Олимпиадный тренинг

Задача . B. Медвежонок и забытое дерево 3


Деревом называется связный неориентированный граф состоящий из n вершин и n - 1 ребра. Вершины пронумерованы от 1 до n.

У полярного медвежонка Лимака было дерево, пока его не украл злой Радевуш. Медвежонок очень расстроился, потому что он помнит о дереве только три числа n, d и h:

  • Дерево состояло ровно из n вершин.
  • Диаметр дерева был равен d. Другими словами, d это максимальное расстояние между какой-то парой вершин дерева.
  • Также Лимак помнит, что если сделать корнем дерева вершину 1, то его высота будет равна h. Другими словами, h это максимальное расстояние от 1 до какой-то другой вершины.

Расстоянием между двумя вершинами дерева называется количество рёбер на простом пути между ними.

Помогите Лимаку найти какое-нибудь дерево, удовлетворяющее всем условиям и выведите его рёбра в произвольном порядке. Если подходящего дерева не существует, то выведите «-1».

Входные данные

В первой строке входных данных содержатся три целых числа n, d и h (2 ≤ n ≤ 100 000, 1 ≤ h ≤ d ≤ n - 1) — количество вершин, диаметр и высота дерева, если сделать вершину номер 1 корнем.

Выходные данные

Если не существует ни одного дерева подходящего под описание Лимака, то выведите «-1» (без кавычек).

В противном случае выведите дерево, подходящее под описание Лимака. В n - 1 строке выведите пары вершин, соединённых рёбрами. Если подходящих деревьев несколько, разрешается вывести любое из них. Рёбра можно выводить в произвольном порядке.

Примечание

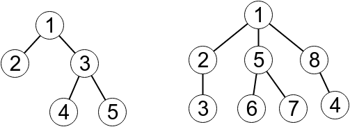
Ниже приведены рисунки для первого и третьего примеров.


Примеры
Входные данныеВыходные данные
1 5 3 2
1 2
1 3
3 4
3 5
2 8 5 2
-1
3 8 4 2
4 8
5 7
2 3
8 1
2 1
5 6
1 5

time 2000 ms
memory 256 Mb
Правила оформления программ и список ошибок при автоматической проверке задач

Статистика успешных решений по компиляторам
 Кол-во
С++ Mingw-w642
Комментарий учителя