Олимпиадный тренинг

Задача . E. Прекрасное дерево!


Да благословят боги этот прекрасный ArrayForces!
Случайная галька

Дано дерево с \(n\) вершинами с корнем в вершине \(1\), в \(i\)-й вершине записано целое число \(a_i\).

Пусть \(L\) — это множество всех прямых сыновей\(^{\text{∗}}\) вершины \(v\). Назовём дерево прекрасным, если для всех вершин \(v\) с непустым \(L\) верно \(\)a_v \le \sum_{u \in L}{a_u}.\(\)

За одну операцию вы можете выбрать любую вершину \(v\) и увеличить значение \(a_v\) на \(1\).

Найдите минимальное количество операций, необходимых для того, чтобы сделать данное дерево прекрасным!

\(^{\text{∗}}\) Вершина \(u\) называется прямым сыном \(v\), если:

  • \(u\) и \(v\) соединены ребром, и
  • \(v\) лежит на (единственном) пути от \(u\) до корня дерева.
Входные данные

Каждый тест состоит из нескольких наборов входных данных. В первой строке находится одно целое число \(t\) (\(1 \le t \le 1000\)) — количество наборов входных данных. Далее следует описание наборов входных данных.

Первая строка каждого набора входных данных содержит одно целое число \(n\) (\(2 \le n \le 5000\)) — количество вершин в дереве.

Вторая строка каждого набора входных данных содержит \(n\) целых чисел \(a_1, a_2, \ldots, a_n\) (\(0 \le a_i \le 10^9\)) — значения, написанные на вершинах дерева.

Третья строка каждого набора входных данных содержит \(n - 1\) целых чисел \(p_2, p_3 , \ldots, p_n\) (\(1 \le p_i < i\)), каждое из которых означает, что в графе есть ребро между вершинами \(i\) и \(p_i\). Гарантируется, что данные ребра образуют дерево.

Гарантируется, что сумма \(n\) по всем наборам входных данных не превышает \(5000\).

Выходные данные

Для каждого набора входных данных выведите одно целое число — минимальное количество операций, необходимых для того, чтобы сделать данное дерево прекрасным!

Примечание

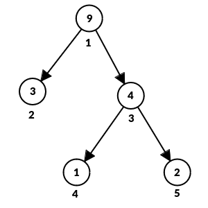
Дерево в первом наборе входных данных:

Вы можете применить операцию к вершине \(5\) и дважды к вершине \(2\), чтобы получить прекрасное дерево.

Во втором наборе входных данных вы можете два раза применить операцию к вершине \(2\), чтобы получить прекрасное дерево.

В третьих и четвёртых наборах входных данных дерево уже прекрасно, поэтому применять операций не надо.


Примеры
Входные данныеВыходные данные
1 4
5
9 3 4 1 2
1 1 3 3
2
5 3
1
2
36 54
1
3
0 0 0
1 2
3
2
0
0

time 2000 ms
memory 256 Mb
Правила оформления программ и список ошибок при автоматической проверке задач

Статистика успешных решений по компиляторам
 Кол-во
С++ Mingw-w643
Комментарий учителя