2 < \ldots < a_n \le 2 \cdot 10^6\)) — начальное состояние множества.

В третьей строке дано целое число \(m\) (\(1 \le m \le 2 \cdot 10^5\)) — количество операций.

В следующих \(m\) строках даны операции. Операции даны в следующем формате:

  • + \(x\) (\(1 \le x \le 2 \cdot 10^6\)) — вставить элемент \(x\) в множество (гарантируется, что \(x\) отсутствует в множестве);
  • - \(x\) (\(1 \le x \le 2 \cdot 10^6\)) — удалить элемент \(x\) из множества (гарантируется, что \(x\) присутствует в множестве);
  • ? \(k\) (\(1 \le k \le 2 \cdot 10^6\)) — вывести значение \(k\)-загруженности множества.

Гарантируется, что сумма \(n\) по всем наборам входных данных не превосходит \(2 \cdot 10^5\), то же самое гарантируется для \(m\).

Выходные данные

Для каждого набора входных данных выведите ответы на операции типа «?».

C. Угадайте дерево

Бинарный поиск Деревья Перебор *1500 поиск в глубину и подобное жадные алгоритмы разделяй и властвуй интерактив снм

Это интерактивная задача.

Мизуки выбрала секретное дерево с \(n\) вершинами, пронумерованными от \(1\) до \(n\), и попросила вас отгадать его с помощью запросов следующего типа:

  • «? a b» — Мизуки скажет вам, какая вершина \(x\) минимизирует \(|d(a,x) - d(b,x)|\), где \(d(x,y)\) — расстояние между вершинами \(x\) и \(y\). Если таких вершин несколько, Мизуки укажет вам ту, которая минимизирует \(d(a,x)\).

Выясните структуру секретного дерева Мизуки, используя не более \(15n\) запросов!

Входные данные

Каждый тест состоит из нескольких наборов входных данных. Первая строка содержит одно целое число \(t\) (\(1 \le t \le 200\)) — количество наборов входных данных. Далее следует описание наборов входных данных.

Каждый набор входных данных состоит из одной строки с целым числом \(n\) (\(2 \le n \le 1000\)) — количество вершин в дереве.

Гарантируется, что сумма \(n\) по всем наборам входных данных не превосходит \(1000\).

Протокол взаимодействия

Взаимодействие начинается с чтения целого числа \(n\).

Затем вы можете сделать до \(15n\) запросов.

Чтобы сделать запрос, выведите строку в формате «? a b» (без кавычек) (\(1 \le a,b \le n\)). После каждого запроса считайте целое число — ответ на ваш запрос.

Чтобы сообщить ответ, выведите строку в формате «! \(a_1\) \(b_1\) \(a_2\) \(b_2\) ... \(a_{n-1}\) \(b_{n-1}\)» (без кавычек), что означает, что между вершинами \(a_i\) и \(b_i\) существует ребро для каждого \(1 \le i \le n-1\). Вы можете выводить ребра в любом порядке.

После того как будет сделано \(15n\) запросов, ответ на любой другой запрос будет равен \(-1\). Получив такой ответ, завершите программу, чтобы получить вердикт Неправильный ответ.

После вывода запроса не забудьте вывести перевод строки и сбросить буфер вывода. В противном случае вы получите вердикт Решение «зависло». Для сброса буфера используйте:

  • fflush(stdout) или cout.flush() в C++;
  • System.out.flush() в Java;
  • flush(output) в Pascal;
  • stdout.flush() в Python;
  • смотрите документацию для других языков.

Взломы

Для взломов используйте следующий формат: Первая строка содержит целое число \(t\) (\(1 \le t \le 200\)) — количество наборов входных данных.

Первая строка каждого набора входных данных держит целое число \(n\) — количество вершин в скрытом дереве.

Затем следует \(n-1\) строка. В \(i\)-й из них содержатся два целых числа \(a_i\) и \(b_i\) (\(1 \le a_i, b_i \le n\)), что означает, что между \(a_i\) и \(b_i\) в скрытом дереве есть ребро.

Сумма \(n\) по всем наборам входных данных не должна превосходить \(1000\).

Примечание

Дерево — это связный неориентированный граф без циклов. Дерево с \(n\) вершинами всегда будет иметь \(n-1\) ребро.

В примере ответ на «? 1 2» равен \(1\). Это означает, что между вершинами \(1\) и \(2\) есть ребро.

Ответ на запрос «? 1 3» равен \(1\). Это означает, что между вершинами \(1\) и \(3\) есть ребро.

Ответ на запрос «? 1 4» равен \(3\). Можно доказать, что это возможно только в том случае, если вершина \(3\) соединена с вершинами \(1\) и \(4\).

Следовательно, ребра дерева — это \((1,2)\), \((1,3)\) и \((3,4)\).

D2. Проверка DFS (сложная версия)

Бинарный поиск Деревья Структуры данных поиск в глубину и подобное графы хэши *2300

Это сложная версия задачи. В этой версии на заданное дерево нет дополнительных ограничений, а ограничения на \(n\) и \(q\) выше. Вы можете совершать взломы только в том случае, если решены обе версии задачи.

Вам дано корневое дерево, состоящее из \(n\) вершин. Вершины пронумерованы от \(1\) до \(n\), вершина \(1\) — корень. Вам также дана перестановка \(p_1, p_2, \ldots, p_n\) чисел \([1,2,\ldots,n]\).

Вам нужно ответить на \(q\) запросов. В каждом запросе вам даются два целых числа \(x\), \(y\); вам нужно поменять местами \(p_x\) и \(p_y\) и определить, является ли \(p_1, p_2, \ldots, p_n\) возможным порядком обхода в глубину\(^\dagger\) заданного дерева.

Обратите внимание, что перестановки элементов сохраняются между запросами.

\(^\dagger\) Порядок обхода в глубину получается вызовом следующей функции \(\texttt{dfs}\) на заданном дереве.

dfs_order = []

function dfs(v):
добавить v в конец dfs_order
выбрать произвольную перестановку s детей v
for child in s:
dfs(child)

dfs(1)

Обратите внимание, что порядок обхода DFS определён не однозначно.

Входные данные

Каждый тест состоит из нескольких наборов входных данных. В первой строке находится одно целое число \(t\) (\(1\le t\le10^4\)) — количество наборов входных данных. Далее следует описание наборов входных данных.

В первой строке каждого набора входных данных содержатся два целых числа \(n\),\(q\) (\(2\le n\le 3\cdot 10^5\), \(2\le q\le 10^5\)) — количество вершин в дереве и количество запросов.

В следующей строке содержатся \(n-1\) целых чисел \(a_2,a_3,\ldots,a_n\) (\(1\le a_i<i\)) — родитель каждой вершины в заданном дереве.

В следующей строке содержатся \(n\) целых чисел \(p_1,p_2,\ldots,p_n\) (\(1\le p_i\le n\), все \(p_i\) различны) — начальная перестановка \(p\).

В следующих \(q\) строках каждая строка содержит два целых числа \(x\), \(y\) (\(1\le x,y\le n,x\neq y\)) — позиции элементов, которые нужно поменять местами в перестановке.

Гарантируется, что сумма всех \(n\) не превышает \(3\cdot 10^5\), а сумма всех \(q\) не превышает \(10^5\).

Выходные данные

Для каждого набора входных данных выведите \(q\) строк, соответствующих \(q\) запросам. Для каждого запроса выведите \(\texttt{YES}\), если есть порядок обхода в глубину, который точно равен текущей перестановке, и выведите \(\texttt{NO}\) в противном случае.

Вы можете вывести \(\texttt{Yes}\) и \(\texttt{No}\) в любом регистре (например, строки \(\texttt{yEs}\), \(\texttt{yes}\), \(\texttt{Yes}\) и \(\texttt{YES}\) будут распознаны как положительный ответ).

Примечание

В первом наборе входных данных перестановка \(p_1, p_2, \ldots, p_n\) после каждой модификации равна \([1,3,2],[1,2,3],[3,2,1]\) соответственно. Первые две перестановки — это возможные порядки обхода в глубину; третья — не порядок обхода в глубину.

Во втором наборе входных данных перестановка \(p_1, p_2, \ldots, p_n\) после каждой модификации равна \([1,2,3,4,5,6,7],[1,2,5,4,3,6,7],[1,3,5,4,2,6,7],[1,3,7,4,2,6,5],[1,3,7,6,2,4,5]\) соответственно.

D. Цветные порталы

Бинарный поиск Перебор Структуры данных реализация *1600 жадные алгоритмы графы кратчайшие пути

На прямой расположено \(n\) городов. Города пронумерованы целыми числами от \(1\) до \(n\).

Для перемещения между городами используются порталы. Порталы бывают \(4\) цветов: синий, зеленый, красный и желтый. В каждом городе расположены порталы двух разных цветов. Из города \(i\) можно переместиться в город \(j\), если в них есть порталы одинакового цвета (например, между городом «красный-синий» и городом «синий-зеленый» можно перемещаться). Данное перемещение стоит \(|i-j|\) монет.

Ваша задача — ответить на \(q\) независимых запросов: посчитайте минимальную стоимость, чтобы переместиться из города \(x\) в город \(y\).

Входные данные

Первая строка содержит одно целое число \(t\) (\(1 \le t \le 10^4\)) — количество наборов входных данных.

Первая строка каждого набора содержит два целых числа \(n\) и \(q\) (\(1 \le n, q \le 2 \cdot 10^5\)) — количество городов и количество запросов, соответственно.

Вторая строка содержит \(n\) строк одного из следующих типов: BG, BR, BY, GR, GY или RY; \(i\)-я из них описывает порталы, находящиеся в \(i\)-м городе; символ B обозначает, что в городе есть портал синего цвета, G — зеленого, R — красного, а Y — желтого.

\(j\)-я из следующих \(q\) строк содержит два целых числа \(x_j\) и \(y_j\) (\(1 \le x_j, y_j \le n\)) — описание \(j\)-го запроса.

Дополнительные ограничения на входные данные:

  • сумма \(n\) по всем наборам входных данных не превосходит \(2 \cdot 10^5\);
  • сумма \(q\) по всем наборам входных данных не превосходит \(2 \cdot 10^5\).
Выходные данные

Для каждого запроса выведите одно целое число — минимальную стоимость, чтобы переместиться из города \(x\) в город \(y\) (или \(-1\), если это невозможно).

F. Сделай палиндром

Бинарный поиск Перебор Структуры данных математика *2600 жадные алгоритмы

Задан массив \(a\), состоящий из \(n\) целых чисел.

Скажем, что результат функции \(f(b)\) — минимальное количество операций, чтобы сделать массив \(b\) палиндромом. Операции, которые вы можете выполнять — следующие:

  • выбрать два соседних элемента \(b_i\) и \(b_{i+1}\), удалить их и заменить одним элементом, равным \((b_i + b_{i + 1})\);
  • или выбрать элемент \(b_i > 1\), удалить его и заменить двумя положительными целыми числами \(x\) и \(y\) (\(x > 0\) и \(y > 0\)) такими, что \(x + y = b_i\).

Например, из массива \(b=[2, 1, 3]\) за одну операцию можно получить следующие массивы: \([1, 1, 1, 3]\), \([2, 1, 1, 2]\), \([3, 3]\), \([2, 4]\) или \([2, 1, 2, 1]\).

Посчитайте \(\displaystyle \left(\sum_{1 \le l \le r \le n}{f(a[l..r])}\right)\), где \(a[l..r]\) — подотрезок массива \(a\) с \(l\)-й по \(r\)-ю позиции включительно. Другими словами — сумму значений функции \(f\) для всех подотрезков массива \(a\).

Входные данные

Первая строка содержит одно целое число \(t\) (\(1 \le t \le 1000\)) — количество наборов входных данных.

Первая строка каждого набора содержит одно целое число \(n\) (\(1 \le n \le 2000\)).

Вторая строка содержит \(n\) целых чисел \(a_1, a_2, \dots, a_n\) (\(1 \le a_i \le 10^5\)).

Дополнительные ограничения на входные данные: сумма \(n\) по всем наборам входных данных не превосходит \(2000\).

Выходные данные

Для каждого набора выведите одно целое число — сумму значений функции \(f\) для всех подотрезков массива \(a\).

B2. Строгая учительница (сложная версия)

Бинарный поиск математика жадные алгоритмы *1200 сортировки

Это простая версия задачи. Единственные отличия между двумя версиями заключаются в ограничениях на \(m\) и \(q\). В этой версии \(m, q \le 10^5\). Вы можете делать взломы только в том случае, если обе версии задачи решены.

Нарек и Цовак были заняты подготовкой этого раунда, поэтому они не успели сделать домашнее задание, и они решили украсть домашнее задание Давида. Их строгая учительница заметила, что у Давида нет домашнего задания, и теперь хочет его наказать. Она наняла других учительниц, чтобы помочь поймать Давида, и теперь \(m\) учительниц вместе преследуют его. К счастью, они находятся в большом классе, поэтому у Давида есть много мест, где можно спрятаться.

Класс можно представить как последовательность клеток, пронумерованных от \(1\) до \(n\), расположенных на прямой.

Изначально все \(m\) учительниц и Давид находятся в различных клетках. Затем они делают ходы. Во время каждого хода:

  • Давид перемещается в соседнюю клетку или остается в текущей.
  • Затем каждая из \(m\) учительниц одновременно перемещается в соседнюю клетку или остается в текущей.

Процесс продолжается, пока Давид не будет пойман. Давид пойман, если любая из учительниц (возможно, более одной) находится в той же клетке, что и Давид. Все участники видят ходы других, поэтому все действуют оптимально.

Ваша задача — посчитать, сколько ходов потребуется учительницам, чтобы поймать Давида, если они все действуют оптимально.

Оптимальность действий означает, что ученик делает свои ходы так, чтобы максимизировать количество ходов, необходимых учительницам, чтобы поймать его. А учительницы координируются друг с другом, чтобы сделать свои ходы так, чтобы минимизировать количество ходов, необходимых для поимки ученика.

Кроме того, поскольку Нарек и Цовак считают эту задачу простой, они решили задать вам \(q\) запросов о положении Давида.

Входные данные

В первой строке входных данных вам дано одно целое число \(t\) (\(1 \le t \le 10^5\)) — количество наборов входных данных. Далее следует описание каждого набора входных данных.

В первой строке каждого набора входных данных вам даны три целых числа \(n\), \(m\) и \(q\) (\(3 \le n \le 10^9\), \(1 \le m, q \le 10^5\)) — количество клеток на линии, количество учительниц и количество запросов.

Во второй строке каждого набора входных данных вам даны \(m\) различных целых чисел \(b_1, b_2, \ldots, b_m\) (\(1 \le b_i \le n\)) — номера клеток учительниц.

В третьей строке каждого набора входных данных вам даны \(q\) целых чисел \(a_1, a_2, \ldots, a_q\) (\(1 \le a_i \le n\)) — номера клеток Давида для каждого запроса.

Гарантируется, что для любого \(i\), \(j\) такие, что \(1 \le i \le m\) и \(1 \le j \le q\), \(b_i \neq a_j\).

Гарантируется, что сумма значений \(m\) по всем наборам входных данных не превосходит \(2 \cdot 10^5\).

Гарантируется, что сумма значений \(q\) по всем наборам входных данных не превосходит \(2 \cdot 10^5\).

Выходные данные

Для каждого набора входных данных выведите \(q\) строк, в \(i\)-й из которых содержится ответ на \(i\)-й запрос.

Примечание

В единственном запросе первого примера ученик может убежать в клетку \(1\). Учительнице потребуется пять ходов, чтобы добраться из клетки \(6\) до клетки \(1\), поэтому ответ — \(5\).

Во втором запросе второго примера ученик может просто остаться в клетке \(3\). Учительница, изначально находящаяся в клетке \(4\), может добраться до клетки \(3\) за один ход. Следовательно, ответ — \(1\).

D. Измените НОД

Бинарный поиск Перебор Структуры данных реализация теория чисел *2400 разделяй и властвуй

Вам даны два массива \(a_1, a_2, \ldots, a_n\) и \(b_1, b_2, \ldots, b_n\).

Вы должны выполнить следующую операцию ровно один раз:

  • выбрать любые индексы \(l\) и \(r\) такие, что \(1 \le l \le r \le n\);
  • поменять местами \(a_i\) и \(b_i\) для всех \(i\) таких, что \(l \leq i \leq r\).

Найдите максимально возможное значение \(\text{gcd}(a_1, a_2, \ldots, a_n) + \text{gcd}(b_1, b_2, \ldots, b_n)\) после выполнения операции ровно один раз. Также найдите количество различных пар \((l, r)\), для которых достигается максимальное значение.

Входные данные

Каждый тест состоит из нескольких наборов входных данных. Первая строка содержит одно целое число \(t\) (\(1 \le t \le 10^5\)) — количество наборов входных данных. Далее следует описание наборов входных данных.

В первой строке каждого набора входных данных дается одно целое число \(n\) (\(1 \le n \le 2 \cdot 10^5\)) — количество чисел в массивах.

В следующей строке вам дается \(n\) целых чисел \(a_1, a_2, \ldots, a_n\) (\(1 \le a_i \le 10^9\)) — элементы массива \(a\).

В последней строке даны \(n\) целых чисел \(b_1, b_2, \ldots, b_n\) (\(1 \le b_i \le 10^9\)) — элементы массива \(b\).

Гарантируется, что сумма \(n\) по всем наборам входных данных не превосходит \(5 \cdot 10^5\).

Выходные данные

Для каждого набора входных данных выведите два целых числа: максимальное значение \(\text{gcd}(a_1, a_2, \ldots, a_n) + \text{gcd}(b_1, b_2, \ldots, b_n)\) после выполнения операции ровно один раз, и количество подходящих пар.

Примечание

В первом, третьем и четвертом наборах входных данных ни в одном из массивов нельзя получить НОД больше \(1\), поэтому ответ — \(1 + 1 = 2\). Любая пара \((l, r)\) достигает одинаковый результат, например, в первом примере \(36\) такиз пар.

В последнем наборе входных данных нужно выбрать \(l = 1\), \(r = 2\) для максимизации ответа. В этом случае НОД в первом массиве будет\(5\), а во втором — \(1\), поэтому ответ равен \(5 + 1 = 6\), а количество пар равно \(1\).

C. Самый длинный хороший массив

Бинарный поиск Перебор математика *800

Сегодня Сакурако изучал массивы. Массив \(a\) длины \(n\) считается хорошим тогда и только тогда, когда:

  • массив \(a\) является возрастающим, то есть \(a_{i - 1} < a_i\) для всех \(2 \le i \le n\);
  • разности между соседними элементами возрастают, то есть \(a_i - a_{i-1} < a_{i+1} - a_i\) для всех \(2 \le i < n\).

Сакурако придумала границы \(l\) и \(r\) и хочет построить хороший массив максимальной длины, где \(l \le a_i \le r\) для всех \(a_i\).

Помогите Сакурако найти максимальную длину хорошего массива для заданных \(l\) и \(r\).

Входные данные

Первая строка содержит одно число \(t\) (\(1\le t\le 10^4\))  — количество наборов входных данных.

Единственная строка каждого набора содержит два целых числа \(l\) и \(r\) (\(1\le l\le r\le 10^9\)).

Выходные данные

Для каждого набора входных данных выведите одно число  — длину самого большого хорошего массива Сакурако при заданных \(l\) и \(r\).

Примечание

Для \(l=1\) и \(r=5\) одним из возможных массивов может быть \((1,2,5)\). Можно доказать, что массива длины \(4\) для данных \(l\) и \(r\) не существует.

Для \(l=2\) и \(r=2\) единственным возможным массивом является \((2)\).

Для \(l=10\) и \(r=20\) единственным возможным массивом является \((10,11,13,16,20)\).

G. Задание Сакурако

Бинарный поиск математика теория чисел *1800 жадные алгоритмы

Сакурако подготовила для вас задачу:

Она дает вам массив из \(n\) целых чисел и позволяет выбрать \(i\) и \(j\) такие, что \(i \neq j\) и \(a_i \ge a_j\), а затем присвоить \(a_i = a_i - a_j\) или \(a_i = a_i + a_j\). Вы можете выполнить эту операцию любое количество раз для любых \(i\) и \(j\), если они удовлетворяют условиям.

Сакурако спрашивает вас, каково максимально возможное значение \(mex_k\)\(^{\text{∗}}\) массива после любого количества операций.

\(^{\text{∗}}\)\(mex_k\) — это \(k\)-е целое неотрицательное число, которого нет в массиве. Например, \(mex_1(\{1,2,3 \})=0\), так как \(0\) — первый элемент, которого нет в массиве, и \(mex_2(\{0,2,4 \})=3\), так как \(3\) — второй элемент, которого нет в массиве.

Входные данные

Первая строка содержит одно целое число \(t\) (\(1\le t\le 10^4\))  — количество наборов входных данных.

Первая строка каждого набора содержит два целых числа \(n\) и \(k\) (\(1\le n\le 2\cdot 10^5,1\le k\le 10^9\))  — количество элементов массива и параметр \(k\) для \(mex_k\).

Вторая строка каждого набора содержит \(n\) целых чисел \(a_1, a_2, \dots,a_n\) (\(1\le a_i\le 10^9\))  — элементы массива.

Гарантируется, что сумма \(n\) по всем наборам входных данных не превосходит \(2\cdot 10^5\).

Выходные данные

Для каждого набора входных данных выведите максимальный \(mex_k\), которого возможно добиться с помощью операций.

H. Тест Сакурако

Бинарный поиск Перебор математика *2100 теория чисел жадные алгоритмы

Сакурако вскоре будет сдавать тест. Тест можно описать как массив целых чисел \(n\) и задание на нем:

Задав целое число \(x\), Сакурако может выполнить следующую операцию любое количество раз:

  • Выбрать целое число \(i\) (\(1\le i\le n\)) такое, что \(a_i\ge x\);
  • Изменить значение \(a_i\) на \(a_i-x\).

Применяя эту операцию произвольное количество раз, она хочет найти минимальную возможную медиану\(^{\text{∗}}\) массива \(a\).

Сакурако знает массив, но не знает целое число \(x\). Кто-то проболтался, что одно из \(q\) значений \(x\) будет в следующем тесте, поэтому Сакурако спрашивает вас, каков ответ для каждого такого \(x\).

\(^{\text{∗}}\)Медиана массива длины \(n\) — это элемент, который стоит в середине отсортированного массива (в \(\frac{n+2}{2}\)-й позиции для чётного \(n\), и в \(\frac{n+1}{2}\)-й для нечётного)

Входные данные

Первая строка содержит одно целое число \(t\) (\(1\le t\le 10^4\))  — количество наборов входных данных.

Первая строка каждого набора содержит два целых числа \(n\) и \(q\) (\(1\le n,q\le 10^5\))  — количество элементов массива и количество запросов.

Вторая строка каждого набора содержит \(n\) целых чисел \(a_1, a_2, \dots, a_n\) (\(1\le a_i\le n\))  — элементы массива.

Следующие \(q\) строк содержат по одному целому числу \(x\) (\(1\le x\le n\)).

Гарантируется, что сумма \(n\) по всем наборам входных данных не превысит \(10^5\). То же самое гарантируется и для суммы \(q\) по всем наборам входных данных.

Выходные данные

Для каждого набора входных данных выведите \(q\) целых чисел  — ответ для каждого запроса.

E. СУПЕР ДУПЕР БОЛЬШОЙ Массив Кли!!!

Бинарный поиск Тернарный поиск математика *1400

У Кли есть массив \(a\) длиной \(n\), содержащий целые числа \([k, k+1, ..., k+n-1]\) в этом порядке. Кли хочет выбрать индекс \(i\) (\(1 \leq i \leq n\)) так, чтобы \(x = |a_1 + a_2 + \dots + a_i - a_{i+1} - \dots - a_n|\) был минимален. Обратите внимание, что для произвольного целого числа \(z\), \(|z|\) представляет собой модуль числа \(z\).

Выведите минимально возможное значение \(x\).

Входные данные

Первая строка содержит \(t\) (\(1 \leq t \leq 10^4\)) — количество наборов входных данных.

Каждый набор входных данных содержит два целых числа \(n\) и \(k\) (\(2 \leq n, k \leq 10^9\)) — длину массива и начальный элемент массива.

Выходные данные

Для каждого набора входных данных выведите минимальное значение \(x\).

Примечание

В первом примере \(a = [2, 3]\). При выборе \(i = 1\), \(x = |2-3| = 1\). Можно показать, что это минимально возможное значение \(x\).

В третьем примере \(a = [3, 4, 5, 6, 7]\). При выборе \(i = 3\), \(x = |3 + 4 + 5 - 6 - 7| = 1\). Можно показать, что это минимально возможное значение \(x\).

G1. Запросы подмассивов Юнли (простая версия)

Бинарный поиск Структуры данных *1900

Это простая версия задачи. В этой версии гарантируется, что \(r=l+k-1\) для всех запросов.

Для произвольного массива \(b\) Юнли может выполнять следующую операцию любое количество раз:

  • Выбрать индекс \(i\). Присвоить \(b_i = x\), где \(x\) — любое целое число, которое она желает (\(x\) не ограничено интервалом \([1,n]\)).

Обозначим \(f(b)\) как минимальное количество операций, которые ей нужно выполнить, чтобы появился последовательный подмассив\(^{\text{∗}}\) длиной не менее \(k\) в \(b\).

Юнли дан массив \(a\) размера \(n\), и она задает вам \(q\) запросов. В каждом запросе вы должны вывести \(\sum_{j=l+k-1}^{r} f([a_l, a_{l+1}, \ldots, a_j])\). Обратите внимание, что в этой версии вам нужно только вывести \(f([a_l, a_{l+1}, \ldots, a_{l+k-1}])\).

\(^{\text{∗}}\)Если существует последовательный подмассив длины \(k\), который начинается с индекса \(i\) (\(1 \leq i \leq |b|-k+1\)), то \(b_j = b_{j-1} + 1\) для всех \(i < j \leq i+k-1\).

Входные данные

Первая строка содержит \(t\) (\(1 \leq t \leq 10^4\)) — количество наборов входных данных.

Первая строка каждого набора входных данных содержит три целых числа \(n\), \(k\) и \(q\) (\(1 \leq k \leq n \leq 2 \cdot 10^5\), \(1 \leq q \leq 2 \cdot 10^5\)) — длину массива, длину последовательного подмассива и количество запросов.

Следующая строка содержит \(n\) целых чисел \(a_1, a_2, \dots, a_n\) (\(1 \leq a_i \leq n\)).

Следующие \(q\) строк содержат по два целых числа \(l\) и \(r\) (\(1 \leq l \leq r \leq n\), \(r=l+k-1\)) — границы запроса.

Гарантируется, что сумма \(n\) по всем наборам входных данных не превышает \(2 \cdot 10^5\) и сумма \(q\) по всем наборам входных данных не превышает \(2 \cdot 10^5\).

Выходные данные

Выведите \(\sum_{j=l+k-1}^{r} f([a_l, a_{l+1}, \ldots, a_j])\) для каждого запроса на новой строке.

Примечание

В первом запросе первого примера, \(b=[1,2,3,2,1]\). Юнли может сделать последовательный подмассив длиной \(5\) за \(2\) хода:

  • Присвоить \(b_4=4\)
  • Присвоить \(b_5=5\)
В итоге \(b=[1, 2, 3, 4, 5]\).

Во втором запросе первого примера, \(b=[2,3,2,1,2]\). Юнли может сделать последовательный подмассив длиной \(5\) за \(3\) хода:

  • Присвоить \(b_3=0\)
  • Присвоить \(b_2=-1\)
  • Присвоить \(b_1=-2\)
В итоге \(b=[-2, -1, 0, 1, 2]\).

G2. Запросы подмассивов Юнли (сложная версия)

Бинарный поиск Структуры данных дп *2200

Это сложная версия задачи. В этой версии гарантируется, что \(r \geq l+k-1\) для всех запросов.

Для произвольного массива \(b\) Юнли может выполнять следующую операцию любое количество раз:

  • Выбрать индекс \(i\). Присвоить \(b_i = x\), где \(x\) — любое целое число, которое она хочет (\(x\) не ограничено интервалом \([1,n]\)).

Обозначим \(f(b)\) как минимальное количество операций, которые ей нужно выполнить, чтобы в массиве \(b\) существовал последовательный подмассив\(^{\text{∗}}\) длиной не менее \(k\).

Юнли дан массив \(a\) размером \(n\), и она задает вам \(q\) запросов. В каждом запросе вы должны вывести \(\sum_{j=l+k-1}^{r} f([a_l, a_{l+1}, \ldots, a_j])\).

\(^{\text{∗}}\)Если существует последовательный подмассив длиной \(k\), который начинается с индекса \(i\) (\(1 \leq i \leq |b|-k+1\)), то \(b_j = b_{j-1} + 1\) для всех \(i < j \leq i+k-1\).

Входные данные

Первая строка содержит \(t\) (\(1 \leq t \leq 10^4\)) — количество наборов входных данных.

Первая строка каждого набора входных данных содержит три целых числа \(n\), \(k\) и \(q\) (\(1 \leq k \leq n \leq 2 \cdot 10^5\), \(1 \leq q \leq 2 \cdot 10^5\)) — длину массива, длину последовательного подмассива и количество запросов.

Следующая строка содержит \(n\) целых чисел \(a_1, a_2, ..., a_n\) (\(1 \leq a_i \leq n\)).

Следующие \(q\) строк содержат по два целых числа \(l\) и \(r\) (\(1 \leq l \leq r \leq n\), \(r \geq l+k-1\)) — границы запроса.

Гарантируется, что сумма \(n\) по всем наборам входных данных не превышает \(2 \cdot 10^5\), а сумма \(q\) по всем наборам входных данных не превышает \(2 \cdot 10^5\).

Выходные данные

Выведите \(\sum_{j=l+k-1}^{r} f([a_l, a_{l+1}, \ldots, a_j])\) для каждого запроса на новой строке.

Примечание

Во втором запросе первого набора входных данных мы вычисляем следующие значения функции:

  • \(f([2,3,2,1,2])=3\), потому что Юнли может присвоить \(b_3=4\), \(b_4=5\) и \(b_5=6\), сделав последовательный подмассив размером \(5\) за \(3\) хода.
  • \(f([2,3,2,1,2,3])=2\), потому что мы можем присвоить \(b_3=0\) и \(b_2=-1\), сделав последовательный подмассив размером \(5\) за \(2\) хода (начиная с позиции \(2\)).

Ответ на этот запрос равен \(3+2=5\).

E. Насквозь бюрократическая организация

Бинарный поиск Комбинаторика *2600

На прием в недавно открывшуюся, но уже насквозь бюрократическую организацию (сокращенно НБО) одновременно записались n человек. Поскольку организация насквозь бюрократическая, в каждый день она способна принять и обслужить ровно одного человека. Как следствие, каждому из n человек был назначен прием в один из последующих n дней, причем ни у каких двух людей день приема не совпадает.

Однако работники организации подходят к работе весьма безответственно, поэтому ни одному из записавшихся людей не была сказана дата приема. Единственный способ узнать, в какие дни нужно приходить определенной группе людей — писать заявления-запросы в НБО.

Бланк одного заявления-запроса состоит из m пустых строчек, в каждую из которых можно вписать имя некоторого человека из записавшихся на прием (а можно оставить пустой). При этом нельзя записывать одного и того же человека на одном заявлении дважды, иначе такой запрос игнорируется. На такие запросы в письменном виде НБО всегда отвечает очень быстро, зато некачественно — а именно, в ответ приходят верные даты приема указанных на бланке людей, однако в совершенно случайном порядке. При этом ответы на все поданные заявления-запросы приходят одновременно в конце дня (на каждом ответе указано, на какое именно заявление это ответ).

К счастью, вы не входите в группу этих n счастливчиков. Ваша задача как стороннего наблюдателя — по заданным n и m определить, какое минимальное количество заявлений нужно подать в НБО, чтобы однозначно определить дату приема каждого человека.

Входные данные

В первой строке содержится целое число t (1 ≤ t ≤ 1000) — количество тестовых случаев. В каждой из следующих t строк содержатся два числа n и m (1 ≤ n, m ≤ 109) — количество людей, записавшихся на прием в НБО, и количество пустых строчек в заявлении-запросе, соответственно.

Выходные данные

Выведите t строк, в каждой из которых расположен ответ на соответствующий тестовый случай (в порядке ввода) — минимальное количество заявлений, которое необходимо подать в НБО.

Примечание

В первом примере нужно сделать три запроса в НБО, указав в них трех разных людей. Узнав их даты приема, методом исключения можно узнать дату приема четвертого человека, поэтому четвертый запрос не нужен.

Во втором примере достаточно двух заявлений. Пронумеруем людей от 1 до 4 и в первом укажем людей 1 и 2, а во втором — людей 1 и 3. Несложно убедиться, что дату приема каждого человека теперь можно однозначно определить независимо от того, какие ответы получены из НБО.

В четвертом примере на прием записался всего один человек. Никаких заявлений ему подавать не надо — он записан на завтра.

D. Минимизировать разницу

Бинарный поиск жадные алгоритмы *1900

Жан, уставший после контеста, дал единственную задачу, которую не решил во время контеста, своему другу, Сунгату. Однако и он не смог решить, поэтому мы просим вас попробовать решить эту задачу.

Дан массив \(a_1, a_2, \ldots, a_n\) длины \(n\). Мы можем выполнить с массивом любое количество (возможно, ноль) операций.

За одну операцию мы выбираем позицию \(i\) (\(1 \leq i \leq n - 1\)), и выполняется следующее действие:

  • \(a_i := a_i - 1\), и \(a_{i+1} := a_{i+1} + 1\).

Найдите минимальное возможное значение \(\max(a_1, a_2, \ldots, a_n) - \min(a_1, a_2, \ldots, a_n)\).

Входные данные

Каждый тест состоит из нескольких наборов входных данных. В первой строке находится одно целое число \(t\) (\(1 \le t \le 10^5\)) — количество наборов входных данных. Далее следует описание наборов входных данных.

Первая строка каждого набора входных данных содержит целое число \(n\) (\(1 \leq n \leq 2 \cdot 10^5\)).

Вторая строка каждого набора входных данных содержит \(n\) целых чисел \(a_1, a_2, \ldots, a_n\) (\(1 \leq a_i \leq 10^{12}\)).

Гарантируется, что сумма \(n\) по всем тестовым случаям не превышает \(2 \cdot 10^5\).

Выходные данные

Для каждого набора входных данных выведите одно целое число: минимальное возможное значение \(\max(a_1, a_2, \ldots, a_n) - \min(a_1, a_2, \ldots, a_n)\).

Примечание

В третьем наборе входных данных можно дважды проделать операцию с \(i = 1\).

После этого массив \(a = [2, 3, 2, 3]\), \(\max(2, 3, 2, 3) - \min(2, 3, 2, 3) = 3 - 2 = 1\).

F1. Игра на дереве (простая версия)

Бинарный поиск Деревья Перебор Структуры данных реализация дп жадные алгоритмы *2700 игры

Это простая версия задачи. В этой версии \(\mathbf{u = v}\). Вы можете совершать взломы только в том случае, если решены обе версии задачи.

Алиса и Боб играют в забавную игру на дереве. В эту игру играют на дереве из \(n\) вершин, пронумерованных от \(1\) до \(n\). Напомним, что дерево на \(n\) вершинах — это неориентированный связный граф с \(n - 1\) ребрами.

Алиса и Боб ходят по очереди, причём Алиса ходит первой. Каждый игрок начинает с какой-то вершины.

В свой ход игрок должен перейти из текущей вершины в соседнюю, которая ещё не была никем посещена до этого. Первый игрок, который не может сделать ход, проигрывает.

Вам даны две вершины \(u\) и \(v\). Представим простой путь из вершины \(u\) в \(v\) как массив \(p_1, p_2, p_3, \ldots, p_m\), где \(p_1 = u\), \(p_m = v\), между \(p_i\) и \(p_{i + 1}\) есть ребро для всех \(i\) (\(1 \le i < m\)).

Вы должны определить победителя игры, если Алиса начнёт в вершине \(1\), а Боб в вершине \(p_j\) для каждого \(j\) (где \(1 \le j \le m\)).

Входные данные

Каждый тест состоит из нескольких наборов входных данных. В первой строке находится одно целое число \(t\) (\(1 \le t \le 10^4\)) — количество наборов входных данных. Далее следует описание наборов входных данных.

Первая строка каждого набора входных данных содержит единственное число \(n\) (\(2 \le n \le 2 \cdot 10^5\)) — количество вершин дерева.

Каждая из следующих \(n - 1\) строк содержит два целых числа \(a\), \(b\) (\(1 \le a, b \le n\)), обозначающих неориентированное ребро между вершинами \(a\) и \(b\). Гарантируется, что данные ребра образуют дерево.

Последняя строка каждого набора входных данных содержит два целых числа \(u\) и \(v\) (\(2 \le u, v \le n\), \(\mathbf{u = v}\)).

Гарантируется, что путь между \(u\) и \(v\) не проходит через вершину \(1\).

Гарантируется, что сумма \(n\) по всем наборам входных данных не превосходит \(2 \cdot 10^5\).

Выходные данные

Для каждого набора входных данных выведите \(m\) строк.

В \(i\)-й строке выведите победителя игры, если Алиса начинает с вершины \(1\), а Боб с вершины \(p_i\), выведите «Alice» (без кавычек), если выиграет Алиса, или «Bob» (без кавычек) в противном случае.

Примечание
Дерево из первого и второго примера.

В первом наборе входных данных путь будет иметь вид (\(2,2\)). Боб начинает в вершине \(2\), Алиса в своём первом ходу не сможет никуда пойти, и она проиграет.

Во втором наборе входных данных путь будет иметь вид (\(3,3\)). Боб начинает в вершине \(3\), Алиса переместится в вершину \(2\), и у Боба не останется вершин, которые можно посетить, и он проиграет.

F2. Игра на дереве (сложная версия)

Бинарный поиск Деревья Структуры данных *3500

Это сложная версия задачи. В этой версии не гарантируется, что \(u = v\). Вы можете совершать взломы только в том случае, если решены обе версии задачи.

Алиса и Боб играют в забавную игру на дереве. В эту игру играют на дереве из \(n\) вершин, пронумерованных от \(1\) до \(n\). Напомним, что дерево на \(n\) вершинах — это неориентированный связный граф с \(n - 1\) ребрами.

Алиса и Боб ходят по очереди, причём Алиса ходит первой. Каждый игрок начинает с какой-то вершины.

В свой ход игрок должен перейти из текущей вершины в соседнюю вершину, которая ещё не была никем посещена до этого. Первый игрок, который не может сделать ход, проигрывает.

Вам даны две вершины \(u\) и \(v\). Представим простой путь из вершины \(u\) в \(v\) как массив \(p_1, p_2, p_3, \ldots, p_m\), где \(p_1 = u\), \(p_m = v\), между \(p_i\) и \(p_{i + 1}\) есть ребро для всех \(i\) (\(1 \le i < m\)).

Вы должны определить победителя игры, если Алиса начнёт в вершине \(1\), а Боб в вершине \(p_j\) для каждого \(j\) (где \(1 \le j \le m\)).

Входные данные

Каждый тест состоит из нескольких наборов входных данных. В первой строке находится одно целое число \(t\) (\(1 \le t \le 10^4\)) — количество наборов входных данных. Далее следует описание наборов входных данных.

Первая строка каждого набора входных данных содержит единственное число \(n\) (\(2 \le n \le 2 \cdot 10^5\)) — количество вершин дерева.

Каждая из следующих \(n - 1\) строк содержит два целых числа \(a\), \(b\) (\(1 \le a, b \le n\)), обозначающих неориентированное ребро между вершинами \(a\) и \(b\). Гарантируется, что данные рёбра образуют дерево.

Последняя строка каждого набора входных данных содержит два целых числа \(u\) и \(v\) (\(2 \le u, v \le n\)).

Гарантируется, что путь между \(u\) и \(v\) не проходит через вершину \(1\).

Гарантируется, что сумма \(n\) по всем наборам входных данных не превосходит \(2 \cdot 10^5\).

Выходные данные

Для каждого набора входных данных выведите \(m\) строк.

В \(i\)-й строке выведите победителя игры, если Алиса начинает с вершины \(1\), а Боб с вершины \(p_i\), выведите «Alice» (без кавычек), если выиграет Алиса, или «Bob» (без кавычек) в противном случае.

Примечание
Дерево из первого примера.

В первом наборе входных данных путь будет иметь вид (\(2,3\)). В случае, когда Боб начинает в вершине \(2\), Алиса в своём первом ходу не сможет никуда пойти, и она проиграет.

А в случае, когда Боб начинает в вершине \(3\), Алиса переместится в вершину \(2\), и у Боба не останется вершин, которые можно посетить, и он проиграет.

C. Робин Гуд в городе

Бинарный поиск математика *1100 жадные алгоритмы

В Шервуде мы судим человека не по его богатству, а по его заслугам.

Оглянитесь вокруг, богатые становятся богаче, а бедные — беднее. Нам нужно отнять у богатых и отдать бедным. Нам нужен Робин Гуд!

В городе живут \(n\) человек. Сейчас богатство \(i\)-го человека составляет \(a_i\) золота. Но угадайте что? Самый богатый человек только что нашел дополнительную бочку золота!

Более формально, найдите \(a_j=max(a_1, a_2, \dots, a_n)\), измените \(a_j\) на \(a_j+x\), где \(x\) — это количество золота в бочке. Если есть несколько максимумов, можно взять любой из них.

Человек несчастен, если его богатство строго ниже половины среднего богатства\(^{\text{∗}}\). Если строго больше половины общего населения \(n\) несчастны, Робин Гуд появится по народному требованию.

Определите минимальное значение \(x\), необходимое для появления Робина Гуда, или выведите \(-1\), если это невозможно.

\(^{\text{∗}}\)Среднее богатство определяется как общее богатство, деленное на общее население \(n\), то есть \(\frac{\sum a_i}{n}\), результат является вещественным числом.

Входные данные

Первая строка входных данных содержит одно целое число \(t\) (\(1 \le t \le 10^4\)) — количество наборов входных данных.

Первая строка каждого набора входных данных содержит целое число \(n\) (\(1 \le n \le 2\cdot10^5\)) — общее население.

Вторая строка каждого набора входных данных содержит \(n\) целых чисел \(a_1, a_2, \ldots, a_n\) (\(1 \le a_i \le 10^6\)) — богатство каждого человека.

Гарантируется, что сумма \(n\) по всем наборам входных данных не превышает \(2 \cdot 10^5\).

Выходные данные

Для каждого набора входных данных выведите одно целое число — минимальное количество золота, которое самый богатый человек должен найти, чтобы Робин Гуд пришел в город. Если это невозможно, выведите \(-1\) вместо этого.

Примечание

В первом наборе входных данных невозможно, чтобы один человек был несчастным.

Во втором наборе входных данных всегда есть \(1\) счастливый человек (самый богатый).

В третьем наборе входных данных дополнительное золото не требуется, поэтому ответ \(0\).

В четвертом наборе входных данных, после добавления \(15\) золота, среднее богатство становится \(\frac{25}{4}\), и половина этого среднего составляет \(\frac{25}{8}\), в результате чего \(3\) человека оказываются несчастными.

В пятом наборе входных данных, после добавления \(16\) золота, среднее богатство становится \(\frac{31}{5}\), в результате чего \(3\) человека оказываются несчастными.

B. Сверхскорость

Бинарный поиск Структуры данных реализация дп жадные алгоритмы *1900

В ряд стоят \(n\) городов, пронумерованных \(1, 2, \ldots, n\) слева направо.

  • В момент времени \(1\) вы захватываете ровно один город, называемый начальным городом.
  • В моменты времени \(2, 3, \ldots, n\) вы можете выбрать город, соседний с уже захваченным, и захватить его.

Вы выиграете, если для каждого \(i\) вы захватите город \(i\) в момент времени не позже, чем \(a_i\). Выигрышная стратегия может существовать, а может и не существовать, в том числе в зависимости от стартового города. Сколько стартовых городов позволяют вам выиграть?

Входные данные

Каждый тест состоит из нескольких наборов входных данных. Первая строка содержит одно целое число \(t\) (\(1 \le t \le 10^4\)) — количество наборов входных данных. Далее следует описание наборов входных данных.

Первая строка каждого набора входных данных содержит одно целое число \(n\) (\(1 \le n \le 2 \cdot 10^5\)) — количество городов.

Вторая строка каждого набора входных данных содержит \(n\) целых чисел \(a_1, a_2, \ldots, a_n\) (\(1 \le a_i \le n\)) — сроки завоевания городов.

Гарантируется, что сумма \(n\) по всем наборам входных данных не превосходит \(2 \cdot 10^5\).

Выходные данные

Для каждого набора входных данных выведите одно целое число: количество стартовых городов, которые позволяют вам выиграть.

Примечание

В первом наборе входных данных города \(2\), \(3\) и \(4\) являются подходящими стартовыми городами.

Во втором наборе входных данных нет подходящих стартовых городов.

В третьем наборе входных данных единственным подходящим стартовым городом является город \(5\).

E1. Сложные отрезки (простая версия)

Бинарный поиск Структуры данных математика жадные алгоритмы сортировки разделяй и властвуй снм *3300

Это простая версия задачи. В этой версии ограничения на \(n\) и ограничение по времени ниже. Вы можете совершать взломы только в том случае, если решены обе версии задачи.

Назовём множество (замкнутых) отрезков сложным, если оно может быть разбито на некоторые подмножества так, что

  • все подмножества имеют одинаковый размер; и
  • пара отрезков пересекается тогда и только тогда, когда эти два отрезка находятся в одном и том же подмножестве.

Вам даны \(n\) отрезков \([l_1, r_1], [l_2, r_2], \ldots, [l_n, r_n]\). Найдите максимальный размер сложного подмножества этих отрезков.

Входные данные

Каждый тест состоит из нескольких наборов входных данных. Первая строка содержит одно целое число \(t\) (\(1 \le t \le 10^3\)) — количество наборов входных данных. Далее следует описание наборов входных данных.

Первая строка каждого набора входных данных содержит одно целое число \(n\) (\(1 \le n \le 2 \cdot 10^4\)) — количество отрезков.

Вторая строка каждого набора входных данных содержит \(n\) целых чисел \(l_1, l_2, \ldots, l_n\) (\(1 \le l_i \le 2n\)) — левые концы отрезков.

Третья строка каждого набора входных данных содержит \(n\) целых чисел \(r_1, r_2, \ldots, r_n\) (\(l_i \leq r_i \le 2n\)) — правые концы отрезков.

Гарантируется, что сумма \(n\) по всем наборам входных данных не превосходит \(2 \cdot 10^4\).

Выходные данные

Для каждого набора входных данных выведите одно целое число: максимальный размер сложного подмножества заданных отрезков.

Примечание

В первом наборе входных данных все пары отрезков пересекаются, поэтому оптимально сформировать одну группу, содержащую все три отрезка.

Во втором наборе входных данных не существует подходящего разбиения для всех пяти отрезков. Корректное разбиение с четырьмя отрезками выглядит следующим образом: \(\{\{ [1, 5], [2, 4] \}, \{ [6, 9], [8, 10] \}\}\).

В третьем наборе входных данных оптимально составить одну группу, содержащую все отрезки, кроме второго.

E2. Сложные отрезки (сложная версия)

Бинарный поиск Структуры данных математика жадные алгоритмы сортировки разделяй и властвуй *3400 снм

Это сложная версия задачи. В этой версии ограничения на \(n\) и ограничение по времени выше. Вы можете совершать взломы только в том случае, если решены обе версии задачи.

Назовём множество (замкнутых) отрезков сложным, если оно может быть разбито на некоторые подмножества так, что

  • все подмножества имеют одинаковый размер; и
  • пара отрезков пересекается тогда и только тогда, когда эти два отрезка находятся в одном и том же подмножестве.

Вам даны \(n\) отрезков \([l_1, r_1], [l_2, r_2], \ldots, [l_n, r_n]\). Найдите максимальный размер сложного подмножества этих отрезков.

Входные данные

Каждый тест состоит из нескольких наборов входных данных. Первая строка содержит одно целое число \(t\) (\(1 \le t \le 10^3\)) — количество наборов входных данных. Далее следует описание наборов входных данных.

Первая строка каждого набора входных данных содержит одно целое число \(n\) (\(1 \le n \le 3 \cdot 10^5\)) — количество отрезков.

Вторая строка каждого набора входных данных содержит \(n\) целых чисел \(l_1, l_2, \ldots, l_n\) (\(1 \le l_i \le 2n\)) — левые концы отрезков.

Третья строка каждого набора входных данных содержит \(n\) целых чисел \(r_1, r_2, \ldots, r_n\) (\(l_i \leq r_i \le 2n\)) — правые концы отрезков.

Гарантируется, что сумма \(n\) по всем наборам входных данных не превосходит \(3 \cdot 10^5\).

Выходные данные

Для каждого набора входных данных выведите одно целое число: максимальный размер сложного подмножества заданных отрезков.

Примечание

В первом наборе входных данных все пары отрезков пересекаются, поэтому оптимально сформировать одну группу, содержащую все три отрезка.

Во втором наборе входных данных не существует подходящего разбиения для всех пяти отрезков. Корректное разбиение с четырьмя отрезками выглядит следующим образом: \(\{\{ [1, 5], [2, 4] \}, \{ [6, 9], [8, 10] \}\}\).

В третьем наборе входных данных оптимально составить одну группу, содержащую все отрезки, кроме второго.

A. ЛНПП

Строки Бинарный поиск Перебор реализация жадные алгоритмы *800 битмаски

Настоящее название этой задачи — «Лексикографически наибольшая подпоследовательность-палиндром» — слишком длинное, чтобы уместиться в заголовке страницы.

Дана строка s, состоящая только из строчных латинских букв. Найдите ее лексикографически наибольшую подпоследовательность, являющуюся палиндромом.

Непустую строку s[p1p2... pk] = sp1sp2... spk (1  ≤  p1 < p2 < ... < pk  ≤  |s|) будем называть подпоследовательностью строки s = s1s2... s|s|, где |s| — длина строки s. Например, строки «abcb», «b» и «abacaba» являются подпоследовательностями строки «abacaba».

Строка x = x1x2... x|x| лексикографически больше строки y = y1y2... y|y|, если либо |x| > |y| и x1 = y1, x2 = y2, ..., x|y| = y|y|, либо существует такое число r (r < |x|, r < |y|), что x1 = y1, x2 = y2, ..., xr = yr и xr  +  1 > yr  +  1. Символы в строках сравниваются как их ASCII-коды. Например, строка «ranger» лексикографически больше строки «racecar», а строка «poster» лексикографически больше строки «post».

Строка s = s1s2... s|s| называется палиндромом, если она в точности совпадает со строкой rev(s) = s|s|s|s| - 1... s1. Иными словами, строка называется палиндромом, если она читается одинаково как слева направо, так и справа налево. Например, строками-палиндромами являются «racecar», «refer» и «z».

Входные данные

В единственной строке записана непустая строка s, состоящая только из строчных букв латинского алфавита и имеющая длину не более 10.

Выходные данные

Выведите лексикографически наибольшую подпоследовательность строки s, являющуюся палиндромом.

Примечание

Из всех различных подпоследовательностей строки «radar» палиндромами являются «a», «d», «r», «aa», «rr», «ada», «rar», «rdr», «raar» и «radar». Лексикографически наибольшей из них является «rr».

B. Да будет свет!

Бинарный поиск математика *1200

У вас есть \(n\) лампочек, пронумерованных числами \(1, 2, \ldots, n\). Изначально все лампочки включены. Под инвертированием состояния лампочки подразумевается её выключение, если она была включена, и её включение, иначе.

Затем вы делаете следующее:

  • для каждого \(i = 1, 2, \ldots, n\), инвертировать состояние всех лампочек \(j\), таких что \(j\) делится на \(i^\dagger\).

После выполнения всех операций некоторые лампочки по-прежнему будут включены. Ваша цель — сделать так, чтобы число таких лампочек было ровно \(k\).

Найдите наименьшее подходящее \(n\), такое что после выполнения всех операций включены будут ровно \(k\) лампочек. Можно показать, что ответ всегда существует.

\(^\dagger\) Целое число \(x\) делится на \(y\), если существует целое \(z\), такое что \(x = y\cdot z\).

Входные данные

Каждый тест состоит из нескольких наборов входных данных. В первой строке находится одно целое число \(t\) (\(1 \le t \le 10^4\)) — количество наборов входных данных. Далее следует описание наборов входных данных.

Единственная строка каждого набора входных данных содержит одно целое число \(k\) (\(1 \le k \le 10^{18}\)).

Выходные данные

Для каждого набора входных данных выведите \(n\) — наименьшее число лампочек.

Примечание

В первом наборе входных данных наименьшее число лампочек равно \(2\). Будем записывать состояние всех лампочек в виде массива, где \(1\) соответствует включённой лампочке, а \(0\) — выключенной. Изначально массив равен \([1, 1]\).

  • После выполнения операции с \(i = 1\), массив становится равен \([\underline{0}, \underline{0}]\).
  • После выполнения операции с \(i = 2\), массив становится равен \([0, \underline{1}]\).

В итоге включена ровно \(k = 1\) лампочка. Можно показать, что ответ не может быть меньше \(2\).

Во втором наборе входных данных наименьшее число лампочек равно \(5\). Изначально массив равен \([1, 1, 1, 1, 1]\).

  • После выполнения операции с \(i = 1\), массив становится равен \([\underline{0}, \underline{0}, \underline{0}, \underline{0}, \underline{0}]\).
  • После выполнения операции с \(i = 2\), массив становится равен \([0, \underline{1}, 0, \underline{1}, 0]\).
  • После выполнения операции с \(i = 3\), массив становится равен \([0, 1, \underline{1}, 1, 0]\).
  • После выполнения операции с \(i = 4\), массив становится равен \([0, 1, 1, \underline{0}, 0]\).
  • После выполнения операции с \(i = 5\), массив становится равен \([0, 1, 1, 0, \underline{1}]\).

В итоге включены ровно \(k = 3\) лампочки. Можно показать, что ответ не может быть меньше \(5\).

B. Продавец Карел

Бинарный поиск математика жадные алгоритмы *1300

Карел работает продавцом в автосалоне. В автосалоне имеется \(n\) различных моделей автомобилей. В наличии есть \(a_i\) автомобилей \(i\)-й модели. Карел — отличный продавец и может убедить клиентов купить до \(x\) автомобилей (на выбор Карела), при условии, что это автомобили разных моделей.

Определите минимальное количество клиентов, которое должен привлечь Карел, чтобы продать все автомобили.

Входные данные

Каждый тест состоит из нескольких наборов входных данных. Первая строка содержит одно целое число \(t\) (\(1 \le t \le 10^4\)) — количество наборов входных данных. Далее следует описание наборов входных данных.

Первая строка каждого набора входных данных содержит два целых числа \(n\) и \(x\) (\(1 \le n \le 5 \cdot 10^5\); \(1 \le x \le 10\)) — количество различных моделей автомобилей и максимальное количество автомобилей, которое Карел может убедить клиента купить.

Вторая строка содержит \(n\) целых чисел \(a_1, a_2, \ldots, a_n\) (\(1 \le a_i \le 10^9\)) — количество автомобилей каждой модели.

Гарантируется, что сумма \(n\) по всем наборам входных данных не превосходит \(5 \cdot 10^5\).

Выходные данные

Для каждого набора входных данных выведите минимально возможное количество клиентов, необходимое для продажи всех автомобилей.

Примечание

В первом наборе входных данных Карелу всего нужно привлечь \(3\) покупателя. Он убедит покупателей купить следующие модели автомобилей:

  • Клиент \(1\) купит \(2\) автомобиля моделей \(1\) и \(3\).
  • Клиент \(2\) купит \(2\) автомобиля моделей \(1\) и \(2\).
  • Клиент \(3\) купит \(2\) автомобиля моделей \(1\) и \(3\).

Во втором наборе входных данных Карелу нужно всего привлечь \(3\) покупателя. Он убедит покупателей купить следующие модели автомобилей:

  • Клиент \(1\) купит \(2\) автомобиля моделей \(1\) и \(3\).
  • Клиент \(2\) купит \(3\) автомобиля моделей \(1\), \(2\) и \(3\).
  • Клиент \(3\) купит \(1\) автомобиль модели \(3\).

D1. Ассасин (простая версия)

Бинарный поиск Перебор Конструктив реализация *1900 интерактив

Это простая версия задачи. В этой версии вы можете задать не более \(n+69\) вопросов. Вы можете совершать взломы только в том случае, если решены обе версии задачи.

Это интерактивная задача.

На сборах сборной Мексики к IOI существует традиция играть в игру «Ассасин», которая похожа на «Among Us» или «Мафию».

Сегодня \(n\) игроков, пронумерованных от \(1\) до \(n\), будут играть в «Ассасин» со следующими тремя ролями:

  • Рыцарь: Рыцарь — это тот, кто всегда говорит правду.
  • Лжец: Лжец — это тот, кто всегда лжет.
  • Предатель: Предатель — это тот, кого все считают Рыцарем, а на самом деле он Лжец.

Каждому игроку будет назначена своя роль в игре. В игре будет ровно один Предатель, но может быть любое (возможно нулевое) количество Рыцарей и Лжецов.

Вы были ведущим игры, но случайно забыли роли всех игроков, поэтому вам нужно определить игрока, который является Предателем.

Чтобы определить Предателя, вы зададите несколько вопросов. В каждом вопросе вы выбираете двух игроков \(i\) и \(j\) (\(1 \leq i, j \leq n\); \(i \neq j\)) и спрашиваете, считает ли игрок \(i\), что игрок \(j\) — Рыцарь. Результаты этого вопроса приведены в таблице ниже.

РыцарьЛжецПредатель
РыцарьДаНетДа
ЛжецНетДаНет
ПредательНетДа
Значение ячейки в строке \(a\) и столбце \(b\) — это ответ на вопрос, когда \(i\) имеет роль \(a\), а \(j\) — роль \(b\). Например, «Да» в правой верхней ячейке принадлежит строке «Рыцарь» и столбцу «Предатель», поэтому это ответ на вопрос, когда \(i\) — Рыцарь, а \(j\) — Предатель.

Найдите Предателя не более чем за \(n + 69\) вопросов.

Заметьте, что итерактор адаптивен: роли игроков не фиксированы изначально и могут меняться в зависимости от ваших вопросов. Однако гарантируется, что существует такое распределение ролей, которое соответствует всем ранее заданным вопросам в ограничениях этой задачи.

Входные данные

Каждый тест состоит из нескольких наборов входных данных. Первая строка содержит одно целое число \(t\) (\(1 \leq t \leq 10^3\)) — количество наборов входных данных. Далее следует описание наборов входных данных.

Первая строка каждого набора входных данных содержит одно целое число \(n\) (\(3 \le n \le 10^5\)) — количество людей, играющих в игру.

Гарантируется, что сумма \(n\) по всем наборам входных данных не превосходит \(10^5\).

Протокол взаимодействия

Чтобы задать вопрос, выведите строку в следующем формате:

  • «? i j» (\(1 \leq i,j \leq n\); \(i \neq j\)) — спросить игрока \(i\), считает ли он игрока \(j\) Рыцарем.

Жюри выдаст «1», если игрок \(i\) считает игрока \(j\) Рыцарем, и «0» в противном случае.

Когда вы определите, какой игрок является Предателем, выведите строку в следующем формате:

  • «! i» (\(1 \leq i \leq n\)) — Предателем является игрок \(i\).

Обратите внимание, что ответы не учитываются в ограничении в \(n+69\) вопросов.

Если вы сделали некорректный вывод, использовали более \(n+69\) вопросов или неверно определили Предателя, жюри ответит «-1», и вы получите вердикт Неправильный ответ. Получив «-1», ваша программа должна немедленно завершиться. В противном случае вы можете получить произвольный вердикт, поскольку ваше решение продолжит чтение из закрытого потока.

После каждого вывода не забудьте вывести перевод строки и сбросить буфер вывода. В противном случае вы получите вердикт Решение «зависло». Для сброса буфера используйте:

  • fflush(stdout) или cout.flush() в C++;
  • System.out.flush() в Java;
  • sys.stdout.flush() в Python;
  • std::io::stdout().flush() в Rust;
  • смотрите документацию для других языков.

Формат взломов

Для взломов используйте следующий формат.

Первая строка должна содержать одно целое число \(t\) — количество наборов входных данных.

Первая строка каждого набора входных данных должна содержать целое число \(n\), за которым следует строка «manual».

Вторая строка содержит \(n\) целых чисел \(a_1, a_2, \ldots, a_n\) (\(-1 \le a_i \le 1\)) — роли каждого игрока. \(1\) обозначает Рыцаря, \(0\) — Лжеца, а \(-1\) — Предателя. Предатель должен быть ровно один, то есть должен быть ровно один индекс \(i\) такой, что \(a_i=-1\).

В качестве примера приводим взлом, аналогичный примеру из условия:

2
7 manual
0 1 0 -1 0 1 0
4 manual
0 1 -1 0
Примечание

Обратите внимание, что примеры не представляют собой оптимальную стратегию задавания вопросов и приведены только для демонстрации формата взаимодействия. В частности, мы не можем определить, кто из игроков является Предателем, по вопросам, заданным в примерах.

В первом наборе входных данных игроки с индексами \(2\) и \(6\) — Рыцари, игроки с индексами \(1\), \(3\), \(5\) и \(7\) — Лжецы, а Предатель имеет индекс \(4\). Ниже приводится объяснение заданных вопросов:

  • В первом вопросе игрок \(i\) является Лжецом, и игрок \(j\) также Лжец. Ответ — «да», так как Лжецы всегда лгут.
  • Во втором вопросе игрок \(i\) — Лжец, а игрок \(j\) — Рыцарь. Ответ — «нет», так как Лжецы всегда лгут.
  • В третьем вопросе игрок \(i\) — Рыцарь, а игрок \(j\) — Лжец. Ответ — «нет», так как Рыцари всегда говорят правду.
  • В четвертом вопросе игрок \(i\) — Рыцарь, и игрок \(j\) также Рыцарь. Ответ — «да», так как Рыцари всегда говорят правду.
  • В пятом вопросе игрок \(i\) — Предатель, а игрок \(j\) — Лжец. Ответ — «да», так как Предатель всегда лжет.
  • В шестом вопросе игрок \(i\) — Предатель, а игрок \(j\) — Рыцарь. Ответ — «нет», так как Предатель всегда лжет.
  • В седьмом вопросе игрок \(i\) — Лжец, а игрок \(j\) — Предатель. Ответ — «нет», так как Лжецы всегда лгут, и Лжецы думают, что Предатель является Рыцарем.
  • В восьмом вопросе игрок \(i\) — Рыцарь, а игрок \(j\) — Предатель. Ответ — «да», так как Рыцари всегда говорят правду, и Рыцари думают, что Предатель является Рыцарем.

E1. Billetes MX (простая версия)

Бинарный поиск Конструктив Комбинаторика поиск в глубину и подобное графы 2-sat снм *2500

Это простая версия задачи. В этой версии гарантируется, что \(q = 0\). Вы можете совершать взломы только в том случае, если решены обе версии задачи.

Целочисленная сетка \(A\) с \(p\) строками и \(q\) столбцами называется красивой, если:

  • Все элементы сетки являются целыми числами от \(0\) до \(2^{30}-1\), и
  • Для любой подсетки XOR значений в углах равен \(0\). Формально, для любых четырех целых чисел \(i_1\), \(i_2\), \(j_1\), \(j_2\) (\(1 \le i_1 < i_2 \le p\); \(1 \le j_1 < j_2 \le q\)) должно выполняться \(A_{i_1, j_1} \oplus A_{i_1, j_2} \oplus A_{i_2, j_1} \oplus A_{i_2, j_2} = 0\), где \(\oplus\) обозначает операцию побитового исключающего ИЛИ.

Имеется частично заполненная целочисленная сетка \(G\) с \(n\) строками и \(m\) столбцами, в которой заполнены только \(k\) ячеек. Поликарп хочет узнать, сколькими способами он может распределить целые числа по незаполненным ячейкам, чтобы сетка стала красивой.

Однако Монокарп считает, что эта задача слишком проста. Поэтому он выполнит \(q\) обновлений сетки. В каждом обновлении он будет выбирать незаполненную ячейку и присваивать ей целое число. Заметим, что эти обновления перманентны. То есть изменения, внесенные в сетку, будут применяться при обработке будущих обновлений.

Для каждого из \(q + 1\) состояния сетки (начального состояния и после каждого из \(q\) запросов) определите количество способов, которыми Поликарп может присвоить целые числа незаполненным ячейкам, чтобы сетка стала красивой. Поскольку это число может быть очень большим, от вас требуется только вывести их значения по модулю \(10^9+7\).

Входные данные

Каждый тест состоит из нескольких наборов входных данных. Первая строка содержит одно целое число \(t\) (\(1 \le t \le 10^4\)) — количество наборов входных данных. Далее следует описание наборов входных данных.

Первая строка каждого набора входных данных содержит четыре целых числа \(n\), \(m\), \(k\) и \(q\) (\(2 \le n, m \le 10^5\); \(0 \le k \le 10^5\); \(q = 0\)) — количество строк, количество столбцов, количество фиксированных ячеек и количество обновлений.

Следующие \(k\) строк содержат по три целых числа \(r\), \(c\) и \(v\) (\(1 \le r \le n, 1 \le c \le m\); \(0 \le v < 2^{30}\)) — изначально элементу \(G_{r, c}\) присвоено целое число \(v\).

Следующие \(q\) строк содержат по три целых числа \(r\), \(c\) и \(v\) (\(1 \le r \le n, 1 \le c \le m\); \(0 \le v < 2^{30}\)) — данное обновление присваивает элементу \(G_{r, c}\) целое число \(v\).

Гарантируется, что пары \((r,c)\) во всех присваиваниях различны.

Гарантируется, что суммы \(n\), \(m\), \(k\) и \(q\) по всем наборам входных данных не превосходят \(10^5\) соответственно.

Выходные данные

Для каждого набора входных данных выведите \(q + 1\) строку. В \(i\)-й строке вывода должен содержаться ответ для \(i\)-го состояния решетки по модулю \(10^9 + 7\).

Примечание

В первом наборе входных данных мы имеем следующую сетку:

\(0\)\(6\)\(10\)
\(6\)\(0\)\(12\)
\(10\)\(12\)\(?\)

Можно доказать, что единственным допустимым значением для ячейки \((3, 3)\) является \(0\).

E2. Billetes MX (сложная версия)

Бинарный поиск Структуры данных Комбинаторика *2600 графы снм

Это сложная версия задачи. В этой версии гарантируется, что \(q \leq 10^5\). Вы можете совершать взломы только в том случае, если решены обе версии задачи.

Целочисленная сетка \(A\) с \(p\) строками и \(q\) столбцами называется красивой, если:

  • Все элементы сетки являются целыми числами от \(0\) до \(2^{30}-1\), и
  • Для любой подсетки XOR значений в углах равен \(0\). Формально, для любых четырех целых чисел \(i_1\), \(i_2\), \(j_1\), \(j_2\) (\(1 \le i_1 < i_2 \le p\); \(1 \le j_1 < j_2 \le q\)) должно выполняться \(A_{i_1, j_1} \oplus A_{i_1, j_2} \oplus A_{i_2, j_1} \oplus A_{i_2, j_2} = 0\), где \(\oplus\) обозначает операцию побитового исключающего ИЛИ.

Имеется частично заполненная целочисленная сетка \(G\) с \(n\) строками и \(m\) столбцами, в которой заполнены только \(k\) ячеек. Поликарп хочет узнать, сколькими способами он может распределить целые числа по незаполненным ячейкам, чтобы сетка стала красивой.

Однако Монокарп считает, что эта задача слишком проста. Поэтому он выполнит \(q\) обновлений сетки. В каждом обновлении он будет выбирать незаполненную ячейку и присваивать ей целое число. Заметим, что эти обновления перманентны. То есть изменения, внесенные в сетку, будут применяться при обработке будущих обновлений.

Для каждого из \(q + 1\) состояния сетки (начального состояния и после каждого из \(q\) запросов) определите количество способов, которыми Поликарп может присвоить целые числа незаполненным ячейкам, чтобы сетка стала красивой. Поскольку это число может быть очень большим, от вас требуется только вывести их значения по модулю \(10^9+7\).

Входные данные

Каждый тест состоит из нескольких наборов входных данных. Первая строка содержит одно целое число \(t\) (\(1 \le t \le 10^4\)) — количество наборов входных данных. Далее следует описание наборов входных данных.

Первая строка каждого набора входных данных содержит четыре целых числа \(n\), \(m\), \(k\) и \(q\) (\(2 \le n, m \le 10^5\); \(0 \le k, q \leq 10^5\)) — количество строк, количество столбцов, количество фиксированных ячеек и количество обновлений.

Следующие \(k\) строк содержат по три целых числа \(r\), \(c\) и \(v\) (\(1 \le r \le n, 1 \le c \le m\); \(0 \le v < 2^{30}\)) — изначально элементу \(G_{r, c}\) присвоено целое число \(v\).

Следующие \(q\) строк содержат по три целых числа \(r\), \(c\) и \(v\) (\(1 \le r \le n, 1 \le c \le m\); \(0 \le v < 2^{30}\)) — данное обновление присваивает элементу \(G_{r, c}\) целое число \(v\).

Гарантируется, что пары \((r,c)\) во всех присваиваниях различны.

Гарантируется, что суммы \(n\), \(m\), \(k\) и \(q\) по всем наборам входных данных не превосходят \(10^5\) соответственно.

Выходные данные

Для каждого набора входных данных выведите \(q + 1\) строку. В \(i\)-й строке вывода должен содержаться ответ для \(i\)-го состояния решетки по модулю \(10^9 + 7\).

Примечание

В первом наборе входных данных мы изначально имеем следующую сетку:

\(0\)\(6\)\(10\)
\(6\)\(0\)\(12\)
\(10\)\(12\)\(?\)

Можно доказать, что единственным допустимым значением для ячейки \((3, 3)\) является \(0\), поэтому первый ответ — \(1\). Для второго запроса ячейка не удовлетворяет условию, поэтому ответ — \(0\).

B. Пропуск

Бинарный поиск дп *1700 графы кратчайшие пути

На улице уже \(3024\) год, идеи для задач давно закончились, а олимпиады теперь проходят в изменённом индивидуальном формате. Олимпиада состоит из \(n\) задач, пронумерованных от \(1\) до \(n\). \(i\)-я задача имеет свою стоимость \(a_i\) и некоторый параметр \(b_i\) (\(1 \le b_i \le n\)).

Изначально тестирующая система выдаёт участнику первую задачу. Когда участнику выдают \(i\)-ю задачу, у него есть два варианта:

  • Либо он сдаёт задачу и получает \(a_i\) баллов;
  • Либо он может пропустить задачу, тогда он никогда не сможет её сдать.

Далее тестирующая система выбирает для участника следующую задачу среди задач с номерами \(j\), такими что:

  • Если он сдал \(i\)-ю задачу, она смотрит на задачи с номерами \(j < i\);
  • Если он пропустил \(i\)-ю задачу, она смотрит на задачи с номерами \(j \leq b_i\).

Среди этих задач она выбирает задачу с максимальным номером, которую она ранее не выдавала участнику (до этого он её не сдавал и не пропускал). Если такой задачи нет, то соревнование для участника завершается, и его результат равен сумме баллов за все сданные задачи. В частности, если участник сдаёт первую задачу, то соревнование для него завершается. Заметьте, что участник получает каждую задачу максимум один раз.

Прохор тщательно готовился к олимпиаде, и теперь он может сдать любую задачу. Помогите ему определить, какое максимальное количество баллов он может получить.

Входные данные

Каждый тест состоит из нескольких наборов входных данных. Первая строка содержит единственное целое число \(t\) (\(1 \leq t \leq 10^5\)) — количество наборов входных данных. Далее следует описание наборов входных данных.

Первая строка каждого набора входных данных содержит одно целое число \(n\) (\(1 \leq n \leq 4 \cdot 10^5\)) — количество задач на олимпиаде.

Вторая строка каждого набора входных данных содержит \(n\) целых чисел \(a_1, a_2, \ldots, a_n\) (\(1 \leq a_i \leq 10^9\)) — стоимости задач.

Третья строка каждого набора входных данных содержит \(n\) целых чисел \(b_1, b_2, \ldots, b_n\) (\(1 \leq b_i \leq n\)) — параметры задач.

Гарантируется, что сумма \(n\) по всем наборам входных данных не превосходит \(4 \cdot 10^5\).

Выходные данные

Для каждого набора входных данных выведите единственное целое число — максимальное количество баллов, которое может получить Прохор.

Примечание

В первом наборе входных данных Прохор может пропустить первую задачу, тогда он получит задачу с номером \(b_1 = 2\). Прохор может сдать её и получить \(a_2 = 16\) баллов. После этого соревнование завершится, потому что Прохор уже получал все задачи. Обратите внимание, что если Прохор сдаст первую задачу, то он получит \(a_1 = 15\) баллов, но соревнование сразу завершится.

Во втором наборе входных данных Прохор может пропустить первую задачу, тогда он получит задачу с номером \(b_1 = 3\). Прохор может сдать её и получить \(a_3 = 100\) баллов. После этого Прохор получит вторую задачу, которую он может пропустить и получить задачу с номером \(b_2 = 4\). Прохор может сдать четвёртую задачу и получить ещё \(a_4 = 100\) баллов. После этого соревнование завершается, потому что Прохор уже получал все задачи с номерами, не превосходящими \(4\). Таким образом, суммарно Прохор получит \(200\) баллов.

В третьем наборе входных данных Прохор может сдать первую задачу и получить \(100\) баллов, после чего соревнование сразу завершится.

B. Покупка лимонада

Бинарный поиск Конструктив *1100 сортировки

Есть вендинговый аппарат, в котором продаётся лимонад. Всего в аппарате есть \(n\) ячеек. Вы знаете, что изначально в \(i\)-й ячейке находится \(a_i\) банок лимонада. Также в аппарате есть \(n\) кнопок, каждая кнопка соответствует какой-то ячейке, при этом каждой ячейке соответствует ровно одна кнопка. К сожалению, обозначения на кнопках стёрлись, поэтому вы не знаете, какая кнопка соответствует какой ячейке.

Когда вы нажимаете на кнопку, соответствующую \(i\)-й ячейке, происходит одно из двух событий:

  • Если в \(i\)-й ячейке есть банка лимонада, то она выпадет, и вы заберёте её себе. При этом количество банок лимонада в \(i\)-й ячейке уменьшится на \(1\).
  • Если в \(i\)-й ячейке не осталось банок лимонада, то ничего не выпадет.

После нажатия банка выпадает так быстро, что отследить, из какой именно ячейки она выпала, невозможно. Содержимое ячеек скрыто от ваших глаз, поэтому вы не можете видеть, сколько банок осталось в каждой из ячеек. Единственное, что вам известно, это изначальные количества банок в ячейках: \(a_1, a_2, \ldots, a_n\).

Определите минимальное количество нажатий на кнопки, которое нужно сделать, чтобы гарантированно получить хотя бы \(k\) банок лимонада.

Обратите внимание, что вы можете адаптировать свою стратегию в процессе нажатия на кнопки, основываясь на том, выпала вам банка или нет. Гарантируется, что всего в аппарате есть хотя бы \(k\) банок лимонада. Иными словами, \(k \leq a_1 + a_2 + \ldots + a_n\).

Входные данные

Каждый тест состоит из нескольких наборов входных данных. Первая строка содержит единственное целое число \(t\) (\(1 \le t \le 10^4\)) — количество наборов входных данных. Далее следует описание наборов входных данных.

Первая строка каждого набора входных данных содержит два целых числа \(n\) и \(k\) (\(1 \le n \le 2 \cdot 10^5\), \(1 \leq k \leq 10^9\)) — количество ячеек в аппарате и необходимое количество банок лимонада.

Вторая строка каждого набора входных данных содержит \(n\) целых чисел \(a_1, a_2, \ldots, a_n\) (\(1 \le a_i \le 10^9\)) — количества банок в ячейках.

Гарантируется, что \(k \leq a_1 + a_2 + \ldots + a_n\), то есть всего в аппарате есть хотя бы \(k\) банок лимонада.

Гарантируется, что сумма \(n\) по всем наборам входных данных не превосходит \(2 \cdot 10^5\).

Выходные данные

Для каждого набора входных данных выведите одно целое число — минимальное количество нажатий на кнопки, которое нужно сделать, чтобы гарантированно получить хотя бы \(k\) банок лимонада.

Примечание

В первом наборе входных данных мы можем просто нажать на первую кнопку и получить банку лимонада.

Во втором наборе входных данных мы можем нажать на каждую кнопку по одному разу и гарантированно получить \(2\) банки лимонада. Обратите внимание, что если мы просто нажмём на какую-то одну кнопку два раза, то нам может не повезти, и эта кнопка будет соответствовать первой ячейке, и тогда мы получим только \(1\) банку лимонада за два нажатия.

В третьем наборе входных данных одна из оптимальных стратегий такова:

Нажимаем на первую кнопку дважды. После первого нажатия гарантированно выпадет банка лимонада. Далее есть два варианта:

  • Если после второго нажатия не выпала банка лимонада, то мы знаем, что эта кнопка обязательно соответствует второй ячейке, так как \(a_2 = 1\) и \(a_1, a_3 > 1\). Тогда мы можем нажать на вторую кнопку два раза, а на третью кнопку один раз. Так как \(a_1, a_3 \geq 2\), то мы гарантированно получим три банки лимонада за эти три нажатия. Таким образом, за \(5\) нажатий мы получим \(4\) банки лимонада.
  • Если после второго нажатия выпала банка лимонада, то мы можем сделать одно нажатие на вторую кнопку и одно нажатие на третью кнопку. После каждого из этих нажатий мы гарантированно получим банку лимонада. Таким образом, за \(4\) нажатия мы получим \(4\) банки лимонада.

Можно показать, что за \(4\) нажатия невозможно гарантированно получить \(4\) банки лимонада, поэтому ответ \(5\).

A. Два экрана

Строки Бинарный поиск жадные алгоритмы *800

Рассмотрим два экрана, которые могут отображать последовательности заглавных латинских букв. Изначально оба экрана ничего не отображают.

За одну секунду вы можете выполнить одно из следующих двух действий:

  • выбрать экран и заглавную латинскую букву, и добавить эту букву в конец последовательности, отображаемой на этом экране;
  • выбрать экран и скопировать последовательность с него на другой экран, перезаписывая последовательность, которая была отображена на другом экране.

Вам нужно вычислить минимальное количество секунд, которое вам нужно потратить, чтобы первый экран отображал последовательность \(s\), а второй экран отображал последовательность \(t\).

Входные данные

В первой строке задано одно целое число \(q\) (\(1 \le q \le 500\)) — количество наборов входных данных.

Каждый набор входных данных состоит из двух строк. Первая строка содержит последовательность \(s\), а вторая строка содержит последовательность \(t\) (\(1 \le |s|, |t| \le 100\)). Обе последовательности состоят из заглавных латинских букв.

Выходные данные

Для каждого набора входных данных выведите одно целое число — минимально возможное количество секунд, которое вам нужно потратить, чтобы первый экран отображал последовательность \(s\), а второй экран отображал последовательность \(t\).

Примечание

В первом наборе входных данных возможна следующая последовательность действий:

  • потратить \(6\) секунд, чтобы написать последовательность GARAGE на первом экране;
  • скопировать последовательность с первого экрана на второй экран;
  • потратить \(7\) секунд, чтобы завершить последовательность на втором экране, написав FORSALE.

Во втором наборе входных данных возможна следующая последовательность действий:

  • потратить \(1\) секунду, чтобы написать последовательность A на втором экране;
  • скопировать последовательность со второго экрана на первый экран;
  • потратить \(4\) секунды, чтобы завершить последовательность на первом экране, написав BCDE;
  • потратить \(4\) секунды, чтобы завершить последовательность на втором экране, написав ABCD.

В третьем наборе входных данных самый быстрый способ — это набрать оба сообщения по одному символу, что займет \(16\) секунд.

C. Новая игра

Бинарный поиск Перебор реализация жадные алгоритмы сортировки *1300

Монокарп решил сыграть в новую игру. Для игры используется колода из \(n\) карточек, причем на \(i\)-й карточке записано ровно одно целое число \(a_i\).

В начале игры на первом ходе Монокарп может взять себе любую карточку из колоды. В процессе каждого следующего хода Монокарп может взять себе ровно одну карточку, на которой записано либо такое же число, которое было записано на карточке, взятой на предыдущем ходе, либо число на единицу большее, чем число, которое было записано на карточке, взятой на предыдущем ходе.

Иными словами, если на предыдущем ходе Монокарп взял себе карточку, на которой записано число \(x\), то на текущем ходе он может взять себе либо карточку, на которой записано число \(x\), либо карточку, на которой записано число \(x + 1\). Монокарп может взять любую карточку, которая удовлетворяет этим условиям, независимо от того, где именно она в колоде.

После того как Монокарп взял себе карточку на очередном ходе, она удаляется из колоды.

По правилам игры количество различных чисел, записанных на карточках, которые Монокарп забрал себе, не должно превышать \(k\).

Если после очередного хода Монокарп не может взять карточку, не нарушая описанных правил, игра заканчивается.

Перед вами стоит задача определить максимальное количество карточек, которые Монокарп может забрать себе из колоды в процессе игры, если на первом ходе он может взять любую карточку из колоды.

Входные данные

Первая строка содержит одно целое число \(t\) (\(1 \le t \le 10^4\)) — количество наборов входных данных.

Первая строка каждого набора содержит два целых числа \(n\) и \(k\) (\(1 \le k \le n \le 200\,000\)) — количество карточек в колоде и максимальное количество различных чисел, которые могут быть записаны на карточках, которые Монокарп забирает себе.

Во второй строке следует последовательность целых чисел \(a_1, a_2, \dots, a_n\) (\(1 \le a_i \le 10^{9}\)), где \(a_i\) равно числу, которое записано на \(i\)-й карточке.

Дополнительное ограничение на входные данные: сумма \(n\) по всем наборам входных данных не превосходит \(200\,000\).

Выходные данные

Для каждого набора входных данных выведите максимальное количество карточек, которые Монокарп может забрать себе из колоды в процессе игры, если на первом ходе он может взять любую карточку из колоды.

Примечание

В первом примере Монокарпу нужно взять себе любую из карточек, на которых записано число \(3\). В процессе двух следующих ходов ему нужно взять себе две оставшиеся в колоде карточки, на которых записано число \(3\). В процессе трех следующих ходов ему нужно взять себе три карточки, на которых записано число \(4\). После этого Монокарп не сможет взять ни одной карточки из колоды, при этом у него будет \(6\) карточек.

B. Черные клетки

Бинарный поиск Перебор Конструктив жадные алгоритмы *1300

Задана полоска, разделенная на клетки, клетки пронумерованы слева направо от \(0\) до \(10^{18}\). Изначально все клетки белые.

Вы можете выполнять следующее действие: выбрать две белые клетки \(i\) и \(j\), такие что \(i \ne j\) и \(|i - j| \le k\), и покрасить их в черный цвет.

Задан список \(a\). Все клетки из этого списка должны быть покрашены в чёрный. Также в черный цвет может быть покрашено не более одной клетки, не входящей в этот список. Ваша задача — определить, для какого минимального значения \(k\) это возможно.

Входные данные

Первая строка содержит одно целое число \(t\) (\(1 \le t \le 500\)) — количество наборов входных данных.

Первая строка каждого набора содержит одно целое число \(n\) (\(1 \le n \le 2000\)).

Вторая строка содержит \(n\) целых чисел \(a_1, a_2, \dots, a_n\) (\(0 < a_i < 10^{18}\); \(a_i < a_{i + 1}\)).

Дополнительное ограничение на входные данные: сумма \(n\) по всем наборам входных данных не превосходит \(2000\).

Выходные данные

Для каждого набора входных данных выведите одно целое число — минимальное значение \(k\), для которого возможно покрасить все заданные клетки.

Примечание

В первом наборе входных данных с параметром \(k=1\) можно покрасить клетки \((1, 2)\).

Во втором наборе входных данных с параметром \(k=1\) можно покрасить клетки \((7, 8)\).

В третьем наборе входных данных с параметром \(k=2\) можно покрасить клетки \((2, 4)\) и \((8, 9)\).

В четвертом наборе входных данных с параметром \(k=3\) можно покрасить клетки \((0, 1)\), \((5, 8)\) и \((10, 13)\).

C. Коллекционные фигурки

Бинарный поиск Перебор Структуры данных Конструктив реализация *1500 жадные алгоритмы

Рядом с домом Монокарпа есть магазин, в котором продаются коллекционные фигурки. Скоро выйдет новый набор фигурок; в этом наборе содержится \(n\) фигурок, \(i\)-я фигурка стоит \(i\) монет и доступна для покупки с \(i\)-го дня по \(n\)-й день.

Для каждого из следующих \(n\) дней Монокарп знает, может ли он посетить магазин в этот день.

Каждый раз, когда Монокарп посещает магазин, он может купить любое количество фигурок, которые продаются в магазине (конечно, он не может купить фигурку, которая еще не доступна для покупки). Если Монокарп покупает хотя бы две фигурки в один день, он получает скидку, равную стоимости самой дорогой фигурки, которую он покупает (другими словами, он получает самую дорогую из фигурок, которые он покупает, бесплатно).

Монокарп хочет купить ровно одну \(1\)-ю фигурку, одну \(2\)-ю фигурку, ..., одну \(n\)-ю фигурку из набора. Он не может купить одну и ту же фигурку дважды. Какова минимальная сумма денег, которую он должен потратить?

Входные данные

Первая строка содержит одно целое число \(t\) (\(1 \le t \le 10^4\)) — количество наборов входных данных.

Каждый набор входных данных состоит из двух строк:

  • первая строка содержит одно целое число \(n\) (\(1 \le n \le 4 \cdot 10^5\)) — количество фигурок в наборе (и количество дней);
  • вторая строка содержит строку \(s\) (\(|s| = n\), каждый \(s_i\) равен либо 0, либо 1). Если Монокарп может посетить магазин в \(i\)-й день, то \(s_i\) равно 1; в противном случае \(s_i\) равно 0.

Дополнительные ограничения на входные данные:

  • в каждом наборе входных данных \(s_n\) равно 1, так что Монокарп всегда сможет купить все фигурки в \(n\)-й день;
  • сумма \(n\) по всем наборам входных данных не превышает \(4 \cdot 10^5\).
Выходные данные

Для каждого набора входных данных выведите одно целое число — минимальную сумму денег, которую Монокарп должен потратить.

Примечание

В первом наборе входных данных Монокарп покупает \(1\)-ю фигурку в \(1\)-й день и тратит \(1\) монету.

Во втором наборе входных данных Монокарп может купить \(1\)-ю и \(3\)-ю фигурки в \(3\)-й день, \(2\)-ю и \(4\)-ю фигурки в \(4\)-й день, а также \(5\)-ю и \(6\)-ю фигурки в \(6\)-й день. Тогда он потратит \(1+2+5=8\) монет.

В третьем наборе входных данных Монокарп может купить \(2\)-ю и \(3\)-ю фигурки в \(3\)-й день, а все остальные фигурки в \(7\)-й день. Тогда он потратит \(1+2+4+5+6 = 18\) монет.

D. Суммы на отрезках

Бинарный поиск Структуры данных математика реализация дп *1900

Дана последовательность целых чисел \([a_1, a_2, \dots, a_n]\). Обозначим \(s(l,r)\) как сумму элементов от \(a_l\) до \(a_r\) (т. е. \(s(l,r) = \sum\limits_{i=l}^{r} a_i\)).

Построим другую последовательность \(b\) размером \(\frac{n(n+1)}{2}\) следующим образом: \(b = [s(1,1), s(1,2), \dots, s(1,n), s(2,2), s(2,3), \dots, s(2,n), s(3,3), \dots, s(n,n)]\).

Например, если \(a = [1, 2, 5, 10]\), то \(b = [1, 3, 8, 18, 2, 7, 17, 5, 15, 10]\).

Вам даны \(q\) запросов. В \(i\)-м запросе вам даны два целых числа \(l_i\) и \(r_i\), и вам нужно вычислить \(\sum \limits_{j=l_i}^{r_i} b_j\).

Входные данные

Первая строка содержит одно целое число \(n\) (\(1 \le n \le 3 \cdot 10^5\)).

Вторая строка содержит \(n\) целых чисел \(a_1, a_2, \dots, a_n\) (\(-10 \le a_i \le 10\)).

Третья строка содержит одно целое число \(q\) (\(1 \le q \le 3 \cdot 10^5\)).

Затем следуют \(q\) строк, \(i\)-я из которых содержит два целых числа \(l_i\) и \(r_i\) (\(1 \le l_i \le r_i \le \frac{n(n+1)}{2}\)).

Выходные данные

Выведите \(q\) целых числа, \(i\)-е из которых должно быть равно \(\sum \limits_{j=l_i}^{r_i} b_j\).

D1. Финальный диалог (простая версия)

Бинарный поиск реализация дп жадные алгоритмы *1700 графы

Это простая версия задачи. Единственное отличие заключается в том, что в этой версии вам нужно вывести только минимальную суммарную стоимость операций. Вы можете делать взломы, только если обе версии задачи решены.

Даны массив \(a\) длины \(n\) и массив \(b\) длины \(m\) (\(b_i > b_{i+1}\) для всех \(1 \le i < m\)). Изначально значение \(k\) равно \(1\). Ваша цель — сделать массив \(a\) пустым, выполняя операции двух типов:

  • \(1\) тип: Если значение \(k\) меньше \(m\) и массив \(a\) не пуст, вы можете увеличить значение \(k\) на \(1\). Это не влечет за собой никаких затрат.
  • \(2\) тип: Удалить непустой префикс массива \(a\), такой, что его сумма не превосходит \(b_k\). Стоимость этой операции равна \(m - k\).

Вам нужно минимизировать суммарную стоимость последовательности операций, в результате которой массив \(a\) станет пустым. Если сделать массив пустым невозможно, выведите \(-1\). В противном случае выведите минимальную суммарную стоимость операций.

Входные данные

Каждый тест состоит из нескольких наборов входных данных. Первая строка содержит одно целое число \(t\) (\(1 \le t \le 1000\)) — количество наборов входных данных. Далее следует описание наборов входных данных.

Первая строка каждого набора входных данных содержит два целых числа \(n\) и \(m\) (\(1 \le n, m \le 3 \cdot 10^5\), \(\boldsymbol{1 \le n \cdot m \le 3 \cdot 10^5}\)).

Вторая строка каждого набора входных данных содержит \(n\) целых чисел \(a_1, a_2, \ldots, a_n\) (\(1 \le a_i \le 10^9\)).

Третья строка каждого набора входных данных содержит \(m\) целых чисел \(b_1, b_2, \ldots, b_m\) (\(1 \le b_i \le 10^9\)). Гарантируется, что \(b_i > b_{i+1}\) для всех \(1 \le i < m\).

Гарантируется, что сумма \(\boldsymbol{n \cdot m}\) по всем наборам входных данных не превосходит \(3 \cdot 10^5\).

Выходные данные

Для каждого набора входных данных, если возможно сделать \(a\) пустым, выведите минимальную суммарную стоимость операций.

Если не существует последовательности операций, которая делает \(a\) пустым, то выведите одно число \(-1\).

Примечание

В первом наборе входных данных оптимальная последовательность операций, имеющая стоимость \(1\), выглядит следующим образом:

  • Выполните операцию типа \(2\). Выберите префикс \([9]\). Эта операция стоит \(1\).
  • Выполните операцию типа \(1\). Значение \(k\) теперь равно \(2\). Это не влечет за собой никаких затрат.
  • Выполните операцию типа \(2\). Выберите префикс \([3, 4]\). Эта операция стоит \(0\).
  • Выполните операцию типа \(2\). Выберите префикс \([3]\). Эта операция стоит \(0\).
  • Массив \(a\) стал пустым, а суммарная стоимость всех операций равна \(1\).

Во втором наборе входных данных невозможно удалить ни одного префикса массива, так как \(a_1 > b_1\), поэтому массив \(a\) нельзя сделать пустым ни одной последовательностью операций.

D2. Финальный диалог (сложная версия)

Бинарный поиск Структуры данных реализация дп жадные алгоритмы *2200

Это сложная версия задачи. Единственное отличие заключается в том, что в этой версии вам также нужно вывести количество оптимальных последовательностей операций. Вы можете делать взломы, только если обе версии задачи решены.

Даны массив \(a\) длины \(n\) и массив \(b\) длины \(m\) (\(b_i > b_{i+1}\) для всех \(1 \le i < m\)). Изначально значение \(k\) равно \(1\). Ваша цель — сделать массив \(a\) пустым, выполняя операции двух типов:

  • \(1\) тип: Если значение \(k\) меньше \(m\) и массив \(a\) не пуст, вы можете увеличить значение \(k\) на \(1\). Это не влечет за собой никаких затрат.
  • \(2\) тип: Удалить непустой префикс массива \(a\), такой, что его сумма не превосходит \(b_k\). Стоимость этой операции равна \(m - k\).

Вам нужно минимизировать суммарную стоимость последовательности операций, в результате которой массив \(a\) станет пустым. Если сделать массив пустым невозможно, выведите \(-1\). В противном случае выведите минимальную суммарную стоимость операций, а также количество последовательностей операций, имеющих минимальную стоимость. Так как это количество может быть очень большим, выведите остаток от его деления на \(10^9 + 7\).

Две последовательности операций считаются различными, если на любом шаге выбран другой тип операции или отличается размер удаляемого префикса.

Входные данные

Каждый тест состоит из нескольких наборов входных данных. Первая строка содержит одно целое число \(t\) (\(1 \le t \le 1000\)) — количество наборов входных данных. Далее следует описание наборов входных данных.

Первая строка каждого набора входных данных содержит два целых числа \(n\) и \(m\) (\(1 \le n, m \le 3 \cdot 10^5\), \(\boldsymbol{1 \le n \cdot m \le 3 \cdot 10^5}\)).

Вторая строка каждого набора входных данных содержит \(n\) целых чисел \(a_1, a_2, \ldots, a_n\) (\(1 \le a_i \le 10^9\)).

Третья строка каждого набора входных данных содержит \(m\) целых чисел \(b_1, b_2, \ldots, b_m\) (\(1 \le b_i \le 10^9\)). Гарантируется, что \(b_i > b_{i+1}\) для всех \(1 \le i < m\).

Гарантируется, что сумма \(\boldsymbol{n \cdot m}\) по всем наборам входных данных не превосходит \(3 \cdot 10^5\).

Выходные данные

Для каждого набора входных данных, если можно сделать \(a\) пустым, выведите два целых числа. Первое должно быть минимальной общей стоимостью операций, а второе — количеством последовательностей операций, которые достигают этой минимальной стоимости, по модулю \(10^9 + 7\).

Если не существует последовательности операций, которая делает \(a\) пустым, то выведите одно число \(-1\).

Примечание

В первом наборе входных данных существует \(3\) оптимальных последовательностей операций, которые имеют стоимость \(1\):

  • Все \(3\) последовательности начинаются с операции типа \(2\), удаляющей префикс \([9]\), чтобы сделать \(a = [3, 4, 3]\), и данная операция имеет стоимость \(1\). Затем мы выполняем операцию типа \(1\), чтобы увеличить значение \(k\) на \(1\). Все последующие операции теперь имеют стоимость \(0\).
  • Одна последовательность продолжается удалением префикса \([3, 4]\), затем \([3]\).
  • Другая последовательность продолжается удалением префикса \([3]\), затем \([4, 3]\).
  • Другая последовательность продолжается удалением префикса \([3]\), затем \([4]\), затем \([3]\).

Во втором наборе входных данных невозможно удалить ни одного префикса массива, так как \(a_1 > b_1\), поэтому массив \(a\) нельзя сделать пустым ни одной последовательностью операций.

B. Приключения Алисы в перестановках

Бинарный поиск математика реализация *1400

Алиса перепутала слова трансмутация и перестановка! У неё есть массив \(a\), заданный тремя целыми числами \(n\), \(b\), \(c\): массив \(a\) имеет длину \(n\) и задаётся по правилу \(a_i = b\cdot (i - 1) + c\) для \(1\le i\le n\). Например, если \(n=3\), \(b=2\) и \(c=1\), то \(a=[2 \cdot 0 + 1, 2 \cdot 1 + 1, 2 \cdot 2 + 1] = [1, 3, 5]\).

Алисе очень нравятся перестановки \([0, \ldots, n-1]\)\(^{\text{∗}}\) и она хотела бы преобразовать \(a\) в перестановку. В одной операции Алиса заменяет максимальный элемент массива \(a\) на \(\operatorname{MEX}\)\(^{\text{†}}\) массива \(a\). Если в массиве \(a\) несколько максимальных элементов, Алиса выбирает самый левый для замены.

Можете ли вы помочь Алисе выяснить, сколько операций ей нужно выполнить, чтобы \(a\) впервые стал перестановкой? Если это невозможно, вы должны сообщить об этом.

\(^{\text{∗}}\)Перестановкой длины \(n\) является массив, состоящий из \(n\) различных целых чисел от \(0\) до \(n-1\) в произвольном порядке. Обратите внимание, это немного отличается от обычного определения перестановки. Например, \([1,2,0,4,3]\) — перестановка, но \([0,1,1]\) не перестановка (\(1\) встречается в массиве дважды) и \([0,2,3]\) тоже не перестановка (\(n=3\), но в массиве встречается \(3\)).

\(^{\text{†}}\)\(\operatorname{MEX}\) массива — это наименьшее неотрицательное целое число, которое не принадлежит массиву. Например, \(\operatorname{MEX}\) массива \([0, 3, 1, 3]\) равно \(2\), а \(\operatorname{MEX}\) массива \([5]\) равно \(0\).

Входные данные

Каждый тест состоит из нескольких наборов входных данных. В первой строке находится одно целое число \(t\) (\(1 \le t \le 10^5\)) — количество наборов входных данных. Далее следует описание наборов входных данных.

Единственная строка каждого набора входных данных содержит три целых числа \(n\), \(b\), \(c\) (\(1\le n\le 10^{18}\); \(0\le b\), \(c\le 10^{18}\)) — параметры массива.

Выходные данные

Для каждого набора входных данных, если массив никогда не сможет стать перестановкой, выведите одно целое число \(-1\). В противном случае выведите минимальное количество операций, необходимых для того, чтобы массив стал перестановкой.

Примечание

В первом наборе входных данных массив уже \([0, 1, \ldots, 9]\), поэтому операции не требуются.

В третьем наборе входных данных начальный массив равен \([1, 3, 5, \ldots, 199]\). После первой операции \(199\) преобразуется в \(0\). Во второй операции \(197\) преобразуется в \(2\). Если продолжать, потребуется ровно \(50\) операций, чтобы получить массив \([0, 1, 2, 3, \ldots, 99]\).

В четвертом наборе входных данных требуется две операции: \([1,1,1] \to [0,1,1] \to [0,2,1]\).

В пятом наборе входных данных процесс выглядит следующим образом: \([0,0,0] \to [1,0,0] \to [2,0,0] \to [1,0,0] \to [2,0,0]\). Этот процесс повторяется бесконечно, поэтому массив никогда не становится перестановкой, и ответ равен \(-1\).

C. Приключения Алисы в нарезании торта

Бинарный поиск *1600 дп жадные алгоритмы

Алиса на чаепитии у Безумного Шляпника! Есть длинный прямоугольный торт, состоящий из \(n\) секций с вкусностями \(a_1, a_2, \ldots, a_n\). На чаепитии присутствуют \(m\) существ, не считая Алисы.

Алиса нарежет торт на \(m + 1\) кусочков. Формально, она разделит торт на \(m + 1\) подмассивов, где каждый подмассив состоит из некоторого количества смежных секций. Вкусность кусочка равна сумме вкусностей секций в нем. После этого она распределит эти \(m + 1\) кусочков между \(m\) существами и собой (её кусок может быть пустым). Однако каждое из \(m\) существ будет довольно только в случае, если вкусность его кусочка будет \(v\) или больше.

Алиса хочет, чтобы каждое существо было довольно. При этом условии она хочет максимизировать вкусность своего собственного куска. Можете ли вы помочь Алисе найти максимальную вкусность, которую может иметь её кусок? Если нет способа сделать так, чтобы каждое существо было довольно, выведите \(-1\).

Входные данные

Каждый тест состоит из нескольких наборов входных данных. В первой строке находится одно целое число \(t\) (\(1 \le t \le 10^4\)) — количество наборов входных данных. Далее следует описание наборов входных данных.

Первая строка каждого набора входных данных содержит три целых числа \(n, m, v\) (\(1\le m\le n\le 2\cdot 10^5\); \(1\le v\le 10^9\)) — количество секций, количество существ и минимальные требования существ к вкусу.

Вторая строка содержит \(n\) целых чисел \(a_1, a_2, \ldots, a_n\) (\(1 \le a_i \le 10^9\)) — вкусности секций.

Сумма значений \(n\) по всем наборам входных данных не превосходит \(2\cdot 10^5\).

Выходные данные

Для каждого набора входных данных выведите максимальную вкусность, которую Алиса может достичь для своего куска, или \(-1\), если нет способа сделать так, чтобы каждое существо было довольно.

Примечание

Для первого набора входных данных Алиса может отдать первую и вторую секции как отдельные куски, а затем взять оставшиеся секции общей вкусностью \(10 + 1 + 1 + 10 = 22\) себе. Мы можем показать, что лучше она сделать не может.

Для второго набора входных данных Алиса может отдать первую и вторую секции как один кусок, а шестую секцию как один кусок. Она может затем взять секции общей стоимостью \(10 + 1 + 1 = 12\) вкусностью себе. Мы можем показать, что лучше она сделать не может.

Для седьмого набора входных данных Алиса не может дать каждому существу кусок вкусностью не менее \(12\).

C. Новый рейтинг

Бинарный поиск Структуры данных дп жадные алгоритмы *1700

Привет, Codeforces Forcescode!
 

Кевин раньше был участником Codeforces. Недавно команда KDOI разработала новый сайт под названием Forcescode.

Кевин принял участие в \(n\) соревнованиях на Forcescode. В \(i\)-м соревновании его рейтинг выступления равен \(a_i\).

Теперь он взломал бэкенд Forcescode и выберет отрезок \([l,r]\) (\(1\le l\le r\le n\)), после чего он пропустит все соревнования в этом отрезке. После этого его рейтинг будет пересчитан следующим образом:

  • Изначально его рейтинг равен \(x=0\);
  • Для каждого \(1\le i\le n\), после \(i\)-го соревнования,
    • Если \(l\le i\le r\), это соревнование будет пропущено, и рейтинг не изменится;
    • В противном случае его рейтинг будет обновлен в соответствии со следующими правилами:
      • Если \(a_i>x\), его рейтинг \(x\) увеличится на \(1\);
      • Если \(a_i=x\), его рейтинг \(x\) останется без изменений;
      • Если \(a_i<x\), его рейтинг \(x\) уменьшится на \(1\).

Вам нужно помочь Кевину найти его максимальный возможный рейтинг после пересчета, если он оптимально выберет отрезок \([l,r]\). Обратите внимание, что Кевин должен пропустить как минимум одно соревнование.

Входные данные

Каждый тест состоит из нескольких наборов входных данных. В первой строке находится одно целое число \(t\) (\(1\le t\le 5\cdot 10^4\)) — количество наборов входных данных. Далее следует описание наборов входных данных.

Первая строка каждого набора входных данных содержит одно целое число \(n\) (\(1\le n\le 3\cdot 10^5\)) — количество соревнований.

Вторая строка каждого набора входных данных содержит \(n\) целых чисел \(a_1,a_2,\ldots,a_n\) (\(1\le a_i\le n\)) — рейтинги выступления Кевина в соревнованиях.

Гарантируется, что сумма \(n\) по всем наборам входных данных не превышает \(3 \cdot 10^5\).

Выходные данные

Для каждого набора входных данных выведите одно целое число — максимальный возможный рейтинг после пересчета, если Кевин выберет интервал оптимально.

Примечание

В первом наборе входных данных Кевин должен пропустить как минимум одно соревнование. Если он выберет любой отрезок длины \(1\), его рейтинг после пересчета будет равен \(5\).

Во втором наборе входных данных оптимальный выбор Кевина — отрезок \([3,5]\). Во время пересчета его рейтинг изменяется следующим образом:

\(\) 0 \xrightarrow{a_1=1} 1 \xrightarrow{a_2=2} 2 \xrightarrow{\mathtt{skip}} 2 \xrightarrow{\mathtt{skip}} 2 \xrightarrow{\mathtt{skip}} 2 \xrightarrow{a_6=3} 3 \xrightarrow{a_7=4} 4 \(\)

В третьем наборе входных данных Кевин должен пропустить единственное соревнование, поэтому его рейтинг останется равным \(0\).

В четвертом наборе входных данных оптимальный выбор Кевина — отрезок \([7,9]\). Во время пересчета его рейтинг изменяется следующим образом:

\(\) 0 \xrightarrow{a_1=9} 1 \xrightarrow{a_2=9} 2 \xrightarrow{a_3=8} 3 \xrightarrow{a_4=2} 2 \xrightarrow{a_5=4} 3 \xrightarrow{a_6=4} 4 \xrightarrow{\mathtt{skip}} 4 \xrightarrow{\mathtt{skip}} 4 \xrightarrow{\mathtt{skip}} 4 \(\)

В пятом наборе входных данных оптимальный выбор Кевина — отрезок \([5,9]\).

F. Орангутано-одобренный массив

Бинарный поиск Структуры данных реализация дп жадные алгоритмы *2400

Предположим, у вас есть массив \(b\). Изначально у вас также есть множество \(S\), которое содержит все различные элементы массива \(b\). Массив \(b\) называется орангутано-одобренным, если его можно сделать пустым, выполняя следующую операцию:

  • Выбрать индексы \(l\) и \(r\) (\(1 \leq l \leq r \leq |b|\)) такие, что \(v = b_l = b_{l+1} = \ldots = b_r\) и \(v\) присутствует в \(S\). Удалить \(v\) из \(S\), а также удалить все \(b_i\), для которых \(l \leq i \leq r\). Затем подвинуть элементы \(b_{r+1}, b_{r+2}, \ldots\) влево на позиции \(b_l, b_{l+1}, \ldots\) соответственно.

Вам дан массив \(a\) длины \(n\) и \(q\) запросов.

Каждый запрос состоит из двух индексов \(l\) и \(r\) (\(1 \le l \le r \le n\)), и вам нужно определить, является ли подмассив \(a_{l}, a_{l+1}, \ldots, a_r\) орангутано-одобренным.

Входные данные

Каждый тест состоит из нескольких наборов входных данных. Первая строка содержит одно целое число \(t\) (\(1 \leq t \leq 10^4\)) — количество наборов входных данных. Далее следует описание наборов входных данных.

Первая строка каждого набора входных данных содержит два целых числа \(n\) и \(q\) (\(1 \leq n,q \leq 2 \cdot 10^5\)) — длину \(a\) и количество запросов, соответственно.

Следующая строка содержит \(n\) целых чисел \(a_1, a_2, \ldots, a_n\) (\(1 \leq a_i \leq n\)) — элементы массива \(a\).

Следующие \(q\) строк содержат по два целых числа \(l\) и \(r\) — концы подмассивов для каждого запроса (\(1 \leq l \leq r \leq n\)).

Гарантируется, что сумма \(n\) и \(q\) по всем наборам входных данных не превосходит \(2 \cdot 10^5\).

Выходные данные

Для каждого запроса выведите «YES» (без кавычек), если подмассив от \(l\) до \(r\) является орангутано-одобренным, и «NO» (без кавычек) в противном случае.

Вы можете выводить каждую букву в любом регистре (строчную или заглавную). Например, строки «yEs», «yes», «Yes» и «YES» будут приняты как положительный ответ.

Примечание

В первом запросе первого набора входных данных ответ — YES.

  • Изначально \(S=\{1,2\}\) и \(b=[1,2,2,1]\).
  • Выберите \(l=2\) и \(r=3\). Поскольку \(b_2=b_3=2\) находится в \(S\), мы можем удалить \(b_2\) и \(b_3\) из массива, а также удалить \(2\) из \(S\). Множество \(S\) становится \(\{1\}\), а массив — \([1,1]\).
  • Выберите \(l=1\) и \(r=2\). Поскольку \(b_1=b_2=1\) находится в \(S\), мы можем удалить \(b_1\) и \(b_2\) из массива, а также удалить \(1\) из \(S\). Множество \(S\) становится \(\{\}\), а массив — \([]\).
  • Поскольку массив теперь пуст, мы можем сказать, что исходный массив — орангутано-одобренный

В первом запросе второго набора входных данных ответ — NO, потому что можно показать, что подмассив \([2,1,2,1]\) не может стать пустым ни при какой последовательности корректных операций.

D. Пенчик и пустынный кролик

Бинарный поиск Структуры данных реализация дп поиск в глубину и подобное жадные алгоритмы *1700 снм

Пенчик бросил себе вызов — выжить под полуденным солнцем в Аравийской пустыне!

На линейном оазисе в ряд растёт \(n\) пальм, обозначим их высоты \(a_i\). Во время прогулки Пенчик заметил пустынного кролика, который готовится прыгнуть вдоль линии пальм.

Кролик может перепрыгнуть с \(i\)-го дерева на \(j\)-е, если верно ровно одно из следующих условий:

  • \(j < i\) и \(a_j > a_i\): кролик может прыгнуть назад на более высокое дерево.
  • \(j > i\) и \(a_j < a_i\): кролик может прыгнуть вперёд на более низкое дерево.

Для каждого \(i\) от \(1\) до \(n\) определите максимальную высоту среди всех деревьев, которые может достичь кролик, если он начнёт с \(i\)-го дерева.

Входные данные

Каждый тест состоит из нескольких наборов входных данных. Первая строка содержит одно целое число \(t\) (\(1 \le t \le 5 \cdot 10^5\)) — количество наборов входных данных. Далее следует описание наборов входных данных.

Первая строка каждого набора входных данных содержит одно целое число \(n\) (\(1 \leq n \leq 5 \cdot 10^5\)) — количество деревьев.

Вторая строка каждого набора входных данных содержит \(n\) целых чисел \(a_1, a_2, \ldots, a_n\) (\(1 \le a_i \le n\)) — высоты деревьев.

Гарантируется, что сумма \(n\) по всем наборам входных данных не превосходит \(5 \cdot 10^5\).

Выходные данные

Для каждого набора входных данных выведите \(n\) целых чисел. \(i\)-е число должно равняться максимальной высоте среди всех деревьев, которые может достичь кролик, если он начнёт с дерева \(i\).

Примечание

В первом наборе входных данных высоты деревьев равны \(a = [2, 3, 1, 4]\).

  • Если кролик стартует с первого дерева, то он может перепрыгнуть на третье дерево, так как \(3 > 1\) и \(1 < 2\). Затем кролик может перепрыгнуть на второе дерево, так как \(2 < 3\) и \(3 > 1\). Можно доказать, что кролик не может допрыгнуть до четвёртого дерева; следовательно, максимальная высота дерева, до которого может допрыгнуть кролик, равна \(a_2 = 3\).
  • Если кролик стартует с четвёртого дерева, ему не нужно никуда прыгать, так как он уже находится на самом высоком дереве.

Во втором наборе входных данных кролик может прыгнуть на первое дерево независимо от того, с какого дерева он стартует.

В пятом наборе входных данных, если кролик начинает с пятого дерева, он может прыгнуть на четвёртое дерево. Затем кролик может перепрыгнуть на седьмое дерево и, наконец, достичь шестого дерева. Таким образом, максимальная высота дерева, до которого может добраться кролик, равна \(8\).

F. Пенчик и четные медианы

Бинарный поиск Теория вероятностей Конструктив *2800 интерактив

Это интерактивная задача.

Вернувшись после отдыха на Золотом побережье Австралии, Пенчик забыл привезти домой подарки для своей домашней утки Дуонг Кан! Но, возможно, прекрасная задача, созданная в глубоких раздумьях на живописных пляжах, станет идеальным сувениром.

Существует скрытая перестановка\(^{\text{∗}}\) \(p\) длины \(n\), где \(n\) — четное. Вам разрешается задавать следующие вопросы:

  • Выбрать подпоследовательность\(^{\text{†}}\) перестановки \(p\) с четной длиной \(4\le k\le n\). Интерактор вернет значения двух медиан\(^{\text{‡}}\) в выбранной подпоследовательности.

Найдите индексы двух медиан в перестановке \(p\), используя не более \(80\) запросов.

Обратите внимание, что интерактор является неадаптивным. Это означает, что перестановка \(p\) фиксирована изначально и не будет меняться в зависимости от ваших запросов.

\(^{\text{∗}}\)Перестановкой длины \(n\) является массив, состоящий из \(n\) различных целых чисел от \(1\) до \(n\) в произвольном порядке. Например, \([2,3,1,5,4]\) — перестановка, но \([1,2,2]\) не перестановка (\(2\) встречается в массиве дважды) и \([1,3,4]\) тоже не перестановка (\(n=3\), но в массиве встречается \(4\)).

\(^{\text{†}}\)Последовательность \(a\) является подпоследовательностью \(b\), если \(a\) может быть получена из \(b\) удалением нескольких (возможно, ни одного или всех) элементов на произвольных позициях.

\(^{\text{‡}}\)Две медианы массива \(a\) четной длины \(k\) определяются как \(\frac{k}{2}\)-й и \(\left(\frac{k}{2} + 1\right)\)наименьший элемент в массиве (в нумерации с \(1\)).

Входные данные

Каждый тест состоит из нескольких наборов входных данных. В первой строке находится одно целое число \(t\) (\(1 \le t \le 1000\)) — количество наборов входных данных. Далее следует описание наборов входных данных.

Единственная строка каждого набора входных данных содержит одно целое число \(n\) (\(6 \le n \le 100\), \(n\) — четное) — длина скрытой перестановки \(p\).

Прочитав целое число \(n\) для текущего набора входных данных, вы должны начать взаимодействие и вывести ответ до чтения значения \(n\) до следующего набора.

Гарантируется, что сумма значений \(n\) по всем наборам входных данных не превосходит \(10^4\).

Протокол взаимодействия

Чтобы сделать запрос, выведите одну строку в следующем формате:

  • \(\mathtt{?}\;k\;x_1\;x_2 \ldots x_{k-1}\;x_k\) (\(4\le k\le n\), \(k\) — четное, \(1 \le x_i \le n\), \(x_i\) — попарно различные) — длина выбранной подпоследовательности, затем индексы выбранной подпоследовательности.

После каждого запроса вы должны прочитать строку, содержащую два целых числа \(m_1\) и \(m_2\) (\(1 \le m_1 < m_2 \le n\)) — значения двух медиан в массиве \([p_{x_1}, p_{x_2}, \ldots, p_{x_{k-1}}, p_{x_k}]\).

Вы можете сделать не более \(80\) таких запросов в каждом наборе входных данных.

Чтобы дать окончательный ответ, выведите одну строку в следующем формате:

  • \(\mathtt{!}\;i_1\;i_2\) (\(1\le i_1, i_2 \le n\)) — индексы двух медиан.

Обратите внимание, что порядок вывода \(i_1\) и \(i_2\) не имеет значения. Другими словами, ваше решение будет верным, если \(p_{i_1} = \frac{n}{2}\) и \(p_{i_2} = \frac{n}{2} + 1\), или \(p_{i_1} = \frac{n}{2} + 1\) и \(p_{i_2} = \frac{n}{2}\).

После вывода каждого запроса не забудьте вывести перевод строки и сбросить буфер вывода\(^{\text{∗}}\). В противном случае вы получите вердикт Решение «зависло».

На любом шаге взаимодействия, если вы считали \(-1\) вместо корректных данных, ваше решение должно немедленно завершиться. Это означает, что ваше решение получит вердикт Неправильный ответ из-за некорректного запроса или любой другой ошибки. Если программа не завершится, вы можете получить любой вердикт, так как ваша программа продолжит чтение из закрытого потока.

Формат взломов

Для взломов используйте следующий формат.

Первая строка должна содержать \(t\) — количество наборов входных данных.

Первая строка каждого набора входных данных должна содержать одно целое число \(n\).

Вторая строка каждого набора входных данных должна содержать перестановку \(p_1, p_2, \ldots, p_n\) длины \(n\).

В качестве примера формата взлома приведём тест из примера:


2
6
6 2 3 5 1 4
10
10 9 8 7 6 5 4 3 2 1

\(^{\text{∗}}\)Чтобы сбросить буфер вывода, используйте:

  • fflush(stdout) или cout.flush() в C++;
  • sys.stdout.flush() в Python;
  • смотрите документацию для других языков.
Примечание

В первом наборе входных данных скрытая перестановка равна \(p = [6, 2, 3, 5, 1, 4]\).

  1. В первом запросе была выбрана вся перестановка. Две медианы всей перестановки \(p\) равны \(3\) и \(4\).
  2. Индексы выбранной подпоследовательности во втором запросе — \(3\), \(6\), \(1\) и \(5\). Интерактор возвращает две медианы подпоследовательности \([p_3, p_6, p_1, p_5] = [3, 4, 6, 1]\), которые равны \(3\) и \(4\).
  3. Индексы выбранной подпоследовательности во втором запросе равны \(3\), \(6\), \(2\) и \(5\). Интерактор возвращает две медианы подпоследовательности \([p_3, p_6, p_2, p_5] = [3, 4, 2, 1]\), которые равны \(2\) и \(3\).

Ответ «! 3 6» верен, так как \(p_3 = 3\) и \(p_6 = 4\).

Во втором наборе входных данных скрытая перестановка равна \(p = [10, 9, 8, 7, 6, 5, 4, 3, 2, 1]\).

  1. Индексы выбранной подпоследовательности во втором запросе — \(1\), \(3\), \(7\), \(8\), \(9\) и \(10\). Интерактор возвращает две медианы подпоследовательности \([p_1, p_3, p_7, p_8, p_9, p_{10}] = [10, 8, 4, 3, 2, 1]\), которые равны \(3\) и \(4\).
  2. Индексы выбранной подпоследовательности во втором запросе равны \(1\), \(2\), \(3\), \(4\), \(5\), \(6\), \(7\) и \(8\). Интерактор возвращает две медианы подпоследовательности \([p_1, p_2, p_3, p_4, p_5, p_6, p_7, p_8] = [10, 9, 8, 7, 6, 5, 4, 3]\), которые равны \(6\) и \(7\).

Ответ «! 5 6» верен, так как \(p_5 = 6\) и \(p_6 = 5\).

C. Тройка

Бинарный поиск математика *1400 сортировки

Дан массив \(a\) из \(n\) элементов \(a_1, a_2, \ldots, a_n\).

Вы можете выполнить следующую операцию любое количество раз (возможно, \(0\)):

  • Выберите два целых числа \(i\) и \(j\), где \(1 \le i, j \le n\), и присвойте \(a_i := a_j\).

Найдите минимальное количество операций, необходимых для того, чтобы массив \(a\) удовлетворял условию:

  • Для каждой попарно различной тройки индексов \((x, y, z)\) (\(1 \le x, y, z \le n\), \(x \ne y\), \(y \ne z\), \(x \ne z\)) существует невырожденный треугольник со сторонами длиной \(a_x\), \(a_y\) и \(a_z\), т.е. \(a_x + a_y > a_z\), \(a_y + a_z > a_x\) и \(a_z + a_x > a_y\).
Входные данные

Каждый тест состоит из нескольких наборов входных данных. Первая строка содержит одно целое число \(t\) (\(1 \le t \le 10^4\)) — количество наборов входных данных. Далее следует описание наборов входных данных.

Первая строка каждого набора входных данных содержит одно целое число \(n\) (\(3 \le n \le 2 \cdot 10^5\)) — количество элементов в массиве \(a\).

Вторая строка каждого набора входных данных содержит \(n\) целых чисел \(a_1, a_2, \ldots, a_n\) (\(1 \le a_i \le 10^9\)) — элементы массива \(a\).

Гарантируется, что сумма \(n\) по всем наборам входных данных не превышает \(2 \cdot 10^5\).

Выходные данные

Для каждого набора входных данных выведите одно целое число — минимальное количество операций, необходимых для достижения цели.

Примечание

В первом наборе входных данных одна из возможных последовательностей операций может быть следующей:

  • Присвоить \(a_1 := a_4 = 4\). Массив станет \([4, 2, 3, 4, 5, 6, 7]\).
  • Присвоить \(a_2 := a_5 = 5\). Массив станет \([4, 5, 3, 4, 5, 6, 7]\).
  • Присвоить \(a_7 := a_1 = 4\). Массив станет \([4, 5, 3, 4, 5, 6, 4]\).

Можно доказать, что любая тройка элементов с попарно различными индексами в итоговом массиве образует невырожденный треугольник, и нет возможного ответа с использованием менее чем \(3\) операций.

Во втором наборе входных данных мы можем присвоить \(a_1 := a_2 = 3\), чтобы получить массив \(a = [3, 3, 2]\).

В третьем наборе входных данных, поскольку \(3\), \(4\) и \(5\) являются допустимыми длинами сторон треугольника, нам не нужно выполнять никаких операций с массивом.

D. Действительно, ещё одна задача о числах

Бинарный поиск Структуры данных математика реализация *1800 жадные алгоритмы разделяй и властвуй

Three r there are's in strawberry.

Вам дан массив \(b\) длины \(m\). Вы можете выполнить следующую операцию любое количество раз (возможно, нулевое):

  • Выбрать два различных индекса \(i\) и \(j\), где \(\bf{1\le i < j\le m}\) и \(b_i\) является чётным числом, поделить \(b_i\) на \(2\) и умножить \(b_j\) на \(2\).

Ваша задача — максимизировать сумму массива после выполнения любого количества таких операций. Поскольку она может быть большой, выведите эту сумму по модулю \(10^9+7\).

Поскольку эта задача слишком простая, вам дается массив \(a\) длины \(n\), и вам нужно решить задачу для каждого префикса \(a\).

Другими словами, обозначив максимальную сумму \(b\) после выполнения любого количества таких операций как \(f(b)\), вам нужно вывести \(f([a_1])\), \(f([a_1,a_2])\), \(\ldots\), \(f([a_1,a_2,\ldots,a_n])\) по модулю \(10^9+7\).

Входные данные

Каждый тест состоит из нескольких наборов входных данных. Первая строка содержит одно целое число \(t\) (\(1\le t\le 10^4\)) — количество наборов входных данных. Далее следует описание наборов входных данных.

Первая строка каждого набора входных данных содержит одно целое число \(n\) (\(1 \le n \le 2 \cdot 10^5\)) — длина \(a\).

Вторая строка содержит \(n\) целых чисел \(a_1, a_2, \ldots, a_n\) (\(1 \le a_i \le 10^9\)) — начальные значения массива \(a\).

Гарантируется, что сумма \(n\) по всем наборам входных данных превосходит \(2 \cdot 10^5\).

Выходные данные

Для каждого набора входных данных выведите \(n\) целых чисел, являющимися ответами для каждого префикса \(a\) по модулю \(10^9+7\).

Примечание

Для каждого префикса в первом наборе входных данных возможен следующий массив после применения операций:

  • \([1]\): сумма равна \(1\);
  • \([1, 2]\): сумма равна \(3\);
  • \([1, 1, 6]\): сумма равна \(8\);
  • \([1, 1, 3, 8]\): сумма равна \(13\);
  • \([1, 1, 3, 1, 40]\): сумма равна \(46\);
  • \([1, 1, 3, 1, 5, 48]\): сумма равна \(59\);
  • \([1, 1, 3, 1, 5, 3, 112]\): сумма равна \(126\);
  • \([1, 1, 3, 1, 5, 3, 7, 128]\): сумма равна \(149\);
  • \([1, 1, 3, 1, 5, 3, 7, 1, 1152]\): сумма равна \(1174\);
  • \([1, 1, 3, 1, 5, 3, 7, 1, 9, 1280]\): сумма равна \(1311\).

E. Монстр

Бинарный поиск Тернарный поиск Перебор Конструктив математика реализация жадные алгоритмы *2300

Мужик, этот босс в Genshin такой сложный. Хорошо, что у них есть пополнение на \(6\) монет всего за \( \$4.99\). Мне следует быть осторожнее и не тратить больше, чем нужно, иначе мама меня поймает...

Вы сражаетесь с монстром со здоровьем \(z\), используя оружие с уроном \(d\). Изначально \(d=0\). Вы можете выполнять следующие действия.

  • Увеличить \(d\) — урон вашего оружия на \(1\), потратив \(x\) монет.
  • Атаковать монстра, нанеся ему \(d\) урона, потратив \(y\) монет.

Вы не можете выполнять первую операцию более \(k\) раз подряд.

Найдите минимальное количество монет, необходимое для того, чтобы победить монстра, нанеся ему хотя бы \(z\) урона.

Входные данные

Каждый тест состоит из нескольких наборов входных данных. Первая строка содержит одно целое число \(t\) (\(1\le t\le 100\)) — количество наборов входных данных. Далее следует описание наборов входных данных.

Единственная строка каждого набора входных данных содержит 4 целых числа \(x\), \(y\), \(z\) и \(k\) (\(1\leq x, y, z, k\leq 10^8\)) — стоимость первой операции, стоимость второй операции, здоровье монстра и ограничение на первую операцию.

Выходные данные

Для каждого набора входных данных выведите минимальное количество монет, необходимое для победы над монстром.

Примечание

В первом наборе входных данных \(x = 2\), \(y = 3\), \(z = 5\) и \(k = 5\). Вот стратегия, которая обеспечивает наименьшую возможную стоимость в \(12\) монет:

  • Увеличить урон на \(1\), потратив \(2\) монеты.
  • Увеличить урон на \(1\), потратив \(2\) монеты.
  • Увеличить урон на \(1\), потратив \(2\) монеты.
  • Атаковать монстра, нанеся ему \(3\) урона, потратив \(3\) монеты.
  • Атаковать монстра, нанеся ему \(3\) урона, потратив \(3\) монеты.

Вы наносите в общей сложности \(3 + 3 = 6\) урона, побеждая монстра, который имеет \(5\) здоровья. Суммарное количество монет, которое вы потратите, составляет \(2 + 2 + 2 + 3 + 3 = 12\) монет.

Во втором наборе входных данных \(x = 10\), \(y = 20\), \(z = 40\) и \(k = 5\). Вот стратегия, которая позволяет достичь наименьшей возможной стоимости в \(190\) монет:

  • Увеличить урон на \(5\), что стоит \(5\cdot x\) = \(50\) монет.
  • Атаковать монстра один раз, нанеся ему \(5\) урона, потратив \(20\) монет.
  • Увеличить урон на \(2\), потратив \(2\cdot x\) = \(20\) монет.
  • Атаковать монстра \(5\) раз, нанеся \(5\cdot 7 = 35\) урона, потратив \(5\cdot y\) = \(100\) монет.

Всего вы нанесли \(5 + 35 = 40\) урона, победив монстра, у которого ровно \(40\) здоровья. Вы потратили \(50 + 20 + 20 + 100 = 190\) монет.

F. Операции с деревом

Бинарный поиск Деревья Перебор дп поиск в глубину и подобное *2500

Это многое говорит об обществе.

Однажды черепаха подарила вам дерево с \(n\) вершинами и корнем в вершине \(x\). Вершина \(i\) имеет начальное целое неотрицательное значение \(a_i\).

Вы хотите сделать так, чтобы значения всех вершин стали равны \(0\). Для этого вы выполните ряд операций над деревом, где каждая операция будет выполняться над определенной вершиной. Определим операцию над вершиной \(u\) как выбор одной вершины в поддереве\(^{\text{∗}}\) \(u\), и увеличение или уменьшение ее значения на \(1\). Порядок выполнения операций над вершинами следующий:

  • Для \(1 \le i \le n\), \(i\)-я операция будет выполнена над вершиной \(i\).
  • Для \(i > n\), \(i\)-я операция будет выполнена над той же вершиной, что и операция \(i - n\).

Более формально, \(i\)-я операция будет выполнена над \((((i - 1) \bmod n) + 1)\)-й вершиной.\(^{\text{†}}\)

Обратите внимание, что нельзя пропускать операции; то есть нельзя выполнить \(i\)-ю операцию, не выполнив сначала операции \(1, 2, \ldots, i - 1\).

Найдите минимальное количество операций, которое необходимо выполнить, чтобы значения всех вершин стали равны \(0\), при условии, что вы выполняете операции оптимально. Если после конечного числа операций невозможно сделать значения всех вершин равными \(0\), выведите \(-1\).

\(^{\text{∗}}\)Поддерево вершины \(u\) — это множество вершин, для которых \(u\) лежит на кратчайшем пути от этой вершины до корня, включая саму \(u\)

\(^{\text{†}}\)Здесь \(a \bmod b\) обозначает остаток от деления \(a\) на \(b\).

Входные данные

Каждый тест состоит из нескольких наборов входных данных. Первая строка содержит одно целое число \(t\) (\(1\le t\le 100\)) — количество наборов входных данных. Далее следует описание наборов входных данных.

Первая строка каждого набора входных данных содержит два целых числа \(n\) и \(x\) (\(1 \le n \le 2000\), \(1 \le x \le n\)) — количество вершин и корень дерева.

Вторая строка каждого набора входных данных содержит \(n\) целых чисел \(a_1, a_2, \ldots, a_n\) (\(0 \le a_i \le 10^9\)) — начальное значение каждой вершины.

В следующих \(n - 1\) строках каждого набора входных данных содержится по два целых числа \(u\) и \(v\) (\(1 \le u, v \le n\), \(u \neq v\)), представляющих собой ненаправленное ребро из \(u\) в \(v\). Гарантируется, что заданные ребра образуют дерево.

Гарантируется, что сумма \(n\) по всем наборам входных данных не превосходит \(2000\).

Выходные данные

Для каждого набора входных данных выведите одно целое число, обозначающее минимальное количество операций, необходимое для того, чтобы сделать значения всех вершин равными \(0\). Если невозможно сделать значения всех вершин равными \(0\), выведите \(-1\).

Примечание

В первом наборе входных данных вы можете выполнить следующую последовательность операций:

  • На \(1\) операции уменьшите значение вершины \(1\). Эта операция корректна, потому что \((((1 - 1) \bmod n) + 1) = 1\), и вершина \(1\) находится в поддереве вершины \(1\).
  • На \(2\) операции уменьшите значение вершины \(2\). Эта операция корректна, потому что \((((2 - 1) \bmod n) + 1) = 2\), и вершина \(2\) находится в поддереве вершины \(2\).
  • На \(3\) операции уменьшите значение вершины \(2\). Эта операция корректна, потому что \((((3 - 1) \bmod n) + 1) = 1\), а вершина \(2\) находится в поддереве вершины \(1\).

E. Пустить реки вспять

Бинарный поиск Структуры данных Конструктив *1600 жадные алгоритмы

Сговор древних мудрецов, решивших повернуть реки для собственного удобства, поставил мир на грань. Но перед реализацией своего грандиозного плана они решили тщательно продумать стратегию — на то они и мудрецы.

Существует \(n\) стран, в каждой из которых ровно по \(k\) регионов. Для \(j\)-го региона \(i\)-й страны они вычислили значение \(a_{i,j}\), которое отражает количество воды в нём.

Мудрецы намереваются создать каналы между \(j\)-м регионом \(i\)-й страны и \(j\)-м регионом \((i + 1)\)-й страны для всех \(1 \leq i \leq (n - 1)\) и для всех \(1 \leq j \leq k\).

В силу того, что все \(n\) стран находятся на большом склоне, вода стекает в сторону страны с наибольшим номером. По прогнозу мудрецов, после создания системы каналов новое значение \(j\)-го региона \(i\)-й страны станет равно \(b_{i,j} = a_{1,j} | a_{2,j} | ... | a_{i,j}\), где \(|\) — операция побитового «ИЛИ».

После перераспределения воды мудрецы стремятся выбрать наиболее подходящую страну для проживания, поэтому они пришлют вам \(q\) запросов на рассмотрение.

Каждый запрос будет содержать \(m\) требований.

Каждое требование содержит три параметра: номер региона \(r\), знак \(o\)\(<\)» или «\(>\)») и значение \(c\). Если \(o\) = «\(<\)», то в \(r\)-м регионе выбранной вами страны новое значение должно быть строго меньше значения ограничения \(c\), а если \(o\) = «\(>\)» — строго больше.

Иными словами, выбранная вами страна \(i\) должна удовлетворять всем \(m\) требованиям. Если в очередном требовании \(o\) = «\(<\)», то должно выполняться \(b_{i,r} < c\), а если \(o\) = «\(>\)» — то \(b_{i,r} > c\).

В ответ на каждый запрос вам следует вывести одно целое число — номер подходящей страны. Если таких стран несколько, выведите наименьший из возможных. Если таких стран не существует, выведите \(-1\).

Входные данные

Первая строка содержит три целых числа \(n\), \(k\), и \(q\) (\(1 \leq n, k, q \leq 10^5\)) — количество стран, регионов и запросов соответственно.

Далее следует \(n\) строк, \(i\)-я из которых содержит \(k\) целых чисел \(a_{i,1}, a_{i,2}, \dots, a_{i,k}\) (\(1 \leq a_{i,j} \leq 10^9\)), где \(a_{i,j}\) — значение \(j\)-го региона \(i\)-й страны.

Далее описывается \(q\) запросов.

Первая строка каждого запроса содержит одно целое число \(m\) (\(1 \leq m \leq 10^5\)) — количество требований.

Затем идут \(m\) строк, содержащих значения целое число \(r\), символ \(o\) и целое число \(c\) (\(1 \leq r \leq k\), \(0 \leq c \leq 2 \cdot 10^9\)), где \(r\) и \(c\) — номер региона и значение, а \(o\) — символ «\(<\)» либо «\(>\)» — знак.

Гарантируется, что \(n \cdot k\) не превышает \(10^5\) и что сумма \(m\) по всем запросам также не превышает \(10^5\).

Выходные данные

Для каждого запроса на новой строке выведите целое число — наименьший номер подходящей страны, либо \(-1\), если такой страны не существует.

Примечание

В примере изначальные значения регионов имеют вид:

\(1\)\(3\)\(5\)\(9\)
\(4\)\(6\)\(5\)\(3\)
\(2\)\(1\)\(2\)\(7\)

После создания каналов новые значения будут выглядеть так:

\(1\)\(3\)\(5\)\(9\)
\(1 | 4\)\(3 | 6\)\(5 | 5\)\(9 | 3\)
\(1 | 4 | 2\)\(3 | 6 | 1\)\(5 | 5 | 2\)\(9 | 3 | 7\)
\(\downarrow\)
\(1\)\(3\)\(5\)\(9\)
\(5\)\(7\)\(5\)\(11\)
\(7\)\(7\)\(7\)\(15\)

В первом запросе необходимо вывести минимальный номер страны (т.е. строки), где после перераспределения воды в первом регионе (т.е. столбце) новое значение будет больше четырёх и меньше шести, а во втором — меньше восьми. Этим требованиям удовлетворяет только страна с номером \(2\).

Во втором запросе нет ни одной страны, удовлетворяющей заданным требованиям.

В третьем запросе подходит только страна с номером \(3\).

В четвёртом запросе все три страны удовлетворяют условиям, поэтому ответом является наименьший номер \(1\).

G. Библиотека Магии

Бинарный поиск Конструктив математика теория чисел разделяй и властвуй *2200 интерактив

Это интерактивная задача.

На кафедре сверхъестественных явлений Оксенфуртской Академии открылась Библиотека Магии, в которую вошли труды величайших чародеев Редании — \(n\) (\(3 \leq n \leq 10^{18}\)) видов книг, пронумерованных от \(1\) до \(n\). У каждой книги номер вида обозначен на переплёте. Более того, книги каждого вида хранятся в библиотеке ровно в двух экземплярах! А библиотекарем назначили Вас.

Однажды ночью Вы просыпаетесь от странного шума и видите существо, покидающее здание через окно. Из рюкзака таинственного вора торчали три толстых тома разных цветов. И перед тем как приступить к их поиску, Вы решили вычислить числа \(a\), \(b\) и \(c\), написанные на переплётах этих книг. Все три числа различны.

Итак, в Вашем распоряжении неупорядоченное множество томов, в котором по одному тому с попарно различными числами \(a\), \(b\) и \(c\) и по два тома для всех чисел от \(1\) до \(n\), кроме \(a\), \(b\) и \(c\). И Вы хотите найти эти значения \(a\), \(b\) и \(c\).

Так как Вы работаете не в простой библиотеке, а в Библиотеке Магии, то для проверки факта нахождения книг на своём месте Вы можете использовать только одно заклинание в виде запроса:

  • «xor l r» — Запрос побитового XOR-а с параметрами \(l\) и \(r\). Пусть \(k\) — количество таких томов в библиотеке, числа на которых больше либо равны \(l\) и меньше либо равны \(r\). Вы получите результат вычисления \(v_1 \oplus v_2 \oplus ... \oplus v_k\), где \(v_1 ... v_k\) — числа на переплётах этих томов, а \(\oplus\) обозначает операцию побитового исключающего ИЛИ.

Так как Ваши магические способности как библиотекаря сильно ограничены, Вы можете сделать не более \(150\) запросов.

Входные данные

Первая строка входных данных содержит целое число \(t\) (\(1 \le t \le 300\)) — количество наборов входных данных.

Первая строка каждого набора содержит одно целое число \(n\) (\(3 \leq n \leq 10^{18}\)) — количество видов томов.

Протокол взаимодействия

Взаимодействие для каждого набора входных данных начинается с чтения целого числа \(n\).

Затем вы можете сделать до \(150\) запросов.

Чтобы сделать запрос, выведите строку в формате «xor l r» (без кавычек) (\(1 \leq l \leq r \leq n\)). После каждого запроса считайте целое число — ответ на ваш запрос.

Чтобы сообщить ответ, выведите строку в формате «ans a b c» (без кавычек), где \(a\), \(b\) и \(c\) — найденные вами числа для ответа на задачу. Вы можете вывести их в любом порядке.

Интерактор не адаптивен, что означает, что ответ известен до того, как участник задаст запросы, и не зависит от запросов, заданных участником.

После того как будет сделано \(150\) запросов, ответ на любой другой запрос будет равен \(-1\). Получив такой ответ, завершите программу, чтобы получить вердикт «WA» (Wrong answer).

После вывода запроса не забудьте вывести перевод строки и сбросить буфер вывода. В противном случае вы получите вердикт «IL» (Idleness limit exceeded). Для сброса буфера используйте:

  • fflush(stdout) или cout.flush() в C++;
  • System.out.flush() в Java;
  • flush(output) в Pascal;
  • stdout.flush() в Python;
  • смотрите документацию для других языков.

Взломы

Чтобы сделать взлом, используйте следующий формат.

Первая строка должна содержать одно целое число \(t\) (\(1 \leq t \leq 300\)) — количество наборов входных данных.

Единственная строка каждого набора должна содержать четыре целых числа \(n\), \(a\), \(b\) и \(c\) (\(3 \leq n \leq 10^{18}\), \(1 \le a, b, c \le n\)) — количество книг в библиотеке и номера украденных томов. Числа \(a\), \(b\) и \(c\) должны быть различными.

Примечание

В примере в первом наборе входных данных книги в библиотеке после пропажи выглядят вот так:

Теперь рассмотрим ответы на запросы:

  • На запрос «xor 1 1» вы получаете результат \(1 \oplus 1 = 0\). Указанному в запросе условию удовлетворяет два тома — оба с номером \(1\).
  • На запрос «xor 2 2» вы получаете результат \(2\), так как только один том удовлетворяет указанному условию.
  • На запрос «xor 3 3» вы получаете результат \(3\).
  • На запрос «xor 4 6» вы получаете результат \(4 \oplus 6 \oplus 4 \oplus 5 \oplus 6 = 5\).

Во втором наборе входных данных всего \(3\) вида книг, и нетрудно догадаться, что отсутствующие имеют номера \(1\), \(2\) и \(3\).

F. Пылающее Пламя

Бинарный поиск Структуры данных математика *2100 сортировки

Вы получили нового ограниченного персонажа события Шилонен. Вы решаете использовать её в бою.

На линии находится \(n\) врагов. \(i\)-й враг слева имеет здоровье \(h_i\) и в данный момент находится на позиции \(x_i\). У Шилонен есть урон от атаки \(m\), и вы готовы победить врагов с её помощью.

У Шилонен есть мощная атака «удар по земле». Перед тем, как вы выполните какие-либо атаки, вы выбираете целое число \(p\) и размещаете Шилонен там (\(p\) может быть любой целой позицией, включая позицию с врагом в данный момент). После этого, за каждую атаку она наносит \(m\) урона врагу на позиции \(p\) (если таковой имеется), \(m-1\) урона врагам на позициях \(p-1\) и \(p+1\), \(m-2\) урона врагам на позициях \(p-2\) и \(p+2\), и так далее. Враги, находящиеся на расстоянии не менее \(m\) от Шилонен, не получают урона от атак.

Формально, если враг находится на позиции \(x\), она нанесет \(\max(0,m - |p - x|)\) урона этому врагу за каждую атаку. Обратите внимание, что вы не можете выбрать другое \(p\) для разных атак.

Среди всех возможных \(p\) выведите минимальное количество атак, которые Шилонен должна выполнить, чтобы победить как минимум \(k\) врагов. Если невозможно найти \(p\), при котором в конечном итоге будет побеждено как минимум \(k\) врагов, выведите \(-1\) вместо этого. Обратите внимание, что враг считается побежденным, если его здоровье достигает \(0\) или ниже.

Входные данные

Первая строка содержит целое число \(t\) (\(1 \leq t \leq 10^4\)) – количество наборов входных данных.

Первая строка каждого набора содержит три целых числа \(n\), \(m\) и \(k\) (\(1 \leq k \leq n \leq 10^5\), \(1 \leq m \leq 10^9\)).

Следующая строка содержит \(n\) целых чисел \(h_1, h_2, ..., h_n\) (\(1 \leq h_i \leq 10^9\)).

Последняя строка каждого набора содержит \(n\) целых чисел \(x_1, x_2, ..., x_n\) (\(1\leq x_i \leq 10^9\), \(x_i < x_{i+1}\) для всех \(1 \leq i < n\))

Гарантируется, что сумма \(n\) по всем наборам входных данных не превышает \(10^5\).

Выходные данные

Для каждого набора входных данных выведите целое число на новой строке, минимальное количество атак, которые должны быть выполнены, чтобы победить как минимум \(k\) врагов. Если невозможно найти \(p\), при котором в конечном итоге будет побеждено как минимум \(k\) врагов, выведите \(-1\) вместо этого.

Примечание

В первом примере оптимально выбрать \(p=2\). За каждую атаку первый враг получает \(5-|2-1|=4\) урона, второй враг получает \(5\) урона, третий враг получает \(4\) урона, четвертый враг получает \(3\) урона, а пятый враг получает \(2\) урона. После \(2\) атак первые три врага будут побеждены. Можно показать, что невозможно победить \(3\) врага менее чем за \(2\) атаки, независимо от выбранного \(p\).

Во втором примере мы должны убить всех \(9\) врагов. Выбрав \(p=5\), все девять врагов будут побеждены за \(2\) атаки.

В третьем примере мы должны убить обоих врагов. Однако можно показать, что ни одно выбранное \(p\) не повредит обоих врагов одновременно, поэтому ответ будет \(-1\).

В четвертом примере выбор \(p=1\) позволит нам победить первого врага за \(6969697\) атак.

В пятом примере выбор \(p=10\) заставит каждого врага получать \(1\) урон за атаку. Оба врага будут побеждены за \(15\) атак.

B. Make It Equal

Бинарный поиск Перебор математика *2100 жадные алгоритмы

You are given an integer array \(a\) of size \(n\). The elements of the array are numbered from \(1\) to \(n\).

You can perform the following operation any number of times (possibly, zero): choose an index \(i\) from \(1\) to \(n\); decrease \(a_i\) by \(2\) and increase \(a_{(i \bmod n) + 1}\) by \(1\).

After you perform the operations, all elements of the array should be non-negative equal integers.

Your task is to calculate the minimum number of operations you have to perform.

Input

The first line contains a single integer \(t\) (\(1 \le t \le 10^4\)) — the number of test cases.

The first line of each test case contains a single integer \(n\) (\(2 \le n \le 2 \cdot 10^5\)).

The second line of each test case contains \(n\) integers \(a_1, a_2, \dots, a_n\) (\(1 \le a_i \le 10^9\)).

Additional constraint on the input: the sum of \(n\) over all test cases doesn't exceed \(2 \cdot 10^5\).

Output

For each test case, print a single integer — the minimum number of operations you have to perform. If it is impossible to make all elements of the array equal, print -1.

D. Divide OR Conquer

Бинарный поиск Структуры данных реализация дп *2400 битмаски

You are given an array \([a_1, a_2, \ldots a_n]\) consisting of integers between \(0\) and \(10^9\). You have to split this array into several segments (possibly one) in such a way that each element belongs to exactly one segment.

Let the first segment be the array \([a_{l_1}, a_{l_1 + 1}, \ldots, a_{r_1}]\), the second segment be \([a_{l_2}, a_{l_2+ 1}, \ldots, a_{r_2}]\), ..., the last segment be \([a_{l_k}, a_{l_k+ 1}, \ldots, a_{r_k}]\). Since every element should belong to exactly one array, \(l_1 = 1\), \(r_k = n\), and \(r_i + 1 = l_{i+1}\) for each \(i\) from \(1\) to \(k-1\). The split should meet the following condition: \(f([a_{l_1}, a_{l_1 + 1}, \ldots, a_{r_1}]) \le f([a_{l_2}, a_{l_2+ 1}, \ldots, a_{r_2}]) \le \dots \le f([a_{l_k}, a_{l_k+1}, \ldots, a_{r_k}])\), where \(f(a)\) is the bitwise OR of all elements of the array \(a\).

Calculate the number of ways to split the array, and print it modulo \(998\,244\,353\). Two ways are considered different if the sequences \([l_1, r_1, l_2, r_2, \ldots, l_k, r_k]\) denoting the splits are different.

Input

The first line contains an integer \(n\) (\(1 \le n \le 2 \cdot 10^5\)) — the length of the array \(a\).

The second line contains \(n\) integers \(a_1, a_2, \ldots, a_n\) (\(0 \le a_i \le 10 ^9\)) — the elements of the given array.

Output

Print one integer — the number of ways to split the array, taken modulo \(998\,244\,353\).

Note

In the first two examples, every way to split the array is valid.

In the third example, there are three valid ways to split the array:

  • \(k = 3\); \(l_1 = 1, r_1 = 1, l_2 = 2, r_2 = 2, l_3 = 3, r_3 = 3\); the resulting arrays are \([3]\), \([4]\), \([6]\), and \(3 \le 4 \le 6\);
  • \(k = 2\); \(l_1 = 1, r_1 = 1, l_2 = 2, r_2 = 3\); the resulting arrays are \([3]\) and \([4, 6]\), and \(3 \le 6\);
  • \(k = 1\); \(l_1 = 1, r_1 = 3\); there will be only one array: \([3, 4, 6]\).

If you split the array into two arrays \([3, 4]\) and \([6]\), the bitwise OR of the first array is \(7\), and the bitwise OR of the second array is \(6\); \(7 > 6\), so this way to split the array is invalid.

I. Polyathlon

Строки Бинарный поиск Структуры данных хэши *2500 строковые суфф. структуры

Berland is this year's host country of the International Collegiate Polyathlon Competition! Similar to biathlon being a competition of two sports, polyathlon is a competition of many sports. This year, there are \(m\) sports. Also, there are \(n\) participants in the event. The sports are numbered from \(1\) to \(m\), and the participants are numbered from \(1\) to \(n\).

Some participants are skilled in multiple sports. You are given a binary matrix \(n \times m\) such that the \(j\)-th character of the \(i\)-th row is 1 if the \(i\)-th participant is skilled in the \(j\)-th sport, and 0, otherwise. It's also known that, for each pair of participants, there exists at least one sport such that one of them is skilled in that sport and the other one isn't.

The order of sports in the competition is determined at the opening ceremony. Historically, it's done by the almighty Random Number Generator. A random number \(x\) from \(1\) to \(m\) is rolled. The competition then starts with the sport \(x\), then the sport \((x \bmod m + 1)\) is played, then the sport \(((x + 1) \bmod m + 1)\), and so on.

Each sport is played as follows. If all remaining participants (all participants which are not eliminated yet) are not skilled in that sport, everyone goes through to the next sport. Otherwise, all skilled participants go through to the next sport, and all unskilled participants are eliminated from the competition. Once there is a single participant remaining in the competition, the competition ends, and that participant is declared the winner.

As an organizer of the competition, you are curious of the possible outcomes of the competition beforehand (not that you are going to rig the random roll, how could you possibly think that...). For each sport \(x\), print the index of the winner if the competition starts with the sport \(x\).

Input

The first line contains two integers \(n\) and \(m\) (\(2 \le n, m \le 10^6\); \(n \le 2^m\); \(nm \le 2 \cdot 10^6\)) — the number of participants and the number of sports, respectively.

The \(i\)-th of the next \(n\) lines contains a binary string consisting of exactly \(m\) characters 0 or 1 — the skillset of the \(i\)-th participant. If the \(j\)-th character is 1, the \(i\)-th participant is skilled in the \(j\)-th sport. If it's 0, the \(i\)-th participant is not skilled in the \(j\)-th sport.

Additional constraint on the input: for each pair of participants, there exists at least one sport such that one of them is skilled in that sport and the other one isn't. In other words, all \(n\) binary strings are pairwise distinct.

Output

Print \(m\) integers. For each \(x\) from \(1\) to \(m\), print the index of the winner if the competition starts with the sport \(x\).

A. Маленький Слоник и промежуток

Бинарный поиск Комбинаторика дп *1500

Маленький Слоник очень любит суммы на промежутках.

В этот раз у него есть пара целых чисел l и r (l ≤ r). Маленькому Слонику нужно найти количество таких целых чисел x (l ≤ x ≤ r), что первая цифра числа x равна последней (в десятичном представлении). Например, такие числа как 101, 477474 или 9 он будет включать в ответ, в то время как 47, 253 или 1020 — нет.

Помогите ему, посчитайте описанное количество чисел x для заданной пары l и r.

Входные данные

В единственной строке задана пара целых чисел l и r (1 ≤ l ≤ r ≤ 1018) — границы промежутка.

Пожалуйста, не используйте спецификатор %lld для чтения или записи 64-х битовых чисел на С++. Рекомендуется использовать потоки cin, cout или спецификатор %I64d.

Выходные данные

В единственной строке выведите одно целое число — ответ на задачу.

Примечание

В первом примере в ответ входят следующие числа: 2, 3, 4, 5, 6, 7, 8, 9, 11, 22, 33, 44.

B. Маленький Слоник и карточки

Бинарный поиск Структуры данных *1500

Маленький Слоник любит играть с цветными карточками.

У него есть n карточек, каждая имеет ровно два цвета (цвет на передней стороне и цвет на задней стороне). Изначально все карточки лежат на столе передней стороной вверх. За один шаг Маленький Слоник может перевернуть на другую сторону любую карточку. Маленький Слоник считает набор карточек на столе веселым, если хотя бы половина карточек имеет одинаковый цвет (для каждой карточки рассматривается цвет стороны, которой она лежит вверх).

Помогите Маленькому Слонику найти минимальное количество шагов необходимых для превращения набора из n карточек в веселый.

Входные данные

В первой строке задано единственное целое число n (1 ≤ n ≤ 105) — количество карточек. Следующие n строк содержат описание всех карточек, по одной карточке на строку. Карточки описываются парой целых положительных чисел, не превосходящих 109, — цветами на обеих сторонах. Первое число в строке — это цвет на передней стороне карточки, второе — на задней. Цвет на передней стороне может совпадать с цветом на задней.

Числа в строках разделяются единичными пробелами.

Выходные данные

В единственной строке выведите единственное целое число — искомое минимальное количество шагов. Если превратить набор в веселый невозможно, выведите -1.

Примечание

В первом примере изначально лежат три карточки из цветами 4, 4, 7. Так как две из трех карточек имеют одинаковый цвет 4, менять ничего не нужно, поэтому ответ — 0.

Во втором примере можно перевернуть первую и четвертую карточки. После этого три из пяти карточек будут иметь цвет 7.

B. Bowling Frame

Бинарный поиск Перебор математика *1200

Bowling is a national sport in Taiwan; everyone in the country plays the sport on a daily basis since their youth. Naturally, there are a lot of bowling alleys all over the country, and the competition between them is as intense as you can imagine.

Maw-Shang owns one such bowling alley. To stand out from other competitors in the industry and draw attention from customers, he decided to hold a special event every month that features various unorthodox bowling rules. For the event this month, he came up with a new version of the game called X-pin bowling. In the traditional \(10\)-pin bowling game, a frame is built out of ten bowling pins forming a triangular shape of side length four. The pin closest to the player forms the first row, and the two pins behind it form the second row, and so on. Unlike the standard version, the game of \(X\)-pin bowling Maw-Shang designed allows a much larger number of pins that form a larger frame. The following figure shows a standard \(10\)-pin frame on the left, and on the right it shows a \(21\)-pin frame that forms a triangular shape of side length six which is allowed in the game of \(X\)-pin bowling.

Being the national sport, the government of Taiwan strictly regulates and standardizes the manufacturing of bowling pins. There are two types of bowling pins allowed, one in black and the other in white, and the bowling alley Maw-Shang owns has \(w\) white pins and \(b\) black pins. To make this new game exciting for the customers, Maw-Shang wants to build the largest possible frame from these \(w+b\) pins. However, even though he is okay with using both colors in building the frame, for aesthetic reasons, Maw-Shang still wants the colors of the pins on the same row to be identical. For example, the following figure shows two possible frames of side length six, but only the left one is acceptable to Maw-Shang since the other one has white and black pins mixed in the third row.

The monthly special event is happening in just a few hours. Please help Maw-Shang calculate the side length of the largest frame that he can build from his \(w+b\) pins!

Input

The first line of the input contains a single integer \(t\), the number of test cases. Each of the following \(t\) lines contains two integers \(w\) and \(b\), the number of white and black pins, respectively.

  • \(1 \leq t \leq 100\)
  • \(0 \leq w, b \leq 10^9\)
Output

For each test case, output in a single line the side length \(k\) of the largest pin satisfying Maw-Shang's requirement you can build with the given pins.

I. Auto Complete

Строки Бинарный поиск Деревья Структуры данных реализация сортировки хэши *2300

You are designing a snazzy new text editor, and you want to add a nifty auto-complete feature to help users save time. Here is how it will work: if a user types "App", your editor will magically suggest the word "Application"! Even better, users can personalize the words that auto-complete in your editor.

Your editor will support 4 kinds of operations (Let's say the current text in your editor is \(t\)):

  1. Add an auto complete pattern \(p_i\).
  2. Delete an auto complete pattern \(p_i\).
  3. Append a string \(s\) to the end of \(t\).
  4. Delete \(c\) characters from the end of \(t\). Note that if \(c\) is larger then the length of \(t\), delete all the characters from \(t\).

After each action, your editor should suggest an auto-complete candidate \(i\) that matches the following criteria:

  1. The string \(p_i\) has a prefix equal to \(t\).
  2. If there are multiple \(p_i\), pick the longest one.
  3. If there are still multiple \(p_i\), pick the one with the smallest lexicographic order.
  4. If there are still multiple \(p_i\), pick the one with the smallest ID.
To simplify the question, for each action, print the suggested auto complete pattern ID. If there's no match, print -1.

For example, let us say we have three candidates: "alice", "bob", and "charlie", with ID 1, 2, and 3. At first, there is nothing on the screen, so "charlie" (3) should be suggested because it is the longest. Then, let us say the user types "b". You should suggest "bob" (2) because it is the only one that starts with "b". Finally, let us say the user type "body". You should print -1 because there is no matched pattern.

Input

The first line contains an integer \(n\), followed by \(n\) lines, with each line containing an action.

There are four types of actions:

  1. \(i\) \(p_i\)
  2. \(i\)
  3. \(s\)
  4. \(c\)
The add actions are followed by an integer \(i\) and a pattern \(p_i\), which means the user wants to add a pattern with ID \(i\). The delete actions are followed by an integer \(i\), which means the user wants to delete \(p_i\) from the pattern set. The append actions are followed by a string \(s\), which means the user appends \(s\) to the end of \(t\). The backspace actions are followed by an integer \(c\), which means the user deletes \(c\) characters from the end of \(t\). All the parameters are splitted by a single space character.
  • \(1 \leq n \leq 10^6\)
  • The total number of characters in all \(p_i\) and \(s\) does not exceed \(2\times 10^6\).
  • \(1 \leq c \leq 2\times 10^6\)
  • The strings \(p_i\) and \(s\) may contain any printable characters, excluding all space characters (ASCII number in the range from \(33\) to \(126\)).
  • The ID \(i\) for each add operation is unique.
  • The ID \(i\) for each delete is guaranteed to be valid.
  • Each ID \(i\) satisfies \(0\le i \le n\).
Output

The program should output \(n\) lines. For each action, output an integer \(i\), which means that after the action, \(p_i\) is the suggested auto complete candidate. If there is no \(p_i\) that matches the requirement, output -1.

K. Trophic Balance Species

Бинарный поиск Перебор поиск в глубину и подобное графы *3100

Image generated by ChatGPT 4o.

In an interdisciplinary collaboration, an ecosystem scientist and a computer scientist join forces to analyze the structure of a complex ecosystem using computational methods. The ecosystem scientist models the ecosystem as a directed graph \(D = (V, A)\), where each species is represented by a node \(v \in V\), and each feeding relationship is represented as a directed edge \((x, y) \in A\) from prey \(x\) to predator \(y\). This graph structure allows them to simulate the flow of energy throughout the ecosystem from one species to another.

Two essential features of the ecosystem are defined:

  • Independent Trophic Group: A set \(S\) of animal species is classified as an independent trophic group if no species \(x \in S\) can reach another species \(y \in S\) (for some \(y \ne x\)) through a series of directed feeding relationships, meaning there is no directed path in \(D\) from \(x\) to \(y\).

  • Trophic Balance Species: A species is termed a trophic balance species if it has a nearly equal number of species that affect it as directly or indirectly predators (species it can reach via a directed path in \(D\), excluding itself) and species that affect it as directly or indirectly prey (species that can reach it via a directed path in \(D\), excluding itself). Specifically, trophic balance species are those for which the absolute difference between the above two numbers is minimum among all species in the ecosystem.

Consider an ecosystem with \(n = 4\) species and \(m = 3\) feeding relationships:

  • Species 1: Grass (Node 1)
  • Species 2: Rabbits (Node 2)
  • Species 3: Foxes (Node 3)
  • Species 4: Hawks (Node 4)

The directed edges representing the feeding relationships are as follows:

  • \((1, 2)\): Grass is eaten by Rabbits.
  • \((2, 3)\): Rabbits are eaten by Foxes.
  • \((2, 4)\): Rabbits are also eaten by Hawks.

Now, consider the set \(S=\{3,4\}\) (Foxes and Hawks). There are no directed paths between Foxes (Node 3) and Hawks (Node 4); Foxes cannot reach Hawks, and Hawks cannot reach Foxes through any directed paths. Therefore, this set qualifies as an independent trophic group.

Examination of Species

  • Species 1 (Grass):
    • Can reach: 3 (Rabbits, Foxes, and Hawks)
    • Can be reached by: 0 (None)
    • Absolute difference: \(|3 - 0| = 3\)

  • Species 2 (Rabbits):

    • Can reach: 2 (Foxes and Hawks)
    • Can be reached by: 1 (Grass)
    • Absolute difference: \(|2 - 1| = 1\)
  • Species 3 (Foxes):

    • Can reach: 0 (None)
    • Can be reached by: 2 (Grass and Rabbits)
    • Absolute difference: \(|0-2| = 2\)
  • Species 4 (Hawks):

    • Can reach: 0 (None)
    • Can be reached by: 2 (Grass and Rabbits)
    • Absolute difference: \(|0-2| = 2\)

Among these species, Rabbits have the smallest absolute difference of \(1\), indicating that they are a trophic balance species within the ecosystem.

It is known that any independent trophic group in the ecosystem has a size of at most \(k\). The task is to find the set of all trophic balance species in the ecosystem.

Input

The first line contains exactly two integers \(n\) and \(m\), where \(n\) (resp. \(m\)) denotes the number of nodes (resp. edges) in the directed graph \(D\) induced by the investigated ecosystem. The nodes are numbered as \(1, 2, \ldots, n\). Then, \(m\) lines follow. The \(i\)-th line contains two integers \(x_i\) and \(y_i\) indicating a directed edge from node \(x_i\) to node \(y_i\).

  • \(1 \le n \le 2 \times 10^5\)
  • \(0 \le m \le \min\{ n(n-1), 4 \times 10^5\}\)
  • \(k\) is not an input value, and it is guaranteed that \(1 \le k \le 16\) for each investigated ecosystem.
  • For all \(i\) (\(1\le i\le m\)), \(1\le x_i, y_i\le n\) and \(x_i\neq y_i\).
  • Each ordered pair \((x_i, y_i)\) appears at most once in the input.
Output

Output on a single line the node identidiers of all trophic balance species in ascending order. For any two consecutive node identifiers, separate them by a space.

M. Selection Sort

Бинарный поиск Структуры данных *2000 жадные алгоритмы

Every student enrolled in the algorithms course is required to submit an assignment this week. The task is to implement an \(O(n^2)\)-time algorithm to sort \(n\) given integers in non-decreasing order. Alice has already completed her assignment, and her implementation is shown below.

int alice_sort(int *s, int n){
for(int i = 0; i < n; ++i){
for(int j = i + 1; j < n; ++j){
if(s[i] > s[j]){
int swap = s[i];
s[i] = s[j];
s[j] = swap;
}
}
}
return 0;
}

While you have access to Alice's code, you prefer not to simply copy it. Instead, you want to use Alice's sorting function as a building block for your own solution. There are two ways as listed below you can utilize her function, but each of them can be applied at most once. The order in which these two operations are invoked can be arbitrary.

  • Prefix sort: choose a length \(i \in \{1, 2, \ldots, n\}\) and call \(\texttt{alicesort(}s, i\texttt{)}\). This sorts the first \(i\) elements in the array \(s\).
  • Suffix sort: choose a length \(i \in \{1, 2, \ldots, n\}\) and call \(\texttt{alicesort(}s+n-i, i\texttt{)}\). This sorts the last \(i\) elements in the array \(s\).

Due to the time complexity of the sorting algorithm, the cost of performing either a prefix or suffix sort is \(i^2\), where \(i\) is the length of the chosen subarray. Your goal is to determine the minimum cost to sort the input array \(s\) of \(n\) integers in non-decreasing order using Alice's function, following the rules mentioned above.

For example, Let \(s=[3,2,5,5,4,1]\). We can first perform a suffix sort of length \(4\), and the array becomes \([3,2,1,4,5,5]\). Then, we perform a prefix sort of length \(3\), and the array becomes \([1,2,3,4,5,5]\), which is a sorted array. The cost is \(4^2+3^2=25\). Here is another example, let \(s=[4,3,2,1]\). We can complete the sorting by performing only a prefix sort of length \(4\), and the cost is \(4^2=16\).

Input

The first line contains exactly one integer \(n\) which indicates the number of integers in the array \(s\). The second line contains the \(n\) integers in \(s=[s_0, s_1, \ldots, s_{n-1}]\).

  • \(1 \le n \le 10^6\)
  • For all \(i\) (\(0\le i < n\)), \(0\le s_i < 2^{31}-1\).
Output

Output an integer on a line, indicating the minimum cost to sort the input array \(s\) of \(n\) integers in non-decreasing order using Alice's function, following the rules mentioned above.

E. Пары вершин

Бинарный поиск Деревья Перебор Структуры данных реализация поиск в глубину и подобное жадные алгоритмы разделяй и властвуй *2900

Дано дерево, состоящее из \(2n\) вершин. Напомним, что деревом называется связный неориентированный граф, в котором нет циклов. На каждой вершине написано одно целое число от \(1\) до \(n\). Каждое число от \(1\) до \(n\) написано ровно на двух различных вершинах. У каждой вершины также есть стоимость — вершина \(i\) стоит \(2^i\).

Требуется выбрать в дереве такое подмножество вершин, что:

  • подмножество связно; то есть, из каждой вершины подмножества можно добраться до любой другой вершины подмножества, проходя только через вершины подмножества;
  • каждое число от \(1\) до \(n\) написано хотя бы на одной вершине подмножества.

Среди всех таких подмножеств требуется найти такое, что суммарная стоимость вершин в нем минимальна. Обратите внимание, что не требуется минимизировать количество вершин в подмножестве.

Входные данные

В первой строке записано одно целое число \(n\) (\(1 \le n \le 2 \cdot 10^5\)).

Во второй строке записаны \(2n\) целых чисел \(a_1, a_2, \dots, a_{2n}\) (\(1 \le a_i \le n\)). Каждое число от \(1\) до \(n\) встречается ровно два раза.

В каждой из следующих \(2n-1\) строк записаны два целых числа \(v\) и \(u\) (\(1 \le v, u \le 2n\)) — ребра дерева. Данные ребра образуют валидное дерево.

Выходные данные

В первой строке выведите одно целое число \(k\) — количество вершин в подмножестве.

Во второй строке выведите \(k\) различных целых чисел от \(1\) до \(2n\) — номера вершин в выбранном подмножестве. Вершины можно выводить в произвольном порядке.

Примечание

На данных изображениях нарисованы ответы на первые два примера. В скобках около номеров вершин подписаны числа, написанные на них.

В первом примере есть такие валидные подмножества: \([2, 4, 5]\) (стоимость равна \(2^2 + 2^4 + 2^5 = 52\)), \([2, 4, 5, 6]\) (стоимость равна \(116\)), \([1, 6, 3]\) (стоимость равна \(74\)), \([2, 6, 3]\) (стоимость равна \(76\)) и многие другие.

Во втором примере стоимость подмножества \([4, 6, 3, 1]\) равна \(90\).

C. Суммы на отрезках

Бинарный поиск Перебор Структуры данных математика *1600 дп жадные алгоритмы

Дан массив \(a\) из \(n\) чисел, где все элементы, кроме, возможно, одного, равны \(-1\) или \(1\). Оставшийся элемент \(x\) удовлетворяет условию \(-10^9 \le x \le 10^9\).

Найдите все возможные суммы подмассивов массива \(a\), включая пустой подмассив, сумма которого равна \(0\). Другими словами, найдите все такие числа \(x\), что у массива \(a\) есть хотя бы один подмассив (возможно, пустой) с суммой \(x\). Подмассивом называется непрерывный подотрезок массива.

Выведите эти суммы в порядке возрастания. Каждая сумма должна быть выведена только один раз, даже если достигается на нескольких подмассивах.

Входные данные

Первая строка содержит одно целое число \(t\) (\(1 \le t \le 10^4\)) — количество наборов входных данных. Далее следуют \(t\) наборов входных данных.

Каждый набор входных данных состоит из двух строк:

  • первая строка содержит одно целое число \(n\) (\(1 \le n \le 2 \cdot 10^5\)) — размер массива;
  • вторая строка содержит \(n\) целых чисел \(a_1, a_2, \dots, a_n\) (\(-10^9 \le a_i \le 10^9\)) — элементы массива \(a\). В массиве \(a\) существует не более одного элемента, не равного ни \(1\), ни \(-1\).

Дополнительное ограничение на входные данные: сумма \(n\) по всем наборам входных данных не превышает \(2 \cdot 10^5\).

Выходные данные

Для каждого набора входных данных выведите две строки:

  • в первой строке выведите одно целое число — количество различных сумм на подмассивах;
  • во второй строке выведите сами суммы в порядке возрастания.

Каждую сумму следует выводить только один раз, даже если она достигается на нескольких подмассивах.

Примечание

Обозначим за \(a[i,j]\) подмассив массива \(a\) с \(i\)-й позиции по \(j\)-ю позицию.

В первом наборе входных данных примера из условия:

  • \(-1\) достигается на подмассиве \(a[2,2]\);
  • \(0\) достигается на пустом подмассиве;
  • \(1\) достигается на подмассиве \(a[4,4]\);
  • \(2\) достигается на подмассиве \(a[4,5]\);
  • \(9\) достигается на подмассиве \(a[2,3]\);
  • \(10\) достигается на подмассиве \(a[1,3]\);
  • \(11\) достигается на подмассиве \(a[3,4]\);
  • \(12\) достигается на подмассиве \(a[3,5]\).

E. Безумная задача

Бинарный поиск математика реализация теория чисел жадные алгоритмы *1300

Даны пять целых чисел \(k\), \(l_1\), \(r_1\), \(l_2\) и \(r_2\). Вам нужно помочь Wave посчитать количество упорядоченных пар \((x, y)\), таких что выполняются все следующие условия:

  • \(l_1 \leq x \leq r_1\).
  • \(l_2 \leq y \leq r_2\).
  • Существует неотрицательное целое число \(n\), такое что \(\frac{y}{x} = k^n\).
Входные данные

Первая строка содержит целое число \(t\) (\(1 \leq t \leq 10^4\)) — количество наборов входных данных.

Единственная строка каждого набора входных данных содержит пять целых чисел \(k\), \(l_1\), \(r_1\), \(l_2\) и \(r_2\) (\(2 \leq k \leq 10^9, 1 \leq l_1 \leq r_1 \leq 10^9, 1 \leq l_2 \leq r_2 \leq 10^9\)).

Выходные данные

Для каждого набора входных данных выведите количество подходящих упорядоченных пар \((x, y)\) на новой строке.

Примечание

В третьем наборе входных данных подходящие упорядоченные пары следующие:

  • \((5,15)\)
  • \((5,45)\)
  • \((6,18)\)
  • \((6,54)\)
  • \((7,21)\)
  • \((7,63)\)

В четвертом наборе входных данных единственная допустимая упорядоченная пара это \((1,1\,000\,000\,000)\)

F. Легкая демоническая задача

Бинарный поиск Перебор Структуры данных математика теория чисел *1900

Для произвольной матрицы Robot определяет её красоту как сумму элементов в матрице.

Robot дает вам массив \(a\) длиной \(n\) и массив \(b\) длиной \(m\). Вы строите матрицу \(n\) на \(m\) \(M\), такую что \(M_{i,j}=a_i\cdot b_j\) для всех \(1 \leq i \leq n\) и \(1 \leq j \leq m\).

Затем Robot дает вам \(q\) запросов, каждый из которых состоит из одного целого числа \(x\). Для каждого запроса определите, возможно ли выполнить следующую операцию ровно один раз так, чтобы \(M\) имела красоту \(x\):

  1. Выберите целые числа \(r\) и \(c\) такие, что \(1 \leq r \leq n\) и \(1 \leq c \leq m\).
  2. Установите \(M_{i,j}\) в \(0\) для всех упорядоченных пар \((i,j)\) таких, что \(i=r\), \(j=c\) или оба.

Обратите внимание, что запросы не являются постоянными, что означает, что вы на самом деле не устанавливаете никакие элементы в \(0\) в процессе — вам только нужно вывести, возможно ли найти \(r\) и \(c\) так, чтобы, если вышеуказанная операция будет выполнена, красота матрицы будет равна \(x\). Также обратите внимание, что вы должны выполнять операцию для каждого запроса, даже если красота исходной матрицыуже равна \(x\).

Входные данные

Первая строка содержит три целых числа \(n\), \(m\) и \(q\) (\(1 \leq n,m \leq 2\cdot 10^5, 1 \leq q \leq 5\cdot 10^4\)) — длина \(a\), длина \(b\) и количество запросов соответственно.

Вторая строка содержит \(n\) целых чисел \(a_1, a_2, \ldots, a_n\) (\(0 \leq |a_i| \leq n\)).

Третья строка содержит \(m\) целых чисел \(b_1, b_2, \ldots, b_m\) (\(0 \leq |b_i| \leq m\)).

Следующие \(q\) строк каждая содержит одно целое число \(x\) (\(1 \leq |x| \leq 2\cdot 10^5\)), красота матрицы, которую вы хотите достичь, установив все элементы в строке и столбце в \(0\).

Выходные данные

Для каждого набора входных данных выведите «YES» (без кавычек), если существует способ выполнить вышеупомянутую операцию так, чтобы красота была равна \(x\), и «NO» (без кавычек) в противном случае.

Вы можете выводить «YES» и «NO» в любом регистре (например, строки «yES», «yes» и «Yes» будут распознаны как положительный ответ).

Примечание

Во втором примере матрица выглядит следующим образом:

0 -2 5 0 -3

0 4 -10 0 6

0 -6 15 0 -9

0 0 0 0 0

0 0 0 0 0

Выполнив операцию с \(r=4\) и \(c=2\), получим матрицу:

0 0 5 0 -3

0 0 -10 0 6

0 0 15 0 -9

0 0 0 0 0

0 0 0 0 0

которая имеет красоту \(4\). Таким образом, мы выводим YES.

В втором запросе, выбирая \(r=3\) и \(c=5\), получается матрица с красотой \(-3\).

В третьем запросе, выбирая \(r=3\) и \(c=3\), получается матрица с красотой \(5\).

B. В конец со штрафом

Бинарный поиск Структуры данных *1600 жадные алгоритмы сортировки

Вам дан массив целых чисел \(a\) длиной \(n\). Вы можете выполнять следующую операцию ноль или более раз:

  • За одну операцию вы выбираете индекс \(i\) (\(1 \le i \le n\)), присваиваете \(a_i := a_i + 1\), и затем перемещаете \(a_i\) в конец массива (в самую правую позицию). Например, если \(a = [3, 5, 1, 9]\), и вы выбрали \(i = 2\), массив станет \([3, 1, 9, 6]\).

Найдите лексикографически наименьший\(^{\text{∗}}\) массив, который вы можете получить, выполняя эти операции.

\(^{\text{∗}}\)Массив \(c\) лексикографически меньше массива \(d\), если и только если выполняется одно из следующего:

  • \(c\) — префикс \(d\), но \(c \ne d\); или
  • в первой позиции, где \(c\) и \(d\) различны, в массиве \(c\) элемент меньше, чем соответствующий элемент в \(d\).
Входные данные

Каждый тест состоит из нескольких наборов входных данных. В первой строке находится одно целое число \(t\) (\(1 \le t \le 10^4\)) — количество наборов входных данных. Далее следует описание наборов входных данных.

Первая строка каждого набора содержит одно целое число \(n\) (\(1 \le n \le 10^5\)), длину массива.

Вторая строка содержит \(n\) целых чисел \(a_1, a_2, \ldots, a_n\) (\(1 \le a_i \le 10^9\)), элементы массива.

Гарантируется, что сумма значений \(n\) по всем наборам входных данных не превосходит \(10^5\).

Выходные данные

Для каждого набора входных данных выведите лексикографически наименьший массив, который вы можете получить.

C. Искатели приключений

Бинарный поиск Тернарный поиск Структуры данных *2100 жадные алгоритмы сортировки

Однажды четверо римских торговцев встретились в одном из римских мансионов, чтобы обсудить свои торговые планы. У торговцев была следующая проблема: торговали они одним и тем же видом товара, поэтому, если они занимались торговлей в одном и том же городе, неизбежно терпели убытки. Было решено распределить города, в которых будет вестись торговля, между собой.

Карту Рима можно в этой задаче представить как плоскость, на которой в некоторых местах отмечены точки — города Римской империи.

Торговцы хотят выбрать некоторую разделяющую точку \((x_0, y_0)\). Затем в городе с координатами \((x_i, y_i)\) будет торговать только

  • первый торговец, если \(x_0 \le x_i\) и \(y_0 \le y_i\);
  • второй торговец, если \(x_0 > x_i\) и \(y_0 \le y_i\);
  • третий торговец, если \(x_0 \le x_i\) и \(y_0 > y_i\);
  • четвертый торговец, если \(x_0 > x_i\) и \(y_0 > y_i\).

Торговцы хотят выбрать точку \((x_0, y_0)\) так, чтобы максимизировать минимальное количество городов, которое достанется кому-либо из них торговцев (то есть максимально честно). Помогите им найти такую точку.

Входные данные

Каждый тест состоит из нескольких наборов входных данных. В первой строке находится одно целое число \(t\) (\(1 \le t \le 10^4\)) — количество наборов входных данных. Далее следует описание наборов входных данных.

В первой строке каждого набора входных данных находится одно целое число \(n\) (\(4 \le n \le 10^5\)) — количество городов на карте.

Далее идут \(n\) строк, в каждой из которых записаны два целых числа \(x_i, y_i\) (\(-10^9 \le x_i, y_i \le 10^9\)) — координаты городов.

Обратите внимание, что некоторые точки могут совпадать. Это связано с тем, что некоторые города могут находиться настолько близко, что их невозможно разделить на карте в заданном масштабе.

Гарантируется, что сумма значений \(n\) по всем наборам входных данных не превосходит \(10^5\).

Выходные данные

В первой строке выведите одно целое число \(k\) (\(0 \le k \le \frac{n}{4}\)) — максимально возможное количество городов, которое достанется каждому торговцу.

Во второй строке выведите два целых числа \(x_0\) и \(y_0\) (\(|x_0|, |y_0| \le 10^9\)) — координаты разделяющей точки. Если подходящих точек может быть несколько, то разрешается вывести любую из них.

D. Кевин и воспоминания о соревнованиях

Бинарный поиск Перебор Структуры данных *1600 жадные алгоритмы сортировки

Кевин раньше попадал в воспоминания Рио, и в воспоминаниях Рио когда-то проводились серии соревнований. Кевин помнит всех участников и все задачи соревнований того времени, но он забыл конкретные раунды, распределение задач и точные рейтинги.

Всего есть \( m \) задач, при этом \( i \)-я задача имеет сложность \( b_i \). Пусть каждое соревнование состоит из \( k \) задач, в результате чего получается \( \lfloor \frac{m}{k} \rfloor \) соревнований. Это означает, что вы выбираете \( \lfloor \frac{m}{k} \rfloor \cdot k \) задач для соревнований в любом сочетании, при этом каждая задача выбирается не более одного раза, а оставшиеся \(m\bmod k\) задач остаются неиспользованными. Например, если \(m = 17\) и \(k = 3\), вы должны создать ровно \(5\) соревнований, состоящих из \(3\) задач каждое, и ровно \(2\) задачи останутся неиспользованными.

В соревнованиях участвовало всего \( n \) участников, причем Кевин был \(1\)-м участником. У \( i \)-го участника рейтинг \( a_i \). Во время соревнований участник решает все задачи, сложность которых не превышает его рейтинг, то есть \( i \)-й участник решает \( j \)-ю задачу тогда и только тогда, когда \( a_i \geq b_j \). В каждом соревновании ранг Кевина равен одному плюс количеству участников, которые решают больше задач, чем он.

Для каждого \( k = 1, 2, \ldots, m \) Кевин хочет знать минимальную сумму его рангов по всем \( \lfloor \frac{m}{k} \rfloor \) соревнованиям. Другими словами, для некоторого значения \(k\), после выбора задач для каждого соревнования, вы вычисляете ранг Кевина в каждом соревновании и суммируете эти ранги по всем \( \lfloor \frac{m}{k} \rfloor \) соревнованиям. Ваша цель — минимизировать это значение.

Обратите внимание, что соревнования для разных значений \(k\) независимы. Это означает, что для разных значений \(k\) вы можете независимо выбирать распределение задач в соревнованиях.

Входные данные

Каждый тест содержит несколько наборов входных данных. Первая строка содержит количество наборов \( t \) (\( 1 \le t \le 5\cdot 10^4 \)).

Первая строка каждого набора содержит два целых числа \( n \) и \( m \) (\( 1 \le n, m \leq 3\cdot 10^5 \)) — количество участников и количество задач.

Вторая строка каждого набора содержит \( n \) целых чисел \( a_1, a_2, \ldots, a_n \) (\( 0 \le a_i \le 10^9 \)) — рейтинг каждого участника.

Третья строка каждого набора содержит \( m \) целых чисел \( b_1, b_2, \ldots, b_m \) (\( 0 \le b_i \le 10^9 \)) — сложность каждой задачи.

Гарантируется, что сумма \( n \) и сумма \( m \) по всем тестам не превышают \( 3 \cdot 10^5 \).

Выходные данные

Для каждого набора выведите \(m\) целых чисел — минимальную сумму рангов Кевина для каждого \( k = 1, 2, \ldots, m\).

Примечание

Для первого набора:

Когда \(k=1\), поскольку каждое соревнование содержит только одну задачу, распределение на самом деле уникально. Например, в соревновании, которое включает только третью задачу (которая имеет сложность \(4\)), все участники, кроме \(2\)-го, могут ее решить. Поскольку никто не решает строго больше задач, чем Кевин, его ранг в этом соревновании равен \(1\). Аналогично, в всех \(4\) соревнованиях ранги Кевина равны \(1,3,1,2\), и сумма равна \(7\).

Когда \(k=2\), один из оптимальных способов — выбрать \(1\)-ю и \(3\)-ю задачи для формирования одного соревнования, а \(2\)-ю и \(4\)-ю — для другого. В первом соревновании \(4\) участника соответственно решают \(2,1,2,2\) задачи, поэтому ранг Кевина равен \(1\); во втором они соответственно решают \(0,0,2,1\), поскольку \(2\) участника (\(3\)-й и \(4\)-й) решают больше задач, чем Кевин, его ранг равен \(1+2=3\). Таким образом, ответ равен \(1+3=4\). Можно доказать, что нет способа достичь меньшей суммы.

Когда \(k=3\), мы можем просто выбрать \(1\)-ю, \(3\)-ю и \(4\)-ю задачи, чтобы сделать соревнование, и ранг Кевина равен \(2\), что является оптимальным.

Когда \(k=4\), поскольку есть только одно соревнование, распределение также уникально, и ранг Кевина равен \(3\).

E. Сломанные запросы

Бинарный поиск Перебор Конструктив реализация *2400 битмаски интерактив

Вы — волшебник, чье творение было уничтожено драконом. Вы полны решимости выследить его с помощью волшебного AOE-трекера. Но с ним, похоже, кто-то играет...

Это интерактивная задача

Есть скрытый бинарный массив \(a\) длины \(n\) (\(\mathbf{n}\) является степенью 2) и скрытое целое число \(k\ (2 \le k \le n - 1)\). Массив \(a\) содержит ровно одну 1 (а все остальные элементы равны 0). Для двух целых \(l\) и \(r\) (\(1 \le l \le r \le n\)) определим сумму диапазона \(s(l, r) = a_l + a_{l+1} + \cdots + a_r\).

У вас есть волшебное устройство, которое принимает диапазоны и возвращает суммы диапазонов, но оно возвращает противоположный результат, когда диапазон имеет длину хотя бы \(k\). Формально, в одном запросе вы можете задать ему пару целых \([l, r]\), где \(1 \le l \le r \le n\), и он вернёт либо \(0\), либо \(1\), в соответствии со следующими правилами:

  • Если \(r - l + 1 < k\), то он вернёт \(s(l, r)\).
  • Если \(r - l + 1 \ge k\), то он вернёт \(1 - s(l, r)\).

Найдите \(k\), используя не более \(33\) запросов.

Устройство является неадаптивным. Это означает, что скрытые \(a\) и \(k\) фиксируются перед взаимодействием и не изменяются во время взаимодействия.

Протокол взаимодействия

Каждый тест состоит из нескольких наборов входных данных. В первой строке находится одно целое число \(t\) (\(1 \le t \le 500\)) — количество наборов входных данных. Далее следует описание наборов входных данных.

Первая строка каждого набора входных данных содержит одно целое положительное число \(n\) (\(4 \le n \le 2^{30}\)) — длину скрытого массива. Гарантируется, что \(\mathbf{n}\) — это степень 2; то есть \(n = 2^m\) для некоторого целого неотрицательного числа \(m\).

Вы можете делать запросы следующим образом — выведите одну строку вида «\(\mathtt{?}\,l\,r\)», где \(1 \le l \le r \le n\). После этого считайте одно целое число: \(0\) или \(1\), как описано в условии.

Если вы хотите дать ответ \(k\), выведите «\(\mathtt{!}\,k\)». Затем взаимодействие продолжается со следующим набором входных данных.

Вывод ответа не учитывается при подсчете количества выполненных запросов.

После вывода каждого запроса не забудьте вывести перевод строки и сбросить буфер вывода\(^{\text{∗}}\). В противном случае вы получите вердикт Решение «зависло».

На любом шаге взаимодействия, если вы считали \(-1\) вместо корректных данных, ваше решение должно немедленно завершиться. Это означает, что ваше решение получит вердикт Неправильный ответ из-за некорректного запроса или любой другой ошибки. Если программа не завершится, вы можете получить любой вердикт, так как ваша программа продолжит чтение из закрытого потока.

Взломы

Формат взломов должен быть следующим: первая строка должна содержать одно целое число \(t\) (\(1 \le t \le 100\)) — количество наборов входных данных. Далее должно следовать описание наборов входных данных.

Первая и единственная строка каждого набора входных данных должна содержать три целых числа \(n\), \(p\), и \(k\) (\(4 \le n \le 2^{30}\), \(1 \le p \le n\), \(2 \le k \le n - 1\)) — длина скрытого массива \(a\), позиция единственной 1 в \(a\) и скрытое \(k\). \(n\) должно быть степенью \(2\).

\(^{\text{∗}}\)Чтобы сбросить буфер вывода, используйте:

  • fflush(stdout) или cout.flush() в C++;
  • sys.stdout.flush() в Python;
  • смотрите документацию для других языков.
Примечание

В первом наборе входных данных \(k = 6\), а 1 в скрытом массиве находится на позиции 6, так что \(a = [0, 0, 0, 0, 0, 1, 0, 0]\).

  • Для запроса 3 5, поскольку \(5-3+1 = 3 < k\), устройство отвечает правильно. Поскольку значение 6 не входит в диапазон \([3, 5]\), устройство отвечает \(0\).
  • Для запроса 1 8, поскольку \(8 - 1 + 1 = 8 \ge k\), устройство неправильно отвечает \(0\).
  • Для запроса 4 8, поскольку \(8 - 4 + 1 = 5 < k\), устройство правильно отвечает \(1\).
  • Для запроса 3 8, поскольку \(8 - 3 + 1 = 6 \ge k\), устройство неправильно отвечает \(0\).
Затем решение в примере выводит \(6\), что является правильным ответом.

Во втором наборе входных данных \(k = 2\), а 1 в скрытом массиве находится на позиции 3, так что \(a = [0, 0, 1, 0]\).

Обратите внимание, что в примере решению может не хватать информации для определения \(k\).

B. Путешествие

Бинарный поиск математика *800

Монокарп решил отправиться в длинное пешее путешествие.

Он решил, что в первый день пройдет \(a\) километров, во второй день пройдет \(b\) километров, в третий день пройдет \(c\) километров, в четвертый день, как и в первый, пройдет \(a\) километров, в пятый день, как и во второй, пройдет \(b\) километров, в шестой день, как и в третий, пройдет \(c\) километров, и так далее.

Монокарп завершит свое путешествие в тот день, когда он суммарно преодолеет хотя бы \(n\) километров. Перед вами стоит определить номер дня, в который Монокарп завершит свое путешествие.

Входные данные

В первой строке задано одно целое число \(t\) (\(1 \le t \le 10^4\)) — количество наборов входных данных.

Каждый набор входных данных состоит из одной строки, в которой задано четыре целых числа \(n\), \(a\), \(b\), \(c\) (\(1 \le n \le 10^9\); \(1 \le a, b, c \le 10^6\)).

Выходные данные

Для каждого набора входных данных выведите одно целое число — номер дня, в который Монокарп суммарно преодолеет хотя бы \(n\) километров и завершит свое путешествие.

Примечание

В первом примере за первые четыре дня Монокарп преодолеет \(1 + 5 + 3 + 1 = 10\) километров. В пятый день Монокарп преодолеет еще \(5\) километров, то есть суммарно за пять дней он преодолеет \(10 + 5 = 15\) километров. Так как \(n = 12\), Монокарп завершит свое путешествие в пятый день.

Во втором примере Монокарп за первый день преодолеет \(6\) километров. Так как \(n = 6\), Монокарп завершит свое путешествие в первый же день.

В третьем примере Монокарп за первые шесть дней преодолеет \(3 + 4 + 1 + 3 + 4 + 1 = 16\) километров. Так как \(n = 16\), Монокарп завершит свое путешествие в шестой день.

D. Подсчет количества пар

Бинарный поиск *1200 сортировки

Вам задана последовательность \(a\), состоящая из \(n\) целых чисел, причем \(i\)-е число последовательности равно \(a_i\). Также вам заданы два целых числа \(x\) и \(y\) (\(x \le y\)).

Пара целых чисел \((i, j)\) считается интересной, если выполняются следующие условия:

  • \(1 \le i < j \le n\);
  • если одновременно удалить из последовательности \(a\) числа в позициях \(i\) и \(j\), то сумма оставшихся элементов должна быть не меньше \(x\) и не больше \(y\).

Перед вами стоит задача определить количество интересных пар целых чисел для заданной последовательности \(a\).

Входные данные

В первой строке задано одно целое число \(t\) (\(1 \le t \le 10^4\)) — количество наборов входных данных.

Каждый набор входных данных состоит из двух строк:

  • в первой строке заданы три целых числа \(n, x, y\) (\(3 \le n \le 2 \cdot 10^5\), \(1 \le x \le y \le 2 \cdot 10^{14}\));
  • во второй строке заданы \(n\) целых чисел \(a_1, a_2, \dots, a_n\) (\(1 \le a_i \le 10^{9}\)).

Дополнительное ограничение на входные данные: сумма \(n\) по всем наборам входных данных не превосходит \(2 \cdot 10^5\).

Выходные данные

Для каждого набора входных данных выведите одно целое число — количество интересных пар целых чисел для заданной последовательности \(a\).

Примечание

В первом примере существует \(4\) интересных пары целых чисел:

  1. \((1, 2)\);
  2. \((1, 4)\);
  3. \((2, 3)\);
  4. \((3, 4)\).

E. Лучшая цена

Бинарный поиск Перебор Структуры данных *1600 жадные алгоритмы сортировки

В самый крупный магазин Берляндии поступила партия елей. В магазин уже пришли \(n\) клиентов, которые хотят их купить.

Перед началом продаж магазину осталось определиться с ценой за одну елку (цена одинакова для всех покупателей). Для этого у магазина есть некоторая информация о каждом клиенте.

Для \(i\)-го клиента известно два целых числа \(a_i\) и \(b_i\), которые определяют его поведение:

  • если цена товара не более \(a_i\), то клиент купит елку и оставит положительный отзыв;
  • иначе, если цена товара не более \(b_i\), то клиент купит елку, но оставит отрицательный отзыв;
  • иначе клиент не будет покупать елку вообще.

Ваша задача — посчитать максимально возможный заработок магазина, если можно получить не более \(k\) отрицательных отзывов.

Входные данные

Первая строка содержит одно целое число \(t\) (\(1 \le t \le 10^4\)) — количество наборов входных данных.

Первая строка каждого набора содержит два целых числа \(n\) и \(k\) (\(1 \le n \le 2 \cdot 10^5\); \(0 \le k \le n\)).

Вторая строка содержит \(n\) целых чисел \(a_1, a_2, \dots, a_n\) (\(1 \le a_i \le 2 \cdot 10^9\)).

Третья строка содержит \(n\) целых чисел \(b_1, b_2, \dots, b_n\) (\(1 \le b_i \le 2 \cdot 10^9\); \(a_i < b_i\)).

Дополнительное ограничение на входные данные: сумма \(n\) по всем наборам входных данных не превосходит \(2 \cdot 10^5\).

Выходные данные

Для каждого набора входных данных выведите одно целое число — максимально возможный заработок магазина, если можно получить не более \(k\) отрицательных отзывов.

Примечание

Рассмотрим пример из условия:

  • в первом наборе входных данных надо поставить цену, равную \(1\). Тогда оба клиента купят по одной елке и не оставят ни одного отрицательного отзыва;
  • во втором наборе входных данных надо поставить цену, равную \(5\). Тогда единственный клиент купит елку и оставит отрицательный отзыв;
  • в третьем наборе входных данных надо поставить цену, равную \(3\). Тогда все клиенты купят по одной елке, и магазин получит два отрицательных отзыва.
  • в четвертом наборе входных данных надо поставить цену, равную \(7\). Тогда два клиента купят по одной елке, и магазин получит один отрицательный отзыв.

B. Выдающийся импрессионист

Бинарный поиск Перебор Структуры данных жадные алгоритмы *1200

If it was so, then let's make it a deal...
— MayDay, Gentleness

К сожалению, даже после десяти лет копирования картин известных художников, Эрик все еще не смог стать искусным художником-импрессионистом. Он хочет что-то забыть, но феномен белого медведя продолжает нависать над ним.

Эрик до сих пор помнит \(n\) впечатлений в виде целочисленного массива. Он записал их как \(w_1, w_2, \ldots, w_n\). Однако у него плохая память на впечатления. Для каждого \(1 \leq i \leq n\) он только запомнил, что выполнялось условие \(l_i \leq w_i \leq r_i\).

Эрик считает, что впечатление \(i\) является уникальным тогда и только тогда, когда существует массив \(w_1, w_2, \ldots, w_n\), в котором \(w_i \neq w_j\) выполняется для всех \(1 \leq j \leq n\), где \(j \neq i\).

Пожалуйста, помогите Эрику определить, является ли впечатление \(i\) уникальным для каждого \(1 \leq i \leq n\), независимо для каждого \(i\). Возможно, ваше суждение поможет переписать финальную историю.

Входные данные

Каждый тест состоит из нескольких наборов входных данных. Первая строка содержит одно целое число \(t\) (\(1 \leq t \leq 10^4\)) — количество наборов входных данных. Далее следует описание наборов входных данных.

Первая строка каждого набора входных данных содержит одно целое число \(n\) (\(1 \leq n \leq 2\cdot 10^5\)) — количество впечатлений.

Далее следует \(n\) строк, \(i\)-я из которых содержит два целых числа \(l_i\) и \(r_i\) (\(1 \leq l_i \leq r_i \leq 2\cdot n\)) — минимально возможное значение и максимально возможное значение для \(w_i\).

Гарантируется, что сумма \(n\) по всем наборам входных данных не превосходит \(2\cdot 10^5\).

Выходные данные

Для каждого набора входных данных выведите бинарную строку \(s\) длины \(n\): для каждого \(1 \leq i \leq n\), если впечатление \(i\) уникально, то \(s_i=\texttt{1}\); в противном случае, \(s_i=\texttt{0}\). Выводите строку без пробелов.

Примечание

В первом наборе входных данных единственным возможным массивом \(w\) является \([1, 1]\), в котором ни \(1\), ни \(2\) впечатления не являются уникальными (поскольку \(w_1 = w_2\)).

Во втором наборе входных данных все впечатления могут быть уникальными:

  • Для \(i = 1\) мы можем сделать \(w\) равным \([1, 3, 2, 3]\), и в нём \(w_1 \neq w_2\), \(w_1 \neq w_3\) и \(w_1 \neq w_4\);
  • Для \(i = 2\) мы можем сделать \(w\) равным \([2, 3, 1, 2]\), и в нём \(w_2 \neq w_1\), \(w_2 \neq w_3\) и \(w_2 \neq w_4\);
  • Для \(i = 3\) мы можем сделать \(w\) равным \([1, 1, 3, 1]\);
  • Для \(i = 4\) мы можем сделать \(w\) равным \([2, 3, 3, 1]\).

В третьем наборе входных данных, для \(i = 4\) мы можем сделать \(w\) равным \([3, 2, 2, 1, 3, 2]\). Таким образом, впечатление \(4\) — уникально.

D. Оптимальность изысканных произведений

Бинарный поиск Структуры данных математика жадные алгоритмы сортировки *1700 расписания

As a tester, when my solution has a different output from the example during testing, I suspect the author first.
— Chris, a comment

Хотя Ирис иногда ставит задачу, решение которой неверно, она по-прежнему настаивает на создании задач с помощью своего воображения; в конце концов, все мы упрямы... И, как всегда, Ирис поставила перед собой задачу, которую она решила неправильно, и Крис должен её спасать! Но в этот раз вы будете играть роль Криса:

  • Крису даны два массива \(a\) и \(b\), оба состоящие из \(n\) целых чисел.
  • Ирис интересуется наибольшим возможным значением \(P = \prod\limits_{i=1}^n \min(a_i, b_i)\) после произвольной перестановки \(b\). Обратите внимание, что она хочет только узнать максимальное значение \(P\), элементы самого массива \(b\) не переставляются.
  • Будет внесено \(q\) изменений. Каждое изменение может быть обозначено двумя целыми числами \(o\) и \(x\) (значение \(o\) может быть \(1\) или \(2\), \(1 \leq x \leq n\)). Если \(o = 1\), то Ирис увеличивает \(a_x\) на \(1\); в противном случае она увеличивает \(b_x\) на \(1\).
  • Ирис спрашивает у Криса максимальное значение \(P\) суммарно \(q + 1\) раз: один раз перед изменениями, затем после каждого изменения.
  • Поскольку \(P\) может быть очень большим, Крису нужно только вычислить его по модулю \(998\,244\,353\).

Крис вскоре справился с этой задачей, но он так устал, что заснул. Помимо благодарности Крису, теперь ваша очередь написать программу для вычисления ответов по заданным входным данным.

Обратите внимание: поскольку входные и выходные данные большие, вам, возможно, потребуется оптимизировать их для решения данной задачи.

Например, в C++ достаточно использовать следующие строки в начале функции main():

int main() {
std::ios::sync_with_stdio(false);
std::cin.tie(nullptr); std::cout.tie(nullptr);
}
Входные данные

Каждый тест состоит из нескольких наборов входных данных. Первая строка содержит одно целое число \(t\) (\(1 \leq t \leq 10^4\)) — количество наборов входных данных. Далее следует описание наборов входных данных.

Первая строка каждого набора входных данных содержит два целых числа \(n\) и \(q\) (\(1 \leq n \leq 2\cdot 10^5\), \(1 \leq q \leq 2\cdot 10^5\)) — длина массива и количество операций.

Вторая строка каждого набора входных данных содержит \(n\) целых числа \(a_1, a_2, \ldots, a_n\) (\(1 \leq a_i \leq 5\cdot 10^8\)) — массив \(a\).

Третья строка каждого набора входных данных содержит \(n\) целых числа \(b_1, b_2, \ldots, b_n\) (\(1 \leq b_i \leq 5\cdot 10^8\)) — массив \(b\).

Затем следует \(q\) строк, каждая строка содержит два целых числа \(o\) и \(x\) (\(o \in \{1, 2\}\), \(1 \leq x \leq n\)), представляющие операцию.

Гарантируется, что и сумма \(n\), и сумма \(q\) по всем наборам входных данных не превосходят \(4\cdot 10^5\).

Выходные данные

Для каждого набора входных данных выведите на одной строке \(q + 1\) целых числа — ответы Криса по модулю \(998\,244\,353\).

Примечание

В первом наборе входных данных:

  • Перед внесением изменений Крис может переставить \(b\) в таком порядке: \([1, 2, 3]\), и тогда \(P = \prod\limits_{i=1}^n \min(a_i, b_i) = 1 \cdot 1 \cdot 2 = 2\). Можно доказать, что это максимально возможное значение. Например, если Крис переставит \(b = [2, 3, 1]\), то \(P\) будет равно \(1 \cdot 1 \cdot 1 = 1 < 2\), что не является оптимальным.
  • После первого изменения Крис может переставить \(b\) в таком порядке: \([1, 2, 3]\), и тогда \(P = 1 \cdot 1 \cdot 3 = 3\), что является максимально возможным значением.
  • После второго изменения Крис может переставить \(b\) в таком порядке: \([2, 2, 3]\), и тогда \(P = 1 \cdot 1 \cdot 3 = 3\), что является максимально возможным значением.
  • После третьего изменения Крис может переставить \(b\) в таком порядке: \([2, 2, 3]\), и тогда \(P = 6\), что является максимально возможным значением.
  • После четвертого изменения Крис может переставить \(b\) в таком порядке:\([2, 2, 4]\), и тогда \(P = 6\), что является максимально возможным значением.

G. Наивные разбиения строк

Строки Бинарный поиск Перебор математика теория чисел жадные алгоритмы хэши *3400

And I will: love the world that you've adored; wish the smile that you've longed for. Your hand in mine as we explore, please take me to tomorrow's shore.
— Faye Wong, As Wished

У Коколи есть строка \(t\) длины \(m\), состоящая из строчных латинских букв, и он хотел бы разделить её на части. Он называет пару строк \((x, y)\) прекрасной тогда и только тогда, когда существует последовательность строк \(a_1, a_2, \ldots, a_k\), такая, что:

  • \(t = a_1 + a_2 + \ldots + a_k\), где \(+\) обозначает конкатенацию строк.
  • Для каждого \(1 \leq i \leq k\) выполняется по крайней мере одно из следующих условий: \(a_i = x\), или \(a_i = y\).

У Коколи есть другая строка \(s\) длины \(n\), состоящая из строчных латинских букв. Теперь, для каждого \(1 \leq i < n\), Коколи хочет, чтобы вы определили, является ли пара строк \((s_1s_2 \ldots s_i, \, s_{i+1}s_{i+2} \ldots s_n)\) прекрасной.

Обратите внимание: поскольку входные и выходные данные большие, вам, возможно, потребуется оптимизировать их для решения этой задачи.

Например, в C++ достаточно использовать следующие строки в начале функции main():

int main() {
std::ios::sync_with_stdio(false);
std::cin.tie(nullptr); std::cout.tie(nullptr);
}
Входные данные

Каждый тест состоит из нескольких наборов входных данных. Первая строка содержит одно целое число \(T\) (\(1 \leq T \leq 10^5\)) — количество наборов входных данных. Далее следует описание наборов входных данных.

Первая строка каждого набора входных данных содержит два целых числа \(n\) и \(m\) (\(2 \leq n \leq m \leq 5 \cdot 10^6\)) — длины строк \(s\) и \(t\).

Вторая строка каждого набора входных данных содержит строку \(s\) длины \(n\), состоящую только из строчных латинских букв.

Третья строка каждого набора входных данных содержит строку \(t\) длины \(m\), состоящую только из строчных латинских букв.

Гарантируется, что сумма \(m\) по всем наборам входных данных не превосходит \(10^7\).

Выходные данные

Для каждого набора входных данных выведите бинарную строку \(r\) длины \(n - 1\): для каждого \(1 \leq i < n\), если \(i\)-я пара красива, \(r_i=\texttt{1}\); в противном случае, \(r_i=\texttt{0}\). Не выводите пробелы.

Примечание

В первом наборе входных данных, \(s = \tt aba\), \(t = \tt ababa\).

  • Для \(i = 1\): Коколи может разделить так: \(t = \texttt{a} + \texttt{ba} + \texttt{ba}\), поэтому пара строк \((\texttt{a}, \texttt{ba})\) прекрасна.
  • Для \(i = 2\): Коколи может разделить так: \(t = \texttt{ab} + \texttt{ab} + \texttt{a}\), поэтому пара строк \((\texttt{ab}, \texttt{a})\) прекрасна.

Во втором наборе входных данных, \(s = \tt czzz\), \(t = \tt czzzzzczzz\).

  • Для \(i = 1\): Можно доказать, что не существует разбиения \(t\) с использованием строк \(\texttt{c}\) и \(\texttt{zzz}\).
  • Для \(i = 2\): Коколи может разделить \(t\) на \(\texttt{cz} + \texttt{zz} + \texttt{zz} + \texttt{cz} + \texttt{zz}\).
  • Для \(i = 3\): Коколи может разделить \(t\) на \(\texttt{czz} + \texttt{z} + \texttt{z} + \texttt{z} + \texttt{czz} + \texttt{z}\).

D. Равные медианы

Бинарный поиск Перебор Структуры данных Комбинаторика дп разделяй и властвуй *2200

Массив \(b\) из \(m\) целых чисел называется хорошим, если после его сортировки выполняется \(b_{\left\lfloor \frac{m + 1}{2} \right\rfloor} = b_{\left\lceil \frac{m + 1}{2} \right\rceil}\). Другими словами, \(b\) является хорошим, если обе его медианы равны. В частности, если \(m\) нечетно, то \(\left\lfloor \frac{m + 1}{2} \right\rfloor = \left\lceil \frac{m + 1}{2} \right\rceil\), поэтому \(b\) гарантированно будет хорошим, если он имеет нечетную длину.

Вам дан массив \(a\) из \(n\) целых чисел. Вычислите количество хороших подмассивов\(^{\text{∗}}\) в \(a\).

\(^{\text{∗}}\)Массив \(x\) является подмассивом массива \(y\), если \(x\) может быть получен из \(y\) удалением нескольких (возможно, ни одного или всех) элементов с начала и нескольких (возможно, ни одного или всех) элементов с конца.

Входные данные

Каждый тест состоит из нескольких наборов входных данных. В первой строке находится одно целое число \(t\) (\(1 \le t \le 10^4\)) — количество наборов входных данных. Далее следует описание наборов входных данных.

Первая строка каждого набора входных данных содержит единственное целое число \(n\) (\(1 \le n \le 10^5\)) — длина массива.

Вторая строка каждого набора входных данных содержит \(n\) целых чисел \(a_1, a_2, \ldots, a_n\) (\(1 \le a_i \le \color{red}{\textbf{10}}\)) — заданный массив.

Гарантируется, что сумма значений \(n\) по всем наборам входных данных не превосходит \(10^5\).

Выходные данные

Для каждого набора входных данных выведите одно целое число — количество хороших подмассивов в \(a\).

Примечание

В первом наборе входных данных каждый подмассив является хорошим, поскольку все его элементы равны \(1\).

Во втором наборе входных данных примером хорошего подмассива является \(b = [10, 2, 3, 3]\). Если его отсортировать, то \(b = [2, 3, 3, 10]\), значит, \(b_{\left\lfloor \frac{4 + 1}{2} \right\rfloor} = b_{\left\lceil \frac{4 + 1}{2} \right\rceil} = b_2 = b_3 = 3\). Другим примером может быть \(b = [1, 10, 2]\). С другой стороны, \(b = [1, 10]\) не подходит, поскольку его две медианы равны \(1\) и \(10\), и они не равны.

E1. Очередное упражнение на графы (простая версия)

Бинарный поиск Перебор дп сортировки графы *2300 кратчайшие пути снм

Это простая версия задачи. Отличие между версиями заключается в том, что в этой версии есть дополнительное ограничение на \(m\). Вы можете делать взломы только в том случае, если решили все версии этой задачи.

Недавно преподавателям «Т-поколения» нужно было сделать учебный контест. Им не хватает одной задачи, и в контесте как раз нет ни одной задачи на графы, поэтому они придумали следующую задачу.

Вам дан связный взвешенный неориентированный граф из \(n\) вершин и \(m\) ребер, который не содержит петель и кратных ребер.

Есть \(q\) вопросов вида \((a, b, k)\): среди всех путей от вершины \(a\) до вершины \(b\) найти наименьший \(k\)-й максимум весов ребер на пути\(^{\dagger}\).

Преподавателям показалось, что задача звучит очень интересно, но есть одно но... они не умеют ее решать. Помогите им и решите задачу, ведь до начала контеста осталось всего пару часов.

\(^{\dagger}\) Пусть \(w_1 \ge w_2 \ge \ldots \ge w_{h}\) — веса всех ребер на пути в порядке невозрастания. Тогда \(k\)-й максимум весов ребер на этом пути равен \(w_{k}\).

Входные данные

Каждый тест состоит из нескольких наборов входных данных. В первой строке находится одно целое число \(t\) (\(1 \le t \le 100\)) — количество наборов входных данных. Далее следует описание наборов входных данных.

Первая строка каждого набора входных данных содержит три целых числа \(n, m\) и \(q\) (\(2 \le n \le 400\), \(n - 1 \le m \le \operatorname{min}(\mathbf{400}, \frac{n \cdot (n - 1)}{2})\), \(1 \le q \le 3 \cdot 10^5\)) — количество вершин, количество ребер и количество вопросов соответственно.

Каждая из следующих \(m\) строк каждого набора входных данных содержит три целых числа \(v, u\) и \(w\) (\(1 \le v, u \le n\), \(1 \le w \le 10^9\)) — концы очередного ребра графа и его вес соответственно. Гарантируется, что граф не содержит петель и кратных ребер.

Каждая из следующих \(q\) строк каждого набора входных данных содержит три целых числа \(a, b\) и \(k\) (\(1 \le a, b \le n\), \(k \ge 1\)) — очередной вопрос. Гарантируется, что любой путь из вершины \(a\) в вершину \(b\) содержит не менее \(k\) ребер.

Гарантируется, что сумма значений \(n\) по всем наборам входных данных не превосходит \(400\).

Гарантируется, что сумма значений \(m\) по всем наборам входных данных не превосходит \(400\).

Гарантируется, что сумма значений \(q\) по всем наборам входных данных не превосходит \(3 \cdot 10^5\).

Выходные данные

Для каждого набора входных данных выведите ответы на все вопросы.

Примечание

В первом наборе входных данных одним из оптимальных путей в первом запросе является путь \(1 \rightarrow 3 \rightarrow 4\), \(2\)-й максимум весов ребер на этом пути это \(1\). Во втором запросе одними из оптимальных путей являются путь \(2 \rightarrow 4 \rightarrow 3\), \(1\)-й максимум весов ребер это \(2\).

Во втором наборе входных данных одним из оптимальных путей в первом запросе является путь \(1 \rightarrow 2 \rightarrow 4 \rightarrow 5 \rightarrow 6\), \(3\)-й максимум весов ребер на этом пути это \(2\).

E2. Очередное упражнение на графы (сложная версия)

Бинарный поиск дп поиск в глубину и подобное сортировки графы кратчайшие пути снм *2500

Это сложная версия задачи. Отличие между версиями заключается в том, что в этой версии Дополнительные ограничения на \(m\) отсутствуют. Вы можете делать взломы только в том случае, если решили все версии этой задачи.

Недавно преподавателям «Т-поколения» нужно было сделать учебный контест. Им не хватает одной задачи, и в контесте как раз нет ни одной задачи на графы, поэтому они придумали следующую задачу.

Вам дан связный взвешенный неориентированный граф из \(n\) вершин и \(m\) ребер, который не содержит петель и кратных ребер.

Есть \(q\) вопросов вида \((a, b, k)\): среди всех путей от вершины \(a\) до вершины \(b\) найти наименьший \(k\)-й максимум весов ребер на пути\(^{\dagger}\).

Преподавателям показалось, что задача звучит очень интересно, но есть одно но... они не умеют ее решать. Помогите им и решите задачу, ведь до начала контеста осталось всего пару часов.

\(^{\dagger}\) Пусть \(w_1 \ge w_2 \ge \ldots \ge w_{h}\) — веса всех ребер на пути в порядке невозрастания. Тогда \(k\)-й максимум весов ребер на этом пути равен \(w_{k}\).

Входные данные

Каждый тест состоит из нескольких наборов входных данных. В первой строке находится одно целое число \(t\) (\(1 \le t \le 100\)) — количество наборов входных данных. Далее следует описание наборов входных данных.

Первая строка каждого набора входных данных содержит три целых числа \(n, m\) и \(q\) (\(2 \le n \le 400\), \(n - 1 \le m \le \frac{n \cdot (n - 1)}{2}\), \(1 \le q \le 3 \cdot 10^5\)) — количество вершин, количество ребер и количество вопросов соответственно.

Каждая из следующих \(m\) строк каждого набора входных данных содержит три целых числа \(v, u\) и \(w\) (\(1 \le v, u \le n\), \(1 \le w \le 10^9\)) — концы очередного ребра графа и его вес соответственно. Гарантируется, что граф не содержит петель и кратных ребер.

Каждая из следующих \(q\) строк каждого набора входных данных содержит три целых числа \(a, b\) и \(k\) (\(1 \le a, b \le n\), \(k \ge 1\)) — очередной вопрос. Гарантируется, что любой путь из вершины \(a\) в вершину \(b\) содержит не менее \(k\) ребер.

Гарантируется, что сумма значений \(n\) по всем наборам входных данных не превосходит \(400\).

Гарантируется, что сумма значений \(q\) по всем наборам входных данных не превосходит \(3 \cdot 10^5\).

Выходные данные

Для каждого набора входных данных выведите ответы на все вопросы.

Примечание

В первом наборе входных данных одним из оптимальных путей в первом запросе является путь \(1 \rightarrow 3 \rightarrow 4\), \(2\)-й максимум весов ребер на этом пути это \(1\). Во втором запросе одними из оптимальных путей являются путь \(2 \rightarrow 4 \rightarrow 3\), \(1\)-й максимум весов ребер это \(2\).

Во втором наборе входных данных одним из оптимальных путей в первом запросе является путь \(1 \rightarrow 2 \rightarrow 4 \rightarrow 5 \rightarrow 6\), \(3\)-й максимум весов ребер на этом пути это \(2\).

F. Линейка

Бинарный поиск Структуры данных дп сортировки *3300

В один из дней преподаватели «Т-поколения» решили приучить школьников к дисциплине, поэтому поставили их в ряд. Вам известно, что всего есть \(n\) школьников, у \(i\)-го по порядку школьника рост равен \(a_i\).

Школьникам комфортно, если для каждого \(i\) от \(1\) до \(n - 1\) выполняется следующее условие: \(a_i \cdot 2 \ge a_{i + 1}\). Изначально школьникам комфортно.

Преподавателям не нравится то, что максимальный рост в ряду слишком маленький, поэтому они хотят накормить школьников пиццей. Если школьник съест одну пиццу, то его рост увеличится на \(1\). Одну пиццу может съесть только один школьник, но каждый школьник может съесть неограниченное количество пицц. Важно, чтобы после того как все школьники съели свои пиццы, школьникам было комфортно.

У преподавателей есть \(q\) вариантов того, сколько пицц они закажут. Для каждого варианта \(k_i\) ответьте на вопрос: какой максимальный рост \(\max(a_1, a_2, \ldots, a_n)\) можно получить, если школьники съедят не более \(k_i\) пицц.

Входные данные

Каждый тест состоит из нескольких наборов входных данных. В первой строке находится одно целое число \(t\) (\(1 \le t \le 10^4\)) — количество наборов входных данных. Далее следует описание наборов входных данных.

Первая строка каждого набора входных данных содержит два целых числа \(n\) и \(q\) (\(1 \le n, q \le 5 \cdot 10^4\)) — количество школьников и количество вариантов того, сколько пицц закажут преподаватели.

Вторая строка каждого набора входных данных содержит \(n\) целых чисел \(a_1, a_2, \ldots, a_n\) (\(1 \le a_i \le 10^9\)) — высоты школьников. Гарантируется, что изначально школьникам комфортно.

Каждая из следующих \(q\) строк каждого набора входных данных содержит одно целое число \(k_i\) (\(1 \le k_i \le 10^9\)) — очередной вариант того, сколько максимум пицц могут съесть школьники.

Гарантируется, что сумма значений \(n\) по всем наборам входных данных не превосходит \(5 \cdot 10^4\).

Гарантируется, что сумма значений \(q\) по всем наборам входных данных не превосходит \(5 \cdot 10^4\).

Выходные данные

Для каждого набора входных данных для каждого варианта того, сколько максимум пицц могут съесть школьники, выведите максимальное значение \(\max(a_1, a_2, \ldots, a_n)\), которое можно получить, чтобы школьникам было комфортно.

Примечание

В первом запросе первого набора входных данных можно сначала дать \(3\) пиццы первому школьнику, а потом второму школьнику \(6\) пицц, тогда итоговый массив станет \([13, 26]\) (школьникам комфортно, так как \(13 \cdot 2 \ge 26\)), максимальный элемент в нем равен \(26\).

B. Кевин и Геометрия

Бинарный поиск геометрия *1100

У Кевина есть \(n\) палочек с длинами \(a_1,a_2,\ldots,a_n\).

Кевин хочет выбрать из них \(4\) палочки, чтобы сформировать равнобедренную трапецию\(^{\text{∗}}\) с положительной площадью. Обратите внимание, что прямоугольники и квадраты также считаются равнобедренными трапециями. Помогите Кевину найти решение. Если решения не существует, выведите \(-1\).

\(^{\text{∗}}\)Равнобедренная трапеция — это выпуклый четырехугольник с осью симметрии, делящей пополам одну пару противоположных сторон. В любой равнобедренной трапеции две противоположные стороны (основания) параллельны, а две другие стороны (боковые) равны по длине.

Входные данные

Каждый тест состоит из нескольких наборов входных данных. В первой строке находится одно целое число \(t\) (\(1 \le t \le 10^4\)) — количество наборов входных данных. Далее следует описание наборов входных данных.

Первая строка каждого набора входных данных содержит одно целое число \(n\) (\(4 \le n \le 2\cdot 10^5\)).

Вторая строка содержит \(n\) целых чисел \(a_1, a_2, \ldots, a_n\) (\(1 \le a_i \le 10^8\)).

Гарантируется, что сумма значений \(n\) по всем наборам входных данных не превосходит \(2\cdot 10^5\).

Выходные данные

Для каждого набора входных данных выведите \(4\) целых числа — длины палочек. Если решения не существует, выведите \(-1\).

Если существует несколько решений, выведите любое из них.

Примечание

В первом наборе входных данных можно сформировать равнобедренную трапецию с основаниями длиной \(5\) и \(10\) и двумя боковыми сторонами длиной \(5\).

Во втором наборе входных данных можно сформировать равнобедренную трапецию с двумя основаниями длиной \(5\) и двумя боковыми сторонами длиной \(10\). Прямоугольник также считается равнобедренной трапецией.

В третьем наборе входных данных нет палочек одинаковой длины. Следовательно, невозможно сформировать равнобедренную трапецию.

В четвертом наборе входных данных невозможно сформировать равнобедренную трапецию с положительной площадью.

D. Игра с треугольниками

Бинарный поиск Тернарный поиск Перебор Структуры данных математика реализация геометрия *2000 жадные алгоритмы

Даже маленькому Джону нужны деньги, чтобы купить дом. Но он недавно потерял работу; как же он теперь заработает деньги? Конечно, играя в игру, которая дает ему деньги в качестве награды! Ну, может быть, не в те игры, о которых вы думаете.

На плоскости есть \(n+m\) различных точек \((a_1,0), (a_2,0), \ldots, (a_{n},0), (b_1,2), (b_2,2), \ldots, (b_{m},2)\). Изначально ваш счет равен \(0\). Чтобы увеличить свой счет, вы можете выполнить следующую операцию:

  • Выберите три различные точки, которые не лежат на одной прямой.
  • Увеличьте свой счет на площадь треугольника, образованного этими тремя точками.
  • Затем удалите три точки с плоскости.
Пример игры, где операция выполняется дважды.

Пусть \(k_{\max}\) — максимальное количество операций, которое можно выполнить. Например, если нельзя выполнить эту операцию ни разу, то \(k_\max\) равно \(0\). Кроме того, определим \(f(k)\) как максимальный возможный счет, который можно получить, выполнив операцию ровно \(k\) раз. Здесь \(f(k)\) определено для всех целых чисел \(k\), таких что \(0 \le k \le k_{\max}\).

Найдите значение \(k_{\max}\) и найдите значения \(f(x)\) для всех целых чисел \(x=1,2,\ldots,k_{\max}\) независимо.

Входные данные

Каждый тест состоит из нескольких наборов входных данных. В первой строке находится одно целое число \(t\) (\(1 \le t \le {3 \cdot 10^4}\)) — количество наборов входных данных. Далее следует описание наборов входных данных.

Первая строка каждого набора входных данных содержит два целых числа \(n\) и \(m\) (\(1 \le n,m \le 2 \cdot 10^5\)).

Вторая строка каждого набора входных данных содержит \(n\) попарно различных целых чисел \(a_1,a_2,\ldots,a_{n}\) — точки на \(y=0\) (\(-10^9 \le a_i \le 10^9\)).

Третья строка каждого набора входных данных содержит \(m\) попарно различных целых чисел \(b_1,b_2,\ldots,b_{m}\) — точки на \(y=2\) (\(-10^9 \le b_i \le 10^9\)).

Гарантируется, что сумма \(n\) и сумма \(m\) по всем наборам входных данных не превышают \(2 \cdot 10^5\).

Выходные данные

Для каждого набора входных данных, учитывая, что максимальное количество операций равно \(k_{\max}\), вы должны вывести не более двух строк:

  • Первая строка содержит значение \(k_{\max}\);
  • Вторая строка содержит \(k_{\max}\) целых числа, обозначающих \(f(1),f(2),\ldots,f(k_{\max})\). Вы можете опустить эту строку, если \(k_{\max}\) равно \(0\).

Обратите внимание, что в условиях этой задачи можно показать, что все значения \(f(x)\) являются целыми числами, не превышающими \(10^{16}\).

Примечание

В первом наборе входных данных есть \(1+3=4\) точки \((0,0),(0,2),(1,2),(-1,2)\).

Можно показать, что вы не можете выполнить две или более операций. Значение \(k_{\max}\) равно \(1\), и вас просят только о значении \(f(1)\).

Вы можете выбрать \((0,0)\), \((-1,2)\) и \((1,2)\) в качестве трех вершин треугольника. После этого ваш счет увеличивается на площадь треугольника, которая равна \(2\). Затем три точки удаляются с плоскости. Можно показать, что максимальное значение вашего счета после выполнения одной операции равно \(2\). Следовательно, значение \(f(1)\) равно \(2\).

В пятом наборе входных данных есть \(8+2=10\) точек.

Можно показать, что вы не можете выполнить три или более операций. Значение \(k_{\max}\) равно \(2\), и вас просят о значениях \(f(1)\) и \(f(2)\).

Чтобы максимизировать счет с помощью только одной операции, вы можете выбрать три точки \((198\,872\,582,0)\), \((-1\,000\,000\,000,2)\) и \((1\,000\,000\,000,2)\). Затем три точки удаляются с плоскости. Можно показать, что максимальное значение вашего счета после выполнения одной операции равно \(2\,000\,000\,000\). Следовательно, значение \(f(1)\) равно \(2\,000\,000\,000\).

Чтобы максимизировать счет с помощью ровно двух операций, вы можете выбрать следующую последовательность операций.

  • Выберите три точки \((-509\,489\,796,0)\), \((553\,177\,666,0)\) и \((-1\,000\,000\,000,2)\). Три точки удаляются.
  • Выберите три точки \((-400\,714\,529,0)\), \((564\,040\,265,0)\) и \((1\,000\,000\,000,2)\). Три точки удаляются.

Тогда счет после двух операций становится \(2\,027\,422\,256\). Можно показать, что максимальное значение вашего счета после выполнения ровно двух операций равно \(2\,027\,422\,256\). Следовательно, значение \(f(2)\) равно \(2\,027\,422\,256\).

C1. Скибидус и Fanum tax (простая версия)

Бинарный поиск дп *1100 жадные алгоритмы

Это простая версия задачи. В этой версии \(m = 1\).

Скибидус получил два массива \(a\) и \(b\), содержащие соответственно \(n\) и \(m\) элементов. Для каждого целого числа \(i\) от \(1\) до \(n\) ему разрешено выполнить операцию не более одного раза:

  • Выбрать целое число \(j\) такое, что \(1 \leq j \leq m\). Присвоить \(a_i := b_j - a_i\). Обратите внимание, что в результате этой операции \(a_i\) может стать неположительным.

Скибидус нуждается в вашей помощи, чтобы определить, может ли он отсортировать \(a\) в неубывающем порядке\(^{\text{∗}}\) выполнив вышеуказанную операцию некоторое количество раз.

\(^{\text{∗}}\)\(a\) отсортирован в неубывающем порядке, если \(a_1 \leq a_2 \leq \ldots \leq a_n\).

Входные данные

Первая строка содержит целое число \(t\) (\(1 \leq t \leq 10^4\)) — количество наборов входных данных.

Первая строка каждого набора входных данных содержит два целых числа \(n\) и \(m\) (\(1 \leq n \leq 2 \cdot 10^5\), \(\textbf{m = 1}\)).

Следующая строка каждого набора входных данных содержит \(n\) целых чисел \(a_1, a_2, \ldots, a_n\) (\(1 \leq a_i \leq 10^9\)).

Следующая строка каждого набора входных данных содержит \(m\) целых чисел \(b_1, b_2, \ldots, b_m\) (\(1 \leq b_i \leq 10^9\)).

Гарантируется, что сумма \(n\) и сумма \(m\) по всем наборам входных данных не превышают \(2 \cdot 10^5\).

Выходные данные

Для каждого набора входных данных, если возможно отсортировать \(a\) в неубывающем порядке, выведите «YES» на новой строке. В противном случае выведите «NO» на новой строке.

Вы можете выводить ответ в любом регистре. Например, строки «yEs», «yes», и «Yes» также будут распознаны как положительные ответы.

Примечание

В первом наборе входных данных \([5]\) уже отсортирован.

Во втором наборе входных данных можно показать, что это невозможно.

В третьем наборе входных данных мы можем присвоить \(a_3:=b_1-a_3=6-2=4\). Последовательность \([1,4,4,5]\) отсортирована в неубывающем порядке.

В последнем случае мы можем применить операции на каждом индексе. Последовательность становится \([-1,0,1]\), которая отсортирована в неубывающем порядке.

C2. Скибидус и Fanum tax (сложная версия)

Бинарный поиск жадные алгоритмы *1300

Это сложная версия задачи. В этой версии \(m \leq 2\cdot 10^5\).

Скибидус получил два массива \(a\) и \(b\), содержащие соответственно \(n\) и \(m\) элементов. Для каждого целого числа \(i\) от \(1\) до \(n\) ему разрешено выполнить операцию не более одного раза:

  • Выбрать целое число \(j\) такое, что \(1 \leq j \leq m\). Присвоить \(a_i := b_j - a_i\). Обратите внимание, что в результате этой операции \(a_i\) может стать неположительным.

Скибидус нуждается в вашей помощи, чтобы определить, может ли он отсортировать \(a\) в неубывающем порядке\(^{\text{∗}}\) выполнив вышеуказанную операцию некоторое количество раз.

\(^{\text{∗}}\)\(a\) отсортирован в неубывающем порядке, если \(a_1 \leq a_2 \leq \ldots \leq a_n\).

Входные данные

Первая строка содержит целое число \(t\) (\(1 \leq t \leq 10^4\)) — количество наборов входных данных.

Первая строка каждого набора входных данных содержит два целых числа \(n\) и \(m\) (\(1 \leq n \leq 2 \cdot 10^5\), \(1 \leq m \leq 2\cdot 10^5\)).

Следующая строка каждого набора входных данных содержит \(n\) целых чисел \(a_1, a_2, \ldots, a_n\) (\(1 \leq a_i \leq 10^9\)).

Следующая строка каждого набора входных данных содержит \(m\) целых чисел \(b_1, b_2, \ldots, b_m\) (\(1 \leq b_i \leq 10^9\)).

Гарантируется, что сумма \(n\) и сумма \(m\) по всем наборам входных данных не превышают \(2 \cdot 10^5\).

Выходные данные

Для каждого набора входных данных, если возможно отсортировать \(a\) в неубывающем порядке, выведите «YES» на новой строке. В противном случае выведите «NO» на новой строке.

Вы можете выводить ответ в любом регистре. Например, строки «yEs», «yes», и «Yes» также будут распознаны как положительные ответы.

Примечание

В первом наборе входных данных \([5]\) уже отсортирован.

Во втором наборе входных данных можно показать, что это невозможно.

В третьем наборе входных данных мы можем установить \(a_2:=b_1-a_2=6-4=2\) и \(a_3:=b_3-a_3=8-6=2\). Последовательность \([2,2,2,5]\) отсортирована в неубывающем порядке.

В последнем случае мы можем применить операции на каждом индексе. Последовательность становится \([-1,0,1]\), которая отсортирована в неубывающем порядке.

E. Тропический сезон

Бинарный поиск Структуры данных реализация жадные алгоритмы *3300

Перед вами находятся \(n\) бочек бесконечной вместимости. В \(i\)-й бочке изначально находится \(a_i\) килограмм воды. В этой задаче мы считаем, что все бочки сами по себе весят одинаково.

Вам известно, что на поверхности ровно одной из бочек распределено небольшое количество тропического яда, общий вес нанесённого яда составляет \(0.179\) килограмм. Но вы не знаете, на какой именно бочке находится яд. Ваша задача определить эту ядовитую бочку.

Все бочки стоят на весах. К сожалению, весы не показывают точный вес каждой из бочек. Вместо этого, для каждой пары бочек они показывают результат сравнения между весами этих бочек. Таким образом, для любых двух бочек вы можете определить, совпадают ли их веса, а если нет, вес какой из бочек больше. Яд и вода учитываются в весе бочки.

Весы работают постоянно, и информацию с них можно использовать в неограниченном количестве.

Также вам доступны переливания. Вы можете переливать воду из любой бочки в любую другую в любых количествах.

Но для переливания вам надо взять в руки бочку, из которой вы будете переливать, поэтому если это окажется ядовитая бочка, вы умрёте. Такого исхода допустить нельзя.

Однако в ядовитую бочку наливать воду можно, её вы не касаетесь.

Другими словами, вы можете выбрать числа \(i, j, x\) (\(i \neq j, 1 \leq i, j \leq n, 0 < x \leq a_i\), бочка под номером \(i\) не является ядовитой) и выполнить \(a_i := a_i - x\), \(a_j := a_j + x\). Где \(x\) не обязательно является целым числом.

Возможно ли гарантированно определить, в какой из бочек яд, и остаться живым, используя переливания и информацию с весов? Вам известно, что яд находится ровно на одной из бочек.

Также мы просим вас обработать \(q\) запросов. В каждом запросе либо удаляется одна из имеющихся бочек, либо добавляется дополнительная бочка с каким-то количеством воды. После каждого запроса надо ответить, возможно ли гарантированно определить ядовитую бочку, если известно, что она ровно одна?

Входные данные

Первая строка содержит два целых числа \(n\) и \(q\) (\(1 \le n, q \le 2 \cdot 10^5\)).

Вторая строка содержит \(n\) целых чисел \(a_1, a_2, \ldots, a_n\) (\(1 \le a_i \le 10^6\)) — объёмы воды в имеющихся бочках.

В следующих \(q\) строках вводятся запросы, по одному в строке. Каждый запрос имеет вид, либо + x, либо - x, что означает, соответственно, добавление и удаление бочки с \(x\) килограммами воды. Гарантируется, что при запросе - x одна из имеющихся бочек имеет объём \(x\), а также, что по ходу запросов всегда остаётся хотя бы одна бочка. Во всех запросах выполняется \(1 \leq x \leq 10^6\).

Выходные данные

Выведите \(q+1\) строку, ответ на задачу до всех запросов и после каждого запроса. Если возможно определить ядовитую бочку, выведите «Yes», иначе «No».

Вы можете выводить каждую букву в любом регистре (строчную или заглавную). Например, строки «yEs», «yes», «Yes» и «YES» будут приняты как положительный ответ.

Примечание

В первом тесте, до всех запросов, веса бочек \([2, 2, 4, 11]\). Вы можете посмотреть на значение сравнения первой и второй бочки. Если результат не равенству, можно однозначно заключить, что бочка с большим весом — ядовитая. Если же результат равенству, обе бочки неядовиты. Тогда можно перелить всё содержимое первой бочки во вторую. После чего во второй и в третьей бочки будет по \(4\) килограмма воды. Посмотрим на значение сравнения второй и третьей бочки. Если результат не равенству, бочка с большим весом — ядовитая. Иначе, обе бочки не ядовитые. И единственная бочка, которая может быть ядовитой — бочка 4. Итого с такой стратегией, мы можем безопасно определить ядовитую бочку.

E. Братья по крови

Бинарный поиск Деревья Структуры данных *2100 поиск в глубину и подобное

Поликарп раздобыл дерево родственных связей. Найденное дерево описывает родственные связи n человек, пронумерованных от 1 до n. Каждый человек в этом дереве имеет не более одного непосредственного предка.

Назовем человека a 1-прародителем человека b, если a является непосредственным предком b.

Назовем человека a k-прародителем (k > 1) человека b, если у человека b есть 1-прародитель, и a является (k - 1)-прародителем 1-прародителя b.

В найденном дереве родственные связи не образуют циклов. Другими словами не существует человека, который непосредственно или косвенно является собственным прародителем (то есть является x-прародителем самого себя, для некоторого x, x > 0).

Назовем двух людей x и y (x ≠ y) p-юродными братьями (p > 0), если существует человек z, который является p-прародителем x и p-прародителем y.

Поликарп очень сильно интересуется сколько у кого и каких братьев. Он записал на листочке m пар чисел vi, pi. Помогите ему для каждой пары vi, pi узнать, сколько у человека vi pi-юродных братьев.

Входные данные

В первой строке входных данных записано единственное целое число n (1 ≤ n ≤ 105) — количество людей в дереве. В следующей строке записано n целых чисел через пробел r1, r2, ..., rn, где ri (1 ≤ ri ≤ n) — номер непосредственного предка человека номер i или 0 если у человека номер i нет непосредственного предка. Гарантируется, что родственные связи не образуют циклов.

В третьей строке записано единственное целое число m (1 ≤ m ≤ 105) — количество записей Поликарпа. В m следующих строках записаны пары целых чисел через пробел. В i-ой строке записаны числа vi, pi (1 ≤ vi, pi ≤ n).

Выходные данные

Выведите m целых чисел, разделенных пробельными символами, — ответы на записи Поликарпа. Ответы для записей выводите в том порядке, в котором записи встречаются во входных данных.

C. Полоска 2

Бинарный поиск дп *2000 сортировки

Однажды Вася взял бумажную полоску из n клеток (высота полоски равна 1 клетке) и в каждой клетке написал целое число, возможно отрицательное. Ему стало интересно, сколько существует способов разрезать полоску на три части так, что суммы чисел в каждой из частей равны между собой, и в каждой части содержится целое положительное число клеток. Помогите Васе решить эту задачу.

Входные данные

В первой строке входных данных содержится целое число n (1 ≤ n ≤ 105) — количество клеток в полоске. Во второй строке содержится n чисел, разделенных пробелами — числа, записанные в клетках полоски. Эти числа целые и не превосходят по модулю 10000.

Выходные данные

Выведите число способов разрезать полоску на три непустые части так, что суммы чисел в каждой из частей равны между собой. Не забудьте, что разрезать полоску разрешается только по границам клеток.

D. Паутина

Бинарный поиск сортировки *1700

Паучок По плетет паутину. Плести паутину целое искусство, По учится этому всю жизнь. Давайте рассмотрим структуру паутины.

Из центра паутины исходят n основных нитей. Все основные нити находятся в одной плоскости и делят ее на n равных бесконечных секторов. Секторы нумеруются целыми числами от 1 до n по часовой стрелке. Секторы i и i + 1 считаются соседними для любого i, 1 ≤ i < n. Кроме того, соседними считаются секторы 1 и n.

В некоторых секторах имеются нити-перемычки. Каждая перемычка соединяет две основные нити, образующие данный сектор. Точки, в которых перемычка крепится к основным нитям, будем называть точками крепления. Обе точки крепления перемычки находятся на одинаковом расстоянии от центра паутины. В каждой точке крепления крепится ровно одна перемычка. Перемычки считаются соседними, если они находятся в одном секторе и между ними нет других перемычек.

Ячейкой паутины называется трапеция, которая находится в каком-либо из секторов и ограничена двумя основными линиями и двумя соседними перемычками. Можно заметить, что на боковых сторонах ячейки могут быть точки крепления перемычек из соседних секторов. Если количество точек крепления на одной боковой стороне ячейки не равно количеству точек крепления на другой боковой стороне, то это вносит дисбаланс сил натяжения на данную ячейку и со временем может разрушить всю паутину. Назовем такую ячейку нестабильной. Идеальная паутина не содержит в себе нестабильных ячеек.

На картинке нестабильные ячейки отмечены красным цветом. Стабильные ячейки отмечены зеленым цветом.

Паучок По еще не мастер, он только учится плести идеальные паутины. Помогите По определить количество нестабильных ячеек в паутине, которую он только что сплел.

Входные данные

В первой строке записано целое число n (3 ≤ n ≤ 1000) — количество основных нитей.

В i-ой из следующих n строк описываются перемычки, расположенные в i-ом секторе: сперва записано целое число ki (1 ≤ ki ≤ 105) равное количеству перемычек в данном секторе, далее идут ki различных целых чисел pij (1 ≤ pij ≤ 105; 1 ≤ j ≤ ki). Число pij равно расстоянию от точек крепления j-ой перемычки i-го сектора до центра паутины.

Гарантируется, что любые две перемычки из соседних секторов крепятся на различном расстоянии от центра паутины. Гарантируется, что общее число перемычек не превосходит 105.

Выходные данные

Выведите единственное целое число — количество нестабильных ячеек в паутине паучка По.

D. Олимпиада

Бинарный поиск жадные алгоритмы сортировки *1900

Мальчик Вася участвовал в олимпиаде. Учитель мальчика знает, что Вася получил за оба тура олимпиады в сумме не меньше, чем x баллов. У учителя есть результаты первого тура и результаты второго тура олимпиады, но вот беда — в результатах указаны лишь баллы, без фамилий. Учителю необходимо знать, на что Вася может рассчитывать.

Помогите учителю Васи, найдите два числа — наилучшее и наихудшее место, которое мог занять Вася. Учтите, что в итоговой таблице участники сортируются по сумме баллов за оба тура (у участника на первом месте больше всего баллов). Если два (или более) участника получили одинаковое количество баллов, жюри может им назначить места по своему усмотрению. Гарантируется, что каждый участник олимпиады участвовал в обоих турах олимпиады.

Входные данные

В первой строке записаны через пробел два целых числа n, x (1 ≤ n ≤ 105; 0 ≤ x ≤ 2·105) — количество участников олимпиады и минимальное количество набранных Васей баллов.

Во второй строке записаны n целых чисел через пробел: a1, a2, ..., an (0 ≤ ai ≤ 105) — баллы участников в первом туре.

В третьей строке записаны n целых чисел через пробел: b1, b2, ..., bn (0 ≤ bi ≤ 105) — баллы участников во втором туре.

Баллы участников заданы в произвольном порядке. Гарантируется, что Вася присутствовал на олимпиаде — существуют два целых числа i, j (1 ≤ i, j ≤ n) такие, что ai + bj ≥ x.

Выходные данные

Выведите через пробел два целых числа — наилучшее и наихудшее место из тех, что мог занять Вася на олимпиаде.

Примечание

В первом тестовом примере в любом случае все 5 участников набирают по 2 балла. В зависимости от решения жюри, Васе могут присудить как первое (наилучшее) место, так и последнее (наихудшее), пятое.

Во втором тестовом примере в лучшем для Васи случае он снова выигрывает: он может набрать 12 баллов и стать абсолютным победителем, если итоговая таблица будет выглядеть так — {4:8, 6:4, 3:6, 4:4, 4:3, 5:0}.

В этой таблице все участники расположены по убыванию количества баллов, и для участника показано, сколько баллов он набрал в первом и во втором туре.

В худшем случае, он может занять пятое место, если таблица выглядит так — {4:8, 4:6, 6:4, 5:4, 4:3, 3:0}, а он набрал в первом и втором турах 4 и 3 балла соответственно.

B. Всем известные числа

Бинарный поиск *1600 теория чисел жадные алгоритмы

Числа k-боначчи (k целое, k > 1) являются обобщением чисел Фибоначчи и определяются следующим образом:

  • F(k, n) = 0, для целых n, 1 ≤ n < k;
  • F(k, k) = 1;
  • F(k, n) = F(k, n - 1) + F(k, n - 2) + ... + F(k, n - k), для целых n, n > k.

Обратите внимание, мы определяем числа k-боначчи, F(k, n), только для целых значений n и k.

Вам задано число s, представьте его в виде суммы нескольких (хотя бы двух) различных чисел k-боначчи.

Входные данные

В первой строке записано два целых числа s и k (1 ≤ s, k ≤ 109k > 1).

Выходные данные

В первую строку выведите целое число m (m ≥ 2) — количество чисел в найденном представлении. Во вторую строку выведите m различных целых чисел a1, a2, ..., am. Каждое выведенное число должно быть числом k-боначчи. Сумма выведенных чисел должна быть равна s.

Гарантируется, что ответ существует. Если существует несколько ответов, разрешается вывести любой.

B. Планеты

Бинарный поиск Структуры данных *1700 графы кратчайшие пути

Гоа'улд Апофис снова захватил команду Джека О'Нила! Сам Джек смог спастись, но к тому времени корабль Апофиса уже совершил прыжок в гиперпространство. Однако Джек знает, на какой планете высадится Апофис. Чтобы спасти друзей, Джеку предстоит несколько раз пройти через звездные врата, чтобы попасть на эту планету.

Всего в галактике находится n планет, пронумерованных числами от 1 до n. Джек находится на планете с номером 1, а Апофис высадится на планете с номером n. Между некоторыми парами планет можно перемещаться через звездные врата (перемещение возможно в обоих направлениях); перемещение занимает положительное и, возможно, для разных пар планет неодинаковое количество секунд. Джек начинает свое путешествие в момент времени 0.

Может оказаться, что на планету, где сейчас находится Джек, через звездные врата прибывают другие путешественники, в этом случае Джек должен подождать ровно 1 секунду, прежде чем сам сможет воспользоваться звездными вратами. То есть, если в момент времени t на планету прибывает другой путешественник, то Джек может пройти через врата только в момент времени t + 1, если только в момент времени t + 1 на ту же планету не прибывают еще путешественники.

Зная информацию о времени перемещения между планетами, а также о моментах времени, когда Джек не сможет пользоваться звездными вратами на конкретных планетах, определите наименьшее время, за которое он сможет попасть на планету с номером n.

Входные данные

Первая строка содержит два целых числа, разделенные пробелом: n (2 ≤ n ≤ 105), количество планет в галактике, и m (0 ≤ m ≤ 105), количество пар планет, между которыми можно перемещаться сквозь звездные врата. Далее следуют m строк, в каждой из них содержится три целых числа: i-ая строка содержит номера планет ai и bi (1 ≤ ai, bi ≤ n, ai ≠ bi), между которыми есть связь через звездные врата, и целочисленное время (в секундах) перемещения между этими планетами ci (1 ≤ ci ≤ 104). Гарантируется, что между любой парой планет существует не более одного перехода, образованного звездными вратами.

Далее следуют n строк: i-тая строка содержит целое число ki (0 ≤ ki ≤ 105), которое обозначает количество моментов времени, в которые на планету с номером i прибывают другие путешественники. Далее через пробел следуют ki упорядоченных по возрастанию различных целых чисел tij (0 ≤ tij < 109). Число tij обозначает, что в момент времени tij (в секундах) на планету i прибывает другой путешественник. Гарантируется, что сумма всех ki не превышает 105.

Выходные данные

Выведите единственное число — наименьшее количество времени, которое понадобится Джеку, чтобы попасть с планеты 1 на планету n. Если Джек не сможет попасть на планету n ни за какое время, выведите число -1.

Примечание

В первом примере у Джека три выбора, куда переместиться с планеты 1. Если он переместится сразу на планету 4, то потратит 8 секунд. Если он переместится на планету 3, то потратит 3 секунды, но, поскольку в моменты времени 3 и 4 на планету 3 прибывают другие путешественники, то он сможет отправиться на планету 4 только в момент времени 5, затратив в сумме 8 секунд. Если же Джек переместится на планету 2, а потом на планету 4, то потратит в сумме всего лишь 2 + 5 = 7 секунд.

Во втором примере с планеты 1 на планету 3 нельзя попасть, перемещаясь через звездные врата.

B. Т-простые числа

Бинарный поиск математика реализация теория чисел *1300

Известно, что простыми называются целые положительные числа, у которых ровно два различных положительных делителя. По аналогии назовем целое положительное число t Т-простым, если у t ровно три различных положительных делителя.

Вам дан массив, состоящий из n целых положительных чисел. Для каждого из них определите, является ли оно Т-простым или нет.

Входные данные

Первая строка содержит единственное целое число — количество чисел в массиве, n (1 ≤ n ≤ 105). Следующая строка содержит n целых чисел xi (1 ≤ xi ≤ 1012), разделенных пробелами.

Пожалуйста, не используйте спецификатор %lld для чтения или записи 64-битных чисел на С++. Рекомендуется использовать потоки cin, cout или спецификатор %I64d.

Выходные данные

Выведите n строк: i-тая строка должна содержать «YES» (без кавычек), если число xi является Т-простым, и «NO» (без кавычек), если не является.

Примечание

В приведенном тесте даны три числа. Первое число 4 имеет ровно три делителя — 1, 2 и 4, поэтому ответ для этого числа — «YES». Второе число 5 имеет два делителя (1 и 5), а третье число 6 — четыре делителя (1, 2, 3, 6), поэтому ответ для них — «NO».

C. Прибавляй не прибавляй

Бинарный поиск *1600 сортировки

На листке бумаги записан массив из n чисел a1, a2, ..., an. Вам необходимо найти число, которое встречается в этом массиве наибольшее количество раз.

Однако, прежде чем искать такое число, Вам разрешается выполнить не более k операций следующего вида — выбрать произвольный элемент массива и прибавить к нему 1. Другими словами, не более k раз разрешается увеличить на 1 некоторое число из массива (один элемент массива разрешается увеличивать несколько раз).

Вам необходимо найти максимальное количество вхождений некоторого числа в массив после выполнения не более k разрешенных операций. Если таких чисел несколько, требуется найти минимальное.

Входные данные

В первой строке заданы два целых числа n и k (1 ≤ n ≤ 105; 0 ≤ k ≤ 109) — количество элементов в массиве и количество операций, которое разрешается выполнить, соответственно.

В третьей строке задана последовательность из n целых чисел a1, a2, ..., an (|ai| ≤ 109) — исходный массив. Числа в строках разделены одиночными пробелами.

Выходные данные

В единственной строке выведите два числа — максимальное количество вхождений некоторого числа в массив после выполнения не более k разрешенных операций, а также минимальное число, для которого достигается выведенный максимум. Выведенные числа разделяйте пробельными символами.

Примечание

В первом примере нужно один раз увеличить второй элемент массива и дважды увеличить пятый элемент массива. Таким образом, получим последовательность 6, 4, 4, 0, 4, в которой число 4 встречается 3 раза.

Во втором примере не нужно выполнять ни одной операции, либо увеличить каждый элемент на единицу. В первом случае получим массив 5, 5, 5, во втором — 6, 6, 6. В обоих случаях максимальное количество вхождений равно 3. В случае равенства требуется найти минимальное число. Поэтому нужно выбрать первый вариант, так как число 5 меньше числа 6.

В третьем примере нужно один раз увеличить второй элемент массива и один раз увеличить пятый элемент массива. Таким образом, получим последовательность 3, 2, 2, 2, 2, в которой число 2 встречается 4 раза.

A. Циклы

Бинарный поиск Конструктив *1600 жадные алгоритмы графы

Джон Доу задумался о графах. После раздумья он понял, что хочет нарисовать неориентированный граф, в котором будет ровно k циклов длины 3.

Цикл длины 3 — это неупорядоченная тройка различных вершин графа a, b и c, таких, что каждая пара из них соединена ребром графа.

Джон долго рисовал, но у него ничего не получилось. Помогите ему найти такой граф. Обратите внимание, чтобы Джон смог без проблем за день нарисовать найденный граф, количество вершин в найденном графе не должно превышать 100.

Входные данные

В единственной строке записано целое число k (1 ≤ k ≤ 105) — количество циклов длины 3 в искомом графе.

Выходные данные

В первой строке выведите целое число n (3 ≤ n ≤ 100) — количество вершин в найденном графе. В следующих n строках выведите по n символов «0» и «1»: i-тый символ j-той из этих строк должен быть равен «0», если между вершинами i и j нет ребра и «1» в противном случае. Обратите внимание, так как искомый граф неориентированный, i-тый символ j-той строки должен быть равен j-тому символу i-той строки. Граф не должен содержать петель, поэтому i-тый символ i-той строки должен быть равен «0» для всех i.

D. Забор

Бинарный поиск Структуры данных *2900 строковые суфф. структуры

У Джона Доу есть кривой забор, состоящий из n прямоугольных досок выстроенных в ряд слева направо: i-тая (1 ≤ i ≤ n) по порядку (слева направо) доска имеет ширину 1 и высоту hi. Будем считать, что i-тая (1 ≤ i ≤ n) по порядку (слева направо) доска имеет номер i.

Кусок забора от l до r (1 ≤ l ≤ r ≤ n) — это последовательность досок с номерами от l до r включительно, то есть, доски с номерами l, l + 1, ..., r. Шириной куска забора от l до r называется величина r - l + 1.

Два куска забора от l1 до r1 и от l2 до r2 называются подходящими, если выполняются следующие условия:

  • куски не пересекаются, то есть, нет ни одной доски, такой, что она содержится в обоих кусках забора;
  • куски имеют одинаковую ширину;
  • для любого i (0 ≤ i ≤ r1 - l1) выполняется hl1 + i + hl2 + i = hl1 + hl2.

Джон выбрал несколько кусков забора и теперь хочет знать, сколько различных подходящих кусков существует для каждого из них. Два куска забора считаются различными, если существует такая доска, которая принадлежит одному из них и не принадлежит другому.

Входные данные

В первой строке записано целое число n (1 ≤ n ≤ 105) — количество досок в заборе. Во второй строке через пробел записаны n целых чисел h1, h2, ..., hn (1 ≤ hi ≤ 109) — высоты досок забора.

В третьей строке записано целое число q (1 ≤ q ≤ 105) — количество запросов. В следующих q строках через пробел записаны два целых числа li и ri (1 ≤ li ≤ ri ≤ n) — границы i-го куска забора.

Выходные данные

Для каждого запроса в отдельной строке выведите целое число — количество кусков забора, подходящих данному. Ответы для запросов выводите в том порядке, в котором запросы заданы во входных данных.

B. Неквадратное уравнение

Бинарный поиск Перебор математика *1400

Рассмотрим уравнение:

x2 + s(xx - n = 0, 

где x, n — целые положительные числа, s(x) — функция, равная сумме цифр числа x в десятичной системе счисления.

Вам дано целое число n, найдите наименьший целый положительный корень уравнения x, или определите, что таких корней нет.

Входные данные

В единственной строке записано целое число n (1 ≤ n ≤ 1018) — параметр уравнения.

Пожалуйста, не используйте спецификатор %lld для чтения или записи 64-х битовых чисел на С++. Рекомендуется использовать потоки cin, cout или спецификатор %I64d.

Выходные данные

Выведите -1, если уравнение не имеет целых положительных корней. Иначе выведите такое наименьшее целое x (x > 0), что описанное в условии равенство выполняется.

Примечание

В первом тестовом примере x = 1 является наименьшим корнем. Так как s(1) = 1 и 12 + 1·1 - 2 = 0.

Во втором тестовом примере x = 10 является наименьшим корнем. Так как s(10) = 1 + 0 = 1 и 102 + 1·10 - 110 = 0.

В третьем тестовом примере корней у уравнения нет.

C. Простые на отрезке

Бинарный поиск *1600 теория чисел

Вы решили провести небольшое исследование в области теории простых чисел. Напомним, что простое число — это целое положительное число, имеющее ровно два различных целых положительных делителя.

Рассмотрим целые положительные числа a, a + 1, ..., b (a ≤ b). Вы хотите найти наименьшее целое число l (1 ≤ l ≤ b - a + 1) такое, что для любого целого x (a ≤ x ≤ b - l + 1) среди l целых чисел x, x + 1, ..., x + l - 1 найдется не менее k простых чисел.

Найдите и выведите искомое наименьшее l. Если никакое значение l не подходит под описанные ограничения, выведите -1.

Входные данные

В единственной строке через пробел записаны три целых числа a, b, k (1 ≤ a, b, k ≤ 106a ≤ b).

Выходные данные

В единственной строке выведите единственное целое число — искомое наименьшее l. Если решения не существует, выведите -1.

E. Берляндский коллайдер

Бинарный поиск *2300

Недавно в Берляндии завершилось строительство Берляндского коллайдера. Коллайдер представляет собой длинный узкий туннель, в котором находятся n частиц. Свяжем с коллайдером одномерную систему координат, идущую слева направо. Для каждой частицы известны ее координата и скорость на момент запуска коллайдера. Скорости частиц после запуска коллайдера не меняются. Берляндские ученые предполагают, что большой взрыв произойдет при первом столкновении частиц, скорости которых направлены в разные стороны. Помогите им определить, сколько времени пройдет после запуска коллайдера прежде чем случится большой взрыв.

Входные данные

В первой строке записано целое число n (1 ≤ n ≤ 5·105) — количество частиц в коллайдере. Далее в n строках даны описания частиц. Каждая частица описывается двумя целыми числами xi, vi ( - 109 ≤ xi, vi ≤ 109, vi ≠ 0) — координатой и скоростью соответственно. Все координаты различны. Частицы перечислены в порядке возрастания координат. Все координаты даны в метрах, а все скорости — в метрах в секунду. Отрицательная скорость означает, что при запуске коллайдера частица полетит влево, а положительная — что частица полетит вправо.

Выходные данные

Если большого взрыва не будет, выведите -1. Иначе выведите одно число — через сколько секунд после запуска коллайдера произойдет большой взрыв. Ваш ответ должен иметь относительную или абсолютную погрешность меньше чем 10 - 9.

B. Friends

Бинарный поиск Структуры данных математика *2700 битмаски

You have n friends and you want to take m pictures of them. Exactly two of your friends should appear in each picture and no two pictures should contain the same pair of your friends. So if you have n = 3 friends you can take 3 different pictures, each containing a pair of your friends.

Each of your friends has an attractiveness level which is specified by the integer number ai for the i-th friend. You know that the attractiveness of a picture containing the i-th and the j-th friends is equal to the exclusive-or (xor operation) of integers ai and aj.

You want to take pictures in a way that the total sum of attractiveness of your pictures is maximized. You have to calculate this value. Since the result may not fit in a 32-bit integer number, print it modulo 1000000007 (109 + 7).

Input

The first line of input contains two integers n and m — the number of friends and the number of pictures that you want to take.

Next line contains n space-separated integers a1, a2, ..., an (0 ≤ ai ≤ 109) — the values of attractiveness of the friends.

Output

The only line of output should contain an integer — the optimal total sum of attractiveness of your pictures.

F. Анализ потока логов

Строки Бинарный поиск Перебор реализация *2000

Вам задан поток логов о предупреждениях в программе. Каждая запись потока логов представляет собой строку в формате:

«2012-MM-DD HH:MM:SS:MESSAGE» (без кавычек).

Строка «MESSAGE» состоит из пробелов, заглавных и строчных букв латинского алфавита, а также символов «!», «.», «,», «?». Строка «2012-MM-DD» определяет корректную дату в 2012 году. Строка «HH:MM:SS» определяет корректное время в 24 часовом формате.

Описанная запись потока логов обозначает, что в определенное в записи время произошло некоторое предупреждение в программе (описание предупреждения содержит строка «MESSAGE»).

Ваша задача вывести первый момент времени, когда количество предупреждений за последние n секунд стало не менее m.

Входные данные

В первой строке входных данных записаны два целых числа через пробел n и m (1 ≤ n, m ≤ 10000).

Вторая и остальные строки входных данных представляют собой поток логов. Во второй строке входных данных записана первая запись потока логов, в третьей строке — вторая запись потока логов и так далее. Каждая запись потока логов имеет формат описанный выше. Все записи заданы в хронологическом порядке, то есть записи о предупреждениях заданы в порядке их появления в программе.

Гарантируется, что в логе есть хотя бы одна запись. Гарантируется, что суммарная длина всех строк потока логов не превышает 5·106 (в частности, это означает, что длина одной строки не превышает 5·106 символов). Гарантируется, что все заданные даты и времена корректны, а строка «MESSAGE» во всех записях не пустая.

Выходные данные

Если не существует искомого момента времени выведите -1. Иначе выведите строку в формате «2012-MM-DD HH:MM:SS» (без кавычек) — первый момент времени, когда количество предупреждений за последние n секунд стало не менее m.

E. Братья по крови возвращаются

Бинарный поиск Структуры данных дп поиск в глубину и подобное *2400 сортировки

Поликарп раздобыл дерево родственных связей. Найденное дерево описывает родственные связи n человек, пронумерованных от 1 до n. Каждый человек в этом дереве имеет не более одного непосредственного предка. Также каждый человек в дереве имеет имя, имена не обязательно уникальные.

Назовем человека с номером a 1-прародителем человека с номером b, если человек с номером a является непосредственным предком человека с номером b.

Назовем человека с номером a k-прародителем (k > 1) человека с номером b, если у человека с номером b есть 1-прародитель, и человек с номером a является (k - 1)-прародителем 1-прародителя человека с номером b.

В найденном дереве родственные связи не образуют циклов. Другими словами не существует человека, который непосредственно или косвенно является собственным прародителем (то есть является x-прародителем самого себя, для некоторого x, x > 0).

Назовем человека с номером a k-сыном человека с номером b, если человек с номером b является k-предком человека с номером a.

Поликарп очень сильно интересуется сколько у кого и каких сыновей. Он записал на листочке m пар чисел vi, ki. Помогите ему для каждой пары vi, ki узнать, сколько существует различных имен, среди всех имен ki-сыновей человека с номером vi.

Входные данные

В первой строке входных данных записано единственное целое число n (1 ≤ n ≤ 105) — количество людей в дереве. В следующих n строках записано описание людей в дереве. В i-той из этих строк записаны через пробел строка si и целое число ri (0 ≤ ri ≤ n), где si — имя человека с номером i, а ri — номер непосредственного предка человека с номером i или 0 если у человека с номером i нет непосредственного предка.

В следующей строке записано единственное целое число m (1 ≤ m ≤ 105) — количество записей Поликарпа. В m следующих строках записаны пары целых чисел через пробел. В i-ой строке записаны числа vi, ki (1 ≤ vi, ki ≤ n).

Гарантируется, что родственные связи не образуют циклов. Имена всех людей непустые строки, состоящие из не более чем 20 строчных латинских букв.

Выходные данные

Выведите m целых чисел, разделенных пробельными символами, — ответы на записи Поликарпа. Ответы для записей выводите в том порядке, в котором записи встречаются во входных данных.

C. Электроник-футболист

Бинарный поиск геометрия *2000

В юном месяце апреле в старом парке тает снег, и ребята, в числе которых присутствует Сергей Сыроежкин, играют в футбол. Но друзья Сыроежкина не знают, что на самом деле вместо него будет играть Электроник. Электроник — робот, поэтому обладает некоторыми преимуществами перед ребятами. Например, он умеет попадать мячом прямо в заданную точку. А еще, ему не ведомо понятие «поддавки». Сочетание этих свойств делает из Электроника идеального футболиста — как только к нему попадает мяч, он может точно прицелиться и попасть в ворота. Такой тактики он и придерживался первую половину матча, однако гол забить получалось редко. У команды соперников был очень хороший вратарь, который ловил почти все мячи, летящие прямо в ворота. Но Электроник очень быстро соображает, он понял, что можно обмануть вратаря. Ведь ребята играют в футбольной коробке с твердыми стенами. Электроник может пнуть мяч в другую сторону, тогда вратарь не будет пытаться поймать этот мяч. Тогда, если мяч отскочит от стенки и полетит в ворота, будет забит заветный гол.

Ваша задача — помочь Электронику определить точку на стенке футбольной коробки, в которую Электронику нужно пнуть мяч, чтобы, отскочив ровно один раз от этой стенки, он попал прямо в ворота. В первой половине матча Электронику сильно досталось мячом по голове, в результате чего некоторые схемы были повреждены. Из-за полученной травмы Электроник может целиться только в правую от него стенку (Электроник стоит лицом к воротам соперника).

Футбольная коробка имеет форму прямоугольника. Введем двумерную систему координат таким образом, чтобы точка (0, 0) лежала в левом нижнем углу поля, если смотреть на коробку сверху. Электроник играет за команду, чьи ворота справа. Футбольное поле дворовое, поэтому ворота соперников Электроника могут находиться не посередине левой стенки.

В заданной системе координат вам даны:

  • y1, y2y-координаты боковых стоек ворот соперников Электроника;
  • ywy-координата стенки, в которую целится Электроник;
  • xb, yb — координаты положения мяча, в момент удара;
  • r — радиус мяча.

Гол считается забитым, если центр мяча пересекает ось OY в заданной системе координат между точками (0, y1) и (0, y2). Мяч движется прямолинейно. Удар мяча о стену считается абсолютно упругим (мяч не сжимается от удара), угол падения равен углу отражения. Если мяч отскакивает от стены не в створ ворот, то есть задевает другую стену или штангу, то команда противников перехватывает мяч и Электроник начинает искать ошибку в расчетах, что делает его не дееспособным. Такого исхода, по возможности, следует избежать. Будем считать, что мяч задевает объект, если расстояние от центра мяча до объекта не более радиуса мяча r.

Входные данные

В первой и единственной строке вам даны целые числа y1, y2, yw, xb, yb, r (1 ≤ y1, y2, yw, xb, yb ≤ 106; y1 < y2 < yw; yb + r < yw; r < y2 - y1).

Гарантируется, что мяч расположен в поле корректно, не пересекает ни одну из стен, не соприкасается со стеной, в которую целится Электроник. Штанги не могут располагаться в углах поля.

Выходные данные

Если Электроник не сможет забить гол описанным способом, выведите «-1» (без кавычек). Иначе выведите единственное число xw — абсциссу точки прицеливания Электроника.

Если возможных точек прицеливания несколько — выведите абсциссу любой. При проверке правильности ответа все сравнения производятся с допустимой абсолютной погрешностью равной 10 - 8.

Рекомендуется выводить как можно больше знаков после десятичной точки.

Примечание

Обратите внимание на то, что в первом и третьем примерах возможны и другие корректные значения абсциссы xw.

D. Конфеты - каждому!

Бинарный поиск реализация жадные алгоритмы *2300

Скоро Новый год. Мы все вместе в Простоквашино уедем. Будем там на лыжах кататься, печку топить, а в Новый год карнавал устроим. Ты нарядишься казаком или узбеком. Будешь вкусный плов готовить и казачью песню петь про ракитовый куст.
Эдуард Николаевич Успенский

В деревне Простоквашино празднуют Новый год. Дядя Федор вместе со своими друзьями — котом Матроскиным и псом Шариком решил угостить всех жителей на своей улице конфетами. Дядя Федор и его друзья решили, что жителям каждого дома на их улице они подарят по одному килограмму конфет. Таким образом им потребуется столько килограммов конфет, сколько домов есть на их улице.

Улицу, где живут трое из Простоквашино, можно мысленно разбить на n последовательных участков одинаковой длины. С любого участка можно перейти на один из соседних участков за одну единицу времени. Каждый из участков бывает одного из трех типов: пустой участок, участок с домом или участок с магазином. В магазине Дядя Федор и его друзья могут купить конфеты, но не более одного килограмма конфет в одном магазине (продавцы заботятся о том, чтобы жители деревни не злоупотребляли сладким).

После того, как трое из Простоквашино выйдут из своего дома, они окажутся на первом участке дороги. Для попадания на этот участок дороги тоже требуется одна единица времени. Можно считать, что Дядя Федор и его друзья могут нести неограниченное число килограммов конфет. Каждый раз, когда они оказываются на участке с домом, они могут отдать один килограмм конфет жителям дома, а могут просто перейти на другой участок. Если трое из Простоквашино уже отдавали конфеты жителям какого-то дома, то еще раз они этого сделать не могут. Аналогично, если Дядя Федор и его друзья находятся на участке с магазином, то они могут либо купить в нем килограмм конфет, либо пропустить этот магазин. Если в каком-то магазине они уже купили килограмм конфет, то продавец их запомнил и второй раз не продаст им больше ни грамма конфет. Временем на покупку и вручение конфет можно пренебречь. Дядя Федор с котом Матроскиным и псом Шариком не хотят, чтобы жители хотя бы одного дома остались без угощения.

Трое из Простоквашино хотят потратить не более t единиц времени на раздачу конфет, чтобы успеть подготовиться к празднованию Нового года. Для того, чтобы успеть раздать все конфеты, возможно, придется изначально взять с собой дополнительно k килограммов конфет.

Дядя Федор хочет знать минимальное число k килограммов конфет, которое необходимо взять с собой, чтобы успеть угостить жителей каждого дома на своей улице сладостями.

Ваша задача — написать программу, которая определит минимально возможное значение k.

Входные данные

Первая строка входных данных содержит два целых числа n и t, разделенных пробелами (2 ≤ n ≤ 5·105, 1 ≤ t ≤ 109). Вторая строка входных данных содержит n символов, i-ый из которых равен «H» (если i-ый участок содержит дом), «S» (если i-ый участок содержит магазин) или «.» (если i-ый участок не содержит ни дома, ни магазина).

Гарантируется, что имеется хотя бы один участок с домом.

Выходные данные

Если не существует ни одного значения k, при котором возможно не более, чем за t единиц времени угостить обитателей всех домов, то в единственной строке выведите «-1» (без кавычек). Иначе в единственной строке выведите минимально возможное значение k.

Примечание

В первом примере магазинов столько же, сколько и домов. Если не брать с собой ни одного килограмма конфет, то для того, чтобы угостить жителей самого первого дома потребуется сделать хотя бы один шаг назад, на что у друзей из Простоквашино абсолютно нет времени. Если же взять с собой один килограмм конфет, то возвращаться ни разу не потребуется.

Во втором примере число магазинов равняется числу домов и времени предостаточно. Можно купить во всех магазинах конфеты пройдя улицу в одном направлении и раздать их при проходе в обратном направлении.

В третьем примере на улице меньше магазинов, чем домов. Придется друзьями из Простоквашино взять недостающее число килограммов конфет с собой из дома.

A. Точки на прямой

Бинарный поиск Комбинаторика *1300

Маленький Петя очень любит точки. Недавно мама подарила ему n точек, лежащих на прямой OX. Пете стало интересно, сколькими способами он может выбрать три различные точки так, чтобы расстояние между двумя самыми удаленными из выбранных точек не превышало d.

Обратите внимание, что порядок точек внутри выбранной тройки значения не имеет.

Входные данные

Первая строка содержит два целых числа: n и d (1 ≤ n ≤ 105; 1 ≤ d ≤ 109). Следующая строка содержит n целых чисел x1, x2, ..., xn, по модулю не превосходящих 109x-координаты точек, подаренных Пете.

Гарантируется, что координаты точек во входных данных строго возрастают.

Выходные данные

Выведите единственное целое число — количество троек точек, в которых расстояние между двумя самыми удаленными точками не превосходит d.

Пожалуйста, не используйте спецификатор %lld для чтения или записи 64-х битовых чисел на С++. Рекомендуется использовать потоки cin, cout или спецификатор %I64d.

Примечание

В первом примере нам подходит любая тройка различных точек.

Во втором примере нам подходят всего 2 тройки: {-3, -2, -1} и {-2, -1, 0}.

В третьем примере нам подходит одна тройка: {1, 10, 20}.

B. Физпрактикум

Бинарный поиск дп *1400 сортировки

На физическом практикуме Вася делал задание по измерению емкости конденсатора. По рекомендации преподавателя, он сделал не одно, а целых n измерений, и записал их результаты в тетрадку. После этого он уже собирался показывать результаты преподавателю, но вспомнил, что на прошлом занятии учитель заставил его друга Петю переделывать эксперимент из-за того, что наибольший и наименьший результаты измерений отличались более чем в два раза. Вася — ленивый, и он не хочет ничего переделывать. Он хочет сдать задание и пойти домой играть в компьютерные игры. Поэтому он решил пойти на хитрость: прежде, чем показывать результаты измерений преподавателю, он сотрет какие-то из них, причем сотрет так, чтобы наибольший и наименьший результаты оставшихся измерений отличались не более, чем в два раза. Другими словами, если среди оставшихся измерений наименьший результат измерения x, а наибольший результат — y, то должно выполняться неравенство y ≤ 2·x. Разумеется, чтобы не вызвать подозрений преподавателя, Вася хочет стереть как можно меньше результатов изменений из своих записей.

Помогите Васе, найдите какое наименьшее количество результатов измерений ему придется стереть из своих записей, чтобы наибольший и наименьший результаты оставшихся измерений отличались не более, чем в два раза.

Входные данные

В первой строке записано целое число n (2 ≤ n ≤ 105) — количество проведенных измерений. Во второй строке записано n целых чисел c1, c2, ..., cn (1 ≤ ci ≤ 5000) — результаты измерений. Числа во второй строке разделяются одиночными пробелами.

Выходные данные

Выведите единственное целое число — наименьшее количество результатов, которое Васе придется стереть.

Примечание

В первом примере можно удалить четвертый и шестой результаты измерений (значения 8 и 7). Тогда наибольшим из оставшихся значений будет 5, а наименьшим — 3. Или же можно удалить третий и пятый результаты (оба равны 3). При таком способе наибольшим из оставшихся значений будет 8, а наименьшим — 4.

E. Принтер

Бинарный поиск Структуры данных реализация сортировки *2200

Рассмотрим сетевой принтер, который функционирует следующим образом. Он начинает работать в момент времени 0. Каждую секунду он может напечатать одну страницу текста. В некоторые моменты времени на принтер поступают задания на печать. Известно, что на принтер поступило n заданий. Пронумеруем задания последовательными целыми числами от 1 до n. Тогда задание с номером i характеризуется тремя целыми числами: ti — временем поступления задания, si — объемом задания (в страницах) и pi — приоритетом задания. Приоритеты всех заданий различны.

В тот момент, когда задание поступает на принтер, оно попадает в очередь и находится там до тех пор, пока все страницы из этого задания не будут напечатаны. Принтер выбирает страницу для печати каждый раз, когда заканчивает печатать какую-то страницу, либо в те моменты, когда поступает новое задание, а принтер был свободен. Среди всех заданий, имеющихся в очереди в данный момент, принтер выбирает задание с наибольшим приоритетом и в следующую секунду печатает очередную еще не напечатанную страницу из этого задания. Считайте, что задание попадает в очередь мгновенно, поэтому если в некоторый момент времени t задание только что поступило, то принтер уже может выбирать его для печати.

Вам дана полная информация о всех заданиях, кроме одного: для него неизвестен приоритет. Однако же известно, в какое время была завершена печать последней страницы из этого задания. По этой информации найдите неизвестное значение приоритета, а также определите времена окончания печати каждого из заданий.

Входные данные

В первой строке записано целое число n (1 ≤ n ≤ 50000). Следующие n строк описывают задания. В i-й из этих строк записаны три целых числа ti, si и pi, разделенные одиночными пробелами (0 ≤ ti ≤ 109, 1 ≤ si, pi ≤ 109). Ровно для одного из заданий (пусть его номер x) вместо приоритета записано число -1. Все приоритеты различны. В последней строке записано целое число T — время завершения печати последней страницы задания с номером x (1 ≤ T ≤ 1015). Числа ti не обязательно различны. Задания записаны во входных данных в произвольном порядке.

Выходные данные

В первой строке выведите целое число px — приоритет задания с номером x (1 ≤ px ≤ 109, помните, что все приоритеты должны быть различны). Далее выведите n целых чисел, в i-ое из которых обозначает время завершения печати последней страницы задания с номером i.

Гарантируется, что хотя бы одно решение существует. Если решений несколько, выведите любое из них.

Примечание

Рассмотрим первый тестовый пример. Пусть неизвестный приоритет равен 4, тогда посекундное описание действий принтера:

  • начало 1-ой секунды (момент времени 0). В очереди задание номер 2. Начинает печататься первая страница этого задания;
  • начало 2-ой секунды (момент времени 1). В очереди задания номер 2 и 3. Начинает печататься первая страница задания номер 3;
  • начало 3-ой секунды (момент времени 2). В очереди задания номер 2 и 3. Начинает печататься вторая страница задания номер 3;
  • начало 4-ой секунды (момент времени 3). В очереди задания номер 2 и 3. Начинает печататься третья (последняя) страница задания номер 3. Таким образом, к концу 4-ой секунды это задание будет напечатано;
  • начало 5-ой секунды (момент времени 4). В очереди задания номер 2 и 1. Начинает печататься первая страница задания номер 1;
  • начало 6-ой секунды (момент времени 5). В очереди задания номер 2 и 1. Начинает печататься вторая страница задания номер 1;
  • начало 7-ой секунды (момент времени 6). В очереди задания номер 2 и 1. Начинает печататься третья (последняя) страница задания номер 1. Таким образом, к концу 7-ой секунды это задание будет напечатано;
  • начало 8-ой секунды (момент времени 7). В очереди задание номер 2. Начинает печататься вторая (последняя) страница задания номер 2. Таким образом, к концу 8-ой секунды это задание будет напечатано.

В итоге, задание номер 1 напечатано к концу 7-ой секунды, как и требовалось. А задания 2 и 3 напечатаны к концу 8-ой и 4-ой секунды соответственно.

D. Остап и квадрат

Бинарный поиск математика реализация *1800

У Остапа есть электронная таблица размера n × n, каждая клетка которой может быть выключена или включена. Он хочет чтобы на поле были включены не менее чем c клеток, когда это условие будет выполнено — Остап станет счастливым.

Будем считать, что строки таблицы пронумерованы сверху вниз от 1 до n, а столбцы — слева направо от 1 до n. Изначально включена ровно одна клетка с координатами (x, y) (x — номер строки, y — номер столбца), а все остальные клетки находятся в выключенном состоянии. Далее каждую секунду происходит включение выключенных клеток, у которых есть включенные соседние по стороне клетки.

Для клетки с координатами (x, y) соседними по стороне являются клетки с координатами (x - 1, y), (x + 1, y), (x, y - 1), (x, y + 1).

Через сколько секунд Остап станет счастливым?

Входные данные

В первой строке содержится четыре целых числа, разделенных пробелами, n, x, y, c (1 ≤ n, c ≤ 109; 1 ≤ x, y ≤ nc ≤ n2).

Выходные данные

В единственную строку выведите целое число — ответ на задачу.

Примечание

В первом тесте изначально закрашена одна клетка, по этому ответ 0. Во втором тесте все события будут происходить как показано на картинке. .

C. Маленький Слоник и НОК

Бинарный поиск Комбинаторика математика дп *2000

Маленький Слоник любит операцию НОК (наименьшее общее кратное) непустого множества целых положительных чисел. Результат операции НОК k целых положительных чисел x1, x2, ..., xk — это минимальное целое положительное число, которое делится на каждое из чисел xi.

Пусть задана последовательность целых чисел b1, b2, ..., bn. Обозначим через lcm(b1, b2, ..., bn) их НОК, а через max(b1, b2, ..., bn) — максимальное из них. Маленький Слоник считает последовательность b хорошей, если lcm(b1, b2, ..., bn) = max(b1, b2, ..., bn).

У Маленького Слоника есть последовательность целых чисел a1, a2, ..., an. Помогите ему найти количество хороших последовательностей целых чисел b1, b2, ..., bn таких, что для всех i (1 ≤ i ≤ n) выполняется 1 ≤ bi ≤ ai. Так как ответ может быть довольно большим, выведите остаток от его деления на 1000000007 (109 + 7).

Входные данные

В первой строке записано единственное целое положительное число n (1 ≤ n ≤ 105) — количество чисел в последовательности a. Во второй строке записаны n целых чисел через пробел a1, a2, ..., an (1 ≤ ai ≤ 105) — последовательность a.

Выходные данные

В единственной строке выведите одно целое число — ответ на задачу по модулю 1000000007 (109 + 7).

E. Разделение королевства

Бинарный поиск Перебор Структуры данных *2500

Государство Флатландия представляет собой бесконечную двумерную плоскость. Во Флатландии есть n городов, каждый из которых является точкой на плоскости.

Правит Флатландией Король Круг IV. У Круга IV есть 9 сыновей. Каждому из своих сыновей Круг хочет отдать во владение часть Флатландии. Для этого он хочет провести четыре различные прямые, так, что две из них параллельны оси Ox, а другие две параллельны оси Oy. При этом ни одна прямая не должна проходить через какой-либо город. Таким образом Флатландия будет разделена на 9 частей, а каждому сыну будет отдана ровно одна из этих частей. Немного подумав и оценив послушность сыновей, Круг IV решил, что i-тому сыну должна достаться часть Флатландии, на которой находится ровно ai городов.

Помогите Кругу найти такие четыре прямые, что если разделить этими прямыми Флатландию на 9 частей, то получившиеся части можно будет раздать сыновьям так, чтобы сыну с номером i досталась часть Флатландии, на которой находится ai городов.

Входные данные

В первой строке находится целое число n (9 ≤ n ≤ 105) — количество городов во Флатландии. В следующих n строках находятся по два целых числа, разделенных пробелом: xi, yi ( - 109 ≤ xi, yi ≤ 109) — координаты i-того города. Никакие два города не находятся в одной точке. В последней строке находится девять чисел, разделенных пробелами: .

Выходные данные

Если решения не существует, то выведите единственное целое число -1.

Иначе, в первой строке выведите два различных вещественных числа, разделенных пробелом: x1, x2 — абсциссы прямых, параллельных оси Oy, а во второй строке выведите два различных вещественных числа, разделенных пробелом: y1, y2 — ординаты прямых, параллельных оси Ox. Если решений несколько выведите любое.

При проверке ответа, считается, что город лежит на прямой, если расстояние от города до прямой не превышает 10 - 6. Две прямые считаются одинаковыми, если расстояние между ними не превышает 10 - 6.

Примечание

Решение для первого теста показано ниже:

Решение для второго теста показано ниже:

Для третьего теста решения не существует.

B. Простая матрица

Бинарный поиск Перебор математика теория чисел *1300

Перед Вами матрица размера n × m, состоящая из целых чисел. За один ход разрешается применить к матрице единственное преобразование: выбрать произвольный элемент матрицы и увеличить его на 1. Каждый элемент можно увеличивать произвольное количество раз.

Вас очень интересуют простые числа. Напомним, что простым числом называется целое положительное число, которое имеет ровно два различных целых положительных делителя: единицу и само себя. Например, числа 2, 3, 5 — простые, а числа 1, 4, 6 — нет.

Вы считаете матрицу простой, если выполняется хотя бы одно из следующих двух условий:

  • существует строка матрицы, в которой все числа простые;
  • существует столбец матрицы, в котором все числа простые;

Ваша задача — посчитайте, за какое минимальное количество ходов можно получить из имеющейся матрицы простую матрицу.

Входные данные

В первой строке заданы два целых числа n, m (1 ≤ n, m ≤ 500) — количество строк и столбцов в матрице соответственно.

В каждой из следующих n строк записано по m целых чисел — исходная матрица. Все элементы матрицы являются целыми положительными числами. Все числа в исходной матрице не превосходят 105.

Числа в строках разделяются одиночными пробелами.

Выходные данные

Выведите единственное целое число — минимальное количество ходов, которое потребуется, чтобы из заданной матрицы получить простую матрицу. Если заданная матрица — простая, выведите 0.

Примечание

В первом примере нужно один раз увеличить число 1 в клетке (1, 1). Таким образом, первая строка будет состоять из простых чисел: 2, 2, 3.

Во втором примере нужно три раза увеличить число 8 в клетке (1, 2). Таким образом, второй столбец будет состоять из простых чисел: 11, 2.

В третьем примере ничего делать не нужно, поскольку второй столбец уже состоит из простых чисел: 3, 2.

A. Множество свободное от k-делимости

Бинарный поиск *1500 жадные алгоритмы сортировки

Множество свободное от k-делимости — это множество целых чисел, в котором не существует двух целых чисел, таких, что первое число равно другому, умноженному на k. То есть, во множестве не существует двух целых чисел x и y (x < y), таких, что y = x·k.

Вам дан набор, состоящий из n различных положительных целых чисел. Ваша задача — найти размер наибольшего его подмножества свободного от k-делимости.

Входные данные

Первая строка входных данных содержит два целых числа n и k (1 ≤ n ≤ 105, 1 ≤ k ≤ 109). Следующая строка содержит список из n различных положительных целых чисел a1, a2, ..., an (1 ≤ ai ≤ 109).

Все числа в строках разделяются единичными пробелами.

Выходные данные

В единственной строке выходных данных выведите размер наибольшего подмножества свободного от k-делимости для {a1, a2, ..., an}.

Примечание

В первом тестовом примере одно из возможных наибольших подмножеств свободных от 2-делимости: {4, 5, 6}.

B. Книги

Бинарный поиск Перебор реализация *1400

Когда у Валеры появляется свободное время, он идет в библиотеку и читает книги. Вот и сегодня у него появилось t свободных минут для чтения. Поэтому Валера взял n книг в библиотеке и для каждой книги оценил: какое время потребуется, чтобы ее прочитать. Пронумеруем книги целыми числами от 1 до n. Для прочтения i-той книги Валере требуется ai минут.

Валера решил, что он выберет произвольную книгу с номером i и будет читать книги друг за другом, начиная с этой книги. Другими словами, сначала он прочитает книгу c номером i, затем книгу с номером i + 1, затем книгу с номером i + 2 и так далее. Он продолжает этот процесс до тех пор, пока либо не закончится его свободное время, либо не прочитает книгу с номером n. Каждую книгу Валера читает целиком, то есть он не читает книгу, которую не успеет дочитать до конца из-за нехватки свободного времени.

Посчитайте максимальное количество книг, которое Валера сможет прочитать.

Входные данные

В первой строке заданы два целых числа n и t (1 ≤ n ≤ 105; 1 ≤ t ≤ 109) — количество книг и количество свободных минут у Валеры соответственно. Во второй строке задана последовательность из n целых чисел a1, a2, ..., an (1 ≤ ai ≤ 104), в которой число ai обозначает количество минут, которое требуется для прочтения i-ой книги.

Выходные данные

Выведите единственное целое число — максимальное количество книг, которое Валера сможет прочитать.

D. Не бойтесь, ДравДэ добрый

Бинарный поиск Структуры данных дп *2400 хэши

Колонна из n грузовиков, направляющаяся из города «Z» в город «З» подошла к туннелю, известному, как туннель Ужаса. Страшные слухи ходили среди водителей грузовиков о монстре ДравДэ, который охотится в этом туннеле. Некоторые водители боялись ехать первыми, некоторые последними, но рассмотрим более общий случай. Каждый грузовик характеризуется четырьмя числами:

  • v — ценность этого грузовика, его пассажиров и груза
  • c — количество пассажиров в грузовике, считая водителя
  • l — суммарное количество человек, которое должно ехать впереди этого грузовика, чтобы водитель смог побороть страх («если монстр появится спереди, то он съест сначала их»)
  • r — суммарное количество человек, которое должно ехать позади этого грузовика, чтобы водитель смог побороть страх («если монстр появится сзади, то он съест сначала их»).

Так как дорога узкая, то от появления ДравДэ сбоку никак не спастись. Более того, нельзя даже перестроить колонну. Относительный порядок машин изменить невозможно, но можно любую машину убрать из колонны, оставив её перед туннелем на неопределенный срок. Ваша задача, как начальника колонны, состоит в том, чтобы убрать некоторые грузовики так, чтобы оставшаяся колонна могла ехать и сумма ценностей проехавших грузовиков была максимальна.

Входные данные

В первой строке входного файла задано целое число n (1 ≤ n ≤ 105) — количество грузовиков в колонне. В следующих n строках содержится по четыре числа. Числа в i-той строке: vi, ci, li, ri (1 ≤ vi ≤ 104, 1 ≤ ci ≤ 105, 0 ≤ li, ri ≤ 105) — описывают i-й грузовик. Грузовики нумеруются с 1, считая от головы колонны.

Выходные данные

В первой строке выведите число k — количество грузовиков, которые проедут через туннель. Во второй строке выведите k чисел — номера этих грузовиков в порядке возрастания. Не забудьте, что относительный порядок грузовиков менять нельзя. Если решений несколько, выведите любое.

B. Трубопровод

Бинарный поиск математика *1700

Вова — новый шаман Крайней Туле — хочет построить трубопровод. Так как в Крайней Туле ровно n домов, Вова хочет, чтобы в городе было ровно n труб, к каждой из которых можно подключить водоснабжение. К трубе можно подключить водоснабжение, если из нее течет вода. Изначально у Вовы есть только одна труба, из которой течет вода. Кроме того, у Вовы есть несколько разветвителей.

Разветвитель — это конструкция, состоящая из одного входа, который может быть подсоединен к трубе с водой, и x труб-выходов. В результате подсоединения из каждой трубы-выхода будет течь вода. Считайте, что трубы-выходы — это обычные трубы. Например, к такой трубе можно подсоединить водоснабжение, если из нее течет вода. К одной трубе, из которой течет вода, не может быть подсоединено более одного разветвителя.

На рисунке изображен разветвитель с 4-мя выходами

У Вовы есть по одному разветвителю с 2-мя, 3-мя, 4-мя, ..., k выходами. Помогите Вове использовать минимальное количество разветвителей, чтобы построить нужный ему трубопровод, или определите, что это невозможно.

Вове нужно, чтобы в его трубопроводе было ровно n труб, из которых вытекает вода. Обратите внимание, что некоторые из этих труб могут быть трубами-выходами разветвителей.

Входные данные

Во первой строке через пробел записаны два целых числа n и k (1 ≤ n ≤ 1018, 2 ≤ k ≤ 109).

Пожалуйста, не используйте спецификатор %lld для чтения или записи 64-х битовых чисел на С++. Рекомендуется использовать потоки cin, cout или спецификатор %I64d.

Выходные данные

Выведите единственное целое число — минимальное количество разветвителей, необходимое, чтобы построить трубопровод. Если построить трубопровод с имеющимися разветвителями невозможно, выведите -1.

E. Хитрый и умный пароль

Строки Бинарный поиск Структуры данных Конструктив *2800 жадные алгоритмы хэши

В эпоху своей молодости герой нашего рассказа Царь Цопа решил, что все его личные данные не очень хорошо скрыты от посторонних глаз, а для монарха это недопустимо. Поэтому он придумал хитрый и умный пароль (лишь спустя много лет Цопа узнал, что его пароль — это палиндром нечетной длины), а затем зашифровал все свои данные.

Как известно, монархи в душе такие же люди, как и все остальные смертные, и поэтому чтобы не забыть свой хитрый и умный пароль, Цопа решил записать его на бумажку. Зная, что опасно хранить пароль в таком виде, он решил его зашифровать следующим образом: с конца и с начала своего пароля-палиндрома он отрезал по x символов (x может быть равно 0, и 2x строго меньше, чем длина пароля). У него получились 3 части пароля. Назовем их prefix, middle и suffix соответственно, причем prefix и suffix имеют одинаковую, возможно нулевую, длину, а middle — всегда нечётной длины. Из этих трех частей он сделал строку A + prefix + B + middle + C + suffix, где A, B и C — некоторые придуманные Цопой строки (возможно нулевой длины), а « + » означает операцию конкатенации («склеивания» строк).

Прошло много лет, и буквально вчера Царь Цопа нашел бумажку, где был записан его пароль, зашифрованный описанным выше способом. Сам пароль, а также строки A, B и C давно уже забыты, и поэтому Цопа просит вас найти пароль максимальной длины, который мог бы быть придуман, зашифрован и записан Цопой.

Входные данные

Входные данные представляют собой единственную строку из прописных латинских букв длиной от 1 до 105 символов.

Выходные данные

В первую строку выведите одно целое число k — количество непустых частей пароля в получившемся у вас ответе (). Далее выведите k строк по два целых числа xi и li — позицию начала и длину соответствующей части пароля. Пары выводите в порядке возрастания xi. Числа в паре при выводе разделяйте одним пробелом.

Позиция начала xi — целое число от 1 до длины входной строки. Никакая длина li не может быть равна 0, так как части пароля нулевой длины выводить не нужно. Среднее из чисел li обязательно должно быть нечётным.

Если решений несколько, выведите любое. Учтите, что ваша задача — максимизировать не k, а сумму li.

E. Империя наносит ответный удар

Бинарный поиск математика теория чисел *2300

В далекой-далекой галактике снова война. Коварная Республика нанесла k точечных ударов силы ai по владениям Империи. Чтобы справиться с республиканской угрозой верховный совет постановил нанести решающий удар по силам противника.

Для успешного завершения конфликта баланс противостояния после нанесения этого удара должен быть целым положительным числом. Балансом противостояния называется число, вида , где p = n! (n — сила удара Империи), . После многих лет войны ресурсы Империи истощены, поэтому для уменьшения затрат n должно быть минимальным целым положительным числом, удовлетворяющим командование.

Помогите Империи, найдите минимальное целое положительное n, при котором описанная дробь является целым положительным числом.

Входные данные

В первой строке записано целое число k (1 ≤ k ≤ 106). Во второй строке записаны k целых чисел a1, a2, ..., ak (1 ≤ ai ≤ 107).

Выходные данные

Выведите минимальное целое положительное число n, необходимое для победы Империи.

Пожалуйста, не используйте спецификатор %lld для чтения или записи 64-х битовых чисел на С++. Рекомендуется использовать потоки cin, cout или спецификатор %I64d.

B. Ярослав и время

Бинарный поиск *2100 графы кратчайшие пути

Ярослав играет в игру «Время». В игре у него есть таймер, на котором изображено время, которое ему осталось жить. Как только таймер показывает 0, игровой персонаж Ярослава умирает и игра заканчивается. Так же в игре существует n часовых станций, станция номер i находится в точке (xi, yi) плоскости. Зайдя на станцию номер i, игрок увеличивает текущее время на своем таймере на ai. Станции одноразовые, то есть если игрок второй раз зайдет на какую-нибудь станцию, то время на его таймере не увеличится.

На перемещение между станциями игрок тратит d·dist единиц времени, где dist — расстояние, пройденное игроком, а d — некоторая константа. Расстояние между станциями i и j определяется как |xi - xj| + |yi - yj|.

Изначально игрок находится на станции номер 1, и у игрока осталось строго больше нуля и меньше одной единицы времени. На станции номер 1 за единицу денег можно увеличить время на таймере на единицу времени (можно покупать только целое количество единиц времени).

Сейчас Ярослава интересует вопрос: сколько единиц денег нужно ему, чтобы попасть на станцию номер n? Помогите Ярославу. Считайте, что время покупки и увеличения времени на таймере пренебрежимо мало.

Входные данные

В первой строке содержатся целые числа n и d (3 ≤ n ≤ 100, 103 ≤ d ≤ 105) — количество станций и константа из условия.

Во второй строке заданы n - 2 целых числа: a2, a3, ..., an - 1 (1 ≤ ai ≤ 103). В следующих n строках содержатся координаты станций. В i-той из них записаны два целых чисел xi, yi (-100 ≤ xi, yi ≤ 100).

Гарантируется, что никакие две станции не находятся в одной точке.

Выходные данные

В единственную строку выведите целое число — ответ на задачу.

B. Евгений и плейлист

Бинарный поиск реализация *1200

Евгений любит слушать музыку. В плейлисте Евгения играет n песен. Известно, что песня номер i имеет продолжительность ti минут. Каждую песню плейлиста Евгений слушает, возможно, более одного раза. Песню номер i он слушает ci раз. Плейлист Евгения построен следующим образом: сначала c1 раз играет песня номер 1, потом c2 раз играет песня номер 2, ..., в конце cn раз играет песня номер n.

Евгений выписал себе на листочек m моментов времени, в которые ему понравились песни. Теперь для каждого такого момента, он хочет узнать номер песни, которая играла в этот момент времени. Момент времени x обозначает, что Евгений хочет знать, какая песня играла в x-ую от начала минуту прослушивания плейлиста.

Помогите Евгению, выведите требуемые номера песен.

Входные данные

В первой строке заданы два целых числа n, m (1 ≤ n, m ≤ 105). В следующих n строках заданы пары целых чисел. В i-ой строке записаны целые числа ci, ti (1 ≤ ci, ti ≤ 109) — описание плейлиста. Гарантируется, что суммарная продолжительность плейлиста не более 109 .

В следующей строке записаны m целых положительных чисел v1, v2, ..., vm, которые описывают времена, выписанные Евгением. Гарантируется, что не существует момента времени vi, когда музыка уже не играла. Гарантируется, что vi < vi + 1 (i < m).

Момент времени vi обозначает, что Евгений хочет знать, какая песня играла в vi-ую от начала минуту прослушивания плейлиста.

Выходные данные

Выведите m целых чисел — i-ое число должно быть равно номеру песни, которая играла в vi минуту от начала прослушивания плейлиста.

B. Сережа и периоды

Строки Бинарный поиск *2000 поиск в глубину и подобное

Введем обозначение, , где x — строка, n — целое положительное число, а операция « + » обозначает конкатенацию строк. Например, [abc, 2] = abcabc.

Будем говорить, что строку s можно получить из строки t, если можно удалить некоторые символы строки t и получить строку s. Например, строки ab и aсba можно получить из строки xacbac, а строки bx и aaa — нет.

У Сережи есть две строки w = [a, b] и q = [c, d]. Он хочет найти такое максимальное целое число p (p > 0), что [q, p] можно получить из строки w.

Входные данные

В первой строке заданы два целых числа b, d (1 ≤ b, d ≤ 107). Во второй строке содержится строка a. В третьей строке содержится строка c. Заданные строки не пусты и состоят из маленьких латинских букв. Их длины не превосходят 100.

Выходные данные

В единственную строку выведите целое число — наибольшее число p. Если не существует искомого значения p, выведите 0.

D. Сережа и прямые

Бинарный поиск Структуры данных геометрия сортировки *2500

Сережа разместил n точек на плоскости. Сейчас Сережа хочет разместить на плоскости две прямые, пересекающиеся под прямым углом, так, чтобы одна из прямых пересекала ось Ox под углом 45 градусов, а максимальное из расстояний от точек до прямых было бы минимально.

В данной задаче мы считаем, что расстояние между точками (x1, y1) и (x2, y2) равно |x1 - x2| + |y1 - y2|. Расстояние от точки до прямых — это минимальное из расстояний от точки до некоторой точки, принадлежащей одной из прямых.

Помогите Сереже, найдите максимальное расстояние от точек до оптимально расположенных прямых.

Входные данные

В первой строке содержится целое число n (1 ≤ n ≤ 105). В следующих n строках заданы координаты точек. В i-той строке записаны два целых числа xi, yi (|xi|, |yi| ≤ 109).

Выходные данные

В единственную строку выведите единственное вещественное число — ответ на задачу. Ответ будет считаться правильным, если его относительная или абсолютная погрешность не превышает 10 - 6.

A. Ciel и робот

Бинарный поиск математика реализация *1700

У лисы Ciel есть робот на плоскости. Изначально робот расположен в (0, 0). Лиса Ciel написала программу для этого робота. Программа представляет из себя строку s. Каждый символ строки s обозначает перемещение робота. Всего есть четыре вида перемещений:

  • 'U': шаг вверх, (x, y)  →  (x, y+1);
  • 'D': шаг вниз, (x, y)  →  (x, y-1);
  • 'L': шаг влево, (x, y)  →  (x-1, y);
  • 'R': шаг вправо, (x, y)  →  (x+1, y).

Робот выполняет операции перемещения из строки s слева направо. Выполнив все операции строки s, он начинает выполнять их снова с начала строки s. Он делает это снова и снова, до бесконечности.

Помогите лисе Ciel определить, окажется ли робот в точке (a, b) когда-нибудь.

Входные данные

Первая строка содержит два целых числа a и b, ( - 109 ≤ a, b ≤ 109). Вторая строка содержит строку s (1 ≤ |s| ≤ 100, s состоит только из символов 'U', 'D', 'L', 'R') — программа робота.

Выходные данные

Выведите "Yes", если робот окажется в (a, b), в противном случае выведите "No".

Примечание

В первом и втором тесте программа — это строка "RU", так что робот пойдет вправо, затем вверх, затем вправо, затем вверх и так далее.

Робот пройдет по точкам (0, 0)  →  (1, 0)  →  (1, 1)  →  (2, 1)  →  (2, 2)  →  ...

Итак, он может дойти до (2, 2), но не до (1, 2).

B. Стадион и игры

Бинарный поиск математика *1800

Иван Дурак организует соревнование по футболу. Для этого соревнования он будет использовать следующую систему:

  1. На первых нескольких (возможно, нуле) этапах, покуда количество команд четно, они разбиваются на пары, и в каждой паре команды играют друг с другом одну игру. На каждом таком этапе проигравший в паре выбывает из соревнования (ничей быть не может). Такие этапы проводятся, пока не останется нечетное количество команд.
  2. Если осталась ровно одна команда, то она объявляется победителем, и соревнование завершается. Иначе команды играют по одной игре каждая с каждой (если было x команд, то будет сыграно игр), после чего соревнование завершается.

Например, если в начале было 20 команд, то после первого этапа останется всего 10 команд. После второго этапа останется всего пять команд, и они сыграют по одной игре каждая с каждой. Итого будет сыграно 10+5+10=25 игр.

Красная Шапочка уже зарезервировала для Ивана Дурака стадион на n игр. Помогите ему определить, сколько надо пригласить команд, чтобы в результате было сыграно ровно n игр. Если вариантов несколько, выведите их все в порядке возрастания. Если нет ни одного варианта, выведите -1.

Входные данные

В первой строке записано целое число n (1 ≤ n ≤ 1018), количество игр, которое следует сыграть.

Пожалуйста, не используйте спецификатор %lld для чтения или записи 64-х битных чисел на С++. Рекомендуется использовать потоки cin, cout или спецификатор %I64d.

Выходные данные

Выведите все возможные количества команд, при которых будет сыграно ровно n игр, в порядке возрастания. Если ни при каком количестве команд не будет сыграно ровно n игр, выведите -1.

D. Характеристики прямоугольников

Бинарный поиск Перебор реализация *2100 сортировки битмаски

Геральд обнаружил табличку, состоящую из n строк и m столбцов, в каждой клетке которой целое число. Как видный специалист по прямоугольным таблицам, он сейчас же посчитал характеристику этой таблицы, то есть, минимальное из чисел в углах этой таблицы. Однако полученная величина ему не понравилась — она показалась ему слишком уж маленькой. И чтобы сделать эту величину побольше, он решил немного обрезать таблицу: удалить несколько столбцов слева и несколько справа, а также несколько строк сверху и несколько — снизу. Найдите, какой максимальной может стать характеристика таблицы после такого обрезания. Учтите, что в таблице должно остаться хотя бы две строки и хотя бы два столбца. При этом количество обрезаемых с каждой из четырех сторон строк или столбцов может быть нулевым.

Входные данные

В первой строке даны через пробел два целых числа n и m (2 ≤ n, m ≤ 1000). В следующих n строках описана таблица. В i-той из этих строк перечислены через пробел целые числа ai, 1, ai, 2, ..., ai, m (0 ≤ ai, j ≤ 109)m чисел стоящих в i-той строке таблицы.

Выходные данные

Выведите единственное целое число — ответ на задачу.

Примечание

В первом тестовом примере Геральд ничего не может поделать со своим недовольством — в таблице всего две строки и два столбца.

Во втором тестовом примере, как бы Геральд не обрезал таблицу, все равно хотя бы в одном из углов будет 0.

E. Летний заработок

Бинарный поиск Перебор геометрия сортировки битмаски *2500

Многие школьники ищут себе работу на лето, и вот, однажды, когда Геральд был еще школьником, он тоже решил поработать летом. Но так как Геральд был совсем необычным школьником, то и работу он нашел себе неожиданную. Некая Компания согласилась заплатить ему определенную сумму денег, если он нарисует им три одинаковых круга на плоскости, которые не будут пересекаться друг с другом (но могут касаться). Центры кругов он может выбирать только из n вариантов, предоставленных Компанией. Радиус кругов он волен выбирать сам (радиус всех трех кругов должен быть одинаковым); при этом, чем больше окажется этот радиус, тем больше ему заплатят.

Помогите Геральду заработать как можно больше.

Входные данные

В первой строке записано единственное целое число n — количество центров (3 ≤ n ≤ 3000). В следующих n строках записаны по два целых числа xi, yi ( - 104 ≤ xi, yi ≤ 104) — координаты потенциальных центров кругов, предоставленные Компанией.

Все заданные точки различны.

Выходные данные

Выведите единственное вещественное число — максимальный возможный радиус кругов. Ответ будет засчитан, если его относительная или абсолютная погрешность не превышает 10 - 6.

C. Викторина

Бинарный поиск математика *1600 теория чисел жадные алгоритмы матрицы

Манао принимает участие в викторине. Викторина состоит из n последовательных вопросов. За правильный ответ на вопрос игрок набирает 1 очко. Также в игре есть счетчик последовательных правильных ответов. Когда игрок правильно отвечает на вопрос, к числу на счетчике прибавляется 1. Если игрок неправильно отвечает на вопрос, то счетчик сбрасывается, то есть число на нем превращается в 0. Если после ответа на вопрос счетчик достигает числа k, то он сбрасывается, а счет игрока увеличивается вдвое. Заметим, что в таком случае сначала 1 очко прибавляется к счету игрока, а после происходит его удвоение. В начале игры и счет игрока, и число на счетчике последовательных ответов равны нулю.

Манао помнит, что правильно ответил ровно на m вопросов, но не помнит в каком порядке были расположены вопросы. Он пытается вычислить, каков может быть его минимальный счет. Помогите ему и выведите остаток соответствующего числа при делении на 1000000009 (109 + 9).

Входные данные

В единственной строке записаны через пробел три целых числа n, m и k (2 ≤ k ≤ n ≤ 109; 0 ≤ m ≤ n).

Выходные данные

Выведите единственное число — остаток от деления минимального возможного счета Манао в викторине на 1000000009 (109 + 9).

Примечание

Пример 1. Манао ответил на 3 вопроса из 5, и за каждые два последовательных правильных ответа его счет удваивался. Если бы Манао ответил на первый, третий и пятый вопросы, то он в сумме набрал бы 3 очка.

Пример 2. Теперь Манао ответил уже на 4 вопроса. Минимальный счет достигается в случае, если его единственный неправильный ответ был на четвертый вопрос.

Заметим, что вас просят минимизировать счет, а не остаток от деления счета на 1000000009. Например, если во время игры Манао мог набрать или 2000000000, или 2000000020 очков, ответом задачи будет 2000000000 mod 1000000009, даже хотя 2000000020 mod 1000000009 представляет собой меньшее число.

D. Граф сортировки пузырьком

Бинарный поиск Структуры данных дп *1500

Яхуб недавно освоил сортировку пузырьком, алгоритм, с помощью которого можно отсортировать по возрастанию перестановку, состоящую из n элементов, a1, a2, ... an. Яхубу этот алгоритм показался очень скучным, поэтому он изобрел свой собственный граф. Этот граф (назовем его G) изначально состоит из n вершин и 0 ребер. При запуске сортировки пузырьком ребра добавляются в граф так, как показано в приведенном ниже алгоритме (псевдокод).


procedure bubbleSortGraph()
построить граф G с n вершинами и 0 ребрами
repeat
swapped = false
for i = 1 to n - 1 (обе границы включительно) do:
if a[i] > a[i + 1] then
добавить неориентированное ребро в G между вершинами a[i] и a[i + 1]
swap( a[i], a[i + 1] ) /* поменять местами a[i] и a[i + 1] */
swapped = true
end if
end for
until not swapped
/* повторять цикл пока перестановка не станет отсортированной */
end procedure

Независимое множество в графе — это такое множество вершин в графе, в котором никакие две вершины не являются смежными (следовательно, между вершинами независимого множества нет ребер). Максимальное независимое множество — это такое независимое множество, у которого наибольшая мощность (размер). Вам дана перестановка, вычислите размер максимального независимого множества графа G, если мы построим его процедурой bubbleSortGraph, передав в качестве перестановки a заданную перестановку.

Входные данные

В первой строке записано целое число n (2 ≤ n ≤ 100000). В следующей строке записано n различных целых чисел a1, a2, ..., an (1 ≤ ai ≤ n).

Выходные данные

В первой строке выведите единственное целое число — ответ на задачу.

Примечание

Рассмотрим пример. Сортировка пузырьком поменяет элементы 3 и 1. В граф добавится ребро (1, 3). Теперь перестановка имеет вид [1, 3, 2]. Затем сортировка пузырьком поменяет элементы 3 и 2. В граф добавится ребро (2, 3). Теперь перестановка отсортирована. Построенный граф состоит из 3 вершин и 2 ребер: (1, 3) и (2, 3). Максимальное независимое множество в нем [1, 2].

C. Время чтения

Бинарный поиск жадные алгоритмы *1900

Безумный ученый Майк не использует медленные жесткие диски. В его модификации жесткого диска есть не одна, а n разных головок, которые могут читать данные параллельно.

Разрез жесткого диска Майка представляет собой бесконечный массив из дорожек. Дорожки массива пронумерованы слева направо целыми числами, начиная с 1. В начальном состоянии i-тая считывающая головка находится над дорожкой с номером hi. Программное обеспечение жесткого диска за 1 секунду может переместить каждую из головок ровно на одну дорожку направо или налево, либо оставить на текущей дорожке. В течение времени работы жесткого диска движение каждой головки не влияет на движение остальных головок: головки могут меняться местами; на каждой дорожке может находиться несколько головок. Дорожка считается считанной, если хотя бы одна головка побывала на этой дорожке. В частности, все дорожки под номерами h1, h2, ..., hn уже считаны в начале работы жесткого диска.

Майку нужно считать данные на m разных дорожках под номерами p1, p2, ..., pm. Определите наименьшее время, за которое жесткий диск сможет считать данные с заданных дорожек. Обратите внимание на то, что при этом дополнительно может быть считано произвольное количество других дорожек.

Входные данные

В первой строке входных данных через пробел даны два целых числа n, m (1 ≤ n, m ≤ 105) — количество головок диска и количество дорожек, данные которых нужно считать, соответственно. Во второй строке через пробел в порядке возрастания даны n различных целых чисел hi (1 ≤ hi ≤ 1010, hi < hi + 1) — начальные позиции головок. В третьей строке через пробел в порядке возрастания даны m различных целых чисел pi (1 ≤ pi ≤ 1010, pi < pi + 1) — номера дорожек, с которых нужно считать данные.

Пожалуйста, не используйте спецификатор %lld для чтения или записи 64-битных чисел на С++. Рекомендуется использовать потоки cin, cout или спецификатор %I64d.

Выходные данные

Выведите единственное целое число — наименьшее время в секундах, за которое можно считать все нужные дорожки.

Примечание

Первый тест совпадает с рисунком. В данном случае данные дорожки можно считать за 2 секунды следующим образом:

  1. за первую секунду переместить 1-ую головку налево и на следующей секунде оставить ее на месте;
  2. вторую головку два раза переместить налево;
  3. третью головку два раза переместить направо (причем 6-ая дорожка считана уже в самом начале работы диска).

За 1 секунду дорожки считать невозможно, так как 3-я головка находится на расстоянии 2 от 8-ой дорожки.

A. Мафия

Бинарный поиск математика *1600 сортировки

Как-то раз собрались n друзей, чтобы сыграть в «Мафию». В каждом раунде игры «Мафия» должен быть назначен ведущий (кто-то один из ребят), остальные n - 1 человек принимают участие в игре. Для каждого человека известно, в каком количестве раундов он хочет принять участие как игрок, а не как ведущий: i-ый человек хочет сыграть ai раундов. Какое минимальное количество раундов игры «Мафия» нужно сыграть, чтобы каждый человек сыграл как минимум столько раундов, сколько хочет?

Входные данные

В первой строке записано целое число n (3 ≤ n ≤ 105). Во второй строке через пробел записаны n целых чисел a1, a2, ..., an (1 ≤ ai ≤ 109)i-ое число в списке обозначает количество раундов, которое хочет сыграть i-ый человек.

Выходные данные

В единственную строку выведите целое число — минимальное количество раундов игры, которое нужно сыграть, чтобы i-ый человек сыграл как минимум ai раундов.

Пожалуйста, не используйте спецификатор %lld для чтения или записи 64-битных чисел на С++. Рекомендуется использовать потоки cin, cout или спецификатор %I64d.

D. Поиск сов

Бинарный поиск Структуры данных геометрия *2400 сортировки хэши

Император Палпатин очень любит сов. У Императора есть чертеж новой Звезды Смерти, на котором нарисовано n различных отрезков и m различных окружностей. Будем полагать, что отрезки пронумерованы от 1 до n некоторым образом, и окружности пронумерованы от 1 до m некоторым образом.

Совой, по мнению Палпатина, является совокупность пары различных окружностей (i, j) (i < j) и одного отрезка k такая, что:

  1. окружности i и j симметричны относительно прямой, содержащей отрезок k;
  2. окружности i и j не имеют общих точек;
  3. окружности i и j имеют одинаковый радиус;
  4. отрезок k пересекается с отрезком, соединяющем центры окружностей i и j.

Помогите Палпатину, посчитайте количество различных сов на рисунке.

Входные данные

В первой строке записаны два целых числа — n и m (1 ≤ n ≤ 3·105, 2 ≤ m ≤ 1500).

Далее в n строках записаны по четыре целых числа x1, y1, x2, y2 — координаты двух концов текущего отрезка. Гарантируется, что каждый отрезок имеет положительную длину.

Затем в m строках записаны по три целых числа xi, yi, ri — координаты центра и радиус i-ой окружности. Все координаты — целые числа, не превосходящие 104 по абсолютной величине. Радиус — целое положительное число, не превосходящее 104.

Гарантируется, что все отрезки и все окружности являются различными.

Выходные данные

Выведите единственное число — ответ на задачу.

Пожалуйста, не используйте спецификатор %lld для вывода 64-битных чисел на С++. Рекомендуется использовать поток cout или спецификатор %I64d.

Примечание

Это сова из первого примера. Она сидит и ждет, когда вы ее посчитаете.

D. Пара чисел

Бинарный поиск Перебор Структуры данных математика *2000

У Семена есть массив a1, a2, ..., an, состоящий из n целых положительных чисел. Сегодня Семен попросил вас найти пару целых чисел l, r (1 ≤ l ≤ r ≤ n) такую, что выполнены следующие условия:

  1. существует целое число j (l ≤ j ≤ r), такое что все числа al, al + 1, ..., ar нацело делятся на aj;
  2. величина r - l принимает максимально возможное значение среди всех пар, для которых верно условие 1;

Помогите Семену, найдите требуемую пару чисел (l, r). Если таких пар несколько, требуется найти все.

Входные данные

В первой строке записано целое число n (1 ≤ n ≤ 3·105).

Во второй строке записаны n целых чисел через пробел a1, a2, ..., an (1 ≤ ai ≤ 106).

Выходные данные

В первой строке выведите два целых числа — сколько пар нашлось и максимальное значение r - l. Во второй строке выведите все значения l из оптимальных пар в порядке возрастания.

Примечание

В первом примере пара чисел подходящая, поскольку числа 6, 9, 3 делятся на 3.

Во втором примере все числа делятся на число 1.

В третьем примере все числа простые, поэтому условиям 1 и 2 удовлетворяют только пары чисел (1, 1), (2, 2), (3, 3), (4, 4), (5, 5).

B. Левко и массив

Бинарный поиск дп *2000

У Левко есть массив, состоящий из целых чисел: a1, a2, ... , an. Но этот массив совсем ему не нравится.

Левко считает, что красота массива a напрямую зависит от значения c(a), которое можно посчитать по формуле:

Чем значение c(a) меньше, тем массив красивее.

Наступило время перемен, и Левко собирается изменить свой массив к лучшему. Если быть точнее, Левко хочет изменить значения не более k элементов массива (разрешается изменять значения на любые целые). Конечно, в результате изменений массив должен стать как можно более красивым.

Помогите Левко — посчитайте, какого минимального значения c(a) ему удастся достичь.

Входные данные

В первой строке записаны два целых числа n и k (1 ≤ k ≤ n ≤ 2000). Во второй строке через пробел записаны целые числа a1, a2, ... , an ( - 109 ≤ ai ≤ 109).

Выходные данные

Единственное число — минимальное значение c(a), которое может получить Левко.

Примечание

В первом примере Левко может изменить второй и четвертый элементы и получить массив: 4, 4, 4, 4, 4.

В третьем примере он может получить массив: 1, 2, 3, 4, 5, 6.

D. Прокат велосипедов

Бинарный поиск *1800 жадные алгоритмы

Группа из n школьников решила покататься на велосипедах. Так как ни у кого из них велосипеда нет, то велосипеды надо брать напрокат.

В пункте проката им предложили m велосипедов. Стоимости проката у разных велосипедов могут различаться, стоимость проката j-го велосипеда составляет pj рублей.

У школьников есть общий бюджет в a рублей. Кроме того, у каждого из друзей есть личные средства, у i-го школьника bi рублей личных денег. Общий бюджет может расходоваться на любых школьников произвольным образом, в то время как личные деньги школьник может тратить только на прокат велосипеда для себя.

Каждый школьник может взять напрокат не более одного велосипеда, передавать велосипеды друг другу нельзя.

Какое максимальное количество школьников сможет покататься на велосипедах? Какую минимальную сумму личных средств придется суммарно потратить школьникам, чтобы максимальное количество их покаталось на велосипедах?

Входные данные

В первой строке входных данных записаны три целых числа n, m и a (1 ≤ n, m ≤ 105; 0 ≤ a ≤ 109). Вторая строка содержит последовательность целых чисел b1, b2, ..., bn (1 ≤ bi ≤ 104), где bi — количество личных денег у i-го школьника. Третья строка содержит последовательность целых чисел p1, p2, ..., pm (1 ≤ pj ≤ 109), где pj — стоимость проката j-го велосипеда.

Выходные данные

Выведите два целых числа r и s, где r — максимальное количество школьников, которые смогут взять напрокат велосипед, а s — минимальный суммарный расход личных денег для аренды r велосипедов. Если школьники не могут взять напрокат ни одного велосипеда, то r = s = 0.

Примечание

В первом примере оба школьника могут взять напрокат велосипед. Например, они могут поделить общий бюджет пополам (по 5 рублей каждому). В этом случае одному из них придется доплатить 1 рубль из личных средств, а другому — 2 рубля. В сумме из личных средств будет потрачено 3 рубля. Такой вариант траты денег минимизирует расход личных средств.

D. Дима и граф-ловушка

Бинарный поиск Структуры данных *2000 поиск в глубину и подобное кратчайшие пути снм

Дима и Инна обожают проводить время вместе. Только Сережа почему-то не обожает уходить из собственной комнаты. Но Дима и Инна так любят друг друга, что решили пойти на криминал...

Дима сконструировал граф-ловушку и под предлогом: «Сереж, смотри какой у меня граф классный!», — толкнул соседа в первую вершину.

Граф-ловушка — это неориентированный граф, состоящий из n вершин и m ребер. Ребру с номером k Дима сопоставил диапазон целых чисел от lk до rk (lk ≤ rk). Чтобы выйти из графа ловушки, Сережа первоначально (перед началом пути) должен выбрать некоторое целое число (обозначим его x), после этого Сережа должен пройти путь от стартовой вершины с номером 1 до конечной вершины с номером n. При этом Сережа может пройти по ребру k только в том случае, если lk ≤ x ≤ rk.

Сережа — математик. Он определил лояльность какого-то пути из 1-ой вершины в n-ую, как количество целых чисел x, выбрав которые первоначально, можно пройти этот путь. Помогите Сереже найти путь, обладающий максимальной лояльностью, и поскорее вернуться в комнату!

Входные данные

Первая строка входных данных содержит два целых числа n и m (2 ≤ n ≤ 103, 0 ≤ m ≤ 3·103). Далее следует m строк, описывающих ребра. Каждая строка содержит четыре целых числа ak, bk, lk и rk (1 ≤ ak, bk ≤ n, 1 ≤ lk ≤ rk ≤ 106). Числа обозначают, что в графе-ловушке k-ое ребро соединяет вершины ak и bk, этому ребру сопоставлен диапазон целых чисел от lk до rk.

Обратите внимание, заданный граф может иметь петли и кратные ребра.

Выходные данные

В единственной строке выходных данных выведите целое положительное число — максимальную лояльность, среди всех путей из первой вершины в n-ую. Если таких путей не существует, или максимальная лояльность равна 0, то в единственной строке выведите «Nice work, Dima!» без кавычек.

Примечание

Пояснение к примеру 1

У нас есть всего 2 способа попасть из вершины 1 в вершину 4: сперва нужно обязательно пройти по ребру 1-2 с диапазоном [1-10], затем, по одному из двух ребер 2-4.

Одно из них содержит диапазон [3-5], то есть мы можем пройти с числами 3, 4, 5. Лояльность такого пути — 3.

Если же идти по ребру 2-4 с диапазоном [2-7], то мы сможем пройти с числами 2, 3, 4, 5, 6, 7. Лояльность — 6. Это и есть ответ.

Ребро 1-2 не влияет на лояльность пути, так как его диапазон содержит в себе диапазоны следующих в пути ребер.

B. Сережа и анаграммы

Бинарный поиск Структуры данных *1900

У Сережи есть две последовательности a и b, a также число p. Последовательность a состоит из n целых чисел a1, a2, ..., an. Аналогично, последовательность b состоит из m целых чисел b1, b2, ..., bm. Как обычно, Сережа изучает имеющиеся у него последовательности. Сегодня он хочет найти количество позиций q (q + (m - 1)·p ≤ nq ≥ 1) таких, что последовательность b можно получить из последовательности aq, aq + p, aq + 2p, ..., aq + (m - 1)p перестановкой ее элементов.

Сереже нужно бежать в тренажерный зал, поэтому он попросил вас найти все описанные позиции q.

Входные данные

В первой строке содержатся три целых числа n, m и p (1 ≤ n, m ≤ 2·105, 1 ≤ p ≤ 2·105). В следующей строке содержатся n целых чисел a1, a2, ..., an (1 ≤ ai ≤ 109). В следующей строке содержатся m целых чисел b1, b2, ..., bm (1 ≤ bi ≤ 109).

Выходные данные

В первой строке выведите количество подходящих q. Во вторую строку выведите сами подходящие значения в возрастающем порядке.

E. Валера и запросы

Бинарный поиск Структуры данных *2200

Валера очень любит отрезки. Недавно он придумал одну интересную задачу.

На координатной прямой есть n отрезков, i-й отрезок начинается в позиции li и заканчивается в позиции ri (будем обозначать его [li, ri]). Требуется обработать m запросов, каждый из которых состоит из числа cnti и набора cnti координат точек, расположенных на координатной прямой. Ответом на запрос является количество таких отрезков, что каждый из них содержит хотя бы одну точку из набора. Отрезок [l, r] содержит точку q, если l ≤ q ≤ r.

Решение этой задачи Валере показалось слишком сложным. Поэтому он обратился за помощью к вам. Помогите Валере.

Входные данные

В первой строке задано два целых числа n, m (1 ≤ n, m ≤ 3·105) — количество отрезков на координатной прямой и количество запросов.

В следующих n строках задано описание отрезков. Строка номер i содержит два целых положительных числа li, ri (1 ≤ li ≤ ri ≤ 106) — границы i-го отрезка.

В следующих m строках содержится описание запросов по одному на строке. Каждая строка начинается с целого числа cnti (1 ≤ cnti ≤ 3·105) — количество точек в i-м запросе. Далее в строке идут cnti различных целых положительных чисел p1, p2, ..., pcnti (1 ≤ p1 < p2 < ... < pcnti ≤ 106) — координаты точек в i-м запросе.

Гарантируется, что суммарное количество точек во всех запросах не превосходит 3·105.

Выходные данные

Выведите m целых неотрицательных чисел, где i-e число — ответ на i-й запрос.

C. Гамбургеры

Бинарный поиск Перебор *1600

Поликарп очень любит гамбургеры, особенно приготовленные собственноручно. Поликарп считает, что существует только три достойных ингредиента для приготовления гамбургера: хлеб, колбаса и сыр. Рецепт своего знаменитого «гамбургера от Поликарпа» он записывает в виде строки из букв 'B' (хлеб), 'S' (колбаса) и 'C' (сыр). В рецепте ингредиенты перечисляются снизу вверх, например, рецепт «ВSCBS» обозначает гамбургер в котором снизу вверх идут: хлеб, колбаса, сыр, хлеб и снова колбаса.

На кухне у Поликарпа в наличии nb кусочков хлеба, ns кусочков колбасы и nc кусочков сыра. Кроме того, в магазине неподалеку есть в продаже все три ингредиента по цене: pb рублей за кусок хлеба, ps — за кусок колбасы и pc — за кусочек сыра.

У Поликарпа есть r рублей, которые он готов потратить в магазине. Какое наибольшее количество гамбургеров он сможет приготовить? Считается, что ломать или резать любой из кусочков (хлеба, колбасы, сыра) нельзя, а также что в магазине есть бесконечно много кусочков каждого из ингредиентов.

Входные данные

В первой строке входных данных содержится непустая строка, описывающая рецепт «гамбургера от Поликарпа». Длина строки не превосходит 100, строка содержит только буквы 'B' (прописная латинская B), 'S' (прописная латинская S) и 'C' (прописная латинская C).

Вторая строка содержит три целых числа nb, ns, nc (1 ≤ nb, ns, nc ≤ 100) — количество кусочков хлеба, колбасы и сыра на кухне Поликарпа. Третья строка содержит три целых числа pb, ps, pc (1 ≤ pb, ps, pc ≤ 100) — цена одного кусочка хлеба, колбасы и сыра в магазине. Наконец, четвертая строка содержит целое число r (1 ≤ r ≤ 1012) — количество рублей у Поликарпа.

Пожалуйста, не используйте спецификатор %lld для чтения или записи 64-битных чисел на С++. Рекомендуется использовать потоки cin, cout или спецификатор %I64d.

Выходные данные

Выведите наибольшее количество гамбургеров, которое Поликарп может приготовить. Если он не может приготовить ни одного гамбургера, выведите 0.

A. Весело считать Кенгуру

Бинарный поиск *1600 жадные алгоритмы сортировки

Даны n кенгуру с сумками. У каждого кенгуру есть размер (целое число). Кенгуру может поместиться в сумке другого кенгуру тогда и только тогда, когда размер кенгуру-носителя как минимум в два раза больше размера кенгуру-пассажира.

Каждый кенгуру может нести не более одного кенгуру, а кенгуру-пассажир не может носить никаких кенгуру.

Кенгуру-пассажира не видно, когда он в сумке кенгуру-носителя. Пожалуйста, разработайте такой план рассадки кенгуру, чтобы было видно как можно меньше кенгуру.

Входные данные

В первой строке записано единственное целое число — n (1 ≤ n ≤ 5·105). Каждая из следующих n строк содержит целое число si — размер i-го кенгуру (1 ≤ si ≤ 105).

Выходные данные

Выведите единственное целое число — оптимальное количество видимых кенгуру.

D. Весело выбирать поддерево

Бинарный поиск Деревья Структуры данных *2600 поиск в глубину и подобное

Дано дерево, состоящее из n вершин. Вершины пронумерованы от 1 до n.

Определим длину отрезка [l, r] величиной r - l + 1. Счет поддерева данного дерева равняется максимальной длине такого отрезка [l, r], что вершины с номерами l, l + 1, ..., r принадлежат поддереву.

Рассмотрим все поддеревья данного дерева размером не больше k, выведите максимальный счет поддерева среди рассматриваемых. Обратите внимание, что в данной задаче дерево не корневое, поэтому поддерево — это любой связный подграф дерева.

Входные данные

В первой строке дано два целых числа n и k (1 ≤ k ≤ n ≤ 105). Каждая из следующих n - 1 строк содержит целые числа ai и bi (1 ≤ ai, bi ≤ n, ai ≠ bi). Это означает, что ai и bi соединены ребром дерева.

Гарантируется, что входные данные представляют дерево.

Выходные данные

Выведите единственное целое число — максимальный возможный счет.

Примечание

В первом примере имеется поддерево размера не больше 6, включающее тройку последовательных номеров вершин. Например, поддерево, состоящее из {1, 3, 4, 5, 7, 8} или из {1, 4, 6, 7, 8, 10}, включает тройку последовательных номеров вершин. Однако не существует поддерева, размер которого не больше 6, включающего 4 или более последовательных номеров вершин.

B. Весело составлять последовательности

Бинарный поиск математика реализация *1600

Определим S(n) для положительного целого числа n следующим образом: количество цифр в десятичной записи числа n. Например, S(893) = 3, S(114514) = 6.

Вы хотите составить последовательность из целых чисел, следующих друг за другом, начиная с числа m (m, m + 1, ...). Но для того, чтобы добавить в последовательность число n, надо заплатить S(nk.

Вы можете потратить w, при этом последовательность необходимо сделать как можно длиннее. Напишите программу, сообщающую максимальную длину последовательности.

Входные данные

В первой строке записано три целых числа w (1 ≤ w ≤ 1016), m (1 ≤ m ≤ 1016), k (1 ≤ k ≤ 109).

Пожалуйста, не используйте спецификатор %lld для чтения и записи 64-битных целых чисел на C++. Рекомендуется использовать потоки cin, cout или спецификатор %I64d.

Выходные данные

В первой строке выведите целое число — ответ на задачу.

D. Инна и последовательность

Бинарный поиск Деревья Структуры данных дп *2000

Дима долго думал, что подарить Инне, и подарил ей пустую последовательность w. Теперь ребята хотят заполнить последовательность w нулями и единицами вместе. Для этого они решили поиграть в забавную игру.

Перед началом игры Дима загадывает m целых чисел a1, a2, ..., am (1 ≤ a1 < a2 < ... < am). Далее Инна и Дима начинают играть, то есть добавлять числа в последовательность w. Каждое новое число ребята дописывают в конец последовательности. В некоторые моменты времени Дима решает, что игра слишком близится к концу, поэтому (он же хочет играть с Инной как можно дольше) Дима сильно стукает кулаком по столу. При этом a1-е, a2-е, a3-е, ..., ak-е числа от начала одновременно вылетают из последовательности (в последовательности становится на k чисел меньше). Здесь k — такое максимальное число, что значение ak не превосходит текущей длины последовательности. Если число a1 больше текущей длины w, то из последовательности ничего не вылетает.

Вам дана хронологическая последовательность событий в игре. Каждое событие — это либо добавление числа в конец последовательности w, либо стук Димы по столу. Определите чему будет равна последовательность после того, как все эти события произойдут.

Входные данные

Первая строка входных данных содержит два целых числа n и m (1 ≤ n, m ≤ 106) — количество событий и количество загаданных Димой чисел.

Следующая строка содержит m различных целых чисел ai (1 ≤ ai ≤ 106), отсортированных в порядке возрастания.

Следующие n строк описывают события в хронологическом порядке. Каждая строка содержит одно целое число: -1, 0 или 1. Число -1 означает, что Дима стукает по столу. Число 0 означает, что Инна и Дима добавляют в конец последовательности число 0. Число 1 означает, что Инна и Дима добавляют в конец последовательности число 1.

Выходные данные

В единственной строке выведите последовательность из 0 и 1 — содержимое w после всех событий. Элементы последовательности должны быть выведены в порядке от начала к концу последовательности.

Если после всех событий последовательность w окажется пустой, выведите «Poor stack!».

E. Инна и пупсики

Бинарный поиск Структуры данных реализация геометрия *2600 снм

Инна, Дима и Сережа собрались в комнате. На улице холодно, поэтому Сережа предложил ребятам поиграть в настольную игру «Пупсики».

Поле для игры в «Пупсики» представляет собой безграничную плоскость, на которой находятся n синих пупсиков и m красных. Каждый пупсик — это отрезок, который растет во времени. В момент времени t синий пупсик (x, y) представляет собой синий отрезок с концами в точках (x - t, y + t), (x + t, y - t). Аналогично, в момент времени t красный пупсик (x, y) представляет собой красный отрезок с концами в точках (x + t, y + t), (x - t, y - t) плоскости. Первоначально, в момент времени t = 0, все пупсики — это точки на плоскости.

Цель игры — найти первый целочисленный момент времени, в который на плоскости будет существовать прямоугольник ненулевой площади, стороны которого целиком покрываются некоторыми пупсикам (сторона может быть покрыта несколькими пупсиками). Более формально, для любой точки границы прямоугольника должен существовать пупсик, которому эта точка принадлежит. При этом нужно считать, что пупсики являются замкнутыми отрезками, то есть содержат свои конечные точки.

Вам заданы позиции все пупсиков — помогите ребятам найти требуемый момент времени.

Входные данные

Первая строка входных данных содержит два целых числа n и m (1 ≤ n, m ≤ 2000).

В следующих n строках заданы координаты синих пупсиков. В i-той строке записаны целые числа xi, yi — координаты очередного пупсика. В следующих m строках заданы координаты m красных пупсиков в аналогичном формате.

Все координаты во входных данных не превосходят 106 по модулю. Обратите внимание, что все пупсики стоят в различных точках.

Выходные данные

В единственной строке выведите целое число — ответ на задачу. Если прямоугольник никогда не появится на плоскости, выведите «Poor Sereja!» без кавычек.

B. Подготовка к соревнованию

Бинарный поиск Структуры данных жадные алгоритмы сортировки *1900

Уже совсем скоро состоится крупнейшее в мире соревнование по программированию, а в тестирующей системе до сих пор имеется m багов. У организатора соревнования — одного известного университета — нет иного выбора, как привлечь студентов университета к исправлению всех багов. В университете учатся n студентов, способных выполнять такую работу. Студенты понимают, что являются единственной надеждой организаторов, поэтому не готовы работать бесплатно: i-ый студент за свою помощь хочет получить ci зачетов (независимо от объема проделанной им работы).

Как баги, так и студенты, не одинаковые: каждый баг характеризуется сложностью aj, а каждый студент — уровнем своих способностей bi. Студент i способен пофиксить баг j лишь в том случае, если уровень его способностей не меньше сложности бага: bi ≥ aj, причем он делает это за один день. В противном случае для исправления этого бага придется использовать какого-либо другого студента. Разумеется, никакой студент не может работать над несколькими багами в течение одного дня. Все баги не зависят друг от друга, поэтому их можно исправлять в любом порядке, а разные студенты могут работать параллельно.

Университет хочет исправить все баги как можно быстрее, при этом выставив студентам суммарно не более s зачетов. Определите, каких студентов нужно для этого привлечь, а также расписание работ: какой студент должен исправлять какой баг.

Входные данные

В первой строке содержатся три целых числа, записанные через пробел: n, m и s (1 ≤ n, m ≤ 105, 0 ≤ s ≤ 109) — количество студентов, количество багов в системе и максимальное количество зачетов, которое университет готов поставить студентам.

В следующей строке содержится m целых чисел a1, a2, ..., am (1 ≤ ai ≤ 109), записанных через пробел — сложности багов.

В следующей строке содержится n целых чисел b1, b2, ..., bn (1 ≤ bi ≤ 109), записанных через пробел — уровни способностей студентов.

В следующей строке содержится n целых чисел c1, c2, ..., cn (0 ≤ ci ≤ 109), записанных через пробел — количества зачетов, которые студенты хотят получить за свою помощь.

Выходные данные

Если все баги исправить не удастся, выведите «NO».

Иначе в первой строке выведите «YES», а затем выведите m целых чисел через пробел: i-ое из этих чисел должно равняться номеру студента, который исправит i-ый баг в оптимальном ответе. Баги должны быть исправлены как можно быстрее (должно быть потрачено наименьшее количество дней), а суммарное количество выставленных зачетов не должно при этом превышать s. Если существует несколько оптимальных ответов, разрешается вывести любой.

Примечание

Рассмотрим первый пример.

Третий студент (с уровнем способностей 3) должен исправлять второй и четвертый баги (сложностей 3 и 2 соответственно), а второй студент (с уровнем способностей 1) — первый и третий баги (их сложность также равна 1). Исправление каждого бага займет у каждого студента один день, поэтому на исправление всех багов потребуется два дня (студенты могут работать параллельно).

Второй студент требует за свою помощь 3 зачета, а третий — 6. Это укладывается в возможности университета, который готов поставить не более 9 зачетов.

A. Сережа и префиксы

Бинарный поиск Перебор *1600

Сережа очень любит числовые последовательности. Поэтому он решил сделать себе еще одну. Для этого он действует по следующему алгоритму.

Сережа берет чистый листок бумаги. Далее он начинает выписывать последовательность в m этапов. Каждый раз он либо дописывает новое число в конец последовательности, либо берет l первых элементов текущей последовательности и дописывает их в конец c раз. Более формально, если обозначить текущую последовательность a1, a2, ..., an, то после применения описанной операции она превратится в a1, a2, ..., an[, a1, a2, ..., al] (блок, который выделен в квадратные скобки, нужно повторить c раз).

Прошел день. Сережа уже построил последовательность. Теперь он хочет знать, чему равны некоторые ее элементы? Помогите Сереже.

Входные данные

Первая строка содержит целое число m (1 ≤ m ≤ 105) — количество этапов для построения последовательности.

Следующие m строк содержат описание этапов в порядке их следования. Первое число в строке — это тип этапа (1 или 2). Тип 1 обозначает добавление одного числа в конец последовательности, в этом случае далее в строке идет целое число xi (1 ≤ xi ≤ 105) — число, которое нужно добавить. Тип 2 обозначает копирование префикса длины li в конец ci раз, в этом случае далее в строке идут два целых числа li, ci (1 ≤ li ≤ 105, 1 ≤ ci ≤ 104), li — длина префикса, ci — количество копирований. Гарантируется, что длина префикса li никогда не превышает текущей длины последовательности.

Следующая строка содержит целое число n (1 ≤ n ≤ 105) — количество элементов, которые интересуют Сережу. Следующая строка содержит номера интересующих Сережу элементов в полученной последовательности в строго возрастающем порядке. Гарантируется, что все числа строго больше нуля и не превосходят длины полученной последовательности. Считайте, что элементы итоговой последовательности пронумерованы, начиная от 1, от начала последовательности к концу.

Пожалуйста, не используйте спецификатор %lld для чтения или записи 64-х битовых чисел на С++. Рекомендуется использовать потоки cin, cout или спецификатор %I64d.

Выходные данные

Выведите интересующие Сережу элементы в порядке, в котором их номера следуют во входных данных.

B. Разрушители чисел

Бинарный поиск математика *2000

Артур и Александр — разрушители чисел. Сегодня у них соревнование.

Артур взял четверку целых чисел a, b, w, x (0 ≤ b < w, 0 < x < w), а Александр взял целое число с. Артур и Александр используют разные подходы к разрушению чисел. Александр — простой парень, каждую секунду Александр вычитает из своего числа единицу, то есть выполняет присвоение: c = c - 1. Артур — сложный мальчуган, каждую секунду Артур выполняет сложную операцию, описанную далее: если b ≥ x, выполнить присвоение, b = b - x, если же b < x последовательно выполнить два присвоения a = a - 1; b = w - (x - b).

Вам заданы числа a, b, w, x, c. Определите, через какое время Александр догонит Артура, если ребята начнут выполнять операции одновременно. Считается, что Александр догнал Артура, если c ≤ a.

Входные данные

В первой строке заданы целые числа a, b, w, x, c (1 ≤ a ≤ 2·109, 1 ≤ w ≤ 1000, 0 ≤ b < w, 0 < x < w, 1 ≤ c ≤ 2·109).

Выходные данные

Выведите единственное целое число — минимальное время в секундах, через которое Александр догонит Артура. Можно доказать, что в ограничениях задачи описанное всегда случится.

B. Вулканы

Бинарный поиск реализация сортировки *2500

Яхуб потерялся в огромной пустыне. Пустыня представляет собой квадратную матрицу размера n × n, каждая ячейка матрицы — это часть пустыни. Будем считать, что ячейка (i, j) — это ячейка на пересечении строки i и столбца j матрицы (1 ≤ i, j ≤ n). Из ячейки пустыни (i, j) Яхуб может пойти либо вниз, либо направо, то есть, в ячейку (i + 1, j), либо (i, j + 1).

Известно, что в m ячейках пустыни находятся вулканы. Конечно, Яхуб не может заходить на такие ячейки.

Изначально Яхуб стоит в ячейке (1, 1). Ему надо дойти до ячейки (n, n). Зная, что для единичного перехода из одной ячейки в другую Яхубу требуется ровно 1 секунда, найдите минимальное время, за которое он может прибыть в ячейку (n, n).

Входные данные

В первой строке содержатся два целых числа, n (1 ≤ n ≤ 109) и m (1 ≤ m ≤ 105). В каждой из следующих m строк содержится пара целых чисел, x и y (1 ≤ x, y ≤ n), обозначающих координаты вулканов.

Считайте, что строки матрицы пронумерованы от 1 до n сверху вниз, а столбы от 1 до n слева направо. Гарантируется, что в ячейке (1, 1) нет вулкана. Никакие два вулкана не находятся в одной позиции.

Выходные данные

Выведите единственное целое число, минимальное время, за которое Яхуб сможет прибыть в ячейку (n, n). Если решения не существует (Яхуб не может прийти в конечную ячейку), выведите -1.

Примечание

Рассмотрим первый тестовый пример. Один из возможных путей: (1, 1)  →  (1, 2)  →  (2, 2)  →  (2, 3)  →  (3, 3)  →  (3, 4)  →  (4, 4).

C. Медведь и простые числа

Бинарный поиск Перебор Структуры данных математика реализация дп теория чисел *1700

Недавно медведь начал изучать структуры данных и столкнулся со следующей задачей.

Задана последовательность целых чисел x1, x2, ..., xn длины n и m запросов, каждый из которых характеризуется двумя целыми числами li, ri. Обозначим за f(p) — количество таких индексов k, что xk делится на p. Ответом на запрос li, ri является сумма: , где S(li, ri) — множество простых чисел из отрезка [li, ri] (обе границы включаются в отрезок).

Помогите медведю справиться с этой задачей.

Входные данные

В первой строке записано целое число n (1 ≤ n ≤ 106). Во второй строке записаны n целых чисел x1, x2, ..., xn (2 ≤ xi ≤ 107). Числа не обязательно различные.

В третьей строке записано целое число m (1 ≤ m ≤ 50000). В каждой из m следующих строк записана пара целых чисел через пробел li и ri (2 ≤ li ≤ ri ≤ 2·109) — числа, характеризующие текущий запрос.

Выходные данные

Выведите m целых чисел — ответы на запросы в порядке появления запросов во входных данных.

Примечание

Рассмотрим первый тестовый пример. Всего в первом примере 3 запроса.

  1. Поступает первый запрос l = 2, r = 11. Нужно посчитать f(2) + f(3) + f(5) + f(7) + f(11) = 2 + 1 + 4 + 2 + 0 = 9.
  2. Поступает второй запрос l = 3, r = 12. Нужно посчитать f(3) + f(5) + f(7) + f(11) = 1 + 4 + 2 + 0 = 7.
  3. Поступает третий запрос l = 4, r = 4. Так как на этом промежутке нет простых чисел, то сумма равна 0.

B. Халява лети!

Бинарный поиск Перебор реализация *1400

Все любят халяву. Студенты особенно.

Как известно, если в ночь перед экзаменом высунуться в раскрытое окно, открыть зачетку и громко трижды прокричать «Халява лети!», то прилетевшая халява поможет сдать предстоящий экзамен.

В ночь перед экзаменом по матанализу из окон студенческого общежития номер π n студентов прокричали заветные слова. Для каждого студента известен момент времени ti, в который он совершил таинство. Известно, что ti равно количеству секунд, прошедших с начала ночи.

Известно, что халява дама капризная и своенравная. В эту ночь халява была неподалеку от общежития в течение T секунд. Поэтому, если для двух студентов разность моментов времени совершения таинств больше T, то хотя бы к одному из них она точно не прилетит.

Так как все студенты оптимисты, им очень хочется знать, какое наибольшее количество человек может войти в группу счастливчиков.

Входные данные

В первой строке записано целое число n (1 ≤ n ≤ 100), где n — количество студентов, прокричавших «Халява лети!». Во второй строке содержится n целых положительных чисел ti (1 ≤ ti ≤ 1000). Последняя строка содержит целое число T (1 ≤ T ≤ 1000) — интервал времени, в течение которого халява была около общежития.

Выходные данные

Выведите единственное целое число — наибольшее количество человек, которые смогут войти в группу счастливчиков.

E. Георгий и карточки

Бинарный поиск Структуры данных *2200

Георгий — кот, поэтому он очень любит играть.

Виталий выложил перед Георгием в ряд n карточек, причем на каждой карточке было написано одно целое число. Числа, написанные на карточках, были различными. Пронумеруем карточки слева направо целыми числами от 1 до n. Тогда на i-ой слева карточке было написано число pi (1 ≤ pi ≤ n).

Виталий хочет, чтобы в ряду осталось ровно k карточек. Также он хочет, чтобы на i-ой слева карточке было написано число bi. Виталий дал задание Георгию, получить требуемую последовательность карточек, выполнив n - k раз операцию удаления.

За одну операцию удаления Георгий может выбрать w (1 ≤ w; w не превышает текущего количества карточек) лежащих подряд карточек (непрерывный подотрезок карточек). Обозначим числа на этих карточках x1, x2, ..., xw (слева направо). Далее Георгий может убрать со стола одну такую карточку xi, что xi ≤ xj для всех j (1 ≤ j ≤ w). За описанную операцию удаления Георгий получает w кусочков колбасы.

Георгий заинтересовался, какое максимальное количество кусочков колбасы он может получить в сумме, если достигнет желаемого и будет действовать оптимально? Помогите Георгию, узнайте ответ на его вопрос!

Входные данные

В первой строке заданы числа n и k (1 ≤ k ≤ n ≤ 106) — начальное и конечное количество карточек.

Во второй строке заданы n различных целых чисел через пробел p1, p2, ..., pn (1 ≤ pi ≤ n)— начальный ряд из карточек.

В третьей строке заданы k целых чисел через пробел b1, b2, ..., bk — ряд из карточек, который необходимо получить. Гарантируется, что данный ряд возможно получить, используя n - k операций удаления.

Выходные данные

Выведите единственное число — максимальное количество кусочков колбасы, которое может получить Георгий, если будет действовать оптимально.

E. Инна и бинарная логика

Бинарный поиск Структуры данных *2100 битмаски

Вдоволь наслушавшись шуток о женской логике, Инна взяла и перешла на бинарную.

У Инны есть массив a1, состоящий из n целых неотрицательных чисел: a1[1], a1[2], ..., a1[n]. Девочка любит развивать свою бинарную логику, для этого она выполняет упражнение, которое состоит из n этапов: на первом этапе Инна выписывает все элементы массива a1, на i(i ≥ 2) этапе девочка выписывает все элементы массива ai, который состоит из n - i + 1 целых чисел и k-е число которого равно ai[k] = ai - 1[kAND ai - 1[k + 1]. Здесь операция AND обозначает операцию побитового И двух чисел.

Дима решил проверить насколько хорошо Инна выполняет описанное упражнение. Для этого он просит Инну изменять массив и после каждого изменения говорить, чему будет равна сумма чисел, которые Инна выпишет в результате выполнения упражнения над текущим массивом.

Помогите Инне ответить на все запросы Димы.

Входные данные

Первая строка входных данных содержит два целых числа n и m (1 ≤ n, m ≤ 105) — количество элементов в массиве a1 и количество запросов Димы. Следующая строка содержит n целых чисел a1[1], a1[2], ..., a1[n] (0 ≤ ai ≤ 105) — изначальные элементы массива.

В каждой из следующих m строк записана пара целых чисел — описание запросов Димы. Каждый запрос характеризуется двумя целыми числами pi, vi (1 ≤ pi ≤ n; 0 ≤ vi ≤ 105). В ответ на этот запрос Инна должна элемент a1[pi] сделать равным числу vi. Обратите внимание, изменения сохраняются от запроса к запросу.

Выходные данные

Выведите m строк. Для каждого запроса на изменение массива выведите сумму всех чисел, которые выпишет Инна, если будет выполнять упражнение над текущим массивом, в отдельной строке.

E. Лабиринт 1D

Бинарный поиск реализация жадные алгоритмы *2200

У Валеры есть бесконечная в обе стороны полоска, состоящая из клеток. Клетки пронумерованы целыми числами. В клетке с номером 0 стоит робот.

У робота есть инструкция — последовательность ходов, которые он должен совершить. За один ход робот перемещается на одну клетку влево или вправо, согласно инструкции. До начала движения робота Валера размещает препятствия в каких-то клетках полоски, исключая клетку с номером 0. Если в какой-то из ходов робот по инструкции должен пойти в клетку с препятствием, то он пропускает этот ход.

Кроме того Валера указывает номер финишной клетки, в которой робот должен оказаться после выполнения всей инструкции. Финишная клетка должна быть отлична от стартовой. Считается, что робот успешно выполнил инструкцию, если в процессе ее выполнения он посетил финишную клетку ровно один раз — своим последним ходом. Причем, последний ход не должен быть пропущен.

Предположим, что минимальное количество препятствий, которое необходимо поставить Валере, чтобы робот смог выполнить всю последовательность ходов и оказаться в какой-то финишной клетке равно k. Вам требуется посчитать, сколькими способами Валера может выбрать k препятствий и финишную клетку так, чтобы робот смог успешно выполнить инструкцию.

Входные данные

В первой строке записана последовательность символов без пробелов s1s2... sn (1 ≤ n ≤ 106), состоящая только из букв «L» и «R». Если символ si равен «L», то робот на i-м ходу должен попробовать переместиться на одну клетку влево. Если символ si равен «R», то робот на i-м ходу должен попробовать переместиться на одну клетку вправо.

Выходные данные

Выведите целое число — требуемое количество способов. Гарантируется, что это число помещается в 64-битном знаковом целочисленном типе данных.

Примечание

В первом примере Валера не должен ставить никаких препятствий, а в качестве финишной клетки выбрать клетку с номером 2.

Во втором примере Валере необходимо поставить препятствие в клетку с номером 1, а финишной клеткой назначить клетку с номером  - 1. В этом случае он пропустит первые два хода, а на третьем сразу перейдет из своей стартовой клетки в финишную. Если же Валера не поставит никаких препятствий, или поставит препятствие в другую клетку, то он посетит финишную клетку более одного раза.

D. Машмох и резервуары с водой

Бинарный поиск Деревья Структуры данных жадные алгоритмы *2300

Машмох играет в новую игру. В начале у него есть k литров воды и p монеток. Также у него есть корневое дерево (неориентированный связный ациклический граф), состоящее из m вершин. Каждая вершина дерева содержит резервуар с водой, изначально пустой.

Игра начинается с того, что Машмох выбирает несколько (не более k) таких резервуаров (кроме того, что находится в корне) и льет в каждый ровно 1 литр воды. Затем следующий процесс продолжается, пока в резервуарах не остается воды.

  • Процесс состоит из нескольких итераций.
  • В начале каждой итерации Машмох открывает крышки всех резервуаров. Затем он закрывает крышки некоторых резервуаров (ему нельзя закрывать крышку корневого резервуара) на время этой итерации. Пусть некоторый резервуар содержал w литров воды и был закрыт на данной итерации, тогда Машмох платит w монеток за закрытие этого резервуара.
  • Обозначим через x1, x2, ..., xm список вершин дерева, отсортированный в порядке неубывания по глубине. Будем рассматривать вершины из этого списка одну за одной. Сперва опустошается резервуар в вершине x1 (то есть, корень). Затем для каждой вершины xi (i > 1), если ее резервуар закрыт, вершина пропускается, иначе вся вода переливается из резервуара вершины xi в резервуар ее родителя (несмотря на то, что резервуар родителя может быть закрытым).

Предположим, что до опустошения всех резервуаров дерева произошло l итераций. Обозначим количество воды в резервуаре корня после i-й итерации как wi. В результате описанного процесса Машмох выиграет max(w1, w2, ..., wl) долларов. Машмох хочет знать, какое максимальное количество долларов он может выиграть, сыграв приведенную выше игру. Он просит вас найти для него это значение.

Входные данные

В первой строке записано три целых числа через пробел m, k, p (2 ≤ m ≤ 105; 0 ≤ k, p ≤ 109).

Каждая из следующих m - 1 строк содержит два целых числа через пробел ai, bi (1 ≤ ai, bi ≤ mai ≠ bi), ребро дерева.

Считайте, что вершины дерева пронумерованы от 1 до m. Корень дерева имеет номер 1.

Выходные данные

Выведите единственное целое число — число, которое Машмох попросил вас найти.

Примечание

Дерево в первом примере показано на рисунке внизу. Черный, красный и синий цвета соответствуют вершинам с 0, 1, 2 литрами воды.

Один из способов заработать максимальное количество денег — залить 1 литр воды в каждую из вершин, 3 и 4. Начальное состояние указано на рисунке ниже.

Затем первым ходом Машмох заплатит одну монетку за закрытие двери резервуара в третьей вершине. Дерево после первого хода показано на рисунке ниже.

После второго хода в корне будет 2 литра воды.

B. Машмох и жетоны

Бинарный поиск математика реализация *1500 жадные алгоритмы

Бимох — начальник Машмоха. В каждый из следующих n дней он решил платить своим подчиненным по-новому. В начале каждого дня он дает каждому работнику некоторое количество жетонов. Затем, в конце дня, работник может обменять некоторые из своих жетонов на деньги. Работник может сохранить оставшиеся после обмена жетоны, но он не сможет обменять их на деньги в какой-либо другой день. Если работник возвращает w жетонов, то он получает долларов.

Машмоху нравятся жетоны. Но деньги ему нравятся больше. Поэтому он хочет оставлять себе как можно больше жетонов так, чтобы количество получаемых им денег было максимально возможным каждый день.

У Машмоха есть n чисел x1, x2, ..., xn. Число xi обозначает количество жетонов, выдаваемых каждому работнику в i-й день. Помогите ему посчитать, сколько жетонов он может оставить себе в каждый из n дней.

Входные данные

Первая строка содержит три целых числа через пробел n, a, b (1 ≤ n ≤ 105; 1 ≤ a, b ≤ 109). Вторая строка содержит n целых чисел через пробел x1, x2, ..., xn (1 ≤ xi ≤ 109).

Выходные данные

Выведите n целых чисел через пробел. При этом, i-е число должно обозначать, сколько жетонов Машмох может оставить себе в i-й день.

B. Город-миллионер

Бинарный поиск реализация жадные алгоритмы *1200 сортировки

Администрация Томской области твердо уверена, что пора и Томску стать городом-миллионером. Вместо улучшения демографической ситуации, они решили достигнуть своей цели путем расширения границы города.

Город Томск можно представить в виде точки на плоскости с координатами (0; 0). Вокруг города расположены n других населенных пунктов, i-й из которых имеет координаты (xi, yi) и население в ki человек. Можно расширить городские границы до круга радиуса r. В таком случае все населенные пункты, находящиеся внутри этого круга и на его границе, войдут в состав города.

Ваша цель — написать программу, которая определит минимальный радиус r, до которого необходимо расширить границы Томска, чтобы он стал городом-миллионером.

Входные данные

В первой строке входных данных заданы два целых числа n и s (1 ≤ n ≤ 103; 1 ≤ s < 106) — количество населенных пунктов вокруг города Томска и население города Томска. Далее следует n строк. В i-й из них задается три целых числа — значения координат xi и yi i-го населенного пункта и количество ki жителей в нем (1 ≤ ki < 106). Каждая из координат является целым числом и не превосходит по модулю 104.

Гарантируется, что никакие два населенных пункта не находятся в одной точке, и никакой населенный пункт не лежит в точке (0; 0).

Выходные данные

В выходные данные выведите «-1» (без кавычек), если Томску не удастся стать городом с миллионным населением. Иначе в первой строке выведите единственное вещественное число — минимальный радиус круга, до которого городу необходимо расшириться, чтобы стать городом-миллионером.

Ответ считается правильным, если его абсолютная или относительная погрешность не превышает 10 - 6.

D. Биатлонная трасса

Бинарный поиск Перебор Структуры данных Конструктив дп *2300

Недавно состоялось официальное заявление мирового олимпийского комитета, согласно которому зимние Олимпийские игры 2030 года пройдут в Томске. Городские власти решили основательно подготовиться к проведению олимпиады и как можно раньше построить все необходимые олимпийские объекты. Первой построена будет биатлонная трасса.

Для строительства биатлонной трассы был выделен участок земли, представляющий собой прямоугольник, разбитый на n × m одинаковых квадратов. Каждый квадрат имеет координаты: номер строки (от 1 до n), в которой он находится, и номер столбца (от 1 до m), в котором он находится. Более того, каждый из квадратов характеризуется своей высотой. В ходе спортивных состязаний биатлонисты будут вынуждены передвигаться из одного квадрата в другой. Если перемещение происходит из более высокого квадрата в более низкий, то биатлонист совершает спуск. Если биатлонист перемещается из более низкого квадрата в более высокий, то он совершает подъем. Если биатлонист перемещается между двумя квадратами с одинаковой высотой, то он двигается по ровной местности.

Биатлонная трасса должна представлять собой границу некоторой прямоугольной области выделенного земельного участка, по которой биатлонисты будут двигаться в направлении движения по часовой стрелке. Известно, что на одно перемещение по ровной местности среднестатистический биатлонист тратит tp секунд, на один подъем — tu секунд, на один спуск — td секунд. Томская администрация хочет выбрать трассу таким образом, чтобы время ее прохождения среднестатистическим биатлонистом было как можно ближе к t секундам. Другими словами, разность времени ts прохождения выбранной трассы и t должна быть минимальна.

Для более четкого понимания можно рассмотреть первый пример входных данных. В этом примере n = 6, m = 7, а администрация хочет, чтобы время прохождения трассы было как можно ближе к t = 48 секундам, причем tp = 3, tu = 6 и td = 2. Если рассмотреть показанный стрелками на изображении прямоугольник, то при движении по его границе по часовой стрелке у среднестатистического биатлониста уйдет ровно 48 секунд. Левый верхний угол этой трассы расположен в квадрате с номером строки 4 и номером столбца 3, а правый нижний — в квадрате с номером строки 6 и номером столбца 7.

Администрация, помимо всего прочего, хочет, чтобы все стороны прямоугольника, по границе которого будут двигаться биатлонисты, состояли не менее чем из трех квадратов и полностью размещалась внутри выделенного земельного участка.

Вас привлекли для написания программы, которая для заданного земельного участка и всех необходимых временных величин найдет наиболее подходящий прямоугольник для создания биатлонной трассы. Если таких прямоугольников несколько — разрешается вывести любой из них.

Входные данные

В первой строке входных данных содержатся три целых числа n, m и t (3 ≤ n, m ≤ 300, 1 ≤ t ≤ 109) — размеры земельного участка и желательное время прохождения.

Во второй строке так же содержатся три целых числа tp, tu и td (1 ≤ tp, tu, td ≤ 100) — время прохождения среднестатистическим биатлонистом ровного участка трассы, подъема и спуска соответственно.

Далее следует n строк по m целых чисел, задающих высоты каждого из квадратов выделенного земельного участка. Каждое из значений высот — целое положительное число, не превышающее 106.

Выходные данные

В единственной строке выходных данных требуется вывести четыре целых положительных числа — номер строки и номер столбца левого верхнего угла, а также номер строки и номер столбца правого нижнего угла выбранного для трассы прямоугольника.

D. Сережа и квадраты

Бинарный поиск Структуры данных хэши *2300

Сережа нарисовал на плоскости n различных точек. Координаты каждой точки — целые числа. Сейчас ему интересно, сколько существует на плоскости квадратов со сторонами, параллельными осям координат, во всех четырех вершинах которых находятся нарисованные точки? Помогите ему, посчитайте это количество.

Входные данные

Первая строка содержит целое число n (1 ≤ n ≤ 105). В каждой из n следующих строк записана пара целых чисел xi, yi (0 ≤ xi, yi ≤ 105) — координаты i-й точки. Гарантируется, что все заданные точки различны.

Выходные данные

В единственную строку выведите искомое количество квадратов.

D. Случайное задание

Бинарный поиск Комбинаторика математика *2100 дп битмаски

Однажды после сложной лекции старательная студентка Саша увидела исписанную парту в аудитории. Присмотревшись, она прочитала следующее: «Найдите такое целое положительное n, что среди чисел n + 1, n + 2, ..., n есть ровно m чисел, в двоичной записи которых ровно k единиц.»

Ее заинтересовало это задание, и она просит вас помочь ей его решить. Саша знает, что вы боитесь больших чисел, поэтому она гарантирует, что существует ответ не превышающий 1018.

Входные данные

В первой строке через пробел записано два целых числа m и k (0 ≤ m ≤ 1018; 1 ≤ k ≤ 64).

Выходные данные

Выведите искомое число n (1 ≤ n ≤ 1018). Если ответов несколько — выведите любой.

E. Химический эксперимент

Бинарный поиск Тернарный поиск Структуры данных *2200

Как-то раз два студента Гриша и Диана оказались в химической лаборатории университета. В лаборатории ребята нашли n колб c ртутью, пронумерованных от 1 до n, и решили провести эксперимент.

Эксперимент состоит из q шагов. На каждом шаге выполняется одно из следующих действий:

  1. Диана выливает все содержимое из колбы номером pi, а затем заливает туда ровно xi литров ртути.
  2. Рассмотрим все возможные способы долить vi литров воды в колбы; для каждого способа посчитаем, сколько жидкости (вода и ртуть) содержит колба с водой с максимальным количеством жидкости; среди всех вычисленных чисел найдем минимальное. Ребята хотят посчитать описанное значение. При подсчетах ребята ничего никуда не доливают на самом деле. Все подсчеты они делают, не изменяя содержимое колб.

К сожалению, оказалось, что вычисления слишком громоздкие, поэтому ребята обратились за помощью к вам. Помогите ребятам провести описанный эксперимент.

Входные данные

В первой строке записано два целых числа n и q (1 ≤ n, q ≤ 105) — количество колб и шагов эксперимента. В следующей строке, через пробел, записано n целых чисел: h1, h2, ..., hn (0 ≤ hi ≤ 109), где hi — это объем ртути в і-й колбе в начале эксперимента.

В следующих q строках записаны действия игры в следующем формате:

  • Строка вида «1 pi xi» обозначает действие первого вида (1 ≤ pi ≤ n; 0 ≤ xi ≤ 109).
  • Строка вида «2 vi» обозначает действие второго вида (1 ≤ vi ≤ 1015).

Гарантируется, что есть хотя бы одно действие второго вида. Гарантируется, что все числа описывающие действия эксперимента целые.

Выходные данные

Для каждого действия второго вида вам нужно вывести подсчитанное значение. Ответ будет считаться правильным, если относительная или абсолютная погрешность не будет превышать 10 - 4.

E. Дерево Фурукава Нагисы

Бинарный поиск Деревья сортировки разделяй и властвуй *3000

Однажды Оказаки Томоя купил дерево на день рождения Фурукава Нагисы. Дерево было немного странное, у каждой вершины дерева было написано значение. Обозначим значение у i-й вершины переменной vi. Теперь Фурукава Нагиса и Оказаки Томоя хотят сыграть в игру с деревом.

Пусть (s, e) — путь из вершины s к вершине e дерева, тогда можно записать последовательность значений вершин на пути (s, e) и обозначить эту последовательность как S(s, e). Определим функцию G от последовательности S(s, e) следующим образом. Предположим, что последовательность равна z0, z1...zl - 1, где l — длина последовательности. Определим G(S(s, e)) = z0 × k0 + z1 × k1 + ... + zl - 1 × kl - 1. Если путь (s, e) удовлетворяет , тогда путь (s, e) принадлежит Фурукава Нагисе, в противном случае он принадлежит Оказаки Томоя.

Считать, у кого больше путей, слишком легко, поэтому ребята хотят поиграть во что-то посложнее. Фурукава Нагиса выдвинула гипотезу:

  • если пути (p1, p2) и (p2, p3) принадлежат ей, то и путь (p1, p3) тоже принадлежит ей;
  • если пути (p1, p2) и (p2, p3) принадлежат Оказаки Томоя, то и путь (p1, p3) тоже принадлежит Оказаки Томоя.

Конечно, описанное выполняется не для всех троек (p1, p2, p3). Итак, теперь Фурукава Нагиса хочет узнать, сколько троек (p1, p2, p3) удовлетворяют ее условию — и это ваша задача.

Входные данные

В первой строке записано четыре целых числа n, y, k и x (1 ≤ n ≤ 105; 2 ≤ y ≤ 109; 1 ≤ k < y; 0 ≤ x < y), здесь n является количеством вершин дерева. Гарантируется, что y является простым числом.

Во второй строке записано n целых чисел: v1, v2, ..., vn (0 ≤ vi < y).

Затем следуют n - 1 строк, в каждой строке записано по два целых числа, обозначающих ребро дерева. Вершины дерева пронумерованы от 1 до n.

Выходные данные

Выведите единственное целое число — количество троек, удовлетворяющих гипотезе Фурукава Нагисы.

D. Деву и братишка

Бинарный поиск Тернарный поиск сортировки *1700

Деву и его братишка очень любят друг друга. Они супер-гики и предпочитают играть только с массивами. Как-то раз папа подарил им два массива, a и b. Массив a достался Деву, а b — его брату.

Деву — пакостник тот еще. Хочется ему, чтобы минимум в массиве a был не меньше максимума массива b.

Вам надо помочь Деву добиться описанного. Для этого вы можете выполнять операции с массивами a и b. За одну операцию разрешено уменьшить или увеличить любой элемент любого массива на 1. Обратите внимание, что операцию можно применять несколько раз для любого элемента любого массива.

Требуется найти наименьшее количество операций, необходимых для достижения описанного условия.

Входные данные

В первой строке записано два целых числа через пробел — n, m (1 ≤ n, m ≤ 105). Во второй строке записано n целых чисел через пробел — элементы массива a (1 ≤ ai ≤ 109). В третьей строке записано m целых чисел через пробел — элементы массива b (1 ≤ bi ≤ 109).

Выходные данные

Выведите единственное целое число — минимальное количество операций, необходимых для выполнения желания Деву.

Примечание

В первом тестовом примере можно увеличить a1 на 1 и уменьшить b2 на 1, затем снова уменьшить b2 на 1. Теперь массив a выглядит так [3; 3], массив b выглядит так [3; 3]. Наименьший элемент a не меньше наибольшего элемента b. Выполнить желание Деву за меньшее количество операций никак не получится.

В примере 3 не надо выполнять никаких операций, желание Деву уже выполнено.

D. DZY любит строки

Строки Бинарный поиск хэши *2500

DZY очень любит строки. Он коллекционирует особо ценные строки.

В Китае многие люди любят использовать строки со своими инициалами, например: xyz, jcvb, dzy, dyh.

Однажды DZY нашел особо ценную строку s. Услышав об этом, несколько пар хороших друзей пришло навестить DZY. Первого друга i-й пары зовут ai, второго друга пары зовут bi. Каждой паре стало интересно, есть ли в особо ценной строке подстрока, содержащая оба имени пары. Если такая существует, друзья хотели бы найти подстроку минимальной длины, чтобы запомнить ее на удачу.

Пожалуйста, помогите DZY, для каждой пары найдите минимальную длину подстроки s, которая содержит ai и bi, или же укажите, что искомая подстрока не существует.

Подстрока s это строка slsl + 1... sr для некоторых чисел l, r (1 ≤ l ≤ r ≤ |s|). Длина такой подстроки равна (r - l + 1).

Строка p содержит некоторую другую строку q, если p имеет подстроку, равную q.

Входные данные

В первой строке записана строка s (1 ≤ |s| ≤ 50000).

Во второй строке записано неотрицательное целое число q (0 ≤ q ≤ 100000) — количество пар друзей. В каждой из следующих q строк описывается пара имен — две строки через пробел, ai и bi (1 ≤ |ai|, |bi| ≤ 4).

Гарантируется, что все строки состоят только из строчных букв латинского алфавита.

Выходные данные

Для каждой пары выведите строку, содержащую единственное целое число — минимальная длина требуемой подстроки. Если искомой подстроки не существует, выведите -1.

Примечание

Кратчайшие подстроки для первого примера таковы: xyz, dyhduxyz.

Кратчайшие подстроки для второго примера таковы: ca, abc и abd.

Кратчайшие подстроки для третьего примера таковы: baabca и abaa.

E. DZY любит садоводство

Бинарный поиск Деревья *2700 снм

DZY любит садоводство, поэтому он обожает решать задачи про деревья.

У DZY есть взвешенное дерево (связный неориентированный граф без циклов), состоящее из n вершин (пронумерованных от 1 до n). Определим функцию g(x, y) (1 ≤ x, y ≤ n) как длину самого длинного ребра в кратчайшем пути между вершинами x и y. В частности, g(z, z) = 0 для любого z.

Для каждой целочисленной последовательности p1, p2, ..., pn (1 ≤ pi ≤ n), определим f(p) как .

DZY хочет найти такую последовательность p, что f(p) принимает максимальное возможное значение. Есть еще одно ограничение: элемент j может встречаться в p не более xj раз.

Пожалуйста, помогите DZY, найдите максимальное возможное f(p) при описанных ограничениях.

Входные данные

В первой строке записано целое число n (1 ≤ n ≤ 3000).

В каждой из следующих n - 1 строк записано по три целых числа ai, bi, ci (1 ≤ ai, bi ≤ n; 1 ≤ ci ≤ 10000), обозначающих ребро между вершинами ai и bi длины ci. Гарантируется, что эти ребра образуют дерево.

Каждая из следующих n строк описывает элемент последовательности x. В j-й строке записано целое число xj (1 ≤ xj ≤ n).

Выходные данные

Выведите единственное целое число — ответ на задачу.

Примечание

В первом примере одна из оптимальных последовательностей p равна [4, 3, 2, 1].

D. Про таблицу умножения

Бинарный поиск Перебор *1800

Бизон-Чемпион не только обаятельный, но и очень умный.

Пока одни учили обычную таблицу умножения, Бизон-Чемпион развлекался по-своему. Бизон-Чемпион рисовал таблицу умножения размера n × m, где элемент, стоящий на пересечении i-й строки и j-го столбца, равняется i·j (строки и столбцы таблицы нумеруются, начиная от единицы). Затем его спрашивали, какое число в этой таблице k-е по величине? Бизон-Чемпион отвечал всегда правильно и не задумываясь. Сможете ли вы повторить его успех?

Рассмотрим описанную таблицу умножения. Если выписать все n·m чисел из этой таблицы в порядке неубывания, то число выписанное k-м называется k-м по величине.

Входные данные

В единственной строке содержатся целые числа n, m и k (1 ≤ n, m ≤ 5·105; 1 ≤ k ≤ n·m).

Выходные данные

Выведите k-е по величине число в таблице умножения n × m.

Примечание

Таблица умножения 2 × 3 выглядит следующим образом:


1 2 3
2 4 6

C. Подарок

Бинарный поиск Структуры данных жадные алгоритмы *1700

Маленький бобренок — начинающий программист, поэтому информатика — его самый любимый предмет. Совсем скоро будет день рождения учительницы по информатике, и бобренок решил приготовить ей подарок. Он посадил n цветков в ряд на подоконнике и стал ждать, пока они вырастут, чтобы собрать букет ко дню рождения учительницы. Однако, спустя некоторое время, бобренок обнаружил, что цветы перестали расти. Бобренок считает, что дарить слишком маленькие цветы некрасиво, поэтому он решил предпринять соответствующие меры.

До дня рождения осталось m дней. Высота i-го цветка (считайте, что цветы в ряду пронумерованы от 1 до n слева направо) в данный момент времени равна ai. В каждый из оставшихся m дней бобренок может один раз с помощью специальной лейки полить w подряд идущих цветков, при этом каждый политый цветок в этот же день вырастает на единицу длины. Теперь бобренок хочет знать: какая максимальная высота может получиться у самого маленького цветка в букете?

Входные данные

В первой строке через пробел записаны целые числа n, m и w (1 ≤ w ≤ n ≤ 105; 1 ≤ m ≤ 105). Во второй строке через пробел записаны целые числа a1, a2, ..., an (1 ≤ ai ≤ 109).

Выходные данные

Выведите целое число — максимальную высоту самого маленького цветка в итоге.

Примечание

В первом примере в первый день нужно полить последние 3 цветка, их высота увеличится на 1. В оставшийся день можно вовсе не поливать цветы. В таком случае высоты цветов будут равны: [2, 2, 2, 3, 2, 2]. Высота самого маленького цветка равна 2. Сделать эту высоту равной 3 за 2 дня никак не получится.

E. Яблов и игра

Строки Бинарный поиск кратчайшие пути *3000

Яблов и Тостов любят играть. Сегодня они играют со строками по следующим правилам. Сперва Тостов называет Яблову две строки s и t, состоящие исключительно из букв 'A', 'B', 'C', 'D'. Затем Яблов должен как можно быстрее получить строку s. Изначально у него есть пустая строка, за одну секунду он может дописать к концу текущей строки любую непрерывную подстроку строки t.

И вот Тостов и Яблов начинают играть в описанную игру. Тостов уже назвал Яблову строку t, а вот строку s он еще не придумал. Тостов считает, что строка s должна состоять из n символов. Конечно, он хочет придумать самую плохую строку для Яблова (такую, что Яблов проведет как можно больше времени, получая ее). Скажите Тостову, сколько времени Яблов проведет за игрой, если Тостов найдет для него самую худшую строку длины n? Считайте, что Яблов всегда действует оптимально и получает любую строку s за минимально возможное время.

Входные данные

В первой строке записано целое число n (1 ≤ n ≤ 1018). Во второй строке записана строка t (1 ≤ |t| ≤ 105). Строка t состоит только из букв 'A', 'B', 'C', 'D'. Каждая буква встречается в строке t хотя бы раз.

Выходные данные

Выведите единственное целое число — максимальное возможное время, необходимое Яблову, чтобы получить какую-то строку s длины n.

Примечание

В первом примере Тостов может выбрать строку «AAAAA».

Во втором примере Тостов может выбрать строку «DADDA».

C. Количество способов

Бинарный поиск Перебор Структуры данных дп *1700

Задан массив a[1], a[2], ..., a[n], состоящий из n целых чисел. Посчитайте количество способов разбить все элементы массива на три непрерывные части так, чтобы сумма элементов в каждой части была одинаковой.

Более формально, нужно найти количество таких пар индексов i, j (2 ≤ i ≤ j ≤ n - 1), что .

Входные данные

В первой строке задано целое число n (1 ≤ n ≤ 5·105) — количество чисел в массиве. Во второй строке записаны n целых чисел a[1], a[2], ..., a[n] (|a[i]| ≤  109) — элементы массива a.

Выходные данные

Выведите единственное целое число — количество способов разбить массив на три части с одинаковой суммой.

C. Взламываем!

Бинарный поиск Конструктив математика *2500

Little X недавно наткнулся на следующую задачу.

Определим f(x) как сумму цифр в десятичной записи числа x (например, f(1234) = 1 + 2 + 3 + 4). Ваша задача — посчитать

Конечно, Little X быстро решил эту задачу, заблокировал решение и стал взламывать чужие решения. Открыв решение участника, он увидел следующий C++ код:


ans = solve(l, r) % a;
if (ans <= 0)
ans += a;

Этот код будет работать неправильно только на тесте с . Вам дано число a, помогите Little X найти подходящий тест для взлома.
Входные данные

В первой строке записано единственное целое число a (1 ≤ a ≤ 1018).

Выходные данные

Выведите два целых числа: l, r (1 ≤ l ≤ r < 10200) — данные для взлома. Не выводите ведущих нулей. Гарантируется, что решение существует.

C. МУХ и карточные домики

Бинарный поиск Перебор математика жадные алгоритмы *1700

Белые медведи Меньшиков и Услада из Санкт-Петербургского зоопарка и слоник Хорас из Киевского зоопарка решили построить карточный домик. Для этого они уже нашли внушительную колоду, содержащую n игральных карт. Давайте опишем домик, который они хотят собрать:

  1. Домик состоит из некоторого ненулевого количества этажей.
  2. Каждый этаж состоит из ненулевого количества комнат и потолка. Комната — две карты, прислоненных друг к другу. Комнаты располагаются в ряд, и на каждые две соседние комнаты кладется потолок из еще одной карты.
  3. Каждый этаж, кроме самого нижнего, должен содержать меньше комнат, чем этаж ниже.

Обратите внимание, что домик может заканчиваться этажом с более чем одной комнатой и в таком случае их тоже требуется накрыть потолком. Также количество комнат на соседних этажах не обязательно должно отличаться на единицу, разница может быть больше.

Пока медведи тренируются ставить карты, Хорас пытается сообразить, из скольки этажей должен состоять их дом. Назовем высотой дома количество этажей в нем. Возможно, что из n карт можно собрать много разных домиков разных высот. Кажется, эта задача слонику не под силу, он просит вас посчитать, домики скольки различных высот они смогут собрать, использовав ровно n карт.

Входные данные

В единственной строке находится целое число n (1 ≤ n ≤ 1012) — количество карт.

Выходные данные

Выведите количество различных высот, которые могут быть у домиков, построенных ровно из n карт.

Примечание

В первом примере, использовав все 13 карт, можно построить только такие два дома:

Таким образом из 13 карт можно построить только двухэтажные домики, поэтому ответ — 1.

Из шести карт во втором примере ни одного домика построить нельзя.

B. Черви

Бинарный поиск реализация *1200

Пора Кроту пообедать. Его друг Сурок приготовил вкусный обед.

Сурок принес Кроту n упорядоченных кучек червей, таких, что в i-ой кучке содержатся ai червей. Он пронумеровал всех этих червей последовательными целыми числами: черви в первой кучке пронумерованы числами от 1 до a1, черви во второй кучке пронумерованы числами от a1 + 1 до a1 + a2 и так далее. Смотрите пример для лучшего понимания.

Крот не может съесть всех червей (Сурок принёс их слишком много для того, чтобы съесть за один подход). К тому же, насколько мы знаем, Крот слепой — поэтому Сурок помогает ему, называ номера самых сочных червей. Сурок даст Кроту червяка, только если Крот правильно назовет кучку, в которой лежит червяк.

Крот просит вас ему помочь. Для всех сочных червей, которых назвал Сурок, подскажите Кроту правильные ответы.

Входные данные

В первой строке записано единственное целое число n (1 ≤ n ≤ 105), количество кучек.

Во второй строке записано n целых чисел a1, a2, ..., an (1 ≤ ai ≤ 103, a1 + a2 + ... + an ≤ 106), где ai — количество червей в i-й кучке.

В третьей строке записано единственное целое число m (1 ≤ m ≤ 105), количество сочных червей, названных Сурком.

В четвертой строке записано m целых чисел q1, q2, ..., qm (1 ≤ qi ≤ a1 + a2 + ... + an) — номера сочных червей.

Выходные данные

Выведите m строк. В i-ой строке должно быть целое число — номер кучки, в которой лежит червяк под номером qi.

Примечание

Для входного файла из примера:

  • Черви под номерами в пределах [1, 2] лежат в первой кучке.
  • Черви под номерами в пределах [3, 9] лежат во второй кучке.
  • Черви под номерами в пределах [10, 12] лежат в третьей кучке.
  • Черви под номерами в пределах [13, 16] лежат в четвертой кучке.
  • Черви под номерами в пределах [17, 25] лежат в пятой кучке.

E. Столбы

Бинарный поиск Деревья Структуры данных дп *2000 сортировки

Сурок нашел ряд из n столбов. Высота i-ого столба равняется hi метрам. Начиная с некоторого столба i1, Сурок хочет пропрыгать по столбам i2, ..., ik. (1 ≤ i1 < i2 < ... < ik ≤ n). Сурок может перепрыгнуть со столба i на столб j, только если i < j и |hi - hj| ≥ d, где |x| — абсолютное значение числа x.

Сурок просит вас найти последовательность прыжков максимальной длины и вывести её.

Входные данные

В первой строке записано два целых числа n и d (1 ≤ n ≤ 105, 0 ≤ d ≤ 109).

Во второй строке записано n чисел h1, h2, ..., hn (1 ≤ hi ≤ 1015).

Выходные данные

В первой строке должно быть записано одно целое число k — максимальная длина последовательности прыжков.

Во второй строке должно быть записано k целых чисел i1, i2, ..., ik (1 ≤ i1 < i2 < ... < ik ≤ n) — номера столбов из максимально длинной последовательности прыжков.

Если есть несколько последовательностей прыжков максимальной длины, выведите любую из них.

Примечание

В первом примере Сурок выбирает столбы 1, 2, 3, 5 с высотами 1, 3, 6, 4. Ещё одна последовательность прыжков длины 4 такова: 1, 2, 4, 5.

D. Прыжки в длину

Бинарный поиск реализация жадные алгоритмы *1700

Валерий — учитель физической культуры в одной из школ Берляндии. Скоро школьникам сдавать норматив по прыжкам в длину, а Валерий потерял свою любимую линейку!

Однако нет поводов для разочарования, поскольку Валерий нашел другую линейку длины l сантиметров. На линейку уже нанесены n отметок, с помощью которых можно производить измерения. Будем считать, что отметки пронумерованы числами от 1 до n в порядке их следования от начала линейки к ее концу. Первая отметка совпадает с началом линейки и обозначает начало отсчета. Последняя отметка совпадает с концом линейки и находится на расстоянии l от начала отсчета. Такую линейку можно задать возрастающей последовательностью a1, a2, ..., an, где ai означает расстояние i-й отметки от начала отсчета (a1 = 0, an = l).

Валерий считает, что с помощью линейки можно отмерить расстояние d сантиметров, если существует пара целых чисел i и j (1 ≤ i ≤ j ≤ n), такая, что расстояние между i-й и j-й отметкой в точности равно d (иными словами, aj - ai = d).

Согласно нормам, девочки должны уметь прыгать в длину на расстояние не менее чем x сантиметров, а мальчики должны уметь прыгать в длину на расстояние не менее чем y (x < y) сантиметров. Для проверки способностей детей Валерию нужна линейка, с помощью которой можно отмерить каждое из расстояний x и y.

Ваша задача — определить, какое минимальное количество дополнительных отметок необходимо нанести на линейку так, чтобы с их помощью можно было отмерить расстояния x и y. Валерий может наносить отметки на любом целочисленном неотрицательном расстоянии от начала отсчета, не превышающем длину линейки.

Входные данные

В первой строке записано четыре целых положительных числа через пробел n, l, x, y (2 ≤ n ≤ 105, 2 ≤ l ≤ 109, 1 ≤ x < y ≤ l) — количество отметок, длина линейки и нормативы для девочек и мальчиков соответственно.

Во второй строке записана последовательность из n целых чисел a1, a2, ..., an (0 = a1 < a2 < ... < an = l), где ai означает расстояние от i-й отметки до начала отсчета.

Выходные данные

В первой строке выведите единственное целое неотрицательное число v — минимальное количество отметок, которые нужно дополнительно нанести на линейку.

Во второй строке выведите через пробел v целых чисел p1, p2, ..., pv (0 ≤ pi ≤ l). Число pi означает, что i-ю отметку следует нанести на расстоянии pi сантиметров от начала отсчета. Отметки выводите в любом порядке. Если оптимальных решений несколько, выведите любое из них.

Примечание

В первом примере изначально нельзя отмерить расстояние 230 сантиметров. Для этого достаточно добавить отметку 20 сантиметров или отметку 230 сантиметров.

Во втором примере с помощью линейки уже можно отмерить расстояния 185 и 230 сантиметров, поэтому добавлять новые отметки не нужно.

В третьем примере на линейку нанесены только отметки начала и конца. Нам потребуется добавить две отметки, чтобы проверка способностей детей стала возможной.

B. Друзья и подарки

Бинарный поиск математика *1800

У вас есть два друга. Вы хотите подарить каждому другу некоторое количество целых положительных чисел. Первому другу вы хотите подарить cnt1 чисел, второму — cnt2 чисел. Более того, вы хотите, чтобы все подаренные числа были различными, в частности, ни одно число не должно достаться обоим друзьям.

Кроме этого, первый друг не любит числа, которые делятся без остатка на простое число x. Второй друг не любит числа, которые делятся без остатка на простое число y. Конечно, вы не будете дарить друзьям числа, которые они не любят.

Ваша задача — найти такое минимальное число v, такое что из набора чисел 1, 2, ..., v можно составить подарки друзьям. Естественно, некоторые числа можно не дарить никому из них.

Положительное целое число, большее единицы, называется простым, если оно не делится нацело ни на одно положительное целое число кроме единицы и себя самого.

Входные данные

В первой строке записано четыре целых положительных числа cnt1, cnt2, x, y (1 ≤ cnt1, cnt2 < 109; cnt1 + cnt2 ≤ 109; 2 ≤ x < y ≤ 3·104) — описанные в условии числа. Гарантируется, что числа x, y являются простыми числами.

Выходные данные

Выведите единственное целое число — ответ на задачу.

Примечание

В первом примере первому другу вы подарите набор чисел {1, 3, 5}, а второму — набор {2}. Обратите внимание, что если мы подарили первому другу набор {1, 3, 5}, то мы не можем дарить второму другу ни одно из чисел 1, 3, 5.

Во втором примере первому другу вы подарите набор из чисел {3}, а второму набор чисел {1, 2, 4}. Таким образом, ответ на задачу 4.

B. Максимальное значение

Бинарный поиск математика *2100 сортировки

Вам дана последовательность a, состоящая из n целых чисел. Найдите максимальное значение величины (остаток от деления ai на aj), где 1 ≤ i, j ≤ n и ai ≥ aj.

Входные данные

Первая строка содержит целое число n — длина последовательности (1 ≤ n ≤ 2·105).

Во второй строке содержатся n целых чисел ai, разделенных пробелами (1 ≤ ai ≤ 106).

Выходные данные

Выведите ответ на задачу.

E. Объявление на заборе

Бинарный поиск Структуры данных Конструктив *2500

Бизон-Чемпион недавно закончил покраску своего забора. Забор представляет из себя последовательность из n досок ширины 1 метр и произвольной высоты. i-я доска имеет высоту hi метров. Соседние доски следуют без зазора.

После покраски Бизон-чемпион решил разместить на заборе объявление о его продаже. Объявление будет выполнено на листе бумаги прямоугольного размера и расположено на заборе так, что боковые стороны листа параллельны доскам забора, и края листа совмещены с краями некоторых досок. Бизон-Чемпион ввел для себя следующие ограничения на размещение объявления:

  1. Ширина объявления после размещения должна быть ровно w метров.
  2. Объявление должно целиком находиться на участке забора с l-й по r-ю доски включительно (в том числе, нельзя выходить за пределы забора по вертикали).

Объявление будет красочным, поэтому Бизон-чемпион хочет, чтобы высота объявления была как можно больше.

Вам дано описание забора и несколько запросов на размещение объявления. Для каждого запроса выведите максимальную возможную высоту объявления, которое можно разместить на соответствующем участке забора при заданной фиксированной ширине объявления.

Входные данные

В первой строке ввода содержится целое число n — количество досок в заборе (1 ≤ n ≤ 105).

Во второй строке записаны n целых чисел hi, разделенных пробелом — высоты досок (1 ≤ hi ≤ 109).

В третьей строке содержится целое число m — количество запросов (1 ≤ m ≤ 105).

В последующих m строках идет описание запросов, каждый из которых представлен тремя целыми числами l, r и w (1 ≤ l ≤ r ≤ n, 1 ≤ w ≤ r - l + 1) — соответственно границы участка забора и ширина объявления.

Выходные данные

На каждый запрос выведите ответ в отдельной строке — максимальную высоту объявления, которую можно достичь на соответствующем участке забора при соблюдении всех условий.

Примечание

Забор, описанный в примере, выглядит следующим образом:

Ниже приведены возможные расположения объявлений при ответе на запросы.

Расположение объявления при ответе на первый запрос.
Расположение объявления при ответе на второй запрос.
Расположение объявления при ответе на третий запрос.

A. Бьём чудовище!

Бинарный поиск Перебор реализация *1800

На Киберленд напало чудовище!

Отважный мастер Янь собирается сражаться с чудовищем. У Яня и чудовища есть по три атрибута: очки здоровья (HP), сила атаки (ATK) и сила защиты (DEF).

За каждую секунду сражения HP чудовища уменьшается на max(0, ATKY - DEFM), а HP Яня уменьшается на max(0, ATKM - DEFY), где индекс Y обозначает мастера Яня, а индекс M обозначает чудовище. Уменьшение происходит одновременно. Как только у чудовища HP ≤ 0, а у мастера Яня в то же время HP > 0, мастер Янь побеждает.

Мастер Янь может купить увеличение атрибутов в киберлендском магазине волшебства: h биткоинов за очко HP, a биткоинов за очко ATK, и d биткоинов за очко DEF.

Теперь Мастер Янь хочет знать, какое наименьшее количество биткоинов ему надо потратить, чтобы победить.

Входные данные

В первой строке через пробел записаны три целых числа HPY, ATKY, DEFY, обозначающих начальные HP, ATK и DEF мастера Яня.

Во второй строке через пробел записаны три целых числа HPM, ATKM, DEFM, обозначающих начальные HP, ATK и DEF чудовища.

В третьей строке через пробел записаны три целых числа h, a, d, обозначающих цену HP, ATK и DEF.

Все числа во вводе целые и лежат в пределах от 1 до 100 включительно.

Выходные данные

В единственной строке вывода выведите единственное целое число, обозначающее минимальное количество биткоинов, которые мастер Янь должен потратить для победы.

Примечание

В первом примере цены на ATK и DEF очень высокие. Мастер Янь может купить 99 HP, тогда он сможет победить чудовище и остаться с 1 HP в запасе.

Во втором примере мастер Янь достаточно силен, чтобы сразу победить чудовище, так что покупать ничего не надо.

B. Лента

Бинарный поиск Структуры данных дп *2000

У Александры есть лента, а на ней — n чисел. Обозначим их за ai слева направо.

Теперь Александра хочет разделить ленту на несколько частей (возможно, на 1). Для каждой части должны выполняться следующие условия:

  • Часть должна содержать не менее l чисел.
  • Разница между наибольшим и наименьшим числом в части должна быть не более s.

Пожалуйста, помогите Александре найти минимальное количество частей, на которые можно разделить ленту, соблюдая указанные условия.

Входные данные

В первой строке записано три разделённых пробелами целых числа n, s, l (1 ≤ n ≤ 105, 0 ≤ s ≤ 109, 1 ≤ l ≤ 105).

Во второй строке следуют n разделённых пробелами целых чисел ai ( - 109 ≤ ai ≤ 109).

Выходные данные

Выведите минимальное количество частей, на которое можно разделить ленту.

Если способа разделить ленту не существует, выведите -1.

Примечание

В первом примере можно разделить ленту на 3 части: [1, 3, 1], [2, 4], [1, 2].

Во втором примере нельзя поместить 1 и 100 на одну часть, так что решения не существует.

E. Восстановление возрастающей последовательности

Бинарный поиск Перебор реализация *2000 жадные алгоритмы

Петя написал на доске строго возрастающую последовательность целых положительных чисел a1, a2, ..., an. После этого Вася заменил некоторые цифры в числах этой последовательности на знаки вопроса. Таким образом, каждый знак вопроса соответствует ровно одной стертой цифре.

Восстановите последовательность по тому, что осталось на доске.

Входные данные

В первой строке входных данных записано целое число n (1 ≤ n ≤ 105) — длина последовательности. Следующие n строк содержат по одному элементу последовательности. Каждый из элементов состоит только из цифр и знаков вопросов. Никакой из элементов не начинается с цифры 0. Каждый из элементов имеет длину от 1 до 8 символов включительно.

Выходные данные

Если ответ существует, то выведите в первую строку «YES» (без кавычек). Следующие n строк должны содержать последовательность целых положительных чисел — возможный вариант последовательности Пети. Найденная последовательность должна быть строго возрастающей, получена из заданной путем замены каждого знака вопроса на одиночную цифру. Все числа в найденной последовательности должны быть записаны без ведущих нулей. Если решений несколько, выведите любое из них.

Если ответа не существует, то выведите единственную строку «NO» (без кавычек).

B. Ваня и фонари

Бинарный поиск математика реализация *1200 сортировки

Ваня идет поздней ночью по прямолинейной улице длины l, которая освещается n фонарями. Введём систему координат, в которой начало улицы соответствует точке 0, а её конец — точке l. Тогда i-й фонарь находится в точке ai. Фонарь освещает все точки улицы, которые находятся от него на расстоянии не больше d, где d — некоторое положительное число, общее для всех фонарей.

Ваня хочет узнать, какой минимальный радиус освещения d должен быть у фонарей, чтобы вся улица была освещена.

Входные данные

В первой строке записаны два целых числа n, l (1 ≤ n ≤ 1000, 1 ≤ l ≤ 109) — количество фонарей и длина улицы соответственно.

В следующей строке записано n целых чисел ai (0 ≤ ai ≤ l). Несколько фонарей могут находиться в одной точке. Фонари могут находиться в концах улицы.

Выходные данные

Выведите минимальный радиус освещения d, который необходим, чтобы осветить всю улицу. Ответ будет считаться правильным, если его абсолютная или относительная погрешность не превышает 10 - 9

Примечание

Рассмотрим второй пример. При d = 2 первый фонарь будет освещать отрезок [0, 4] улицы, а второй — отрезок [3, 5]. Таким образом, вся улица будет освещена.

D. Ваня и компьютерная игра

Бинарный поиск математика реализация *1800 сортировки

Ваня с другом Вовой играют в компьютерную игру, для прохождения уровня им нужно победить n монстров. Персонаж Вани наносит удары со скоростью x ударов за секунду, а персонаж Вовы — со скоростью y ударов за секунду. Каждый из персонажей тратит фиксированное время на замах, после которого наносится удар (время на замах составляет 1 / x секунды для первого персонажа и 1 / y секунды для второго). i-й монстр умирает после получения ai ударов.

Ване с Вовой стало интересно, кто нанесет последний удар каждому из монстров. Если Ваня с Вовой одновременно наносят последний удар, то считается, что последний удар нанесли оба из них.

Входные данные

В первой строке записано три целых числа n,x,y (1 ≤ n ≤ 105, 1 ≤ x, y ≤ 106) — количество монстров, скорость атаки Вани и Вовы соответственно.

В следующих n строках записаны целые числа ai (1 ≤ ai ≤ 109) — количество ударов, необходимое, чтобы победить i-го монстра.

Выходные данные

Выведите n строк. В i-й строке требуется вывести слово «Vanya», если последний удар по i-му монстру был нанесён Ваней, «Vova», если Вовой, либо «Both», если удар был нанесен ребятами одновременно.

Примечание

В первом примере первый удар наносит Ваня в момент времени 1 / 3, второй удар наносит Вова в момент времени 1 / 2, третий удар наносит Ваня в момент времени 2 / 3, четвертый и пятый удар Ваня и Вова наносят одновременно в момент времени 1.

Во втором примере Ваня и Вова одновременно наносят первый и второй удар в момент времени 1.

C. Вася и баскетбол

Бинарный поиск Перебор Структуры данных реализация *1600 сортировки

Вася следит за баскетбольным матчем, записывая, какая команда с какой дистанции сделала очередной бросок. Вася знает, что каждый бросок оценивается либо в 2, либо в 3 очка. Бросок оценивается в 2 очка, если дистанция, с которого он выполнен, не превосходит некоторого значения в d метров, и 3, если эта дистанция больше, чем d метров, где d — некоторое неотрицательное целое число.

Вася хочет, чтобы разность набранных командами очков (очки первой команды минус очки второй команды) была как можно больше. Для этого он может мысленно выбирать значение d. Помогите ему добиться желаемого.

Входные данные

В первой строке задано целое число n (1 ≤ n ≤ 2·105) — количество бросков первой команды. Далее следуют n целых чисел — дистанции бросков ai (1 ≤ ai ≤ 2·109).

Затем дается число m (1 ≤ m ≤ 2·105) — количество бросков второй команды. Далее m целых чисел — дистанции бросков bi (1 ≤ bi ≤ 2·109).

Выходные данные

Выведите два числа в формате a:b — возможный в условиях задачи счёт, при котором разность a - b максимальна. Если таких счетов несколько, выведите такой, в котором число а — максимально.

D. Игра в теннис

Бинарный поиск *1900

Петя и Гена любят играть в настольный теннис. Игра идет по следующим правилам: партия состоит из нескольких сетов, каждый сет состоит из нескольких розыгрышей. Каждый из розыгрышей выигрывает один из игроков, ему присуждается одно очко. Как только один из игроков набирает t очков, ему присуждается победа в сете; после этого начинается следующий сет и счет выигранных розыгрышей обоих игроков обнуляется. Как только один из игроков выигрывает в сумме s сетов, ему присуждается победа в партии и игра заканчивается. Здесь s и t — некоторые целые положительные числа.

Чтобы разнообразить игру, Петя и Гена выбирают новые числа s и t перед каждой партией. Кроме этого, для истории ход каждой партии записывается: для каждого розыгрыша указывается, кто его выиграл. Розыгрыши записываются в хронологическом порядке. В записи партии сет завершается, как только один из игроков набрал t очков, и партия завершается, как только один из игроков выиграл s сетов.

Петя и Гена нашли запись старой партии. К сожалению, последовательность розыгрышей в записи не разделена на сеты, и числа s и t для данной партии тоже утеряны. Теперь игрокам интересно, чему могли быть равны s и t. Сможете ли вы определить все возможные варианты?

Входные данные

В первой строке записано одно целое число n — длина последовательности розыгрышей (1 ≤ n ≤ 105).

Во второй строке записаны n целых чисел ai, разделенных пробелами. Если ai = 1, то i-ю подачу выиграл Петя, если ai = 2, то i-ю подачу выиграл Гена.

Не гарантируется, что записи соответствует хотя бы один вариант чисел s и t.

Выходные данные

В первой строке выведите одно число k — количество вариантов для чисел s и t.

В каждой из следующих k строк выведите по два числа si и ti — очередной вариант для чисел s и t. Варианты следует выводить в порядке возрастания si, а при равенстве si — в порядке возрастания ti.

D. Бомбардировка

Бинарный поиск Теория вероятностей *2100 дп

Командование решило нанести ядерный удар по силам противника. Вам приказали определить мощность боеголовки, которую нужно использовать.

У противника есть N стратегически важных объектов. Их позиции известны благодаря проведённой разведке. Цель удара — вывести из строя как минимум K важных объектов противника. Место нанесения удара уже определено и имеет координаты [X0; Y0].

Ядерная боеголовка маркируется расчётным радиусом поражения R ≥ 0. Все сооружения, находящиеся на расстоянии ближе R от эпицентра взрыва, будут разрушены. Все сооружения, находящиеся на расстоянии больше R от эпицентра, также могут быть выведены из строя с некоторой вероятностью. Пусть D — расстояние от эпицентра до сооружения. Вероятность выведения этого сооружения из строя P(D, R) вычисляется по следующей формуле:

Под следует понимать ea, где e ≈ 2.7182818284590452353602874713527

Если же расчётный радиус поражения боеголовки равен нулю, то все сооружения, находящиеся в точке нанесения удара, будут полностью разрушены, а все остальные важные объекты повреждены не будут.

Командование хочет, чтобы вероятность провалить задание была не более ε. Ядерные боеголовки — дорогое удовольствие, поэтому от вас требуется минимизировать расчётный радиус поражения боеголовки.

Входные данные

В первой строке записано целое число N — количество объектов противника (1 ≤ N ≤ 100). Во второй строке записано два целых числа: K — целевое количество выведенных из строя объектов, и ε — максимально допустимая вероятность не выполнить задачу, заданная в промилле (1 ≤ K ≤ N, 1 ≤ ε ≤ 999). В третьей строке записаны X0 и Y0 – координаты точки нанесения удара. Остальные N строк содержат по два числа Xi и Yi — координаты каждого стратегически важного объекта. Все координаты целые, по модулю не превосходят 1000.

Напоминаем, что в единице тысяча промилле.

В одной точке может находиться несколько объектов.

Выходные данные

Выведите искомый расчётный радиус поражения боеголовки. Абсолютная или относительная погрешность вашего ответа не должна превышать 10 - 6.

E. Миша и палиндромность

Бинарный поиск Комбинаторика реализация *2500

У Миши есть массив из n целых чисел, проиндексированный целыми числами от 1 до n. Назовем палиндромностью массива a количество таких пар индексов (l, r)(1 ≤ l ≤ r ≤ n), что элементы с l-го по r-й включительно можно переставить так, что весь массив окажется палиндромом. Иными словами, для пары (l, r) должно выполняться, что после некоторой перестановки чисел на позициях от l до r включительно (разрешается не переставлять числа вовсе) для любого 1 ≤ i ≤ n будет выполняться что a[i] = a[n - i + 1].

Ваша задача — найти палиндромность Мишиного массива.

Входные данные

В первой строке находится целое число n (1 ≤ n ≤ 105).

Во второй строке находятся n положительных целых чисел a[i] (1 ≤ a[i] ≤ n), разделённых пробелами — элементы Мишиного массива.

Выходные данные

В единственной строке выведите ответ на задачу.

Примечание

В первом примере подходит любая пара возможная пара (l, r).

В третьем примере подходят пары (1, 3), (1, 4), (1, 5), (2, 5).

E. Миша и LCP на дереве

Бинарный поиск Деревья поиск в глубину и подобное хэши *3000 строковые суфф. структуры

У Миши есть дерево с написанными на вершинах символами. Он может выбрать две вершины s и t этого дерева и записать символы, соответствующие вершинам дерева, лежащим на пути из s в t. Будем говорить, что такая строка соответствует паре (s, t).

У Миши есть m запросов вида: дано 4 вершины a, b, c, d; необходимо найти наибольший общий префикс строк, соответствующих парам (a, b) и (c, d). Ваша задача — помочь ему.

Входные данные

В первой строке дано целое число n (1 ≤ n ≤ 300 000) — количество вершин в дереве.

Далее следует строка, состоящая из n маленьких латинских букв. i-й символ строки соответствует символу, написанному на i-й вершине.

В последующих n - 1 строках находится информация о ребрах. Ребро задается парой чисел u, v (1 ≤ u, v ≤ n, u ≠ v), разделенных пробелом.

В следующей строке дано целое число m (1 ≤ m ≤ 1 000 000) — количество запросов.

В последующих m строках находится информация о запросах. Запрос задается четырьмя числами a, b, c, d (1 ≤ a, b, c, d ≤ n), разделенными пробелами.

Выходные данные

На каждый запрос выведите длину наибольшего общего префикса в отдельной строке.

E. Мистер Китаюта против бамбука

Бинарный поиск жадные алгоритмы *2900

В саду мистера Китаюты посажено n бамбуков (бамбук — высокая, быстрорастущая тропическая трава с полым стволом). На настоящий момент высота i-го бамбука составляет hi метров, и она увеличивается на ai метров в конце каждого дня.

Вообще, мистер Китаюта терпеть не может бамбук. Он как-то попытался вырубить ростки, но потерпел неудачу — слишком крепкие стволы. Но мистер Китаюта не сдался. Он изобрёл волшебный молот, чтобы вогнать бамбук в землю.

За день можно использовать волшебный молот не более k раз, так как его волшебная сила не бесконечна. При каждом ударе волшебным молотом по бамбуку высота бамбука уменьшается на p метров. При этом высота бамбука не может стать отрицательной, то есть если его текущая высота меньше p, она становится равна 0 метрам (росток не исчезает). Иными словами, если ударить волшебным молотом по бамбуку высотой h метров, то новая высота ростка будет max(0, h - p) метров. Разрешается ударять по одному и тому же бамбуку более одного раза в день.

Мистер Китаюта будет сражаться с бамбуком m дней, начиная с сегодняшнего дня. Его цель — минимизировать высоту самого высокого бамбука через m дней (то есть, после последовательности из m повторений «Мистер Китаюта ударяет по росткам бамбука, и затем ростки растут»). Найдите наименьшую возможное значение высоты самого высокого бамбука через m дней.

Входные данные

В первой строке ввода следуют четыре целых числа через пробел, n, m, k и p (1 ≤ n ≤ 105, 1 ≤ m ≤ 5000, 1 ≤ k ≤ 10, 1 ≤ p ≤ 109). Они обозначают количество ростков бамбука в саду Мистера Китаюта, продолжительность противостояния мистера Китаюта в днях, максимальное количество ударов по росткам бамбука в день и силу волшебного молота, соответственно.

В следующих n строках описаны бамбуки. В i-й из этих строк (1 ≤ i ≤ n) следуют два целых числа через пробел, hi и ai (0 ≤ hi ≤ 109, 1 ≤ ai ≤ 109), обозначающих изначальную высоту и скорость роста i-го ростка бамбука, соответственно.

Выходные данные

Выведите наименьшую возможную высоту самого высокого ростка бамбука через m дней.

C. Три базовых станции

Бинарный поиск *1800 жадные алгоритмы

Деревня Нью-Васюки вытянута вдоль автомобильной трассы и поэтому каждый город на ней характеризуется своим смещением относительно некоторой фиксированной точки — координатой xi. Деревня состоит из n домов, i-ый дом расположен в точке с координатой xi.

Провайдер сотовой связи TELE3 запланировал разместить три базовых станции таким образом, чтобы покрыть связью каждый дом в деревне. Базовая станция мощности d, размещенная в точке t, покрывает связью дома в отрезке [t - d, t + d] (включая границы).

Для упрощения монтажа (да и просто «чтобы не перепутать») планируется, что все три станции будут иметь одинаковую мощность d. Какое минимальное значение d достаточно, чтобы покрыть связью все дома в деревне.

Входные данные

В первой строке записано целое число n (1 ≤ n ≤ 2·105) — количество домов в деревне. Вторая строка содержит координаты домов — последовательность x1, x2, ..., xn целых чисел (1 ≤ xi ≤ 109). Возможно, что два или более города расположены в одной точке. Координаты заданы в произвольном порядке.

Выходные данные

Выведите искомую минимальную мощность d. Во вторую строку выведите три числа — возможные координаты расположения базовых станций. Выводите координаты с 6 цифрами после десятичной точки. Позиции станций могут быть любыми от 0 до 2·109 включительно. Допускается, чтобы базовые станции имели совпадающие координаты. Если решений несколько, выведите любое.

C. Уотто и механизм

Строки Бинарный поиск Структуры данных *2000 хэши строковые суфф. структуры

Недавно Уотто, хозяину магазина запчастей, поступил заказ на механизм, умеющий обрабатывать строки определённым образом. Изначально в память механизма загружаются n строк. Затем, механизм должен уметь отвечать на запросы следующего вида: «По данной строке s определить, есть ли в памяти механизма строка t, состоящая из того же количества символов, что и s, и отличающаяся от s ровно в одной позиции».

Уотто уже собрал механизм, осталось только написать для него программу и проверить её корректность на данных n исходных строк и m запросах. Эту работу он решил поручить Вам.

Входные данные

В первой строке записано два целых неотрицательных числа n и m (0 ≤ n ≤ 3·105, 0 ≤ m ≤ 3·105) — количество исходных строк и количество запросов соответственно.

Далее следуют n непустых строк, загружаемых в память механизма.

Далее следуют m непустых строк, являющихся запросами к механизму.

Суммарная длина строк во вводе не превышает 6·105. Каждая строка состоит только из букв 'a', 'b', 'c'.

Выходные данные

На каждый запрос выведите в отдельной строке «YES» (без кавычек), если в памяти механизма есть нужная строка, иначе выведите «NO» (без кавычек).

D. R2-D2 и армия дроидов

Бинарный поиск Структуры данных *2000

Армия из n дроидов построена в один ряд. Каждый дроид описывается m целыми числами a1, a2, ..., am, где ai — количество деталей i-го типа в механизме этого дроида. R2-D2 хочет уничтожить максимальную по длине последовательность подряд идущих дроидов. У него есть m оружий, i-е из них способно за один выстрел уничтожить у всех дроидов в армии по одной детали i-го типа (если у дроида нет деталей этого типа, то ничего не происходит).

Дроид считается уничтоженным, когда уничтожены все его детали. R2-D2 может сделать не больше k выстрелов. Сколько выстрелов из оружия каждого типа нужно произвести R2-D2, чтобы уничтожить максимальную по длине последовательность подряд идущих дроидов?

Входные данные

В первой строке записано три целых числа n, m, k (1 ≤ n ≤ 105, 1 ≤ m ≤ 5, 0 ≤ k ≤ 109) — количество дроидов, количество типов деталей и количество доступных выстрелов соответственно.

Далее идут n строк, описывающие дроидов. Каждая строка содержит m целых чисел a1, a2, ..., am (0 ≤ ai ≤ 108), где ai — количество деталей i-го типа у соответствующего робота.

Выходные данные

Выведите через пробел m целых чисел, где i-е число — количество выстрелов из оружия i-го типа, которые нужно произвести, чтобы уничтожить максимальную по длине последовательность подряд идущих дроидов.

Если существует несколько оптимальных ответов — выведите любой.

Необязательно совершать ровно k выстрелов, можно совершить меньше.

Примечание

В первом тесте будут уничтожены второй, третий и четвертый дроиды.

Во втором тесте будут уничтожены первый и второй дроиды.

F. Паша и труба

Бинарный поиск Перебор Комбинаторика реализация дп *2300

На очередном заседании правящей партии «A» министр Павел предложил усовершенствовать систему водопровода и проложить в городе новую трубу.

Город на карте представляет собой прямоугольное клетчатое поле размера n × m. Каждая клетка поля либо свободна (тогда труба может проходить по ней), либо занята (по такой клетке труба проходить не может). На карте свободные клетки обозначены символом '.', а занятые — '#'.

Труба должна удовлетворят следующим свойствам:

  • труба имеет вид ломанной ширины 1,
  • труба проходит по свободным клеткам,
  • труба начинается с края поля, но не с угловой клетки,
  • труба заканчивается на краю поля, но не в угловой клетке,
  • труба имеет не более 2-х поворотов (на 90 градусов),
  • на краях поля должно существовать ровно две клетки, по которым проходит труба,
  • если труба представляет собой один отрезок, то концевые точки трубы должны лежать на разных краях поля,
  • для каждой неконцевой клетки трубы существует ровно две соседние по стороне клетки, которые тоже принадлежат трубе,
  • для каждой из концевых клеток трубы существует ровно одна соседняя по стороне клетка, которая тоже принадлежит трубе.

Примеры разрешенных маршрутов для прокладывания труб:


....# ....# .*..#
***** ****. .***.
..#.. ..#*. ..#*.
#...# #..*# #..*#
..... ...*. ...*.

Примеры запрещенных маршрутов для прокладывания труб:


.**.# *...# .*.*#
..... ****. .*.*.
..#.. ..#*. .*#*.
#...# #..*# #*.*#
..... ...*. .***.

В примерах трубы обозначены символами ' * '.

Вам поручили написать программу, которая вычисляет количество различных способов проложить ровно одну трубу на территории города.

Два способа прокладывания труб считаются различными, если они отличаются хотя бы в одной клетке.

Входные данные

В первой строке входных данных следуют два целых числа n, m (2 ≤ n, m ≤ 2000) — размеры карты Берляндии.

В следующих n строках задано по m символов — карта города.

Если клетка карты обозначена символом '.', значит она свободна, и по ней может проходить труба.

Если клетка карты обозначена символом '#', значит она занята, и труба по ней проходить не может.

Выходные данные

Выведите в первую строку выходных данных одно целое число — количество различных способов проложить ровно одну трубу.

Примечание

В первом примере существует 3 способа проложить трубу (клетки трубы обозначены символами ' * '):


.*. .*. ...
.*# **# **#
.*. ... .*.

E. A и B и аудитории

Бинарный поиск Деревья Структуры данных *2100 дп поиск в глубину и подобное

A и B готовятся к олимпиадам про программированию.

Университет, в котором учатся A и B, представляет собой множество аудиторий, соединенных между собой переходами. Всего в университете n аудиторий, соединённых n - 1 переходом таким образом, что из любой аудитории можно дойти до любой по переходам. Аудитории пронумерованы от 1 до n.

Каждый день А и B пишут контесты в некоторых аудиториях своего университета, и после каждого контеста они собираются вместе в одной аудитории и обсуждают задачи. A и B хотят, чтобы расстояния от аудитории, где они будут обсуждать задачи, до аудиторий, где они пишут контесты, были равны. Расстоянием между двумя аудиториями является количество ребер на кратчайшем пути между ними.

Так как каждый день они пишут контесты в новых аудиториях, то они попросили вас помочь им найти количество возможных аудиторий для обсуждения задач на каждый из ближайших m дней.

Входные данные

В первой строке задано целое число n (1 ≤ n ≤ 105) — количество аудиторий в университете.

В следующих n - 1 строках описаны переходы. В i-й из этих строк (1 ≤ i ≤ n - 1) записаны два целых числа ai и bi (1 ≤ ai, bi ≤ n), обозначающих, что i-й переход соединяет аудитории с номерами ai и bi.

В следующей строке записано целое число m (1 ≤ m ≤ 105) — количество запросов.

Следующие m строк описывают сами запросы. В j-й из этих строк (1 ≤ j ≤ m) записаны два целых числа xj и yj (1 ≤ xj, yj ≤ n), обозначающих, что в j-й день A будет писать контест в аудитории с номером xj, B — в аудитории с номером yj.

Выходные данные

В i-й (1 ≤ i ≤ m) строке выведите количество аудиторий, равноудаленных от аудиторий, в которых A и B пишут контест в i-й день.

Примечание

В первом примере из условия на одинаковом расстоянии от аудиторий с номерами 2 и 3 находится только одна аудитория — аудитория с номером 1.

C. Искусство обращения с бакноматом

Бинарный поиск сортировки *1900

Банкоматы одного известного банка одной небольшой страны устроены таким образом, что они могут выдать не любую сумму денег, запрошенную пользователем. Из-за ограниченного размера диспенсера купюр (устройства, непосредственно выдающего деньги в банкомате) и особенностей устройства банкомата, на руки можно получить не более, чем k купюр, при этом купюры могут быть не более, чем двух различных достоинств.

Например, если в стране используются купюры достоинствами 10, 50, 100, 500, 1000 и 5000 бурлей, то при k = 20 подобный банкомат может выдать суммы в 100 000 бурлей и в 96 000 бурлей, а вот суммы в 99 000 бурлей и 101 000 бурлей — уже не может.

Предположим, в стране находятся в хождении купюры n различных достоинств, при этом в банкомате, которым вы пользуетесь, находится неограниченное количество купюр каждого вида. Вы знаете, что в течение дня вам потребуется q раз снять некоторое количество наличных денег. Известно, что банкомат при наличии нескольких способов выдать сумму денег выбирает тот, в котором требуется минимальное количество банкнот, либо выдаёт сообщение об ошибке, если это сделать невозможно. Определите результат каждого из q запросов на выдачу наличных.

Входные данные

В первой строке находятся два целых числа n, k (1 ≤ n ≤ 5000, 1 ≤ k ≤ 20).

В следующей строке находятся n разделённых пробелами целых чисел ai (1 ≤ ai ≤ 107) — достоинства купюр, пребывающих в хождении в стране. Числа ai следуют в строго возрастающем порядке.

В следующей строке находится целое число q (1 ≤ q ≤ 20) — количество запросов на выдачу валюты, которые вы произведёте.

В последующих q строках находятся числа xi (1 ≤ xi ≤ 2·108) — суммы денег в бурлях, которые вы собираетесь получить в банкомате.

Выходные данные

На каждый запрос выдачи валюты выведите в отдельной строке минимальное количество банкнот, которым может обойтись банкомат, либо выведите  - 1, если выдать соответствующую сумму невозможно.

E. Аня и кубики

Бинарный поиск Перебор математика *2100 дп битмаски meet-in-the-middle

Аня очень любит складывать и наклеивать. Сегодня она решила заняться именно этим.

У Ани есть n кубиков, лежащих в ряд и пронумерованных от 1 до n слева направо, с написанными на них натуральными числами. Также у нее есть k наклеек с восклицательными знаками. Известно, что количество наклеек не превышает количества кубиков.

Аня может наклеить на кубик восклицательный знак и получить факториал числа, записанного на кубике. Например, если на кубике было написано 5, то после наклеивания будет 5!, что равно 120.

Вам нужно помочь Ане посчитать, сколько существует способов оставить какое-то количество кубиков и наклеить на некоторые из них восклицательные знаки, использовав не более k восклицательных знаков, так, чтобы сумма чисел, написанных на кубиках (как отмеченных восклицательными знаками, так и нет), после наклеивания стала равна S. Аня может наклеить на один кубик не более одного восклицательного знака. Справитесь?

Два способа будем считать одинаковыми, если совпадают номера оставленных кубиков, а также совпадают номера кубиков, на которые наклеены восклицательные знаки.

Входные данные

В первой строке входных данных заданы через пробел три целых числа n, k и S (1 ≤ n ≤ 25, 0 ≤ k ≤ n, 1 ≤ S ≤ 1016) — количество кубиков и количество наклеек, которые есть у Ани, и сумма, которую необходимо набрать.

Во второй строке следуют n целых положительных чисел ai (1 ≤ ai ≤ 109) — числа, записанные на кубиках.

На разных кубиках могут быть написаны одинаковые числа.

Выходные данные

Выведите в первую строку выходных данных единственное целое неотрицательное число — количество способов оставить какое-то количество кубиков и наклеить на некоторые из них восклицательные знаки так, чтобы сумма чисел стала равна заданному числу S.

Примечание

В первом тесте из условия единственный способ достичь желаемого — оставить оба кубика, и наклеить на каждый из них по восклицательному знаку.

Во втором тесте из условия единственный способ достичь желаемого — оставить оба кубика, но не клеить восклицательный знак ни на один из них.

В третьем тесте из условия можно оставить любой из трёх кубиков, при этом на него можно как клеить, так и не клеить восклицательный знак, поэтому существует шесть способов достичь желаемого.

C. Разрезание стекла

Бинарный поиск Структуры данных реализация *1500

Леонид хочет стать резчиком по стеклу. У него уже есть прямоугольный лист стекла w мм  ×  h мм, алмазный стеклорез и полные штаны энтузиазма. Не хватает только понимания, что и как резать.

Чтобы не терять времени даром, он решил поупражняться в технике разрезов. Для этого он проводит вертикальные и горизонтальные разрезы через весь лист. В результате этого процесса образуются меньшие прямоугольные куски стекла. Леонид не перемещает образовавшиеся куски стекла, в частности, очередной разрез делит на меньшие части каждый кусок стекла, через который он проходит.

После каждого разреза Леонид пытается определить, какую площадь имеет самый большой из имеющихся на данный момент фрагментов стекла. Так как частей становится всё больше и больше, этот вопрос занимает у него всё больше и больше времени, и отвлекает от увлекательного процесса.

Леонид предлагает устроить разделение труда — он будет резать стекло, а вы — считать площадь максимального фрагмента после каждого разреза. Идёт?

Входные данные

В первой строке заданы три целых числа w, h, n (2 ≤ w, h ≤ 200 000, 1 ≤ n ≤ 200 000).

В последующих n строках следуют описания разрезов. Каждое описание имеет вид H y или V x. В первом случае проводится горизонтальный разрез на расстоянии y миллиметров (1 ≤ y ≤ h - 1) от нижнего края исходного листа, во втором случае проводится вертикальный разрез на расстоянии x (1 ≤ x ≤ w - 1) миллиметров от левого края исходного листа. Гарантируется, что Леонид не будет производить два одинаковых разреза.

Выходные данные

После каждого разреза выводите в отдельной строке площадь максимального из имеющихся фрагментов стекла в квадратных миллиметрах.

Примечание

Пояснение к первому тесту из условия:

Пояснение ко второму тесту из условия:

B. Фотография в блог

Бинарный поиск реализация *1700

Один из популярных блогов обрабатывает закачанные фотографии пользователей таким образом. Он вырезает из них прямоугольную область так, чтобы отношение высоты к ширине (т. е. частное высота / ширина) находилось в границах от 0.8 до 1.25 включительно. Кроме того, хотя бы одна из сторон вырезанной части должны иметь размер, равный некоторой степени числа 2 (2x для некоторого целого числа x). Если эти правила определяют размер вырезаемой части неоднозначно, то выбирается такой способ, что вырезаемая часть имеет наибольшую площадь. Разумеется, обе стороны вырезаемой части должны быть целочисленными. В случае нескольких ответов — нужно выбрать ответ с максимальной высотой.

Входные данные

В первой строке записана пара целых чисел h и w (1 ≤ h, w ≤ 109) — высота и ширина закачанного фото в пикселях.

Выходные данные

Выведите два целых числа — высоту и ширину вырезаемой части.

D. Рукопожатия

Бинарный поиск Структуры данных Конструктив жадные алгоритмы *1900

30 февраля в Центр олимпиадной подготовки программистов (ЦОПП) Берляндского государственного университета пришли n студентов. Они приходили по одному один за другим. Каждый из них, зайдя внутрь, прежде чем сесть за рабочее место, здоровался с присутствующими, пожимая руку. Каждый из пришедших студентов оставался в ЦОПП до конца дня, не покидая его.

В любой момент времени любые три студента могли объединиться и начать писать командный контест, который длился до конца дня. Команда не отвлекалась от контеста ни на минуту, поэтому очередной зашедший студент, здоровающийся с присутствующими, не пожимал руку участникам команд, пишущим контест. Каждая команда состояла ровно из трех студентов, а каждый студент мог стать членом не более чем одной команды. Разные команды могли начать писать контест в разное время.

Зная, скольким присутствующим каждый студент пожал руку, найдите возможный порядок, в котором студенты могли приходить в ЦОПП. Если такого порядка не существует, то сообщите, что это невозможно.

Обратите внимание, что какие-то студенты могли до конца дня работать самостоятельно, не участвуя в командном контесте.

Входные данные

В первой строке содержится целое число n (1 ≤ n ≤ 2·105) — количество студентов, пришедших в ЦОПП. В следующей строке содержатся n целых чисел a1, a2, ..., an (0 ≤ ai < n), где ai — количество студентов, которым i-й студент пожал руку.

Выходные данные

Если искомый порядок студентов существует, в первую строку выведите «Possible», а во вторую строку — перестановку номеров студентов, задающую порядок, в котором студенты приходили в центр. Число i стоящее левее числа j в этой перестановке будет означать, что i-й студент пришел раньше j-го студента. Если ответов несколько, выведите любой.

Если искомого порядка студентов не существует, в единственную строку выведите «Impossible».

Примечание

В первом примере из условия порядок событий мог быть следующим:

  • пришел студент с номером 4 (a4 = 0), здороваться ему было не с кем;
  • пришел студент с номером 5 (a5 = 1), пожал руку студенту с номером 4;
  • пришел студент с номером 1 (a1 = 2), пожал руку двум студентам (с номерами 4, 5);
  • пришел студент с номером 3 (a3 = 3), пожал руку трем студентам (с номерами 4, 5, 1);
  • студенты с номерами 4, 5, 3 объединились в команду и начали писать контест;
  • пришел студент с номером 2 (a2 = 1), пожал руку одному студенту (с номером 1).

Во втором примере из условия порядок событий мог быть следующим:

  • пришел студент с номером 7 (a7 = 0), здороваться ему было не с кем;
  • пришел студент с номером 5 (a5 = 1), пожал руку студенту с номером 7;
  • пришел студент с номером 2 (a2 = 2), пожал руку двум студентам (с номерами 7, 5);
  • студенты с номерами 7, 5, 2 объединились в команду и начали писать контест;
  • пришел студент с номером 1 (a1 = 0), здороваться ему было не с кем (все писали контест);
  • пришел студент с номером 6 (a6 = 1), пожал руку студенту с номером 1;
  • пришел студент с номером 8 (a8 = 2), пожал руку двум студентам (с номерами 1, 6);
  • пришел студент с номером 3 (a3 = 3), пожал руку трем студентам (с номерами 1, 6, 8);
  • пришел студент с номером 4 (a4 = 4), пожал руку четырем студентам (с номерами 1, 6, 8, 3);
  • студенты с номерами 8, 3, 4 объединились в команду и начали писать контест;
  • пришел студент с номером 9 (a9 = 2), пожал руку двум студентам (с номерами 1, 6).

В третьем примере из условия порядок событий восстанавливается однозначно:

  • пришел студент с номером 1 (a1 = 0), здороваться ему было не с кем;
  • пришел студент с номером 3 (или с номером 4) (a3 = a4 = 1), пожал руку студенту с номером 1;
  • пришел студент с номером 2 (a2 = 2), пожал руку двум студентам (с номерами 1, 3 (или 4));
  • оставшийся студент с номером 4 (или с номером 3), должен пожать руку одному студенту (a3 = a4 = 1), однако это невозможно, так как существует всего два варианта событий: либо образовалась команда, и он ни с кем не поздоровается, либо он поздоровается со всеми тремя присутствующими, работающими индивидуально.

C. Тавас и Карафс

Бинарный поиск математика жадные алгоритмы *1900

Карафс — это овощ в форме прямоугольника размером 1 × h. Жители Тавасполиса любят карафс и кладут его почти в любую еду. Тавас просто без ума от карафса.

У каждого карафса положительная целочисленная высота. У Таваса есть бесконечная последовательность карафсов, пронумерованная с единицы. Высота i-го карафса равняется si = A + (i - 1) × B.

Зафиксируем целое положительное число m и определим операцию m-укуса как уменьшение высоты не более чем m различных несъеденных карафсов на 1. Карафс считается съеденным когда его высота становится равной нулю.

СаДДас дает Вам n запросов. В каждом запросе вам даются числа l, t и m и Вам надо найти наибольшее число r, такое, что l ≤ r и последовательность sl, sl + 1, ..., sr можно съесть, произведя m-укус не более, чем t раз, либо выведите -1, если такого числа r не существует.

Входные данные

В первой строке входного файла записано три целых числа A, B и n (1 ≤ A, B ≤ 106, 1 ≤ n ≤ 105).

В следующих n строках записана информация о запросах. В i-й строке записаны целые числа l, t, m (1 ≤ l, t, m ≤ 106), обозначающие i-й запрос.

Выходные данные

Для каждого запроса выведите ответ на него в отдельной строке.

E. Бесконечные инверсии

Бинарный поиск Деревья Структуры данных реализация *2100 сортировки

Есть бесконечная последовательность, состоящая из всех положительных целых чисел в порядке возрастания: p = {1, 2, 3, ...}. К ней последовательно применили n операций swap. Операция swap(a, b) меняет местами элементы последовательности на позициях a и b. Требуется найти количество инверсий в получившейся последовательности, т.е. количество таких пар индексов (i, j), что i < j и pi > pj.

Входные данные

В первой строке записано единственное целое число n (1 ≤ n ≤ 105) — количество операций swap, примененных к последовательности.

В каждой из следующих n строк записано по два числа ai и bi (1 ≤ ai, bi ≤ 109, ai ≠ bi) — аргументы операций swap.

Выходные данные

Выведите единственное целое число — количество инверсий в получившейся последовательности.

Примечание

В первом примере последовательность меняется следующим образом: . В ней 4 инверсии, их образуют пары индексов (1, 4), (2, 3), (2, 4) и (3, 4).

B. Майк и футы

Бинарный поиск Структуры данных дп *1900 снм

Майк — президент страны What-The-Fatherland. Помимо Майка, там живёт ещё n медведей. Все они стоят в ряд и пронумерованы от 1 до n слева направо. Рост i-го медведя составляет ровно ai футов.

Назовём группой медеведей непустой непрерывный подотрезок этого ряда. Размер группы — это количество медведей в этой группе. Сила группы — это минимальная высота медведя в этой группе.

Майку хочется знать для каждого x, такого что 1 ≤ x ≤ n, максимальную силу группы медведей размера x.

Входные данные

В первой строке ввода записано целое число n (1 ≤ n ≤ 2 × 105), количество медведей.

Во второй строке записано n целых чисел, разделенных пробелом, a1, a2, ..., an (1 ≤ ai ≤ 109) — высоты медведей.

Выходные данные

Выведите n целых чисел в одной строке. Для каждого x от 1 до n выведите максимальную силу среди всех групп размера x.

H. Вырожденная матрица

Бинарный поиск математика *2100

Определитель матрицы 2 × 2 определяется следующим образом:

Вырожденной матрицей называется матрица, у которой определитель равен нулю.

Норма ||A|| матрицы A определяется как максимум из абсолютных значений её элементов.

Дана матрица . Рассмотрим любую такую вырожденную матрицу B, что норма ||A - B|| минимальна. Найдите ||A - B||.

Входные данные

В первой строке находятся два целых числа a, b (|a|, |b| ≤ 109) — элементы первой строки матрицы A.

Во второй строке находятся два целых числа c, d (|c|, |d| ≤ 109) — элементы второй строки матрицы A.

Выходные данные

Выведите единственное вещественное число, минимальное возможное значение ||A - B||. Ваш ответ будет считаться правильным, если его абсолютная или относительная погрешность не превосходит 10 - 9.

Примечание

В первом примере матрица B выглядит следующим образом:

Во втором примере матрица B выглядит следующим образом:

C. GukiZ ненавидит коробки

Бинарный поиск жадные алгоритмы *2200

Профессор GukiZ не уверен, как он сегодня будет добираться до школы, ведь у него на пути кто-то сложил огромную кучу коробок.

Имеется n куч коробок, расположенных в ряд. В этом ряду i-ая слева куча (1 ≤ i ≤ n) содержит ai коробок. К счастью, m учеников хотят помочь GukiZ убрать коробки с его пути. Ученики работают одновременно. В момент времени 0, все ученики расположены слева от первой кучи. Каждому ученику необходима одна секунда, чтобы передвинуться из этой позиции к первой куче. После этого каждый ученик может выполнять две возможные операции, каждая из которых занимает у него ровно одну секунду. Возможные операции таковы:

  1. Если i ≠ n, студент может переместиться от кучи i к куче i + 1;
  2. Если куча, расположенная перед студентом, непуста, студент может убрать из неё одну коробку.

Ученики GukiZ'а не очень умные, так что им надо, чтобы вы сказали им, как убрать коробки побыстрее (профессор очень нетерпеливый человек и не любит ждать). Они просят вас подсчитать минимальное количество секунд t, за которое они могут убрать все коробки с пути GukiZ'а. Обратите внимание, что по истечении t секунд студенты могут располагаться любым образом, но все коробки к этому моменту должны быть убраны.

Входные данные

В первой строке записано два целых числа, n и m (1 ≤ n, m ≤ 105), количество куч коробок и количество учеников GukiZ'а.

Во второй строке записано n целых чисел a1, a2, ... an (0 ≤ ai ≤ 109), где ai обозначает количество коробок в i-й куче. Гарантируется, что как минимум одна куча непуста.

Выходные данные

В единственной строке выведите одно число — минимальное время, необходимое для того, чтобы убрать все коробки, в секундах.

Примечание

Первый пример: ученик должен сначала пройти к первой куче (1 секунда), затем убрать коробку из первой кучи (1 секунда), затем пройти ко второй куче (1 секунда) и наконец, убрать коробку из второй кучи (1 секунда).

Второй пример: одно из оптимальных решений — послать одного ученика, чтобы убрать одну коробку из первой кучи и одну коробку из третьей кучи, и в это же время послать другого студента убрать одну коробку из третьей кучи. Всего на это уйдёт 5 секунд.

Третий пример: в вашем распоряжении много учеников, можно отправить троих из них убрать ящики из первой кучи, четверых из них — убрать ящики из второй кучи, пятерых — убрать ящики из третьей кучи и четверых — убрать ящики из четвертой кучи. Процесс завершится за 5 секунд, когда завершится уборка коробок из последней кучи.

E. GukiZ и GukiZiana

Бинарный поиск Структуры данных реализация *2500

Профессор GukiZ опять играет с массивами. Он случайно открыл новую функцию, которую назвалGukiZiana. Для данного массива a, проиндексированного целыми числами от 1 до n, и числа y, GukiZiana(a, y) определяется как максимальное возможное значение j - i, где числа j и i таковы, что aj = ai = y. Если же y не встречается в a как элемент, то GukiZiana(a, y) полагается равной  - 1. GukiZ также подготовил для вас задачу. На этот раз у вас есть два типа запросов:

  1. Запрос первого типа имеет вид 1 l r x, данный запрос означает, что все ai, такие, что l ≤ i ≤ r, должны быть увеличены на неотрицательное целое значение x.
  2. Запрос второго типа имеет вид 2 y, данный запрос означает, что надо определить значение GukiZiana(a, y).

Для каждого запроса типа 2 выведите ответ, и порадуйте этим GukiZ!

Входные данные

В первой строке записано два целых числа n, q (1 ≤ n ≤ 5·105, 1 ≤ q ≤ 5·104), размер массива a, и количество запросов.

Во второй строке записано n целых чисел a1, a2, ... an (1 ≤ ai ≤ 109), формирующих массив a.

Каждая из последующих q строк содержит либо четыре, либо два числа, как описано в условии задачи:

Если строка начинается с 1, то данный запрос выглядит следующим образом: 1 l r x (1 ≤ l ≤ r ≤ n, 0 ≤ x ≤ 109) и представляет собой запрос первого типа.

Если строка начинается с 2, то данный запрос выглядит следующим образом: 2 y (1 ≤ y ≤ 109), и представляет собой запрос второго типа.

Выходные данные

Для каждого запроса типа 2, выведите GukiZiana(a, y) для значения y из данного запроса.

B. Кёя и перестановка

Бинарный поиск Конструктив Комбинаторика математика реализация жадные алгоритмы *1900

Определим перестановку длины n как последовательность p = [p1, p2, ..., pn], состоящую из n различных целых чисел от 1 до n. Мы говорим, что эта перестановка переводит число 1 в число p1, число 2 в число p2, и так далее.

Кёя Оотори только что узнал про циклическое разложение перестановки. Цикл — это последовательность чисел, таких, что каждый элемент этой последовательности переводится перестановкой p в следующий элемент этой последовательности (а последний элемент цикла переводится в первый элемент цикла). Циклическое разложение — это представление p в виде набора циклов, образующих p. Например, перестановка p = [4, 1, 6, 2, 5, 3] имеет циклическое разложение, которое выглядит как (142)(36)(5): действительно, 1 переводится в 4, 4 переводится в 2, 2 переводится в 1, 3 и 6 меняются местами, и 5 остаётся на месте.

Перестановка может иметь несколько циклических разложений, поэтому Кёя определяет стандартное циклическое разложение перестановки следующим образом. Сперва переставим элементы внутри каждого цикла таким образом, чтобы наибольший элемент был на первом месте. Затем переставим все циклы так, чтобы они были отсортированы по их первому элементу. Для данного выше примера стандартное циклическое разложение чисел [4, 1, 6, 2, 5, 3] равно (421)(5)(63).

Кёя заметил, что если убрать скобки внутри стандартного циклического разложения, то мы получаем ещё одну перестановку! Например, [4, 1, 6, 2, 5, 3] превращается в [4, 2, 1, 5, 6, 3].

Кёя заметил, что некоторые перестановки не меняются после применения операции, описанной выше. Он выписал все перестановки длины n, которые не меняются в результате применения описанной операции, в лексикографическом порядке. К сожалению, его друг Тамаки Суо этот список потерял. Кёя хочет воспроизвести список и ему нужна ваша помощь. Вам даны целые числа n и k, выведите перестановку, которая была k-й в списке Кёи.

Входные данные

В первой строке записано два целых числа n, k (1 ≤ n ≤ 50, 1 ≤ k ≤ min{1018, l}, где l — это длина списка Кёи).

Выходные данные

Выведите через пробел n целых чисел, обозначающих перестановку, являющуюся ответом на вопрос.

Примечание

В первом тесте из условия стандартное циклическое разложение выглядит как (1)(32)(4), что дает нам изначальную перестановку после удаления скобок. Первая перестановка в списке равна [1, 2, 3, 4], а вторая перестановка равна [1, 2, 4, 3].

D. Нудистский пляж

Бинарный поиск жадные алгоритмы графы *2300

Организация Nudist Beach (NB) планирует военную операцию по атаке организации Life Fibers (LF). Во время операции предполагается атаковать и захватить несколько городов, которые на настоящий момент находятся под контролем LF.

Дано n городов, обозначенных от 1 до n, и m двунаправленных дорог между ними. На данный момент в каждом из n городов установлена власть LF. Также в k из этих городов расположены крепости LF, и эти города нельзя захватить ни при каких обстоятельствах. Таким образом, NB может захватить произвольное непустое подмножество городов, не содержащих крепостей LF.

После операции NB придется защищать захваченные города от контратаки. Если они захватят город, соединенный со многими городами, контролируемыми LF, то их врагам будет легко отбить город обратно. Таким образом, NB хотят захватить множество городов, такое, что для каждого захваченного города отношение количества соседей, контролируемых NB, к количеству всех соседей этого города, было как можно больше.

Более формально, NB хотят захватить непустое множество городов S, не имеющих крепостей LF. Сила города определяется как (количество соседей x в S) / (общее количество соседей x), где соседними называются два города, соединённых дорогой. Цель NB — максимизировать силу самого слабого города в S.

Вам дано описание графа и городов с крепостями, найдите непустое подмножество, которое максимизирует силу самого слабого города.

Входные данные

В первой строке ввода находятся три целых числа n, m, k (2  ≤  n  ≤ 100 000, 1 ≤ m ≤ 100 000, 1 ≤ k ≤ n - 1).

Во второй строке ввода находятся k целых чисел, представляющих города с крепостями. Все эти города различны.

В следующих m строках описаны дороги. В i-й из этих строк находятся 2 целых числа ai, bi (1 ≤ ai, bi ≤ n, ai ≠ bi). Гарантируется, что от каждого города отходит как минимум одна дорога.

Между каждой парой городов существует не более одной дороги.

Выходные данные

В первой строке выведите целое число r, обозначающее размер оптимального множества (1 ≤ r ≤ n - k).

Во второй строке выведите r целых чисел, обозначающих города из оптимального множества. Города могут следовать в произвольном порядке. Эта строка не должна содержать ни одного города с крепостью.

Если существует несколько возможных ответов, выведите любой из них.

Примечание

В первом примере достигается значение силы 1/2. Ни одно другое подмножество не даёт строго лучшего ответа.

Во втором примере достигается значение силы 1. Обратите внимание, что подмножество не обязательно должно быть связно.

D. Дело повышенной секретности

Бинарный поиск математика реализация *2500

Андроид Андреид — известный на всю галактику детектив. Сейчас он занят особо секретным делом, детали которого не подлежат разглашению.

Однако ему требуется помощь при проведении одного следственного эксперимента. На плоскости ставятся n колышков, пронумерованных от 1 до n, координаты i-го из них — (xi, 0). Затем за один из колышков снизу привязывают груз на натянутой веревке длины l (таким образом, его координаты будут равны (xi,  - l), где i — номер использованного колышка), после чего этот груз толкают вправо, так, что он начинает вращаться против часовой стрелки. При этом, если груз в процессе вращения цепляется за какой-то из колышков, то он начинает вращаться уже вокруг этого колышка. Можно предположить, что каждый колышек в отдельности достаточно тонкий, и не влияет на длину верёвки груза, который вокруг него вращается.

Более формально, если в некоторый момент времени отрезок верёвки содержит один или несколько колышков кроме того, вокруг которого сейчас вращается груз, то далее груз будет вращаться вокруг наиболее удалённого из них на более коротком отрезке верёвки. В частности, если отрезок верёвки задевает своим концом некоторый колышек, то считается, что груз начинает вращаться вокруг этого колышка на отрезке верёвки длины 0.

Рано или поздно груз начнёт вращаться вокруг некоторого колышка, не задевая остальные колышки. Андреид заинтересован в определении номера этого колышка.

Андреид подготовил m вариантов начальных условий для запуска груза, помогите ему определить для каждого из них, вокруг какого колышка будет в конце концов вращаться груз.

Входные данные

В первой строке даны целые числа n и m (1 ≤ n, m ≤ 2·105) — количество колышков и вариантов запуска.

В следующей строке даны n целых чисел x1, x2, ..., xn ( - 109 ≤ xi ≤ 109) — координаты колышков. Гарантируется, что координаты всех колышков — различные целые числа.

В следующих m строках даны описания вариантов запусков груза, каждое состоит из двух целых чисел ai (1 ≤ ai ≤ n) и li (1 ≤ li ≤ 109) — номера стартового колышка и длины веревки.

Выходные данные

Выведите m строк, в i-й из них должен быть номер колышка, вокруг которого в конце концов будет вращаться груз после i-го запуска.

Примечание

Иллюстрация к первому тесту из условия:

Иллюстрация ко второму тесту из условия:

Обратите внимание, что в последнем запуске груз в итоге начинает вращаться вокруг первого колышка на отрезке верёвки длины 0.

E. Принцип домино

Бинарный поиск Структуры данных сортировки *2200

Вася увлекается расстановкой домино. Обычкновенные домино Васе надоели, и он использует костяшки разных высот. Он поставил на стол n доминошек вдоль одной оси, проходящей слева направо. Каждая доминошка стоит перпендикулярно этой оси так, что ось проходит через центр ее основания. i-ая костяшка домино имеет координату xi и высоту hi. Теперь Вася хочет узнать для каждой костяшки домино, сколько доминошек упадет, если он толкнет ее вправо. Помогите ему это сделать.

Считайте, что доминошка падает, если ее задевают строго выше основания. Другими словами, падение костяшки домино с начальной координатой x и высотой h приводит к падению всех доминошек на отрезке [x + 1, x + h - 1].

Входные данные

В первой строке записано целое число n (1 ≤ n ≤ 105) — количество доминошек. Далее следует n строк по два целых числа xi и hi ( - 108 ≤ xi ≤ 108, 2 ≤ hi ≤ 108) — координата и высота каждой доминошки. Никакие две доминошки не стоят в одной точке.

Выходные данные

Выведите n чисел zi через пробел — сколько доминошек упадет, если Вася толкнет вправо i-ую (включая ее саму).

C. Геометрическая прогрессия

Бинарный поиск Структуры данных дп *1700

Поликарп очень любит геометрические прогрессии. Так как ему только три года, он любит прогрессии только длины три. Также у него есть любимое целое число k и последовательность a, состоящая из n целых чисел.

Он хочет узнать: сколько подпоследовательностей длины три можно выбрать из a так, чтобы они образовывали геометрическую прогрессию со знаменателем k.

Подпоследовательностью длины три называются три таких индекса i1, i2, i3, что 1 ≤ i1 < i2 < i3 ≤ n. То есть подпоследовательности длины три — это такие тройки элементов, которые необязательно идут подряд в последовательности, но их индексы строго возрастают.

Геометрическая прогрессия со знаменателем k — это последовательность чисел вида b·k0, b·k1, ..., b·kr - 1.

Поликарпу всё ещё три года, поэтому он не может посчитать это количество самостоятельно. Помогите ему сделать это.

Входные данные

В первой строке входных данных содержится два целых числа n и k (1 ≤ n, k ≤ 2·105) — количество чисел в последовательности Поликарпа и его любимое число.

Вторая строка содержит n целых чисел a1, a2, ..., an ( - 109 ≤ ai ≤ 109) — элементы последовательности.

Выходные данные

Выведите единственное число — количество способов выбрать такую подпоследовательность длины три, что она образует геометрическую прогрессию со знаменателем k.

Примечание

В первом примере ответ четыре, так как в качестве первого элемента можно выбрать любую из двух единиц, в качестве второго — любую из двух двоек, а третий элемент подпоследовательности обязательно должен равняться четырём.

D. Одномерный морской бой

Бинарный поиск Структуры данных жадные алгоритмы сортировки *1700

Алиса и Боб любят играть в одномерный морской бой. Они играют на поле, имеющем вид строки из n квадратных клеточек (то есть на таблице 1 × n).

В начале игры Алиса в тайне от Боба расставляет на поле k кораблей, каждый из которых имеет вид прямоугольника 1 × a (то есть занимает последовательность из a подряд идущих клеток поля). Корабли не могут пересекаться и даже касаться друг друга.

После этого Боб делает последовательность «выстрелов». Он называет клетки поля, а Алиса сообщает, что клетка пуста («мимо»), либо что эта клетка принадлежит какому-либо кораблю («попал»).

Вот незадача! Похоже, Алиса любит фантазировать. Видимо, именно по этой причине на каждый ход Боба она отвечает «мимо».

Помогите Бобу уличить Алису в фантазировании — найдите первый такой ход Боба, после которого можно наверняка утверждать, что Алиса слукавила.

Входные данные

В первой строке входных данных содержится три целых числа: n, k и a (1 ≤ n, k, a ≤ 2·105) — размер поля, количество кораблей и размер каждого из них. Гарантируется, что n, k и a такие, что на поле возможно расставить k кораблей размера a, что никакие два не пересекаются и не касаются.

Вторая строка содержит целое число m (1 ≤ m ≤ n) — количество ходов Боба.

Третья строка содержит m различных целых чисел x1, x2, ..., xm, где xi — номер клетки, по которой Боб произвёл i-й выстрел. Клетки нумеруются слева направо от 1 до n.

Выходные данные

Выведите единственное целое число — номер такого первого хода Боба, после которого можно наверняка утверждать, что Алиса сказала неправду. Ходы Боба нумеруются от 1 до m в порядке их совершения. Если искомого хода не существует, то выведите «-1».

D. Деревянные запросы

Бинарный поиск Деревья Конструктив поиск в глубину и подобное графы *2200 битмаски

Роман посадил дерево из n вершин. В каждой вершине записана строчная английская буква. Вершина 1 является корнем дерева, у каждой из n - 1 оставшихся вершин есть предок в дереве, с которым вершина соединена ребром. Предком вершины i является вершина pi, причём номер предка всегда меньше, чем номер вершины (то есть, pi < i).

Глубина вершины — это количество вершин на пути по рёбрам от корня до v. В частности, глубина корня равна 1.

Скажем, что вершина u лежит в поддереве вершины v, если мы можем попасть из u в v, переходя из вершины в предка. В частности, вершина v лежит в своём поддереве.

Рома даёт вам m запросов, i-й из которых задаётся двумя числами vi, hi. Рассмотрим вершины, лежащие в поддереве vi, и находящиеся на глубине hi. Определите, можно ли из букв, записанных в этих вершинах, составить строку, являющуюся палиндромом? Буквы, записанные в вершинах, можно переставить в произвольном порядке для составления палиндрома.

Входные данные

В первой строке находятся два целых числа n, m (1 ≤ n, m ≤ 500 000) — количество вершин в дереве и запросов соответственно.

В следующей строке находятся n - 1 целых чисел p2, p3, ..., pn — предки вершин со второй по n-ю вершин (1 ≤ pi < i).

В следующей строке находятся n строчных английских букв, i-я из этих букв написана на вершине i.

В последующих m строках описаны запросы, в i-й строке находятся два числа vi, hi (1 ≤ vi, hi ≤ n) — вершина и глубина, фигурирующие в i-м запросе.

Выходные данные

Выведите m строк. В i-й строке выведите «Yes» (без кавычек), если в i-м запросе возможно составить палиндром из букв, написанных на вершинах, иначе выведите «No» (без кавычек).

Примечание

Строка s является палиндромом, если она одинаково читается слева направо и справа налево. В частности, пустая строка является палиндромом.

Пояснение к тесту из условия.

В первом запросе существует единственная вершина 1, подходящая под все условия, мы можем составить палиндром "z".

Во втором запросе вершины 5 и 6 удовлетворяют условиям, на этих вершинах написаны буквы "с" и "d". Составить палиндром невозможно.

В третьем запросе не существует ни одной вершины на глубине 1 в поддереве вершины 4. Мы можем составить пустой палиндром.

В четвертом запросе не существует вершин в поддереве 6 на глубине 1. Мы можем составить пустой палиндром.

В пятом запросе вершины 2, 3 и 4 удовлетворяют условиям, на этих вершинах написаны буквы a, с и с. Мы можем составить палиндром "cac"

D. Кампус

Бинарный поиск Деревья Структуры данных снм *3100

В городе Осколково есть кампус, состоящий из n студенческих общежитий, n университетов и n военкоматов. Изначально i-е общежитие принадлежит i-му университету и приписано к i-му военкомату.

Жизнь бурлит, и в кампусе постоянно происходят изменения. Изменения бывают четырех типов:

  1. Университет под номером aj объединяется с университетом bj, после чего все общежития, которые принадлежали университету bj, переходят под контроль университета aj, а университет bj перестает существовать.
  2. Военкомат под номером cj объединяется с военкоматом dj, после чего все общежития, которые были приписаны к военкомату dj, переходят под контроль военкомата cj, а военкомат dj перестает существовать.
  3. Университет под номером xj производит заселение. Путь kxj — количество общежитий, которые принадлежат этому университету в момент заселения. Тогда количество студентов в каждом общежитии университета xj увеличивается на kxj (обратите внимание, чем больше общежитий принадлежат университету, тем больше студентов заселяется в каждое общежитие университета).
  4. Военкомат под номером yj производит облаву на все подконтрольные ему общежития и забирает из них всех студентов.

Таким образом, в любой момент времени каждое общежитие относится только к одному университету и одному военкомату. Изначально все общежития пусты.

Вам требуется обрабатывать изменения, происходящие в кампусе, а также отвечать на запросы, сколько человек живёт в общежитии qj в данный момент времени.

Входные данные

В первой строке записаны два целых числа n и m (1 ≤ n, m ≤ 5·105) — число общежитий и число запросов соответственно.

В следующих m строках находятся запросы, каждый из которых задан в одном из следующих форматов:

  • «U aj bj» — объединение университетов;
  • «M cj dj» — объединение военкоматов;
  • «A xj» — заселение в университет xj;
  • «Z yj» — облава в военкомате yj;
  • «Q qj» — запрос количества человек в общежитии qj.
Все числа в запросах целые положительные и не превосходят n. Гарантируется, что на момент запроса университеты и военкоматы, фигурирующие в запросе, существуют.
Выходные данные

В i-й строке выведите ответ на i-й запрос количества человек в общежитии.

Примечание

Рассмотрим первый тестовый пример:

  • При первом запросе университету 1 принадлежит только общежитие номер 1, значит после запроса в общежитии 1 будет жить 1 студент.
  • После третьего запроса университету номер 1 принадлежат общежития 1 и 2.
  • Четвертый запрос увеличивает на 2 количество студентов, живущих в общежитиях 1 и 2, принадлежащих университету номер 1. После этого в первом общежитии живет 3 студента, а во втором — 2 студента.
  • При пятом запросе обнуляется количество студентов, живущих в общежитии номер 1, приписанном к военкомату номер 1.

B. Мишка и кубики

Бинарный поиск Структуры данных математика *1600 дп

Лимак — маленький мишка, который любит играть. Он строит башенки из кубиков, а потом рушит их.

Он возвёл n башен, расположенных в ряд, i-я башня сделана из hi одинаковых кубиков. (смотрите иллюстрацию к первому примеру).

Лимак повторит следующую операцию, пока конструкция не разрушится целиком.

Кубик называется внутренним, если у него есть все четыре соседа, то есть если каждая его сторона (левая, правая, верхняя или нижняя) примыкает к другому кубику или к полу. В противном случае, кубик считается граничным. За одну операцию Лимак одновременно разрушает все граничные кубики.

Лимак готов начинать. Ваша задача — посчитать, сколько операций ему будет нужно, чтобы уничтожить все кубики.

Входные данные

В первой строке записано единственное целое число n (1 ≤ n ≤ 105).

Во второй строке записано n целых чисел через пробел h1, h2, ..., hn (1 ≤ hi ≤ 109) — размеры башен.

Выходные данные

Выведите количество операций, необходимых для уничтожения всех башен.

Примечание

Приведенная ниже иллюстрация показывает все три операции для первого теста. Каждый раз граничные кубики окрашены красным.

После первой операции остается четыре кубика, а после второй операции остается только один. Этот последний кубик уничтожается в третьей операции.

E. Покраска ребер

Бинарный поиск Структуры данных *3300

Обратите внимание на нестандартное ограничение по памяти в этой задаче.

Дан неориентированный граф из n вершин и m ребер. Вершины пронумерованы целыми числами от 1 до n, рёбра нумеруются целыми числами от 1 до m. Каждое ребро может быть покрашено в один из k цветов, которые нумеруются целыми числами от 1 до k. Изначально ни одно ребро не покрашено ни в один из цветов.

Вам приходят запросы вида «Перекрасьте ребро номер ei в цвет ci». В любой момент времени граф, образованный ребрами одного цвета, должен быть двудольным. Если после перекраски это условие нарушится, то запрос считается некорректным и ребро ei сохраняет свой цвет. Иначе ребро ei перекрашивается в цвет ci, а запрос считается корректным.

Напомним, что граф называется двудольным, если множество его вершин можно разбить на две части так, чтобы ни одно ребро не соединяло вершины из одной и той же части.

Например, пусть дан граф-треугольник, то есть граф с тремя вершинами и ребрами (1, 2), (2, 3) и (3, 1). Пусть первые два ребра покрашены в цвет 1, а третье — в цвет 2. Тогда запрос «перекрасить третье ребро в цвет 1» будет некорректным, потому что после его исполнения граф, образованный ребрами цвета 1, не будет являться двудольным. С другой стороны, возможно перекрасить второе ребро в цвет 2.

Вам поступает q запросов. Для каждого запроса вы должны либо применить его, и сообщить, что запрос корректен, либо сообщить, что запрос некорректен.

Входные данные

В первой строке даны числа n, m, k, q (2 ≤ n ≤ 5·105, 1 ≤ m, q ≤ 5·105, 1 ≤ k ≤ 50) — число вершин, число ребер, количество цветов и количество запросов.

Далее даны m ребер графа в формате ai, bi (1 ≤ ai, bi ≤ n).

Далее даны q запросов в формате ei, ci (1 ≤ ei ≤ m, 1 ≤ ci ≤ k).

Гарантируется, что в графе нет кратных ребер и петель.

Выходные данные

Для каждого запроса выведите «YES» (без кавычек), если он корректен, либо «NO» (без кавычек), если этот запрос нарушит двудольность графа, образованного ребрами какого-либо цвета.

B. Кефа и компания

Бинарный поиск *1500 сортировки

Кефа хочет отметить свой первый крупный заработок походом в ресторан. Однако ему нужна компания.

У Кефы есть n друзей, каждый из которых согласится пойти в ресторан, если Кефа попросит. Каждый друг характеризуется количеством денег у него и степенью дружбы с Кефой. Наш попугай не хочет, чтобы какой-то друг почувствовал себя бедным по сравнению с кем-то другим в компании (Кефа не в счет). Друг чувствует себя бедным, если в компании есть кто-то, у кого денег хотя бы на d единиц больше, чем у него. Также Кефа хочет, чтобы суммарная степень дружбы членов компании была максимальной. Помогите ему пригласить оптимальную компанию!

Входные данные

Первая строка ввода содержит два целых числа, разделенных пробелом, n и d (1 ≤ n ≤ 105, ) — количество друзей у Кефы и минимальная разница денег, приводящая к тому, что человек чувствует себя бедным.

В последующих n строках даны описания друзей Кефы, в (i + 1)-й строке содержится описание i-го друга вида mi, si (0 ≤ mi, si ≤ 109) — количество денег и степень дружбы с Кефой соответственно.

Выходные данные

Выведите максимальную суммарную степень дружбы, которой можно добиться.

Примечание

В первом тесте из условия выгоднее всего сформировать компанию только из второго друга. При всех других вариантах суммарная степень дружбы будет меньше.

Во втором тесте из условия мы можем взять всех друзей.

D. Duff в мафии

Бинарный поиск 2-sat *3100

Duff — одна из глав мафии в своей стране Andarz Gu. В Andarz Gu n городов (пронумерованных от 1 до n), соединенных m двусторонними дорогами (пронумерованными от 1 до m).

У каждой дороги есть два специальных параметра — время её разрушения и цвет. i-я дорога соединяет города vi и ui, её цвет — ci, а время разрушения — ti.

Мафия хочет разрушить паросочетание в Andarz Gu. Паросочетание — это подмножество дорог, такое, что никакие две дороги в этом подмножестве не имеют один и тот же город в качестве конца. Дороги можно разрушать параллельно, то есть, время полного разрушения набора дорог определяется как максимум среди времен разрушения всех дорог в наборе.

Имеются два условия:

  1. Оставшиеся дороги образуют в правильную раскраску.
  2. Время разрушения этого паросочетания как можно меньше.

После разрушения паросочетания оставшиеся дороги образуют правльную раскраску тогда и только тогда, когда никакие две дороги одного и того же цвета не имеют один и тот же город в качестве конца. Иными словами, для каждого из оставшихся цветов рёбра с этим цветом должны формировать паросочетание.

У мафии нет программиста в штате. Поэтому Duff попросила вас помочь ей. Пожалуйста, помогите ей и определите, какое паросочетание надо уничтожить, чтобы удовлетворить вышеописанным условиям, либо скажите, что это невозможно.

Входные данные

В первой строке входа записаны два целых числа, n и m (2 ≤ n ≤ 5 × 104 и 1 ≤ m ≤ 5 × 104), количество городов и количство дорог в стране.

В следующих m естроках записаны дороги. В i-й из них записано четыре целых числа vi, ui, ci и ti (1 ≤ vi, ui ≤ n, vi ≠ ui и 1 ≤ ci, ti ≤ 109 для каждого 1 ≤ i ≤ m).

Выходные данные

В первой строке входа выведите "Yes" (без кавычек), если требуемое паросочетание существует, и "No" (без кавычек) в противном случае.

Если возможно достичь требуемого, то надо вывести два целых числа t и k на второй строке, минимальное время разрушения и количество дорог в паросочетании () соответстенно.

В третьей строке выведите k различных целых чисел — номера дорог искомого паросочетания. Номера могут следовать в любом порядке. Дороги нумеруются с единицы в порядке следования во входных данных.

Если возможных ответов несколько, разрешается вывести любой.

Примечание

Andarz Gu в первом тесте из условяи выглядит следующим образом:

Одним из решений является описанное в выходных данных — удалить зачёркнутые на рисунке дороги.

Во втором тесте из условия Andarz Gu выглядит следующим образом:

B. Чип и Дейл спешат на помощь

Бинарный поиск математика геометрия *2100

Команда пушистых спасателей сидела без дела в своём дупле, когда неожиданно поступил сигнал бедствия. В считанные мгновения все были на своих местах, и дирижабль бурундучков-спасателей отправился в путь.

Будем считать, что действие происходит на декартовой плоскости. База спасателей расположена в точке (x1, y1), а сигнал бедствия поступил из точки (x2, y2).

Благодаря инженерному искусству Гаечки, летательный аппарат спасателей может произвольное количество раз в любые моменты времени мгновенно изменить свою текущую скорость и направление движения. Единственное ограничение — величина скорости дирижабля относительно воздуха не может превосходить метров в секунду.

Разумеется, как настоящий спасатель, Гаечка хочет лететь так, чтобы оказаться на месте происшествия как можно быстрее. Дело осложняется тем, что в небе дует ветер, который влияет на перемещение дирижабля. Согласно прогнозу погоды, в ближайшие t секунд скорость ветра будет характеризоваться вектором (vx, vy), а по прошествии t секунд скорость ветра станет равна (wx, wy). Данные вектора определяют как направление ветра, так и его скорость. Формально, если дирижабль находится в точке (x, y), его собственная скорость относительно воздуха равна нулю и при этом дует ветер (ux, uy), то для любого неотрицательного вещественного числа , через секунд дирижабль окажется в точке с координатами .

Гаечка занята управлением дирижаблем, поэтому она попросила Чипа вычислить, как скоро они смогут быть на месте, с чем он легко справился. Однако Дейл убеждён, что Чип не справился вычислить ответ и назвал случайное значение, лишь бы не ударить в грязь лицом перед Гаечкой. Чтобы пристыдить Чипа, Дейл попросил вас посчитать правильный ответ.

Гарантируется, что скорость ветра в любой момент времени строго меньше максимально возможной скорости дирижабля относительно воздуха.

Входные данные

В первой строке ввода записаны четыре целых числа x1, y1, x2, y2 (|x1|,  |y1|,  |x2|,  |y2| ≤ 10 000) — координаты дупла спасателей и точки, из которой поступил сигнал бедствия.

Во второй строке записаны два целых числа и t (0 < v, t ≤ 1000), задающих соответственно максимальную скорость дирижабля бурундуков и момент времени, в который произойдёт перемена ветра, согласно прогнозу погоды.

Далее, по одной в строке записаны две пары целых чисел (vx, vy) и (wx, wy), описывающие ветер в первые t секунд и ветер, который будет дуть всё остальное время, соответственно. Гарантируется, что и .

Выходные данные

Выведите единственное число — минимальное время, через которое спасатели смогут оказаться в точке (x2, y2). Ваш ответ будет считаться правильным, если его абсолютная или относительная ошибка не будет превосходить 10 - 6.

А именно: пусть ваш ответ равен a, а ответ жюри — b. Проверяющая программа будет считать ваш ответ правильным, если .

E. BCPC

Бинарный поиск геометрия *2700

BCPC — аббревиатура для Byteforces Collegiate Programming Contest (соревнование по программированию для студентов Байтфорсес) и это самое известное и популярное соревнование в Байтфорсес.

BCPC — командное соревнование. Каждая команда состоит из тренера и трёх участников. Бленда является тренером студентов Битового Государственного Университета (БГУ), и она очень тщательно подходит к вопросу формирования главной команды.

От БГУ в соревнованиях участвует n студентов, пронумерованных числами от 1 до n. Поскольку все студенты БГУ бесконечно умны, то для Бленды важны только их скорость чтения и скорость написания кода. После проведения серии измерений, Бленда выяснила, что у i-го студента скорость чтения равна ri (слов в минуту), а скорость написания кода равна wi (символов в минуту). Как следствие того, что все студенты БГУ очень умны, измеренные скорости зачастую очень большие и Бленда решила вычесть некоторую величину c из всех значений скорости чтения и некоторую величину d из всех значений скорости письма. Таким образом, она рассматривает ri' = ri - c и wi' = wi - d.

Будем говорить, что студент i превосходит студента j тогда и только тогда, когда riwj' > rjwi'. Бленде не нравится, когда в команде есть конфликты, так что она думает, что команда, состоящая из трех различных студентов i, j и k является хорошей, если студент i превосходит студента j, студент j превосходит студента k, а студент k превосходит студента i. Да, отношение превосходства не является транзитивным, как это часто бывает в реальной жизни.

Так как Бленда занята подготовкой тренировочных сборов в Кодфорсес, вам дано задание посчитать количество различных хороших команд в БГУ. Две команды считаются различными, если есть хотя бы один студент, присутствующий в одной команде, но не присутствующий в другой. Другими словами, две команды различны, если различны множества студентов, формирующих эти команды.

Входные данные

В первой строке входных данных записаны три целых числа n, c и d (3 ≤ n ≤ 345678, 1 ≤ c, d ≤ 109). Они обозначают количество студентов, из которых Бленда может собирать команду, значение, вычитаемое из всех скоростей чтения, и значение, вычитаемое из всех скоростей письма, соответственно.

В каждой из следующих n строк записано два целых числа ri и wi (0 < ri, wi ≤ 109, |ri - c| + |wi - d| > 0). Гарантируется, что любые два студента отличаются хотя бы одним параметром, то есть, для любых i ≠ j выполняется условие |ri - rj| + |wi - wj| > 0.

Выходные данные

Выведите количество различных команд БГУ, являющихся хорошими по определению Бленды.

Примечание

В первом примере хорошие следующие команды: (i = 1, j = 2, k = 3), (i = 2, j = 5, k = 1), (i = 1, j = 4, k = 3), (i = 5, j = 1, k = 4).

Обратите внимание, что, например, команда (i = 3, j = 1, k = 2) также хорошая, но она считается совпадающей с командой (i = 1, j = 2, k = 3).

B. Максим и велосипед

Бинарный поиск геометрия *2500

Уже несколько месяцев Максим приезжает на работу исключительно на своём любимом велосипеде. И вот недавно он решил, что готов принимать участие в соревнованиях велосипедистов.

Он знает, что в этом году пройдут n соревнований. В ходе i-го соревнования участник должен будет максимально быстро проехать прямой участок от точки si до точки fi (si < fi).

Измерение времени на соревнованиях — сложный процесс, связанный с правильным использованием датчика времени. Представим переднее колесо велосипеда участника как окружность радиуса r. Пренебрежём толщиной шины, размерами датчика, проскальзыванием колеса и другими физическими эффектами. Датчик времени помещается на обод колеса, то есть на какую-то фиксированную точку на окружности радиуса r. После этого датчик движется так же, как и выбранная точка на окружности.

Для старта каждый участник может выбрать любую точку bi, такую что его велосипед полностью находится за стартовой чертой, то есть bi < si - r. После этого он начинает движение, мгновенно разгоняется до своей максимальной скорости, и в момент tsi, когда координата датчика совпадает с координатой старта, датчик начинает отсчёт времени. Велосипедист проезжает всю дистанцию со своей максимальной скоростью, и как только координата датчика совпадёт с координатой финиша (момент времени tfi), датчик сработает ещё раз и зафиксирует итоговое время. Таким образом, датчик зарегистрирует, что участник проехал дистанцию за время tfi - tsi.

Максим силён в математике и догадывается, что итоговый результат зависит не только от его максимальной скорости v, но и от выбора начальной точки bi. Теперь Максим просит вас для каждого из n соревнований определить минимальное время, за которое он сможет проехать дистанцию от si до fi. Радиус колеса велосипеда равен r.

Входные данные

В первой строке задано три целых числа n, r и v (1 ≤ n ≤ 100 000, 1 ≤ r, v ≤ 109) — количество соревнований, радиус переднего колеса велосипеда Максима и максимальная скорость, которую он может развить, соответственно.

В следующих n строках содержатся описания соревнований. В i-й строке содержится два целых числа si и fi (1 ≤ si < fi ≤ 109) — координата старта и координата финиша i-го соревнования соответственно.

Выходные данные

Выведите n вещественных чисел, i-е число должно равняться минимальному времени, за которое Максим сможет проехать дистанцию i-го соревнования. Ваш ответ будет считаться правильным, если его абсолютная или относительная ошибка не будет превосходить 10 - 6.

А именно: пусть ваш ответ равен a, а ответ жюри — b. Проверяющая программа будет считать ваш ответ правильным, если .

B. Паша и телефон

Бинарный поиск математика *1600

Паша совсем недавно купил себе новый телефон jPager и начал вносить в него номера телефонов своих друзей. Каждый номер состоит ровно из n цифр.

Также у Паши есть число k и две последовательности длины n / k (n делится на k) a1, a2, ..., an / k и b1, b2, ..., bn / k. Разобьем телефонный номер на блоки длины k. Первый блок будет образован цифрами из телефонного номера, находящимися на позициях 1, 2,..., k, второй блок будет образован цифрами из телефонного номера, стоящими на позициях k + 1, k + 2, ..., k и так далее. Паша считает телефонный номер хорошим, если i-й блок, представленный в виде целого числа, делится нацело на ai, и при этом этот блок не начинается с цифры bi.

Чтобы представить блок длины k в виде целого числа, выпишем его отдельно как последовательность c1, c2,...,ck. Теперь вычислим значение выражения c1·10k - 1 + c2·10k - 2 + ... + ck.

Паша просит вас посчитать количество хороших телефонных номеров длины n для данных k, ai и bi. Поскольку это число может быть большим, выведите остаток от деления его на 109 + 7.

Входные данные

В первой строке входных данных записаны два числа n и k (1 ≤ n ≤ 100 000, 1 ≤ k ≤ min(n, 9)) — длина всех телефонных номеров и длина каждого блока соответственно. Гарантируется, что n делится нацело на k.

Во второй строке входных данных следует через пробел n / k целых положительных чисел —последовательность a1, a2, ..., an / k (1 ≤ ai < 10k).

В третьей строке входных данных следует через пробел n / k целых положительных чисел — последовательность b1, b2, ..., bn / k (0 ≤ bi ≤ 9).

Выходные данные

Выведите целое число — количество номеров длины n, являющихся, по мнению Паши, хорошими.

Примечание

В первом тестовом примере хорошими телефонными номерами являются 000000, 000098, 005600, 005698, 380000, 380098, 385600, 385698.

E. Экспозиция

Бинарный поиск Деревья Структуры данных *1900 снм

До пятидесятилетия известного писателя Берляева осталось несколько дней. По этому поводу в местной библиотеке решили организовать выставку сочинений известного фантаста. Также было решено, что необходимо выбрать все книги, изданные автором за какой-то интервал времени. Понятно, что если книги будут очень сильно различаться по размерам, то посетителям это не понравится. Поэтому, посовещавшись, организаторы пришли к мнению, что высота самой низкой и самой высокой книг, отобранных для экспозиции, должны отличаться не более чем на k миллиметров.

В библиотеке имеется n томов произведений Берляева, расположенных в хронологическом порядке выпуска в свет. Про каждую книгу известна ее высота в миллиметрах hi. Поскольку юбиляр является очень уважаемым в городе человеком, то организаторы хотят представить на выставке наибольшее число его книг, а также узнать, какие при этом периоды творчества писателя они смогут охватить. Помогите организаторам справиться с этой нелегкой задачей.

Входные данные

В первой строке входных данных записаны через пробел два целых числа n (1 ≤ n ≤ 105) и k (0 ≤ k ≤ 106) — количество произведений писателя Берляева, имеющихся в библиотеке, и максимальная высота, на которую могут отличаться самая низкая и самая высокая книги в экспозиции. Во второй строке содержится n целых чисел, записанных через пробел. Каждое число hi (1 ≤ hi ≤ 106) означает высоту i-ой книги в миллиметрах.

Выходные данные

В первую строку выходных данных выведите через пробел два числа a и b. Число a означает наибольшее количество книг, которое организаторы смогут представить на выставке, а число b — количество интервалов времени таких, что в каждый из них писатель Берляев издал a книг, и самая высокая из этих книг превосходит самую низкую не более чем на k миллиметров.

В последующие b строк выведите по два целых числа через пробел — номер первого и последнего тома каждого из искомых периодов творчества Берляева.

B. Запросы о количестве не превосходящих элементов

Бинарный поиск Структуры данных сортировки *1300

Заданы два массива чисел a и b. Для каждого элемента второго массива bj нужно найти количество элементов в массиве a, которые меньше либо равны bj.

Входные данные

В первой строке находятся два целых числа n, m (1 ≤ n, m ≤ 2·105) — размеры массивов a и b.

Во второй строке находятся n целых чисел — элементы массива a ( - 109 ≤ ai ≤ 109).

В третьей строке находятся m целых чисел — элементы массива b ( - 109 ≤ bj ≤ 109).

Выходные данные

Выведите m чисел, разделенных пробелами: j-е из них равно количеству таких элементов массива a, которые меньше или равны числа bj.

B. Коровам - колокольчиков!

Бинарный поиск *1400 жадные алгоритмы

Кевин Сан хочет переместить свою драгоценную коллекцию из n колокольчиков (конечно же коровьих) из Мухоглинска в Эксетер, а там — представьте себе! — на полях растёт не кукуруза, а настоящая трава. Для переезда ему надо упаковать все свои колокольчики в k коробок фиксированного размера. Чтобы коллекция не пострадала в ходе перевозки, Кевин не собирается класть в одну коробку более двух колокольчиков. Так как Кевин хочет минимизировать расходы, требуется найти минимальный размер коробок, которые он может использовать для упаковки всей своей коллекции.

Кевин — дотошный коллекционер, и он знает, что размер i-го колокольчика в его коллекции равен целому числу si. Кевин хранит колокольчики упорядоченными, а именно si - 1 ≤ si для всех i > 1. Также Кевин великолепно упаковывает вещи, поэтому он может поместить один или два колокольчика в коробку размера s тогда и только тогда, когда сумма их размеров не превышает s. Используя информацию о коллекции Кевина, найдите минимальное s, такое что Кевин сможет упаковать все свои n колокольчиков в k коробок размера s.

Входные данные

В первой строке входных данных находятся два числа n и k (1 ≤ n ≤ 2·k ≤ 100 000), обозначающие количество колокольчиков и количество коробок соответственно.

В следующей строке записано n целых чисел s1, s2, ..., sn (1 ≤ si ≤ 1 000 000) — размеры колокольчиков в коллекции Кевина. Гарантируется, что si следуют в порядке неубывания.

Выходные данные

Выведите единственное целое число — минимальное s, такое что Кевин сможет упаковать все свои n колокольчиков в k коробок размера s.

Примечание

В первом примере Кевину придётся упаковать оба колокольчика в одну коробку.

Во втором примере Кевин может упаковать колокольчики следующим образом: {2, 3}, {5} и {9}.

В третьем примере оптимальное решение следующее: {3, 5} и {7}.

A. Цепная реакция

Бинарный поиск *1600 дп

На различных позициях вдоль числовой прямой расположены n маяков. Координата i-го маяка равняется ai, а уровень мощности — bi. Когда i-й маяк активируется, он уничтожает все маяки слева от него (направление уменьшения координат) на расстоянии bi включительно. Сам маяк при этом не уничтожается. Сайтама последовательно активирует все маяки друг за другом справа налево, при этом если маяк разрушен, то его активировать нельзя.

Сайтама хочет, чтобы Генос добавил один маяк любой мощности на любую позицию строго правее всех существующих маяков. При этом необходимо, чтобы в результате процесса последовательной активации уничтожалось как можно меньше маяков. Обратите внимание, что новый маяк будет расположен так, что обязательно будет активирован первым. Помогите Геносу: определите, какое минимальное количество маяков может быть уничтожено.

Входные данные

В первой строке входных данных записано единственное число n (1 ≤ n ≤ 100 000) — количество маяков.

В каждой из следующих n строк записано по два целых числа ai и bi (0 ≤ ai ≤ 1 000 000, 1 ≤ bi ≤ 1 000 000) — координата и уровень мощности соответствующего маяка. Никакие два маяка не будут расположены в одной точке, то есть ai ≠ aj if i ≠ j.

Выходные данные

Выведите единственное число — минимально возможное количество маяков, которые могут быть уничтожены.

Примечание

В первом примере минимальное количество уничтожаемых маяков равняется 1. Один из способов получить такой ответ — поместить в позицию 9 маяк с уровнем мощности 2.

Во втором примере минимальное количество уничтожаемых маяков равно 3. Одним из способов получить такой ответ является поместить в позицию 1337 маяк с уровнем мощности 42.

E. Сумма пересечений

Бинарный поиск геометрия *3300

У Геноса есть n различных прямых на Декартовой плоскости. Обозначим как список всех точек пересечения данных прямых. Каждая точка появляется в списке столько раз, сколько пар прямых в ней пересекаются. Порядок точек в списке значения не имеет.

Для некоторой точки (p, q) обозначим как список расстояний от соответствующих точек в до точки (p, q). Под расстоянием здесь имеется в виду Евклидово расстояние. На всякий случай напомним, что Евклидово расстояние между двумя точками (x1, y1) и (x2, y2) равно .

Теперь Геносу дана точка (p, q) и положительное целое число m. Его просят найти сумму m минимальных элементов в . Не следует рассматривать только уникальные элементы, то есть каждое число может войти в ответ столько раз, сколько оно встречается в . Генос боится задач Div1 E, поэтому попросил вас помочь ему.

Входные данные

В первой строке входных данных записано единственное число n (2 ≤ n ≤ 50 000) — количество прямых.

Вторая строка содержит три целых числа x, y и m (|x|, |y| ≤ 1 000 000, ) — закодированные координаты точки запроса, и целое число m, описанное в условии выше. Точка запроса (p, q) равна . Иными словами, разделите x и y на 1000, чтобы получить вещественную точку запроса. означает длину списка , при этом гарантируется, что .

В каждой из следующих n строк записано по два целых числа ai и bi (|ai|, |bi| ≤ 1 000 000) — параметры прямой . Гарантируется, что никакие две прямые не совпадают, то есть (ai, bi) ≠ (aj, bj) if i ≠ j.

Выходные данные

Выведите единственное вещественное число — сумму m минимальных элементов . Ваш ответ будет считаться правильным, если его абсолютная или относительная ошибка не будет превосходить 10 - 6.

А именно: пусть ваш ответ равен a, а ответ жюри — b. Проверяющая программа будет считать ваш ответ правильным, если .

Примечание

В первом примере три самые близкие к (1, 1) точки пересечения прямых имеют расстояния и .

Во втором примере две прямые y = 1000x - 1000 и пересекаются в точке (2000000, 1999999000). Расстояние от этой точки до ( - 1000,  - 1000) равно .

D. Гаджеты за доллары и фунты

Бинарный поиск *2000 жадные алгоритмы

Нура хочет купить k гаджетов. У неё есть s бурлей. В магазине каждый из m гаджетов продается либо за доллары, либо за фунты. Таким образом, каждый гаджет характеризуется типом валюты (и стоимостью в этой валюте), за которую он продается. Тип валюты и цена гаджета в этой валюте не меняются со временем.

Покупки Нура может совершать в течение n дней. Для каждого дня известен курс доллара и курс фунта, то есть известна стоимость конвертации бурлей в доллары и фунты.

Каждый день (от 1 до n) Нура может купить любые из гаджетов по текущему курсу. За день можно покупать произвольное количество гаджетов. Каждый гаджет можно купить не более одного раза за все n дней.

Помогите Нуре определить номер наименьшего дня, к концу которого у неё будет k гаджетов. Нура всегда расплачивается бурлями, которые конвертируются по курсу дня покупки. Нура не может купить доллары или фунты, она всегда хранит у себя только бурли. Гаджеты пронумерованы целыми числами от 1 до m в порядке их появления во входных данных.

Входные данные

В первой строке находятся четыре целых числа n, m, k, s (1 ≤ n ≤ 2·105, 1 ≤ k ≤ m ≤ 2·105, 1 ≤ s ≤ 109) — количество дней, общее количество гаджетов, количество гаджетов, которые хочет купить Нура и количество бурлей в распоряжении Нуры.

Во второй строке находятся n целых чисел ai (1 ≤ ai ≤ 106) — стоимость одного доллара в бурлях в i-й день.

В третьей строке находятся n целых чисел bi (1 ≤ bi ≤ 106) — стоимость одного фунта в бурлях в i-й день.

Далее в m строках находятся по два целых числа ti, ci (1 ≤ ti ≤ 2, 1 ≤ ci ≤ 106) — тип гаджета и его стоимость. Если тип гаджета равен 1, то он продается только за доллары и его стоимость указана в долларах. Если тип гаджета равен 2, то он продается только за фунты и его стоимость указана в фунтах.

Выходные данные

Если Нура не сможет купить k гаджетов, в единственной строке выведите число -1.

Если же покупка k гаджетов возможна, в первой строке выведите число d — номер наименьшего дня, к концу которого у Нуры будет k гаджетов. В следующих k строках выведите по два целых числа qi, di — номер гаджета и день в который гаджет был куплен. Все qi должны быть различны, di могут совпадать (то есть в один день Нура может купить несколько гаджетов). Дни пронумерованы от 1 до n. Пары qi, di можно выводить в любом порядке.

Если возможных способов купить гаджеты за минимальное количество дней d несколько, то выведите любой из них.

F. Новый год и уборка

Бинарный поиск реализация *2500

Лимак — белый медвежонок, которому родители сказали убраться в доме накануне Нового Года. Их дом можно представить как прямоугольную таблицу, состоящую из h рядов и w столбцов. Все клетки пустые, и по ним можно передвигаться.

Медвежонок маленький, и поэтому сам он не может убраться в доме. Вместо этого он собирается использовать робота-уборщика.

Робот-уборщик обладает встроенным шаблонов из n движений, определяемым строкой длины n. Одно движение (один символ) передвигает робота в одну из смежных клеток. Каждый символ является одним из следующих четырёх: 'U' (движение вверх), 'D' (движение вниз), 'L' (движение влево), 'R' (движение вправо). На каждое движение требуется ровно одна минута.

Лимак помещает робота-уборщика в некоторую клетку таблицы и влючает. После этого робот повторяет свой шаблон движений, пока не упрётся в стену (одну из четырех границ дома). Когда робот упрётся в стену, он выключается, после чего его можно снова поставить в какую-нибудь клетку и включить.

Лимак не уверен, будет ли достаточно поместить робота-уборщика в одной клетке, поэтому собирается запускать робота h·w раз, по одному разу из каждой клетки. Вполне может оказаться, что какие-то клетки были почищены более одного раза, но кому какое дело?

Лимак хочет знать, сколько времени уйдёт на уборку по такому алгоритму. Посчитайте необходимое количество минут по модулю 109 + 7. Также возможно, что робот-уборщик никогда не остановится, тогда выведите "-1" (без кавычек).

Считайте, что Лимак мгновенно ставит робота в нужную клетку и включает. Ход робота, на котором он упирается в стену, также занимает одну минуту и учитывается в ответе. Для уточнения посмотрите в комментарии к примерам.

Входные данные

В первой строке входных данных записано три целых числа n, h и w (1 ≤ n, w, h ≤ 500 000) — длина встроенного шаблона, количество строк и столбцов в таблице, соответственно.

Во второй строке записана строка длины n — шаблон движения из n ходов. Каждый символ — одна из следующих заглавных букв: 'U', 'D', 'L', 'R'.

Выходные данные

Выведите единственную строку с ответом.

Если робот никогда не закончит уборку, то выведите "-1" (без кавычек). В противном случае выведите продолжительность уборки по модулю 109 + 7.

Примечание

В первом примере дом представляется табличкой из 10 строк и 2 столбцов. Если запустить робота в какой-либо клетке второго столбца, то он совершит ровно один ход (потратит на это одну минуту), в котором он ударится о стену, поскольку попробует пойти направо, но третьего столбца нет. Соответственно, начиная в первом столбце, робот сделает два хода. Итоговая продолжительность уборки составляет 10·1 + 10·2 = 30.

Во втором примере робот будет пытаться выполнять последовательность "RULRULRULR...". Например, если запустить его в самой левой клетке второго ряда, то он совершит ровно пять ходов, перед тем как остановится, потому что ударится в стену.

A. Петя и снегоуборочная машина

Бинарный поиск Тернарный поиск геометрия *1900

На новый год Пете подарили новую снегоуборочную машину. Конечно, Пете сразу захотелось её испытать. Прочитав инструкцию, он понял, что она работает не так, как обычные снегоуборочные машины. Для того чтобы она работала, нужно привязать её к некоторой точке, которую она не покрывает, после чего включить, и тогда она проедет по окружности вокруг этой точки и уберёт снег со всего своего пути.

Более формально, будем считать Петину машину многоугольником на плоскости. Тогда после включения она проедет круг вокруг некоторой точки, к которой Петя её привязал (эта точка находится строго снаружи многоугольника). Таким образом каждая точка внутри или на границе многоугольника пройдёт по окружности с центром в точке, к которой Петя привязал свою машину.

Петя решил привязать свою машину к точке P, и теперь ему интересно, какова площадь области, с которой машина уберёт снег. Помогите ему.

Входные данные

В первой строке входного файла даны три целых числа — количество вершин в многоугольнике n (3 ≤ n ≤ 100 000) и координаты точки P.

В следующих n строках даны по два целых числа — координаты вершин многоугольника в порядке обхода по или против часовой стрелки. Гарантируется, что никакие три подряд идущие точки многоугольника не лежат на одной прямой.

Все числа во входном файле целые, не превосходят по модулю 1 000 000.

Выходные данные

Выведите одно вещественное число — площадь области, которая будет очищена от снега. ответ на задачу с абсолютной или относительной погрешностью не более 10 - 6. Ваш ответ будет считаться правильным, если его абсолютная или относительная ошибка не будет превосходить 10 - 6.

А именно: пусть ваш ответ равен a, а ответ жюри — b. Проверяющая программа будет считать ваш ответ правильным, если .

Примечание

В первом примере из условия снег будет убран с этой территории:

B. Навыки

Бинарный поиск Перебор дп жадные алгоритмы сортировки *1900

Лёша играет в недавно вышедшую новую версию легендарной игры hacknet. В этой версии был добавлен механизм навыков. Теперь каждый игровой персонаж обладает ровно n навыками. Каждый навык представляется одним неотрицательным целым числом ai — текущим уровнем навыка. Все навыки имеют одинаковый максимальный уровень A.

Одновременно с навыками был введён всеобщий рейтинг всех игроков. Игроки ранжируются по так называемой Силе. Сила игрока считается как сумма следующих величин:

  • Количество навыков, которыми персонаж владеет в совершенстве (т.е. таких, что ai = A), умноженное на коэффициент cf.
  • Минимальный текущий уровень среди всех навыков (min ai), умноженный на коэффициент cm.

Сейчас у Лёши есть m хакнетианских денежных единиц, которые он готов потратить. Каждая денежная единица позволяет увеличить текущий уровень любого навыка на 1 (если его уровень еще не максимален). Помогите ему потратить деньги таким образом, чтобы достичь как можно большего уровня Силы.

Входные данные

В первой строке через пробел записаны пять целых чисел n, A, cf, cm и m (1 ≤ n ≤ 100 000, 1 ≤ A ≤ 109, 0 ≤ cf, cm ≤ 1000, 0 ≤ m ≤ 1015).

Во второй строке записано ровно n целых чисел ai (0 ≤ ai ≤ A), разделённых пробелами, — текущие уровни навыков.

Выходные данные

Сначала выведите максимальное значение Cилы, которое может получить персонаж.

Затем выведите n целых чисел — a'i (ai ≤ a'i ≤ A), уровни навыков, до которых следует развиться, чтобы достичь указанного значения Силы, при этом используя не более m денежных единиц. Если правильных ответов несколько — выведите любой.

Примечание

В первом тесте оптимальной стратегией является повышение второго навыка до его максимума, а остальных — на единицу.

Во втором тесте нужно увеличить уровни всех навыков до максимума.

E. Шестиугольники

Бинарный поиск математика реализация *2100

Айрат ищет идеальный код. Свои поиски он решил начать с бесконечного поля, замощённого шестиугольниками. Для удобства на поле задана система координат, посмотрите на рисунок, чтобы определить как вычисляются координаты шестиугольников.

Айрат обыскивает поле, стартовав с точки (0, 0) и идя по спирали (см. рисунок). Но иногда он забывает, в какой точке поля сейчас находится. Помогите Айрату найтись — определите координаты шестиугольника, на котором стоит Айрат после n ходов.

Входные данные

Во входных данных записано единственное целое число n (0 ≤ n ≤ 1018) — число ходов, сделанных Айратом.

Выходные данные

Выведите два целых числа x и y — координаты Айрата через n ходов.

D. Наидлиннейший k-хороший подотрезок

Бинарный поиск Структуры данных *1600

Задан массив из n целых чисел a. Подотрезком будем называть последовательность из одного и более подряд идущих элементов массива. Подотрезок будем называть k-хорошим, если в нём не более k различных чисел.

Найдите любой k-хороший подотрезок наибольшей длины.

Рекомендуется для ввода и вывода данных использовать функции scanf, printf в языке C++, поскольку они работают значительно быстрее потоков cin, cout. Аналогично, рекомендуется использовать классы BufferedReader, PrintWriter вместо Scanner, System.out в языке Java.

Входные данные

В первой строке находится пара целых чисел n, k (1 ≤ k ≤ n ≤ 5·105) — количество элементов в массиве и параметр k.

Во второй строке находятся n целых чисел ai (0 ≤ ai ≤ 106) — элементы массива a.

Выходные данные

Выведите два целых числа l, r (l ≤ r) — номер самого левого и самого правого элементов k-хорошего подотрезка наибольшей длины. Если существует несколько хороших подотрезков наибольшей длины разрешается вывести любой из них. Элементы массива пронумерованы от 1 до n слева направо.

B. Тындекс.Бром

Бинарный поиск реализация *1800

И снова Тындекс догоняет и перегоняет своих конкурентов! В ответ на выход Жужль Хром явился новый браузер — Тындекс.Бром!

С каждым днём растёт популярность нового браузера. И дело даже не в том, что в него встроен Тындекс.Бар, который, после покупки Тындекс.Бутылки и подключения её к USB-порту, автоматически наполняет тару прекрасным коньяком 1664 года; а благодаря продуманному взаимодействию с пользователем.

Возьмём, например, систему автоматического исправления адреса. Вы ввели codehorses вместо codeforces? Унылый Жужль Хром уныло скажет, мол, нет такого адреса. В то же время Тындекс.Бром автоматически подберёт ближайший адрес и отправит вас именно туда. Гениально!

Как же работает эта замечательная система? Очень просто! Для каждого потенциального адреса вычисляется функция ошибки F по следующим правилам:

  • для каждой буквы ci из потенциального адреса c находится ближайшая позиция j этой же буквы во введенном пользователем адресе s. К F прибавляется модуль разности этих позиций |i - j|. То есть для каждого i (1 ≤ i ≤ |c|) позиция j выбирается таким образом, что ci = sj, а |i - j| минимально.
  • если такой буквы ci во введенном пользователем адресе нет, то к F прибавляется длина потенциального адреса |c|

После вычисления значений функции ошибки для всех потенциальных адресов выбирается наиболее подходящий.

Для того чтобы лучше разобраться в особенностях описанного выше способа, рекомендуется реализовать алгоритм вычисления функции F для заданного пользователем адреса и некоторого набора потенциальных адресов. Дерзайте!

Входные данные

В первой строке дано два целых числа n и k (1 ≤ n ≤ 105, 1 ≤ k ≤ 105) — количество потенциальных адресов и длина введённого пользователем адреса. В следующей строке записано k строчных латинских букв — введённый пользователем адрес s. В каждой последующей i-ой (1 ≤ i ≤ n) строке дана непустая последовательность из строчных латинских букв — собственно потенциальный адрес. Гарантируется, что суммарная длина всех строк не превышает 2·105.

Выходные данные

В каждой из n строк выходного файла выведите одно число: значение функции ошибки при выборе текущего потенциального адреса.

Пожалуйста, не используйте спецификатор %lld для чтения или записи 64-х битовых чисел на С++. Рекомендуется использовать поток cout (также вы можете использовать спецификатор %I64d).

D. Профессор GukiZ и два массива

Бинарный поиск *2200

У профессора GukiZ есть два массива целых чисел a и b. Профессор хочет сделать так, чтобы сумма элементов массива a sa была как можно ближе к сумме элементов массива b sb, то есть он хочет минимизировать величину v = |sa - sb|.

За одну операцию профессор может поменять местами любой элемент массива a на любой элемент массива b. Например, если массив a содержит элементы [5, 1, 3, 2, 4], а массив b содержит элементы [3, 3, 2], то профессор может поменять число 5 из массива a на число 2 из массива b и получить новый массив a [2, 1, 3, 2, 4] и новый массив b [3, 3, 5].

Профессор не хочет сильно менять массивы, поэтому он сделает не более двух операций. Вам требуется определить наименьшее значение v, а также найти любую последовательность из не более двух операций, приводящую к такому значению v.

Входные данные

В первой строке находится целое число n (1 ≤ n ≤ 2000) — количество элементов в массиве a.

Во второй строке находятся n целых ai ( - 109 ≤ ai ≤ 109) — элементы массива a.

В третьей строке находится целое число m (1 ≤ m ≤ 2000) — количество элементов в массиве b.

В четвёртой строке находятся m целых bj ( - 109 ≤ bj ≤ 109) — элементы массива b.

Выходные данные

В первой строке выведите наименьшую разность v = |sa - sb|, которую можно получить за не более чем две операции.

Во второй строке выведите количество операций k (0 ≤ k ≤ 2).

Далее в k строках выведите по два целых числа xp, yp (1 ≤ xp ≤ n, 1 ≤ yp ≤ m) — номер элемента в массиве a и номер элемента в массиве b при p-й операции.

Если существует несколько оптимальных решений, выведите любое из них. Операции нужно выводить в порядке, в котором профессор делал их.

C. Электрические заряды

Бинарный поиск дп *2900

Программист Саня учится в Московском физико-техническом институте (МФТИ), и для получения зачета ему нужно сдать лабораторную работу.

Лабораторная установка представляет из себя плоскость с отмеченными на ней стандартными осями координат. Физики из МФТИ зарядили оси большими электрическими зарядами: ось X положительно, а ось Y отрицательно.

Опытный лаборант отметил на этой плоскости n точек с целыми координатами (xi, yi) и остановил время. Саня, используя «атомный пинцет», должен поместить в эти точки элементарные частицы. В его распоряжении есть неограниченное число электронов (отрицательно заряженных элементарных частиц) и протонов (положительно заряженных элементарных частиц). В каждую отмеченную точку он может поставить либо электрон, либо протон. После того как все отмеченные точки будут заняты, время снова пойдет, и частицы придут в движение, а через некоторое время стабилизируются в состоянии равновесия. Задача лабораторной работы — расставить частицы так, чтобы получить как можно более компактное состояние равновесия, а именно состояние c минимальным диаметром (максимальным расстоянием между парами точек множества).

Поскольку Саня программист, то он наивно полагает, что в результате все частицы просто «упадут» в свои проекции на соответствующие оси: электроны на ось X, а протоны на ось Y. Поскольку мы тоже программисты, будем придерживаться Саниной модели, то есть после включения времени частица из точки (x, y) попадёт в точку (x, 0), если это электрон, и в точку (0, y), если это протон.

Поскольку в лаборатории высокий радиационный фон, а Саня заботится о своем ноутбуке, он не взял его с собой и теперь не может написать программу, вычисляющую минимальный возможный диаметр итогового распределения частиц. Поэтому вам придётся сделать это за него.

В качестве ответа выведите квадрат минимального возможного диаметра множества.

Входные данные

В первой строке входных данных записано единственное целое число n (1 ≤ n ≤ 100 000) — количество точек.

Каждая из последующих n строк содержит два целых числа xi и yi ( - 108 ≤ xi, yi ≤ 108) — координаты i-й точки. Гарантируется, что никакие две точки не совпадают.

Выходные данные

Выведите одно целое число — квадрат минимального возможного диаметра множества, после того как Вася расставит в заданные точки электроны и протоны и лаборант включит время.

Примечание

В первом примере Саня помещает во все точки электроны, и все частицы в итоге попадают в одну точку (1, 0).

Во втором примере Саня помещает в точку (1, 10) электрон, а в точку (10, 1) — протон. В результате получается множество из двух точек (1, 0) и (0, 1), которое имеет диаметр .

E. Простая асимметрия

Бинарный поиск Тернарный поиск математика *2400

Назовём простой асимметрией набора чисел разность (не модуль разности) между средним значением и медианой. Вам дан список из n чисел, необязательно различных. Требуется выбрать какое-то непустое подмножество этих чисел (возможны повторения) с максимальным значением простой асимметрии.

Средним значением набора чисел является среднее арифметическое всех его элементов. Медианой набора чисел назовём средний элемент, если набор отсортирован. Для наборов чётного размера медианой будем называть среднее арифметическое двух средних элементов при сортировке.

Входные данные

В первой строке входных данных записано число n (1 ≤ n ≤ 200 000) — количество чисел в наборе.

Во второй строке записано n целых чисел xi (0 ≤ xi ≤ 1 000 000) — элементы набора.

Выходные данные

В первой строке выведите число k (1 ≤ k ≤ n) — размер подмножества.

Во второй строке выведите k чисел — элементы выбранного подмножества в любом порядке.

Если оптимальных ответов несколько, то разрешается вывести любой.

Примечание

В первом примере оптимальным подмножеством является со средним значением 5, медианой 2 и значением простой асимметрии 5 - 2 = 3.

Во втором примере оптимальным подмножеством является . Обратите внимание, что разрешены одинаковые элементы.

В последнем примере у любого подмножества среднее значение равно медиане, поэтому максимальная простая асимметрия равна 0.

D. Тестирование дерева

Бинарный поиск Деревья дп *2600 поиск в глубину и подобное жадные алгоритмы графы

На уроке информатики Якоб построил модель дерева из шариков и палочек. Модель соответствует некоторому дереву, состоящему из n вершин. На создание i-го шарика Якоб потратил ai минут.

Учительница будет оценивать качество модели по количеству усилий, потраченных Якобом на создание шариков. У неё нет времени рассматривать их все, поэтому она посмотрит только на k первых шариков в порядке DFS-обхода дерева. Оценкой Якоба будет минимальное ai среди k рассмотренных шаров.

У Якоба уже не хватит времени переделать модель, но он может сам выбрать корневую вершину, из которой учительница начнёт обход. Более того, для каждой вершины Якоб может переупорядочить список её соседей как захочет. Помогите Якобу определить, какую максимальную оценку он может получить.

Порядок DFS-обхода — это последовательность номеров вершин, выписанная рекурсивной процедурой DFS. Будучи вызванной от вершины v, процедура делает следующее:

  1. Напечатать v.
  2. Пройтись по списку соседей вершины v и вызвать процедуру DFS от всех из них по очереди. Не вызывать процедуру DFS от вершины u, если мы пришли в вершину v непосредственно из u.
Входные данные

В первой строке входных данных записаны два положительных целых числа n и k (2 ≤ n ≤ 200 000, 1 ≤ k ≤ n) — количество шариков в составленном Якобом дереве и количество шариков, на которые посмотрит учительница, соответственно.

Во второй строке записаны n целых чисел ai (1 ≤ ai ≤ 1 000 000), i-е из которых соответствует количеству времени, потраченному Якобом на i-ю вершину.

Далее следует n - 1 строка, описывающая дерево. В каждой из них записаны два целых числа ui и vi (1 ≤ ui, vi ≤ n) — индексы вершин, соединённых i-м ребром.

Выходные данные

Выведите одно целое число — максимальную оценку, которую может получить Якоб, если правильно выберет корневую вершину и переупорядочит списки соседей.

Примечание

В первом примере Якоб может назначить корнем вершину 2 и переупорядочить список её соседей следующим образом: 4, 1, 5. В результате этого порядок DFS-обхода станет 2, 4, 1, 3, 5, минимальное значение ai среди первых трёх вершин равняется 3.

Во втором примере любой порядок обхода будет содержать вершину 1 на первом или втором месте, поэтому Якоб не может получить оценку больше чем 1.

E. Финансирование стартапа

Бинарный поиск Структуры данных Теория вероятностей Конструктив *2400

Стартап, связанный с торговлей в интернете, просит инвесторов о финансировании. Он работает уже n недель, и у него даже есть сайт!

Для каждой недели менеджеры стартапа знают количество уникальных посетителей vi и доход ci. Чтобы оценить потенциал стартапа в промежутке с недели l по неделю r включительно, инвесторы используют минимум из максимального количества посетителей, умноженного на 100, и минимального дохода в течение этого промежутка времени. Формально:

Стоит честно заметить, что инвесторы понятия не имеют, как эффективно оценить стартап, поэтому они выберут k случайных различных недель в качестве li и дадут эти числа менеджерам стартапа. Для каждого li те выберут некоторое ri ≥ li и сообщат инвесторам максимальное количество посетителей и минимальный доход в течение соответствующего периода с li по ri.

Затем инвесторы вычислят потенциал стартапа для каждого из данных промежутков времени и выберут минимальное значение p(li, ri) в качестве итоговой оценки потенциала стартапа. Предполагается, что менеджеры стартапа всегда оптимально выбирают значения ri для данных li, то есть таким образом чтобы максимизировать итоговую оценку стартапа, чему равняется математическое ожидание этой величины?

Входные данные

В первой строке входных данных записаны два числа n и k (1 ≤ k ≤ n ≤ 1 000 000).

Во второй строке записаны n целых чисел vi (1 ≤ vi ≤ 107) — количество уникальных посетителей за каждую неделю.

В третьей строке записано n целых чисел ci (1 ≤ ci ≤ 107) — доход стартапа за каждую неделю.

Выходные данные

Выведите единственное вещественное число — математическое ожидание итоговой оценки стартапа. Ваш ответ будет считаться правильным, если его абсолютная или относительная ошибка не будет превосходить 10 - 6.

А именно: пусть ваш ответ равен a, а ответ жюри — b. Проверяющая программа будет считать ваш ответ правильным, если .

Примечание

Рассмотрим первый пример.

Если инвесторы спросят про li = 1, менеджеры стартапа выберут ri = 1, так чтобы максимальное число посетителей равнялось 3, а минимальный доход равнялся 300. Таким образом потенциал будет равен min(3·100, 300) = 300.

Если инвесторы спросят про li = 2, менеджеры стартапа выберут ri = 3, так чтобы максимальное число посетителей равнялось 2, а минимальный доход равнялся 200. Таким образом потенциал будет равен min(2·100, 200) = 200.

Если инвесторы спросят про li = 3, менеджеры стартапа выберут ri = 3, так чтобы максимальное число посетителей равнялось 1, а минимальный доход равнялся 300. Таким образом потенциал будет равен min(1·100, 300) = 100.

Теперь нужно выбрать равновероятно множество размера 2, в каждом выбрать минимум. Возможные множества: {200, 300},{100, 300},{100, 200}. Оценки стартапа потенциалов получаются {200, 100, 100}. Таким образом, математическое ожидание (100 + 200 + 100) / 3 = 133.(3).

B. Порядок чатов

Бинарный поиск Структуры данных Конструктив *особая задача *1200 сортировки

Поликарп — большой любитель проводить время в соцсетях. Страница со списком чатов в его любимой соцсети устроена так, что при отсылке сообщения собеседнику чат с ним поднимается на самый верх страницы. Относительный порядок всех остальных чатов при этом не изменяется. Если ранее чата с этим собеседником не было, то просто в верх списка чатов вставляется новый чат.

Считая, что изначально список чатов пуст, по последовательности сообщений Поликарпа постройте список чатов после обработки всех его сообщений. Считайте, что никто из собеседников ничего Поликарпу не писал.

Входные данные

В первой строке записано целое число n (1 ≤ n ≤ 200 000) — количество сообщений Поликарпа. Далее в n строках перечислены адресаты сообщений в порядке отсылки сообщений. Имя каждого адресата — непустая последовательность строчных букв английского алфавита длины не более 10.

Выходные данные

Выведите всех адресатов, с кем общался Поликарп, в порядке расположения чатов с ними сверху вниз.

Примечание

В первом тестовом примере Поликарп сначала напишет пользователю с именем «alex», и список примет вид:

  1. alex

Затем Поликарп напишет пользователю с именем «ivan» и список чатов будет выглядеть следующим образом:

  1. ivan
  2. alex

Третье сообщение Поликарп напишет пользователю с именем «roman». После этого список чатов будет выглядеть следующим образом:

  1. roman
  2. ivan
  3. alex

Четвёртое сообщение Поликарп напишет пользователю с именем «ivan», которому он уже отправлял сообщение, поэтому список чатов изменится следующим образом:

  1. ivan
  2. roman
  3. alex

E. Медведь и парадокс

Бинарный поиск математика *2800 жадные алгоритмы сортировки

Лимак вырос и стал большим мишкой. Он приготовил n задач для соревнований по спортивному программированию. Изначальная стоимость (количество очков за успешное решение) i-й задачи равна pi. Прорешивание показало, что на решение i-й задачи требуется ровно ti минут. Задачи не обязательно упорядочены по сложности, но менять порядок уже поздно — Лимак уже объявил разбалловку в посте на главной странице. Единственное, что ещё можно поменять, это скорость убывания стоимости задач c.

Обозначим за T время, необходимое для решения всех задач, то есть T = t1 + t2 + ... + tn. Контест продлится ровно T минут, то есть как раз столько, сколько нужно чтобы всё решить.

Баллы за решение задачи линейно убывают со временем. Решение задачи i на минуте x даёт ровно , где константу предстоит выбрать Лимаку.

Предположим значение c фиксировано. Во время соревнования каждый участник выберет какой-нибудь порядок решения задач. Всего возможных порядков n!, каждый из них приведёт к какому-нибудь итоговому количеству очков, не обязательно целочисленному. Скажем, что порядок является оптимальным, если он даёт максимальное количество очков. Другими словами, решение задач в любом другом порядке даст количество очков меньшее либо равное, чем решение задач в таком порядке. Очевидно, что существует хотя бы один оптимальный порядок, однако, оптимальных порядков может быть и несколько.

Лимак предполагает, что каждый участник сразу правильно оценит значение ti для каждой задачи и начнёт решать их в каком-нибудь оптимальном порядке. Также Лимак полагает, что тестеры правильно определили все значения ti.

Для двух различных задач i и j, таких что pi < pj Лимак не хотел бы допустить ситуации, что какой-нибудь участник решавший задачи в оптимальном порядке получил за задачу i строго больше очков, чем за задачу j. Такую ситуацию Лимак называется парадоксом.

Несложно показать, что для c = 0 парадокс невозможен. Однако, для больших значений c это не так. Какое максимальное значение c (но помните, что ) можно выбрать, так чтобы парадокс был невозможен? Другими словами, чтобы для любого оптимального порядка решения задач не произошло парадокса.

Можно доказать, что максимальное c всегда существует.

Входные данные

В первой строке входных данных записано число n (2 ≤ n ≤ 150 000) — количество задач.

Во второй строке записаны n целых чисел p1, p2, ..., pn (1 ≤ pi ≤ 108) — изначальные стоимости задач.

В третье строке записаны n целых чисел t1, t2, ..., tn (1 ≤ ti ≤ 108), i-е из которых означает количество минут, необходимое для решения i-й задачи.

Выходные данные

Выведите единственное вещественное число — максимальное значение c, такое что и ни в одном оптимальном порядке решения задач не произойдёт парадокса. Ваш ответ будет считаться правильным, если его абсолютная или относительная ошибка не будет превосходить 10 - 6.

А именно: пусть ваш ответ равен a, а ответ жюри — b. Проверяющая программа будет считать ваш ответ правильным, если .

Примечание

В первом примере 3 задачи. Первая обладает параметрами (4, 1) (изначальная стоимость равна 4, а на решение требуется 1 минута), вторая (3, 1) и третья (10, 8). Продолжительность контеста равна T = 1 + 1 + 8 = 10.

Покажем наличие парадокса при c = 0.7. Решение задач в порядке 1, 2, 3 даст максимальное количество очков, равное:

  1. решение задачи через 1 минуту после начала:
  2. решение задачи через 2 минуты после начала:
  3. решение задачи через 10 минут после начала:

Таким образом, решение задач в таком порядке даёт 3.72 + 2.58 + 3 = 9.3 очков и это единственный оптимальный порядок (можно проверить ответы для других 5 перестановок). Однако, для задач 1 и 3 возникнет парадокс: 4 < 10, но 3.72 > 3. При c = 0.625 парадокса нет и это максимальное такое значение c.

Во втором примере, все 24 порядка решения задач являются оптимальными.

В третьем примере не возникнет парадокса даже при c = 1.

C. Псевдонимы серверов

Строки Бинарный поиск Структуры данных реализация *2100 *особая задача сортировки

Существуют веб-сайты, доступные сразу по нескольким адресам. Например, долгое время на страницы Codeforces можно было заходить как используя хостнейм cf.m27.workers.dev, так и codeforces.ru.

Вам задан список адресов страниц. Для упрощения будем считать, что все адреса имеют вид: http://<hostname>[/<path>], где:

  • <hostname> — имя сервера (состоит из слов, возможно, разделённых точками),
  • /<path> — необязательная часть, где <path> состоит из слов, разделённых слешами.

Будем считать, что два <hostname> соответствуют одному и тому же веб-сайту, если для каждого запроса к первому <hostname> найдется такой же запрос ко второму и наоборот — для каждого запроса ко второму <hostname> найдется такой же запрос к первому. Изучите примеры из условия для лучшего понимания этого определения.

Выделите все группы имён серверов, которые соответствуют одному сайту. Игнорируйте группы, которые состоят ровно из одного имени сервера.

Обратите внимание, что формально два запроса http://<hostname> и http://<hostname>/ различаются.

Входные данные

В первой строке записано целое число n (1 ≤ n ≤ 100 000) — количество адресов страниц. В следующих строках записаны адреса страниц по одному в строке. Каждый адрес имеет вид http://<hostname>[/<path>], где:

  • <hostname> состоит из строчных букв латинского алфавита и точек, никакие две точки не идут подряд, точки не начинают и не заканчивают <hostname>. Длина <hostname> положительна и не превосходит 20 символов;
  • <path> состоит из строчных букв латинского алфавита, точек и слешей, никакие два слеша не идут подряд, <path> не начинается со слеша, длина <path> не превосходит 20 символов.

Адреса страниц не обязательно различны.

Выходные данные

В первую строку выведите k — количество групп имен серверов, которые соответствуют одному сайту. Следует учитывать только такие группы, размер которых строго больше единицы.

Далее в k строках выведите группы по одной в строке. Для каждой группы выведите все имена серверов в ней через пробел. Как группы, так и имена серверов в группе можно выводить в любом порядке.

C. Покидая ферму

Бинарный поиск *1600

Фермер Джон устал от проделок Бешеных Братьев Беспорядка, покинул свою ферму и уехал на другой конец Бовинии. В процессе путешествия Фермер Джон и его k коров решили остановиться в роскошном Мууултон Гранд Хотел. Номерной фонд отеля состоит из n комнат, расположенных в ряд, некоторые из которых уже заняты.

Фермер Джонс хочет забронировать k + 1 незанятую комнату для себя и своих k коров. Он очень заботится об их безопасности, поэтому хочет забронировать комнаты таким образом, чтобы расстояние от него до самой дальней коровы было как можно меньше. Расстоянием между номерами i и j считается равным |i - j|. Помогите Фермеру Джону поселить себя и своих коров как можно безопаснее.

Входные данные

В первой строке входных данных записаны два числа n и k (1 ≤ k < n ≤ 100 000) — количество номеров в отеле и количество коров, путешествующих с Фермером Джоном, соответственно.

Во второй строке записана строка из n символов, описывающая номера отеля. Если i-й символ строки равен «0», то i-я комната свободна, а если «1», то занята. Гарантируется, что в отеле есть как минимум k + 1 свободный номер, то есть Фермер Джон и его k коров точно смогут заселиться.

Выходные данные

Выведите минимально возможное расстояние от номера Фермера Джона до номера самой удалённой коровы.

Примечание

В первом примере Фермер Джон может забронировать комнату номер 3 для себя и комнаты 1 и 4 для своих коров. Расстояние до самой удалённой коровы будет равно 2. Обратите внимание, что расстояния 1 добиться невозможно, так как нет трёх свободных номеров подряд.

Во втором примере Фермер Джон должен забронировать комнату 1 для себя и комнату 3 для своей единственной коровы. Расстояние между ним и коровой будет равно 2.

В третьем примере Фермер Джон может забронировать все три имеющиеся комнаты, заселиться в среднюю, а крайние отдать коровам. Таким образом максимальное расстояние будет равно 1.

D. Репортаж Результатов Рэпа Роботов

Бинарный поиск дп *1800 графы

Пока Фермер Джон строит новую ферму в незнакомой части Бовинии, Бесси решила попробовать себя в новом деле. Она стала репортёром и отвечает в местной газете за репортажи с различных IT-соревнований. Сейчас она освещает результаты Турнира Роботов-Рэперов 2016. Она быстро заметила, что в результатах матчей нет никакой случайности: робот i всегда победит робота j, если его умение читать рэп выше. Если робот i побеждает робота j, и робот j побеждает робота k, то робот i гарантированно победит робота k. Читать рэп такое тонкое искусство, что уровень этого умения у всех роботов разный.

Вам даны результаты матчей в порядке, в котором эти матчи проходили. Определите минимальное количество первых матчей, после которых Бесси уже однозначно может упорядочить роботов по уровню умения читать рэп.

Входные данные

В первой строке входных данных записаны два числа n и m (2 ≤ n ≤ 100 000, ) — количество роботов и количество матчей соответственно.

Следующие m строк описывают результаты матчей в порядке, в котором эти матчи проходили. Каждая строка содержит два индекса ui и vi (1 ≤ ui, vi ≤ n, ui ≠ vi), означающих, что робот номер ui победил робота номер vi в i-м матче. Никакая пара роботов не соревновалась дважды.

Гарантируется, что существует хотя бы один порядок роботов, удовлетворяющий всем m результатам.

Выходные данные

Выведите минимальное k, такое что результатов первых k матчей достаточно, чтобы однозначно упорядочить роботов по умению читать рэп. Если существует больше одного порядка роботов, удовлетворяющего результатам всех m матчей, выведите -1.

Примечание

В первом примере роботы могут быть упорядочены от сильнейшего к слабейшему следующим образом: (4, 2, 1, 3). Бесси может однозначно определить этот порядок, зная результаты первых четырёх матчей.

Во втором примере оба порядка (1, 3, 2) и (3, 1, 2) подойдут под результаты всех матчей.

G. В поисках стабильности

Бинарный поиск геометрия *3200

После того как гонка ядерных мууууружений завершилась, Фермер Джон и Бешеные Братья Беспорядка решили подписать мирное соглашение. Они договорились разделить территорию Бовинии прямой, проходящей хотя бы через два из n блокпостов, разбросанных по стране. Эти блокпосты, призраки прошлого конфликта, расположены в точках (x1, y1), (x2, y2), ..., (xn, yn).

Для того чтобы найти оптимальную линию раздела, Фермер Джон и Элси нарисовали карту Бовинии на координатной плоскости. Фермер Джон расположен в точке P = (a, 0), а Бешеные Братья Беспорядка окопались в точке Q = ( - a, 0). Поскольку они хотят, чтобы мир продолжался как можно дольше, решено было провести прямую, минимизирующую максимальную разницу между расстоянием от точек P и Q до какой-то точки на прямой.

Формально: определим разницу прямой по отношению к точкам P и Q как минимальное вещественное d,такое что для всех точек X прямой |PX - QX| ≤ d. Гарантируется, что такое d существует и единственно. Фермер Джон и Бесси хотят найти прямую, проходящую через какие-то два различных блокпоста (xi, yi) и (xj, yj), такую что разница этой прямой относительно точек P и Q минимальна.

Входные данные

В первой строке входных данных записаны два целых числа n и a (2 ≤ n ≤ 100 000, 1 ≤ a ≤ 10 000) — количество блокпостов и координаты фермы и базы соответственно.

В следующих n строках записаны целые координаты расположения блокпостов (xi, yi) (|xi|, |yi| ≤ 10 000). Гарантируется, что все блокпосты находятся в различных точках, не совпадающих с P и Q.

Выходные данные

Выведите единственное число — минимально возможную разницу прямой относительно точек P и Q. Ваш ответ будет считаться правильным, если его абсолютная или относительная ошибка не будет превосходить 10 - 6.

А именно: пусть ваш ответ равен a, а ответ жюри — b. Проверяющая программа будет считать ваш ответ правильным, если .

Примечание

В первом примере возможна только прямая , задаваемая уравнением y = x - 1. Несложно заметить, что максимальное значение |PX - QX| достигается в точке X = (13, 12), , где .

Во втором примере, если провести прямую через точки (0, 1) и (0,  - 3), получаем x = 0. PX = QX для всех её точек, поэтому ответ равен 0.

E. Автобус

Бинарный поиск Структуры данных *2100 жадные алгоритмы сортировки

Вдоль дороги стоят n путешественников. Дорога представляет собой прямую, размерами путешественников можно пренебречь, считая их точками.

Водитель автобуса Василий, благодаря мобильному приложению, знает для каждого путешественника точку xi, в которой тот стоит. Кроме того, он знает расстояние di, которое i-й путешественник хочет проехать на автобусе. Таким образом, i-й путешественник планирует выйти из автобуса в точке xi + di. Теперь Василий хочет решить, кого из путешественников он подвезёт, а кого оставит пылиться у дороги.

Василий решил, что сегодня он должен хорошо заработать, поэтому решил перевезти в точности a путешественников. В автопарке есть автобусы любых видов. Чем больше мест в автобусе, тем дороже стоит его аренда.

Помогите Василию определить минимальное количество пассажирских мест в автобусе, которых будет достаточно для перевозки ровно a путешественников. Ни в какой момент времени в автобусе не может быть путешественников больше, чем количество пассажирских мест в автобусе. Василий сам может решить какое конкретно подмножество из a путешественников он перевезёт на автобусе.

Считайте, что автобус всегда едет слева направо (от меньших координат к большим) и начинает свой путь левее самого левостоящего путешественника. Если в одной точке какой-то путешественник должен выйти из автобуса, а другой войти, считайте, что сначала произойдет выход одного путешественника из автобуса, а затем другой путешественник сможет зайти в автобус.

Входные данные

В первой строке входных данных следует два целых положительных числа n и a (1 ≤ a ≤ n ≤ 200 000) — количество путешественников, стоящих вдоль дороги, и минимальное количество путешественников, которых Василий хочет подвезти.

В каждой из следующих n строк содержится по два целых числа xi и di (1 ≤ xi, di ≤ 109) — координата, в которой находится i-й путешественник, а также расстояние, на которое он хочет переместиться на автобусе. Координаты путешественников заданы в произвольном порядке. В одной точке могут находиться несколько путешественников.

Выходные данные

Сначала выведите одно целое число — минимальное количество пассажирских мест в автобусе, которых будет достаточно для перевозки хотя бы a путешественников.

Затем выведите a целых чисел — номера путешественников, которых подвезёт Василий. Путешественники нумеруются, начиная с единицы, в том порядке, в котором заданы во входных данных. Номера можно выводить в произвольном порядке. Если ответов несколько, разрешается вывести любой из них.

Примечание

В первом тестовом примере достаточно одноместного автобуса. К примеру, Василий может подвезти третьего и первого путешественников, либо второго и первого путешественников.

C. Гарри Поттер и Золотой снитч

Бинарный поиск геометрия *2100

Братья Фред и Джордж Уизли однажды забрались на склад спортинвентаря и вскрыли коробку с мячами для квиддича. После долгих и мучительных экспериментов они выяснили, что Золотой снитч вовсе не заколдованное, а просто-напросто запрограммированное устройство. Он всегда движется по одной и той же траектории, представляющей собой ломаную с вершинами в точках (x0, y0, z0), (x1, y1, z1), ..., (xn, yn, zn). В начале игры снитч находится в точке (x0, y0, z0), а затем движется по ломаной с постоянной скоростью vs. Как ведет себя снитч в дальнейшем, близнецы пока не определили. Тем не менее, они надеются, что раздобытая информация поможет Гарри Поттеру и его команде в предстоящем матче со Слизерином. Гарри Поттер выяснил, что в начале игры он будет находиться в точке (Px, Py, Pz) и его суперскоростная метла Нимбус 2011 позволяет ему двигаться с постоянной скоростью vp, не меньшей скорости снитча vs, в любом направлении или находиться на месте. Гарри Поттер, конечно же, хочет поймать снитч как можно раньше или поторопить братьев Уизли с их исследованиями, если поймать снитч при его движении по ломаной не удастся. Гарри Поттер ловит снитч в тот момент, когда они находятся в одной точке. Помогите Гарри.

Входные данные

В первой строке содержится одно целое число n (1 ≤ n ≤ 10000). В следующих n + 1 строках содержатся координаты xi, yi, zi, разделенные одиночными пробелами. Координаты никаких двух подряд идущих точек не совпадают. В следующей строке даны скорости vp и vs, в последней строке — Px, Py, Pz, разделенные одиночными пробелами. Все числа во входных данных целые, не превосходящие 104 по абсолютной величине. Скорости строго положительны. Гарантируется, что vs ≤ vp.

Выходные данные

Если Гарри Поттер может поймать снитч во время движения по ломаной (включая конец (xn, yn, zn)), выведите в первой строке «YES» (без кавычек), во второй строке — t, самый ранний момент времени, когда Гарри сможет поймать снитч, в третьей строке три числа X, Y, Z — координаты точки, в которой это произойдет. Абсолютная или относительная погрешность ответа не должна превышать 10 - 6. Если Гарри не удастся поймать снитч во время его движения по описанной ломаной, выведите «NO».

B. Просмотр фотографий

Бинарный поиск Перебор дп *1900

В телефоне Васи есть n фотографий. На экране телефона в текущей момент открыта фотография номер 1. Можно перемещаться влево и вправо на соседнюю фотографиями с помощью одного движения пальца по экрану (пролистывания). Если после первой фотографии пролистнуть влево, откроется фотография номер n. Аналогично, если с фотографии n пролистнуть вправо, то откроется фотография номер 1. На пролистывание до соседней фотографии тратится a секунд.

Про каждую фотографию известно в какой она ориентации — горизонтальной и вертикальной она находится. Телефон находится в вертикальной ориентации и не может быть повёрнут. На смену ориентации картины тратится b секунд.

У Васи есть T секунд, чтобы посмотреть фотографии. За это время он хочет посмотреть как можно больше фотографий. Если Вася видит фотографию в первый раз, то он обязательно захочет её рассмотреть, потратив на это 1 секунду, при необходимости потратив b секунд на поворот фотографии в нужную ориентацию. Если Вася видит фотографию не в первый раз, он ее просто пролистывает (секунда на просмотр не тратится, менять ориентацию фотографии тоже не требуется). Пропускать не просмотренные фотографии не разрешается.

Помогите Васе определить максимальное количество фотографий, которые он успеет просмотреть за T секунд.

Входные данные

В первой строке входных данных следуют четыре целых положительных числа n, a, b, T (1 ≤ n ≤ 5·105, 1 ≤ a, b ≤ 1000, 1 ≤ T ≤ 109) — количество фотографий, время, которое тратится на переход между соседними фотографиями, время, которое тратится на изменение ориентации фотографии и общее время, которое есть у Васи на просмотр фотографий.

Во второй строке следует строка длины n, состоящая из символов 'w' и 'h'.

Если на i-й позиции в строке стоит символ 'w', то фотографию с номером i нужно смотреть в горизонтальной ориентации.

Если на i-й позиции в строке стоит символ 'h', то фотографию с номером i нужно смотреть в вертикальной ориентации.

Выходные данные

Выведите единственное целое число — максимальное количество фотографий, которое успеет рассмотреть Вася за T секунд.

Примечание

В первом тесте из условия можно повернуть первую фотографию (3 секунды), просмотреть первую фотографию (1 секунда), сдвиуться влево (2 секунда), повернуть четвёртую фотографию (3 секунды), просмотреть четвёртую фотографию (1 секунда). На весь процесс уйдёт ровно 10 секунд.

Обратите внимание, в последнем тесте из условия времени не хватает даже на просмотр первой фотографии, при этом её нельзя пропустить.

D. Канатная дорога

Бинарный поиск Структуры данных дп *2600 хэши

Побывав недавно в лесу, Вася решил построить на деревьях канатную дорогу. Он хочет, чтобы дорога была как можно более длинной, но он плохо помнит высоты деревьев в лесу. К счастью, он уверен, что правильно помнит высоты всех деревьев, кроме, возможно, одного из них.

Известно, что лес состоит из n деревьев, стоящих в ряд и пронумерованных слева направо числами от 1 до n. Высота i-го дерева, по воспоминаниям Васи, равна hi. Канатная дорога длины k должна опираться на k (1 ≤ k ≤ n) деревьев i1, i2, ..., ik (i1 < i2 < ... < ik), таких что их высота возрастает, то есть, hi1 < hi2 < ... < hik.

Петя тоже был в лесу, и у него есть q предположений о том, где именно ошибается Вася. Его i-е предположение задаётся числами ai и bi, означающими, что, по мнению Пети, высота дерева с номером ai на самом деле равна bi. Обратите внимание, Петины предположения независимы между собой.

Ваша задача состоит в том, чтобы для каждого предположения Пети найти максимальную длину канатной дороги, которую можно построить с опорой на эти деревья.

Отметим, что в рамках данной задачи длиной дороги Вася считает количество опорных деревьев в ней.

Входные данные

Первая строка входных данных содержит два числа n и m (1 ≤ n, m ≤ 400 000) — количество деревьев в лесу и количество предположений Пети соответственно.

В следующей строке содержатся n целых чисел hi (1 ≤ hi ≤ 109) — высоты деревьев по предположению Васи.

Каждая из следующих m строк содержит по два целых числа ai и bi (1 ≤ ai ≤ n, 1 ≤ bi ≤ 109).

Выходные данные

Для каждого предположения Пети выведите в отдельной строке одно число — максимальную длину канатной дороги.

Примечание

Рассмотрим первый пример. Первое Петино предположение совпадает с предположением Васи. Согласно его второму предположению, высоты деревьев были (4, 2, 3, 4), третьему (1, 2, 3, 3), а по четвёртому предположению — (1, 2, 3, 5).

D. Медвежья доставка

Бинарный поиск Потоки графы *2200

Маленький золотой медвежонок Нивел долго жил в лесу. Созерцать деревья ежедневно ему в какой-то момент порядком надоело, и он переехал в большой город.

В городе Нивел устроился управляющим медвежьей доставки. Город, в котором он поселился, можно представить как ориентированный граф из n вершин и m рёбер. У каждого ребра есть пропускная способность, равная максимальному количеству веса, который можно пронести по этому ребру в рамках одного цикла доставки. Доставка заключается в том, что каждый имеющийся у Нивела медвежонок несёт в своих лапках груз из вершины 1 в вершину n. Суммарный вес, пронесённый всеми медвежатами по ребру, не должен превышать пропускной способности этого ребра.

В подчинении у Нивела ровно x медвежат. Чтобы всё было честно, никто из медвежат не должен отдыхать и каждый медвежонок должен доставить из 1 в n груз одинакового веса. Однако медвежата вполне могут пойти разными дорогами.

Нивел хочет определить, какой максимальный суммарный вес может быть доставлен из вершины 1 в вершину n.

Входные данные

В первой строке входных данных записаны три числа n, m и x (2 ≤ n ≤ 50, 1 ≤ m ≤ 500, 1 ≤ x ≤ 100 000) — количество вершин в графе, количество рёбер и количество медвежат соответственно.

В каждой из последующих m строк записаны три целых числа ai, bi и ci (1 ≤ ai, bi ≤ n, ai ≠ bi, 1 ≤ ci ≤ 1 000 000). Такая тройка означает, что из вершины ai в вершину bi идёт ориентированное ребро с пропускной способностью ci. В графе отсутствуют петли и кратные рёбра из одной вершины в другую. Также гарантируется наличие хотя бы одного пути из вершины 1 в вершину n.

Выходные данные

Выведите единственное вещественное число — максимальный суммарный вес, который можно доставить из вершины 1 в вершину n, используя ровно x медвежат, каждый из которых пронесёт одинаковый вес. Ваш ответ будет считаться правильным, если его абсолютная или относительная ошибка не будет превосходить 10 - 6.

А именно: пусть ваш ответ равен a, а ответ жюри — b. Проверяющая программа будет считать ваш ответ правильным, если .

Примечание

Доступны три медвежонка. Двое из них могут пойти по пути , а третий по пути . Хотя медвежонок, идущий по пути , мог бы нести одну единицу веса, из-за зашкаливающей честности он не может взять с собой больше 0.5 единиц веса. Таким образом, суммарно будет доставлено 1.5 единиц веса. Обратите внимание, что, используя всего двух медвежат, можно было бы доставить 2 единицы веса, но Нивел обязан использовать всех трёх.

C. Сложный процесс

Бинарный поиск *1600 дп

Вам задан массив a из n элементов. Каждый элемент массива равен либо 0, либо 1.

Обозначим длину наибольшего подотрезка последовательных элементов в a, состоящего только из единиц, как f(a). Вы можете поменять не более k нулей на единицы, чтобы максимизировать f(a).

Входные данные

В первой строке находится пара целых чисел n и k (1 ≤ n ≤ 3·105, 0 ≤ k ≤ n) — количество элементов в массиве a и значение параметра k.

Во второй строке находятся n целых чисел ai (0 ≤ ai ≤ 1) — элементы массива a.

Выходные данные

В первой строке выведите неотрицательное целое число z — максимальное значение f(a) после не более k изменений нулей на единицы.

Во второй строке выведите n целых чисел aj — элементы массива a после изменений.

Если существует неcколько решений, выведите любое из них.

F. Медведь и боулинг 4

Бинарный поиск Тернарный поиск Структуры данных геометрия разделяй и властвуй *2500

Лимак — старый бурый медведь. Он часто играет в боулинг со своими друзьями. Сегодня он в отличном настроении и хочет побить свой собственный рекорд!

За каждый бросок даётся некоторое целое (возможно отрицательное) количество очков. Очки за i-й бросок умножаются на число i и прибавляются к общей сумме. Таким образом, за k бросков с очками s1, s2, ..., sk в сумме даётся очков. Если бросков не было, общее количество очков равно 0.

Лимак сделал n бросков и получил ai очков за i-й бросок. Он хочет максимизировать общее количество очков, поэтому ему в голову пришла интересная идея. Он может сказать, что некоторое количество первых бросков он разогревался и был рассредоточен во время некоторого количества последних бросков. Формально он может выкинуть некоторый префикс и некоторый суффикс последовательности очков a1, a2, ..., an. Разрешается выкидывать из рассмотрения все броски или же не выкидывать из вовсе.

Общее количество очков вычисляется как будто выкинутых бросков не было. Таким образом, за первый невыкинутый бросок количество очков умножается на 1, за второй — на 2 и так далее до последнего невыкинутого броска.

Какое максимальное количество очков может получить Лимак?

Входные данные

В первой строке находится целое число n (1 ≤ n ≤ 2·105) — общее количество бросков, сделанных Лимаком.

Во второй строке находятся n целых чисел a1, a2, ..., an (|ai| ≤ 107) — очки полученные Лимаком.

Выходные данные

Выведите максимальное суммарное количество очков, которое можно получить выкидыванием некоторых бросков.

Примечание

В первом примере Лимак должен выкинуть из рассмотрения первые два и последний броски. После этого останутся броски 1,  - 3, 7, которые принесут ему 1·1 + 2·( - 3) + 3·7 = 1 - 6 + 21 = 16 очков.

D. Оптический эксперимент

Бинарный поиск Структуры данных дп *1900

Профессор Фансак Ванду провел некоторые оптические эксперименты на лучах света. Установка для проведения эксперимента для n лучей выглядит следующим образом.

Есть прямоугольная коробка, в которой ровно n отверстий на противоположных гранях. Все лучи проникают сквозь отверстия с первой стороны и выходят из отверстий с другой стороны коробки. Ровно один луч может проникать через каждое отверстие или выходить из него. Отверстия на каждой грани лежат на одной прямой, а сами грани параллельны и симметричны друг другу.

Профессор Ванду продемонстрировал ученикам свои эксперименты. Он показал, что есть случаи, когда все лучи пересекаются всеми остальными лучами. Один любопытный ученик спросил: "Профессор, есть некоторые группы лучей, в которых все лучи в данной группе пересекают все остальные лучи в данной группе. Можем ли мы определить количество лучей в наибольшей из таких групп?".

И вот профессор Ванду в затруднении. Зная ваш интеллект, он просит вас помочь ему.

Входные данные

Первая строка содержит n (1 ≤ n ≤ 106), количество лучей. Вторая строка содержит n различных целых чисел: i-ое целое число xi (1 ≤ xi ≤ n) показывает, что xi-ый луч проходит через i-ое отверстие. Подобным образом, третья строка содержит n различных целых чисел: i-ое целое число yi (1 ≤ yi ≤ n) показывает, что yi-ый луч исходит из i-го отверстия. Все лучи пронумерованы от 1 до n.

Выходные данные

Выходные данный содержат единственное целое число — количество лучей в наибольшей группе лучей, в которой все пересекают друг друга.

Примечание

Рисунок для первого теста показан выше. В первом тесте следует вывести 3, так как лучи номер 1, 4 и 3 пересекаются друг с другом, то есть 1 пересекает 4 и 3, 3 пересекает 4 и 1, а 4 пересекает 1 и 3. Таким образом, каждый луч в данной группе пересекается другим лучом. Не существует группы, содержащей более трёх лучей, которая удовлетворяла бы вышеприведенному ограничению.

D1. Волшебный порошок - 1

Бинарный поиск Перебор реализация *1400

Эта задача предлагается в двух вариантах, которые отличаются только ограничениями. Если вы можете решить эту задачу в больших ограничениях, то вы можете сразу написать одно решение на оба варианта. Если же решение в больших ограничениях вызывает затруднение, вы можете решить только упрощённый вариант.

Проснувшись с утра, Аполлинария решила испечь печенек. Для того чтобы испечь одну печеньку, нужно n ингредиентов, причем про каждый ингредиент известно число ai — сколько грамм этого ингредиента необходимо для того, чтобы испечь одну печеньку. Для приготовления одной печеньки необходимо использовать все n ингредиентов в нужных пропорциях.

У Аполлинарии есть bi грамм i-го ингридиента. Кроме того, у неё есть k грамм волшебного порошка. Каждый грамм волшебного порошка можно превратить ровно в 1 грамм любого из n ингредиентов и использовать для приготовления печенек.

Перед вами стоит задача — определить максимальное количество печенек, которое сможет испечь Аполлинария при помощи имеющихся у неё ингредиентов и волшебного порошка.

Входные данные

В первой строке следуют два целых положительных числа n и k (1 ≤ n, k ≤ 1000) — количество ингредиентов и количество грамм волшебного порошка.

Во второй строке следует последовательность a1, a2, ..., an (1 ≤ ai ≤ 1000), где i-е число равно количеству грамм i-го ингредиента, необходимых для приготовления одной печеньки.

В третьей строке следует последовательность b1, b2, ..., bn (1 ≤ bi ≤ 1000), где i-е число равно количеству грамм i-го ингредиента, которые есть у Аполлинарии.

Выходные данные

Выведите целое число — максимальное количество печенек, которые сможет испечь Аполлинария при помощи имеющихся у неё ингредиентов и волшебного порошка.

Примечание

В первом тестовом примере Аполлинарии выгодно превратить 1 имеющийся у неё грамм волшебного порошка в ингредиент номер 2, тогда она сможет испечь 4 печеньки.

Во втором тестовом примере Аполлинарии выгодно превратить 1 грамм волшебного порошка в ингредиент номер 1 и 1 грамм волшебного порошка в ингредиент номер 3. Тогда она сможет испечь 3 печеньки. Оставшийся 1 грамм волшебного порошка можно оставить, так как с помощью него ответ увеличить невозможно.

D2. Волшебный порошок - 2

Бинарный поиск реализация *1500

Эта задача предлагается в двух вариантах, которые отличаются только ограничениями. Если вы можете решить эту задачу в больших ограничениях, то вы можете сразу написать одно решение на оба варианта. Если же решение в больших ограничениях вызывает затруднение, вы можете решить только упрощённый вариант.

Проснувшись с утра, Аполлинария решила испечь печенек. Для того чтобы испечь одну печеньку, нужно \(n\) ингредиентов, причем про каждый ингредиент известно число \(a_i\) — сколько грамм этого ингредиента необходимо для того, чтобы испечь одну печеньку. Для приготовления одной печеньки необходимо использовать все \(n\) ингредиентов в нужных пропорциях.

У Аполлинарии есть \(b_i\) грамм \(i\)-го ингридиента. Кроме того, у неё есть \(k\) грамм волшебного порошка. Каждый грамм волшебного порошка можно превратить ровно в \(1\) грамм любого из \(n\) ингредиентов и использовать для приготовления печенек.

Перед вами стоит задача — определить максимальное количество печенек, которое сможет испечь Аполлинария при помощи имеющихся у неё ингредиентов и волшебного порошка.

Входные данные

В первой строке входных данных следуют два целых положительных числа \(n\) и \(k\) (\(1 \le n \le 100\,000, 1 \le k \le 10^9\)) — количество ингредиентов и количество грамм волшебного порошка.

Во второй строке следует последовательность \(a_1, a_2, \dots, a_n\) (\(1 \le a_i \le 10^9\)), где \(i\)-е число равно количеству грамм \(i\)-го ингредиента, необходимых для приготовления одной печеньки.

В третьей строке следует последовательность \(b_1, b_2, \dots, b_n\) (\(1 \le b_i \le 10^9\)), где \(i\)-е число равно количеству грамм \(i\)-го ингредиента, которые есть у Аполлинарии.

Выходные данные

Выведите целое число — максимальное количество печенек, которые сможет испечь Аполлинария при помощи волшебного порошка.

Примечание

Первые два примера обращают внимание на более высокие ограничения в сложной версии задачи.

В третьем примере Аполлинарии выгодно превратить \(1\) имеющийся у неё грамм волшебного порошка в ингредиент номер \(2\), тогда она сможет испечь \(4\) печеньки.

Во четвертом примере Аполлинарии выгодно превратить \(1\) грамм волшебного порошка в ингредиент номер \(1\) и \(1\) грамм волшебного порошка в ингредиент номер \(3\). Тогда она сможет испечь \(3\) печеньки. Оставшийся \(1\) грамм волшебного порошка можно оставить, так как с помощью него ответ увеличить невозможно.

B. Робин Гуд

Бинарный поиск *2000 жадные алгоритмы

Все мы слышали захватывающие истории о приключениях Робина Гуда, который, будучи великолепным лучником, воровал деньги у богатых и раздавал их бедным.

В Кекландии проживает n человек, при этом у человека номер i изначально имеется ci монет. Каждый день Робин Гуд отбирает 1 монету у самого богатого человека и отдаёт её самому бедному человеку (самому бедному, после того как он уже забрал 1 монету у самого богатого). Если самого богатого или самого бедного невозможно выбрать однозначно, то из подходящих вариантов Робин Гуд выбирает одного случайного. К сожалению, Робин Гуд уже стар и через k дней уйдёт на пенсию. Он решил провести все эти дни отбирая деньги у богатых и раздавая бендым.

После того как Робин Гуд отбирает монету у самого богатого, этот человек может стать самым бедным, и может даже так произойти, что Робин Гуд отдаст ему его монету назад. Например, если в какой-то день у всех жителей одинаковое количество монет, то и на следующий день у всех жителей также будет одинаковое количество монет.

Вам поручено найти разность количества денег у самого богатого и самого бедного человека через k дней. Обратите внимание, что случайность выбора среди самых богатых и самых бедных не влияет на ответ.

Входные данные

В первой строке входных данных записаны два целых числа n и k (1 ≤ n ≤ 500 000, 0 ≤ k ≤ 109) — количество жителей Кекландии и количество дней, оставшихся до выхода Робина Гуда на пенсию.

Во второй строке записаны n целых чисел, i-е из которых равно ci (1 ≤ ci ≤ 109) — изначальное количество монет у i-го жителя.

Выходные данные

Выведите одно целое число — разницу между самым богатым и самым бедным жителем Кекландии через k дней.

Примечание

Проследим как изменяется богатство людей в первом примере.

  1. [1, 1, 4, 2]
  2. [2, 1, 3, 2] или [1, 2, 3, 2]

Таким образом, ответ равен 3 - 1 = 2.

Во втором примере никаких изменений происходить не будет.

C. Вася и строка

Строки Бинарный поиск дп *1500

Школьник Вася получил в подарок на день рождения строку длины n, состоящую из букв «a» и «b». Вася называет привлекательностью строки максимальную длину подстроки (последовательности соседних символов), состоящей из одинаковых символов.

Вася может поменять в исходной строке не более k символов. Какой максимальной привлекательности данной строки он сможет добиться?

Входные данные

В первой строке входных данных содержатся два числа n и k (1 ≤ n ≤ 100 000, 0 ≤ k ≤ n) — длина строки Васи и максимальное разрешённое количество изменений.

Во второй строке следует строка Васи, состоящая из букв «a» и «b».

Выходные данные

Выведите единственное целое число — максимальная привлекательность строки, которую Вася может получить, изменив в исходной строке не более k символов.

Примечание

В первом примере Вася может получить как строку «aaaa», так и строку «bbbb».

Во втором примере оптимальный ответ достигается на строке «aaaaabaa» или на строке «aabaaaaa».

E. Ваня и шарики

Бинарный поиск Перебор реализация дп *2300

Ваня играет в игру, в которой на поле размером n × n в каждой клетке находится шарик со значением 0, 1, 2 или 3. Требуется за один ход уничтожить крест из шариков, такой что произведение значений составляющих его шариков максимально. Кресты из шариков могут быть обычные и повёрнутые. Например:


**o**
**o**
ooooo
**o**
**o**

или


o***o
*o*o*
**o**
*o*o*
o***o

Формально, крест задаётся тремя целыми числами r, c и d, такими что d ≤ r, c ≤ n - d + 1. При этом обычный крест состоит из шариков с координатами (x, y) (здесь x означает номер строки, а y — столбца), такими что выполнено |x - r|·|y - c| = 0 и |x - r| + |y - c| < d. Повёрнутый крест состоит из шариков с координатами (x, y), такими что |x - r| = |y - c| и |x - r| < d.

Ваня хочет узнать максимально возможное произведение значений шариков, образующих один крест. Поскольку ответ может быть слишком большим, Ваня хочет знать это число по модулю 109 + 7.

Входные данные

В первой строке входных данных находится число n (1 ≤ n ≤ 1000) — размерность таблицы с шариками.

В каждой из следующих n строк записано n символов «0», «1», «2» или «3», описывающих значения, записанные в шариках.

Выходные данные

Выведите самое большое возможное произведение по модулю 109 + 7. Обратите внимание, что требуется не максимизировать остаток от деления, а найти максимальное число и вывести его по модулю 109 + 7.

Примечание

В первом примере максимальное произведение достигается на повёрнутом кресте с центром в точке (3, 3) и радиусом 1: 2·2·3·3·3 = 108.

B. Медвежонок и башни из кубиков

Бинарный поиск дп жадные алгоритмы *2200

Маленький полярный медвежонок Лимак строит башни из блоков. Каждый блок является кубиком с целочисленной длиной стороны. У Лимака есть неограниченное количество любых блоков.

Блок со стороной a имеет объём a3. Объём башни, составленной из блоков со сторонами a1, a2, ..., ak, равен суммарному объёму всех этих блоков a13 + a23 + ... + ak3.

Лимак собирается построить башню. Сначала он просит вас назвать целое положительное число X — требуемый объём башни. Затем Лимак строит башню жадно, каждый раз выбирая самый большой блок, который можно добавить к текущей башне так, чтобы её объём не превысил X.

Лимак просит вас выбрать некоторое X, не превосходящее m, таким образом, чтобы количество блоков, использованных для постройки башни (по жадному алгоритму), было максимально возможным. Из всех таких X он просит вас выбрать максимальное.

Можете ли вы помочь Лимаку? Найдите максимальное количество блоков, которое может быть использовано при постройке башни объёма X ≤ m, и максимальное подходящее число X, для которого достигается этот результат.

Входные данные

В единственной строке входных данных записано целое число m (1 ≤ m ≤ 1015), означающее, что вы должны выбрать число X в диапазоне от 1 до m включительно.

Выходные данные

Выведите два целых числа — максимально возможное количество блоков в башне и максимальное значение X, на котором это количество блоков достигается.

Примечание

В первом примере можно получить 9 блоков, выбрав X = 23 или X = 42. Поскольку Лимак хочет максимизировать X при равном числе блоков, то он должен выбрать 42.

Рассмотрим процесс постройки башни для X = 42:

  • Лимак выберет блок со стороной 3, поскольку это самый большой блок, объём которого не превосходит 42. Останется 42 - 27 = 15.
  • Далее, Лимак выберет блок со стороной 2, после чего останется 15 - 8 = 7.
  • Наконец, можно брать только блоки со стороной 1, Лимак возьмёт 7 таких блоков.

Таким образом, башня состоит из 9 блоков суммарным объёмом 33 + 23 + 7·13 = 27 + 8 + 7 = 42.

B. Обмен энергией

Бинарный поиск *1600

Как известно, сейчас на планете энергетический кризис. Маленький Петя недоволен этим и собирается спасти мир. Для этого ему нужно чтобы в каждом накопителе было одинаковое число энергии. Изначально в каждом накопителе находится некое количество энергии: в i-ом накопителе находится ai единиц энергии. Энергию можно передавать между накопителями, причем каждый раз при передаче x единиц энергии (x не обязательно целое) ровно k процентов рассеивается. То есть если с одного накопителя передавалось на другой x единиц, то в первом стало на x единиц меньше энергии, а в другом — на больше единиц.

Ваша задача — помочь Пете найти, какое наибольшее равное количество энергии может остаться в накопителях после обменов энергией.

Входные данные

В первой строке входного файла находятся два целых числа n и k (1 ≤ n ≤ 10000, 0 ≤ k ≤ 99) — количество накопителей и процент энергии, который рассеивается при передаче.

В следующей строке находятся n целых чисел a1, a2, ... , an — запас энергии в первом, втором, ..., n-ом накопителе соответственно (0 ≤ ai ≤ 1000, 1 ≤ i ≤ n).

Выходные данные

Выведите максимальное возможное количество энергии, которое может остаться в каждом из накопителей после перераспределения энергии.

Абсолютная или относительная погрешность ответа не должна превышать 10 - 6.

C. Оптимальная точка

Бинарный поиск математика *2900

Когда река принесла Герду к дому старой чародейки, та захотела сделать её своей приёмной дочерью. Чтобы Герда забыла про Кая, она волшебством убрала все розы из своего сада глубоко под землю.

Крот, живущий в саду, теперь может любоваться на розы, не вылезая на поверхность. Как известно, кроты слепы, но чародейка даровала этому кроту особое зрение. Он может видеть любые объекты под землёй, находящиеся на любом расстоянии от него и даже загороженные другими объектами. Но при этом то, насколько хорошо крот видит объект, зависит от манхэттенского расстояния до объекта.

Крот хочет найти оптимальную точку для наблюдения за розами, то есть такую точку, что её координаты являются целыми числами, а максимальное манхэттенское расстояние от неё до всех роз является минимально возможным.

Помогите ему найти оптимальную точку для наблюдения за розами.

Манхэттенским расстоянием между точками (x1,  y1,  z1) и (x2,  y2,  z2) называется величина |x1 - x2| + |y1 - y2| + |z1 - z2|.

Входные данные

В первой строке входных данных записано число t (1 ≤ t ≤ 100 000) — количество тестовых случаев. Затем следует ровно t блоков, каждый из которых описывает ровно один тест.

В первой строке каждого блока записано одно число ni (1 ≤ ni ≤ 100 000) — количество роз в тесте. Затем следует ровно ni строк, в каждой из которых задаётся три целых числа — координаты соответствующей розы. Обратите внимание, две и более роз могут быть расположены в одной точке.

Сумма всех ni не превосходит 100 000, все координаты по абсолютной величине не больше 1018.

Выходные данные

Для каждого из t тестовых случае выведите три целых числа — координаты оптимальной точки для наблюдения за розами в соответствующем тесте. Если оптимальных точек несколько, вы можете вывести любую из них.

Координаты оптимальной точки могут совпадать с координатами роз.

Примечание

В первом тесте максимальное манхэттенское расстояние равно 4.

Во втором тесте максимальное манхэттенское расстояние равно 0. Координаты роз могут совпадать как друг с другом, так и с оптимальной точкой.

C. Майк и шоколадные воры

Бинарный поиск Комбинаторика математика *1700

Плохие новости в деревне Майка — неизвестные воры украли много шоколадок с местного завода! Ужас!

Кроме любви к сладкому, воры из окрестностей еще и известные жадины. Поэтому когда один из воров забирает несколько шоколадок для себя, следующий вор забирает ровно в k раз больше шоколадок. Значение k (k > 1) является секретным целым числом, известным только ворам. Также известно, что рюкзак любого вора выдерживает ограниченное количество шоколадок, однако и это целое число n остается в тайне между ворами. Кроме того, Майк знает, что всего в краже шоколадок участвовали четыре вора.

Число n известно только ворам, однако по слухам, число способов, которыми воры могли разобрать шоколадки (при фиксированном n, но не фиксированном k) равно m. Два способа украсть шоколадки считаются различными, если найдется вор (а их следует нумеровать в порядке взятия ими шоколадок), что количество шоколадок, взятое им, различается в этих способах.

Майк хочет поймать воров, поэтому ему важно знать больше об их сумках, и значение n поможет ему в этом. Помогите Майку найти наименьшее подходящее значение n или сообщите, что слухи ложны и подходящего n не существует.

Входные данные

В единственной строке входных данных содержится целое число m (1 ≤ m ≤ 1015) — слух о числе способов украсть шоколадки.

Выходные данные

Выведите единственное целое число n — максимальное количество шоколадок, которое может выдержать портфель любого из воров. Если таких n несколько, выведите наименьшее из них.

Если таких n не существует и слухи ложны, выведите  - 1.

Примечание

В первом примере из условия наименьшим подходящим n является n = 8, и количества украденных каждым вором шоколадок равны (1, 2, 4, 8).

Во втором примере из условия наименьшим подходящим n является n = 54 с количествами: (1, 2, 4, 8),  (1, 3, 9, 27),  (2, 4, 8, 16),  (2, 6, 18, 54),  (3, 6, 12, 24),  (4, 8, 16, 32),  (5, 10, 20, 40),  (6, 12, 24, 48).

В третьем примере подходящего к ровно десяти способам n не существует.

D. Друзья и последовательности

Бинарный поиск Структуры данных *2100

Майк и !Майк соперничают еще со школьных лет, они противоположны во всем что делают, кроме программирования. Сегодня у них возникла проблема, которую сами друзья сами решить не могут, но вместе с вами — кто знает?

Каждый из них знает две последовательности n чисел a и b. По запросу в виде пары целых чисел (l, r) Майк может сразу сообщить значение , а !Майк — значение .

Предположим, что робот задает им каждый из возможных различных запросов в виде пары целых чисел (l, r) (1 ≤ l ≤ r ≤ n) (то есть он сделает ровно n(n + 1) / 2 запросов) и считает, сколько раз их ответы на один и тот же запрос совпадают, то есть для скольких пар выполняется .

Сколько случаев совпадения посчитает робот?

Входные данные

В первой строке содержится единственное целое число n (1 ≤ n ≤ 200 000).

Во второй строке содержатся n целых чисел a1, a2, ..., an ( - 109 ≤ ai ≤ 109) — элементы последовательности a.

В третьей строке содержатся n целых чисел b1, b2, ..., bn ( - 109 ≤ bi ≤ 109) — элементы последовательности b.

Выходные данные

Выведите одно целое число — количество совпадений ответов, которые посчитает робот, то есть для скольких пар выполняется .

Примечание

В первом примере входных данных всего два совпадения:

1.l = 4,r = 4 since max{2} = min{2}.

2.l = 4,r = 5 since max{2, 1} = min{2, 3}.

Во втором примере входных данных совпадений не произойдет, так как ответ Майка на любой запрос всегда 3, в то время как !Майк всегда будет отвечать 1.

F. ...Дарно!

Бинарный поиск геометрия *3300

Барни наконец-то нашел ту единственную, красивую юную леди по имени Лианна. Проблема заключается в том, что сейчас они заперты в замке Лорда Лосса. Замок имеет форму выпуклого многоугольника из n точек. Как и большинство замков в мирах Demonata, у этого замка нет потолка.

У Барни и Лианны есть план побега, но он требует некоторых знаний геометрии, поэтому они просят вас о помощи.

Барни знает, что демоны организованы и двигаются по прямым. Он и Лианна хотят выждать подходящее для побега время, а для этого им нужно следить за демонами. Каждый из них хочет находиться в точке внутри замка (возможно на ребрах или в вершинах), также оба они могут стоять в одной точке. Также они хотят выбрать вещественное число r и наблюдать за всеми точками внутри двух окружностей радиуса r (эти окружности могут пересекаться) с центрами в их позициях.

Мы считаем, что Барни и Лианна следят внимательно тогда и только тогда, когда для каждого ребра многоугольника хотя бы один из них видит хотя бы одну точку на прямой, образованной этим ребром, таким образом эта точка может не лежать на ребре, но должна лежать на прямой, продолжающей это ребро. Формально, каждая из прямых, образованных ребрами, должна иметь хотя бы одну общую точку с хотя бы одной из окружностей.

Чем больше значение r, тем больше энергии и концентрации им нужно, поэтому они просят вас сообщить минимально возможное значение r, при котором они могут следить внимательно.

Входные данные

Первая строка входных данных содержит единственное целое число n (3 ≤ n ≤ 300) — количество точек многоугольника замка.

Следующие n строк содержат описание вершин многоугольника в порядке обхода против часовой стрелки. i-ая из них содержит два целых числа xi и yi (|xi|, |yi| ≤ 104) — координаты i-й вершины многоугольника. Гарантируется, что данные точки образуют выпуклый многоугольник, в частности, никакие три из них не лежат на одной прямой.

Выходные данные

В первой строке выведите единственное вещественное число r — минимальный радиус окружностей.

Во второй строке выведите пару координат точки, в которой должен стоять Барни.

Во третьей строке выведите пару координат точки, в которой должна стоять Лианна.

Точки должны лежать внутри многоугольника.

Координаты точек не обязаны быть целыми. Если существует несколько ответов, выведите любой из них.

Ваш ответ будет засчитан, если его относительная или абсолютная погрешность не превосходит 10 - 6.

Примечание

В первом примере ребята могут стоять в противоположных углах замка.

C. Счастливые билеты

Бинарный поиск Структуры данных сортировки *2200

В Моржландии билеты общественного транспорта характеризуются двумя целыми числами: номером серии и номером билета в этой серии. Пусть номер серии будет обозначаться a, а номер билета — b, тогда билет описывается упорядоченной парой чисел (a, b).

У моржей существует примета, что билет счастливый, если a * b = rev(a) * rev(b). Функция rev(x) переворачивает число, записанное в десятичной системе счисления, при этом ведущие нули исчезают. Например, rev(12343) = 34321, rev(1200) = 21.

Комитет управления общественным транспортом хочет выпустить x серий, по y билетов в каждой, так, чтобы всего было выпущено как минимум w счастливых билетов, а общее количество выпущенных билетов (x·y) было минимально. Серии нумеруются от 1 до x (включительно), билеты в каждой нумеруются от 1 до y (включительно). Транспортный комитет не может выпускать более maxx серий и более maxy билетов в одной серии.

Входные данные

В первой строке записаны три целых числа maxx, maxy, w (1 ≤ maxx, maxy ≤ 105, 1 ≤ w ≤ 107).

Выходные данные

Выведите в единственной строке через пробел пару чисел x и y, если возможных ответов несколько — выведите любой. Если таких x и y не существует — выведите единственное число  - 1.

A. Как можно быстрее

Бинарный поиск математика *1900

На каникулах n школьников решили сходить на экскурсию и собрались все вместе. Им необходимо преодолеть путь длиной l метров. Каждый из школьников будет идти со скоростью v1. Чтобы быстрее добраться до экскурсии было принято решение арендовать автобус, вместимостью k человек (то есть одновременно в автобусе не может находиться более k человек) и скоростью v2. Чтобы никого из школьников не укачало, каждый из них хочет сесть в автобус не более одного раза.

Перед вами стоит задача определить минимальное время, по истечении которого все n школьников смогут добраться до места проведения экскурсии. Считайте, что посадка и высадка пассажиров, а также разворот автобуса, происходят мгновенно и этим временем можно пренебречь.

Входные данные

В первой строке следует пять целых положительных чисел n, l, v1, v2 и k (1 ≤ n ≤ 10 000, 1 ≤ l ≤ 109, 1 ≤ v1 < v2 ≤ 109, 1 ≤ k ≤ n) — количество школьников, расстояние от места сбора до места проведения экскурсии, скорость каждого школьника, скорость машины и количество мест в машине.

Выходные данные

Выведите вещественное число — минимальное время, по истечении которого все школьники доберутся до места проведения экскурсии. Относительная или абсолютная погрешность ответа не должна превышать 10 - 6.

Примечание

В первом тестовом примере нужно сразу посадить все 5 школьников в автобус. Так как он едет со скоростью 2, а нужно преодолеть расстояние равное 10, то школьники доберутся до экскурсии за время равное 10 / 2 = 5.

C. Они повсюду

Строки Бинарный поиск *1500

Юный тренер покемонов Сергей Б. обнаружил большой дом, состоящий из n квартир, выстроенных в ряд слева направо, причем в каждую квартиру можно зайти с улицы, из каждой квартиры можно выйти на улицу, а также из каждой квартиры можно зайти в соседнюю слева или справа квартиру. Из квартиры номер 1 можно попасть только в квартиру номер 2, а из квартиры номер n можно попасть только в квартиру номер n - 1.

Так сложилось, что в каждой из этих квартир находится ровно один покемон какого-то типа. Возможно, что в каких-то квартирах находятся покемоны одинаковых типов. Сергей Б. попросил жителей дома пустить его к ним в квартиры, чтобы поймать покемонов. Посовещавшись, жители дома решили, что разрешат Сергею Б. зайти с улицы ровно в одну квартиру, посетить несколько квартир, а затем выйти из какой-то квартиры на улицу, причем они не разрешили Сергею Б. посещать никакую квартиру более одного раза.

Сергей Б. очень обрадовался, но как человек интеллигентный, решил посетить как можно меньше квартир, но при этом, естественно, собрать покемонов всех типов, которые есть в доме (иначе зачем тогда это всё). Перед вами стоит задача помочь ему и определить это минимальное число квартир.

Входные данные

В первой строке следует целое число n (1 ≤ n ≤ 100 000) — количество квартир в доме.

Во второй строке следует строка s длины n, состоящая из строчных и прописных букв английского алфавита, причем i-я буква равна типу покемона, который находится в квартире номер i.

Выходные данные

Выведите минимальное число квартир, которые должен посетить Сергей Б., чтобы поймать покемонов всех типов, которые есть в доме.

Примечание

В первом тестовом примере Сергей Б. может, например, начать с квартиры 1 и закончить в квартире 2.

Во втором тестовом примере Сергей Б. может, например, начать с квартиры 4 и закончить в квартире 6.

В третьем тестовом примере Сергей Б. должен начать с квартиры 2 и закончить в квартире 6.

C. Сотовая связь

Бинарный поиск реализация *1500

На прямой заданы n точек — позиции населенных пунктов, а также m точек — позиции вышек сотовой связи. Все вышки работают одинаково, они обеспечивают сотовой связью все населенные пункты, которые удалены от нее не более чем на r.

Перед вами стоит задача определить минимальное r, чтобы каждый населенный пункт был обеспечен сотовой связью. Иными словами надо найти наименьшее r такое, что для каждого города найдется хотя бы одна вышка на расстоянии не более чем r.

Если r = 0, то вышка обеспечивает сотовой связью только ту точку, где она расположена. Одна вышка может обеспечивать сотовой связью любое количество населенных пунктов, при условии, что все они расположены от неё на расстоянии не более чем r.

Входные данные

В первой строке следует два целых положительных числа n и m (1 ≤ n, m ≤ 105) — количество населенных пунктов и количество вышек.

Во второй строке следует последовательность из n целых чисел a1, a2, ..., an ( - 109 ≤ ai ≤ 109) — координаты населенных пунктов. Допустимо, что в одной точке может быть несколько населенных пунктов. Все координаты населенных пунктов заданы в порядке неубывания.

В третьей строке следует последовательность из m целых чисел b1, b2, ..., bm ( - 109 ≤ bj ≤ 109) — координаты вышек сотовой связи. Допустимо, что в одной точке может быть несколько вышек. Все координаты вышек заданы в порядке неубывания.

Выходные данные

Выведите минимальное число r такое, что каждый населенный пункт будет обеспечен сотовой связью.

B. Интересный напиток

Бинарный поиск реализация дп *1100

Рабочий Василий очень любит отдыхать после работы, поэтому его часто можно встретить в каком-нибудь баре. Как и все программисты, Василий очень любит напиток «Пикола», который продаётся в n различных магазинах города. Известно, что в i-м магазине бутылка напитка стоит xi монет.

Василий планирует покупать одну бутылку своего любимого напитка на протяжении q дней. Он знает, что в i-й день у него с собой будет mi монет, и теперь он хочет для каждого из дней узнать, в каком количестве магазинов он сможет купить одну бутылочку Пиколы.

Входные данные

В первой строке входных данных содержится целое число n (1 ≤ n ≤ 100 000) —количество магазинов в городе, продающих любимый напиток Василия.

Во второй строке входных данных содержится n чисел xi (1 ≤ xi ≤ 100 000) — цена за одну бутылку напитка в i-м магазине.

В третьей строке входных данных содержится число q (1 ≤ q ≤ 100 000) —количество дней, в течение которых Василий планирует покупать напиток.

В следующих q строках входных данных содержатся целые числа mi (1 ≤ mi ≤ 109) — количество денег, которое есть у Василия в i-й день.

Выходные данные

Выведите q целых чисел, i-е из которых должно равняться количеству магазинов, в которых Василий может купить одну бутылочку любимого напитка в день i.

Примечание

В первом запросе ни в одном магазине Василию не хватит денег.

Во втором запросе Василию хватит денег, чтобы купить напиток в магазинах под номерами 1, 2, 3 и 4.

В третьем запросе Василию хватит денег, чтобы купить напиток в магазине под номером 1.

И в последнем запросе Василий может купить свой напиток в любом магазине.

D. Мультимножество Василия

Бинарный поиск Деревья Структуры данных *1800 битмаски

У автора уже закончились истории про Василия, поэтому он просто написал формальную постановку задачи.

У вас есть q запросов и мультимножество A, изначально содержащее только число 0. Запросы бывают трёх видов:

  1. «+ x» —добавить в мультимножество A число x.
  2. «- x» —удалить одно вхождение числа x из мультимножества A. Гарантируется, что хотя бы одно число x в этот момент присутствует в мультимножестве.
  3. «? x» —вам даётся число x, требуется вычислить , то есть максимальное значение побитового исключающего ИЛИ (также известно как XOR) числа x и какого-нибудь числа y из мультимножества A.

Мультимножество — это множество, в котором разрешается несколько одинаковых элементов.

Входные данные

В первой строке входных данных содержится число q (1 ≤ q ≤ 200 000) — количество запросов, которые требуется обработать Василию.

Каждая из последующих q строк входных данных содержит один трёх символов «+», «-» или «?» и число xi (1 ≤ xi ≤ 109). Гарантируется, что во входных данных встречается хотя бы один запрос «?».

Обратите внимание, что число 0 всегда будет присутствовать в мультимножестве.

Выходные данные

На каждый запрос типа «?» выведите единственное целое число — максимальное значение побитового исключающего ИЛИ для числа xi и какого-либо числа из мультимножества A.

Примечание

После первых пяти операций в мультимножестве A содержатся числа 0, 8, 9, 11, 6 и 1.

Ответом на шестой запрос будет число  — максимальное из чисел , , , и .

B. Поиски прямоугольников

Бинарный поиск Конструктив *2200 интерактив

На уроке математики ёжик Филя изучал новую геометрическую фигуру — прямоугольник. Ему дали задание: нарисовать на квадратном клетчатом поле, состоящем из n × n единичных квадратиков, два прямоугольника, стороны которых параллельны осям координат, при этом каждый квадратик либо полностью принадлежит прямоугольнику, либо полностью не принадлежит. Строки поля пронумерованы снизу вверх от 1 до n, столбцы пронумерованы слева направо от 1 до n. Клетка, расположенная на пересечении строки r и столбца c, обозначается (r, c). Филя нарисовал два прямоугольника так, что никакая клетка не принадлежит сразу обоим прямоугольникам.

Через некоторое время ёжику стало интересно, в каких координатах были расположены его прямоугольники, но он никак не мог найти, где он их нарисовал. Как оказалось, рисунки были у совы Сони. Так как Соня достаточно вредная, она решила сыграть с Филей в игру. Он должен спрашивать, сколько прямоугольников находятся полностью внутри некоторого прямоугольника-запроса, а Соня будет отвечать на его вопросы. Прямоугольник-запрос удовлетворяет тем же ограничениям, что и прямоугольники, нарисованные Филей. Прямоугольник полностью лежит внутри прямоугольника-запроса, если каждая его клетка является клеткой прямоугольника-запроса.

Поскольку Филя хорошо знает Соню, он уверен, что если он спросит её более 200 раз, то сове надоест, и он больше не сможет получать ответы.

Входные данные

В первой строке записано целое число n (2 ≤ n ≤ 216) — размеры квадратного поля.

Ответом на каждый запрос является число от 0 до 2 — количество прямоугольников, которые полностью находятся в прямоугольнике-запросе.

Выходные данные

Чтобы сделать запрос, вы должны вывести «? x1 y1 x2 y2» (без кавычек) (1 ≤ x1 ≤ x2 ≤ n, 1 ≤ y1 ≤ y2 ≤ n), где (x1, y1) — координаты левой нижней клетки прямоугольника-запроса, а (x2, y2) — координаты правой верхней клетки прямоугольника-запроса. Разрешается выполнить не более 200 запросов. После каждого запроса нужно вывести перевод строки и сделать операцию «flush», после чего считать ответ Сони.

В момент, когда вы считаете, что уже знаете ответ (или у вас кончились запросы), необходимо вывести «! x11 y11 x12 y12 x21 y21 x22 y22» (без кавычек), где первые четыре числа описывают левую нижнюю и правую верхнюю клетки первого прямоугольника, а следующие четыре — второго. Прямоугольники можно выводить в произвольном порядке. После ответа нужно вывести перевод строки и сделать операцию 'flush'. После вывода ответа ваша программа должна завершиться.

Протокол взаимодействия

Чтобы сделать операцию 'flush' сразу после вывода числа и перевода строки нужно сделать:

cout.flush() или fflush(stdout) в C++;

System.out.flush() в Java;

stdout.flush() в Python;

flush(output) в Pascal;

смотрите документацию для других языков.

Вы получите Wrong Answer, если сделаете более 200 запросов или если не угадаете координаты прямоугольников.

Вы получите вердикт Idleness Limit Exceeded, если не будете ничего выводить (а тестирующая программа будет ожидать ввода) или забудете сделать операцию 'flush' после какого-нибудь вывода.

Описание теста для взлома

В первой строке теста должно быть записано число n (2 ≤ n ≤ 216).

Во второй строке должно быть четыре числа x1, y1, x2, y2 (1 ≤ x1 ≤ x2 ≤ n, 1 ≤ y1 ≤ y2 ≤ n) — описание первого прямоугольника.

В третьей строке должно быть описание второго прямоугольника в аналогичном формате.

D. Зверята и пазл

Бинарный поиск Структуры данных *2700

Сова Соня подарила ёжику Филе огромный пазл размером n на m с изображением красивого озера. Друзья сразу начали собирать картинку, но много фрагментов пазла оказались пустыми — на них не было никакого рисунка. Фрагменты с рисунком будем обозначать числом 1, а пустые фрагменты — числом 0. Строки пазла пронумерованы сверху вниз целыми числами от 1 до n, а столбцы — слева направо целыми числами от 1 до m.

Зверята решили сложить картину полностью и немного поиграть с ней, ведь это же еще интереснее! Сова и ёжик по очереди задают друг другу вопросы. Вопрос определяется четырьмя числами x1, y1, x2, y2, которые описывают прямоугольник, где (x1, y1) — координаты левой верхней клетки прямоугольника, а (x2, y2) — координаты правой нижней клетки. Ответом на вопрос является максимальный размер квадрата, полностью сложенного из фрагментов с рисунками (то есть квадрата из 1) и полностью находящегося внутри прямоугольника из вопроса.

Помогите Соне и Филе ответить на t запросов.

Входные данные

В первой строке входных данных записаны два числа n и m (1 ≤ n, m ≤ 1000) — размеры пазла.

В каждой из последующих n строк записаны m чисел aij. Каждое число равно 1, если в соответствующей клетке пазла есть рисунок, и 0, если она пустая.

В следующей строке записано целое число t (1 ≤ t ≤ 1 000 000) — количество запросов.

Дальше идут t строк, которые описывают запросы, i-я из этих строк содержит четыре числа x1, y1, x2, y2 (1 ≤ x1 ≤ x2 ≤ n, 1 ≤ y1 ≤ y2 ≤ m) — координаты левой верхней и правой нижней клеток прямоугольника-запроса.

Выходные данные

Выведите t строк. В i-й из них выведите максимальную длину стороны квадрата, полностью состоящего из 1 и лежащего внутри запроса.

E. Тамада Соня

Бинарный поиск дп *3300

Сова Соня решила стать тамадой. Для этого она собрала своих друзей сов на даче. Соня поставила в круг m стульев и последовательно пронумеровала их от 1 до m. Таким образом, стулья i и i + 1 являются соседними для всех i от 1 до m - 1. Также соседними являются стулья 1 и m. На некоторых стульях сидят её друзья, их всего n. Никакие два друга не сидят на одном стуле. Соня придумала следующие правила:

  1. Каждый из участников убирает из игры стул, на котором он сейчас сидит.
  2. Каждый из участников выбирает направление, в котором он будет двигаться, — по часовой стрелке (возрастание номеров, из m переход в 1) или против часовой (убывание номеров, из 1 переход в m). Эти направления могут совпадать или различаться для двух произвольных сов.
  3. Каждый ход гости двигаются на одну позицию в выбранном направлении. Если там находится стул, то он убирается из игры.
  4. Игра заканчивается, когда в кругу не остаётся ни одного стула.

У всех сов есть свои дела, поэтому они хотят закончить игру как можно быстрее. Гости договариваются, кто в каком направлении идет. Их задача — за минимально возможное количество ходов завершить игру. Помогите им в этом.

Входные данные

Первая строка входных данных содержит единственное число m (1 ≤ m ≤ 109) — длину круга.

Вторая строка содержит единственное число n (1 ≤ n ≤ 100 000) — количество друзей.

Следующая строка содержит возрастающую последовательность из n чисел ai (1 ≤ ai ≤ m) — начальные позиции друзей сов.

Выходные данные

Выведите минимальное количество ходов, за которое совы могут завершить игру. В том числе ответом может быть число 0.

Примечание

В первом примере это возможно, если все совы будут двигаться по часовой стрелке, то есть в направлении возрастания номеров позиций.

Во втором примере первой сове требуется двигаться по часовой стрелке, а второй — против.

В третьем примере первая и четвертая сова должны двигаться против часовой стрелки, третья и шестая — по часовой, а вторая и пятая могут двигаться как угодно.

B. Дополни граф

Бинарный поиск Конструктив графы *2300 кратчайшие пути

Кодер ZS нарисовал неориентированный граф из n вершин пронумерованных от 0 до n - 1 и m ребер между ними. Каждое ребро графа взвешено, а каждый вес — целое положительное число.

На следующий день Кодер ZS обнаружил, что некоторые из весов были стерты! Теперь он хочет восстановить целый положительный вес у каждого ребра, вес которого был стерт, так, что длина кратчайшего пути между вершинами s и t в получившемся графе в точности равна L. Поможете ему?

Входные данные

Первая строка содержит пять целых чисел n, m, L, s, t (2 ≤ n ≤ 1000,  1 ≤ m ≤ 10 000,  1 ≤ L ≤ 109,  0 ≤ s, t ≤ n - 1,  s ≠ t) — количество вершин, количество ребер, желаемая длина кратчайшего пути, начальная и конечная вершины соответственно.

Далее следуют m строк, описывающие ребра графа. i-ая из них содержит три целых числа ui, vi, wi (0 ≤ ui, vi ≤ n - 1,  ui ≠ vi,  0 ≤ wi ≤ 109). ui и vi означают концы ребра, а wi — его вес. Если wi равно 0, то вес соответствующего ребра был стерт.

Гарантируется, что между каждой парой вершин существует не более одного ребра.

Выходные данные

Выведите «NO» (без кавычек) в единственной строке, если восстановить веса ребрам требуемым образом невозможно.

В противном случае, выведите «YES» в первой строке. Следующие m строк должны содержать описания ребер получившегося графа, с весами, заданными ребрам, вес которых был стерт. i-ая из них должна содержать три целых числа ui, vi и wi, означающих ребро между ui и vi веса wi. Ребра нового графа должны совпадать с ребрами графа из входных данных. Веса, которые не были стерты, должны остаться неизменными, тогда как новые веса могут быть любыми целыми положительными числами, не превышающими 1018.

Порядок ребер в выходных данных не важен. Длина кратчайшего пути между s и t должна равняться L.

Если существует несколько решений, выведите любое из них.

Примечание

Вот так выглядит граф в первом примере из условия:

В первом примере из условия вес отсутствует всего у одного ребра. Если задать ему вес, равный 8, то длина кратчайшего пути между 0 и 4 будет равна 13.

Во втором примере из условия всего одно ребро. Очевидно, единственным ответом является задание ему веса 123456789.

В последнем примере из условия ни один вес задавать не нужно, но длина кратчайшего пути не совпадает с нужным значением, так что ответ — «NO».

E. Дорога домой

Бинарный поиск дп *2700

Как-то раз студент Данил поздно возвращался домой от трамвайной остановки по прямой дороге длины L. Остановка находится в точке x = 0, а дом Данила располагается в точке x = L. Данил идет от x = 0 к x = L с постоянной скоростью не меняя направления.

На дороге находятся n фонарей, каждый из которых освещает некоторый непрерывный отрезок дороги. Все n освещенных отрезков не имеют общих точек.

Данил очень любит петь, поэтому во время прогулки он хочет многократно спеть свою любимую песню. Так как неосвещенные участки дороги вызывают у него опасение, то он поёт только тогда, когда идет по освещенным фонарями отрезкам.

За время однократного исполнения любимой песни Данил проходит расстояние p. Данил не может начать очередное исполнение, если отрезок пути во время исполнения не является полностью освещенным. Кроме того, если Данил взял паузу между двумя исполнениями, то он не будет петь, пока не пройдет отрезок пути длины хотя бы t. Формально,

  1. Данил может начать исполнение в точке x, только если каждая точка отрезка [x, x + p] является освещенной;
  2. Если Данил закончил исполнение в точке x + p, то следующее он может начать только в точке y такой, что y = x + p или y ≥ x + p + t, и удовлетворяющей пункту 1.
Синими полукругами отмечены исполнения песни. Обратите внимание, что как только Данил взял паузу в исполнении, он не пел на протяжении пути длины не менее t.

Определите, какое наибольшее количество раз Данил сможет исполнить свою любимую песню по пути из точки x = 0 в точку x = L.

Обратите внимание, что Данил не прерывает исполнение песни, то есть, начав петь в очередной раз, он заканчивает петь, пройдя путь длины p с момента начала исполнения.

Входные данные

В первой строке входных данных содержится четыре целых числа L, n, p и t (1 ≤ L ≤ 109, 0 ≤ n ≤ 100 000, 1 ≤ p ≤ 109, 1 ≤ t ≤ 109) — длина пути Данила, количество фонарей на дороге, расстояние, которое Данил проходит во время исполнения песни и минимальная длина паузы соответственно.

Следующие n строк описывают отрезки, освещаемые фонарями. i-я из них содержит два целых числа li, ri (0 ≤ li < ri ≤ L) — границы отрезка, освещаемого i-м фонарём. Гарантируется, что никакие два отрезка не пересекаются, не вкладываются и не соприкасаются. Отрезки заданы в порядке слева направо.

Выходные данные

Выведите единственное число — наибольшее количество исполнений любимой песни Данилом на пути из точки x = 0 в точку x = L.

Примечание

Первый тест примерно соответствует картинке из условия.

D. Генерация наборов

Строки Бинарный поиск Деревья Структуры данных поиск в глубину и подобное жадные алгоритмы *1900

Вам задан набор Y из n различных целых положительных чисел y1, y2, ..., yn.

Назовём набор X из n различных целых положительных чисел x1, x2, ..., xn генератором для Y, если из набора X можно получить набор Y, применяя к элементам набора X следующие две операции:

  1. Умножить произвольное число xi на два, то есть заменить xi на xi.
  2. Умножить произвольное число xi на два и прибавить единицу, то есть заменить xi на xi + 1.

Обратите внимание, не требуется, чтобы все числа в наборе X были различны после выполнения каждой операции.

Наборы в данной задаче сравниваются как множества чисел. Другими словами, два набора различных чисел X и Y совпадают, если, выписав оба набора в отсортированном порядке, мы получим одинаковые массивы.

Заметьте, что любой набор чисел (или его перестановка) сам является одним из своих генераторов.

По заданному набору Y найдите его генератор, в котором максимальное число минимально.

Входные данные

В первой строке входных данных записано число n (1 ≤ n ≤ 50 000) — количество чисел в наборе Y.

Во второй строке записаны n чисел y1, ..., yn (1 ≤ yi ≤ 109). Гарантируется, что все числа в наборе различны.

Выходные данные

Выведите n чисел — генератор для заданного набора Y, в котором максимальное число как можно меньше. Если подходящих наборов несколько, разрешается вывести любой из них.

F. Задачи Поликарпа

Бинарный поиск дп жадные алгоритмы *2300

Поликарп — опытный участник соревнований по программированию Codehorses. Теперь он решил попробовать себя в качестве автора задач.

Он отослал координатору раундов набор из n задач. Каждая задача характеризуется своим качеством, качество i-й задачи равно ai (ai может быть положительно, отрицательно или равно нулю). Задачи отсортированы по предполагаемой сложности, которая никак не связана с качеством. Таким образом, самая простая задача имеет номер 1, а самая сложная — номер n.

В настоящий момент настроение координатора равно q. Известно, что после чтения очередной задачи его настроение изменяется на качество этой задачи, то есть после того, как координатор прочитает задачу с качеством b, к его настроению добавляется величина b. Координатор всегда читает задачи подряд от самой простой к самой сложной, порядок чтения задач изменять нельзя.

Если в какой-то момент текущее настроение координатора становится отрицательным, то он немедленно прекращает чтение и полностью отклоняет весь комплект задач.

Поликарп хочет выбросить минимальное количество задач так, чтобы настроение координатора всегда было неотрицательным. Так как Поликарп не знает точно текущее настроения координатора, то у него есть m гипотез вида «текущее настроение координатора q = bi».

Для каждой из m гипотез найдите минимальное количество задач, которое надо удалить из комплекта, чтобы при чтении оставшихся задач от самой простой к самой сложной настроение координатора всегда было больше или равно 0.

Входные данные

В первой строке входных данных записаны два целых числа n и m (1 ≤ n ≤ 750, 1 ≤ m ≤ 200 000) — количество задач в комплекте и количество гипотез о настроении координатора соответственно.

Во второй строке записаны n целых чисел a1, a2, ..., an ( - 109 ≤ ai ≤ 109) — качество задач в комплекте в порядке увеличения сложности.

В третьей строке содержится m целых чисел b1, b2, ..., bm (0 ≤ bi ≤ 1015) — возможные значения текущего настроения координатора q.

Выходные данные

Выведите m строк, в i-й из них выведите единственное целое число — ответ на задачу для q = bi.

C. Дорога до кинотеатра

Бинарный поиск жадные алгоритмы сортировки *1700

Вася находится в центре проката машин и хочет как можно скорее добраться до кинотеатра. Сеанс, на который он уже купил билет, начнётся через t минут. Считайте, что есть прямая дорога от центра проката машин до кинотеатра длиной s километров. Введём систему координат так, что центр проката машин находится в точке 0, а кинотеатр находится в точке s.

Известно, что по пути от центра проката машин до кинотеатра есть k заправочных станций, причём на всех можно заливать неограниченное количество топлива совершенно бесплатно! Считайте, что операция залива топлива осуществляется мгновенно.

В центре проката есть n машин, i-я из которых характеризуется двумя числами ci и vi — стоимостью аренды машины и вместимостью её бака. Таким образом, на заправке нельзя заливать в машину топлива больше вместимости её бака vi. В центре проката все машины изначально полностью заправлены.

Каждая из машин может ехать в одном из двух скоростных режимов: обычном и ускоренном. В обычном режиме машина проезжает 1 километр за 2 минуты, при этом тратит на это 1 литр топлива. В ускоренном режиме машина проезжает 1 километр за 1 минуту, при этом тратит на это 2 литра топлива. Режим может быть изменён в любой момент. Изменять режим разрешается неограниченное количество раз.

Перед вами стоит задача выбрать машину с минимальной стоимостью аренды, на которой Вася успеет добраться до кинотеатра до начала своего сеанса, то есть не позднее, чем через t минут. Считайте, что в центре проката все машины изначально полностью заправлены.

Входные данные

В первой строке записаны четыре целых положительных числа n, k, s и t (1 ≤ n ≤ 2·105, 1 ≤ k ≤ 2·105, 2 ≤ s ≤ 109, 1 ≤ t ≤ 2·109) — количество машин в центре проката, количество заправок на пути до кинотеатра, позиция кинотеатра и время, оставшееся до начала сеанса.

В следующих n строках следуют по два целых положительных числа ci и vi (1 ≤ ci, vi ≤ 109) — стоимость аренды i-й машины и объём её топливного бака.

В следующей строке следуют k различных целых чисел g1, g2, ..., gk (1 ≤ gi ≤ s - 1) — позиции заправок на пути до кинотеатра в произвольном порядке.

Выходные данные

Выведите минимальную стоимость аренды подходящей машины, то есть такой, что Вася успеет добраться до кинотеатра до начала сеанса (не позднее, чем через t минут). Если ни одна из машин не подойдёт Васе, выведите -1.

Примечание

В первом примере Вася успеет доехать до кинотеатра вовремя на первой и третьей машине, но выгоднее поехать на первой, стоимость аренды которой равна 10, а объём топливного бака равен 8. Тогда до первой заправки Вася сможет доехать в ускоренном режиме за 3 минуты, потратив на это 6 литров топлива, а затем, заправив полный бак, он сможет проехать 2 километра в обычном режиме за 4 минуты, потратив на это 2 литра бензина. Оставшиеся 3 километра он проедет в ускоренном режиме за 3 минуты, потратив на это 6 литров бензина.

B. Need For Brake

Бинарный поиск *2000 жадные алгоритмы сортировки

Вася играет в Need For Brake. Играет потому, что ему подарили на день рождения новенький компьютерный руль! Теперь то он уж точно займет первое место в чемпионате в его любимой компьютерной игре в жанре авто-симуляторов!

В чемпионате, состоящем из некоторого количества заездов, принимают участие n гонщиков. По результатам каждого заезда гонщики занимают места с 1 по n-ое (никакие два гонщика не разделяют одно место) и первые m мест являются призовыми. За i-ое призовое место гонщик получает bi очков, которые прибавляются к его очкам, заработанным за все предыдущие заезды. Известно, что к данному моменту гонщик i набрал ai очков. По итогам чемпионата гонщики сортируются в порядке убывания суммы очков. При равном количестве очков сортировка производится по возрастанию имени гонщика в лексикографическом порядке.

К сожалению, чемпионат уже подошел к концу и остался всего лишь один заезд. Вася решил узнать какое самое высокое и самое низкое место он может занять по итогам чемпионата.

Входные данные

В первой строке задано число n — количество гонщиков (1 ≤ n ≤ 105). В каждой из следующих n строк через пробел записаны si и ai — псевдоним, под которым выступает гонщик (непустая строка, состоящая из не более чем 20 маленьких латинских букв), и количество очков этого гонщика (0 ≤ ai ≤ 106). Гонщики заданы в произвольном порядке.

В следующей строке находится число m (0 ≤ m ≤ n). Далее идет m неотрицательных целых чисел bi. i-ое число в этой строке равно числу бонусных очков за i-ое призовое место (0 ≤ bi ≤ 106).

В последней строчке задан псевдоним, под которым выступает Вася.

Выходные данные

Вывести два числа — самое высокое и самое низкое места, которые может занять Вася по итогам чемпионата.

C. Delivery

Бинарный поиск *2100 поиск в глубину и подобное

C. Санаторий

Бинарный поиск Конструктив математика реализация жадные алгоритмы *1200

Василий провел свой отпуск в санатории и, вернувшись, обнаружил, что совершенно забыл о подробностях отдыха!

В столовой санатория каждый день проходили завтрак, обед и ужин (конечно, именно в таком порядке). Единственное, что осталось у Василия — карточка из столовой, в которой находится запись о том, сколько раз он посещал завтрак, обед или ужин (таким образом, запись представляет собой три неотрицательных целых числа). Василий мог иногда пропустить ту или иную трапезу, например, в один и тот же день он мог посетить завтрак и ужин, но пропустить обед, а в какой-то из дней он мог не ходить в столовую вовсе.

Василий уже не помнит, в какое время суток он приехал в санаторий (перед завтраком, перед обедом, перед ужином, или после ужина), а в какое уехал (до завтрака, до обеда, до ужина или после ужина) поэтому он готов рассматривать любой из этих вариантов. После приезда в санаторий Василий не покидал его до момента отъезда. Обратите внимание, Василий мог уехать из санатория в тот же день, что и приехал.

По записи в карточке помогите Василию определить, какое наименьшее количество трапез в столовой санатория он мог пропустить. Трапезы, проходящие в день приезда Василия до его приезда и трапезы, проходящие в день отъезда Василия после его отъезда, пропущенными считать не следует.

Входные данные

В единственной строке входных данных содержатся три целых числа b, d и s (0 ≤ b, d, s ≤ 1018,  b + d + s ≥ 1) — количество завтраков, обедов и ужинов, которые посетил Василий во время отдыха в санатории, соответственно.

Выходные данные

Выведите единственное целое число — наименьшее возможное количество трапез, пропущенных Василием.

Примечание

В первом примере из условия Василий пропустил бы один ужин, если, например, приехал бы к завтраку, пробыл два дня в санатории (включая день приезда) и уехал после завтрака третьего дня.

Во втором примере из условия Василий мог приехать к завтраку, сходить на него, и сразу же покинуть санаторий, не пропустив ни одной трапезы.

В третьем примере из условия Василий мог пробыть в санатории один полный день, не пропустив ни одной трапезы.

D. Экзамены

Бинарный поиск жадные алгоритмы сортировки *1700

Впереди у студента Васи сессия, которая будет длиться n дней. Васе предстоит сдать экзамены по m предметам. Предметы пронумерованы от 1 до m.

Про каждый день известно, какой из m предметов можно сдать в этот день. Возможно, что в какой-то день нельзя сдавать ни один предмет. Однако в каждый день можно сдавать не более одного предмета.

В очередной день Вася может либо сдавать экзамен по тому предмету, который можно сдавать в этот день (сдача занимает весь день), либо готовиться весь день к экзамену по некоторому предмету, либо отдыхать.

Про каждый из предметов Вася знает число ai — количество дней, которые нужно готовиться, чтобы сдать экзамен по предмету номер i. Вася может переключаться между подготовкой к экзаменам, то есть необязательно готовиться непрерывно ai-е дней к экзамену номер i. Перемешивать порядок подготовки к экзаменам можно произвольным образом.

Перед вами стоит задача определить минимальный номер дня, в который Вася сможет закрыть сессию — то есть сдать экзамены по всем предметам, либо определить, что это невозможно сделать. Экзамен по каждому предмету нужно сдать ровно один раз.

Входные данные

В первой строке следует два целых положительных числа n и m (1 ≤ n, m ≤ 105) — длительность сессии в днях и количество предметов.

Во второй строке следует n целых чисел d1, d2, ..., dn (0 ≤ di ≤ m), где di равно номеру предмета, экзамен по которому можно сдать в день номер i. Если di равно 0, то в день номер i нельзя сдавать какой-либо экзамен.

В третьей строке следует m целых положительных чисел a1, a2, ..., am (1 ≤ ai ≤ 105), где ai равно количеству дней, которые нужно готовиться, чтобы сдать экзамен по предмету i.

Выходные данные

Выведите целое число — минимальный номер дня, в который Вася сможет сдать все экзамены. Если это невозможно, выведите -1.

Примечание

В первом тестовом примере Вася может дейстовать следующим образом. В первый и второй день готовиться к экзамену номер 1 и сдать его в пятый день, а между этим подготовиться к экзамену номер 2 в третий день и сдать его в четвёртый.

Во втором тестовом примере Вася должен готовиться к экзамену номер 3 первые четыре дня и сдать его в пятый день. Затем в шестой день подготовиться к экзамену номер 2 и сдать его в седьмой день. После этого ему нужно подготовиться к экзамену номер 1 за восьмой день и сдать его в девятый день.

В третьей тестовом примере Вася не сможет сдать единственный экзамен, так как не успеет к нему подготовиться.

C. Антон и зельеварение

Бинарный поиск *1600 дп жадные алгоритмы

Антон играет в одну очень интересную компьютерную игру, и сейчас он застрял на одном из уровней. Чтобы пройти на следующий уровень, Антону надо приготовить n зелий.

У Антона в распоряжении есть котёл, который может сварить одно зелье за х секунд. Дополнительно, имеются заклинания двух типов, которые помогают ускорить процесс приготовления зелий:

  1. Заклинания этого типа ускоряют приготовление в котле одного зелья. Всего существует m таких заклинаний, i-е из них стоит bi единиц маны и делает так, чтобы каждое зелье варилось ai секунд вместо x.
  2. Заклинания этого типа варят несколько зелий мгновенно. Всего существует k таких заклинаний, i-е из которых стоит di единиц маны и мгновенно варит ci зелий.

Антон может использовать не более одного заклинания первого вида и не более одного заклинания второго вида, при этом суммарная стоимость заклинаний не должна превышать s единиц маны. Считается, что заклинания используются мгновенно и непосредственно перед началом варки зелий.

Антон хочет как можно быстрее перейти на следующий уровень, поэтому ему интересно, за какое минимальное время можно сварить не менее n зелий.

Входные данные

В первой строке входных данных находятся три целых числа n, m, k (1 ≤ n ≤ 2·109, 1 ≤ m, k ≤ 2·105) — количество зелий, которые надо сварить, количество заклинаний первого и количество заклинаний второго типа соответственно.

Во второй строке входных данных находятся два целых числа x и s (2 ≤ x ≤ 2·109, 1 ≤ s ≤ 2·109) — время варки одного зелья и количество единиц маны соответственно.

В третьей строке даны m целых чисел ai (1 ≤ ai < x) — время, за которое будет вариться одно зелье, если использовать i-е заклинание первого вида.

В четвертой строке записаны m целых чисел bi (1 ≤ bi ≤ 2·109) — стоимость i-го заклинания первого вида в единицах маны.

В пятой строке находятся k целых чисел ci (1 ≤ ci ≤ n) — количество зелий, которое будет сварено мгновенно при использовании i-го заклинания второго типа. Гарантируется, что ci упорядочены по неубыванию, то есть ci ≤ cj, если i < j.

В шестой строке входных данных находятся k целых чисел di (1 ≤ di ≤ 2·109) — стоимость i-го заклинания второго типа в единицах маны. Гарантируется, что di упорядочены по неубыванию, то есть di ≤ dj, если i < j.

Выходные данные

В единственной строке выходных данных выведите одно число — минимальное время, которое нужно потратить, чтобы сварить n зелий.

Примечание

В первом примере выгоднее всего будет применить второе заклинание первого типа, которое стоит 10 единиц маны. В таком случае каждое зелье будет вариться 4 секунды. Также мы используем второе заклинание второго типа, чтобы мгновенно сварить 15 зелий за 80 единиц маны. Итого мы потратим 10 + 80 = 90 единиц маны, а все зелья сварятся за 4·5 = 20 секунд (так как 15 зелий мы сварили мгновенно, а оставшиеся 5 будут вариться по 4 секунды).

Во втором примере все заклинания стоят больше единиц маны, чем у нас есть, поэтому мы не можем использовать ни одно из заклинаний. Мы просто варим 20 зелий по 10 секунд каждое, и ответ равен 20·10 = 200 секунд.

B. Алёна и дерево

Бинарный поиск Деревья Структуры данных поиск в глубину и подобное *1900 графы

У Алёны есть дерево из n вершин. Корень дерева — вершина с номером 1. В вершину с номером i Алёна записала положительное целое число ai. Также, девочка записала на каждом ребре дерева какое-то положительное целое число (возможно, различные числа на различных ребрах).

Определим dist(v, u) как сумму чисел, записанных на ребрах, которые лежат на кратчайшем пути из v в u.

Вершина дерева v контролирует вершину u (v ≠ u), если u лежит в поддереве v и dist(v, u) ≤ au.

Девочка хочет поселиться в некоторой вершине дерева. Для этого она хотела бы знать для каждой вершины v, сколько в дереве есть вершин u таких, что вершина v контролирует вершину u.

Входные данные

В первой строке находится одно число n (1 ≤ n ≤ 2·105).

Во второй строке находится n целых чисел a1, a2, ..., an (1 ≤ ai ≤ 109) — числа, записанные в вершинах.

В следующих (n - 1)-й строке находятся по 2 числа. В i-й из этих строк находятся целые числа pi и wi (1 ≤ pi ≤ n, 1 ≤ wi ≤ 109) — предок вершины (i + 1) и число, написанное на ребре от pi к (i + 1).

Гарантируется, что заданный граф — дерево.

Выходные данные

Выведите в одной строке n чисел — i-е из этих чисел должно равняться количеству вершин, которое контролируется вершиной с номером i.

Примечание

В тесте из условия вершина 1 контролирует вершину 3, также вершина 3 контролирует вершину 5 (обратите внимание, отсюда не следует, что вершина 1 контролирует вершину 5).

B. Хлоя и последовательность

Бинарный поиск Конструктив реализация *1200 битмаски

Хлоя, как и Владик, — спортивный программист. У нее не было проблем с тем, чтобы добраться до олимпиады, но на самой олимпиаде ей понадобилась ваша помощь! У нее не получается решить следующую задачу.

Рассмотрим следующий алгоритм генерации последовательностей целых чисел. Первоначально имеется последовательность из одного элемента, равного 1. Далее производится (n - 1) шаг. На каждом шаге берется последовательность, полученная на предыдущем шаге, приписывается сама к себе в конец, а в середину вставляется символ с минимальным положительным, не использованным ранее, числом. Например, после первого шага получится последовательность [1, 2, 1], а после второго — [1, 2, 1, 3, 1, 2, 1].

Необходимо вывести значение элемента, стоящего на k-й позиции (элементы пронумерованы с 1) в итоговой последовательности, т. е. после (n - 1) шага. Помогите Хлое решить задачу!

Входные данные

В единственной строке содержатся два целых числа n и k (1 ≤ n ≤ 50, 1 ≤ k ≤ 2n - 1).

Выходные данные

Выведите одно целое число — число, стоящее в итоговой последовательности на позиции k.

Примечание

В первом примере итоговая последовательность — [1, 2, 1, 3, 1, 2, 1]. Число, стоящее на второй позиции, равно 2.

Во втором примере итоговая последовательность — [1, 2, 1, 3, 1, 2, 1, 4, 1, 2, 1, 3, 1, 2, 1]. Число на восьмой позиции  — 4.

E. Владик и карты

Бинарный поиск Перебор дп *2200 битмаски

Владик заскучал по дороге домой и решил сыграть в следующую игру. Он взял n карт и положил их в ряд перед собой. На каждой карте Владика написано целое положительное число, не превосходящее 8. Он решил найти самую длинную подпоследовательность карт, для которой выполняются следующие условия:

  • количество вхождений каждого числа от 1 до 8 в подпоследовательности отличается не более, чем на 1 от количества вхождений любого другого числа. Более формально, если в подпоследовательности ck карт с числом k на них, то для всех выполняется |ci - cj| ≤ 1.
  • если в подпоследовательности имеется карта с числом x, то все карты с числом x должны составлять непрерывный отрезок в этой подпоследовательности (но не обязательно быть непрерывным отрезком в исходной последовательности). Например, последовательность карт [1, 1, 2, 2] удовлетворяет данному условию, а [1, 2, 2, 1] — нет. Обратите внимание, что [1, 1, 2, 2] не удовлетворяет первому условию.

Помогите Владику и найдите максимальную длину подходящей подпоследовательности.

Входные данные

В первой строке входных данных содержится число n (1 ≤ n ≤ 1000) — количество карт в последовательности Владика.

Во второй строке входных данных содержится n целых положительных чисел, не превосходящих 8 — описание последовательности Владика.

Выходные данные

Выведите одно целое число — длину максимальной подпоследовательности, в которой выполняются все условия.

Примечание

В первом примере числа на всех карточках равны, поэтому мы не сможем взять больше, чем одну карточку, поскольку нарушим первое условие.

E. Санта-Клаус и мандарины

Бинарный поиск Структуры данных *2100 жадные алгоритмы

У Санта-Клауса есть n мандаринов, причём i-й из них имеет ai долек. Санта-Клаус пришел в школу, где учится k учеников. Он решил угостить их мандаринами.

Так как на всех мандаринов может не хватить, Санта-Клаус решил поделить их на части, чтобы никто не обиделся. Для этого он может делить мандарины пополам, а также делить любую часть пополам. Если количество долек в мандарине или в части, которую Санта-Клаус делит, нечётное, то в одной получившейся части окажется на одну дольку больше, чем в другой. Делить мандарин или часть мандарина можно лишь в том случае, если после деления каждая получившаяся часть будет иметь хотя бы одну дольку.

Санта-Клаус хочет дать каждому из школьников ровно один мандарин или одну часть мандарина (в частности, каждый ученик должен получить положительное количество долек). Возможно, что у Санта-Клауса останется несколько мандаринов или частей после того, как он раздаст часть из них школьникам.

Пусть в результате угощения i-му ученику достанется bi долек. В таком случае радость Санта-Клауса будет равна минимальному значению среди всех bi.

Найдите максимальную возможную величину радости Санта-Клауса, которую он может получить после угощения учеников мандаринами.

Входные данные

В первой строке находятся два целых положительных числа n и k (1 ≤ n ≤ 106, 1 ≤ k ≤ 2·109) — количество мандаринов и количество учеников.

Во второй строке находится последовательность из n целых чисел a1, a2, ..., an (1 ≤ ai ≤ 107), где ai равно количеству долек в i-м мандарине.

Выходные данные

Если невозможно раздать всем ученикам по манадарину или части мандарина, выведите -1. В противном случае выведите максимально возможную величину радости Санта-Клауса.

Примечание

В первом примере Санта-Клаусу нужно разделить второй манадрин пополам, чтобы в одной части было 5 долек, а в другой 4. Тогда он сможет отдать одному ученику часть, в которой 5 долек, а второму целый первый манадарин, в котором также 5 долек.

Во втором примере Санта-Клаусу нужно разделить пополам оба манадрина, тогда он сможет отдать двум ученикам части по 6 долек, а двум другим ученикам — части по 7 долек.

В третьем примере Санта-Клаус не сможет дать всем ученикам хотя бы по одной дольке, так как у него есть всего 2 дольки и 3 ученика.

D. Побег с аукциона

Бинарный поиск Структуры данных *2000

Сегодня проходит аукцион, в котором принимают участие n человек. Аукцион проходит по классическим правилам. Известно, что было сделано n ставок, при этом не гарантируется, что каждая ставка была сделана уникальным участником, то есть какие-то участники могли и вовсе не делать ставок.

Каждая ставка определяется парой целых чисел (ai, bi), где ai — номер участника, сделавшего ставку, а bi — величина ставки. Все ставки даны в хронологическом порядке, то есть bi < bi + 1 для всех i < n. Кроме того, ни один из участников не делал две ставки подряд (не перебивал свою ставку), то есть ai ≠ ai + 1 для всех i < n.

Из праздного любопытства вы заинтересовались следующим вопросом: кто и с какой ставкой выиграет в аукционе, если бы некоторые из участников на самом деле отсутствовали? При этом считается, что этих участников и их ставок просто не было, а среди оставшихся участников новых ставок не появится.

Обратите внимание, что если после мысленного вычёркивания каких-либо участников получится ситуация, когда кто-то перебивает свою ставку, то необходимо считать, что этого не происходит и из серии последовательных ставок одного и того же человека останется только первая. Для лучшего понимания, посмотрите примеры.

У вас есть несколько подобных предположений, вычислите ответ для каждого из них.

Входные данные

В первой строке дано число n (1 ≤ n ≤ 200 000) — количество участников аукциона и сделанных ставок.

В следующих n строках расположены по два числа ai и bi (1 ≤ ai ≤ n, 1 ≤ bi ≤ 109, bi < bi + 1) — номер участника, сделавшего i-ю ставку, и размер этой ставки.

В следующей строке дано число q (1 ≤ q ≤ 200 000) — количество запросов.

В каждой из следующих q строк дано число k (1 ≤ k ≤ n), а затем k чисел lj (1 ≤ lj ≤ n) — количество отсутствующих участников, и их номера. Все номера в пределах одного запроса различны.

Гарантируется, что сумма всех k во всех запросах не превосходит 200 000.

Выходные данные

Для каждого запроса выведите два числа в одной строке через пробел — номер победителя и величину его ставки. Если победитель отсутствует (то есть не было сделано ни одной ставки), выведите два нуля.

Примечание

Пояснение к первому примеру:

  • В первом запросе отсутствует только участник с номером 3, тогда последовательность ставок будет выглядеть следующим образом:
    1. 1 10
    2. 2 100
    3. 1 10 000
    4. 2 100 000
    В такой ситуации побеждает участник с номером 2, при этом его ставка составляет 100 000.
  • Во втором запросе отсутствуют участники 2 и 3, тогда последовательность ставок будет выглядеть следующим образом:
    1. 1 10
    2. 1 10 000
    Здесь победил участник с номером 1, но поскольку участнику не выгодно перебивать свою ставку, то выигрышной ставкой является 10, а не 10 000.
  • В третьем запросе отсутствуют участники 1 и 2, тогда последовательность ставок будет выглядеть следующим образом:
    1. 3 1 000
    2. 3 1 000 000
    Побеждает участник 3 со ставкой 1 000.

C. Модифицированный НОД

Бинарный поиск *1600 теория чисел

Что ж, вот еще одна математическая задача. Как известно, НОД — наибольший общий делитель. Найти НОД двух положительных целых чисел несложно.

Общий делитель двух положительных чисел — это число на которое делятся оба этих числа.

Но Вам дана более сложная задача. Требуется найти наибольший общий делитель d двух целых чисел a и b, принадлежащий отрезку целых чисел [low, high] (low ≤ high), то есть такой, что low ≤ d ≤ high.

Может получиться, что в заданном отрезке нет общих делителей.

Даны два целых числа a и b, далее следует n запросов. Каждый запрос — это некоторый отрезок [low, high]. Напишите программу, которая обработает все заданные запросы.

Входные данные

В первой строке записано два целых числа a и b, описанных выше (1 ≤ a, b ≤ 109). Во второй строке содержится одно целое число n, количество запросов (1 ≤ n ≤ 104). Далее следует n строк. Каждая строка содержит один запрос — два целых числа low и high (1 ≤ low ≤ high ≤ 109).

Выходные данные

Выведите n строк, i-ая из них должна содержать ответ на i-ый запрос из входных данных. Если в данном отрезке общих делителей нет, выводите -1 в качестве ответа на запрос.

A. Новый год и спешка

Бинарный поиск Перебор математика реализация *800

В последний день уходящего 2016 года Лимак собирается принять участие в соревновании по спортивному программированию. Соревнование начнётся в 20:00 и будет продолжаться четыре часа, то есть ровно до полуночи. Участникам будет предложено n задач, упорядоченных по возрастанию сложности, то есть задача 1 будет самой лёгкой, а задача номер n — самой сложной. Лимак знает, что ему потребуется i минут на решение i-й задачи.

Друзья Лимака планирую устроить роскошную новогоднюю вечеринку и Лимак хочет прибыть в полночь или ранее. Он знает, что ему требуется ровно k минут чтобы добрать до места проведения вечеринки от своего дома, где он собирается участвовать в соревновании.

Сколько максимум задач может успеть решить Лимак, так чтобы не опоздать на новогоднюю вечеринку?

Входные данные

В первой строке входных данных записаны два целых числа n и k (1 ≤ n ≤ 10, 1 ≤ k ≤ 240) — количество задач в соревновании и количество минут, за которое Лимак доберётся от дома до места проведения вечеринки.

Выходные данные

Выведите одно целое число, равное максимальному количеству задач, которое может решить Лимак, так чтобы прибыть на новогоднюю вечеринку ровно в полночь или раньше.

Примечание

В первом примере на соревновании участникам предложено 3 задачи и Лимаку требуется 222 минуты, чтобы доехать до места проведения вечеринки. Для решения задач требуется 5, 10 и 15 минут соответственно. Лимак может решить первые две задачи, потравив на это 5 + 10 = 15 минут, после чего выехать в 20:15 и приехать на вечеринку в 23:57 (через 222 минуты). Таким образом он решит две задачи, но на решение третьей времени уже не хватит и ответ равен 2.

Во втором примере Лимак может решить все 4 задачи за 5 + 10 + 15 + 20 = 50 минут. В 20:50 он сможет выехать из дома и прибыть на вечеринку ровно в полночь.

В третьем примере Лимаку нужна только 1 минута, чтобы оказаться на вечеринке, так что ему хватит времени для решения всех 7 задач.

C. Новый год и рейтинг

Бинарный поиск математика *1600 жадные алгоритмы

У каждого пользователя Codeforces есть рейтинг, который описывается одним целым числом, возможно отрицательным или нулём. Все пользователи разделены на два дивизиона. К первому дивизиону относятся пользователи с рейтингом 1900 и выше. Пользователи с рейтингом 1899 и меньше относятся ко второму дивизиону. После каждого соревнования, в зависимости от показанного результата рейтинг пользователя изменяется на некоторое целое число, возможно отрицательное или ноль.

В 2016 году Лимак принял участие в n соревнованиях. Он помнит, что во время соревнования i он был дивизионе di (то есть он принадлежал данному дивизиону непосредственно перед началом данного соревнования) и после соревнования его рейтинг изменился на величину ci. Обратите внимание, отрицательные значения ci означают, что рейтинг уменьшился.

Какой максимальный рейтинг может быть у Лимака после всех n соревнований? Если его рейтинг может быть сколь угодно большим, то выведите «Infinity». Если информация является противоречивой и не может быть верной ни для какого значения рейтинга, выведите «Impossible».

Входные данные

В первой строке входных данных записано целое число n (1 ≤ n ≤ 200 000).

В i-й из последующих n строк записаны два целых числа ci и di ( - 100 ≤ ci ≤ 100, 1 ≤ di ≤ 2), описывающих изменение рейтинга после соревнования и дивизион Лимака во время i-го соревнования.

Выходные данные

Если текущий рейтинг Лимака может быть сколь угодно большим, то выведите «Infinity» (без кавычек). Если информация из входных данных является невозможной, то выведите «Impossible» (без кавычек). В противном случае выведите максимально возможный рейтинг Лимака после всех n соревнований.

Примечание

В первом примере следующий сценарий соответствует всей информации из входных данных и максимально возможному итоговому рейтингу:

  1. Рейтинг Лимака изначально равен 1901 и он находится в дивизионе 1. После первого контеста рейтинг Лимака понижается на 7.
  2. С рейтингом 1894 Лимак соревнуется в дивизионе 2. Его рейтинг увеличивается на 5.
  3. Рейтинг Лимака равен 1899 и он всё ещё в дивизионе 2. В последнем контесте года изменение его рейтинга равняется  + 8 и он завершает год с рейтингом 1907.

Во втором примере, ситуация что Лимак соревновался в дивизионе 1, а после увеличения рейтинга на 57 оказался в дивизионе 2, является невозможной.

D. Федор и купоны

Бинарный поиск Структуры данных *2100 жадные алгоритмы сортировки

Все наши герои имеют хобби. И Федор не исключение. Ему очень нравится ходить в супермаркет около дома и покупать всякие вещи.

Все товары в супермаркете имеют уникальный целый номер. И для каждого уникального целого номера найдется ровно один товар в супермаркете. Так как Федор делает много покупок, ему хотелось бы посещать супермаркет с экономией. Поэтому у него есть n скидочных купонов. i-й купон действует на товарах с номерами с li-го по ri-й включительно. Сегодня он решил взять с собой в супермаркет ровно k купонов.

Федор хочет выбрать k купонов так, чтобы количество таких товаров x, что на товар x действуют все купоны, было максимально (для лучшего понимания посмотрите примеры). Федор, кроме денег, ещё хочет сэкономить силы и время, поэтому просит вас сделать выбор купонов. Помогите Федору!

Входные данные

В первой строке входных данных находятся два целых числа n, k (1 ≤ k ≤ n ≤ 3·105) — количество купонов у Федора и количество купонов, которые следует выбрать.

В каждой из следующих n строк входных данных находятся два целых числа li и ri ( - 109 ≤ li ≤ ri ≤ 109) — описание i-го купона. Купоны могут совпадать.

Выходные данные

В первой строке следует вывести единственное целое число — максимальное количество товаров, на которые действуют все купоны. То есть товар, на который не действует какой-то из выбранных купонов, не считается.

В следующей строке выходных данных следует вывести k различных целых чисел p1, p2, ..., pk (1 ≤ pi ≤ n) — номера купонов, выбрав которые, мы получим максимальное количество товаров, на которые действуют все эти купоны.

Если оптимальных ответов несколько, выведите любой.

Примечание

В первом примере, если Федор возьмет первые два купона, то они оба будут действовать на все товары в отрезке [40, 70]. Всего таких товаров 31.

Во втором примере ни на один товар не действуют два купона, поэтому ответ 0. Федор может взять любые два купона в этом примере.

B. Польшар и Игра

Строки Бинарный поиск Структуры данных *1100 жадные алгоритмы сортировки игры

Польшар играет со Врагошаром в некоторую игру. Правила просты. Игроки по очереди называют слова, называть слово, которое уже прозвучало, нельзя. Начинает Польшар. Проигрывает тот шар, который не может сказать ранее неназванного слова.

Вам даны списки слов, известных Польшару и Врагошару. Определите, кто выиграет, если оба играют оптимально?

Входные данные

Первая строка содержит два целых числа n и m (1 ≤ n, m ≤ 103) — число слов, которые знают Польшар и Врагошар соответственно.

Затем следуют n строк, по одной в строке — слова, известные Польшару.

Затем следуют m строк, по одной в строке — слова, известные Врагошару.

Заметьте, что ни один из шаров не может знать слово больше одного раза (слова различны), но некоторые слова могут быть известны обоим игрокам.

Каждое слово непустое и состоит из не более чем 500 строчных букв латинского алфавита.

Выходные данные

В единственной строке выведите ответ: «YES», если выиграет Польшар, и «NO» иначе. Оба шара играют оптимально.

Примечание

В первом примере Польшар знает намного больше слов и выиграет без труда.

Во втором примере если Польшар скажет вначале kremowka, то Врагошар не сможет использовать это слово. Единственное, что может сделать Врагошар — сказать wiedenska. Польшар скажет wadowicka и выиграет.

B. Единая карта

Бинарный поиск *1600 дп

В Байтсбурге вводится новая система оплаты общественного транспорта. Теперь будет единая карта для поездок на всем транспорте. При каждой поездке пассажир прикладывает карту к считывателю, и с него списывается сумма в соответствии с тарифом.

Тариф устроен следующим способом. Есть три вида билетов:

  1. билет на одну поездку, стоит 20 байтландских рублей,
  2. билет на 90 минут, стоит 50 байтландских рублей,
  3. билет на сутки (1440 минут), стоит 120 байтландских рублей.

Уточним, что билет на x минут, активированный во время t, действует на поездки, стартовое время которых находится в диапазоне от t до t + x - 1, включительно. Считайте, что каждая поездка занимает ровно одну минуту.

Чтобы пассажиру было проще, тариф выбирается автоматически: при совершении каждой поездки система анализирует все прошедшие поездки и текущую и выбирает набор билетов на эти поездки с минимальной суммарной стоимостью. Пусть минимальная стоимость, за которую можно совершить поездки с первой по текущую, равна a, а сумма, списанная с пассажира за все предыдущие поездки, равна b. Тогда система списывает с пассажира разницу a - b.

Вам предстоит написать программу, которая по данным о времени совершенных пассажиром поездок рассчитает сумму, которую нужно с него снять после каждой из них.

Входные данные

В первой строке ввода содержится число n (1 ≤ n ≤ 105) — число поездок, которые сделал пассажир.

В каждой из следующих n строк содержится время начала поездки ti (0 ≤ ti ≤ 109), измеренное в минутах от момента запуска системы. Все ti различны, заданы в порядке возрастания, т. е. ti + 1 > ti для всех 1 ≤ i < n.

Выходные данные

Выведите n чисел. Для каждой поездки выведите сумму, которую нужно снять с карты пассажира.

Примечание

В первом примере система работает следующим образом: первую и вторую поездку дешевле всего оплатить двумя билетами на одну поездку, поэтому с пассажира снимается по 20 рублей, после третьей поездки система понимает, что дешевле было бы купить билет на 90 минут. Этот билет стоит 50 рублей, а пассажир к этому времени уже заплатил 40 рублей, таким образом с него нужно дополнительно взять 10 рублей.

C. Несправедливый опрос

Бинарный поиск Конструктив математика реализация *1700

На уроке литературы Серёжа заметил чудовищную несправедливость, ему кажется, что некоторых учеников спрашивают чаще чем других.

Рассадка в классе представляет собой прямоугольник, в котором n рядов по m учащихся в каждом.

Учительница опрашивает учеников в следующем порядке: сначала она спрашивает всех учеников с первого ряда в порядке их рассадки на ряду, после опроса всех учеников на очередном ряду она переходит к следующему, по порядку следования опроса, ряду. Если учительница опросила последний ряд, то направление опроса сменяется, то есть опрашивается предыдущий ряд. Порядок опроса рядов выглядит следующим образом: 1-й ряд, 2-й ряд, ..., n - 1-й ряд, n-й ряд, n - 1-й ряд, ..., 2-й ряд, 1-й ряд, 2-й ряд, ...

Порядок опроса учеников на одном ряду всегда один и тот же: 1-й ученик, 2-й ученик, ..., m-й ученик.

За урок учительница успела опросить ровно k вопросов у учеников в порядке описанном выше. Серёжа сидит в x-м ряду, на y-м по порядку месте. Сергей решил доказать учителю, что ученики опрашиваются неравномерно, помогите ему вычислить три величины:

  1. максимальное количество вопросов, заданных одному из учеников,
  2. минимальное количество вопросов, заданных одному из учеников,
  3. сколько раз учительница спросила Серёжу.

Если в классе только один ряд, то учительница всегда опрашивает детей с него.

Входные данные

Первая и единственная строка содержит пять целых чисел n, m, k, x и y (1 ≤ n, m ≤ 100, 1 ≤ k ≤ 1018, 1 ≤ x ≤ n, 1 ≤ y ≤ m).

Выходные данные

Выведите три числа:

  1. максимальное количество вопросов, заданных одному из учеников,
  2. минимальное количество вопросов, заданных одному из учеников,
  3. сколько раз учительница спросила Серёжу.
Примечание

Порядок опроса учеников в первом тесте:

  1. ученик с первого ряда сидящий за первой партой, то есть Серёжа;
  2. ученик с первого ряда сидящий за второй партой;
  3. ученик с первого ряда сидящий за третьей партой;
  4. ученик с первого ряда сидящий за первой партой, то есть Серёжа;
  5. ученик с первого ряда сидящий за второй партой;
  6. ученик с первого ряда сидящий за третьей партой;
  7. ученик с первого ряда сидящий за первой партой, то есть Серёжа;
  8. ученик с первого ряда сидящий за второй партой;

Порядок опроса учеников во втором тесте:

  1. ученик с первого ряда сидящий за первой партой;
  2. ученик с первого ряда сидящий за второй партой;
  3. ученик со второго ряда сидящий за первой партой;
  4. ученик со второго ряда сидящий за второй партой;
  5. ученик с третьего ряда сидящий за первой партой;
  6. ученик с третьего ряда сидящий за второй партой;
  7. ученик с четвёртого ряда сидящий за первой партой;
  8. ученик с четвёртого ряда сидящий за второй партой, то есть Серёжа;
  9. ученик с третьего ряда сидящий за первой партой;

F. Турист

Бинарный поиск Структуры данных дп *2300

Турист путешествует пешком вдоль координатной оси Ox. Идти можно в любом из двух возможных направлений и с любой скоростью, не превышающей V, в том числе находиться на месте. Из газетных анонсов он знает, что в момент t1 в точке с координатой x1 состоится одно интересное событие, в момент t2 в точке с координатой x2 — еще одно, и т. д., до (xN, tN). Интересные события достаточно кратковременны, их можно считать мгновенными. Считается, что турист посетил событие i, если в момент ti он находился в точке с координатой xi.

Напишите программу, которая найдет максимальное количество событий, которые сможет посетить турист, для таких двух предположений: А) сначала движения (в момент времени 0) турист находится в точке 0; Б) турист может выбрать начальную точку, из которой он стартует.

Входные данные

Первая строка входного файла содержит единственное натуральное число N (1 ≤ N ≤ 100 000) — количество интересных событий. Последующие N строк содержат по два целых числа xi и ti — координату и момент времени события с номером i. Последняя (N + 2)-ая строка файла содержит единственное целое число V — значение максимальной скорости движения туриста. Все значения xi принадлежат диапазону  - 2·108 ≤ xi ≤ 2·108, все значения ti принадлежат диапазану 1 ≤ ti ≤ 2·106, значение V принадлежит диапазону 1 ≤ V ≤ 1000. Во входных данных возможны различные события, имеющие одинаковую координату x или одинаковое время t, но невозможны различные события, имеющие одинаковые x и t одновременно.

Выходные данные

Единственная строка выходного файла должна содержать два целых числа — максимально возможное количество событий, которые турист может посетить, если он начнет движение в момент 0 из точки 0, затем максимально возможное количество событий, которые турист может посетить, самостоятельно выбрав точку старта.

B. Фродо и подушки

Бинарный поиск *1500 жадные алгоритмы

Дома у Фродо собираются ночевать n хоббитов. У Фродо есть n кроватей, стоящих в ряд, и m подушек (n ≤ m). Каждому хоббиту для сна нужна кровать и хотя бы одна подушка, однако, каждый хочет как можно больше подушек. Понятно, что подушки не всегда можно поделить поровну, однако любой хоббит обидится, если у него будет меньше подушек, чем у соседа, хотя бы на две.

Фродо будет спать на k-й с краю кровати. Какое максимальное число подушек он может положить себе, чтобы у каждого хоббита была хотя бы одна подушка, все подушки были розданы хоббитам, и никто из них не обиделся?

Входные данные

В единственной строке находятся три целых числа n, m и k (1 ≤ n ≤ m ≤ 109, 1 ≤ k ≤ n) — число хоббитов, число подушек и номер кровати Фродо.

Выходные данные

Выведите одно число — максимальное число подушек, которые Фродо может положить себе, чтобы никто не обиделся.

Примечание

В первом примере Фродо может взять себе максимум две подушки. Тогда, например, хоббит, который будет спать на первой кровати, может также взять себе две подушки, а хоббиты, которые будут спать на третьей и четвертой кровати, могут взять себе по одной подушке.

Во втором примере Фродо может взять себе максимум четыре подушки. Тогда остальные хоббиты должны будут взять себе по три подушки.

В третьем примере Фродо может взять три подушки себе, дав две подушки хоббиту, спящему посередине, и одну подушку хоббиту на третьей кровати.

D. Даша и очень сложная задача

Бинарный поиск Перебор Конструктив жадные алгоритмы сортировки *1700

Войдя в систему, Даша принялась решать задачи. Одна из них звучала следующим образом:

По данным двум последовательностям a и b длины n необходимо построить последовательность c длины n, i-й элемент которой вычисляется следующим образом: ci = bi - ai.

Об a и b также известно, что их элементы лежат в интервале от l до r. Более формально, выполняются равенства l ≤ ai ≤ r и l ≤ bi ≤ r. Про последовательность c известно, что все ее элементы различны.

Решение задачи Даша написала быстро, но вот проверить ее работу на стандартном тесте оказалось не так просто. Из-за ошибки в системе тестирования из теста была известна только последовательность a и сжатая последовательность последовательности c.

Дадим определение сжатой последовательности. Сжатой последовательностью последовательности c длины n будем считать такую последовательность p длины n, что pi равно количеству чисел, меньше либо равных чем ci, в последовательности c. К примеру, для последовательности c = [250, 200, 300, 100, 50] сжатой последовательностью является p = [4, 3, 5, 2, 1]. Обратите внимание, что в c все числа различны. Следовательно, сжатая последовательность содержит все числа от 1 до n включительно.

Помогите Даше найти любую последовательность b, для которой посчитанная сжатая последовательность последовательности c верна.

Входные данные

В первой строке находятся три целых числа n, l, r (1 ≤ n ≤ 105, 1 ≤ l ≤ r ≤ 109) — длина последовательностей и границы отрезка, в котором лежат элементы a и b.

В следующей строке входных данных находятся n целых чисел a1,  a2,  ...,  an (l ≤ ai ≤ r) — элементы последовательности a.

В следующей строке входных данных находятся n различных целых чисел p1,  p2,  ...,  pn (1 ≤ pi ≤ n)сжатая последовательность последовательности c.

Выходные данные

Если подходящей последовательности b не существует, то в единственной строке выходных данных выведите «-1».

Иначе в единственной строке выходных данных должно содержаться n целых чисел — элементы любой подходящей последовательности b.

Примечание

Найденная во втором примере последовательность b является подходящей, потому что построенная последовательность c = [2 - 3, 2 - 4, 2 - 8, 9 - 9] = [ - 1,  - 2,  - 6, 0] (напомним, что ci = bi - ai) имеет сжатую последовательность равную p = [3, 2, 1, 4].

C. Две строки

Строки Бинарный поиск *2100 хэши

Даны строки a и b. Требуется удалить наименьшее количество подряд идущих символов из строки b так, чтобы она стала подпоследовательностью строки a. Возможно, не придётся удалять ни одного символа, а, возможно, придётся удалить все символы из строки b, чтобы она стала пустой.

Подпоследовательностью строки s называется любая такая строка, которую можно получить вычёркиванием из s нуля или более символов (не обязательно идущих подряд).

Входные данные

Первая строка входных данных содержит строку a, а вторая — строку b. Обе строки непустые и состоят из строчных букв латинского алфавита. Длина каждой из строк не превосходит 105 символов.

Выходные данные

В единственной строке выведите подпоследовательность строки a, получившуюся в результате удаления из строки b наименьшего количества подряд идущих символов.

Если ответ содержит нулевое количество символов, выведите «-» (знак минус).

Примечание

В первом примере строки a и b вообще не имеют общих символов, поэтому наидлиннейшая строка, которую можно получить — пустая.

Во втором примере ac является подпоследовательностью строки a, в то же время эту строку можно получить, удалив последовательно идущие символы cepted из строки b.

E. Радиостанции

Бинарный поиск Структуры данных *2200

В целочисленных точках прямой расположены n радиостанций, причём i-я из них характеризуется тремя целыми числами:

  • xi — координата i-й радиостанции на прямой,
  • ri — радиус вещания i-й радиостанции,
  • fi — частота вещания i-й радиостанции.

Считается, что две радиостанции с номерами i и j достают друг до друга, если радиус вещания каждой из них больше либо равен расстоянию между ними, то есть min(ri, rj) ≥ |xi - xj|.

Назовём пару радиостанций (i, j) плохой, если i < j, радиостанции i и j достают друг до друга и они близки по частотам, а именно, |fi - fj| ≤ k.

Найдите количество пар плохих радиостанций.

Входные данные

В первой строке следуют два целых числа n и k (1 ≤ n ≤ 105, 0 ≤ k ≤ 10) — количество радиостанций и максимальная разность частот, при которой пара достающих друг до друга радиостанций считается плохой.

Далее в n строках следует описание радиостанций. В каждой строке через пробел записаны три целых числа xi, ri и fi (1 ≤ xi, ri ≤ 109, 1 ≤ fi ≤ 104) — координата i-й радиостанции, радиус её вещания и частота её вещания. Никакие две радиостанции не расположены в одной и той же координате.

Выходные данные

Выведите количество пар плохих радиостанций.

D. Кефир

Бинарный поиск Структуры данных *2100 жадные алгоритмы сортировки

Маленькая девочка Оля очень любит кефир. Каждый день она выпивает ровно k пакетов кефира, если их имеется хотя бы k, в противном случае — все, что есть. Но есть одна проблема: сроки годности. На каждом пакете написан день, позже которого этот пакет пить нельзя (ровно в этот день еще можно). Поэтому если в холодильнике у Оли в какой-то момент оказывается просроченный пакет, она его выкидывает.

Оля очень не любит выкидывать пакеты с кефиром, поэтому она применяет следующую стратегию: каждый раз, когда надо выпить очередной пакет, она выбирает тот, у которого срок годности заканчивается раньше всего. Несложно видеть, что эта стратегия минимизирует количество выкинутых пакетов и, в частности, позволяет обойтись без выкидывания, если это вообще возможно.

Но основная проблема, с которой столкнулась Оля, — это покупка нового кефира. Сейчас у Оли в холодильнике есть n пакетов кефира, про каждый известен его срок годности (через сколько дней он заканчивается). Оля пришла в магазин, и там есть m пакетов кефира, про каждый тоже известен его срок годности.

Определите, какое максимальное количество пакетов может купить Оля так, чтобы потом не пришлось ничего выбрасывать. Считайте, что Оля сегодня еще не пила ни одного пакета кефира.

Входные данные

В первой строке находятся три целых числа n, m, k (1 ≤ n, m ≤ 106, 1 ≤ k ≤ n + m) — число пакетов кефира у Оли в холодильнике, число пакетов кефира в магазине и сколько пакетов выпивает Оля каждый день.

Во второй строке находятся n целых чисел f1, f2, ..., fn (0 ≤ fi ≤ 107) — сроки годности пакетов кефира, которые уже есть у Оли в холодильнике. Срок годности выражается числом дней, на которые еще можно отложить употребление этого пакета. Таким образом, срок годности 0 означает, что пакет нужно выпить сегодня, 1 — что не позже завтра, и так далее.

Наконец, в третьей строке находятся m целых чисел s1, s2, ..., sm (0 ≤ si ≤ 107) — сроки годности пакетов, которые есть в магазине, в аналогичном формате.

Выходные данные

Если в любом случае Оля не сможет выпить даже уже имеющиеся у нее пакеты, выведите ровно одно число -1.

Иначе в первой строке выведите максимальное количество пакетов x, которые Оля может купить так, чтобы ничего не выбрасывать. В следующей строке выведите ровно x чисел — номера пакетов, которые следует взять (пакеты нумеруются в том порядке, в котором они заданы во входном файле, начинается с 1). Естественно, числа не должны повторяться, однако могут идти в произвольном порядке. Если существует несколько подходящих наборов, разрешается вывести любой.

Примечание

В первом примере из условия k = 2 и дома у Оли есть три пакета со сроками годности 0, 1 и 1 (т. е. истекающими сегодня, завтра и завтра), а в магазине есть 3 пакета со сроком годности 0 и 3 пакета со сроком годности 2. Оля может купить три пакета, например, один со сроком годности 0 и два со сроком годности 2.

Во втором примере все три уже имеющихся пакета имеют срок годности, оканчивающийся сегодня, и поэтому Оля не успеет их выпить вне зависимости от того, возьмет ли она еще один пакет в магазине или нет.

В третьем примере сегодня Оля выпьет k = 2 пакета (один уже имеющийся и один из магазина), а завтра — оставшийся один пакет.

G. Ветры зимы

Бинарный поиск Структуры данных *3300

Дано корневое дерево с n вершинами. Король Ночи удаляет ровно одну вершину дерева и все ребра из этой вершины. После этого дерево распадается, и образуется лес деревьев. Вершина, которая удалена, больше не является частью дерева.

Корнем дерева в лесу деревьев является вершина в этом дереве, которая не имеет вершину-родитель. Определим силу леса, как размер самого большого дерева в лесу деревьев.

Джон Сноу хочет минимизировать силу леса дерева. Чтобы сделать это, он может выполнить следующую операцию максимум один раз.

Он удаляет ребро между вершиной и ее родителем и вставляет новое ребро между этой вершиной и любой другой вершиной в лесу, так чтобы количество деревьев в лесу оставалось таким же.

Для каждой вершины v необходимо узнать минимальное значение силы леса, сформированного удалением вершины v.

Входные данные

Первая строка входных данных содержит единственное целое число n (1  ≤  n  ≤  105) — количество вершин в дереве. Каждая из следующих n строк содержит два целых числа ui и vi (1  ≤  ui,  vi  ≤  n), где ui родитель вершины vi. Если ui = 0, тогда vi корень дерева.

Выходные данные

Выведите n строк. i-я строка должна содержать минимальное значение силы леса, сформированного удалением i-й вершины, и применением Джоном Сноу максимум одной операции, описанной выше.

Примечание

Дерево в первом тестовом примере изображено ниже. При удалении первой вершины дерево распадается и формирует следующий лес. Сила этого леса равна 4. Джон Сноу может поменять родителя вершины 10 с 5 на 3. Сила леса становится равной 3.

A. Вечная Копилка

Бинарный поиск математика *1800

У вас есть n гаджетов, которые вы хотите использовать одновременно.

Гаджет номер i использует ai единиц энергии в секунду. Это использование энергии непрерывное, то есть, за λ секунд гаджет использует λ·ai единиц энергии. Гаджет номер i сейчас имеет bi единиц энергии. Все устройства могут хранить неограниченное количество единиц энергии.

У вас есть единственное зарядное устройство, которое можно подключить к любому из гаджетов. Зарядное устройство заряжает подключенный гаджет на p единиц энергии в секунду. Зарядка происходит непрерывно, то есть, за λ секунд зарядки любой гаджет получит λ·p единиц энергии. Вы можете подключать зарядное устройство к любому гаджету в любой момент времени (в том числе, в нецелые моменты времени), можно считать, что переключение происходит мгновенно.

Вы задались вопросом: как долго вы можете использовать все гаджеты, прежде чем в каком-то из них останется 0 единиц энергии?

Если вы можете использовать гаджеты бесконечно долго, выведите -1. Иначе выведите максимально возможное время, в течение которого во всех гаджетах будет больше 0 единиц энергии.

Входные данные

Первая строка содержит два целых числа n и p (1 ≤ n ≤ 100 000, 1 ≤ p ≤ 109) — количество гаджетов и мощность зарядного устройства.

После этого следуют n строк, каждая из которых содержит два целых числа. Строка номер i содержит числа ai и bi (1 ≤ ai, bi ≤ 100 000) — мощность устройства и запас энергии в устройстве в начальный момент времени.

Выходные данные

Если вы можете использовать гаджеты бесконечно долго, выведите -1. Иначе выведите максимально возможное время, в течение которого во всех гаджетах будет больше 0 единиц энергии.

Ваш ответ будет считаться правильным, если его абсолютная или относительная ошибка не превосходит 10 - 4.

А именно, пусть ваш ответ равен a, а ответ жюри равен b. Ваш ответ будет засчитан, если .

Примечание

В первом примере можно заряжать первый гаджет все время, пока в нем кончится энергия. Во втором гаджете достаточно энергии, чтобы работать все это время без подзарядки.

Во втором примере вы можете использовать гаджет бесконечно долго.

В третьем примере можно заряжать третий гаджет в течение 2 / 5 секунды, а затем заряжать второй гаджет еще 1 / 10 секунды.

E. Верифицируем Королевство

Бинарный поиск Деревья разделяй и властвуй интерактив *3200

Эта задача является интерактивной.

Жюри загадало полное корневое бинарное дерево с n листьями. Полное бинарное дерево — такое дерево, каждая вершина которого имеет либо 0, либо 2 ребенка. Вершины с 0 детьми называются листьями. Так как дерево полное бинарное, то всего в нем 2n - 1 вершина. Листья загаданного дерева имеют индексы от 1 до n. Вы хотите построить дерево, изоморфное дереву жюри. Чтобы это сделать, вы можете спрашивать некоторые вопросы.

Вопрос состоит из трех различных листьев a1, a2, a3. Пусть глубина вершины равна кратчайшему расстоянию от вершины до корня дерева. Пусть LCA(a, b) означает вершину с максимальной глубиной такую, что эта вершина является общим предком вершин a и b.

Пусть X = LCA(a1, a2), Y = LCA(a2, a3), Z = LCA(a3, a1). Жюри ответит вам, какая из вершин X, Y, Z имеет наибольшую глубину. Заметьте, что ответ определен однозначно, так как дерево бинарное.

Формально, если наибольшую глубину имеет X (или Y, Z соответственно), жюри ответит строкой «X» (или «Y», «Z» соответственно).

Вы можете задать не более 10·n вопросов.

Входные данные

Первая строка ввода содержит одно целое число n (3 ≤ n ≤ 1 000) — число листьев в дереве.

Выходные данные

Чтобы вывести угаданное дерево, выведите число «-1» на отдельной строке. Следующая строка должна содержать 2n - 1 целых чисел. i-е из этих чисел должно равняться индексу родителя i-й вершины, или -1, если это корень.

Ваш ответ будет считаться правильным, если ваше дерево изоморфно загаданному. В частности, листья не обязаны быть пронумерованы от 1 до n. Изоморфность означает, что существует такая перестановка π, что вершина i является родителем вершины j в загаданном дереве если и только если вершина π(i) является родителем вершины π(j) в вашем дереве.

Протокол взаимодействия

Чтобы задать вопросы, выведите три различных целых числа a1, a2, a3. Эти числа должны быть от 1 до n включительно.

Программа жюри ответит единственным символом: «X», «Y» или «Z».

Если ответ равен «X» (или «Y», «Z», соответственно), то пара (a1, a2) (или (a2, a3), (a3, a1), соответственно) имеет наиболее глубокий LCA среди всех трех пар.

Вы можете задать не более 10·n вопросов, иначе вы получите вердикт Неправильный ответ.

Когда вы будете готовы вывести ответ, выведите число «-1» на отдельной строке. Следующая строка должна содержать 2n - 1 целых чисел. i-е из этих чисел должно равняться индексу родителя i-й вершины, или -1, если это корень. Не забудьте сделать операцию flush после вывода ответа тоже. Вывод ответа не учитывается при подсчете количества вопросов.

Вы получите вердикт Неправильный ответ, если

  • Ваш вопрос или ответ не соответствует формату, описанному в условии.
  • Вы спросили строго больше 10·n вопросов.
  • Ваш вопрос содержит повторяющиеся индексы.
  • Ваше дерево не изоморфно дереву жюри.

Вы получите вердикт Решение «зависло», если не будете ничего выводить, или забудете сделать операцию flush после вывода вопроса или ответа (смотрите ниже информацию, как сделать flush).

Чтобы выполнить операцию flush, можете использовать (сразу после вывода чисел и перевода строки):

  • fflush(stdout) в C++;
  • System.out.flush() в Java;
  • stdout.flush() в Python;
  • flush(output) в Pascal;
  • Смотрите документацию для других языков.

Если в любой момент ваша программа считывает -1 как ответ, она должна немедленно нормально завершиться (например, вызовом exit(0)). Вы получите вердикт Неправильный ответ, и это будет означать, что вы задали больше вопросов, чем разрешено, или сделали некорректный вопрос. Если вы проигнорируете это, то можете получить любой вердикт, так как ваша программа продолжит читать из закрытого потока ввода.

Взломы Чтобы взломать кого-нибудь, используйте следующий формат.


n
p_1 p_2 ... p_{2n-1}

Это описывает дерево, где родителем вершины i является вершина pi (pi =  - 1 or n < pi ≤ 2n - 1). Значение pi, равное -1 означает, что вершина i является корнем. Эти данные должны описывать корректное полное бинарное дерево.

Конечно, взламываемая программа не будет иметь доступ к этим данным.

Примечание

В первом примере загаданное дерево выглядит так:

Взаимодействие в более удобном формате:

Последняя строка также может быть равной 8 6 9 8 9 7 -1 6 7.

A. Доля успешных попыток

Бинарный поиск математика *1700

Вы — опытный участник соревнований Codeforces. Недавно вы обнаружили, что за все время своего участия в раундах Codeforces успели сделать y попыток, из которых x были успешными. Таким образом, на данный момент ваша доля успешных попыток на Codeforces составляет x / y.

Ваше любимое рациональное число в диапазоне [0;1] — это p / q. Теперь вам интересно: какое минимальное количество попыток вам придется сделать, если вы зададитесь целью сделать свою долю успешных попыток равной p / q?

Входные данные

Первая строка содержит одно целое число t (1 ≤ t ≤ 1000) — количество тестов.

Каждая из следующих t строк содержит четыре целых числа x, y, p и q (0 ≤ x ≤ y ≤ 109; 0 ≤ p ≤ q ≤ 109; y > 0; q > 0).

Гарантируется, что p / q — несократимая дробь.

Взломы. Для взломов должно выполняться дополнительное ограничение t ≤ 5.

Выходные данные

Для каждого теста выведите одно целое число — минимальное количество попыток, которое вам придется сделать, чтобы ваша доля успешных попыток стала равна вашему любимому рациональному числу, либо -1, если добиться желаемого невозможно.

Примечание

В первом тесте необходимо сделать 4 успешные попытки. Тогда ваша доля успешных попыток составит 7 / 14, или 1 / 2.

Во втором тесте нужно совершить 2 успешные и 8 безуспешных попыток. Тогда ваша доля успешных попыток составит 9 / 24, или 3 / 8.

В третьем тесте нет надобности отсылать решения на проверку, ваша доля успешных попыток уже составляет 20 / 70, или 2 / 7.

В четвертом тесте единственная неудачная попытка рушит все ваши надежды иметь долю успешных попыток, равную 1.

C. Степное разбиение

Бинарный поиск Конструктив математика жадные алгоритмы *2200

Можно показать, что любое натуральное число x единственным образом представимо в виде x = 1 + 2 + 4 + ... + 2k - 1 + r, где k и r — целые, k ≥ 0, 0 < r ≤ 2k. Такое представление будем называть степным разбиением x на слагаемые.

Например, степные разбиения чисел 12, 17, 7 и 1 выглядят так:

12 = 1 + 2 + 4 + 5,

17 = 1 + 2 + 4 + 8 + 2,

7 = 1 + 2 + 4,

1 = 1.

Алиса взяла последовательность натуральных чисел (элементы в которой могли повторяться), каждый элемент последовательности заменила на последовательность из всех слагаемых его степного разбиения, расположила все получившиеся числа в неубывающем порядке и отдала Борису. Теперь Борису интересно, сколько элементов могло быть в исходной последовательности Алисы. Найдите все возможные варианты!

Входные данные

Первая строка содержит единственное целое число n (1 ≤ n ≤ 105) — количество чисел, которые Алиса отдала Борису.

Вторая строка содержит n целых чисел a1, a2, ..., an (1 ≤ ai ≤ 1012; a1 ≤ a2 ≤ ... ≤ an) — числа, отданные Алисой.

Выходные данные

Выведите в возрастающем порядке все возможные значения m такие, что существует последовательность натуральных чисел длины m такая, что если каждый элемент последовательности заменить слагаемыми из его степного разбиения и расположить получившиеся числа в неубывающем порядке, получится последовательность чисел, заданная во входных данных.

Если таких значений m не существует, выведите единственное число -1.

Примечание

В первом примере Алиса могла получить такую последовательность чисел из последовательности [6, 20].

Во втором примере последовательностью Алисы могла быть как [4, 5], так и [3, 3, 3].

B. Значимые кубки

Бинарный поиск Структуры данных *2100 *особая задача

Степан — опытный участник олимпиад. У него есть n кубков за олимпиады по физике и m — по информатике. Каждый кубок характеризуется двумя параметрами — своей значимостью ci и шириной wi.

Степан решил выставить часть своих кубков на полке общей ширины d так, чтобы:

  • на полке был хотя бы один кубок по физике и хотя бы один кубок по информатике,
  • суммарная ширина выставленных кубков не превышала d,
  • от каждого предмета были выставлены несколько самых значимых кубков (то есть, если по какому-то предмету выставлен кубок с значимостью x, то должны быть выставлены все кубки по этому предмету, чья значимость превышает x).

Перед вами стоит задача определить максимально возможную суммарную значимость кубков, которые Степан может выставить на полку ширины d, учитывая все описанные выше условия.

Входные данные

В первой строке следует три целых числа n, m и d (1 ≤ n, m ≤ 100 000, 1 ≤ d ≤ 109) — количество кубков по физике и по информатике, которые есть у Степана, а также ширина полки.

Во следующих n строках следует по два целых числа ci и wi (1 ≤ ci, wi ≤ 109) — значимость и ширина i-го кубка по физике.

В следующих m строках следует по два целых числа cj и wj (1 ≤ cj, wj ≤ 109) — значимость и ширина j-го кубка по информатике.

Выходные данные

Выведите максимально возможную суммарную значимость кубков, которые Степан может выставить на полку ширины d, учитывая все необходимые требования.

Если не существует ни одного способа выставить кубки, выведите 0.

Примечание

В первом примере у Степана есть всего один кубок по информатике, который обязательно нужно выставить. Его значимость равна 3, а ширина 2, поэтому после его выставления ширина оставшегося места на полке равна 6. Также Степан должен выставить второй кубок с шириной 5 по физике, так как он самый значимый (его значимость равна 5). После этого на полку больше нельзя поставить ни одного кубка. Поэтому максимальная суммарная значимость выставленных кубков равна 8.

F. Ручки и дни недели

Бинарный поиск теория чисел *особая задача *2700

У Степана есть n ручек. Каждый день он пользуется ими, причём в i-й день он использует ручку номер i. В (n + 1)-й день он вновь использует ручку номер 1, в (n + 2)-й — ручку номер 2 и так далее.

Каждый рабочий день (с понедельника до субботы, включительно) Степан расходует ровно 1 миллилитр чернил той ручки, которой пользуется в этот день. В воскресенье у Степана выходной, поэтому он совсем не тратит чернил ручки, которую использует в этот день.

Степан знает, сколько миллилитров чернил в каждой из его ручек. Сегодня начало понедельника и Степан будет использовать в этот день ручку номер 1. Перед вами стоит задача определить номер ручки, которая закончится раньше всех (то есть в ней не останется чернил), если Степан будет использовать ручки согласно условиям, описанным выше.

Входные данные

В первой строке следует целое число n (1 ≤ n ≤ 50 000) — количество ручек, которые есть у Степана.

Во второй строке следует последовательность целых чисел a1, a2, ..., an (1 ≤ ai ≤ 109), где ai равно количеству миллилитров чернил, которые изначально есть в ручке номер i.

Выходные данные

Выведите номер ручки, которая закончится раньше всех (то есть в ней не останется чернил), если Степан будет использовать ручки согласно описанным условиям. Ручки нумеруются в том же порядке, в котором заданы во входных данных. Нумерация начинается с единицы.

Обратите внимание, что ответ всегда однозначен, так как несколько ручек не могут закончиться одновременно.

Примечание

В первом примере расходование чернил в ручках выглядит следующим образом:

  1. в день номер 1 (понедельник) Степан будет использовать ручку номер 1, после чего в ней останется 2 миллилитра чернил;
  2. в день номер 2 (вторник) Степан будет использовать ручку номер 2, после чего в ней останется 2 миллилитра чернил;
  3. в день номер 3 (среда) Степан будет использовать ручку номер 3, после чего в ней останется 2 миллилитра чернил;
  4. в день номер 4 (четверг) Степан будет использовать ручку номер 1, после чего в ней останется 1 миллилитр чернил;
  5. в день номер 5 (пятница) Степан будет использовать ручку номер 2, после чего в ней останется 1 миллилитр чернил;
  6. в день номер 6 (суббота) Степан будет использовать ручку номер 3, после чего в ней останется 1 миллилитр чернил;
  7. в день номер 7 (воскресенье) Степан будет использовать ручку номер 1, но так как это выходной, в этот день он не потратит чернил этой ручки;
  8. в день номер 8 (понедельник) Степан будет использовать ручку номер 2, после чего в ней не останется чернил, то есть она закончится.

Поэтому, первой ручкой, в которой не останется чернил, является ручка номер 2.

L. Батончики Барс

Бинарный поиск *2000 *особая задача

Рабочий день Поликарпа длится ровно \(n\) минут. Поликарп очень любит шоколадные батончики Барс. Он может съесть один батончик ровно за минуту. Всего у Поликарпа есть \(k\) батончиков в начале рабочего дня.

В некоторые минуты рабочего дня у него важные дела и есть батончик в такие минуты он не может, в остальные же минуты он может есть батончик, а может и не есть. Известно, что в первую и последнюю минуты рабочего дня важных дел у него точно нет, и он обязательно съест батончики в них, чтобы порадовать себя в начале и в конце рабочего дня. Гарантируется, что \(k\) строго больше \(1\).

Перед вами стоит задача определить такой порядок поедания батончиков, чтобы время максимального перерыва между съеденными батончиками было как можно меньше.

Считайте, что если Поликарп съел батончик в минуту \(x\), а следующий батончик он съел в минуту \(y\) (\(x < y\)), то перерыв равен \(y - x - 1\) минутам. Поликарп не обязательно должен съедать все батончики.

Входные данные

В первой строке следует два целых числа \(n\) и \(k\) (\(2 \le n \le 200\,000\), \(2 \le k \le n\)) — длина рабочего дня в минутах и количество батончиков, которые есть у Поликарпа в начале рабочего дня.

Во второй строке следует строка длины \(n\), состоящая из нулей и единиц. Если \(i\)-й символ равен нулю, то в минуту \(i\) у Поликарпа нет важных дел и Поликарп может съесть батончик. В противном случае, Поликарп занят в минуту \(i\) и не может съесть батончик. Гарантируется, что первый и последней символы в строке равны нулю, и Поликарп обязательно съест батончики в соответствующие минуты.

Выходные данные

Выведите минимально возможное количество минут перерыва между поеданием батончиков Поликарпом.

Примечание

В первом примере Поликарп не может есть батончик во вторую минуту, поэтому перерыв будет равен одной минуте.

Во втором примере Поликарп обязательно съесть батончики в минуту \(1\) и в минуту \(8\), также ему нужно съесть батончик в минуту \(5\), тогда максимальный перерыв будет равен \(3\) минутам.

C. Химикаты Молли

Бинарный поиск Перебор Структуры данных математика реализация *1800

У Молли Хупер есть n химикатов, расположенных в ряд. Каждый из химикатов имеет величину влиятельности, для химиката i эта величина равна ai.

Молли хочет, чтобы Шерлок в нее влюбился. Она собирается смешать все химикаты из некоторого отрезка так, чтобы сделать любовное зелье с величиной влиятельности, равной некоторой целой неотрицательной степени числа k. Величина влиятельности зелья равна сумме величин влиятельности химикатов на отрезке, из которого зелье составлено.

Помогите Молли найти количество отрезков, которые она может выбрать.

Входные данные

Первая строка содержит два целых числа n и k (1 ≤ n ≤ 105, 1 ≤ |k| ≤ 10) — количество химикатов и число k, неотрицательной степенью которого должна быть величина влиятельности зелья.

Вторая строка содержит n целых чисел a1, a2, ..., an ( - 109 ≤ ai ≤ 109) — величины влиятельности химикатов.

Выходные данные

Выведите единственное целое число — число пригодных отрезков.

Примечание

Помните, что k0 = 1.

В первом примере Молли может получить следующие величины влиятельности:

  • 2: отрезки [1, 1], [2, 2], [3, 3], [4, 4];

  • 4: отрезки [1, 2], [2, 3], [3, 4];

  • 6: отрезки [1, 3], [2, 4];

  • 8: отрезки [1, 4].

Среди них величины 2, 4 и 8 являются степенями k = 2. Таким образом, ответ 8.

Во втором примере Молли может выбрать отрезки [1, 2], [3, 3], [3, 4].

C. Алёна и таблички

Бинарный поиск Структуры данных реализация *1600 дп жадные алгоритмы

На уроке информатики маленькая девочка Алёна осваивает редактирование таблиц в одной очень известной программе.

Сейчас у неё есть таблица из целых чисел, состоящая из n строк и m столбцов. Через ai, j будем обозначать число в i-й строке и j-м столбце. Будем говорить, что таблица отсортирована по неубыванию по j-му столбцу, если ai, j ≤ ai + 1, j для всех i от 1 до n - 1.

Учительница дала Алёне k заданий. Для каждого из заданий известны два числа l и r и требуется ответить на вопрос: если от таблицы оставить только строки с l по r включительно, то будет ли она отсортирована по неубыванию хотя бы по одному столбцу? Другими словами, существует ли такое j, что ai, j ≤ ai + 1, j для всех i от l до r - 1 включительно.

Алёна ещё слишком маленькая, чтобы справиться с заданием самостоятельно — помогите ей!

Входные данные

В первой строке входных данных записаны два целых положительных числа n и m (1 ≤ n·m ≤ 100 000) — количество строк и столбцов в таблице соответственно. Обратите внимание, что дано ограничение только на произведение этих чисел, то есть на количество элементов таблицы.

В каждой из следующих n строк записаны m целых чисел, j-e число в i-й из этих строк соответствует значению ai, j (1 ≤ ai, j ≤ 109).

В следующей строке входных данных задано число k (1 ≤ k ≤ 100 000) — количество заданий учительницы, которые нужно выполнить Алёне.

В i-й из последующих k строк числа li и ri (1 ≤ li ≤ ri ≤ n).

Выходные данные

В i-й строке выведите "Yes", если в таблице, полученной из исходной оставлением строк с li по ri включительно будет столбец, по которому она отсортирована по неубыванию, и "No" в противном случае.

Примечание

В приведенном примере таблица не отсортирована ни по одному столбцу, но, например, строки 1–3 отсортированы по столбцу 1, а строки 4–5 по столбцу 3.

D. Облако хештегов

Строки Бинарный поиск реализация *1800 жадные алгоритмы

Вася ведёт публичную страницу организации «Мышь и клавиатура», где постоянно публикует различные новости из мира спортивного программирования. Для удобства поиска по новостям Вася прикрепляет к каждой из них список хештегов. В данной задаче хештегом называется строка, состоящая из маленьких букв английского алфавита и ровно одного символа '#', расположенного в начале строки. Длиной хештега будем называть количество символов в нём, без учёта символа '#'.

Начальство Васи распорядилось, что хештеги у каждой новости должны быть расположены в лексикографическом порядке (для пояснения смотрите примечания).

Поскольку Васе не хочется менять порядок хештегов в уже написанной новости, он решил удалить у некоторых хештегов некоторый суффикс (какое-то количество последних символов), при этом можно даже удалить весь текст хештега, оставив только символ '#', но сам символ '#' удалять нельзя. Из всех возможных вариантов такого удаления Вася хочет выбрать тот, в котором суммарно будет удалено минимальное количество символов. Если и таких вариантов несколько, то разрешается использовать любой из них.

Входные данные

В первой строке находится одно число n (1 ≤ n ≤ 500 000) — количество хештегов в новости.

Каждая из следующих n строк содержит ровно один хештег положительной длины.

Гарантируется, что суммарная длина всех хештегов (то есть всех строк, без учёта символа '#') не превосходит 500 000.

Выходные данные

Выведите полученные после удаления символов хештеги.

Примечание

Слово a1, a2, ..., am длины m лексикографически не превосходит слова b1, b2, ..., bk длины k, если выполняется одно из двух:

  • либо в первой позиции i, такой что ai ≠ bi, символ ai идёт раньше по алфавиту, чем символ bi, то есть в первой различающейся позиции символ слова a меньше символа слова b;
  • либо, если такой позиции i нет, и m ≤ k, то есть второе слово начинается с первого либо совпадает с ним

Про последовательность слов говорят, что они идут в лексикографическом порядке, если каждое слово в нём (кроме последнего) лексикографически не превосходит следующего за ним.

Для слов, состоящих из маленьких латинских букв, лексикографический порядок совпадает с алфавитным порядком расположения слов в словаре.

Хештег, состоящий только из символа '#', лексикографически не больше любого другого хештега. Поэтому в третьем примере мы не можем оставить два первых слова и сократить два вторых.

A. Игра на строке

Строки Бинарный поиск жадные алгоритмы *1700

Любимое занятие Насти — вычеркивать буквы из слова, чтобы получилось другое слово. Но получается это у нее довольно плохо, потому что она еще маленькая. Поэтому ей всегда помогает ее старший брат Сергей.

Сергей дал Насте слово t и хочет, чтобы из него получилось слово p. Настя начинает вычеркивать буквы в некотором порядке (последовательно, строго в этом порядке), который задан перестановкой номеров букв слова t: a1... a|t|. Длину слова x мы обозначаем |x|. Заметим, что после вычеркивания буквы нумерация не меняется. Например, если t = «nastya» и a = [4, 1, 5, 3, 2, 6] тогда вычеркивания образуют следующую последовательность слов: «nastya» «nastya» «nastya» «nastya» «nastya» «nastya» «nastya».

Этот порядок изначально известен Сергею. Его задача состоит в том, чтобы в некоторый момент времени остановить сестру и закончить вычеркивание самому, получив после этого слово p. Так как Насте нравится это занятие, Сергей хочет остановить ее как можно позже. Ваша задача — сообщить, сколько букв может вычеркнуть Настя до того, как ее остановит Сергей.

Гарантируется, что слово p можно получить вычеркиванием букв из t.

Входные данные

Первая и вторая строки входного файла содержат слова t и p, соответственно. Слова состоят из строчных букв латинского алфавита (1 ≤ |p| < |t| ≤ 200 000). Гарантируется, что слово p можно получить вычеркиванием букв из t.

Следующая строка содержит перестановку a1, a2, ..., a|t| номеров букв, задающую порядок, в котором Настя вычеркивает буквы слова t (1 ≤ ai ≤ |t|, все ai различны).

Выходные данные

Выведите одно число — максимальное число букв, которые может вычеркнуть Настя.

Примечание

В первом примере последовательность вычеркивания букв Настей выглядит так:

«ababcba» «ababcba» «ababcba» «ababcba»

Продолжать вычеркивать Настя не может, потому что из «ababcba» нельзя получить «abb».

Таким образом, Настя может вычеркнуть только три буквы в свой последовательности.

D. Выстрел лучника

Бинарный поиск математика геометрия *2300

Стратегическая компьютерная игра нового поколения «Civilization XIII» поражает своей масштабностью и проработанностью деталей. Рассмотрим, например, одну из них.

Игровое поле в игре разбито на правильные шестиугольники со стороной в 1 условную единицу. Пропорции юнитов в отношении карты близки к реальным, поэтому игровое поле можно считать бесконечной плоскостью. Каждый юнит занимает ровно одну шестиугольную ячейку игрового поля.

Рассмотрим боевого юнита «Лучник». Каждый лучник имеет параметр «дальность выстрела». Это некоторое натуральное число условных единиц, которое задает радиус круга, в пределах которого лучник может поразить цель. Центр этого круга совпадает с центром ячейки, в которой сейчас находится лучник. Считается, что некоторая ячейка находится под обстрелом лучника, если и только если все ее точки (включая граничные), находится внутри или на границе круга.

На картинке ниже показаны границы обстрела лучника для «дальностей выстрела» 3, 4 и 5. Сам лучник обозначен буквой A.

Определите, какое количество клеток находится под обстрелом для лучника.

Входные данные

Входные данные представляют из себя одно натуральное число k — дальность выстрела лучника (1 ≤ k ≤ 106).

Выходные данные

Выведите единственное число — количество ячеек, которые находятся под обстрелом.

Пожалуйста, не используйте спецификатор %lld для чтения или записи 64-х битовых чисел на С++. Рекомендуется использовать поток cout (также вы можете использовать спецификатор %I64d).

B. Место встречи изменить нельзя

Бинарный поиск *1600

Главная улица в Байтсити имеет вид длинной прямой с юга на север. Для удобства ориентирования на прямой введены координаты, измеряемые в метрах от самого южного дома в сторону севера.

В некоторых точках улицы сейчас находятся n друзей, причём i-й из них находится в точке с координатой xi метров и может передвигаться с максимальной скоростью vi метров в секунду в любом из двух направлений вдоль улицы — на юг или на север.

Перед вами стоит задача определить минимальное время, за которое все n друзей смогут встретиться в одной точке на главной улице. Обратите внимание, что точка, в которой встретятся друзья, не обязана иметь целочисленную координату.

Входные данные

В первой строке находится единственное целое число n (2 ≤ n ≤ 60 000) — количество друзей.

Во второй строке находятся n целых чисел x1, x2, ..., xn (1 ≤ xi ≤ 109) — текущие координаты друзей в метрах.

В третьей строке находятся n целых чисел v1, v2, ..., vn (1 ≤ vi ≤ 109) — максимальные скорости друзей в метрах в секунду.

Выходные данные

Выведите минимальное время (в секундах), за которое все n человек смогут встретиться в одной точке.

Ваш ответ будет считаться правильным, если его абсолютная или относительная погрешность не превышает 10 - 6. Формально, пусть ваш ответ равен a, а ответ жюри — b. Ваш ответ будет считаться правильным, если .

Примечание

В первом примере все друзья могут встретиться в точке 5 через 2 секунды. Для этого первый друг должен идти все время со своей максимальной скоростью на юг, а второй и третий должны идти со своими максимальными скоростями на север.

H. Автобусы и интранет

Бинарный поиск реализация геометрия *3100

В городе запустили автобусный маршрут, представляющий собой замкнутую ломаную на плоскости, все звенья которой параллельны осям координат. На маршруте будет работать m автобусов, двигающихся по циклу вдоль ломаной в одном направлении с одинаковой постоянной скоростью (временем остановок автобусов в рамках данной задачи можно пренебречь).

Автобусы начинают движение по маршруту в первой вершине ломаной с равными промежутками. Пусть T — это время, за которое один автобус проезжает по кругу весь маршрут. Тогда автобус 1 начинает движение в момент времени 0, автобус 2 — в момент времени T / m, третий — в момент времени 2T / m, и т.д.; наконец, автобус m стартует в момент (m - 1)T / m. Таким образом, интервалы между всеми парами соседних автобусов (в том числе, между последним и первым) одинаковы.

Автобусы могут обмениваться информацией при помощи беспроводных передатчиков одинаковой мощности. Если мощность передатчиков на автобусах равна D, то обмен информацией возможен между автобусами на расстоянии D или меньше.

Кроме этого, автобусы оснащены распределенной системой слежения за маршрутом. Для того, чтобы все автобусы двигались строго по графику, система должна периодически синхронизировать данные на всех автобусах. В момент синхронизации автобус 1 обменивается информацией с автобусом 2, автобус 2 с автобусом 3, и т.д., кроме этого, автобус m обменивается информацией с автобусом 1.

Вам, как сотруднику аналитического отдела, поставили задачу найти минимальное значение D, при котором синхронизацию возможно проводить хотя бы время от времени.

Входные данные

В первой строке записано два целых числа n и m (2 ≤ n, m ≤ 105) — количество вершин ломаной и количество автобусов соответственно.

Следующие n строк описывают вершины ломаной в порядке ее обхода. Каждая из этих строк содержит два целых числа xi, yi ( - 1000 ≤ xi, yi ≤ 1000) — координаты очередной вершины.

Гарантируется, что каждое звено ломаной (в том числе, между последней и первой вершиной) параллельно одной из осей координат. Кроме этого, никакие две последовательные вершины ломаной не совпадают. Ломаная может иметь самопересечения и проходить по одному отрезку несколько раз.

Выходные данные

Выведите одно вещественное число — ответ на задачу. Ответ будет принят, если абсолютная или относительная погрешность не превосходит 10 - 6.

Примечание

Пусть все автобусы проезжают 1 единицу расстояния в секунду. В первом примере, через 0.5 секунды автобусы окажутся на расстоянии 1, поэтому можно выбрать D = 1.

Во втором примере, через 0.5 секунды оба автобуса окажутся в точке (0.5, 0), поэтому можно выбрать D = 0.

C. Антон и сказка

Бинарный поиск математика *1600

Антону нравится слушать сказки. Особенно, когда их рассказывает его лучший друг Даник. Прямо сейчас Даник рассказывает Антону такую сказку:

«Жил-был один император. Он был очень богат, особенно много у него было зерна. Однажды он велел построить огромный амбар, чтобы поместить туда свое зерно. Лучшие строители строили амбар три дня и три ночи. Однако они недоглядели, и в амбаре осталась маленькая дырочка, через которую каждый день внутрь проникали воробьи. Вот прилетел один воробей, схватил зернышко и улетел...»

Более формально, в сказке происходило следующее. В начале первого дня амбар вместимостью n зерен был наполнен доверху. Затем, каждый день (начиная с первого) происходило следующее:

  • В амбар привозили еще m зерен. Если m зерен в амбар не помещались, то он наполнялся доверху, а те зерна, которые не поместились, увозили обратно (в рамках данной задачи можно считать, что не поместившиеся в амбар зерна никак не учитывались).
  • Прилетали воробьи и клевали зерно. В i-й день прилетало i воробьев, то есть в первый день прилетал один воробей, во второй день — два и так далее. Каждый воробей съедает ровно по одному зернышку. Если амбар пуст, воробей ничего не съедает.

Антон уже устал слушать, как Даник описывает каждого воробья, который клюет зерно из амбара. Конца сказке все еще не видно, поэтому он попросил Вас узнать, к концу какого дня амбар впервые станет пуст. Помогите Антону и напишите программу, которая определит номер этого дня!

Входные данные

В единственной строке входных данных записаны целые числа n и m (1 ≤ n, m ≤ 1018) — вместимость амбара и количество зерна, подвозимое ежедневно.

Выходные данные

Выведите одно целое число — номер дня, к концу которого амбар впервые станет пуст. Дни нумеруются, начиная с единицы.

Примечание

В первом примере в амбаре помещается пять зерен и еще два зерна привозят каждый день. Происходит следующее:

  • В начале первого дня в амбар привозят зерно. Он полон, поэтому ничего не происходит.
  • В конце первого дня прилетает один воробей и клюет зерно, поэтому остается 5 - 1 = 4 зернышка.
  • В начале второго дня привозят еще два зернышка. В итоге амбар снова наполняется, а одно зернышко остается лишним.
  • В конце второго дня прилетают два воробья. Остается 5 - 2 = 3 зернышка.
  • В начале третьего дня привозят еще два зернышка. Амбар наполнятся доверху снова.
  • В конце третьего дня прилетают три воробья и клюют зерно. Остается 5 - 3 = 2 зернышка.
  • В начале четвертого дня опять привозят зерно. Остается 2 + 2 = 4 зернышка.
  • В конце четвертого дня амбар прилетают четыре воробья и клюют зерно. Остается 4 - 4 = 0 зерен. Амбар пуст.

Итого ответ равен 4, так как в конце четвертого дня амбар впервые стал пуст.

E. Списывание на экзамене

Бинарный поиск дп *2400

Зейн и его возлюбленная назначили свидание! Однако, у девушки проблемы с экзаменом по физике, и ей нужна ваша помощь.

В экзамене n вопросов, пронумерованных от 1 до n. Вопрос i идет перед вопросом i + 1 (1 ≤ i < n). Каждый из вопросов не может быть угадан. К счастью, девушка сидит как раз мжду двумя гениями, и она решила списать.

Однако, даже гении знают ответы не на все вопросы: про каждый вопрос они либо знают ответ, либо нет. Однако, если они знают ответ, то он верный.

Чтобы не быть уличенной в списывании, девушка может бросить взгляд на ответы соседа не более p раз, каждый раз смотря на не более чем k последовательных вопросов на листе ответов одного из двух гениев. Когда девушка смотрит на ответ на какой-то из вопросов, она списывает ответ, если он есть, и ничего не делает иначе.

Помогите девушке узнать максимальное число вопросов, на которые она может ответить.

Входные данные

Первая строка содержит три целых числа n, p и k (1 ≤ n, p ≤ 1, 000, 1 ≤ k ≤ min(n, 50)) — количество вопросов, максимальное число раз, которое девушка может подсмотреть ответы, и максимальное число вопросов, ответ на которые девушка может подсмотреть за один раз, соответственно.

Вторая строка содержит одно целое число r (0 ≤ r ≤ n), означающее число вопросов, на которые ответил первый гений. Затем следует r целых чисел a1, a2, ..., ar (1 ≤ ai ≤ n) — номера вопросов, на которые есть ответ, данные в строго возрастающем порядке (то есть ai < ai + 1).

Третья строка содержит одно целое число s (0 ≤ s ≤ n), означающее число вопросов, на которые ответил второй гений. Затем следует s целых чисел b1, b2, ..., bs (1 ≤ bi ≤ n) — номера вопросов, на которые есть ответ, данные в строго возрастающем порядке (то есть, bi < bi + 1).

Выходные данные

Выведите одно целое число — максимальное число вопросов, на которые девушка может узнать ответ.

Примечание

Пусть (x, l, r) означает подглядывание ответа на все вопросы i такие, что l ≤ i ≤ r на листе ответов x-го гения.

В первом примере девушка может узнать ответы на 4 вопроса, выполнив действия (1, 1, 3) и (2, 5, 6).

Во втором примере девушка может выполнить операции (1, 3, 5), (2, 2, 4) и (2, 6, 8), чтобы узнать ответ на 7 вопросов.

C. Фонтаны

Бинарный поиск Структуры данных реализация *1800

Аркадий — заядлый игрок в Gardenscapes. Аркадий хочет построить два новых фонтана. Есть список из n доступных ему фонтанов, про каждый фонтан известна его красота и стоимость. В игре есть два вида денежных ресурсов: монеты и алмазы, поэтому стоимость каждого из фонтанов может быть выражена в монетах или алмазах. Монеты и алмазы нельзя обменивать друг на друга.

Помогите Аркадию выбрать два фонтана с максимальной суммарной красотой таких, что он может купить на имеющиеся у него ресурсы оба одновременно.

Входные данные

Первая строка содержит три целых числа n, c и d (2 ≤ n ≤ 100 000, 0 ≤ c, d ≤ 100 000) — количество фонтанов, количество монет и количество алмазов, которые есть у Аркадия.

В следующих n строках следует описание фонтанов. В каждой строке сначала следует два целых числа bi и pi (1 ≤ bi, pi ≤ 100 000) — красота и стоимость фонтана номер i, а затем буква «C» или «D» — в чем измеряется стоимость фонтана номер i — в монетах или в алмазах, соответственно.

Выходные данные

Выведите максимальную суммарную красоту ровно двух фонтанов, которые Аркадий может построить. Если невозможно построить два фонтана, выведите 0.

Примечание

В первом примере Аркадию нужно построить второй фонтан с красотой 4, который стоит 3 монеты. Первый фонтан он построить не сможет, так как ему не хватит на это монет. Также, Аркадию нужно построить третий фонтан с красотой 5, который стоит 6 алмазов. Таким образом, суммарная красота построенных фонтанов равна 9.

Во втором примере всего два фонтана, но Аркадий не сможет построить их оба, так как для постройки первого фонтана нужно 5 монет, а у Аркадия есть всего 4 монеты.

G. Разрезать торт

Бинарный поиск Структуры данных геометрия *3500

Аркадий прошел n-й уровень в игре Township, и поэтому Маша решила испечь ему торт! Конечно, торт представляет из себя выпуклый n-угольник, то есть многоугольник с n сторонами.

Будучи истинным джентльменом, Аркадий решил поделить торт на две равные по площади части одним прямым разрезом: одну часть он съест сам, другую съест Маша. Но вот незадача: Аркадий уже воткнул нож в одну из точек внутри торта, и теперь ему нужно разрезать торт по прямой линии, проходящей через эту точку.

Помогите Аркадию: найдите такую прямую, что она проходит через точку, в которую Аркадий воткнул нож, и делит торт на две равные по площади части, или определите, что такой прямой нет. Ваша программа должна быстро отвечать на много запросов с одним и тем же тортом, но разными точками, в которые Аркадий втыкает нож.

Входные данные

В первой строке находятся два целых числа n и q (3 ≤ n ≤ 104, 1 ≤ q ≤ 105) — число вершин в торте-многоугольнике и число запросов.

Далее следуют n строк, в которых находятся координаты вершин многоугольников в порядке обхода по часовой стрелке. В i-й из этих строк находятся два целых числа xi и yi ( - 106 ≤ xi, yi ≤ 106) — координаты i-й вершины. Гарантируется, что многоугольник строго выпуклый, в частности, никакие три вершины не лежат на одной прямой.

Далее следует пустая строка.

Далее следуют q строк, в которых находятся координаты точек, в которые Аркадий втыкает нож. В i-й из этих строк находятся два целых числа xi и yi ( - 106 ≤ xi, yi ≤ 106) — координаты точки, в которую Аркадий втыкает нож, в i-м запросе. Гарантируется, что в каждом запросе точка лежит строго внутри многоугольника, в частности, не лежит на его границе.

Выходные данные

Для каждого запроса выведите одно число — полярный угол прямой, являющейся ответом на соответствующий запрос. Угол должен принадлежать отрезку [0;π], углы отсчитываются от направления оси абцисс (OX) против часовой стрелки. Например, полярный угол направления оси ординат (OY) равен . Если в запросе не существует подходящей прямой, выведите -1.

Если подходящий прямых несколько, выведите любую из них. Ваш ответ будет считаться правильным, если отношение модуля разности площадей получившихся частей к общей площади многоугольника, не превосходит 10 - 4. Иными словами, если a и b — площади получившихся частей многоугольника, то ваш ответ будет считаться правильным, если .

D. Два товарища

Бинарный поиск геометрия *2600

Два соседа Петя и Вася, живут в городе, в котором всего три здания: кинотеатр, магазин и дом, в котором они живут. Остальное пространство — большая заасфальтированная площадь.

Как-то раз они пошли в кино, и фильм их впечатлил так, что когда они вышли из кинотеатра, им хотелось обсуждать и обсуждать его.

Вася хочет попасть домой, а Петя сначала должен зайти в магазин, а потом прийти домой. Так что они решили, что пройдут какой-то путь вместе обсуждая кино (может быть, этот путь пройдет через магазин, а, возможно, это будет пара кругов вокруг кинотеатра) и дальше пойдут по своим делам. Как только они разойдутся, то задумаются о своих повседневных делах и даже если встретятся снова где-то, то не смогут продолжить обсуждение. Таким образом путь Васи это будет какая-то непрерывная кривая, имеющая своими концами кинотеатр и дом. Путь Пети — проходящая через магазин непрерывная кривая, имеющая своими концами кинотеатр и дом.

Фильм закончился поздно, так что весь пройденный Петей путь не должен отличаться от кратчайшего больше, чем на t1, а путь Васи не должен отличаться от кратчайшего больше чем на t2.

Найдите максимальное расстояние, которое Петя и Вася пройдут вместе, обсуждая кино.

Входные данные

В первой строке содержатся два целых числа: t1, t2 (0 ≤ t1, t2 ≤ 100). Во второй строке содержатся координаты кинотеатра, в третьей — их дома и в последней — магазина. Все координаты даны в метрах, целые и не превосходят 100 по абсолютному значению. Никакие два заданных объекта не совпадают.

Выходные данные

В единственной строке выведите одно число — максимальное расстояние, которое Петя и Вася пройдут вместе, обсуждая кино. Ответ выводите с точностью не менее 4 знаков после десятичной точки.

N. Первоапрельская задача (средняя)

Бинарный поиск Потоки *2400 графы

Сурки должны подготовить k задач для HC2 за n дней. Каждую задачу нужно распечатать после того, как она будет подготовлена.

Подготовить задачу в день номер i (не более одной задачи в день) стоит ai CHF, а распечатать задачу в день i (тоже не более одной задачи в день) стоит bi CHF. Конечно, нельзя распечатать задачу до того, как она была подготовлена (но распечатать в тот же день, что и подготовить, позволительно).

Какова минимальная стоимость подготовки и распечатки всех задач?

Входные данные

В первой строке следуют два целых числа n и k (1 ≤ k ≤ n ≤ 2200).

Во второй строке следуют n целых чисел a1, ..., an () – стоимость подготовки задач.

В третьей строке следуют n целых чисел b1, ..., bn () – стоимость печати задач.

Выходные данные

Выведите минимальную суммарную стоимость подготовки и печати k задач, которая равна минимально возможной сумме ai1 + ai2 + ... + aik + bj1 + bj2 + ... + bjk, где 1 ≤ i1 < i2 < ... < ik ≤ n, 1 ≤ j1 < j2 < ... < jk ≤ n и i1 ≤ j1, i2 ≤ j2, ..., ik ≤ jk.

Примечание

В примере одно из возможных решений — подготовить первую задачу в день 1 и распечатать ее в день 1, подготовить вторую задачу в день 2 и распечатать в день 4, подготовить третью задачу в день 3 и распечатать в день 5, подготовить четвертую задачу в день 6 и распечатать в день 8.

O. Первоапрельская задача (сложная)

Бинарный поиск Потоки Структуры данных *2900

Планы для HC2 довольно надуманны: остаётся чуть более чем 500 000 дней до HC2 3387, например, и, соответственно, мы планируем сделать несколько сотен тысяч задач в соответствующем году (мы надеемся, что соревнования по программированию станут более популярными). Суркам нужно приступать к работе, и они могли бы использовать хороший план ...

Входные данные

Входные данные те же, что и в средней версии этой задачи, но изменены ограничения: 1 ≤ k ≤ n ≤ 500 000.

Выходные данные

Выходные данные те же, что и в средней версии этой задачи.

D. Объявление в журнал

Бинарный поиск жадные алгоритмы *1900

Главный журнал города предлагает своим читателям опцию публикации любого объявления на своих страницах. Отформатированное для журнала объявление выглядит следующим образом:

Через пробел записаны непустые слова из строчных и заглавных латинских букв.

В некоторых словах также стоят символы дефиса '-', означающие, что можно сделать перенос в данном слове сразу после дефиса. В слове может быть более одного дефиса.

Гарантируется, что никакие два пробела, два дефиса не стоят рядом. Пробел не стоит рядом с дефисом. Перёд первым словом и после последнего слова не стоят ни дефисы, ни пробелы.

При переносе часть слова до дефиса и сам дефис остаются на текущей строке, а оставшаяся часть слова переносится на следующую строку. Перенос также может осуществляться и между словами, тогда символ пробела остается на текущей строке. Смотрите примечание для лучшего понимания.

Объявление в журнале может занимать не более k строк и должно иметь наименьшую возможную ширину. Ширина объявления определяется максимальным количеством символов в строке (считаются буквы, пробелы и дефисы) в нем.

Напишите программу, которая определит минимальную ширину объявления.

Входные данные

В первой строке задано число k (1 ≤ k ≤ 105).

В следующей строке задан текст объявления — непустые слова из строчных и заглавных латинских букв и знаков дефиса, разделенные пробелами. Длина объявления не превосходит 106 символов.

Выходные данные

Выведите минимальную ширину объявления.

Примечание

Для наглядности все пробелы заменены точками.

В первом примере после применения всех переносов один из возможных вариантов объявления выглядит так:


garage.
for.
sa-
le

Во втором примере:


Edu-ca-
tion-al.
Ro-unds.
are.so.fun

D. Матожидание диаметра дерева

Бинарный поиск Деревья Перебор дп поиск в глубину и подобное сортировки *2500

Паша — прилежный студент, один из лучших друзей Моджака. Он всегда размышляет над какой-то задачей. Сегодня они разговаривали о следующей задаче.

Дан лес (ациклический неориентированный граф) из n вершин и m ребер. Также есть q запросов, на которые необходимо ответить. В каждом запросе даны две вершины v и u. Пусть V — множество вершин в компоненте связности, к которой принадлежит v, а U — множество вершин в компоненте связности, к которой принадлежит u. Добавим ребро между некоторой вершиной и некоторой вершиной и вычислим величину d получившейся компоненты. Если получившаяся компонента — дерево, то величина d равна диаметру компоненты, иначе она равна -1. Найдите математическое ожидание величины d, если вершины a и b выбираются из множеств равновероятно случайным образом.

Можете помочь Паше решить эту задачу?

Диаметром компоненты называется максимальное расстояние между парой вершин в компоненте. Расстоянием между двумя вершинами называется минимальное число ребер на пути между ними.

Заметьте, что запросы не добавляют ребер в изначальный лес.

Входные данные

Первая строка содержит три целых числа n, m и q (1 ≤ n, m, q ≤ 105) — количество вершин и ребер в графе и количество запросов.

Каждая из следующих m строк содержит два целых числа ui и vi (1 ≤ ui, vi ≤ n), что значит, что есть ребро между вершинами ui и vi.

Гарантируется, что заданный граф — лес.

Каждая из следующих q строк содержит два целых числа ui и vi (1 ≤ ui, vi ≤ n) — вершины, участвующие в i-м запросе.

Выходные данные

Для каждого запроса выведите математическое ожидание величины d в соответствии с условием задачи.

Ваш ответ будет засчитан, если его абсолютная или относительная ошибка не превосходит10 - 6. Формально, пусть ваш ответ равен a, а ответ жюри равен b. Ваш ответ будет засчитан, если .

Примечание

В первом примере вершины 1 и 3 лежат в одной компоненте, поэтому ответ на первый запрос равен -1. Во втором запросе есть два исхода: добавить ребро 1 - 2, или добавить ребро 2 - 3. В обоих случаях диаметр равен 2, поэтому ответ равен 2.

Во втором примере ответ на первый запрос равен -1. Ответ на второй запрос — среднее по трем случаям: Если добавлены ребра 1 - 2 или 1 - 3, то диаметр будет равен 3, а если добавлено ребро 1 - 4, то диаметр равен 2. Поэтому ответ равен .

D. Разделение массива

Бинарный поиск Структуры данных реализация *1900

У Васи есть массив a, состоящий из положительных чисел. Вася хочет разделить этот массив на две непустые непрерывные части (префикс и суффикс) так, чтобы сумма всех элементов в левой части была равна сумме элементов в правой части.

Такое разделение возможно не для каждого массива. Поэтому Вася перед тем, как разделить массив, переместит ровно один его элемент (т. е. удалит произвольный элемент массива и вставит его в массив на любую позицию).

Вставка элемента в ту же самую позицию, из которой он был удалён, тоже считается перемещением.

Может ли Вася, переместив нужный элемент в правильную позицию, разделить массив?

Входные данные

В первой строке задано единственное число n (1 ≤ n ≤ 100000) — размер массива.

Во второй строке задано n чисел a1, a2... an (1 ≤ ai ≤ 109) — элементы массива.

Выходные данные

Выведите YES, если Вася может разделить массив после перемещения одного элемента. Иначе выведите NO.

Примечание

В первом тесте из условия можно перенести второй элемент в конец массива.

Во втором тесте никакой перенос не позволит разделить массив.

В третьем тесте можно переместить на одну позицию влево четвёртый элемент.

E. Продажа сувениров

Бинарный поиск Тернарный поиск дп жадные алгоритмы *2300

После нескольких реформ в Берляндию стали гораздо чаще приезжать туристы, и многие жители Берляндии, смекнув, что в туристическом бизнесе можно очень неплохо заработать, решили сменить место работы. Петя, например, бросил работу в IT-фирме и стал продавать сувениры на рынке.

Как и всегда, этим утром Петя собрался на рынок. У Пети дома стоит n различных сувениров; i-й сувенир характеризуется своим весом wi и стоимостью ci. По предыдущим дням Петя понял, что, скорее всего, ему не удастся донести все сувениры до рынка. Поэтому Петя хочет выбрать такое подмножество сувениров, что суммарный вес всех сувениров из подмножества не превышает m, а суммарная стоимость максимальна.

Помогите Пете определить максимальную суммарную стоимость.

Входные данные

В первой строке записаны два числа n и m (1 ≤ n ≤ 100000, 1 ≤ m ≤ 300000) — кол-во сувениров у Пети и максимальный суммарный вес, который он сможет унести.

Далее следуют n строк, в i-й из них записаны два числа wi и ci (1 ≤ wi ≤ 3, 1 ≤ ci ≤ 109) — вес и стоимость i-го сувенира.

Выходные данные

Выведите единственное число — максимальную суммарную стоимость сувениров, которые Петя сможет донести на рынок.

F. Карточная игра

Бинарный поиск Потоки *2400 графы

Компьютерные коллекционные карточные игры недавно стали очень популярны. Вот и Вова решил попробовать сыграть в одну такую.

В коллекции Вовы n карт, каждая из которых характеризуется своей силой pi, магическим числом ci и уровнем li. Вова хочет собрать колоду с суммарной силой не менее k, однако магические числа, записанные на картах, могут не позволить ему это сделать — нельзя взять в колоду две карты, если сумма магических чисел, записанных на них, является простым числом. Также Вова не может брать в колоду карты, уровень которых выше уровня его персонажа.

Сейчас у персонажа Вовы 1-й уровень. Помогите Вове определить, до какого уровня ему необходимо развиться, чтобы собрать колоду необходимой силы.

Входные данные

В первой строке входного файла записаны два числа n и k (1 ≤ n ≤ 100, 1 ≤ k ≤ 100000).

Далее следуют n строк, каждая из которых содержит три числа — параметры соответствующей карты: pi, ci и li (1 ≤ pi ≤ 1000, 1 ≤ ci ≤ 100000, 1 ≤ li ≤ n).

Выходные данные

Если Вова не сможет собрать колоду необходимой силы, выведите  - 1. Иначе выведите минимальный уровень, при котором это возможно.

B. Очень приятно!

Бинарный поиск *2200 интерактив

Это интерактивная задача. В формате выходных данных вы найдёте информацию о том, как сбрасывать буфер вывода (делать операцию flush).

В воскресенье хакер Леха забрал Нуру из дома, где она живёт, и поехал с ней в один из самых роскошных ресторанов Вичкополиса. По приезду они оставили машину на огромной стоянке близ ресторана и поспешили внутрь здания.

В ресторане вежливый официант сразу же принес Лехе и Нуре меню, состоящее из n блюд. Интересно, что в меню все блюда пронумерованы целыми числами от 1 до n. Немного подумав, девушка заказала ровно k различных блюд из имеющихся в меню. Чтобы скоротать время ожидания, пока повара готовят заказанные Лехой и Нурой блюда, девушка предложила хакеру сыграть в игру, которая поможет им ближе узнать друг друга.

Суть игры очень проста: Нура хочет, чтобы Леха отгадал любые два блюда среди тех, которые она заказала. При этом она готова отвечать только на один тип вопросов. Леха может говорить Нуре два целых числа x и y (1 ≤ x, y ≤ n). Затем для числа x девушка выбирает блюдо с номером a такое, что, во-первых, блюдо a находится в списке заказанных Нурой (x может быть равно a), а, во-вторых, значение минимально. По аналогичным правилам девушка выбирает блюдо b для числа y. После этого Нура говорит Лехе «TAK», если , и «NIE» в противном случае. Однако в ресторане готовят быстро, поэтому у Лехи хватит времени, чтобы задать не более 60 вопросов. После этого он должен назвать номера двух любых блюд, заказанных Нурой.

Помогите Лехе справиться с этой задачей.

Входные данные

В единственной строке входного файла заданы два числа n и k (2 ≤ k ≤ n ≤ 105) — количество блюд в меню и количество блюд, заказанных Нурой.

Выходные данные

Если вы хотите предоставить ответ, то выведите строку вида 2 x y (1 ≤ x, y ≤ n, x ≠ y), если считаете, что блюда с номерами x и y были среди заказанных Нурой. После этого сбросьте буфер вывода и завершите работу программы.

Протокол взаимодействия

Вы, помогая Лехе, можете задавать Нуре запросы не более 60 раз. Каждый запрос должен быть выведен в одной строке и иметь вид 1 x y (1 ≤ x, y ≤ n). После каждого запроса обязательно требуется вывести перевод строки и сбросить буфер вывода (операция flush). После сброса буфера необходимо считать ответ на запрос из входных данных.

После каждого запроса программа жюри выведет одну строку в поток входных данных. Эта строка будет «TAK» или «NIE» (без кавычек) в зависимости от ответа девушки.

Для сброса буфера вывода (то есть для операции flush) сразу после вывода перевода строки можно сделать:

  • fflush(stdout) в языке C++;
  • System.out.flush() в Java;
  • stdout.flush() в Python;
  • flush(output) в Pascal;
  • смотрите документацию для других языков.

Взломы

Чтобы совершить взлом, вам требуется указать два числа n и k (2 ≤ k ≤ n ≤ 105) в первой строке и, чтобы описать блюда, которые заказала Нура, k целых различных чисел a1, a2, ..., ak (1 ≤ ai ≤ n), записанных в порядке возрастания, во второй строке. Разумеется, у взламываемого решения не будет возможности прочитать номера загаданных блюд.

Примечание

В примере в меню существует три блюда. Нура заказала блюда с номерами 2 и 3, которые придется отгадать Лехе. Если Нуре будут поступать запросы о первом блюде (x = 1), то Нура выберет второе (a = 2) как блюдо с наименьшим значением . Для второго (x = 2) и третьего (x = 3) блюд оптимальными будут они же, потому что в таком случае .

Пусть Леха спрашивает у Нуры про следующие пары блюд:

  • x = 1, y = 2, тогда он получит ответ «NIE», потому что |1 - 2| > |2 - 2|
  • x = 2, y = 1, тогда он получит ответ «TAK», потому что |2 - 2| ≤ |1 - 2|
  • x = 1, y = 3, тогда он получит ответ «NIE», потому что |1 - 2| > |3 - 3|
  • x = 3, y = 1, тогда он получит ответ «TAK», потому что |3 - 3| ≤ |1 - 2|
  • x = 2, y = 3, тогда он получит ответ «TAK», потому что |2 - 2| ≤ |3 - 3|
  • x = 3, y = 2, тогда он получит ответ «TAK», потому что |3 - 3| ≤ |2 - 2|

По имеющейся информации можно однозначно сказать, что Нура заказала блюда с номерами 2 и 3.

C. Сахир и нубийский рынок

Бинарный поиск *1500 сортировки

В поездке в Луксор и Асуан Сахир зашел на нубийский рынок, чтобы купить сувениров друзьям и родственникам. Он узнал, что на рынке действуют странные правила. На рынке имеются n различных сувениров, пронумерованных от 1 до n. Сувенир номер i имеет базовую стоимость ai Египетских фунтов. Если Сахир купит k сувениров с индексами x1, x2, ..., xk, то стоимость сувенира xj будет равна axj + xj·k (для 1 ≤ j ≤ k). Другими словами, стоимость сувенира равна его базовой стоимости плюс его номер, умноженный на k.

Сахир хочет купить как можно больше сувениров, заплатив не более S Египетских долларов. Заметьте, что он не может купить никакой сувенир более, чем один раз. Если есть несколько вариантов купить как можно больше сувениров, он хочет минимизировать суммарную их стоимость. Помогите ему выбрать эти сувениры!

Входные данные

Первая строка содержит два целых числа n и S (1 ≤ n ≤ 105, 1 ≤ S ≤ 109) — количество сувениров и бюджет Сахира.

Вторая строка содержит n целых числе a1, a2, ..., an (1 ≤ ai ≤ 105) — базовые стоимости сувениров.

Выходные данные

В единственной строке выведите два целых числа k и T — максимальное число сувениров, которое может купить Сахир, и минимальную стоимость покупки этих k сувениров.

Примечание

В первом примере Сахир не может купить все три сувенира, так как они будут стоить [5, 9, 14], суммарно 28. Если же он решит купить два сувенира, то стоимости будут равны [4, 7, 11]. Он сможет купить первый и второй сувениры.

Во втором примере он может купить все сувениры, они будут стоить ему [5, 10, 17, 22].

В третьем примере на рынке есть только один сувенир стоимостью 8 фунтов, Сахир не может его купить.

E. Создание армии

Бинарный поиск Структуры данных *2200

Как вы можете помнить из наших предыдущих контестов, Вова очень любит играть в компьютерные игры. Сейчас он играет в стратегию Rage of Empires.

В игре Вове доступны для найма n различных воинов; i-й воин имеет тип ai. Вова хочет создать сбалансированную армию, наняв какое-то подмножество воинов. Армия называется сбалансированной, если в ней присутствует не более k воинов одного типа. Конечно же, Вова хочет, чтобы его армия была как можно больше.

Но всё не так просто — Вове придётся рассмотреть q различных планов создания армии. i-й план позволяет ему нанимать только тех воинов, чей номер не меньше li и не больше ri.

Помогите Вове определить максимальный размер сбалансированной армии для каждого плана.

Обратите внимание, что параметры каждого плана заданы в изменённом виде. Подробнее в описании входных данных.

Входные данные

В первой строке записаны два числа n и k (1 ≤ n, k ≤ 100000).

Во второй строке записаны n чисел a1, a2, ... an (1 ≤ ai ≤ 100000).

В третьей строке записано единственное число q (1 ≤ q ≤ 100000).

Затем следуют q строк. i-я строка содержит два числа xi и yi, описывающие i-й план (1 ≤ xi, yi ≤ n).

Вам необходимо запоминать ответ на последний обработанный план (назовём этот ответ last). В самом начале last = 0. Числа li и ri для i-го плана восстанавливаются по следующему алгоритму:

  1. li = ((xi + lastmod n) + 1;
  2. ri = ((yi + lastmod n) + 1;
  3. Если li > ri, нужно поменять местами значения li и ri.
Выходные данные

Выведите q чисел. i-е число должно быть равно максимальному размеру сбалансированной армии при рассмотрении i-го плана.

Примечание

В первом примере планы создания армии следующие:

  1. 1 2
  2. 1 6
  3. 6 6
  4. 2 4
  5. 4 6

D. Карен и карты

Бинарный поиск Структуры данных Комбинаторика геометрия *2800

Карен пришла из супермаркета и собирается спать.

После принятия душа и переодевания в пижаму она заметила альбом на своей полке. Заинтересовавшись, она открыла его и увидела коллекцию карт.

Она вспомнила, что играла в них, когда была ребенком, но, несмотря на то, что она уже выросла, ее по-прежнему интересует один вопрос.

Каждая карта имеет три характеристики: сила, защита и скорость. Значения всех характеристик всех карт являются положительными целыми числами. Максимальное значение силы любой карты равно p, максимальное значение защиты равно q, максимальное значение скорости равно r.

В коллекции Карен n карт. i-я из этих карт имеет силу ai, защиту bi и скорость ci, соответственно.

Карта бьет другую карту, если хотя бы две ее характеристики строго больше соответствующих характеристик другой карты.

Карен интересует, сколько существует различных карт таких, что каждая из них бьет все карты из ее коллекции. Две карты различны, если хотя бы одна характеристика этих карт различна.

Входные данные

Первая строка содержит четыре целых числа n, p, q и r (1 ≤ n, p, q, r ≤ 500000) — число карт в коллекции, максимально возможная сила, максимально возможная защита, максимально возможная скорость, соответственно.

Каждая из следующих n строк содержит три целых числа. А именно, i-я строка содержит ai, bi и ci (1 ≤ ai ≤ p, 1 ≤ bi ≤ q, 1 ≤ ci ≤ r) — силу, защиту и скорость i-й карты из коллекции, соответственно.

Выходные данные

Выведите одно число — число различных карт, которые бьют все карты из коллекции Карен.

Примечание

В первом примере максимально возможная сила равна 4, максимально возможная защита равна 4, а максимально возможная скорость равна 5.У Карен есть три карты:

  • У первой карты сила 2, защита 2, скорость 5.
  • У второй карты сила 1, защита 3, скорость 4.
  • У третьей карты сила 4, защита 1, скорость 1.

Всего существуют 10 карт, которые бьют все карты из коллекции:

  1. Карта с силой 3, защитой 3 и скоростью 5.
  2. Карта с силой 3, защитой 4 и скоростью 2.
  3. Карта с силой 3, защитой 4 и скоростью 3.
  4. Карта с силой 3, защитой 4 и скоростью 4.
  5. Карта с силой 3, защитой 4 и скоростью 5.
  6. Карта с силой 4, защитой 3 и скоростью 5.
  7. Карта с силой 4, защитой 4 и скоростью 2.
  8. Карта с силой 4, защитой 4 и скоростью 3.
  9. Карта с силой 4, защитой 4 и скоростью 4.
  10. Карта с силой 4, защитой 4 и скоростью 5.

Во втором примере максимально возможная сила равна 10, максимально возможная защита равна 10, максимально возможная скорость равна 10. У Карен пять карт, у всех из них сила 1, защита 1 и скорость 1.

Каждая из 972 карт, у которых хотя бы две характеристики больше 1, бьет все карты из коллекции.

E. Карен и район

Бинарный поиск Конструктив реализация *2900

Прошло много лет после событий предыдущих задач, и Карен уже закончила учиться и собирается переехать в новый район.

Район состоит из n домов, расположенных на прямой, пронумерованных от 1 до n слева направо, с равными расстояниями между ними.

Каждый в этом районе любит тишину и покой. Поэтому когда новый житель переезжает сюда, он выбирает такой дом, что минимальное расстояние до любого из занятых домов является максимально возможным. Если домов с максимально возможным минимальным расстоянием несколько, житель выбирает самый левый из них.

Обратите внимание, что первый житель всегда выбирает дом номер 1.

Карен будет k-м по счету жителем этого района. Если все, включая ее, следуют вышеописанному правилу, в какой дом переедет она?

Входные данные

Единственная строка сожержит два целых числа n и k (1 ≤ k ≤ n ≤ 1018), описывающие число домов в районе и то, что Карен является k-м по счету жителем, переезжающим в район, сооветственно.

Выходные данные

Выведите одно число: номер дома, который выберет Карен.

Примечание

В первом примере в районе 6 домов, и Карен — четвертый по счету житель.

  1. Первый житель выберет дом 1.
  2. Второй житель выберет дом 6.
  3. Третий житель выберет дом 3.
  4. Четвертый житель выберет дом 2.

Во втором примере в районе 39 домов, Карен — третий по счету житель.

  1. Первый житель выберет дом 1.
  2. Второй житель выберет дом 39.
  3. Третий житель выберет дом 20.

B. Карен и кофе

Бинарный поиск Структуры данных реализация *1400

Для того, чтобы оставаться бодрой и внимательной во время занятий, Карен нужен кофе!

Карен — поклонница кофе — хочет узнать оптимальную температуру заваривания кофе. Для этого она потратила некоторое время на чтение нескольких книг рецептов, в том числе общепризнанную книгу «Искусство ковфефе».

Карен знает n рецептов кофе. i-й из них рекомендует заваривать кофе при температуре от li до ri градусов включительно.

Карен считает, что температура является приемлемой, если хотя бы k рецептов рекомендуют ее.

Карен очень непостоянная, поэтому у нее есть q вопросов. В каждом вопросе она хочет заварить кофе с целочисленной температурой от a до b градусов включительно, и хочет узнать, сколько приемлемых целочисленных температур находятся в этом промежутке.

Входные данные

В первой строке содержится три целых числа n, k (1 ≤ k ≤ n ≤ 200000) и q (1 ≤ q ≤ 200000) — число рецептов, минимальное количество рецептов, необходимое для признания температуры приемлемой, и количество вопросов Карен, соответственно.

Следующие n строк описывают рецепты. А именно, i-я их этих строк содержит два целых числа li и ri (1 ≤ li ≤ ri ≤ 200000), означающих, что i-й рецепт рекомендует заваривать кофе с температурой между li и ri градусами включительно.

Следующие q строк описывают вопросы Карен. Каждая их этих строк содержит два целых числа a и b (1 ≤ a ≤ b ≤ 200000), означающих, что она хочет узнать число приемлемых целочисленных температур между a и b градусами включительно.

Выходные данные

Для каждого вопроса выведите одно целое число — число приемлемых целочисленных температур между a и b градусами включительно.

Примечание

В первом примере Карен знает 3 рецепта.

  1. Первый рекомендует заваривать кофе при температуре между 91 и 94 градусами включительно.
  2. Второй рекомендует заваривать кофе при температуре между 92 и 97 градусами включительно.
  3. Третий рекомендует заваривать кофе при температуре между 97 и 99 градусами включительно.

Температура является приемлемой, если хотя бы 2 рецепта ее рекомендуют.

У Карен 4 вопроса.

В первом вопросе она хочет узнать число приемлемых целочисленных температур между 92 и 94 градусами включительно. Таких 3: 92, 93 и 94 градуса являются приемлемыми.

Во втором вопросе она хочет узнать число приемлемых целочисленных температур между 93 и 97 градусами включительно. Таких 3: 93, 94 и 97 градуса являются приемлемыми.

В третьем вопросе она хочет узнать число приемлемых целочисленных температур между и 95 и 96 градусами включительно. Таких нет.

В последнем вопросе она хочет узнать число приемлемых целочисленных температур между 90 and 100 градусами включительно. Таких 4: 92, 93, 94 и 97 градуса являются приемлемыми.

Во втором примере Карен знает 2 рецепта.

  1. Первых их них, «wikiHow to make Cold Brew Coffee», рекомендует заваривать кофе при температуре ровно 1 градус.
  2. Второй, «Разве является кофе то, что не заварено при температуре не меньше 36.3306 температур Солнца?», рекомендует заваривать кофе при ровно 200000 градусов.

Температура является приемлемой, если хотя бы 1 рецепт ее рекомендует.

В первом и единственном вопросе Карен хочет узнать, сколько приемлемых температур действительно являются осмысленными. Таких нет.

C. Действительно большие числа

Бинарный поиск Перебор математика *1600 дп

Ивану нравится узнавать различные факты о числах, но особенно его интересуют действительно большие числа. Иван считает натуральное число x действительно большим, если разность x и суммы его цифр (в десятичной записи) не меньше s. Чтобы доказать, что эти числа обладают особыми свойствами, он хочет узнать, насколько они редкие — если быть точным, ему нужно посчитать количество действительно больших чисел, которые не превышают n.

Иван попытался посчитать всё самостоятельно, но скоро понял, что для него это слишком трудно. Поэтому он попросил вас о помощи.

Входные данные

В первой (и единственной) строке записаны два числа n и s (1 ≤ n, s ≤ 1018).

Выходные данные

Выведите одно число — количество действительно больших чисел, не превышающих n.

Примечание

В первом примере числа 10, 11 и 12действительно большие.

Во втором примере не существует действительно больших чисел, не превышающих 25 (первое действительно большое число равно 30: 30 - 3 ≥ 20).

В третьем примере 10 — единственное действительно большое число (10 - 1 ≥ 9).

F. Запросы на MEX

Бинарный поиск Деревья Структуры данных *2300

Дано множество целых чисел, изначально пустое. Ваша задача — обработать n запросов.

Запросы бывают трех типов:

  • 1 l r — Добавить все отсутствующие числа из интервала [l, r]
  • 2 l r — Удалить все присутствующие числа из интервала [l, r]
  • 3 l r — Инвертировать интервал [l, r] — добавить все отсутствующие и удалить все присутствующие числа из интервала [l, r]

После каждого запроса выведите MEX множества — наименьшее положительное (MEX  ≥ 1) целое число, которого нет во множестве.

Входные данные

В первой строке записано одно целое число n (1 ≤ n ≤ 105).

В следующих n строках записаны по три числа t, l, r (1 ≤ t ≤ 3, 1 ≤ l ≤ r ≤ 1018) — тип запроса, левая и правая границы.

Выходные данные

Выведите MEX множества после каждого запроса.

Примечание

Рассмотрим содержимое множества после каждого из запросов первого примера:

  1. {3, 4} — интервал [3, 4] добавлен
  2. {1, 2, 5, 6} — числа {3, 4} из интервала [1, 6] удалены, а остальные добавлены
  3. {5, 6} — числа {1, 2} удалены

E. И снова карточная игра

Бинарный поиск Структуры данных теория чисел *1900

Вова опять пытается играть в одну компьютерную карточную игру.

Правила создания колоды в этой игре очень просты. Изначально Вова получает колоду из n карт, а также магическое число k. Порядок карт в колоде строго фиксирован, нельзя её перемешивать. На картах записаны числа: ai — число на i-й карте в колоде, которую получает Вова.

После этого Вова убирает x (возможно, что x = 0) первых карт из начала колоды и y (возможно, y = 0) карт из конца, и оставшиеся карты составляют колоду Вовы (хотя бы одна карта должна остаться). То есть новая колода Вовы включает в себя карты, которые были на позициях x + 1, x + 2, ... n - y - 1, n - y в колоде, которую он получил.

Новая колода считается правильной тогда и только тогда, когда произведение чисел, записанных на всех картах новой колоды, делится на k нацело. Итак, Вова получил колоду (не обязательно правильную) и число k, и теперь он хочет знать, сколько существует различных способов выбрать x и y так, что колода, полученная после удаления x карт из начала и y карт из конца, является правильной?

Входные данные

В первой строке записаны два числа n и k (1 ≤ n ≤ 100 000, 1 ≤ k ≤ 109).

Во второй строке записаны n чисел a1, a2, ..., an (1 ≤ ai ≤ 109) — числа, записанные на картах.

Выходные данные

Выведите кол-во способов выбрать x и y так, чтобы новая колода Вовы была правильной.

Примечание

В первом примере возможные значения x и y — следующие:

  1. x = 0, y = 0;
  2. x = 1, y = 0;
  3. x = 2, y = 0;
  4. x = 0, y = 1.

F. Создание уровней

Бинарный поиск Тернарный поиск математика *2100

Иван разрабатывает свою собственную компьютерную игру. Сейчас Иван хочет создать все уровни игры. Но перед этим он хочет нарисовать каждый уровень на бумаге в виде графа.

Иван решил, что в графе i-го уровня должно быть ровно ni вершин, а сам граф должен быть неориентированный. Главная, по мнению Ивана, характеристика графа — количество специальных рёбер, называемых мостами. Ребро, соединяющее вершины u и v, называется мостом, если оно лежит на каждом пути из u в v (и эти вершины окажутся в разных компонентах связности, если ребро стереть). Иван хочет, чтобы в построенном для каждого уровня графе как минимум 50% всех рёбер были бы мостами. Также Иван хочет максимизировать количество рёбер в каждом графе.

Итак, задание, которое вам дал Иван, состоит в следующем: по заданным q числам n1, n2, ..., nq для каждого i определить максимальное количество рёбер в графе из ni вершин, если хотя бы 50% рёбер должны быть мостами. Обратите внимание, в графах не может быть петель или кратных рёбер.

Входные данные

В первой строке записано число q (1 ≤ q ≤ 100 000) — число графов, которые нужно построить Ивану.

Затем следуют q строк, в i-й из них записано число ni (1 ≤ ni ≤ 2·109) — количество вершин в i-м графе.

Обратите внимание, что во взломах вы можете использовать только q = 1.

Выходные данные

Выведите q чисел, i-е из которых равно максимальному количеству рёбер в i-м графе.

Примечание

В примере из условия можно построить следующие графы:

  1. 1 - 2, 1 - 3;
  2. 1 - 2, 1 - 3, 2 - 4;
  3. 1 - 2, 1 - 3, 2 - 3, 1 - 4, 2 - 5, 3 - 6.

C. Хакер, собирай чемоданы!

Бинарный поиск реализация *1600 жадные алгоритмы сортировки

Как известно, лучший способ отвлечься от чего-либо — заниматься своим любимым делом. Для хакера Лехи любимое дело это работа.

Чтобы не скучать, Леха начал усердно работать, то есть взламывать компьютеры по всему миру. За такое усердие начальство дало хакеру отпуск продолжительностью ровно x дней. Как известно, большинство людей предпочитают куда-нибудь уехать на время отпуска, поэтому Леха сразу пошёл в туристическое агенство. Там он выяснил, что осталось n непроданных путевок. i-я путевка характеризуется тремя числами li, ri, costi — день отъезда из Вичкополиса, день возврата в Вичкополис и стоимость путевки соответственно. Продолжительностью i-й путевки называют величину ri - li + 1.

При этом Леха хочет разделить свой отпуск на две части. Кроме того он хочет потратить как можно меньше денег. Более формально, Леха хочет выбрать ровно две путевки i и j (i ≠ j) так, чтобы они не пересекались, сумма их продолжительностей была равна ровно x, а суммарная стоимость была минимальна. Две путевки i и j не пересекаются, если выполняется хотя бы одно из условий: ri < lj или rj < li.

Помогите Лехе выбрать необходимые путевки!

Входные данные

В первой строке заданы два целых числа n и x (2 ≤ n, x ≤ 2·105) — количество путевок в туристическом агентстве и продолжительность отпуска соответственно.

В следующих n строках следуют по три целых числа li, ri и costi (1 ≤ li ≤ ri ≤ 2·105, 1 ≤ costi ≤ 109) — описание очередной путевки.

Выходные данные

Выведите одно целое число — минимальное количество денег, которые потратит Леха, либо  - 1, если невозможно выбрать две непересекающиеся путевки с суммарной продолжительностью ровно x.

Примечание

В первом примере примере Леха должен выбрать первую и третью путевки. Тогда их суммарная продолжительность будет равна (3 - 1 + 1) + (6 - 5 + 1) = 5, а суммарная стоимость будет равна 4 + 1 = 5.

Во втором примере продолжительность каждой из путевок равна 3, поэтому невозможно выбрать две путевки с суммарной продолжительностью равной 2.

E. Обманщик

Бинарный поиск дп *2400 хэши строковые суфф. структуры

В университете закончился первый семестр. Как известно, после конца первого семестра у студентов начинаются каникулы. На каникулах Нура решила вернуться в Вичкополис. В качестве скромного сувенира она привезла Лехе из Павлополиса колбасу длины m. Всем известно, что любую колбасу можно представить в виде строки из строчных латинских букв, длина которой равна длине колбасы.

Леха очень обрадовался подарку и сразу же съел колбасу. Но потом он понял, что это был достаточно нетактичный поступок, ведь колбаса была сувениром! Поэтому хакер сразу же направился в мясную лавку. К сожалению, в лавке нашлась лишь другая колбаса длины n. Однако Леха не расстроился и купил эту колбасу. Придя домой, он решил разрезать купленную колбасу на несколько частей и пронумеровать части начиная с 1 слева направо. Затем он хочет выбрать несколько частей и склеить их так, чтобы полученная колбаса была равна колбасе, которую подарила Нура. При этом хакер может склеить два куска между собой только тогда, когда номер левого меньше номера правого куска. Кроме этого, он знает, что если он склеит более x кусков, то Нура заметит, что он подменил сувенирную колбасу, и очень сильно расстроится. Конечно же Леха не хочет расстраивать девушку. Хакер просит вас узнать, удастся ли ему разрезать купленную им колбасу, а затем склеить некоторые из полученных частей так, чтобы Нура ничего не заметила.

Более формально, вам дано две строки s и t. Длина строки s равна n, длина строки t равна m. Требуется выбрать несколько попарно непересекающихся подстрок из s так, чтобы их конкатенация в том самом порядке, как эти подстроки идут в s, была равна строке t. Обозначим за f(s, t) минимальное количество подстрок, которые надо выбрать, чтобы их конкатенация была равна t. Если выбрать такие подстроки невозможно, то f(s, t) = ∞. Леха очень хочет узнать, правда ли, что f(s, t) ≤ x.

Входные данные

В первой строке находится одно целое число n (1 ≤ n ≤ 105) — длина колбасы, купленной Лехой, то есть длина строки s.

Во второй строке находится строка s длины n, состоящая из строчных букв латинского алфавита.

В третьей строке находится одно целое число m (1 ≤ m ≤ n) — длина колбасы, купленной Нурой, то есть длина строки t.

В четвертой строке находится строка t длины m, состоящая из строчных букв латинского алфавита.

В пятой строке находится одно целое число x (1 ≤ x ≤ 30) — максимальное количество кусков колбасы, которые может склеить Леха, чтобы Нура ничего не заподозрила.

Выходные данные

В единственной строке выведите «YES» (без кавычек), если Лехе удастся подделать колбасу так, чтобы Нура ничего не заметила. В противном случае следует вывести «NO» (без кавычек).

Примечание

Рассмотрим первый пример.

В оптимальном ответе Леха должен разрезать купленную им самим колбасу следующим образом: hloyaygrt = h + loy + a + y + g + rt. Затем он нумерует полученные части от 1 до 6:

  • h — номер 1
  • loy — номер 2
  • a — номер 3
  • y — номер 4
  • g — номер 5
  • rt — номер 6

После чего хакер должен склеить части с номерами 2, 4 и 6 и получить колбасу loyyrt, равную той, что подарила Нура. Таким образом, ему придётся склеить три куска. Так как x = 3, то следует вывести «YES» (без кавычек).

Во втором примере обе колбасы совпадают с колбасами из первого примера. Однако, так как x = 2, то следует вывести «NO» (без кавычек).

D. Подходящая замена

Бинарный поиск реализация *1500 жадные алгоритмы

Даны две строки s и t, состоящие из строчных латинских букв, в строке s могут также встречаться символы '?'.

Пригодность строки s подсчитывается следующим способом:

Две любые буквы можно поменять местами, такую операцию можно проделывать неограниченное число раз над любой парой позиций. Среди всех полученных строк s выберите такую, что количество непересекающихся вхождений строки t в нее максимально. Пригодность — это полученное максимальное количество.

Замените все символы '?' строчными латинскими буквами таким образом, чтобы пригодность строки s была максимальна.

Входные данные

В первой строке записана строка s (1 ≤ |s| ≤ 106).

Во второй строке записана строка t (1 ≤ |t| ≤ 106).

Выходные данные

Выведите строку s с символами '?', замененными строчными латинскими буквами таким образом, чтобы пригодность этой строки была максимальна.

Если есть несколько строк с максимальной пригодностью, то выведите любую.

Примечание

В первом примере строка "baab" может быть преобразована в "abab", у которой пригодность равна 2. Значит и у строки "baab" такая же пригодность.

Во втором примере максимальная возможная пригодность равна 1, и таких строк несколько десятков, "azbz" — одна из них.

В третьем примере в строке нет символов '?', а ее пригодность равна 0.

B. Доктор

Бинарный поиск математика *1800 сортировки

В очереди к доктору Айболиту стоят n животных. Когда животное заходит в кабинет, доктор его осматривает, выписывает рецепты, назначает анализы, и, возможно, назначает дополнительный прием. Доктор отлично знаком со всеми животными в лесу, и поэтому точно знает, что животное номер i в очереди должно будет посетить его кабинет ровно ai раз. Мы будем считать, что осмотр занимает гораздо больше времени, чем сдача анализов и других дополнительных процедур, и поэтому будем считать, что как только животное покидает кабинет, оно сразу же встает в конец очереди к доктору. Разумеется, если животное уже побывало у доктора необходимое количество раз, то вставать еще раз в очередь ненужно, и оно сразу же уходит домой.

Доктор планирует уйти домой после того, как завершит прием k животных, и поэтому ему важно, как будет выглядеть очередь в этот момент. Так как у доктора очень длинный рабочий день, да и вообще, отвлекаться ему некогда, то он попросил вас выяснить это.

Входные данные

В первой строке входных данных записаны через пробел два целых числа n и k (1 ≤ n ≤ 105, 0 ≤ k ≤ 1014). Во второй строке заданы через пробел целые числа a1, a2, ..., an (1 ≤ ai ≤ 109).

Пожалуйста, не используйте спецификатор %lld для чтения или записи 64-х битовых чисел на С++. Рекомендуется использовать потоки cin, cout (также вы можете использовать спецификатор %I64d).

Выходные данные

Если доктор осуществит в сумме меньше чем k приемов, то выведите единственное число «-1» (без кавычек). Иначе выведите последовательность чисел — номера животных в порядке, в котором они стоят в очереди.

Обратите внимание, что эта последовательность может быть пустой. Этот случай присутствует в претестах. Вы можете ничего не выводить или выводить один символ конца строки. Оба варианта будут засчитаны за правильный ответ.

Примечание

Объяснение первого примера:

  • До приема: {1, 2, 3}
  • После первого приема: {2, 3}
  • После второго приема: {3, 2}
  • После третьего приема: {2}

Объяснение второго примера:

  • До приема: {1, 2, 3, 4, 5, 6, 7}
  • После первого приема: {2, 3, 4, 5, 6, 7}
  • После второго приема: {3, 4, 5, 6, 7, 2}
  • После третьего приема: {4, 5, 6, 7, 2, 3}
  • После четвертого приема: {5, 6, 7, 2, 3}
  • После пятого приема: {6, 7, 2, 3, 5}
  • После шестого приема: {7, 2, 3, 5, 6}
  • После седьмого приема: {2, 3, 5, 6}
  • После восьмого приема: {3, 5, 6, 2}
  • После девятого приема: {5, 6, 2, 3}
  • После десятого приема: {6, 2, 3}

A. Ключи от офиса

Бинарный поиск Перебор дп *1800 жадные алгоритмы сортировки

На прямой есть n человек и k ключей. Каждый из людей хочет попасть в офис, который также расположен на прямой. Для этого каждому человеку нужно сначала дойти до точки, в которой находится ключ, взять его, а затем отправиться в офис. После того как человек взял ключ, больше этот ключ взять никто не сможет.

Перед вами стоит задача определить минимальное время по истечении которого все n людей смогут добраться до офиса с ключами. Считайте, что каждый из людей преодолевает единицу расстояния за 1 секунду. Если в точку с ключом одновременно придут два человека, то ключ может взять только один из них. Человек не обязан брать ключ, мимо которого проходит.

Входные данные

В первой строке следуют три целых числа n, k и p (1 ≤ n ≤ 1 000, n ≤ k ≤ 2 000, 1 ≤ p ≤ 109) — количество людей, количество ключей и позиция офиса.

Во второй строке следуют n различных целых чисел a1, a2, ..., an (1 ≤ ai ≤ 109) — позиции, в которых изначально находятся люди. Позиции заданы в произвольном порядке.

В третьей строке следуют k различных целых чисел b1, b2, ..., bk (1 ≤ bj ≤ 109) — позиции, в которых изначально находятся ключи. Позиции заданы в произвольном порядке.

Обратите внимание, что изначально в каждой точке может находиться не более одного человека и не более одного ключа. Человек и ключ могут находиться в одной точке.

Выходные данные

Выведите минимальное время в секундах по истечении которого все n людей смогут добраться до офиса с ключами.

Примечание

В первом примере человек, находящийся в точке 20 должен взять ключ, находящийся в точке 40 и дойти с ним до офиса, который находится в точке 50. На это он потратит 30 секунд. Человек, находящийся в точке 100 может взять ключ, находящийся в точке 80 и дойти с ним до офиса. На это он потратит 50 секунд. Таким образом, через 50 секунд все люди могут оказаться в офисе с ключами.

C. Странное излучение

Бинарный поиск математика реализация *2500

n человек стоят на координатной прямой в точках с положительными целочисленными координатами, строго меньшими 106. Для каждого человека известно, в какую сторону он смотрит (влево или вправо), и его максимальная скорость.

У вас есть возможность разместить одну бомбу в точку с целочисленной неотрицательной координатой, и взорвать ее. В этот момент все люди побегут со своей максимальной скоростью в те стороны, в которые они смотрят, а от бомбы начнут распространяться два странных луча со скоростью s: влево и вправо. Конечно, скорость лучей s строго больше скорости любого человека.

Странность лучей в том, что в момент, когда положение некоторого луча и его направление совпадает с положением и направлением бега некоторого человека, скорость этого человека увеличивается на скорость луча.

Требуется положить бомбу в такое место, чтобы минимальный момент времени, в который и мимо точки 0, и мимо точки 106 пробежал хотя бы один человек, был как можно меньше. Иными словами, найдите минимальный момент времени t такой, что существует точка, в которую можно положить бомбу так, чтобы в момент времени t и мимо точки 0, и мимо точки 106 кто-то пробежал.

Входные данные

В первой строке находятся два целых числа n и s (2 ≤ n ≤ 105, 2 ≤ s ≤ 106) — количество человек на прямой и скорость лучей.

В следующих n строках находятся описания людей. В i-й из этих строк находятся три целых числа xi, vi и ti (0 < xi < 106, 1 ≤ vi < s, 1 ≤ ti ≤ 2) — координата i-го человека на прямой, его максимальная скорость и направление, в котором он побежит (1 — влево, т.е. в сторону уменьшения координаты, и 2 — вправо, т.е. в сторону увеличения координаты), соответственно.

Гарантируется, что точки 0 и 106 будут когда-либо достигнуты людьми независимо от положения бомбы.

Выходные данные

Выведите минимальное время, за которое могут быть достигнуты обе точки 0 и 106.

Ваш ответ будет считаться правильным, если его абсолютная или относительная точность не превосходит 10 - 6. А именно, если ваш ответ равен a, а ответ жюри равен b, то ваш ответ будет зачтен, если .

Примечание

В первом примере оптимально поставить бомбу в точке с координатой 400000. Тогда в момент времени 0 скорость первого станет 1000 и он достигнет точки 106 в момент времени 600. На второго человека бомба не повлияет и он достигнет точки 0 в момент времени 500000.

Во втором примере оптимально поставить бомбу в точке с координатой 500000. Лучи догонят обоих людей в момент времени 200. В этот момент первый находится в точке с координатой 300000, а второй 700000. Их скорость станет равна 1500 и в момент времени 400 они одновременно пересекут точки 0 и 106.

B. Кондитерская

Бинарный поиск Структуры данных дп разделяй и властвуй *2200

На днях Сластена решила опробовать себя в производстве сладостей и открыть собственную кондитерскую! Для этого она купила нужные ингредиенты и чудо-печку, которая способна выпекать несколько различных видов пирожных; и запустила производство.

Сразу же возникли проблемы: расходы на содержание кондитерской быстро начали превышать выручку от проданных пирожных. Сластена смекнула, что надо менять ценовую политику, и решила исследовать рынок сладостей. Оказалось, что чем больше в коробке различных видов пирожных (назовем это число ценностью коробки с пирожными), тем больше денег за нее готовы предложить покупатели.

Нужно срочно менять технологию производства! Но вот незадача: выбор конкретных видов пирожного печка делает сама, и Сластена никак не может повлиять на принцип ее действия. Однако, она знает, в каком порядке выйдут n пирожных из печки сегодня. Сластена сегодня должна упаковать ровно k коробок с пирожными, причем в каждую коробку она должна положить несколько (не меньше одного) пирожных, которые печка испекла подряд, так как коробка должна сразу же отправиться на прилавок.

Сластена хочет максимизировать суммарную ценность всех коробок с пирожными. Помогите ей определить эту максимальную ценность.

Входные данные

В первой строке даны числа n и k (1 ≤ n ≤ 35000, 1 ≤ k ≤ min(n, 50)) — число пирожных и количество коробок соответственно.

Во второй строке дано n чисел a1, a2, ..., an (1 ≤ ai ≤ n) — виды пирожных в порядке, в котором печка их выпекает.

Выходные данные

Выведите единственное число — максимально возможную суммарную ценность коробок с пирожными.

Примечание

В первом примере в распоряжении Сластены есть одна коробка. Оптимально расфасовать туда все доступные пирожные и получить два различных вида пирожных с суммарной ценностью 2.

Во втором примере разумно положить первые два пирожных в первую коробку, а оставшиеся — во вторую. Таким образом мы получим два и три различных вида пирожных, которые обеспечивают суммарную стоимость 5.

E. Игра пингвина

Бинарный поиск Конструктив *2400 интерактив

Обратите внимание: эта задача интерактивная.

Пингвин Ксорий недавно придумал новую игру. У него есть n сосулек, занумерованных целыми числами от 1 до n. Каждая сосулька имеет температуру — целое число от 1 до 109. Ровно две из этих сосулек особые: их температура равна y, в то время как температура всех остальных сосулек равна x ≠ y. Вам нужно найти две особые сосульки. Вы можете не более 19 раз выбрать некоторое непустое подмножество сосулек и спросить у пингвина, чему равно побитовое исключающее ИЛИ (XOR) температур сосулек из этого подмножества.

Вам необходимо найти особые сосульки.

Входные данные

Первая строка содержит три целых числа n, x, y (2 ≤ n ≤ 1000, 1 ≤ x, y ≤ 109, x ≠ y) — количество сосулек, температура обычных сосулек и температура особых сосулек.

Выходные данные

Чтобы сообщить пингвину свой ответ, выведите символ «!» (без кавычек), затем два целых числа p1, p2 (p1 < p2) — номера особых сосулек в порядке возрастания. Обратите внимание, что «!» и p1 должны быть разделены пробелом; номера также должны быть разделены пробелом. После того, как вы сообщили ответ, ваша программа должна немедленно завершиться.

Протокол взаимодействия

Чтобы задать вопрос, выведите символ «?» (без кавычек), число c (1 ≤ c ≤ n), а затем c различных чисел p1, p2, ..., pc (1 ≤ pi ≤ n) — номера сосулек, про которые вы хотите узнать информацию. Обратите внимание, что «?» и c должны быть разделены пробелом; номера также должны быть разделены пробелами.

После того, как вы задали вопрос, необходимо считать одно число — ответ на вопрос.

Обратите внимание, что вы можете задать не более 19 вопросов. В случае, если вы зададите больше 19 вопросов или зададите хотя бы один некорректный вопрос, ваше решение получит вердикт «Неправильный ответ».

Если в какой-то момент ваша программа считывает  - 1 как ответ, она должна немедленно завершиться (например, вызовом exit(0)). Вы получите вердикт «Неправильный ответ», и это будет означать, что вы задали больше 19 вопросов или задали некорректный вопрос. Если вы проигнорируете это, то можете получить любой вердикт, так как ваша программа продолжит читать из закрытого потока ввода.

Выше решение получит вердикт «Решение зависло», если вы не будете ничего выводить или забудете сделать операцию flush после вывода вопроса или ответа.

Чтобы выполнить операцию flush, можете использовать (сразу после вывода чисел и перевода строки):

  • fflush(stdout) в C++;
  • System.out.flush() в Java;
  • stdout.flush() в Python;
  • flush(output) в Pascal;
  • Для других языков смотрите документацию.

Взломы

Используйте следующий формат для взломов:

n x y p1 p2

Здесь 1 ≤ p1 < p2 ≤ n — номера особых сосулек.

Взламываемая программа не будет иметь доступа к этим данным.

Примечание

Для первого вопроса ответ равен .

Для второго и третьего вопросов ответ равен 1, следовательно, особые сосульки имеют номера 1 и 3.

Вы можете узнать больше про побитовый XOR здесь: https://ru.wikipedia.org/wiki/Битовые_операции.

E. Васина функция

Бинарный поиск математика реализация *2100

Вася изучает теорию чисел. Он определил функцию f(a, b) следующим образом:

  • f(a, 0) = 0;
  • f(a, b) = 1 + f(a, b - gcd(a, b)), где gcd(a, b) это наибольший общий делитель a и b.

У Васи есть два числа x и y, и он хочет вычислить f(x, y). Он хотел сделать это сам, но его способ может занять слишком много времени. Так что он просит вас написать программу, с помощью которой можно посчитать эту функцию быстро.

Входные данные

Первая и единственная строка содержит два целых числа x и y (1 ≤ x, y ≤ 1012).

Выходные данные

Выведите f(x, y).

F. Префикс суммы

Бинарный поиск Перебор Комбинаторика математика *2400 матрицы

Дана функция p(x), где x — это массив из m целых чисел, которая возвращает массив y, состоящий из m + 1 целых чисел таких, что yi равно сумме первых i элементов массива x (0 ≤ i ≤ m).

Дана бесконечная последовательность массивов A0, A1, A2..., где массив A0 дан во входных данных, и для всех i ≥ 1 Ai = p(Ai - 1). Кроме этого дано целое положительное число k. Найдите минимальное возможное i такое, что Ai содержит число не меньшее чем k.

Входные данные

Первая строка содержит два целых числа n и k (2 ≤ n ≤ 200000, 1 ≤ k ≤ 1018), где n — размер массива A0.

Вторая строка содержит n целых чисел A00, A01... A0n - 1 — элементы массива A0 (0 ≤ A0i ≤ 109). Массив A0 содержит по крайней мере два положительных элемента.

Выходные данные

Выведите минимальное i такое, что массив Ai содержит число не меньшее чем k.

C. Биатлон

Бинарный поиск реализация *1700

Пожалуй многие слышали о том, что недавно завершился чемпионат мира по биатлону. Хотя наш герой Валерий сам и не присутствовал на этом зрелищном мероприятии, а лишь наблюдал за ним по телевизору, оно так его привлекло, что он решил записаться в биатлонную секцию.

Разумеется, как впрочем и любой спорт, биатлон на практике оказался очень трудным, требующим много времени и усилий занятием. Тренировки, тренировки и тренировки — вот что ждало Валеру на его пути к великим биатлонным свершениям.

Что касается самих тренировок, вы все, наверно, знаете что каждый профессиональный биатлонист должен быстро бегать на лыжах и точно стрелять на огневом рубеже. Только в этом случае можно рассчитывать на успех, потому что бег и стрельба - две основные составляющие биатлона. Что касается лыжной подготовки, то Валеру можно смело похвалить, поскольку бегает он действительно быстро, а в меткости стрельбы ему похвастаться особо нечем.

На биатлонной базе, где Валера готовится к соревнованиям, расположено огромное стрельбище, на котором находится n мишеней. Каждая мишень имеет форму круга, а центры всех кругов расположены на оси Ох. На последней тренировке Валера сделал целых m выстрелов. Для того чтобы ему было проще следить за собственными результатами, одному небезызвестному программисту, которым, разумеется, являетесь вы, было поручено написать программу, которая бы сообщала, сколько и какие мишени Валера закрыл, а какие ему так и не удалось поразить. Более конкретно, для каждой мишени программа должна выдать номер первого успешного попадания в нее или «-1», если такого не оказалось. Мишень считается закрытой, если выстрел попал внутрь круга или на его границу. Он очень рассчитывает на вас, и, возможно, благодаря вам он когда-нибудь будет побеждать на международной арене.

Входные данные

В первой строке входного файла содержится целое число n (1 ≤ n ≤ 104) — количество мишеней. В последующих n строках содержатся описания мишеней. Каждая мишень представляет собой круг, центр которого расположен на оси Ox. Каждый круг задан координатой центра x ( - 2·104 ≤ x ≤ 2·104), а также своим радиусом r (1 ≤ r ≤ 1000). Гарантируется, что никакая пара мишеней не совпадает, не пересекается и не вкладывается друг в друга, однако может касаться.

В следующей строке содержится целое число m (1 ≤ m ≤ 2·105) — количество выстрелов. Последующие m строк содержат описания выстрелов, которые являются точками на плоскости, заданными своими координатами x и y ( - 2·104 ≤ x, y ≤ 2·104).

Все числа во входных данных целые.

Мишени и выстрелы нумеруются с единицы в том порядке, в котором они заданы во входных данных.

Выходные данные

В первой строке выведите единственное число — число закрытых Валерой мишеней. Во вторую строку для каждой из мишеней выведите номер первого в неё попадания или «-1» (без кавычек), если такого не существует. Числа разделяйте пробелами.

D. Витя и странный урок

Бинарный поиск Структуры данных *2000

Сегодня на уроке Витя изучал очень интересную функцию — mex. Mex набора чисел — минимальное неотрицательное число, не присутствующее в наборе чисел. Например, mex([4, 33, 0, 1, 1, 5]) = 2, а mex([1, 2, 3]) = 0.

Витя очень быстро разобрался со всеми задачами учителя, а сможете ли вы?

Даны массив, состоящий из n неотрицательных целых чисел, и m запросов. Каждый запрос характеризуется одним числом x и заключается в следующих последовательных шагах:

  • Выполнить операцию побитового сложения по модулю 2 (xor) каждого элемента массива с числом x.
  • Найти mex полученного массива.

Учтите, что после каждого запроса массив изменяется.

Входные данные

Первая строка содержит два целых положительных числа n и m (1 ≤ n, m ≤ 3·105), обозначающие количество элементов в массиве и количество запросов соответственно.

Следующая строка содержит n неотрицательных целых чисел ai (0 ≤ ai ≤ 3·105), представляющих элементы исходного массива.

Каждая из следующих m строк содержит запрос — одно неотрицательное целое число x (0 ≤ x ≤ 3·105).

Выходные данные

Для каждого запроса выведите ответ на него в отдельной строке.

E. Никита и игра

Бинарный поиск Деревья *2800 поиск в глубину и подобное графы разделяй и властвуй

Никита играет в новую компьютерную игру. Всего в игре m уровней. На каждом уровне появляется новый класс, который наследуется от класса yiyi является родителем нового класса). Таким образом, классы образуют дерево. Изначально существует только один класс с номером 1.

Поменять класс на его соседа в дереве стоит 1 монету, причем обратно класс поменять нельзя. Стоимость смены класса a на класс b равна суммарной стоимости изменений классов на пути от a до b в дереве классов.

Пусть на i-м уровне максимальная стоимость смены одного класса на другой равна x. Выведите для каждого уровня количество классов, для которых существует такой класс y, что смена с этого класса на y стоит x.

Входные данные

Первая строке содержит целое число m — количество запросов(1 ≤ m ≤ 3·105).

Следующие m строк содержат описание уровней. Строка с номером i (1 ≤ i ≤ m) описывает i -ый уровень и содержит одно целое число yi  — номер класса, от которого наследуется класс с номером i + 1 (1 ≤ yi ≤ i) .

Выходные данные

Пусть на i -ом уровне максимальная стоимость смены одного класса на другой равна x. Выведите для каждого уровня количество классов, для которых существует такой класс y, что смена с этого класса на y стоит x.

E. Пожар в городе

Бинарный поиск Структуры данных *2400

Столица Берляндии представляет собой прямоугольник размера n × m из одинаковых квадратных кварталов.

Беда! Пожар!

Известно, что загорелись k + 1 квартал (k + 1 ≤ n·m). Именно они — источники огня. При этом местоположения k загоревшихся кварталов (источников огня) известны, а местоположение одного загоревшегося квартала (источника огня) неизвестно. Все k + 1 местоположений — различны.

Огонь распространяется следующим образом: в нулевую минуту пожара горят только k + 1 источников огня. Каждую следующую минуту огонь перебрасывается на соседние кварталы от такого, который горит. Считайте, что кварталы горят очень долго (дольше времени, которое рассматривается в этой задаче). Соседними кварталами считаются те, которые касаются данного по стороне или углу.

Служба МЧС Берляндии хочет оценить минимальное возможное время, через которое пожар может распространиться на весь город. Помните, что местоположение k источников огня известно, а (k + 1)-й может располагаться в любом другом квартале.

Помогите МЧС найти минимальное время, через которое пожар может охватить весь город.

Входные данные

В первой строке записаны три целых числа n, m (1 ≤ n, m ≤ 109) и k (1 ≤ k ≤ 500).

В каждой из следующих k строк записаны по два целых числа xi и yi (1 ≤ xi ≤ n, 1 ≤ yi ≤ m) — местоположение i-го источника огня. Гарантируется, что все источники огня различны.

Выходные данные

Выведите минимальное время, через которое пожар может охватить весь город.

Примечание

В первом примере последний источник может находиться по координатам (4, 4).

Во втором примере последний источник может находиться по координатам (8, 3).

D. Монитор

Бинарный поиск Структуры данных *1900

Недавно девочка Люба купила себе новый монитор. Монитор представляет из себя прямоугольную матрицу размера n × m. Но прошло какое-то время, и она стала замечать, что некоторые пиксели в нём начали ломаться. Люба для себя решила, что монитор сломается в первый момент времени, когда в нём будет окно размера хотя бы k × k, полностью состоящее из сломанных пикселей. Она знает, что всего сломалось q пикселей, а также знает, в какой момент времени какой пиксель сломается. Помогите Любе найти момент времени, когда монитор сломается, либо сообщите, что такой момент не настанет даже после поломки q пикселей.

Входные данные

В первой строке входных данных задано четыре целых числа n, m, k, q (1 ≤ n, m ≤ 500, 1 ≤ k ≤ min(n, m), 0 ≤ q ≤ n·m) — размеры монитора, размер окна, при поломке которого Люба будет считать монитор сломанным, и количество сломавшихся пикселей.

В следующих q строках содержится по 3 целых числа xi, yi, ti (1 ≤ xi ≤ n, 1 ≤ yi ≤ m, 0 ≤ t ≤ 109) — координаты i-го пикселя (его строка и столбец в матрице) и время его поломки. Гарантируется, что никакой пиксель не сломается дважды.

Также будем считать, что в секунду ti пиксель уже становится сломанным.

Выходные данные

Выведите единственное число — момент времени, когда монитор сломается, или "-1", если монитор после поломки q пикселей не окажется сломанным.

B. Подготовка к сортировке слиянием

Бинарный поиск Структуры данных *1600

У Ивана есть массив, состоящий из n различных целых чисел. Он решил упорядочить элементы массива по возрастанию. Так как Иван является фанатом сортировки слиянием, он решил представить массив в виде одной или нескольких возрастающих последовательностей, которые затем он планирует слить в один отсортированный массив.

Представление массива в виде возрастающих последовательностей Иван формирует с помощью следующего алгоритма.

До тех пор, пока в массиве есть хотя бы одно невыписанное число, он повторяет следующую процедуру:

  • просматривает массив слева направо;
  • во время очередного просмотра обращает внимание только на не выписанные ранее числа;
  • если рассматриваемое им в данный момент число — первое невыписанное число во время текущего просмотра, или же оно больше предыдущего выписанного во время текущего просмотра числа, то он выписывает рассматриваемое число.

Например, если массив Ивана имеет вид [1, 3, 2, 5, 4], то всего он выполнит два просмотра. На первом из них он выпишет числа [1, 3, 5], а на втором — [2, 4].

Напишите программу, которая автоматизирует подготовительную работу Ивана — найдёт представление заданного массива в виде одной или нескольких возрастающих последовательностей в соответствии с описанным выше алгоритмом.

Входные данные

В первой строке содержится целое положительное число n (1 ≤ n ≤ 2·105) — количество чисел в массиве Ивана.

Во второй строке содержится последовательность различных целых чисел a1, a2, ..., an (1 ≤ ai ≤ 109) — массив Ивана.

Выходные данные

Выведите представление заданного массива в виде одной или нескольких возрастающих последовательностей в соответствии с описанным выше алгоритмом. Каждую последовательность выводите на новой строке.

E. Пакманы

Бинарный поиск дп *1800

Игровое поле представляет собой клетчатую полоску 1 × n. В некоторых клетках находятся пакманы, в некоторых клетках — звёздочки, остальные клетки пусты.

Пакман может перемещаться в соседнюю клетку за 1 единицу времени. Если в клетке находится звёздочка, то пакман в момент перемещения в эту клетку съедает звёздочку. Пакман съедает звездочку мгновенно.

В начальный момент времени все пакманы начинают двигаться. Каждый из пакманов может неограниченное количество раз менять направление движения, но не должен выходить за пределы игрового поля. Пакманы не создают помех движению других пакманов; в одной клетке может находиться произвольное количество пакманов, движущихся в произвольных направлениях.

Ваша задача — определить минимально возможное время, за которое пакманы смогут съесть все звёздочки.

Входные данные

В первой строке содержится целое число n (2 ≤ n ≤ 105) — длина игрового поля.

Во второй строке содержится описание игрового поля, состоящее из n символов. Если на позиции i записан символ '.', то клетка i — пуста. Если на позиции i записан символ '*', то в клетке i находится звёздочка. Если же на позиции i записан символ 'P', в клетке i находится пакман.

Гарантируется, что на игровом поле есть хотя бы один пакман и хотя бы одна звёздочка.

Выходные данные

Выведите минимальное время, за которое пакманы смогут съесть все звёздочки.

Примечание

В первом примере пакман, находящийся на позиции 4, отправится влево и съест звёздочку на позиции 1. На это у него уйдёт 3 единицы времени. За эти же 3 единицы времени пакман, находящийся на позиции 6, успеет съесть обе соседние с ним звёздочки. Например, сначала он может пойти влево и съесть звёздочку на позиции 5, затратив 1 единицу времени, а потом из позиции 5 пойти вправо и съесть звёздочку на позиции 7, затратив на это ещё 2 единицы времени. Таким образом, за 3 единицы времени пакманы съедят все звёздочки на игровом поле.

Во втором примере пакман, находящийся на позиции 4, пойдёт влево и спустя 2 единицы времени уже съест звёздочки на позициях 3 и 2. Пакманы же, находящиеся на позициях 5 и 8, будут двигаться вправо и в течение 2 единиц времени съедят звёздочки на позициях 7 и 10, соответственно. Таким образом, пакманам достаточно 2 единиц времени для поедания всех звёздочек на игровом поле.

J. Посвящение в студенты

Бинарный поиск Потоки *2400 графы

Скоро в Берляндском университете состоится посвящение первокурсников в студенты. Организаторы посвящения придумывают программу этого праздника. По их мнению, было бы хорошо, если бы новоиспечённые студенты подарили друг другу небольшие сувениры. Когда они озвучили эту идею первокурсникам, то выяснили следующее:

  • некоторые пары первокурсников уже знакомы друг с другом;
  • каждый первокурсник согласен дарить сувениры только тем, с кем он уже знаком;
  • каждый первокурсник не хотел бы дарить много сувениров.

Организаторы записали все пары знакомых между собой первокурсников и теперь хотят определить для каждого первокурсника, кому он должен подарить сувениры. По мнению организаторов, в каждой паре знакомых между собой первокурсников ровно один должен подарить сувенир другому.

Первокурсники уже решили назвать самым невезучим того, кому придётся дарить наибольшее количество сувениров. Организаторы в ответ пообещали, что самый невезучий будет минимально невезучим: конечно, ему придётся дарить наибольшее количество сувениров по сравнению с остальными, но это количество будет минимально возможным.

Организаторам очень некогда, и они обратились к вам с просьбой определить для каждой пары знакомых первокурсников, кто кому должен подарить сувенир.

Входные данные

В первой строке содержатся два целых числа n и m (1 ≤ n ≤ 5000, 0 ≤ m ≤ min(5000, n·(n - 1) / 2)) — количество первокурсников и количество пар первокурсников, знакомых между собой. Студенты пронумерованы от 1 до n.

В каждой из следующих m строк содержится по два целых числа xi, yi (1 ≤ xi, yi ≤ n, xi ≠ yi) — номера первокурсников, знакомых между собой.

Гарантируется, что любая пара содержится в списке единожды. Также гарантируется, что если в списке содержится пара (xi, yi), в нём не содержится пара (yi, xi).

Выходные данные

В первой строке выведите единственное целое число — минимальное количество сувениров, которые подарит самый невезучий первокурсник.

В каждой из следующих m строк выведите по одной паре номеров знакомых между собой первокурсников. Первым в паре выводите номер того первокурсника, который будет дарить сувенир.

Пары можно выводить в любом порядке. Если существует несколько решений, выведите любое из них.

C. Петя и дерево

Бинарный поиск Деревья Теория вероятностей поиск в глубину и подобное сортировки *2200

Однажды после тяжелого рабочего дня Пете приснился страшный сон. И было в том сне большое бинарное дерево поиска. Но не дерево пугало Петю, а то, что не получалось у Пети искать в этом дереве элементы. Сколько ни пробовал Петя загадывать ключ и искать его в дереве, каждый раз приходил куда-то не туда. Долго мучился Петя, много загадывал ключей, и все одно и то же. Отчание стало охватывать Петю, как вдруг на него снизошло озарение: каждый раз, когда он искал ключ, этого ключа не было в дереве, и при этом случалась ровно одна ошибка. "Не беда!" — подумал Петя, — "А посчитаю-ка я матожидание значения элемента, который находится при поиске данного ключа." Только он собрался это сделать, как, вдруг, проснулся.

Итак, вам дано бинарное дерево поиска, то есть дерево, у которого в каждой вершине записано некоторое число, называемое ключом вершины. Количество сыновей у каждой вершины дерева равно либо 0, либо 2. Вершины, имеющие 0 сыновей, называются листьями, а вершины, имеющие 2 сыновей, называются внутренними. У внутренней вершины есть левый сын, то есть сын, у которого ключ меньше ключа текущей вершины, и правый сын, у которого ключ больше ключа текущей вершины. Потомками некоторой вершины называются все вершины, достижимые из нее. То есть это непосредственные сыновья вершины, сыновья сыновей, и так далее. Левые потомки вершины — потомки ее левого сына. Аналогично, правые потомки вершины — потомки ее правого сына. По свойству дерева поиска, ключ любой вершины строго больше всех ключей левых потомков вершины и строго меньше всех ключей правых потомков вершины.

Так же вам задан набор ключей поиска, все из которых различны и отличаются от ключей вершин, имеющихся в дереве. Для каждого ключа из набора выполняется его поиск в дереве. Поиск устроен следующим образом: изначально мы находимся в корне дерева, если ключ текущей вершины больше нашего ключа поиска, то мы переходим в левого сына вершины, иначе переходим в правого сына вершины, и процесс повторяется. Так как ключ поиска гарантированно не содержится в дереве, поиск всегда будет останавливаться в листьях дерева. Ключ, лежащий в листе, объявляется результатом поиска.

Достоверно известно, что в ходе этого поиска мы ровно один раз ошибемся в сравнении, то есть пойдем не туда куда надо, а дальше ошибаться не будем. Все возможные ошибки равновероятны, то есть рассматриваются все такие поиски, в которых происходит ровно одна ошибка. Ваша задача — для каждого ключа поиска найти математическое ожидание (среднее значение) результата поиска, при условии что в этом поиске происходит ровно одна ошибка. То есть, надо для набора путей, в которых содержится ровно одна ошибка поиска заданного ключа, посчитать среднее значение ключей, находящихся в листьях этих путей.

Входные данные

В первой строке задано нечетное целое число n (3 ≤ n < 105) — количество вершин в дереве. В следущих n строках заданы описания вершин. На (i + 1)-ой строке записано два целых числа, разделенных пробелами. Первое число — это номер родителя i-ой вершины, второе — это ключ, лежащий в i-ой вершине. В следующей строке записано целое число k (1 ≤ k ≤ 105) — количество ключей, для которых надо посчитать среднее значение результатов поиска с одной ошибкой. В следующих k строках записаны сами ключи, по одному в каждой строке.

Все ключи вершин и все ключи поиска — это целые положительные числа, не превосходящие 109. Все n + k ключей различны.

Все вершины нумеруются от 1 до n. Для корня дерева вместо номера вершины родителя будет задано число «-1» (без кавычек). Гарантируется, что задано корректное бинарное дерево поиска. Для каждой вершины, кроме корня, согласно её ключу может быть установлено, является она левым или правым сыном.

Выходные данные

Выведите k действительных чисел, являющихся матожиданиями ответов для ключей, заданных во входе. Ответ должен отличаться от правильного с относительной или абсолютной погрешностью не более 10 - 9.

Примечание

В первом сэмпле поиск ключа 1 с одной ошибкой порождает в дереве два пути: (1, 2, 5) и (1, 3, 6), в скобках перечислены номера вершин от корня к листу. Ключи в листьях этих путей равны 6 и 10 соответственно, поэтому ответ равен 8.

D. Сумма медиан

Бинарный поиск Перебор Структуры данных реализация *2300

В одном небезызвестном алгоритме нахождения k-порядковой статистики нужно разбить все элементы на пятерки подряд идущих элементов и найти медиану каждой пятерки. Медианой называют средний элемент отсортированного массива (для пятерки — это третий по величине элемент). Для оценки скорости работы этого алгоритма на современной видеокарте требуется уметь находить сумму медиан в каждой пятерке упорядоченного множества.

Суммой медиан отсортированного k-элементного множества S = {a1, a2, ..., ak}, где a1 < a2 < a3 < ... < ak, будем называть

Оператор обозначает взятие остатка, то есть обозначает остаток при делении x на y.

Для проведения нагрузочного тестирования потребовалось быстро вычислять сумму медиан для изменяющегося множества.

Входные данные

В первой строке задано число n (1 ≤ n ≤ 105) — количество операций, производимых с множеством.

Далее в каждой из n строк описана одна из трех операций:

  • add x — добавить в множество элемент x;
  • del x — удалить из множества элемент x;
  • sum — найти сумму медиан множества.

Для любой операции add x верно, что элемент x непосредственно перед операцией не входит в множество.

Для любой операции del x верно, что элемент x непосредственно перед операцией входит в множество.

Все числа во входных данных — положительные целые числа, не превосходящие 109.

Выходные данные

Для каждой операции sum выведите на отдельной строке сумму медиан текущего множества. Если множество пусто, то выведите 0.

Пожалуйста, не используйте спецификатор %lld для чтения или записи 64-х битовых чисел на С++. Рекомендуется использовать потоки cin, cout (также вы можете использовать спецификатор %I64d).

E. Сторожевые башни

Бинарный поиск геометрия *2600 сортировки графы снм

В одном далеком-предалеком королевстве живет жадный-прежадный король. Для защиты своих владений он построил n сторожевых башен. Помимо башен, в королевстве есть две армии, во главе каждой из которых стоит властный и самодовольный генерал. Генералы терпеть не могут друг друга, в частности, они никогда не допустят, чтобы в одной из башен находились солдаты обеих армий.

Во время оборонительных действий для управления сторожевой башней генералу необходимо направить часть своей армии в эту башню. Каждый генерал требует у короля гонорар за управление башнями. Поскольку они живут в действительно очень далеком королевстве, каждый генерал оценивает свой гонорар следующим странным образом: он находит две самые удаленные башни, в которых находятся солдаты его армии и требует гонорар, равный этому расстоянию. Каждую башню можно считать точкой на плоскости с координатами (x, y), а расстояние между двумя точками с координатами (x1, y1) и (x2, y2) определяется в этом королевстве как |x1 - x2| + |y1 - y2|.

Жадного короля не совсем устроило такое требование генералов, поэтому он лишь согласился выплатить один гонорар на двоих генералов, равный максимальному из запрашиваемых двух гонораров. Однако, жадность все еще не дает покоя королю, поэтому из всех таких распределений башен между армиями, он хочет отыскать наиболее дешевое. Каждая башня должна быть занята солдатами ровно одной армии.

Для этих целей он нанял Вас. Вам необходимо найти минимальное количество денег, которое хватит для оплаты гонорара. А так как король еще крайне щепетилен, вы должны посчитать количество распределений, которые стоят такой же суммы денег. Поскольку их число может быть крайне велико, королю достаточно знать его значение в виде остатка от деления на 109 + 7.

Два распределения называются различными, если различаются множества башен, занятых солдатами первого генерала.

Входные данные

В первой строке задано целое число n (2 ≤ n ≤ 5000), n — количество сторожевых башен. Далее следует n строк, в каждой из которой содержится два целых числа x, y — координаты i-й башни (0 ≤ x, y ≤ 5000). Никакие две башни не находятся в одной точке.

Претест 6 является одним из максимальных тестов в этой задаче.

Выходные данные

В первую строку выведите минимальное количество денег, которого хватит для выплаты гонорара генералам.

Во вторую строку выведите количество распределений, которые можно реализовать, используя минимальный гонорар. Это число необходимо вычислить по модулю 1000000007 (109 + 7).

Примечание

В первом примере всего две башни, растояние между которыми равно 2. Если мы отдадим одному генералу все две башни, то генералам необходимо будет заплатить 2 условные единицы. В случае когда каждый генерал получит в командование по башне, величина гонорара будет равно 0. Это и есть минимальный гонорар, как не трудно заметить, его мы можем получить двумя способами.

D. Путь исследования

Бинарный поиск Потоки Паросочетания *2100 кратчайшие пути

Участники Bubble Cup X собрались после соревнования и обсуждают, как лучше всего узнать страну-организатор и города в ней.

После небольшого исследования карты Сербии участники выяснили следующий факт: в стране есть V городов, которые пронумерованы от 1 до V, и E двусторонних дорог, соединяющих города. У каждой дороги есть вес (время, необходимое для прохода по этой дороге).

На Bubble Cup есть N команд, поэтому участники придумали следующий план: каждая из N команд начнет свой путь в одном из V городов, возможно, некоторые команды будут иметь одинаковую начальную позицию.

Они хотят найти минимальное время T такое, что каждая команда может двигаться в течении этих T минут, и количество различных городов, в которых окажутся команды, как минимум K (потому что они будут исследовать только город, в котором окажутся в конце). Команда не обязана двигаться все время, если им нравится какой-то город, они могут остаться в нем и подождать, пока время пройдет.

Помогите участникам определить это минимальное время T такое, что участники закончат в минимум K различных городах, или выведите -1, если решения нет.

Обратите внимание, что между некоторыми городами может быть больше одной дороги.

Входные данные

Первая строка содержит четыре целых числа: V, E, N и K (1 ≤  V  ≤  600,  1  ≤  E  ≤  20000,  1  ≤  N  ≤  min(V, 200),  1  ≤  K  ≤  N) — количество городов, количество дорог, количество команд и минимальное количество различных городов, в которых они должны закончить.

Вторая строка содержит N целых чисел — города, в которых команды начнут свой путь.

Следующие E строк содержат информацию о дорогах в следующем формате: Ai Bi Ti (1 ≤ Ai, Bi ≤ V,  1 ≤ Ti ≤ 10000), что означает, что есть дорога, соединяющая города Ai и Bi, и команде нужно Ti минут, чтобы пройти по этой дороге.

Выходные данные

Выведите единственное число — минимальное время, в течение которого команды могут двигаться, чтобы закончить в хотя бы K различных городах, или выведите -1, если решения не существует.

Если решение существует, результат будет не больше 1731311.

Примечание

В примере три команды начинают из города 5, две начинают из города 2. Если они будут двигаться 3 минуты, то возможно следующее: две команды в городе 2, одна команда в городе 5, одна команда в городе 3, и одна команда в городе 1. Видно, что всего есть четыре города, в которых команды закончили путешествие.

D. Миша и зарядные станции

Бинарный поиск дп жадные алгоритмы *2400

Миша купил себе новый электромобиль и использует его каждый день для перемещения по городу. Поскольку Миша старается не перенапрягаться, каждый день он ездит только на одну из двух работ.

День Миши начинается с того, что он заряжает с утра электромобиль ровно настолько, чтобы ему хватило заряда для поездки на день. Если Миша едет на первую работу, стоимость зарядки составляет 1000 бурлей, а если на вторую, то 2000 бурлей.

На зарядной станции, где заряжается Миша, действует система бонусных карт. На бонусной карте может находиться некоторое неотрицательное количество бонусных бурлей. Каждый раз, когда покупатель оплачивает покупку стоимостью x бурлей, он может любую часть стоимости покупки в y (0 ≤ y ≤ x) бурлей, которая не превосходит баланса на бонусной карте, оплатить бонусными бурлями. В таком случае он платит x - y бурлей наличными, а сумма на бонусной карте уменьшается на y бонусных бурлей.

А если покупатель полностью расплатился наличными (то есть, y = 0), то 10% от суммы покупки возвращается на бонусную карту, то есть, счёт на бонусной карте увеличится на бонусных бурлей. Изначально баланс карты составляет 0 бонусных бурлей.

Миша распланировал первые n дней пользования картой и знает, сколько стоит зарядка в каждый из этих дней. Помогите Мише определить какое минимальное количество бурлей ему придётся потратить наличными при оптимальном использовании бонусной карты. Считайте, что Миша в состоянии в любой день оплатить любую часть стоимости наличными. Тратить все бонусные бурли с бонусной карты к концу рассматриваемого периода не обязательно.

Входные данные

В первой строке находится целое число n (1 ≤ n ≤ 300 000) — число дней, которые распланировал Миша.

В следующей строке содержатся n чисел a1, a2, ..., an (ai = 1000 или ai = 2000), где ai обозначает стоимость зарядки в i-й день.

Выходные данные

Выведите единственное число — ответ на задачу.

Примечание

В первом тестовом примере Мише выгодно заплатить за первые два дня наличными, потратив 3000 бурлей, и получить 300 бонусных бурлей. После этого он может заплатить только 700 бурлей за третий день, покрыв оставшуюся часть стоимости бонусными бурлями.

Во втором тестовом примере Мише выгодно первые пять дней платить полную стоимость, в результате чего накопить 1000 бонусных бурлей, которыми можно расплатиться в последний день, ничего не доплачивая.

F. Нагайна

Бинарный поиск Структуры данных *3100

Нагайна, будучи крестражем Сами-Знаете-Кого, создала армию змей и планирует атаку на Хогвартс.

Вход в школу Хогвартс может быть представлен как прямая линия (ось x) с координатами от 1 до 105. Нагайна запускает змей у входа в Хогвартс. Каждая змея ложится параллельно входу, покрывая некоторый отрезок на расстоянии k от входа от x = l до x = r. Формально, каждая змея может быть представлена как отрезок с концами в точках (l, k) и (r, k). Учтите, что k может быть как положительным, так и отрицательным, но не может быть равно 0.

Пусть для какой-то x-координаты x = i, существую змеи в точке (i, y1) и в точке (i, y2), таких что y1 > 0 и y2 < 0. Тогда если для любой точки (i, y3), содержащей змею и такой, что y3 > 0, выполняется y1 ≤ y3, и для любой точки (i, y4), содержащей змею и такой, что y4 < 0, выполняется |y2| ≤ |y4|, тогда опасность точки x = i равна y1 + |y2|. Если не существует таких y1 или y2 опасность равна 0.

Гарри хочет посчитать опасность некоторых отрезков входа в Хогвартс. Опасность полуинтервала [l, r) может быть вычислена как сумма величин опасностей во всех целых координатах x этого полуинтервала.

Формально, вам необходимо обрабатывать два типа запросов:

  • 1 l r k: змея появляется у входа между точками x = l и x = r и координатой y = k (включая l, не включая r).
  • 2 l r: вам необходимо узнать опасность полуинтервала с l по r (включая l, не включая r).
Входные данные

В первой строке содержится целое число q (1 ≤ q ≤ 5·104), показывающее число запросов.

Следующие q строк описывают запросы. Описание каждого запроса начинается с типа запроса typei (1 ≤ typei ≤ 2). Затем идёт дальшнейшее описание запросов. Для запросов типа 1 задаются три целых числа li, ri и ki (,  - 109 ≤ ki ≤ 109, k ≠ 0). Иначе задана пара целых чисел li и ri (1 ≤ li < ri ≤ 105).

Выходные данные

Для каждого запроса типа 2 выведите ответ.

Примечание

В первом примере опасность координаты x, равной 1, равна 0, так как не существует y2, удовлетворяющего условию для x = 1.

Опасность x-координат 2 и 3 равна 10 + | - 7| = 17.

Опасность x-координат от 4 до 9 снова 0, так как не существует y2, удовлетворяющего условию.

Таким образом, суммарная опасность равна 17 + 17 = 34.

D. Махмуд, Ехаб и бинарная строка

Бинарный поиск *2000 разделяй и властвуй интерактив

Махмуд и Ехаб проходят четвёртое испытание Доктора Зло.

Доктор Зло загадал бинарную строку длины n. Известно, что в ней есть хотя бы один символ '0' и хотя бы один символ '1'. Теперь он хочет, чтобы Махмуд и Ехаб нашли позицию хотя бы одного сивола '0' и позицию хотя бы одного символа '1' в этой строке. Чтобы это сделать, они могут задать Доктору Зло не более 15 вопросов следующего вида. Они говорят Доктору Зло бинарную строку длины n, а Доктор Зло говорит им расстояние Хемминга между их строкой и его строкой. Расстоянием Хемминга между двумя бинарными строками равной длины называется количество позиций, в которых они различаются. Вы можете найти строгое опредение расстояния Хемминга ниже.

Помогите Махмуду и Ехабу справиться с заданием Доктора Зло.

Вы получите вердикт Wrong Answer если

  • Ваши запросы не будут соответствовать протоколу взаимодействия.
  • Вы задали строго больше, чем 15 вопросов, при этом программа завершилась после превышения числа запросов. Учтите, что вы можете 15 раз задать Доктору Зло вопрос, а потом потратить ещё запрос, чтобы вывести ответ на задачу.
  • Ответ на задачу неверен.
Вы получите вердикт Idleness Limit Exceeded, если вы ничего не выведите или забудете сбросить буфер вывода (более подробно о том, как сбросить буфер вывода, можно прочитать ниже).

Если программа превышает максимальное число запросов, необходимо завершить её с кодом возврата 0, в противном случае вердикт может быть не Wrong Answer из-за чтения из закрытого потока.

Входные данные

В первой строке ввода содержится целое число n (2 ≤ n ≤ 1000) — длина спрятанной бинарной строки.

Выходные данные

Чтобы вывести ответ на задачу, выведите "! pos0 pos1" (без кавычек), где pos0 и pos1 — это позиции какого-то символа '0' и какого-то символа '1' в строке (нумерация с 1). Не забудьте сбросить буфер вывода после вывода ответа!

Протокол взаимодействия

Чтобы задать вопрос, используйте формат "? s" (without quotes), где s строка, для которой вы хотите узнать расстояние Хемминга между ней и загаданной строкой. Не забудьте сбросить буфер вывода после вывода запроса!

После каждого запроса на стандартный ввод будет подано одно целое число — расстояние Хемминга между строкой из запроса и загаданной строкой.

Чтобы сбросить буфер вывода используйте:

  • fflush(stdout) в C++;
  • System.out.flush() в Java;
  • stdout.flush() в Python;
  • flush(output) в Pascal;
  • Обратитесь к документации для других языков.

Взломы.

Для взлома выведите бинарную строку длиной не более 1000, содержащую хотя бы один символ '0' и хотя бы один символ '1'.

Примечание

Определение расстояния Хемминга: https://ru.wikipedia.org/wiki/Расстояние_Хемминга

В первом тестовом примере загаданная строка равна 101. Первый запрос равен 000, поэтому расстояние Хемминга равно 2. Во втором запросе загаданная строка всё ещё равна 101 а строка из запроса равна 001, поэтому расстояние Хемминга равно 1.

После нескольких запросов вы узнали, что символ на позиции 2 это '0', а символ на позиции 1 это '1', поэтому надо вывести "! 2 1".

E. Махмуд, Ехаб и функция

Бинарный поиск Структуры данных *2100 сортировки

Доктора Зло интересует математика, поэтому он дал Махмуду и Ехабу массив a длины n и массив b длины m. Он рассматривает функцию f(j), которая определена для целых чисел j, удовлетворяющих 0 ≤ j ≤ m - n. Положим ci = ai - bi + j. Тогда f(j) = |c1 - c2 + c3 - c4... cn|. Более формально, .

Доктор Зло хочет, чтобы Махмуд и Ехаб нашли минимальное значение функции для всех допустимых j. Он понимает, что это слишком простая задача, поэтому он решил её усложнить. Он просит их обработать q запросов изменения. Во время каждого запроса Махмуд и Ехаб должны прибавить xi ко всем элементам a в диапозоне [li;ri], то есть прибавить xi к ali, ali + 1, ... , ari. После каждого запроса им требуется посчитать минимальное значение f(j) для всех допустимых j.

Помогите Махмуду и Ехабу.

Входные данные

В первой строке содержатся три целых числа n, m и q (1 ≤ n ≤ m ≤ 105, 1 ≤ q ≤ 105) — количество элементов в a, количество элементов в b и количество запросов, соответственно.

Во второй строке содержатся n целых чисел a1, a2, ..., an. ( - 109 ≤ ai ≤ 109) — элементы a.

В третьей строке содержатся m целых чисел b1, b2, ..., bm. ( - 109 ≤ bi ≤ 109) — элементы b.

В следующих q содержатся описания запросов. Каждая из них содержит три целых числа li ri xi (1 ≤ li ≤ ri ≤ n,  - 109 ≤ x ≤ 109) — границы отрезка, на котором происходит обновление и величина, которую необходимо прибавить.

Выходные данные

В первой строке выведите минимальное значение функции f до всех запросов.

Затем выведите q строк, в i-й из которых должно содержаться минимальное значение функции f после запроса с номером i.

Примечание

В первом тестовом примере до первого запроса минимум достигается при j = 0 и равен f(0) = |(1 - 1) - (2 - 2) + (3 - 3) - (4 - 4) + (5 - 5)| = |0| = 0.

После первого запроса a становится равным {11, 2, 3, 4, 5}, а минимум достигается при j = 1 и равен f(1) = |(11 - 2) - (2 - 3) + (3 - 4) - (4 - 5) + (5 - 6) = |9| = 9.

После второго запроса a становится равным {2, 2, 3, 4, 5}, минимум достигается при j = 1 и равен f(1) = |(2 - 2) - (2 - 3) + (3 - 4) - (4 - 5) + (5 - 6)| = |0| = 0.

После третьего запроса a становится равным {1, 1, 2, 3, 4}, минимум достигается при j = 0 и равен f(0) = |(1 - 1) - (1 - 2) + (2 - 3) - (3 - 4) + (4 - 5)| = |0| = 0

B. Заказ пиццы

Бинарный поиск Тернарный поиск сортировки *1900

Проходит очередной финал Start[c]up, поэтому необходимо заказать пиццу для финалистов, участвующих в соревновании в офисе компании. Существует всего два типа пиццы (конечно нет, но в этой задаче будем считать, что да), все пиццы содержат одинаковое число S кусочков.

Известно, что i-й участниц съест si кусочков пиццы, и получит ai единиц счастья от съедания каждого кусочка пиццы первого типа, и bi единиц счастья от съедания каждого кусочка пиццы второго типа. Мы можем заказать любое число пицц первого и второго типов, но мы хотим заказать минимальное число пицц, необходимое для того, чтобы все участники могли съесть необходимое каждому число кусочков. Учитывая это ограничение, какое максимальное суммарное число единиц счастья могут получить участники?

Входные данные

Первая строка содержит целые числа N и S (1 ≤ N ≤ 105, 1 ≤ S ≤ 105) — число участников и число кусочков пиццы в каждой пицце, соответственно.

Далее следуют N строк. i-я из них содержит целые числа si, ai и bi (1 ≤ si ≤ 105, 1 ≤ ai ≤ 105, 1 ≤ bi ≤ 105) — количество кусочков пиццы, которые съест i-й участник, счастье, которое он получает от каждого съеденного кусочка первого типа, и счастье, которое он получает от каждого съеденного кусочка второго типа, соответственно.

Выходные данные

Выведите максимальное суммарное счастье, которое могут получить участники.

Примечание

В первом примере нужно купить лишь одну пиццу. Если это будет пицца первого типа, то суммарное счастье будет равно 3·5 + 4·6 + 5·9 = 84, а если купить пиццу второго типа — то суммарное счастье будет равно 3·7 + 4·7 + 5·5 = 74.

C. Пройди быстрее

Бинарный поиск дп *2400

Вы хотите поставить рекорд в вашей любимой компьютерной игре. Игра состоит из N уровней, чтобы выиграть, вы должны пройти их друг за другом. Вы обычно проходите каждый уровень так быстро, как можете. но иногда вы проходите его медленнее. А именно, вы проходите i-й уровень либо за Fi секунд, либо за Si секунд, при этом Fi < Si, при этом с вероятностью Pi процентов вы пройдете его за Fi секунд. После прохождения уровня вы можете либо продолжить игру, перейдя на следующий уровень, либо сбросить прогресс и начать с первого уровня заново. Оба решения и действия вы совершаете мгновенно.

Ваша цель — пройти все уровни один за другим суммарно не более чем за R секунд. Вы хотите минимизировать ожидаемое время игры до момента, когда вы достигнете эту цель. Если вы будете продолжать и сбрасывать прогресс оптимально, чему равно математическое ожидаемое время игры?

Входные данные

Первая строка содержит два целых числа N и R  — число уровней и число секунд, за которое вы хотите пройти игру, соответственно.

Далее следуют N строк. Строка i содержит целые числа Fi, Si, Pi (1 ≤ Fi < Si ≤ 100, 80 ≤ Pi ≤ 99) — время быстрого прохождения уровня i, время медленного прохождения уровня i, и вероятность (в процентах) прохождения уровня i быстро.

Выходные данные

Выведите математическое ожидание времени игры. Ваш ответ будет считаться правильным, если его абсолютная или относительная точность не превосходит 10 - 9.

Формально, если ваш ответ равен a, а ответ жюри равен b, то ваш ответ будет считаться правильным, если .

Примечание

В первом примере вам никогда не надо начинать сначала. С вероятностью 81% вы закончите игру за 2 секунды, и с вероятностью 19% — за 8 секунд. И то и другое вас устроит. Ожидаемое время игры равно 0.81·2 + 0.19·8 = 3.14.

Во втором примере вы должны сбрасывать после первого уровня, если прошли его медленно. В среднем у вас будет 0.25 медленных попыток перед быстрой попыткой. Затем безразлично, закончите ли вы второй уровень быстро или медленно. Ожидаемое время равно 0.25·30 + 20 + 0.85·3 + 0.15·9 = 31.4.

D. Ор выше гор

Бинарный поиск Структуры данных Комбинаторика разделяй и властвуй *2200 битмаски

Рик и Морти очень любят ходить на горный хребет Высокоорный для того, чтобы поорать — эхо там просто невероятное. Не так давно они нашли интересное акустическое свойство этого хребта: если Рик и Морти начнут одновременно орать с разных гор, то их ор будет слышен между этими горами вплоть до высоты, равной побитовому ИЛИ высот гор, на которые они взошли, и всех гор между ними.

Побитовое ИЛИ — это бинарная операция, которая определяется следующим образом. Рассмотрим записи чисел x и y в двоичной системе счисления (возможно с ведущими нулями) x = xk... x1x0 и y = yk... y1y0. Тогда z = x | y определяется следующим образом: z = zk... z1z0, где zi = 1, если xi = 1 или yi = 1, иначе zi = 0. Иными словами, нули в побитовом ИЛИ чисел находятся только в тех разрядах, в которых у обоих чисел находятся нули. Например, побитовое ИЛИ чисел 10 = 10102 и 9 = 10012 равняется 11 = 10112. В языках программирования C/C++/Java/Python данная операция обозначается как «|», а в Pascal как «or».

Помогите Рику и Морти посчитать, сколькими способами они могут выбрать две различные горы так, что если они начнут орать с этих гор, ор их будет слышен выше этих гор и всех гор между ними. Формально говоря, требуется вычислить, сколько существует таких пар l и r (1 ≤ l < r ≤ n), что побитовое ИЛИ всех высот гор на отрезке от l до r включительно строго больше высоты любой горы на этом отрезке.

Входные данные

В первой строке содержится целое число n (1 ≤ n ≤ 200 000) — количество гор в хребте. В следующей строке содержатся n целых чисел ai (0 ≤ ai ≤ 109) — высоты гор в порядке, в котором они следуют в хребте.

Выходные данные

Выведите одно число — искомое количество способов выбрать две различные горы.

Примечание

В первом примере все искомые способы — это пары гор со следующими номерами (горы нумеруются с единицы):

(1, 4), (1, 5), (2, 3), (2, 4), (2, 5), (3, 4), (3, 5), (4, 5)

Во втором примере искомых пар не существует, поскольку для любой пары гор высота ора с них равна 3, и эта высота равна высоте любой из гор, следовательно она не выше их.

E. Курьерский клуб

Бинарный поиск Структуры данных дп *2600

Петя и Вася устроились работать курьерами. В течение очередного рабочего дня им нужно доставить пакеты в n различных точек на прямой. Согласно внутренним правилам компании, доставка пакетов должна быть произведена строго в определённом порядке. Исходно Петя находится в точке с координатой s1, Вася находится в точке с координатой s2, а клиенты находятся в точках x1, x2, ..., xn в порядке требуемого посещения.

Ребята заранее договариваются, кто из них доставит пакет для какого из клиентов, после чего они действуют следующим образом. Когда пакет для i-го клиента доставлен, тот из ребят, кто доставляет пакет для (i + 1)-го клиента, отправляется в путь (это может быть как тот же из них, кто только что приехал в точку xi, так и другой). Тот из друзей, который не занят в доставке текущего пакета, стоит на месте.

Для связи друг с другом ребятам выдали рации. Рации довольно плохо работают на больших расстояниях, поэтому Петя и Вася хотят распределить заказы так, чтобы максимальное расстояние между ними в течение дня было как можно меньше. Помогите Пете и Васе минимизировать максимальное расстояние между ними, соблюдая все правила доставки.

Входные данные

В первой строке даны три целых числа n, s1, s2 (1 ≤ n ≤ 100 000, 0 ≤ s1, s2 ≤ 109) — количество точек доставки и начальные положения Пети и Васи.

Во второй строке расположены n целых чисел x1, x2, ..., xn — координаты клиентов (0 ≤ xi ≤ 109), указанные в том порядке, в котором следует выполнять доставку.

Гарантируется, что среди чисел s1, s2, x1, ..., xn нет двух одинаковых.

Выходные данные

Выведите единственное целое число — минимальное возможное максимальное расстояние между ребятами в процессе доставки.

Примечание

В первом примере изначальное расстояние между курьерами равно 10. Эта величина и будет ответом, например, Петя может выполнить обе доставки, а Вася останется в начальной точке.

Во втором примере оптимально можно действовать, например, так: Вася доставляет пакет первому клиенту, Петя — второму и, наконец, Вася выполняет доставку пакета третьему клиенту. При таком порядке доставки расстояние между курьерами никогда не превзойдет 1.

В третьем примере есть только два возможных варианта: если доставку единственного пакета осуществляет Петя, то максимальное расстояние между ними будет 5 - 2 = 3. Если же пакет повезёт Вася, то максимальное расстояние составит 4 - 2 = 2. Последний способ является оптимальным.

C. Downloading B++

Бинарный поиск реализация *2300

Only T milliseconds left before the start of well-known online programming contest Codehorses Round 2017.

Polycarp needs to download B++ compiler to take part in the contest. The size of the file is f bytes.

Polycarp's internet tariff allows to download data at the rate of one byte per t0 milliseconds. This tariff is already prepaid, and its use does not incur any expense for Polycarp. In addition, the Internet service provider offers two additional packages:

  • download a1 bytes at the rate of one byte per t1 milliseconds, paying p1 burles for the package;
  • download a2 bytes at the rate of one byte per t2 milliseconds, paying p2 burles for the package.

Polycarp can buy any package many times. When buying a package, its price (p1 or p2) is prepaid before usage. Once a package is bought it replaces the regular tariff until package data limit is completely used. After a package is consumed Polycarp can immediately buy a new package or switch to the regular tariff without loosing any time. While a package is in use Polycarp can't buy another package or switch back to the regular internet tariff.

Find the minimum amount of money Polycarp has to spend to download an f bytes file no more than in T milliseconds.

Note that because of technical reasons Polycarp can download only integer number of bytes using regular tariff and both packages. I.e. in each of three downloading modes the number of downloaded bytes will be integer. It means that Polycarp can't download a byte partially using the regular tariff or/and both packages.

Input

The first line contains three integer numbers f, T and t0 (1 ≤ f, T, t0 ≤ 107) — size of the file to download (in bytes), maximal time to download the file (in milliseconds) and number of milliseconds to download one byte using the regular internet tariff.

The second line contains a description of the first additional package. The line contains three integer numbers a1, t1 and p1 (1 ≤ a1, t1, p1 ≤ 107), where a1 is maximal sizes of downloaded data (in bytes), t1 is time to download one byte (in milliseconds), p1 is price of the package (in burles).

The third line contains a description of the second additional package. The line contains three integer numbers a2, t2 and p2 (1 ≤ a2, t2, p2 ≤ 107), where a2 is maximal sizes of downloaded data (in bytes), t2 is time to download one byte (in milliseconds), p2 is price of the package (in burles).

Polycarp can buy any package many times. Once package is bought it replaces the regular tariff until package data limit is completely used. While a package is in use Polycarp can't buy another package or switch back to the regular internet tariff.

Output

Print the minimum amount of money that Polycarp needs to pay to download B++ compiler no more than in T milliseconds. If there is no solution, print the only integer -1.

Note

In the first example Polycarp has to buy the first additional package 5 times and do not buy the second additional package. He downloads 120 bytes (of total 26·5 = 130 bytes) in 120·8 = 960 milliseconds (960 ≤ 964). He spends 8·5 = 40 burles on it.

In the second example Polycarp has enough time to download 10 bytes. It takes 10·20 = 200 milliseconds which equals to upper constraint on download time.

In the third example Polycarp has to buy one first additional package and one second additional package.

In the fourth example Polycarp has no way to download the file on time.

D. Packmen Strike Back

Бинарный поиск математика дп *2500

Game field is represented by a line of n square cells. In some cells there are packmen, in some cells there are asterisks and the rest of the cells are empty. Packmen eat asterisks.

Before the game starts you can choose a movement direction, left or right, for each packman. Once the game begins all the packmen simultaneously start moving according their directions. A packman can't change the given direction.

Once a packman enters a cell containing an asterisk, packman immediately eats the asterisk. Once the packman leaves the cell it becomes empty. Each packman moves at speed 1 cell per second. If a packman enters a border cell, the packman stops. Packmen do not interfere with the movement of other packmen; in one cell there can be any number of packmen moving in any directions.

Your task is to assign a direction to each packman so that they eat the maximal number of asterisks. If there are multiple ways to assign directions to eat the maximal number of asterisks, you should choose the way which minimizes the time to do that.

Input

The first line contains integer number n (2 ≤ n ≤ 1 000 000) — the number of cells in the game field.

The second line contains n characters. If the i-th character is '.', the i-th cell is empty. If the i-th character is '*', the i-th cell contains an asterisk. If the i-th character is 'P', the i-th cell contains a packman.

The field contains at least one asterisk and at least one packman.

Output

Print two integer numbers — the maximal number of asterisks packmen can eat and the minimal time to do it.

Note

In the first example the leftmost packman should move to the right, the rightmost packman should move to the left. All the asterisks will be eaten, the last asterisk will be eaten after 4 seconds.

I. Photo Processing

Бинарный поиск дп *1900

Evlampiy has found one more cool application to process photos. However the application has certain limitations.

Each photo i has a contrast vi. In order for the processing to be truly of high quality, the application must receive at least k photos with contrasts which differ as little as possible.

Evlampiy already knows the contrast vi for each of his n photos. Now he wants to split the photos into groups, so that each group contains at least k photos. As a result, each photo must belong to exactly one group.

He considers a processing time of the j-th group to be the difference between the maximum and minimum values of vi in the group. Because of multithreading the processing time of a division into groups is the maximum processing time among all groups.

Split n photos into groups in a such way that the processing time of the division is the minimum possible, i.e. that the the maximum processing time over all groups as least as possible.

Input

The first line contains two integers n and k (1 ≤ k ≤ n ≤ 3·105) — number of photos and minimum size of a group.

The second line contains n integers v1, v2, ..., vn (1 ≤ vi ≤ 109), where vi is the contrast of the i-th photo.

Output

Print the minimal processing time of the division into groups.

Note

In the first example the photos should be split into 2 groups: [40, 50] and [110, 120, 130]. The processing time of the first group is 10, and the processing time of the second group is 20. Maximum among 10 and 20 is 20. It is impossible to split the photos into groups in a such way that the processing time of division is less than 20.

In the second example the photos should be split into four groups, each containing one photo. So the minimal possible processing time of a division is 0.

E. Маленький брат

Бинарный поиск геометрия *2800 сортировки

Маленький брат Маши-умняши отметил на клетчатой бумаге две различные точки. После этого он нарисовал несколько окружностей и отдал листок сестре.

Маша только что вернулась из школы с урока по геометрии, поэтому она сразу заметила несколько особенностей на рисунке брата.

Во-первых, прямая, проходящая через точки, нарисованные братом, не пересекает ни одну из окружностей и не касается ни одной из окружностей.

Во-вторых, окружности также попарно не пересекаются, не касаются и не вкладываются.

Но Машу не просто так называют умняшей. Для каждой окружности она нарисовала квадрат со сторонами параллельными осям координат минимальной площади, что окружность полностью лежит внутри этого квадрата. Из такого рисунка Маша сразу увидела, что получившиеся квадраты также не пересекаются, не касаются и не вкладываются.

Теперь Маше-умняше стало интересно, какого минимального радиуса можно провести окружность через две точки, нарисованные братом, чтобы эта окружность не пересекала ни одной из уже нарисованных окружностей. Но уже нарисованные окружности могут быть внутри или касаться окружности, которую хочет нарисовать Маша.

Гарантируется, что ответ не превосходит 1012. Обратите внимание, что для взломов это условие также должно выполняться.

Входные данные

В первой строке даны четыре целых числа x1, y1, x2, y2 ( - 105 ≤ x1, y1, x2, y2 ≤ 105) — координаты точек, нарисованных братом. Первая точка имеет координаты (x1, y1), а вторая (x2, y2). Гарантируется, что точки не совпадают.

Во второй строке дано целое число n (1 ≤ n ≤ 105) — количество окружностей, нарисованных братом.

В следующих n строках записаны три целых числа xi, yi, ri ( - 105 ≤ xi, yi ≤ 105, 1 ≤ ri ≤ 105) описывающие i-ю окружность с центром в точке (xi, yi) и радиусом ri.

Выходные данные

Выведите такое минимальное вещественное число, что возможно провести окружность через заданные точки, не пересекающие заданные окружности.

Ответ будет считаться верным, если его относительная или абсолютная ошибка не превосходит 10 - 4.

Примечание

C. К-доминирующий символ

Бинарный поиск реализация *1400

Вам дана строка s, состоящая из строчных латинских букв. Символ c называется k-доминирующим, когда каждая подстрока s длины не меньше k содержит символ c.

Найдите минимальное значение k такое, что в строке существует хотя бы один k-доминантный символ.

Входные данные

Первая строка — строка s, состоящая из строчных латинских букв (1 ≤ |s| ≤ 100000).

Выходные данные

Выведите одно число — минимальное значение k такое, что в строке существует хотя бы один k-доминантный символ.

E. Модуль, модуль и еще раз модуль

Бинарный поиск математика дп *3000

Вам дана последовательность целых чисел a1, a2, ..., an. Пусть , а для всех 1 ≤ i < n. В данных определениях операция означает взятие остатка от деления. Найдите максимальное значение f(x, 1) среди всех неотрицательных целых x.

Входные данные

Первая строка содержит целое число n (1 ≤ n ≤ 200000) — длину последовательности.

Вторая строка содержит n целых чисел a1, a2, ..., an (1 ≤ ai ≤ 1013) — элементы последовательности.

Выходные данные

Выведите одно целое число — максимальное значение f(x, 1) среди всех неотрицательных целых значений x.

Примечание

В первом примере можно выбрать, например, x = 19.

Во втором примере можно выбрать, например, x = 3 или x = 2.

B. XK Отрезки

Бинарный поиск математика сортировки *1700

Пока Вася доедал свой кусок пиццы, пара уже началась. За опоздание на пару преподаватель предложил Васе поразмыслить над одной интересной задачей. Васе даны массив a и целое число x. Ему необходимо вычислить количество различных пар индексов (i, j) для которых ai ≤ aj и существует ровно k целых чисел y таких, что ai ≤ y ≤ aj и при этом y делится на x без остатка.

В данной задаче считается, что пара (i, j) не равна паре (j, i), если j не равно i, то есть (1, 2) и (2, 1) это две разные пары.

Входные данные

Первая строка содержит 3 целых числа n, x, k (1 ≤ n ≤ 105, 1 ≤ x ≤ 109, 0 ≤ k ≤ 109), где n — это количество элементов в массиве a, а x и k — это числа из условия задачи.

Вторая строка содержит n целых чисел ai (1 ≤ ai ≤ 109) — элементы массива a.

Выходные данные

Выведите одно целое число — ответ на задачу.

Примечание

В первом тесте подходят только следующие пары индексов: (1, 2), (2, 3), (3, 4).

Во втором тесте подходят пары индексов (1, 1), (2, 2), (3, 3), (4, 4).

В третьем тесте подходит любая пара индексов (i, j). Поэтому ответ равен 5 * 5 = 25.

A. Загадка Нефлены

Бинарный поиск поиск в глубину и подобное *1700

Какие планы на конец света? Не занят? Не спасешь нас?

Нефлен играет с маленькими лепреконами.

Она даёт им бесконечный массив строк f0... ∞.

Строка f0 — это «What are you doing at the end of the world? Are you busy? Will you save us?».

Она хочет, чтобы как можно больше людей узнали об этом, поэтому она определяет fi =  «What are you doing while sending "fi - 1"? Are you busy? Will you send "fi - 1"?» для всех i ≥ 1.

Например, строка f1 — это «What are you doing while sending "What are you doing at the end of the world? Are you busy? Will you save us?"? Are you busy? Will you send "What are you doing at the end of the world? Are you busy? Will you save us?"?». Обратите внимание, первые и последние кавычки не входят в строку f1.

Нетрудно заметить, что символы в строках fi — это буквы, знаки вопроса, пробелы и, возможно, кавычки.

Нефлена задаст лепреконам q вопросов. Каждый раз она просит их найти k-й символ строки fn. Символы в строке нумеруются, начиная с 1. Если в строке fn меньше, чем k символов, выведите «.» (без кавычек).

Можете ли Вы ответить на её вопросы?

Входные данные

В первой строке задано одно целое число q (1 ≤ q ≤ 10) — количество вопросов Нефлены.

Каждая из следующих q строк описывает вопрос Нефлены и содержит два целых числа n и k (0 ≤ n ≤ 105, 1 ≤ k ≤ 1018).

Выходные данные

Выведите строку из q символов, где i-й символ — это ответ на запрос с номером i.

Примечание

Для первых двух тестовых примеров f0 и f1 приведены в условии выше.

B. Айсея играет с Ктолли

Бинарный поиск Конструктив *2000 жадные алгоритмы интерактив игры

Это интерактивная задача. Обратитесь к секции «Протокол взаимодействия» для лучшего понимания.

Айсея и Ктолли хотят сыграть в игру, чтобы определить, кто сможет воспользоваться кухней сегодня вечером.

Изначально Айсея выкладывает n листов бумаги в ряд. Они пронумерованы от 1 до n слева направо.

Во время игры будет проведено m раундов. В каждом раунде Айсея даст Ктолли целое число от 1 до c и Ктолли будет должена записать это число на одном из листов бумаги (если на этом листе уже было записано число, Ктолли сотрёт его и запишет на его месте новое).

Ктолли победит, если в какой-то момент на каждом листке будет записано число, и эти n чисел будут идти в неубывающем порядке, если смотреть на листы слева направо, начиная с листа 1 и заканчивая листом n, и проиграет, если за все m раундов игры такая ситуация не возникнет.

Ктолли очень хочет победить, потому что хочет приготовить еду для Уильяма, но не знает, как выиграть в эту игру. Поэтому Ктолли просит вас написать программу, которая будет получать числа, которые называет Айсея, и будет решать на какой лист записывать это число.

Гарантируется, что ходы Айсея выбраны заранее и что они не зависят от ходов вашей программы.

Входные данные

В первой строке содержатся три целых числа n, m и c (, означает число , округленное вверх) — количество листов бумаги, количество раундов и максимальное число, которое Айсея может сказать Ктолли, соответственно. Остальная часть ввода описана в разделе «Протокол взаимодействия».

Протокол взаимодействия

Во время каждого раунда ваша программа должна считать одно целое число pi (1 ≤ pi ≤ c), которое обозначает число, названное Айсеей.

Ваша программа должна вывести в новой строке одно целое число от 1 до n, обозначающее номер листа, на который необходимо записать число.

После вывода каждой строки не забудьте сбросить буфер вывода. Например:

  • fflush(stdout) в C/C++;
  • System.out.flush() в Java;
  • sys.stdout.flush() в Python;
  • flush(output) в Pascal;
  • Обратитесь к документации для других языков программирования.

Если Ктолли выигрывает после некоторого раунда, вашей программе больше не будет ничего подаваться на ввод и она должна завершиться. Можно доказать, что при заданных ограничениях Ктолли всегда может победить.

Примечание

В первом тестовом примере Айсея выкладывает 2 листа бумаги. После этого происходит 4 раунда игры, во время каждого из которых Айсея может назвать число от 1 до 4.

Затем Айсея называет число 2 и Ктолли записывает его на лист с номером 1. После этого Айсея называет число 1 и записывает на лист с номером 2. Наконец, Айсея называет число 3, после чего Ктолли заменяет число 1 на число 3 на листе с номером 2 и выигрывает, так как на каждом листе записано какое-то число и они упорядочены по неубыванию слева направо.

Обратите внимание, что Ваша программа должна немедленно завершиться после победы Чтолли и не должна читать числа из входного потока для последующих раундов. В противном случае вердикт программы не определён. В частности, учитывайте этот факт при взломах чужих решений. В тестовом примере Ктолли выиграла после раунда 3, поэтому требуется, чтобы Ваша программа не считывала число для раунда 4.

Формат ввода для взломов:

  • В первой строке записаны 3 целых числа n, m и c;
  • В последующих m строках записаны целые числа от 1 до c, обозначающие число, произнесённое Ктолли во время каждого раунда.

C. Двудольные отрезки

Бинарный поиск Структуры данных поиск в глубину и подобное графы *2300 снм

Дан неориентированный граф на n вершинах, в котором нет реберно-простых циклов четной длины (циклов четной длины, которые не проходят по одному ребру два раза). Будем считать, что вершины графа пронумерованы целыми числами от 1 до n.

Требуется ответить на q запросов. Каждый запрос задается отрезком вершин [l; r], требуется посчитать количество его подотрезков [x; y] (l ≤ x ≤ y ≤ r) таких, что граф, в котором оставили только вершины из отрезка [x; y] (включая и x, и y) и ребра между этими вершинами, является двудольным.

Входные данные

В первой строке находятся два целых числа n и m (1 ≤ n ≤ 3·105, 1 ≤ m ≤ 3·105) — количество вершин и ребер графа.

Следующие m строк содержат информацию о ребрах графа. В i-й из этих строк содержится два целых числа ai, bi, (1 ≤ ai, bi ≤ n; ai ≠ bi), обозначающие ребро между вершинами ai и bi. Гарантируется, что в данном графе нет реберно-простых циклов четной длины.

Следующая строка содержит одно целое число q (1 ≤ q ≤ 3·105) — количество запросов.

Следующие q строк содержат запросы. В i-й из этих строк содержится два целых числа li, ri (1 ≤ li ≤ ri ≤ n) — параметры запроса.

Выходные данные

Выведите q чисел, каждое в новой строке: i-е из них равно количеству таких подотрезков [x; y] (li ≤ x ≤ y ≤ ri), что граф, в котором оставили только вершины из отрезка [x; y] и ребра между этими вершинами, является двудольным.

Примечание

Первый пример расположен на следующей картинке:

На первый запрос подходят все подотрезки отрезка [1; 3], кроме него самого.

На второй запрос подходят все подотрезки отрезка [4; 6], кроме него самого.

На третий запрос подходят все подотрезки отрезка [1; 6], кроме [1; 3], [1; 4], [1; 5], [1; 6], [2; 6], [3; 6], [4; 6].

Второй пример расположен на следующей картинке:

B. Очередь

Бинарный поиск Структуры данных *1500

В очереди в аэропорту стоят n моржей. Они пронумерованы начиная с конца очереди: морж с номером 1 стоит в конце очереди, а морж с номером n — в начале. Морж с номером i имеет возраст ai.

Морж с номером i становится недовольным, если впереди него стоит более молодой морж, то есть существует такое j (i < j), что ai > aj. Недовольство i-го моржа равно количеству моржей между ним и самым удаленным моржом впереди, который моложе i-го. То есть чем дальше от него стоит этот молодой морж, тем сильнее недовольство.

Менеджер аэропорта попросил вас посчитать для каждого из n моржей в очереди его недовольство.

Входные данные

В первой строке записано целое число n (2 ≤ n ≤ 105) — количество моржей в очереди. Во второй строке записаны целые числа ai (1 ≤ ai ≤ 109).

Обратите внимание, что некоторые моржи могут иметь одинаковый возраст, но для возникновения недовольства необходимо, чтобы тот морж, что ближе к началу, был строго моложе другого.

Выходные данные

Выведите n чисел: если i-ый морж всем доволен, выведите «-1» (без кавычек). Иначе выведите недовольство i-го моржа: количество моржей, которые стоят между ним и самым удаленным моржом впереди него, который более молод.

B. Два торта

Бинарный поиск Перебор реализация *1200

В самый канун Нового года Иван решил приступить к оформлению праздничного стола. Иван купил два торта и разрезал их на части: первый торт был разрезан на a кусков, а второй — на b кусков.

Иван знает, что на празднование соберется n человек (включая его самого), так что он должен разложить n тарелок для торта. Теперь его задача — распределить торты по тарелкам. Иван хочет это сделать таким образом, чтобы выполнялись следующие условия:

  1. каждый кусок торта лежит на какой-либо тарелке;
  2. на каждой тарелке лежит хотя бы один кусок торта;
  3. ни на одной тарелке не лежат куски обоих тортов.

Чтобы сделать гостей чуточку счастливее, Иван хочет распределить торты так, чтобы минимальное количество кусков торта на тарелке было максимально. Формально, Иван хочет знать такое максимальное число x, что он может распределить торты по тарелкам, соблюдая все вышеприведенные условия, и на каждой тарелке будет хотя бы x кусков торта.

Помогите Ивану найти это число x!

Входные данные

В первой строке записаны три целых числа n, a и b (1 ≤ a, b ≤ 100, 2 ≤ n ≤ a + b) — количество тарелок, количество кусков первого торта и количество кусков второго торта, соответственно.

Выходные данные

Выведите такое максимальное число x, что Иван может распределить распределить торты по тарелкам таким образом, чтобы на каждой было не меньше x кусков торта.

Примечание

В первом примере есть только один способ распределить, на каждой тарелке будет ровно по 1 куску торта.

Во втором примере можно положить на первые две тарелки 3 и 4 куска первого торта, а на оставшиеся — по 5 кусков второго торта. Минимальное число кусков на тарелке — 3. Существуют и другие валидные распределения.

E. Простой подарок

Бинарный поиск математика теория чисел поиск в глубину и подобное *2400 meet-in-the-middle

— Мужик, у тебя простые числа есть?

— Нету.

— На, мужик, простые числа.

Пингвин

В отличие от Гриши, который вел себя хорошо, Олег за весь год так и не научился решать задачи на теорию чисел. Поэтому вместо Деда Мороза к нему пришел его сокомандник Андрей и торжественно вручил ему множество из n различных простых чисел вместе с простой задачей: Олегу необходимо найти k-е в порядке возрастания положительное целое число, среди простых делителей которого встречаются числа только из этого множества.

Входные данные

В первой строке задано целое число n (1 ≤ n ≤ 16) — количество чисел во множестве.

Во второй строке n различных простых чисел p1, p2, ..., pn (2 ≤ pi ≤ 100) — числа во множестве. Гарантируется, что числа идут в порядке возрастания.

В третьей строке задано число k (1 ≤ k). Гарантируется, что k-е в порядке возрастания положительное целое число, среди простых делителей которого встречаются числа только из данного множества не превосходит 1018.

Выходные данные

Выведите k-е в порядке возрастания число, удовлетворяющее условию. Гарантируется, что оно не превосходит 1018.

Примечание

Для первого примера последовательность с простыми делителями из набора {2, 3, 5} выглядит так:

(1, 2, 3, 4, 5, 6, 8, ...)

Седьмым по счету числом (в 1-индексации) как раз и будет восьмерка.

D. Слишком простые задачи

Бинарный поиск Перебор Структуры данных *1800 жадные алгоритмы сортировки

Вы готовитесь к экзамену по теории расписаний. Экзамен продлится ровно T миллисекунд. На экзамене вас ждут n задач. Каждую задачу номер i вы сможете либо полностью решить, затратив на это ti миллисекунд, либо не решить вовсе, не потратив на нее ни миллисекунды. Времени на отдых после решения задачи вам не потребуется.

К несчастью, ваш преподаватель считает, что некоторые задачи слишком просты для вас, поэтому каждой задаче i сопоставил целое число ai, обозначающее, что задача i может принести балл за ее решение только в том случае, если вы решите не более ai задач всего (включая задачу i).

Формально, пусть за экзамен вы решите некоторое множество задач p1, p2, ..., pk. Ваш итоговый балл за экзамен s будет равен количеству таких j от 1 до k, что k ≤ apj.

Догадавшись, что настоящая первая задача экзамена уже перед вами, вы хотите заранее выбрать подмножество задач для решения на экзамене, которое принесет вам наибольший возможный итоговый балл. Не забудьте, что экзамен ограничен по времени, и вам должно хватить времени на решение всех выбранных задач. Если существуют разные множества задач, ведущие к наибольшему итоговому баллу, вас устроит любое из них.

Входные данные

Первая строка содержит два целых числа n и T (1 ≤ n ≤ 2·105; 1 ≤ T ≤ 109) — количество задач на экзамене и длительность экзамена в миллисекундах, соответственно.

Каждая из следующих n строк содержит пару целых чисел ai и ti (1 ≤ ai ≤ n; 1 ≤ ti ≤ 104). Задачи пронумерованы от 1 до n.

Выходные данные

В первой строке выведите целое число s — наибольший возможный итоговый балл.

Во второй строке выведите целое число k (0 ≤ k ≤ n) — количество задач, которые вам следует решить.

В третьей строке выведите k различных целых чисел p1, p2, ..., pk (1 ≤ pi ≤ n) — номера задач, которые вам следует решить, в любом порядке.

Если наилучших множеств задач несколько, выведите любое из них.

Примечание

В первом примере следует решить задачи с номерами 3, 1 и 4. В таком случае вы потратите 80 + 100 + 90 = 270 миллисекунд, уложившись в длительность экзамена, 300 миллисекунд (и даже оставив себе 30 миллисекунд на отдых). Задачи 3 и 1 принесут вам по одному баллу, а задача 4 — не принесет. В итоге вы наберете два балла.

Во втором примере катастрофически не хватает времени на решение даже одной задачи.

В третьем примере вы идеально успеваете решить обе задачи за 42 + 58 = 100 миллисекунд и с улыбкой сдать работу преподавателю.

B. Прекрасное число

Бинарный поиск Перебор реализация дп теория чисел *1100

Будем называть положительное целое число прекрасным, если и только если сумма его цифр равна \(10\). Вам дано целое число \(k\), найдите \(k\)-е по величине прекрасное положительное целое число.

Входные данные

Единственная строка содержит одно целое число \(k\) (\(1 \leq k \leq 10\,000\)).

Выходные данные

Выведите \(k\)-е по величине прекрасное число.

Примечание

Первое прекрасное число равно \(19\), а второе — \(28\).

G. Список чисел

Бинарный поиск Перебор Комбинаторика математика теория чисел *2200 битмаски

Обозначим за L(x, p) бесконечную последовательность таких целых чисел y, что gcd(p, y) = 1 и y > x (где gcd — наибольший общий делитель двух чисел), расположенных в порядке возрастания. Элементы L(x, p) пронумерованы, начиная с 1; например, 9, 13 и 15 — соответственно первый, второй и третий элементы L(7, 22).

Напишите программу, обрабатывающую t запросов. Каждый запрос задаётся тремя целыми числами x, p и k, а ответ на запрос — k-й элемент последовательности L(x, p).

Входные данные

В первой строке записано одно целое число t (1 ≤ t ≤ 30000) — количество запросов.

Далее следуют t строк. В i-й строке записаны три числа x, p и k для i-го запроса (1 ≤ x, p, k ≤ 106).

Выходные данные

Выведите t чисел, где i-е число — ответ на i-й запрос.

B. Производство снега

Бинарный поиск Структуры данных *1600

Алиса обожает снег! К сожалению, этой зиме уже пришел конец (мы надеемся), и Алисе придется ждать до следующей зимы. Чтобы порадовать Алису, Боб купил ей подарок — большой генератор снега. Он планирует производить некоторое количество снега каждый день. Утром дня номер i он сделает отдельный сугроб объема Vi в саду Алисы.

Каждый день каждый существующий сугроб немного уменьшается в размерах из-за таяния. А именно, если температура в некоторый день равна Ti, то каждый существующий сугроб уменьшит свой объем на Ti. Если в результате этого объем уменьшится до нуля, то сугроб полностью исчезнет. Все сугробы тают независимо друг от друга.

Обратите внимание, что сугроб, произведенный в день i, тоже теряет часть своего объема в этот день. В том числе возможно такое, что в конце некоторых дней нет ни одного сугроба снега.

Вам даны изначальные размеры сугробов и температура в каждый из дней. Определите общий объем растаявшего снега в каждый из дней.

Входные данные

Первая строка содержит одно целое число N (1 ≤ N ≤ 105) — количество дней.

Вторая строка содержит N целых чисел V1, V2, ..., VN (0 ≤ Vi ≤ 109), где Vi — начальный объем сугроба, который будет произведен утром дня номер i.

Третья строка содержит N целых чисел T1, T2, ..., TN (0 ≤ Ti ≤ 109), где Ti — температура в день номер i.

Выходные данные

Выведите одну строку с N целыми числами, где i-е число будет обозначать общий объем снега, растаявшего в день номер i.

Примечание

В первом примере Боб сначала сделает сугроб объема 10, который растает до размера 5 в тот же день. Во второй день он сделает еще один сугроб объема 10. Так как в этот день немного теплее, первый сугроб растает до конца, а второй сугроб уменьшится до размера 3. В конце второго дня останется только один сугроб размера 3. В третий день Боб сделает сугроб меньше, чем обычно, но, поскольку температура тоже уменьшилась, до конца дня доживут оба сугроба.

B. Трехуровневый лазер

Бинарный поиск *1600 жадные алгоритмы

Атом вещества X может находиться в n различных состояниях с энергиями E1 < E2 < ... < En. Аркадий хочет построить лазер на этом веществе по трехуровневой схеме. Опишем упрощенно эту схему.

Выбираются три различных состояния атома i, j и k, где i < j < k. Затем происходит следующий процесс:

  1. изначально атом находится в состоянии i,
  2. затрачивается энергия Ek - Ei для перевода атома в состояние k,
  3. атом испускает фотон с полезной энергией Ek - Ej и переходит в состояние j,
  4. атом самопроизвольно переходит в состояние i, теряя энергию Ej - Ei,
  5. процесс повторяется с пункта 1.

Коэффициентом полезного действия (КПД) процесса назовем величину , то есть отношение полезной энергии фотона к затраченной энергии.

Из-за некоторых ограничений Аркадий может выбрать лишь такие три состояния, для которых Ek - Ei ≤ U.

Помогите Аркадию найти максимально возможный КПД процесса среди таких вариантов.

Входные данные

В первой строке следуют два целых числа n и U (3 ≤ n ≤ 105, 1 ≤ U ≤ 109) — количество состояний и максимальная допустимая разность между Ek и Ei.

Во второй строке следует последовательность целых чисел E1, E2, ..., En (1 ≤ E1 < E2... < En ≤ 109). Гарантируется, что все Ei заданы в порядке возрастания.

Выходные данные

Если не существует ни одного способа для выбора состояний, выведите -1.

В противном случае выведите одно вещественное число η — максимально возможный КПД.

Ваш ответ будет зачтен, если его относительная или абсолютная погрешность не превосходит 10 - 9.

Формально, пусть ваш ответ равен a, а ответ жюри равен b. Ваш ответ будет зачтен, если .

Примечание

В первом примере можно выбрать уровни 1, 2 и 3. В этом случае КПД равен .

Во втором примере можно выбрать уровни 4, 5 и 9. В этом случае КПД равен .

A. Лестницы и лифты

Бинарный поиск *1600

В \(30XX\) году участников чемпионата мира по спортивному ориентированию поселили в одном огромном отеле. Отель состоит из \(n\) этажей. Каждый этаж разбит на \(m\) отсеков, соединенных одним длинным коридором. Если пронумеровать отсеки каждого этажа от \(1\) до \(m\) в порядке перемещения по коридору, то все отсеки с одинаковыми номерами будут находиться строго друг под другом. Таким образом, отель можно представлять себе в виде прямоугольника высоты \(n\) и ширины \(m\). Отсеки будем описывать парами чисел \((i, j)\), где \(i\) — номер этажа, \(j\) — номер отсека на этаже.

Гости могут перемещаться между по коридорам между отсеками одного этажа, а также по лестницам и лифтам между этажами. Каждая лестница либо лифт занимает все отсеки \((1, x)\), \((2, x)\), \(\ldots\), \((n, x)\) для некоторого номера \(x\) в диапазоне от \(1\) до \(m\). В отсеках, не занятых лестницами или лифтами, находятся комнаты для гостей. Перемещение между двумя соседними отсеками на этаже, а также перемещение по лестнице между двумя соседними этажами занимает одну единицу времени. При перемещении на лифте за одну единицу времени можно проехать до \(v\) этажей в любом направлении. Временем на ожидание лифта, а также на вход и выход из лифта в рамках данной задачи можно пренебречь.

Вам требуется обработать \(q\) запросов. Каждый запрос имеет вид «какое наименьшее время требуется, чтобы попасть из комнаты \((x_1, y_1)\) в комнату \((x_2, y_2)\)

Входные данные

Первая строка содержит пять целых чисел \(n, m, c_l, c_e, v\) (\(2 \leq n, m \leq 10^8\), \(0 \leq c_l, c_e \leq 10^5\), \(1 \leq c_l + c_e \leq m - 1\), \(1 \leq v \leq n - 1\)) — количество этажей и отсеков на каждом этаже, количество лестниц, количество лифтов, и максимальная скорость лифта соответственно.

Вторая строка содержит \(c_l\) целых чисел \(l_1, \ldots, l_{c_l}\) в возрастающем порядке (\(1 \leq l_i \leq m\)), описывающих положения лестниц. Если \(c_l = 0\), вторая строка является пустой.

Третья строка содержит \(c_e\) целых чисел \(e_1, \ldots, e_{c_e}\) в возрастающем порядке, описывающих положения лифтов в аналогичном формате. Гарантируется, что все числа \(l_i\) и \(e_i\) являются различными.

Четвертая строка содержит одно целое число \(q\) (\(1 \leq q \leq 10^5\)) — количество запросов.

Следующие \(q\) строк описывают запросы. Каждая из этих строк содержит четыре целых числа \(x_1, y_1, x_2, y_2\) (\(1 \leq x_1, x_2 \leq n\), \(1 \leq y_1, y_2 \leq m\)) — координаты начального и конечного отсека для этого запроса. Гарантируется, что начальный и конечный отсеки различны, а также что в них находятся гостевые комнаты, т.е. \(y_1\) и \(y_2\) не встречаются среди чисел \(l_i\) и \(e_i\).

Выходные данные

Выведите \(q\) целых чисел по одному на строке — ответы на запросы.

Примечание

В первом запросе оптимальный путь — дойти до лифта в отсеке 5 за четыре единицы времени, подняться на пятый этаж за две единицы времени и прийти на финиш за еще одну единицу.

Во втором запросе выгоднее также воспользоваться лифтом, а в третьем запросе — лестницей в отсеке 2.

B. Распределение ресурсов

Бинарный поиск реализация сортировки *1700

В распоряжении одного отдела одной софтверной компании есть \(n\) серверов разной мощности. Пронумеруем сервера целыми числами от \(1\) до \(n\). Будем считать, что технические характеристики \(j\)-го сервера в компании полностью определяются целочисленным количеством \(c_j\) условных единиц ресурса.

Для решения текущих рабочих задач необходимо развернуть на данных серверах два сервиса — \(S_1\) и \(S_2\), которые будут обрабатывать входящие запросы. Обработка входящих запросов сервиса \(S_i\) требует \(x_i\) единиц ресурса сервера.

Действие происходит в довольно продвинутой компании, поэтому каждый сервис может быть развёрнут не на одном сервере, а одновременно на нескольких. Если сервис \(S_i\) развёрнут на \(k_i\) серверах, то нагрузка равномерно распределяется между этими серверами, и на каждом сервере используется только \(x_i / k_i\) (возможно, нецелое число) единиц ресурса.

Каждый сервер в компании может быть либо не быть использован вообще, либо под какой-то один из сервисов (но не под оба одновременно). Сервис не должен использовать больше ресурсов, чем доступно на сервере.

Определите, возможно ли развернуть оба сервиса, используя данный набор серверов, и если да, то определите, какие серверы следует отвести под какой сервис.

Входные данные

В первой строке входных данных находятся три целых числа \(n\), \(x_1\), \(x_2\) (\(2 \leq n \leq 300\,000\), \(1 \leq x_1, x_2 \leq 10^9\)) — количество серверов в распоряжении у отдела и требуемое количество ресурсов, необходимое для каждого из сервисов.

Во второй строке находятся \(n\) целых чисел \(c_1, c_2, \ldots, c_n\) (\(1 \leq c_i \leq 10^9\)), разделённых пробелами — мощности серверов.

Выходные данные

Если развернуть оба сервиса на данном наборе серверов невозможно, выведите единственное слово «No» (без кавычек).

В противном случае в первой строке выведите слово «Yes» (без кавычек).

Во второй строке выведите два целых числа \(k_1\) и \(k_2\) (\(1 \leq k_1, k_2 \leq n\)) — количества серверов, отведённых под каждый из сервисов.

В третьей строке выведите \(k_1\) целых чисел — номера серверов, которые следует отвести под первый сервис.

В четвёртой строке выведите \(k_2\) целых чисел — номера серверов, которые следует отвести под второй сервис.

Ни один номер сервера не должен встречаться среди выведенных вами номеров дважды. Если возможных ответов несколько, разрешается вывести любой из них.

Примечание

В первом тесте из условия на каждом из серверов 1, 2 и 6 будет использовано по \(8 / 3 = 2.(6)\) единиц ресурса, а на каждом из серверов 5 и 4 — по \(16 / 2 = 8\) единиц ресурса.

Во втором тесте из условия на первом сервере будет использовано \(20\) единиц ресурса, а на оставшихся серверах — по \(32 / 3 = 10.(6)\) единиц ресурса.

F. Параметрическая циркуляция

Бинарный поиск Потоки *3100

Вова недавно познакомился с таким комбинаторным объектом, как циркуляция в графе. Напомним определение: пусть задан ориентированный граф \(G = (V, E)\). Тогда циркуляцией \(f\) называется такой набор неотрицательных действительных чисел \(f_e\) (\(e \in E\)), что для любой вершины \(v \in V\) выполняется условие консервативности

\(\)\sum\limits_{e \in \delta^{-}(v)} f_e = \sum\limits_{e \in \delta^{+}(v)} f_e\(\)

где \(\delta^{+}(v)\) обозначает множество рёбер, входящих в вершину \(v\), а \(\delta^{-}(v)\) — множество рёбер, исходящих из вершины \(v\). Иными словами, в любую вершину входит столько же потока, сколько из неё исходит.

Будем также называть допустимой \(lr\)-циркуляцией такую циркуляцию \(f\), что для любого ребра выполнено соотношение \(l_e \leq f_e \leq r_e\), где \(l_e\) и \(r_e\) для каждого ребра \(e \in E\) это два неотрицательных действительных числа, задающих нижнюю и верхнюю границу для величины циркуляции по ребру \(e\).

Вова полон исследовательского духа, а ещё он не умеет вовремя останавливаться при обдумывании новых тем, с которыми он познакомился. Сейчас он размышляет над следующим естественным вопросом — пусть граф фиксирован, а каждая величина \(l_e\) и \(r_e\) сама по себе является линейной функцией действительного переменного \(t\):

\(\)l_e(t) = a_e t + b_e\(\) \(\)r_e(t) = c_e t + d_e\(\)

Обратите внимание, переменная \(t\)общая для всех рёбер.

Предположим, что \(t\) выбирается случайным образом из равномерного распределения на отрезке \([0, 1]\). Какова тогда вероятность, что в данном графе существует допустимая \(lr\)-циркуляция?

Входные данные

В первой строке входных данных находятся два целых числа \(n\), \(m\) (\(1 \leq n \leq 1000\), \(1 \leq m \leq 2000\)).

В последующих \(m\) строках даны описания рёбер графа в формате \(u_e\), \(v_e\), \(a_e\), \(b_e\), \(c_e\), \(d_e\) (\(1 \leq u_e, v_e \leq n\), \(-10^4 \leq a_e, c_e \leq 10^4\), \(0 \leq b_e, d_e \leq 10^4\)), где \(u_e\) и \(v_e\) — соответственно начальная и конечная вершина ребра \(e\), а оставшиеся 4 числа задают линейные функции для нижней и верхней границы величины циркуляции.

Гарантируется, что для любого значения \(t \in [0, 1]\) и для любого ребра \(e \in E\) выполнено условие \(0 \leq l_e(t) \leq r_e(t) \leq 10^4\).

Выходные данные

Выведите единственное действительное число — вероятность того, что в данном графе существует допустимая \(lr\)-циркуляция при условии, что \(t\) выбирается из равномерного распределения на отрезке \([0, 1]\). Ваш ответ будет засчитан, если его абсолютная погрешность относительно ответа жюри не превосходит \(10^{-6}\).

Примечание

В первом тесте из условия циркуляция из условий консервативности следует, что величина \(f_e\) должна быть одинаковой по всем трём рёбрам. Вне зависимости от выбора \(t\) единственное допустимое значение циркуляции по последнему ребру — это \(4\), поэтому искомая вероятность есть

\(\)P(4 \in [3, -4t + 7]~~\&~~4 \in [-2t + 5, t + 6]) = 0.25\(\)

B. Рекурсивные запросы

Бинарный поиск Структуры данных поиск в глубину и подобное *1300

Определим две функции f и g от натурального числа.

Вам необходимо обработать Q запросов. В каждом запросе вам будет дано три целых числа l, r и k. Вам необходимо вывести количество чисел x, лежащих между l и r включительно таких, что g(x) = k.

Входные данные

В первой строке содержится целое число Q (1 ≤ Q ≤ 2 × 105) — количество запросов.

В следующих Q строках содержатся описания запросов. В каждой из этих строк содержатся 3 целых числа l, r и k (1 ≤ l ≤ r ≤ 106, 1 ≤ k ≤ 9).

Выходные данные

Для каждого запроса выведите ответ на него в отдельной строке.

Примечание

В первом тестовом примере:

  • g(33) = 9 так как g(33) = g(3 × 3) = g(9) = 9
  • g(47) = g(48) = g(60) = g(61) = 6
  • Между 47 и 55 подходящих чисел нет.
  • g(4) = g(14) = g(22) = g(27) = g(39) = g(40) = g(41) = g(58) = 4

D. Дерево

Бинарный поиск Деревья дп *2200

Дана вершина дерева с номером 1 и весом 0. Обозначим за cnt количество вершин в дереве в любой момент (изначально cnt равно 1). Необходио обработать Q запросов, каждый из которых имеет один из двух типов:

  • Добавить новую вершину (с номером cnt + 1) и весом W и провести ребро между вершиной R и этой вершиной.
  • Выведите максимальную длину последовательности вершин такой, что она
    1. Начинается с вершины R.
    2. Каждая следующая вершина является предком предыдущей вершины
    3. Сумма весов вершин в последовательности не превосходит X.
    4. Для любой пары i, j вершин, которые являются соседними в последовательности и вершина i является предком вершины j, выполнено w[i] ≥ w[j], а также не существует вершины k на простом пути из i в j такой, что w[k] ≥ w[j]

Дерево подвешено за вершину 1 в любой момент.

Учтите, что запросы заданы в зашифрованном виде.

Входные данные

В первой строке задано количество запросов Q (1 ≤ Q ≤ 400000).

Обозначим за last ответ на предыдущий запрос типа 2 (изначально last равно 0).

Каждая из следующих Q строк содержит описание запроса в одном из следующих форматов:

  • 1 p q (1 ≤ p, q ≤ 1018): Это запрос первого типа, где и . Гарантируется, что 1 ≤ R ≤ cnt и 0 ≤ W ≤ 109.
  • 2 p q (1 ≤ p, q ≤ 1018): Это запрос второго типа, где и . Гарантируется, что 1 ≤ R ≤ cnt и 0 ≤ X ≤ 1015.

обозначает побитовый XOR чисел a и b.

Гарантируется, что есть хотя бы один запрос второго типа.

Выходные данные

Для каждого запроса второго типа выведите ответ на него в отдельной строке.

Примечание

В первом тестовом примере,

last = 0

- Запрос 1: 1 1 1, Вершина 2 с весом 1 подвешивается к вершине 1.

- Запрос 2: 2 2 0, Никакая последовательность вершин, начинающаяся с вершины 2, не имеет сумму весов не более 0. last = 0

- Запрос 3: 2 2 1, Ответ равен 1, так как требуемая последователньость равна {2}. last = 1

- Запрос 4: 1 2 1, Вершина 3 с весом 1 подвешивается к вершине 2.

- Запрос 5: 2 3 1, Ответ равен 1, так как требуемая последовательность равна {3}. Вершина 2 не может быть добавлена к последовательности, так как сумма весов должна быть не более 1. last = 1

- Запрос 6: 2 3 3, Ответ равен 2, так как требуемая последовательность будет равна {3, 2}. last = 2

C. Подбираем тесты

Бинарный поиск Перебор Конструктив *1700

Определим m-свободную матрицу, как бинарную (то есть содержащую только символы 1 и 0) матрицу такую, что любая квадратная подматрица m × m этой матрицы содержит хотя бы один ноль.

Рассмотрим следующую задачу:

Даны два целых числа n и m. Постройте m-свободную квадратную матрицу размера n × n такую, что количество символов 1 в ней максимально. Выведите максимальное количество символов 1 в такой матрице.

Эту задачу вам решать совсем не обязательно. Вместо этого вы поможете составить к ней тесты.

Задано t чисел x1, x2, ..., xt. Для каждого найдите два целых числа ni и mi (ni ≥ mi) такие, что ответ для вышеприведенной задачи равен в точности xi, если установить n = ni и m = mi.

Входные данные

В первой строке задано одно целое число t (1 ≤ t ≤ 100) — количество тестов, которые вам нужно составить.

Затем следуют t строк, в i-й записано одно целое число xi (0 ≤ xi ≤ 109).

Обратите внимание, во взломах можно использовать только t = 1.

Выходные данные

На каждый тест, который вам нужно составить, выведите два целых числа ni и mi (1 ≤ mi ≤ ni ≤ 109) такие, что максимальное количество символов 1 в mi-свободной матрице размера ni × ni в точности равно xi. Если решений несколько, выведите любое; если невозможно построить такой тест, то выведите единственной число  - 1.

C. Удобно для всех

Бинарный поиск *1600

В далеком будущем на Земле сутки длятся n часов, и соответственно, есть n часовых поясов. Местное время в соседних часовых поясах различается на час. При записи местного времени для числа часов используются числа от 1 до n, т.е. времени «0 часов» не бывает, вместо этого бывает «n часов». Когда местное время в 1-м часовом поясе 1 час, местное время в i-м часовом поясе i часов.

Некоторая платформа по проведению онлайн-соревнований по программированию хочет провести соревнование длиной в один час, причем так, чтобы начало соревнования совпало бы с началом какого-то часа (во всех часовых зонах). Платформа знает, что из i-го часового пояса в соревновании хотят принять участие ai человек. Каждый человек примет участие, если соревнование начнется не раньше s часов 00 минут местного времени (по часовому поясу этого человека), а закончится — не позже f часов 00 минут местного времени. Величины s и f одинаковы для всех часовых поясов. Если соревнование начинается в f часов 00 минут местного времени люди участвовать в нем не будут.

Помогите онлайн-платформе выбрать такой час, когда наибольшее число людей примут участие в соревновании.

Входные данные

В первой строке записано одно целое число n (2 ≤ n ≤ 100 000) — длина суток в часах.

Во второй строке через пробел записаны n натуральных чисел a1, a2, ..., an (1 ≤ ai ≤ 10 000), где ai — количество людей в i-м часовом поясе, которые хотят принять участие в соревновании.

В третьей строке записаны через пробел два натуральных числа s и f (1 ≤ s < f ≤ n).

Выходные данные

В единственной строке выведите одно целое число — время начала соревнований по местному времени первого часового пояса, такое, чтобы в нём поучаствовало как можно больше людей. Если ответов несколько, выведите минимальный.

Примечание

В первом примере оптимально начать соревнование в 3 часа по времени первого часового пояса. Тогда во втором часовом поясе будет 1 час, а в третьем — 2 часа. Только один человек из первого часового пояса не примет участия в соревновании.

Во втором примере в соревновании примут участие люди из третьего и четвертого часовых поясов.

E. Максимизируй!

Бинарный поиск Тернарный поиск *1800 жадные алгоритмы

Дано мультимножество S из натуральных чисел, изначально пустое. С ним производятся операции двух типов:

  1. Добавить в S натуральное число, не меньшее всех уже лежащих в множестве элементов.
  2. Найти непустое подмножество s множества S такое, что значение максимально. Здесь max(s) обозначает максимум среди всех элементов s,  — среднее арифметическое всех элементов s. Вывести величину .
Входные данные

В первой строке задано единственное натуральное число Q (1 ≤ Q ≤ 5·105) — количество операций. В каждой из следующих Q строк следует описание очередной операции. Для операций типа 1 в строке будут записаны два числа вида 1 и x, где x (1 ≤ x ≤ 109) — число, которое нужно добавить в S. Гарантируется, что x будет не меньше любого элемента S на данный момент. Для операции типа 2 в соответствующей строке будет записано ровно одно число 2.

Гарантируется, что первая операция будет иметь тип 1, то есть множество S не будет пустым при поступлении операций типа 2.

Выходные данные

Выведите ответ на каждую операцию второго типа в том порядке, в котором эти операции шли во входных данных. Каждое число должно располагаться на отдельной строке.

Ваш ответ будет считаться правильным, если каждый из ваших ответов имеет абсолютную или относительную ошибку не больше 10 - 6.

Формально, пусть ваш ответ равен a, а ответ жюри — b. Ваш ответ будет считаться правильным, если .

D. Алена и обогреватель

Бинарный поиск реализация *1600

"Мы пробовали одиночное заключение, утопление и прослушивание группы Just In Beaver, но безрезультатно. Нам нужно что-то экстремальное."

"Маленькой Алене подарили массив на день рождения..."

Пусть есть массив a длиной n и два числа l и r (l ≤ r). Тогда массив b имеет размер n и получается следующим образом:

b1 = b2 = b3 = b4 = 0.

Для всех 5 ≤ i ≤ n:

  • bi = 0 если ai, ai - 1, ai - 2, ai - 3, ai - 4 > r и bi - 1 = bi - 2 = bi - 3 = bi - 4 = 1
  • bi = 1 если ai, ai - 1, ai - 2, ai - 3, ai - 4 < l и bi - 1 = bi - 2 = bi - 3 = bi - 4 = 0
  • bi = bi - 1 иначе

Даны массивы a и b' одинакового размера. Найдите числа l и r (l ≤ r) такие, что применив описанный выше алгоритм, мы получим массив b, равный массиву b'.

Гарантируется, что ответ существует.

Входные данные

В первой строке задано целое число n (5 ≤ n ≤ 105) — размер массивов a и b'.

Во второй строке входных данных задаются n целых чисел a1, ..., an ( - 109 ≤ ai ≤ 109) — элементы массива a.

В третьей строке входных данных задается строка из n символов, состоящая из 0 и 1 — элементы массива b'. Обратите внимание, что они не разделены пробелами.

Выходные данные

В единственной строке выведите два целых числа l и r ( - 109 ≤ l ≤ r ≤ 109), удовлетворяющие условиям, описанным выше.

Если подходящих пар значений несколько, выведите любую из них.

Гарантируется, что ответ существует.

Примечание

В первом тестовом примере подходит любая пара l и r, где 6 ≤ l ≤ r ≤ 109, в таком случае b5 = 1, так как a1, ..., a5 < l.

D. Отбой

Бинарный поиск Перебор жадные алгоритмы сортировки *2300

Преподаватели Летней Какой-нибудь Школы укладывают учащихся спать.

Домик состоит из n комнат, в каждой из которых должны жить ровно b школьников. Однако к моменту отбоя оказалось, что далеко не каждый школьник находится в своей комнате. Комнаты расположены в ряд и пронумерованы по порядку от 1 до n, изначально в i-й комнате находятся ai школьников. При этом, в домике находятся все проживающие в нём школьники и только они, то есть, a1 + a2 + ... + an = nb. В домике также живут 2 преподавателя.

Процесс укладывания школьников спать устроен следующим образом. Первый преподаватель встаёт у комнаты 1 и движется в направлении комнаты n, а второй преподаватель — у комнаты n и движется в сторону комнаты 1. Закончив укладывать очередную комнату, преподаватель переходит к следующей, если n нечётно, то среднюю комнату укладывает спать только первый преподаватель. Как только все школьники уложены спать, процесс заканчивается.

Когда преподаватель заходит в комнату, он считает количество школьников внутри, затем тушит свет и закрывает комнату. Дополнительно, если количество школьников внутри не совпадает с b, этот преподаватель записывает номер комнаты в свою записную книжку и всё равно тушит свет и закрывает комнату. Преподаватели очень торопятся составить учебный план на завтра, поэтому игнорируют, кто именно находится в комнате, считая только количество школьников.

Пока преподаватели находятся в комнатах, школьники могут перебегать между ещё не закрытыми и не укладываемыми прямо сейчас комнатами, причём школьник успевает перебежать не более чем на d комнат (то есть, перемещается в комнату с номером, который отличается не более чем на d). Также, после (или вместо) перемещения любой школьник может спрятаться под кровать в той комнате, в которой находится, тогда преподаватель его не заметит при подсчёте. В любой комнате под кроватями могут спрятаться сколько угодно школьников одновременно.

Формально говоря, происходит следующий процесс:

  • Объявляется отбой, к этому моменту в комнате i находится ai школьников.
  • Каждый школьник может переместиться в другую комнату, но не далее, чем на d от изначального положения, либо остаться в текущей комнате. После этого желающие спрятаться под кровать прячутся.
  • В комнату 1, а также в комнату n заходят преподаватели и укладывают спать всех находящимся там школьников, после чего запирают комнату (после этого нельзя ни войти в комнату, ни выйти из неё).
  • Школьники из комнат с номерами от 2 до n - 1 могут переместиться в другие комнаты, убегая не далее, чем на d комнат от своего текущего местоположения, либо остаться в текущей комнате. Желающие спрятаться под кровать прячутся.
  • Из комнаты 1 в комнату 2, и из комнаты n в комнату n - 1 переходит преподаватель.
  • Процесс продолжается, пока во всех комнатах школьники не будут уложены спать.

Пусть первый преподаватель записал x1 комнат с видимым нарушением численности (комнат, где число не спрятавшихся школьников не равно b), а второй x2. Школьники знают, что директор смены будет слушать жалобы на безобразие во время отбоя не более, чем от одного преподавателя домика, поэтому хотят действовать таким образом, чтобы максимальное из чисел xi было как можно меньше. Помогите им определить, какое минимальное значение эта величина может принимать при оптимальных действиях школьников.

Входные данные

В первой строке записаны три целых числа n, d и b (2 ≤ n ≤ 100 000, 1 ≤ d ≤ n - 1, 1 ≤ b ≤ 10 000) — количество комнат в домике, максимальное количество комнат, которые успевает пробежать школьник, пока преподавателя нет в коридоре, и требуемое количество школьников в одной комнате.

Во второй находятся n целых чисел a1, a2, ..., an (0 ≤ ai ≤ 109), i-е из которых соответствует количеству школьников в i-й комнате перед объявлением отбоя.

Гарантируется, что a1 + a2 + ... + an = nb.

Выходные данные

Выведите одно число — минимальное возможное значение максимального xi.

Примечание

В первом примере первые три комнаты посетит первый преподаватель, а последние две — второй. Одним из оптимальных решений является следующее: на первом шаге три школьника должны перебежать из комнаты 5 в комнату 4, на втором шаге два из них должны перебежать в комнату 3 и одному из них следует там спрятаться. Тем самым недовольство первого преподавателя вызовет только комната 2, а второй преподаватель и вовсе не встретит никаких нарушений.

Во втором примере одной из оптимальных стратегий является следующая: на первом шаге все школьники из комнаты 1 прячутся, а все школьники из комнаты 2 перебегают в комнату 3. На втором шаге один школьник перебегает из комнаты 3 в комнату 4, а ещё 5 прячутся. Тем самым первый преподаватель будет недоволен комнатами 1 и 2, а второй — комнатами 5 и 6.

E. Краны с водой

Бинарный поиск *2000 жадные алгоритмы сортировки

Рассмотрим систему из n кранов, наполняющих некоторую емкость водой. Кран i может быть настроен на подачу любого объема воды от 0 до ai мл в секунду (это число может быть действительным). Вода в i-м кране имеет температуру ti.

Если для каждого выставить, чтобы i-й кран наливал ровно xi мл воды в секунду, то температура воды в результате будет (если , то во избежание деления на ноль считаем температуру равной 0).

Вам необходимо выставить все краны таким образом, чтобы полученная температура была ровно T. Какой максимальный объем воды в секунду температуры T можно получить?

Входные данные

В первой строке записаны два целых числа n и T (1 ≤ n ≤ 200000, 1 ≤ T ≤ 106) — количество кранов с водой и желаемая температура воды соответственно.

Во второй строке записаны n целых чисел a1, a2, ..., an (1 ≤ ai ≤ 106), где ai — максимальный объем воды, который i-й кран может выдавать в секунду.

В третьей строке записаны n целых чисел t1, t2, ..., tn (1 ≤ ti ≤ 106) — температура воды в каждом кране.

Выходные данные

Выведите максимальный возможный объем воды температуры T, который можно получить в секунду (если невозможно получить воду желаемой температуры, то ответ равен 0).

Ваш ответ будет засчитан, если его абсолютная или относительная ошибка не будет превосходить 10 - 6.

G. Оборона крепости

Бинарный поиск Структуры данных *2000 жадные алгоритмы

Сегодня вам предстоит руководить эльфами-лучниками при обороне крепости от нападения толпы злых орков. С трёх сторон крепость защищена непроходимыми горами, а с оставшейся стороны расположена стена, состоящая из n секций. На текущий момент на i-й секции находится ai лучников. Известно, что каждый лучник, находящийся на секции i может поражать орков, атакующих секции на расстоянии не более r от данной, то есть секции с номерами j, такие что |i - j| ≤ r. В частности, если r = 0, то лучник может стрелять только в орков, атакующих секцию i.

Защищённостью секции i назовём суммарное количество лучников, которые могут стрелять в орков, атакующих данную секцию. Надёжностью плана обороны называется минимальная величина защищённости какой-либо из секций стены.

До атаки осталось совсем мало времени, и вы не успеваете перерасставить стрелков, уже расположенных на стене. Тем не менее, у вас имеется резерв из k лучников, которых можно распределить по секциям прозвольным образом. Вас интересует, какое максимальное значение надёжности плана обороны можно получить.

Входные данные

В первой строке входных данных записаны три целых числа n, r и k (1 ≤ n ≤ 500 000, 0 ≤ r ≤ n, 0 ≤ k ≤ 1018) — количество секций, из которых состоит стена, максимальное расстояние до других секций, на которое может стрелять каждый лучник и количество лучников в резерве соответственно. Во второй строке записаны n целых чисел a1, a2, ..., an (0 ≤ ai ≤ 109) — текущее количество лучников на каждой из секций.

Выходные данные

Выведите одно целое число — максимально возможное значение надёжности плана обороны, то есть максимально возможное минимальное значение защищённости секции стены при оптимальной расстановке имеющихся в резерве k лучников.

C. Грустные степени

Бинарный поиск математика *2100 теория чисел

Дано Q запросов формата (L, R).

Для каждого запроса необходимо посчитать количество таких x, что L ≤ x ≤ R и существуют натуральные числа a > 0, p > 1, для которых выполняется x = ap.

Входные данные

В первой строке задано число запросов Q (1 ≤ Q ≤ 105).

Следующие Q строк содержат по два числа L, R (1 ≤ L ≤ R ≤ 1018).

Выходные данные

Выведите Q чисел — ответы на запросы.

Примечание

В первом запросе подходят числа 1 и 4.

E2. Guard Duty (medium)

Бинарный поиск дп жадные алгоритмы сортировки *2200

Princess Heidi decided to give orders to all her K Rebel ship commanders in person. Unfortunately, she is currently travelling through hyperspace, and will leave it only at N specific moments t1, t2, ..., tN. The meetings with commanders must therefore start and stop at those times. Namely, each commander will board her ship at some time ti and disembark at some later time tj. Of course, Heidi needs to meet with all commanders, and no two meetings can be held during the same time. Two commanders cannot even meet at the beginnings/endings of the hyperspace jumps, because too many ships in one position could give out their coordinates to the enemy.

Your task is to find minimum time that Princess Heidi has to spend on meetings, with her schedule satisfying the conditions above.

Input

The first line contains two integers K, N (2 ≤ 2K ≤ N ≤ 500000, K ≤ 5000). The second line contains N distinct integers t1, t2, ..., tN (1 ≤ ti ≤ 109) representing the times when Heidi leaves hyperspace.

Output

Output only one integer: the minimum time spent on meetings.

Note

In the first example, there are five valid schedules: [1, 4], [6, 7] with total time 4, [1, 4], [6, 12] with total time 9, [1, 4], [7, 12] with total time 8, [1, 6], [7, 12] with total time 10, and [4, 6], [7, 12] with total time 7. So the answer is 4.

In the second example, there is only 1 valid schedule: [1, 2], [3, 4], [5, 6].

For the third example, one possible schedule with total time 6 is: [1, 3], [4, 5], [14, 15], [23, 25].

F2. Lightsabers (medium)

Бинарный поиск *1800

There is unrest in the Galactic Senate. Several thousand solar systems have declared their intentions to leave the Republic. Master Heidi needs to select the Jedi Knights who will go on peacekeeping missions throughout the galaxy. It is well-known that the success of any peacekeeping mission depends on the colors of the lightsabers of the Jedi who will go on that mission.

Heidi has n Jedi Knights standing in front of her, each one with a lightsaber of one of m possible colors. She knows that for the mission to be the most effective, she needs to select some contiguous interval of knights such that there are exactly k1 knights with lightsabers of the first color, k2 knights with lightsabers of the second color, ..., km knights with lightsabers of the m-th color.

However, since the last time, she has learned that it is not always possible to select such an interval. Therefore, she decided to ask some Jedi Knights to go on an indefinite unpaid vacation leave near certain pits on Tatooine, if you know what I mean. Help Heidi decide what is the minimum number of Jedi Knights that need to be let go before she is able to select the desired interval from the subsequence of remaining knights.

Input

The first line of the input contains n (1 ≤ n ≤ 2·105) and m (1 ≤ m ≤ n). The second line contains n integers in the range {1, 2, ..., m} representing colors of the lightsabers of the subsequent Jedi Knights. The third line contains m integers k1, k2, ..., km (with ) – the desired counts of Jedi Knights with lightsabers of each color from 1 to m.

Output

Output one number: the minimum number of Jedi Knights that need to be removed from the sequence so that, in what remains, there is an interval with the prescribed counts of lightsaber colors. If this is not possible, output  - 1.

B. Счастливые числа (упрощенная версия)

Бинарный поиск Перебор *1300 битмаски

Петя любит счастливые числа. Всем известно, что счастливыми являются натуральные числа, в десятичной записи которых содержатся только счастливые цифры 4 и 7. Например, числа 47, 744, 4 являются счастливыми, а 5, 17, 467 — не являются.

Очень счастливыми называются счастливые числа, в которых содержится одинаковое количество цифр 4 и 7. Например, числа 47, 7744, 474477 являются очень счастливыми числами, а 4, 744, 467 — не являются.

Однажды Пете встретилось натуральное число n. Найдите наименьшее очень счастливое число, которое не меньше n.

Входные данные

В единственной строке задано натуральное число n (1 ≤ n ≤ 109). Это число не содержит лидирующих нулей.

Выходные данные

В единственной строке выведите наименьшее очень счастливое число, которое больше или равно n.

Пожалуйста, не используйте спецификатор %lld для чтения или записи 64-битных чисел на С++. Рекомендуется использовать потоки cin, cout или спецификатор %I64d.

F. K-подстроки

Бинарный поиск *2700 хэши строковые суфф. структуры

Дана строка s, состоящая из n строчных латинских букв.

Назовем k-подстрокой строки s строку subsk = sksk + 1..sn + 1 - k. очевидно, что subs1 = s и существует ровно таких подстрок.

Назовём нечётным собственным супрефиксом строки T такую строку t, что выполняются следующие условия:

  • |T| > |t|;
  • |t| нечётно;
  • t является одновременно и префиксом, и суффиксом T.

Для каждой k-подстроки () s найдите наибольшую длину нечётного собственного супрефикса этой строки.

Входные данные

В первой строке задано натуральное число n (2 ≤ n ≤ 106) — длина строки s.

Во второй строке задана строка s, состоящая из n строчных букв латинского алфавита.

Выходные данные

Выведите целых чисел, где i-е число равно наибольшей длине нечётного собственного супрефикса i-подстроки s (или  - 1, если у i-подстроки нет нечётных собственных супрефиксов).

Примечание

Ответ на первый пример следующий:

  • 1-подстрока: bcabcabcabcabca
  • 2-подстрока: cabcabcabcabc
  • 3-подстрока: abcabcabcab
  • 4-подстрока: bcabcabca
  • 5-подстрока: cabcabc
  • 6-подстрока: abcab
  • 7-подстрока: bca
  • 8-подстрока: c

D. Одноразовые камни

Бинарный поиск Потоки жадные алгоритмы *1900

Много лягушек хотят пересечь реку. Река имеет ширину \(w\), но лягушки могут прыгать только на расстояние \(l\), причём \(l < w\). Кроме того, лягушки могут прыгать на расстояния, меньшие \(l\), но не на расстояния большие. К счастью, в реке есть камни, которые могут помочь пересечь реку.

Камни расположены на целых расстояниях от берегов. На расстоянии \(i\) от берега, на котором сейчас находятся лягушки, находится \(a_i\) камней. Каждый камень может быть использован только одной лягушкой, после чего он тонет.

Какое максимальное количество лягушек может пересечь реку, если они могут прыгать только по камням?

Входные данные

Первая строка содержит два целых числа \(w\) и \(l\) (\(1 \le l < w \le 10^5\)) — ширина реки и максимальный размер прыжка лягушки.

Вторая строка содержит \(w - 1\) целых чисел \(a_1, a_2, \ldots, a_{w-1}\) (\(0 \le a_i \le 10^4\)), где \(a_i\) — число камней на расстоянии \(i\) от того берега, на котором изначально находятся лягушки.

Выходные данные

Выведите одно целое число — максимальное количество лягушек, которые могут пересечь реку.

Примечание

В первом примере две лягушки могут использовать два разных камня на расстоянии \(5\), а ещё одна может использовать камни на расстояниях \(3\) и \(8\).

Во втором примере то, что на расстоянии \(5\) находятся два разных камня, не улучшает ответ. Есть три разных пути: \(0 \to 3 \to 6 \to 9 \to 10\), \(0 \to 2 \to 5 \to 8 \to 10\), \(0 \to 1 \to 4 \to 7 \to 10\).

C. Выигрышная cтратегия

Бинарный поиск математика *2400 графы кратчайшие пути

В одном университете совсем недавно узнали о существовании соревнования по спортивному программированию под названием ACM ICPC v2.0. Данное соревнование мало чем отличается от всем известного ACM ICPC, например, в финале соревнования участникам запрещается участвовать более двух раз. Однако, есть одно существенное отличие: команды в этом состязании должны состоять ровно из n участников.

Поучаствовав в нескольких финалах ACM ICPC v2.0 и не добившись ни одной медали, студенты и руководство университета поняли, что настало время изменить что-то в процессе подготовки. В частности, в качестве первой инновации было решено изменить процесс формирования команд. Потратив немалое количество времени на изучение статистики выступлений других университетов, удалось получить некоторую интересную информацию: вероятность получения медали в зависимости от количества членов команды, побывавших на финале ранее. Более формально, известно n + 1 действительных чисел p0 ≤ p1 ≤ ... ≤ pn, где pi — вероятность получения медали на финале, если в команде присутствуют i участников прошлых финалов, а остальные n - i участников приехали на финал впервые.

Несмотря на такие полезные данные, руководство университета не в состоянии определить такую тактику формирования команд, которая обеспечит максимальную вероятность получения медали на финале ACM ICPC v2.0 в среднем (подразумевается, что мы хотим обеспечить такой результат на далекое будущее и обладаем бесконечным ресурсом студентов). А сможете ли вы предложить такую оптимальную тактику? На первом этапе руководству университета достаточно знать лишь значение максимальной средней вероятности.

Более формально: пусть в k-ый год участия университет послал на финал команду, в которой было ak участников финалов прошлых лет (0 ≤ ak ≤ n). Так как один человек может участвовать в финале не более двух раз, должно выполняться условие: . Ваша задача — выбрать последовательность таким образом, что предел Ψ существует и его значение максимально:

Так как — бесконечная последовательность, вывести требуется только максимальное значение предела Ψ.

Входные данные

В первой строке задано целое число n (3 ≤ n ≤ 100), n — количество участников команды. Во второй строке заданы n + 1 действительных чисел, с не более чем 6-ю знаками после десятичной точки, pi (0 ≤ i ≤ n, 0 ≤ pi ≤ 1) — вероятность того, что команда сможет выиграть медаль, если в ее состав входят i участников, побывавших на финале ранее. Также выполняется условие, что pi ≤ pi + 1 для всех 0 ≤ i ≤ n - 1.

Выходные данные

Выведите одно единственное действительное число — ожидаемое среднее количество выигранных медалей в год, при использовании оптимальной стратегии. Для ответа допустима абсолютная или относительная погрешность 10 - 6.

Примечание

Во втором тесте, из каких бы участников не состояла команда, она обречена на успех.

C. Осада Вальгаллы

Бинарный поиск *1400

Ивар Бескостный — великий лидер. Он пытается захватить Каттегат, в данный момент находящийся под контролем Лагерты. Битва началась, и волны воинов Ивара гибнут одна за другой.

У Ивара \(n\) воинов, он выставляет их вдоль прямой напротив главных ворот так, что \(i\)-й воин стоит сразу за \((i-1)\)-м воином. Первый воин возглавляет атаку.

Каждый атакующий воин может выдержать до \(a_i\) стрел, прежде чем он падёт, где \(a_i\) — сила \(i\)-го воина.

Лагерта приказывает своим воинам выпустить \(k_i\) стрел в течение \(i\)-й минуты, стрелы одна за одной поражают первого всё ещё стоящего воина. После того, как все воины Ивара падут и стрелы, находящиеся в воздухе в данный момент, пролетят, Тор бьёт по земле своим молотом и все воины Ивара получают свои силы назад и возвращаются в битву. Другими словами, если все воины умрут в минуту \(t\), в конце этой минуты \(t\) они все встанут и будут сражаться.

Битва будет идти \(q\) минут. После каждой минуты вы должны сообщить Ивару, сколько из его воинов находится в строю.

Входные данные

Первая строка содержит два целых числа \(n\) и \(q\) (\(1 \le n, q \leq 200\,000\)) — число воинов Ивара и длительность боя в минутах.

Вторая строка содержит \(n\) целых чисел \(a_1, a_2, \ldots, a_n\) (\(1 \leq a_i \leq 10^9\)), обозначающих силы воинов Ивара.

Третья строка содержит \(q\) целых чисел \(k_1, k_2, \ldots, k_q\) (\(1 \leq k_i \leq 10^{14}\)), \(i\)-е из которых означает число стрел \(k_i\), которое будет выпущено в воинов Ивара по приказу Лагерты в минуту \(i\).

Выходные данные

Выведите \(q\) строк, \(i\)-я из которых содержит число воинов Ивара, находящихся в строю после \(i\)-й минуты.

Примечание

В первом примере:

  • после 1-й минуты 1-й и 2-й воины умрут.
  • после 2-й минуты все воины умрут (а оставшиеся стрелы будут потрачены впустую), после чего их воскресят, поэтому ответ — 5, все воины живы.
  • после 3-й минуты 1-й воин умирает.
  • после 4-й минуты во 2-го воина попадут и его сила упадёт на 1.
  • после 5-й минуты 2-й воин умрёт.

C. Письма

Бинарный поиск *1000 реализация

В Берляндском государственном университете всего \(n\) общежитий, пронумерованных целыми числами от \(1\) до \(n\). Каждое общежитие состоит из квартир, в \(i\)-м общежитии \(a_i\) квартир. Квартиры в \(i\)-м общежитии нумеруются с \(1\) до \(a_i\).

При получении почты на адрес одной из квартир какого-то общежития иногда не указывается номер квартиры в конкретном общежитии, но указывается номер квартиры среди всех квартир \(n\) общежитий. В таком случае, считается что в нумерации сначала идут квартиры первого общежития, затем квартиры второго общежития и так далее. Таким образом, в этой нумерации присутствуют числа от \(1\) до \(a_1 + a_2 + \dots + a_n\). Квартиры каждого общежития в этой нумерации идут подряд в порядке возрастания номеров.

Например, в случае \(n=2\), \(a_1=3\) и \(a_2=5\) на конверте может быть написано произвольное целое число от \(1\) до \(8\). Если на конверте написано число \(7\), то это письмо следует доставить в квартиру номер \(4\) второго общежития.

Для каждого из \(m\) писем по номеру квартиры среди всех \(n\) общежитий найдите конкретное общежитие и номер квартиры в нём, куда следует доставить это письмо.

Входные данные

В первой строке следуют два целых числа \(n\) и \(m\) \((1 \le n, m \le 2 \cdot 10^{5})\) — количество общежитий и количество писем.

Во второй строке следует последовательность \(a_1, a_2, \dots, a_n\) \((1 \le a_i \le 10^{10})\), где \(a_i\) равно количеству квартир в общежитии \(i\). В третьей строке следует последовательность \(b_1, b_2, \dots, b_m\) \((1 \le b_j \le a_1 + a_2 + \dots + a_n)\), где \(b_j\) равно номеру квартиры для письма \(j\). Все \(b_j\) заданы в порядке возрастания.

Выходные данные

Выведите \(m\) строк. В каждую строку выведите по два числа \(f\) и \(k\) — номер общежития \(f\) \((1 \le f \le n)\) и номер квартиры в нём \(k\) \((1 \le k \le a_f)\) для очередного письма.

Примечание

В первом примере письма должны быть доставлены следующим образом:

  • первое письмо в квартиру номер \(1\) в первом общежитии
  • второе письмо в квартиру номер \(9\) в первом общежитии
  • третье письмо в квартиру номер \(2\) во втором общежитии
  • четвёртое письмо в квартиру номер \(13\) во втором общежитии
  • пятое письмо в квартиру номер \(1\) в третьем общежитии
  • шестое письмо в квартиру номер \(12\) в третьем общежитии

D. Куро, НОД, побитовое исключающее ИЛИ, сумма и все-все-все

Строки Бинарный поиск Деревья Перебор Структуры данных математика дп теория чисел жадные алгоритмы *2200 битмаски снм

Куро играет в обучающую игру про числа. Основные математические операции в этой игре — наибольший общий делитель, побитовое исключающее ИЛИ и сумма двух чисел. Куро так любит эту игру, что проходит уровень за уровнем изо дня в день.

К сожалению, Куро уезжает в отпуск и будет неспособна продолжить череду решений. Поскольку Кэти — надёжный человек, Куро попросил её прийти к нему домой в этот день и поиграть за него.

Изначально дан пустой массив \(a\). Игр состоит из \(q\) запросов двух разных типов. Запросы первого типа просят Кэти добавить число \(u_i\) в массив \(a\). Запросы второго типа просят Кэти найти такое число \(v\), принадлежащее массиву \(a\), что \(k_i \mid GCD(x_i, v)\), \(x_i + v \leq s_i\), и \(x_i \oplus v\) максимально, где \(\oplus\) обозначает операцию побитового исключающего ИЛИ, \(GCD(c, d)\) обозначает наибольший общий делитель целых чисел \(c\) и \(d\), а \(y \mid x\) означает, что \(x\) делится на \(y\), или же вывести -1, если таких чисел в массиве нет.

Поскольку вы программист, Кэти просит вас написать программу, которая будет автоматически и точно выполнять внутриигровые запросы, чтобы выполнить поручения Куро. Давайте поможем ей!

Входные данные

В первой строке содержится одно целое число \(q\) (\(2 \leq q \leq 10^{5}\)) — число внутриигровых запросов.

Далее следует \(q\) строк, каждая из которых начинается с целого числа \(t_i\) — типа запроса:

  • Если \(t_i = 1\), далее следует целое число \(u_i\) (\(1 \leq u_i \leq 10^{5}\)) — вам необходимо лобавить \(u_i\) в массив \(a\).
  • Если \(t_i = 2\), далее следует три целых числа \(x_i\), \(k_i\) и \(s_i\) (\(1 \leq x_i, k_i, s_i \leq 10^{5}\)). Это означает, что вам необходимо найти такое число \(v\), принадлежащее массиву \(a\), что \(k_i \mid GCD(x_i, v)\), \(x_i + v \leq s_i\), а \(x_i \oplus v\) максимально, где \(\oplus\) обозначает побитовое исключающее ИЛИ, или вывести -1, если таких чисел в массиве нет.

Гарантируется, что первый запрос имеет тип \(1\) и что существует хотя бы один запрос типа \(2\).

Выходные данные

Для каждого запроса типа \(2\) выведите запрашиваемое число \(v\) или -1, если таких чисел не найдено, в отдельной строке.

Примечание

В первом примере необходимо выполнить пять запросов:

  • Первый запрос просит вас добавить \(1\) в \(a\). Теперь \(a\) — \(\left\{1\right\}\).
  • Второй запрос просит вас добавить \(2\) в \(a\). Теперь \(a\) — \(\left\{1, 2\right\}\).
  • Третий запрос просит вас найти ответ с \(x = 1\), \(k = 1\) и \(s = 3\). И \(1\), и \(2\) удовлетворяют условиям на \(v\), так как \(1 \mid GCD(1, v)\) и \(1 + v \leq 3\). Поскольку \(2 \oplus 1 = 3 > 1 \oplus 1 = 0\), ответом на этот запрос будет \(2\).
  • Четвёртый запрос просит вас найти ответ с \(x = 1\), \(k = 1\) и \(s = 2\). Только \(v = 1\) удовлетворяет условия \(1 \mid GCD(1, v)\) и \(1 + v \leq 2\), поэтому ответом на этот запрос будет \(1\).
  • Пятый запрос просит вас найти ответ с \(x = 1\), \(k = 1\) и \(s = 1\). В \(a\) нет удовлетворяющих условиям элементов, поэтому мы выводим -1 как ответ на этот запрос.

F. Круговой марьяж

Бинарный поиск Паросочетания жадные алгоритмы *2500

В прекрасной стране Кругляндии объявили брачный сезон!

Страна Кругляндия представляет собой окружность длины \(L\). В стране есть \(n\) кавалеров и \(n\) дам, и кавалеры решили выбрать себе дам в пары.

Конечно, каждый кавалер должен выбрать себе в жены ровно одну даму, а каждая дама должна быть выбрана ровно одним кавалером.

Все объекты в Кругляндии находятся на окружности, в том числе столица, а также замки кавалеров и особняки дам. Замок \(i\)-го кавалера находится на расстоянии \(a_i\) от столицы при движении по часовой стрелке, а особняк \(i\)-й дамы на расстоянии \(b_i\) от столицы при движении по часовой стрелке.

Назовем неудобством женитьбы максимальное расстояние, которое придется пройти даме от своего особняка до замка своего кавалера по кратчайшему пути (по или против часовой стрелки).

Помогите кавалерам страны Кругляндия выбрать себе жен так, чтобы неудобство женитьбы было минимально возможным.

Входные данные

В первой строке находятся два целых числа \(n\) и \(L\) (\(1 \leq n \leq 2 \cdot 10^{5}\), \(1 \leq L \leq 10^{9}\)) — количество кавалеров и дам, а также длина окружности Кругляндии.

В следующей строке находятся \(n\) целых чисел \(a_1, a_2, \ldots, a_n\) (\(0 \leq a_i < L\)) — расстояния от столицы до замков кавалеров при движении по часовой стрелке.

В следующей строке расположено \(n\) целых чисел \(b_1, b_2, \ldots, b_n\) (\(0 \leq b_i < L\)) — расстояния от столицы до особняков дам при движении по часовой стрелке.

Выходные данные

В единственной строке выведите минимальное возможное неудобство женитьбы, где неудобство равно максимальному расстоянию, которое придется пройти какой-либо даме.

Примечание

В первом тестовом примере чтобы минимизировать женитьбу первому кавалеру следует жениться на второй даме, а второму кавалеру на первой даме. Таким образом, второй даме до замка первого жениха потребуется пройти расстояние \(1\), и то же расстояние понадобиться пройти первой даме до замка второго жениха. Таким образом, неудобство женитьбы равно \(1\).

Во втором примере обозначим за \(p_i\) даму, которая досталась \(i\)-у кавалеру. Тогда одно из \(p\), принимающее минимальное возможное неудобство женитьбы это \((6,8,1,4,5,10,3,2,7,9)\).

E. Страна NN

Бинарный поиск Деревья Структуры данных *2800

В стране NN \(n\) городов, пронумерованных от \(1\) до \(n\), и \(n - 1\) дорога. Существует путь по дорогам между любыми двумя городами.

Между городами проложено \(m\) двухсторонних автобусных маршрутов. Автобусы ездят между двумя городами по кратчайшему пути, останавливаясь во всех промежуточных городах. На автобусе можно проехать от любой остановки маршрута до любой другой. Вы можете перемещаться между городами только на автобусах.

Вас интересует \(q\) вопросов: возможно ли добраться из одного города в другой и какое минимальное число автобусов необходимо для этого использовать.

Входные данные

В первой строке ввода содержится целое число \(n\) (\(2 \le n \le 2 \cdot 10^5\)) — количество городов.

Во второй содержится \(n - 1\) целое число — \(p_2, p_3, \ldots, p_n\) (\(1 \le p_i < i\)); \(p_i\) обозначает, что города \(p_i\) и \(i\) соединены дорогой.

В третьей строке содержится целое число \(m\) (\(1 \le m \le 2 \cdot 10^5\)) — число автобусных маршрутов.

В каждой из следующих \(m\) строк содержится \(2\) целых числа — \(a\) и \(b\), (\(1 \le a, b \le n\), \(a \neq b\)), обозначающие, что существует маршрут между городами \(a\) и \(b\). Между двумя городами может существовать более одного маршрута.

В следующей строке содержится целое число \(q\) (\(1 \le q \le 2 \cdot 10^5\)) — количество вопросов, которые вас интересуют.

В каждой из следующих \(q\) строк содержится \(2\) целых числа — \(v\) и \(u\), (\(1 \le v, u \le n\), \(v \neq u\)), обозначающие, что вас интересует, возможно ли добраться из города \(v\) в город \(u\) и какое минимальное число автобусов для этого нужно использовать.

Выходные данные

Выведите ответ на каждый вопрос в отдельной строке. Если не существует способа добраться из одного в другой, выведите \(-1\). Иначе выведите минимальное число автобусов.

Примечание
На рисунке показаны маршруты автобусов из первого примера.

D. Замок из песка

Бинарный поиск Конструктив математика *2100

Вы направляетесь на пляж с идеей построить самый величественный песчаный замок! Пляж не выглядит настолько трехмерным, насколько вы могли себе представить. Он может быть описан, как ряд мест, на которых можно возводить песчаные колонны. Места пронумерованы от 1 до бесконечности слева направо.

Очевидно, на пляже недостаточно песка для такой затеи, поэтому вы принесли с собой n упаковок с песком. Назовем высотой hi некоторой песчаной колонны на месте i количество упаковок песка, которые вы туда высыпали. Нельзя разделить упаковку песка на несколько мест, весь песок из нее должен уйти ровно на одно место. Слева от первого места есть забор с высотой, равной высоте колонны из H упаковок песка, и вы должны не допустить попадание песка за него.

В итоге вы пришли к следующим условиям для постройки замка:

  • h1 ≤ H: песок с самой левой колонны не должен просыпаться за забор;
  • Для любого |hi - hi + 1| ≤ 1: большая разница в высоте двух соседних колонн приведет к тому, что песок просыпется с более высокой на менее высокую, и вам действительно не хочется этого допустить;
  • : вы хотите потратить весь песок, который принесли с собой.

Так как у вас есть бесконечность мест для постройки замка, всегда возможно придумать корректную структуру. Однако вы хотите сделать замок как можно более компактным.

Требуется найти минимальное количество мест, которое потребуется занять для того, чтобы построить замок по всем правилам.

Входные данные

В единственной строке записаны два целых числа n и H (1 ≤ n, H ≤ 1018) — количество ваших упаковок песка и высота забора, соответственно.

Выходные данные

Выведите минимальное количество мест, которое потребуется занять для того, чтобы построить замок по всем правилам.

Примечание

Вот некоторые примеры корректных замков:

  • n = 5, H = 2, [2, 2, 1, 0, ...], [2, 1, 1, 1, 0, ...], [1, 0, 1, 2, 1, 0, ...]
  • n = 6, H = 8, [3, 2, 1, 0, ...], [2, 2, 1, 1, 0, ...], [0, 1, 0, 1, 2, 1, 1, 0...] (в этом случае заняты 5 мест)

Первый список обоих случаев является лучшим ответом, по 3 места заняты в каждом.

И некоторые примере некорректных:

  • n = 5, H = 2, [3, 2, 0, ...], [2, 3, 0, ...], [1, 0, 2, 2, ...]
  • n = 6, H = 8, [2, 2, 2, 0, ...], [6, 0, ...], [1, 4, 1, 0...], [2, 2, 1, 0, ...]

E. Коробки с карандашами

Бинарный поиск Структуры данных *2100 дп жадные алгоритмы

На день рождения Мишка получил в подарок разноцветные карандаши! К сожалению, он живет в монохромном мире, где все одного и того же цвета, и имеет смысл исключительно насыщенность цвета. Эту упаковку можно представить в виде последовательности a1, a2, ..., an из n целых чисел — насышенность цвета каждого карандаша. Теперь Мишка хочет навести порядок в этой упаковке. Для этого он подготовил бесконечное количество пустых коробок. Он хочет их заполнить таким образом, чтобы:

  • Каждый карандаш лежал ровно в одной коробке;
  • В каждой непустой коробке лежало не меньше k карандашей;
  • Если карандаши i и j лежат в одной и той же коробке, то |ai - aj| ≤ d, где |x| означает модуль числа x. Обратите внимание, что обратное условие может не выполняться, могут быть такие карандаши i и j, что |ai - aj| ≤ d и они лежат в различных коробках.

Помогите Мишке определить, можно ли распределить все карандаши по коробкам. Выведите "YES", если существует такое распределение. Иначе выведите "NO".

Входные данные

В первой строке записаны три целых числа n, k и d (1 ≤ k ≤ n ≤ 5·105, 0 ≤ d ≤ 109) — количество карандашей, минимальный размер любой непустой коробки и максимальная разница в насыщенности какой-либо пары карандашей, лежащих в одной коробке, соответственно.

Во второй строке записаны n целых чисел a1, a2, ..., an (1 ≤ ai ≤ 109) — насыщенности цветов каждого карандаша.

Выходные данные

Выведите "YES", если можно распределить все карандаши по коробкам так, чтобы все условия выполнялись. Иначе выведите "NO".

Примечание

В первом примере можно разделить все карандаши на 2 коробки по 3 карандаша любым образом. Также можно положить все карандаши в одну коробку, разница в насыщенности между любой парой карандашей в ней не будет превосходить 10.

Во втором примере можно разделить карандаши насыщенностей [4, 5, 3, 4] на 2 коробки размера 2 и положить оставшиеся в еще одну коробку.

D. Лунная тень

Бинарный поиск математика геометрия сортировки *2500

Сумерки охватывают леса и весь мир. Реку и лодку освещает луна.

— Сложно возможно затмить свет луны. Тени лишь раскрывают ее красоту и мягкость, — пропел Мино.

— Видишь? Облака, — сказал Канно, вглядываясь вдаль.

— Не может быть ничего лучше, — обернулся Мино к Канно.

Представим небо как координатную ось. Луна находится в начале координат, то есть в точке с координатой \(0\).

В небе есть \(n\) облаков. Все облака имеют одинаковую длину \(l\). \(i\)-е облако изначально покрывает отрезок \((x_i, x_i + l)\) (не включая границы). Изначально облако двигается со скоростью \(v_i\), которая равна либо \(1\), либо \(-1\).

Изначально никакие два облака не пересекаются, то есть для всех \(1 \leq i \lt j \leq n\) выполняется \(\lvert x_i - x_j \rvert \geq l\).

Если скорость ветра равна \(w\), то скорость \(i\)-го облака станет равна \(v_i + w\), то есть его координаты будут увеличиваться на \(v_i + w\) за единицу времени. Обратите внимание, ветер может быть достаточно сильным и направления движения облаков могут изменяться.

Помогите Мино, подсчитайте число пар \((i, j)\) (\(i < j\)) таких, что существует такая скорость ветра \(w\), не превышающая \(w_\mathrm{max}\) по модулю (возможно, отрицательная и/или вещественная) такая, что \(i\)-е и \(j\)-е облака в какой-то момент будут оба закрывать луну. Скорость ветра \(w\) может быть различной для различных пар.

Входные данные

Первая строка содержит три целых числа \(n\), \(l\) и \(w_\mathrm{max}\) (\(1 \leq n \leq 10^5\), \(1 \leq l, w_\mathrm{max} \leq 10^8\)) — количество облаков, длина каждого облака и максимально возможная скорость ветра, соответственно.

\(i\)-я из следующих \(n\) строк содержит два целых числа \(x_i\) и \(v_i\) (\(-10^8 \leq x_i \leq 10^8\), \(v_i \in \{-1, 1\}\)) — начальная позиция и скорость \(i\)-го облака, соответственно.

Гарантируется, что для всех \(1 \leq i \lt j \leq n\) выполняется \(\lvert x_i - x_j \rvert \geq l\).

Выходные данные

Выведите одно целое число — количество неупорядоченных пар облаков таких, что они могут закрыть луну в один и тот же момент при некотором выборе скорости ветра \(w\).

Примечание

В первом примере начальные позиции и скорости облаков проиллюстрированы на рисунке ниже.

Пары облаков, которые могут одновременно закрыть луну:

  • \((1, 3)\) закроют луну в момент времени \(2.5\) при \(w = -0.4\);
  • \((1, 4)\) закроют луну в момент времени \(3.5\) при \(w = -0.6\);
  • \((1, 5)\) закроют луну в момент времени \(4.5\) при \(w = -0.7\);
  • \((2, 5)\) закроют луну в момент времени \(2.5\) при \(w = -2\).

На рисунке ниже приведены положения облаков в момент времени \(2.5\) при скорости ветра \(w = -0.4\). В этот момент \(1\)-е и \(3\)-е облака оба закрывают луну.

Во втором примере только пара \((1, 4)\) закроют луну в момент времени \(15\) при скорости ветра \(w = 0\).

Обратите внимание, что все времена и скорости ветра в примечании даны для примера, на самом деле существует бесконечное число способов выбрать их.

C. Эклеры

Бинарный поиск реализация *1500

После успешной сдачи всех зачетов Вася купил себе в подарок коробку, содержащую \(n\) сладких эклеров. Вася решил каждое утро есть некоторое одинаковое число эклеров, пока они все не закончатся. Однако сосед Васи, Петя, заметил принесенную Васей коробку и тоже решил насладиться вкусом эклеров.

Теперь процесс поедания эклеров выглядит следующим образом: сначала Вася выбирает число \(k\), одинаковое для всех дней. Затем утром он съедает \(k\) эклеров из коробки (или доедает все эклеры, если их осталось меньше \(k\)), после этого Петя вечером съедает \(10\%\) оставшихся эклеров. Если эклеры еще не закончились, то на следующий день Вася опять съедает \(k\) эклеров, а Петя — \(10\%\) от оставшихся и так далее.

Если число эклеров не делится на \(10\), то Петя округляет «свою» долю в меньшую сторону, например, если в коробке было \(97\) эклеров, то Петя съест только \(9\) из них. В частности, если в коробке уже меньше \(10\) эклеров, то Петя не будет их есть вообще.

Определите, какое наименьшее число \(k\) может выбрать Вася такое, что он съест не менее половины от всех \(n\) эклеров, которые были в коробке изначально. Заметьте, что число \(k\) должно быть натуральным.

Входные данные

В первой строке содержится натуральное число \(n\) (\(1 \leq n \leq 10^{18}\)) — изначальное количество эклеров.

Выходные данные

Вывести единственное число — наименьшее значение \(k\), удовлетворяющее Васю.

Примечание

В примере количество эклеров при \(k=3\) будет изменяться следующим образом (первым ест Вася):

\(68 \to 65 \to 59 \to 56 \to 51 \to 48 \to 44 \to 41 \\ \to 37 \to 34 \to 31 \to 28 \to 26 \to 23 \to 21 \to 18 \to 17 \to 14 \\ \to 13 \to 10 \to 9 \to 6 \to 6 \to 3 \to 3 \to 0\).

Итого, Вася съест \(39\) эклеров, а Петя — \(29\).

E. Настя и шаманы-короли

Бинарный поиск Структуры данных *2500

Настя любит читать, и иногда целые дни проводит в библиотеке. Сегодня она нашла там летопись Байтландии, в которой написано, что когда-то в Байтландлии жили шаманы. Известно, что в каждый момент времени в Байтландии всегда был ровно один шаман, а всего за всю историю шаманов было n, и они были пронумерованы различными целыми числами от 1 до n так, что каждый следующий по номеру шаман был после предыдущего. Также у каждого шамана есть магическая сила, выражающаяся целым числом.

В летописи приведен список сил n главных шаманов Байтландии. Также существуют шаманы-короли. Шаман называется шаманом-королем, если к нему передалась сила всех предков, то есть если его магическая сила в точности равна сумме магических сил предыдущих шаманов. Теперь Насте стало интересно, жил ли когда-нибудь в Байтландии шаман-король.

К сожалению, многие записи стерлись, и однозначно их восстановить невозможно. Поэтому Настя делает следующее:

  • Изначально она восстанавливает силы всех шаманов каким-то образом.
  • Затем она q раз меняет восстановленную силу какого-то одного шамана (но не обязательно каждый раз одного и того же) и после каждого изменения хочет узнать, есть ли среди шаманов король. Если шаман-король есть, то Настя хочет знать номер любого из них.

К сожалению, летопись очень большая, поэтому Настя попросила вас помочь.

Входные данные

В первой строке входного файла содержится два числа n и q (1 ≤ n, q ≤ 2·105).

Вторая строка содержит n целых чисел a1, ..., an (0 ≤ ai ≤ 109), где ai — магическая сила i-го шамана.

Далее следуют q строк, i-я из которых содержит два числа pi и xi (1 ≤ pi ≤ n, 0 ≤ xi ≤ 109), которые означают, что новая сила pi-го шамана по мнению Насти равна xi.

Выходные данные

Выведите q строк, i-я из которых содержит  - 1, если после i-го изменения шамана-короля не существует, а иначе содержит одно число j, где j — индекс шамана-короля после i-го изменения.

Если после некоторого изменения есть несколько королей-шаманов, выведите индекс любого из них.

Примечание

В первом примере после изменения силы шаманов равны (2, 3). Тогда ответ  - 1, так как сумма сил шаманов перед первым шаманом равна 0, а перед вторым равна 2.

Во втором примере после первого изменения силы шаманов равны (1, 2, 3). Тогда ответ равен 3, так как сила третьего шамана равна 3, и сумма сил первого и второго также 1 + 2 = 3. После второго изменения силы становятся равны (2, 2, 3), где ответ равен 2. После третьего изменения силы становятся (2, 4, 3), и шамана-короля нет, то есть ответ  - 1. После четвертого изменения силы становятся (2, 4, 6), и третий шаман становится королём, то есть ответ 3.

D. Вычислительная мощность

Бинарный поиск дп жадные алгоритмы *2500

Вам необходимо выполнить некоторое количество задач, для каждой задачи известно, сколько процессоров надо, чтобы ее выполнить, и сколько мощности она потребит.

У вас есть достаточное количество аналоговых компьютеров, каждый с достаточным количеством процессоров для любой задачи. Каждый компьютер может выполнять не более одной задачи в каждый момент времени, и не более чем две за все время. Первая задача может быть любой, вторая задача должна потреблять строго меньше мощности чем первая. Вы планируете назначить между одной и двумя задачами на каждый компьютер так, что каждая задача будет назначена ровно на один компьютер. Затем вы запустите первую задачу на каждом компьютере, подождете, пока они все выполнятся, и запустите вторую задачу на всех компьютерах, на которых назначено две задачи.

Если во время выполнения первых задач средняя мощность на процессор (сумма мощностей всех запущенных задач деленная на сумму занятых всеми задачами процессоров) превысит некоторую неизвестную величину, вся система взорвется после окончания вычислений, и вы не сможете выполнить вторые задачи. На вторые задачи такого ограничения нет. Найдите минимальную величину, которую не должна превышать средняя мощность на процессор, при которой возможно выполнить все задачи.

Ввиду специфики задачи, нужно найти ответ умноженный на 1000 и округленный вверх.

Входные данные

Первая строка содержит одно число n (1 ≤ n ≤ 50) — количество задач.

Вторая строка содержит n целых чисел a1, a2, ..., an (1 ≤ ai ≤ 108), где число ai задает мощность, которую потребит i-я задача.

Третья строка содержит n целых чисел b1, b2, ..., bn (1 ≤ bi ≤ 100) — где bi равно количеству процессоров, которые требуются для i-й задачи.

Выходные данные

Выведите одно число — минимальную величину, которую не должна превышать средняя мощность на процессор, при которой возможно назначить все задачи так, чтобы система не взорвалась после первого раунда, умноженную на 1000 и округленную вверх.

Примечание

В первом примере оптимальная стратегия запустить каждую задачу на отдельном компьютере, получив среднюю мощность на процессор в первом (и единственном) раунде 9.

Во втором примере можно запустить задачи с потреблением мощности 10 и 9 на одном компьютере, задачи с потреблением 10 и 8 на втором, и задачи с потреблением 9 и 8 на третьем, получая среднюю нагрузку в первом раунде (10 + 10 + 9) / (10 + 10 + 5) = 1.16.

B. Чемпионат мира

Бинарный поиск математика *1300

Аллен хочет попасть в фан-зону, которая расположена на круглой площади и имеет \(n\) входов.

Перед \(i\)-м входом уже скопилась очередь из \(a_i\) человек. Каждую минуту каждый вход пропускает ровно один человека в фан-зону.

Аллен использует следующую стратегию для попадания в фан-зону:

  • Изначально он стоит в конце очереди к первому входу.
  • Каждую минуту, если его не пропустили в фан-зону в течение этой минуты (то есть он был не первым в очереди), он покидает текущую очередь и встает в конец очереди у следующего входа (или первого, если он покинул очередь перед последним входом).

Определите вход, через который Аллен в итоге попадет в фан-зону.

Входные данные

Первая строка содержит одно целое число \(n\) (\(2 \le n \le 10^5\)) — количество входов.

Вторая строка содержит \(n\) целых чисел \(a_1, a_2, \ldots, a_n\) (\(0 \le a_i \le 10^9\)) — количество людей в очередях. В эти числа Аллен не включен.

Выходные данные

Выведите одно целое число — номер входа, которым в итоге воспользуется Аллен.

Примечание

В первом примере число людей (не включая Аллена) меняется так: \([\textbf{2}, 3, 2, 0] \to [1, \textbf{2}, 1, 0] \to [0, 1, \textbf{0}, 0]\). Жирным выделена очередь, в которой находится Аллен. Видно, что он войдет в фан-зону через третий вход.

Во втором примере число людей (не включая Аллена) меняется так: \([\textbf{10}, 10] \to [9, \textbf{9}] \to [\textbf{8}, 8] \to [7, \textbf{7}] \to [\textbf{6}, 6] \to \\ [5, \textbf{5}] \to [\textbf{4}, 4] \to [3, \textbf{3}] \to [\textbf{2}, 2] \to [1, \textbf{1}] \to [\textbf{0}, 0]\).

Во втором примере число людей (не включая Аллена) меняется так: \([\textbf{5}, 2, 6, 5, 7, 4] \to [4, \textbf{1}, 5, 4, 6, 3] \to [3, 0, \textbf{4}, 3, 5, 2] \to \\ [2, 0, 3, \textbf{2}, 4, 1] \to [1, 0, 2, 1, \textbf{3}, 0] \to [0, 0, 1, 0, 2, \textbf{0}]\).

Подарки в хранилище

Бинарный поиск Бинарный поиск в массиве

Дед Мороз хранит огромные запасы подарков в своих тайных хранилищах. Хранилище состоит из ячеек, нумерация которых начинается с единицы. В каждой ячейке находится строго один подарок. Одинаковые подарки хранятся в идущих подряд ячейках. Подарки в хранилище отсортированы по алфавиту.

Увы, несмотря на то, что запасы Деда Мороза огромны, некоторых особо оригинальных подарков может не оказаться в наличии в ближайшем к нему в данный момент хранилище.

Дед Мороз получил письмо от мальчика Вити с целым списком таких оригинальных подарков. Помогите Деду Морозу — напишите программу, определяющую наличие заказанных Витей подарков в хранилище.

Формат ввода

В первой строке вводится натуральное число \(n\) — количество ячеек в ближайшем в данный момент к Деду Морозу хранилище (\(1\leqslant n\leqslant 10^6\)).

В последующих \(n\) строках вводятся названия подарков, хранящихся в ячейках рассматриваемого хранилища (в порядке возрастания номеров ячеек), — слова, состоящие из строчных латинских букв.

Далее в отдельной строке вводится натуральное число \(k\) — количество подарков, указанных в письме Вити (\(1\leqslant k\leqslant 10^5\)).

В последующих \(k\) строках вводятся названия подарков из списка Вити.

Формат вывода

Для каждого подарка из списка Вити программа должна вывести в отдельной строке одно из двух возможных сообщений.

Если указанный Витей подарок имеется в хранилище, программа должна вывести сообщение "In stock".

В противном случае должно быть выведено сообщение "Not in stock".

Построение снеговиков

Бинарный поиск Бинарный поиск в массиве

В резиденции Деда Мороза проходит организационное построение снеговиков. Они строятся в линию в порядке убывания роста (т.е. снеговик под номером 1 самый высокий). Все снеговики различного роста.

Построение уже началось. Все снеговики уже выстроились в ряд, а снеговичок Холодок опоздал, и ему нужно как можно быстрее найти своё место в строю. Помогите Холодку это сделать с помощью программы.

Формат ввода

В первой строке на вход программы подаётся единственное целое неотрицательное число \(n\) — количество уже построившихся снеговиков (\(0\leqslant n\leqslant 10^6\)).

Далее, если \(n>0\), в одной строке через пробел вводится \(n\) значений роста построившихся снеговиков в порядке убывания. Рост каждого снеговика индивидуален, т.е. нет двух снеговиков одинакового роста. Значения роста целые и принадлежат множеству \((0; 10^9]\).

В целях проверки корректности работы программы в следующей строке вводится натуральное число \(k\) — количество возможных значений роста Холодка (\(1\leqslant k\leqslant 10^5\)), а затем в отдельной строке через пробел передаются эти \(k\) значений (целых), принадлежащих множеству \((0; 10^9]\). Рост Холодка отличается от роста всех остальных снеговиков.

Формат вывода

Для каждого введённого значения роста Холодка выведите в отдельной строке номер места Холодка в строю.

Подарки в хранилище 2

Бинарный поиск Бинарный поиск в массиве

Вы уже знаете, что Дед Мороз хранит запасы подарков в своих тайных хранилищах. Напомним, что хранилище состоит из ячеек, нумерация которых начинается с единицы. В каждой ячейке находится строго один подарок. Одинаковые подарки хранятся в идущих подряд ячейках. Подарки в хранилище отсортированы по алфавиту.

В одном из хранилищ имеется \(n\) ячеек. Ячейки объединяются в камеры хранения, по \(m\) ячеек в каждой. Камеры хранения нумеруются так же, как и ячейки, начиная с единицы. То есть ячейки с номерами с 1 по \(m\) находятся в первой камере, с \(m+1\) по \(2m\) — во второй камере, и так далее.

Вам дана информация о подарках, хранящихся во всех \(n\) ячейках данного хранилища. Напишите программу, определяющую номер камеры, в которой хранится каждый из \(k\) подарков из списка пожеланий одного школьника. Гарантируется, что все подарки из списка имеются в наличии в хранилище. Если подарок хранится сразу в нескольких соседних камерах, то требуется вывести номер первой из них.

Формат ввода

В первой строке вводятся натуральное число \(n\) — количество ячеек в рассматриваемом хранилище и натуральное число \(m\) — количество ячеек в камере хранения (\(1\leqslant n\leqslant 10^6\), \(2\leqslant m\leqslant 10^5\)).

В последующих \(n\) строках вводятся названия подарков, хранящихся в ячейках рассматриваемого хранилища (в порядке возрастания номеров ячеек), — слова, состоящие из строчных латинских букв.

Далее в отдельной строке вводится натуральное число \(k\) — количество подарков, указанных в пожеланиях школьника (\(1\leqslant k\leqslant 10^5\)).

В последующих \(k\) строках вводятся названия подарков из списка.

Формат вывода

Для каждого подарка из списка школьника программа должна вывести в отдельной строке одно натуральное число — номер камеры хранения, в которой находится указанный подарок.

Гарантируется, что все подарки из списка имеются в наличии в хранилище. Если подарок хранится сразу в нескольких соседних камерах, то требуется вывести номер первой из них.

Морковки для снеговиков

Бинарный поиск Бинарный поиск в массиве

У каждого уважающего себя снеговика должен быть нос из морковки. При этом снеговики в усадьбе Деда Мороза могут быть любой, даже самой большой высоты. Для того чтобы воткнуть морковку высоким снеговикам, в усадьбе имеется стремянка высоты \(h\) см. С её помощью можно воткнуть морковку любому снеговику высотой не более \(h\) см.

Снеговиков построили в ряд в порядке неубывания их роста и присвоили им номера, начиная с единицы. Напишите программу, определяющую номер последнего снеговика, которому удастся воткнуть нос-морковку.

Формат ввода

В первой строке на вход подаётся натуральное число \(n\) — количество снеговиков в усадьбе (\(1\leqslant n\leqslant 10^6\)).

В следующей строке вводится \(n\) натуральных чисел — значения роста снеговиков в том порядке, в котором они были построены в ряд (каждое число не превосходит \(10^9\)).

Затем следующей строкой вводится натуральное число \(k\) — количество рассматриваемых лестниц (\(1\leqslant k\leqslant 10^5\)).

В последней строке через пробел вводится \(k\) натуральных чисел, не превосходящих \(10^9\), — высоты рассматриваемых лестниц.

Формат вывода

Программа должна для каждого значения высоты лестницы вывести в отдельной строке ответ на задачу.

Если ни одному снеговику нельзя воткнуть нос-морковку с помощью лестницы указанной длины, то программа должна вывести значение 0.

Программа полёта Деда Мороза

Словари Бинарный поиск Бинарный поиск в массиве

Одна из самых сложных и важных задач Деда Мороза в новогоднюю ночь — составление маршрута перемещения по городам России. Для этого он заранее измеряет расстояния от его усадьбы до каждого города (по прямой). Далее дедушка руководствуется следующим правилом. Пусть очередным пунктом маршрута является город, расстояние до которого от усадьбы равно \(x_i\) км. Тогда следующим пунктом маршрута станет город, находящийся от усадьбы на расстоянии \(x_j\) км, где значение \(\left|x_i-x_j\right|\) наименьшее. Если таких городов несколько, то будет выбран первый из них по алфавиту.

Напишите программу, определяющую по информации о городах, требующих посещения, и текущем городе следующий город маршрута.

Формат ввода

В первой строке вводится одно натуральное число \(n\) — количество ещё не посещённых городов (\(1\leqslant n\leqslant 10^6\)).

Далее в \(n\) строках вводятся названия этих городов и расстояния от них до усадьбы Деда Мороза (расстояния целые, положительные, не превосходят \(10^9\)). Гарантируется, что названия всех городов различны. Название города состоит строго только из латинских букв (все буквы строчные, кроме первой — она заглавная).

В следующей строке вводится натуральное число \(k\) — количество рассматриваемых случаев текущего местоположения Деда Мороза (\(1\leqslant k\leqslant 10^5\)).

В последней строке через пробел вводится \(k\) натуральных чисел, не превосходящих \(10^9\), — расстояния от усадьбы до возможных текущих городов.

Формат вывода

Для каждого возможного варианта текущего положения Деда Мороза выведите в отдельной строке название следующего города на маршруте новогоднего волшебника.

Корень кубический (бинарный поиск)

Бинарный поиск Бинарный поиск значения функции

Дано \(n\) вещественных чисел. Вычислите кубический корень из каждого из данных чисел с точностью не менее двух знаков после запятой.

Формат входных данных

В первой строке программе передаётся натуральное число \(n\), не превосходящее \(10^5\).

Далее в \(n\) строках передаются вещественные числа, не превосходящие \(10\,000\) с точностью не более двух знаков после запятой.

Формат выходных данных

Требуется вывести в отдельных строках \(n\) значений кубического корня.

Требуемая точность — не менее двух знаков после запятой.

Примечание

Корнем кубическим из числа \(a\) называется такое число \(x\), что \(x^3=a\).

Расстояние между точками

Бинарный поиск Бинарный поиск значения функции

Вам даны координаты двух точек: \(M\,(x_1; y_1)\) и \(N\,(x_2; y_2)\). Требуется вычислить расстояние между этими точками.

В данной задаче запрещено использовать операторы и функции возведения в степень и извлечения квадратного корня.

Формат входных данных

В двух строках вводятся две пары целых чисел \((x_1; y_1)\) и \((x_2; y_2)\) — координаты точек на плоскости.

Все вводимые числа не превосходят по модулю \(10^4\).

Формат выходных данных

Программа должна вывести на экран единственное число — расстояние между точками с точностью не менее четырёх знаков после запятой.

Хранилище магазина

Бинарный поиск Бинарный поиск в массиве

Один популярный онлайн-магазин держит все товары в специальном хранилище. Хранилище состоит из ячеек, нумерация которых начинается с единицы. В каждой ячейке находится строго один товар. Одинаковые товары хранятся в идущих подряд ячейках. Товары в хранилище отсортированы по алфавиту.

В одном из хранилищ имеется \(n\) ячеек. Ячейки объединяются в камеры хранения, по \(m\) ячеек в каждой. Камеры хранения нумеруются так же, как и ячейки, начиная с единицы. То есть ячейки с номерами с 1 по \(m\) находятся в первой камере, с \(m+1\) по \(2m\) — во второй камере, и так далее.

Вам дана информация о товарах, хранящихся во всех \(n\) ячейках данного хранилища. Напишите программу, определяющую номер камеры, в которой хранится каждый из \(k\) товаров из списка покупок одного шопоголика. Гарантируется, что все товары из списка имеются в наличии в хранилище. Если товар хранится сразу в нескольких соседних камерах, то требуется вывести номер первой из них.

Формат входных данных

В первой строке вводятся натуральное число \(n\) — количество ячеек в рассматриваемом хранилище и натуральное число \(m\) — количество ячеек в камере хранения (\(1\leqslant n\leqslant 10^6\), \(2\leqslant m\leqslant 10^5\)).

В последующих \(n\) строках вводятся названия товаров, хранящихся в ячейках рассматриваемого хранилища (в порядке возрастания номеров ячеек), — слова, состоящие из строчных латинских букв.

Далее в отдельной строке вводится натуральное число \(k\) — количество товаров, указанных в списке покупок (\(1\leqslant k\leqslant 10^5\)).

В последующих \(k\) строках вводятся названия товаров из списка.

Формат выходных данных

Для каждого товара из списка покупок программа должна вывести в отдельной строке одно натуральное число — номер камеры хранения, в которой находится указанный товар.

Гарантируется, что все товары из списка имеются в наличии в хранилище. Если товар хранится сразу в нескольких соседних камерах, то требуется вывести номер первой из них.

Аптека

Бинарный поиск Бинарный поиск в массиве

Сеть аптек держит все товары в специальном хранилище. Хранилище состоит из ячеек, нумерация которых начинается с единицы. В каждой ячейке находится строго одно лекарство. Одинаковые лекарства хранятся в идущих подряд ячейках. Лекарства в хранилище отсортированы по алфавиту.

В хранилище имеется \(n\) ячеек. Ячейки объединяются в камеры хранения, по \(m\) ячеек в каждой. Камеры хранения нумеруются так же, как и ячейки, начиная с единицы. То есть ячейки с номерами с 1 по \(m\) находятся в первой камере, с \(m+1\) по \(2m\) — во второй камере, и так далее.

Вам дана информация о лекарствах, хранящихся во всех \(n\) ячейках данного хранилища. Напишите программу, определяющую номер камеры, в которой хранится каждое из \(k\) лекарств из рецепта одного больного. Гарантируется, что все лекарства из списка имеются в наличии в хранилище. Если лекарство хранится сразу в нескольких соседних камерах, то требуется вывести номер первой из них.

Формат входных данных

В первой строке вводятся натуральное число \(n\) — количество ячеек в рассматриваемом хранилище и натуральное число \(m\) — количество ячеек в камере хранения (\(1\leqslant n\leqslant 10^6\), \(2\leqslant m\leqslant 10^5\)).

В последующих \(n\) строках вводятся названия лекарств, хранящихся в ячейках рассматриваемого хранилища (в порядке возрастания номеров ячеек), — слова, состоящие из строчных латинских букв.

Далее в отдельной строке вводится натуральное число \(k\) — количество лекарств, указанных в рецепте больного (\(1\leqslant k\leqslant 10^5\)).

В последующих \(k\) строках вводятся названия лекарств из списка.

Формат выходных данных

Для каждого лекарства из рецепта программа должна вывести в отдельной строке одно натуральное число — номер камеры хранения, в которой находится указанное лекарство.

Гарантируется, что все лекарства из списка имеются в наличии в хранилище. Если лекарство хранится сразу в нескольких соседних камерах, то требуется вывести номер первой из них.

Зелье от морской болезни

Бинарный поиск реализация дп *1100

Шкипер Баг ужасно страдает от морской болезни. Единственное спасение — зелье «Штиль», которое продаётся в лавках на островах архипелага. На n островах цены разные: в i-м порту бутылка стоит xi дублонов.

Каждый раз, когда «Нулевой указатель» заходит в порт, у Шкипера Бага с собой разная сумма — зависит от того, не украл ли корабельный кот монеты из кармана. Всего таких заходов будет q. Для каждого захода Шкипер Баг хочет заранее знать: в скольких портах архипелага он смог бы купить зелье, имея столько дублонов?

Формат входных данных
Первая строка: n (1≤n≤100 000) — количество портов.
Вторая строка: n чисел  xi​ (1≤xi≤100 000) — цены на зелье.
Третья строка: q (1≤q≤100 000) — количество заходов в порт.
Следующие q строк: число mi​ (1≤mi≤109) — дублоны Шкипера Бага при i-м заходе.

Формат выходных данных
q чисел — для каждого захода количество портов, где хватит денег.


Примечание: 
При 1 дублоне ни одна лавка недоступна. При 8 — можно купить в 4 лавках (цены 2, 3, 4, 7). При 3 — только одна лавка (цена 2). При 100 дублонах — все пять.

Поиск промежутка равенства для массива-2

Бинарный поиск Бинарный поиск в массиве

Дан массив из n чисел, отсортированный по невозрастанию, и k запросов. Для каждого запроса выведите два числа: номер элемента массива, такой, что все значения с меньшими номерами больше данного числа (если все такие нет вывести n+1), а также номер элемента массива такой, что все значения с большими номерами меньше данного(если таких нет вывести 0) (нумерация элементов массива начинается с 1).


Входные данные

В первой строке входных данных содержатся числа n и k (0 < n, k <= 105) — длина массива и число запросов. Во второй строке содержатся n элементов массива, отсортированного по невозрастанию. В третьей строке содержатся k запросов. Все элементы массива и запросы — целые числа, каждое из которых по модулю не превосходит 2⋅109 .


Выходные данные

Для каждого из k запросов выведите максимальный номер элемента массива, не меньше данного. Если таких нет, выведите 0.