Олимпиадный тренинг

Задача . G2. Очень круглый спин (сложная версия)


Это сложная версия задачи. Разница между простой и сложной версиями задачи заключается только в допустимых символах в \(s\). Вы можете делать взломы только в том случае, если обе версии задачи решены.

Дана перестановка \(p\) длины \(n\). Также дана строка \(s\) длины \(n\), содержащая только символы L, R и ?.

Для каждого \(i\) от \(1\) до \(n\):

  • Определим \(l_i\) как наибольший индекс \(j < i\) такой, что \(p_j > p_i\). Если такого индекса не существует, \(l_i := i\).
  • Определим \(r_i\) как наименьший индекс \(j > i\) такой, что \(p_j > p_i\). Если такого индекса не существует, \(r_i := i\).

Изначально есть неориентированный граф с \(n\) вершинами (пронумерованными от \(1\) до \(n\)) и без рёбер. Затем для каждого \(i\) от \(1\) до \(n\) в граф добавляется одно ребро:

  • Если \(s_i =\) L, в граф добавляется ребро \((i, l_i)\).
  • Если \(s_i =\) R, в граф добавляется ребро \((i, r_i)\).
  • Если \(s_i =\) ?, в граф добавляется либо ребро \((i, l_i)\), либо ребро \((i, r_i)\) по вашему выбору.

Найдите максимально возможный диаметр\(^{\text{∗}}\) среди всех связных графов, которые вы можете получить. Выведите \(-1\), если невозможно получить ни один связный граф.

\(^{\text{∗}}\) Пусть \(d(s, t)\) это наименьшее возможное число рёбер на пути от \(s\) до \(t\).

Диаметр графа определяется как наибольшее значение \(d(s, t)\) по всем парам вершин \(s\) и \(t\).

Входные данные

Каждый тест состоит из нескольких наборов входных данных. В первой строке находится одно целое число \(t\) (\(1 \le t \le 2 \cdot 10^4\)) — количество наборов входных данных. Далее следует описание наборов входных данных.

Первая строка каждого набора входных данных содержит одно целое число \(n\) (\(2 \le n \le 4 \cdot 10^5\)) — длину перестановки \(p\).

Вторая строка каждого набора входных данных содержит \(n\) различных целых чисел \(p_1,p_2,\ldots, p_n\) (\(1 \le p_i \le n\)) — элементы \(p\), которые гарантированно являются перестановкой.

Третья строка каждого набора входных данных содержит строку \(s\) длины \(n\). Гарантируется, что строка состоит только из символов L, R и ?.

Гарантируется, что сумма \(n\) по всем наборам входных данных не превышает \(4 \cdot 10^5\).

Выходные данные

Для каждого набора входных данных выведите одно целое число — максимальный диаметр среди всех связных графов, которые вы можете получить, или \(-1\), если таковых нет.

Примечание

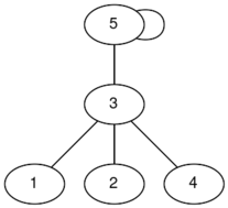
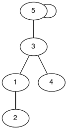
В первом наборе входных данных можно получить два связных графа (в вершинах написаны индексы):

У графа слева диаметр равен \(2\), а у графа справа диаметр равен \(3\), поэтому ответ \(3\).

Во втором наборе входных данных нельзя получить связный граф, поэтому ответ \(-1\).


Примеры
Входные данныеВыходные данные
1 8
5
2 1 4 3 5
R?RL?
2
1 2
LR
3
3 1 2
L?R
7
5 3 1 6 4 2 7
?R?R?R?
5
5 2 1 3 4
?????
6
6 2 3 4 5 1
?LLRLL
8
1 7 5 6 2 8 4 3
?R??????
12
6 10 7 1 8 5 12 2 11 3 4 9
????????????
3
-1
-1
4
4
3
5
8

time 7000 ms
memory 1024 Mb
Правила оформления программ и список ошибок при автоматической проверке задач

Статистика успешных решений по компиляторам
 Кол-во
С++ Mingw-w643
Комментарий учителя