Рассмотрим корневое дерево. В корневом дереве есть одна выделенная вершина — корень. Все ребра ориентированы по направлению от корня. Вершина u является ребенком вершины v, а вершина v является родителем вершины u, если существует ориентированное ребро из v в u. Листом корневого дерева называется вершина, у которой нет детей, и есть родитель.
Назовем корневое дерево елкой, если у каждой вершины, не являющейся листом, хотя бы 3 ребенка являются листами. Вам дано корневое дерево, проверьте, является ли оно елкой.
Определение корневого дерева можно прочитать по ссылке.
Выходные данные
Выведите «Yes», если дерево является елкой, и «No» иначе.
Примечание
Первый пример:

Второй пример:

Это не елка, потому что у вершины 1, которая не является листом, только 2 ребенка являются листьями.
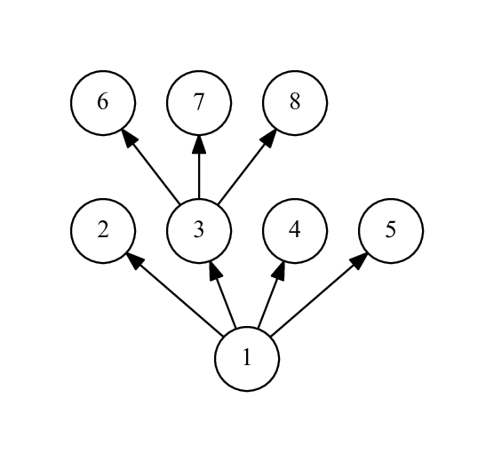
Третий пример:

Примеры
| № | Входные данные | Выходные данные |
|
1
|
4 1 1 1
|
Yes
|
|
2
|
7 1 1 1 2 2 2
|
No
|
|
3
|
8 1 1 1 1 3 3 3
|
Yes
|