Олимпиадный тренинг

Задача . E. Саша и веселая нарезка дерева


Саше за победу на очередной олимпиаде подарили дерево\(^{\dagger}\) из \(n\) вершин. Но, вернувшись домой после празднования очередной победы, он заметил его потерю. Саша помнит, что он покрасил некоторые рёбра этого дерева. При этом он точно знает, что для любой из \(k\) пар вершин \((a_1, b_1), \ldots, (a_k, b_k)\) он покрасил хотя бы одно ребро на простом пути\(^{\ddagger}\) между вершинами \(a_i\) и \(b_i\).

Саша не помнит, сколько рёбер он точно покрасил, так что он просит вас сказать, какое минимальное количество рёбер он мог покрасить, чтобы выполнялось описанное выше условие.

\(^{\dagger}\)Деревом называется неориентированный связный граф без циклов.

\(^{\ddagger}\)Простой путь — это путь, проходящий через каждую вершину не более одного раза.

Входные данные

Каждый тест состоит из нескольких наборов входных данных. Первая строка содержит одно целое число \(t\) (\(1 \le t \le 10^4\)) — количество наборов входных данных. Далее следует описание наборов входных данных.

Первая строка каждого набора входных данных содержит одно целое число \(n\) (\(2 \leq n \leq 10^5\)) — количество вершин в дереве.

Следующие \((n - 1)\) строка описывают рёбра дерева. \(i\)-я из них содержит два целых числа \(u_i\) и \(v_i\) (\(1 \leq u_i, v_i \leq n\), \(u_i \ne v_i\)) — номера вершин, которые соединяет \(i\)-е ребро.

Следующая строка содержит одно целое число \(k\) (\(1 \leq k \leq 20\)) — количество пар вершин, на простом пути между которыми Саша покрасил хотя бы одно ребро.

Следующие \(k\) строк описывают пары. \(j\)-я из них содержит два целых числа \(a_j\) и \(b_j\) (\(1 \leq a_j, b_j \leq n, a_j \neq b_j\)) — вершины в \(j\)-й паре.

Гарантируется, что сумма \(n\) по всем наборам входных данных не превосходит \(10^5\). Гарантируется, что сумма \(2^k\) по всем наборам входных данных не превосходит \(2^{20}\).

Выходные данные

Для каждого набора входных данных выведите одно целое число — минимальное количество рёбер, которое мог покрасить Саша.

Примечание

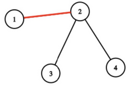
В первом наборе входных данных Саша мог покрасить только одно ребро \((1, 2)\). Тогда на простом пути между вершинами \(1\) и \(3\) и вершинами \(4\) и \(1\) будет хотя бы одно покрашенное ребро.

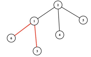
Во втором наборе входных данных Саша мог покрасить рёбра \((1, 6)\) и \((1, 3)\).


Примеры
Входные данныеВыходные данные
1 3
4
1 2
2 3
2 4
2
1 3
4 1
6
1 2
3 1
6 1
5 2
4 2
3
3 1
3 6
2 6
5
1 2
2 3
3 4
4 5
4
1 2
2 3
3 4
4 5
1
2
4

time 2000 ms
memory 256 Mb
Правила оформления программ и список ошибок при автоматической проверке задач

Статистика успешных решений по компиляторам
 Кол-во
С++ Mingw-w644
Комментарий учителя