Олимпиадный тренинг

Задача . E2. ПерестановДерево (сложная версия)


Это сложная версия задачи. Различия между двумя версиями заключаются в ограничении на \(n\) и ограничении по времени. Делать взломы можно только в том случае, если решены обе версии задачи.

Дано дерево с \(n\) вершинами с корнем в вершине \(1\).

Для некоторой перестановки\(^\dagger\) \(a\) длины \(n\) пусть \(f(a)\) — количество пар вершин \((u, v)\) таких, что \(a_u < a_{\operatorname{lca}(u, v)} < a_v\). Здесь \(\operatorname{lca}(u,v)\) обозначает наименьшего общего предка вершин \(u\) и \(v\).

Найдите максимально возможное значение \(f(a)\) по всем перестановкам \(a\) длины \(n\).

\(^\dagger\) Перестановкой длины \(n\) является массив, состоящий из \(n\) различных целых чисел от \(1\) до \(n\) в произвольном порядке. Например, \([2,3,1,5,4]\) — перестановка, но \([1,2,2]\) не перестановка (\(2\) встречается в массиве дважды) и \([1,3,4]\) тоже не перестановка (\(n=3\), но в массиве встречается \(4\)).

Входные данные

Первая строка содержит одно целое число \(n\) (\(2 \le n \le 10^6\)) — количество вершин в дереве.

Вторая строка содержит \(n - 1\) целых чисел \(p_2,p_3,\ldots,p_n\) (\(1 \le p_i < i\)), указывающих на наличие ребра между вершинами \(i\) и \(p_i\).

Выходные данные

Выведите максимальное значение \(f(a)\).

Примечание

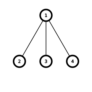
Дерево в первом примере:

Одной возможной оптимальной перестановкой \(a\) является \([2, 1, 4, 5, 3]\) с \(4\)-мя подходящими парами вершин:

  • \((2, 3)\), так как \(\operatorname{lca}(2, 3) = 1\) и \(1 < 2 < 4\),
  • \((2, 4)\), так как \(\operatorname{lca}(2, 4) = 1\) и \(1 < 2 < 5\),
  • \((2, 5)\), так как \(\operatorname{lca}(2, 5) = 1\) и \(1 < 2 < 3\),
  • \((5, 4)\), так как \(\operatorname{lca}(5, 4) = 3\) и \(3 < 4 < 5\).

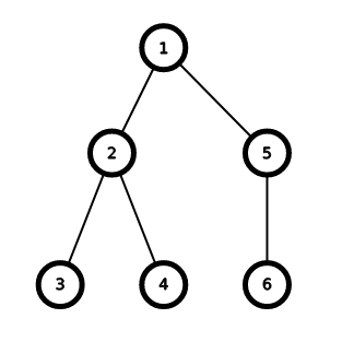
Дерево в третьем примере:

Дерево в четвёртом примере:


Примеры
Входные данныеВыходные данные
1 5
1 1 3 3
4
2 2
1
0
3 6
1 2 2 1 5
7
4 4
1 1 1
2

time 3000 ms
memory 512 Mb
Правила оформления программ и список ошибок при автоматической проверке задач

Статистика успешных решений по компиляторам
 Кол-во
С++ Mingw-w643
Комментарий учителя