Олимпиадный тренинг

Задача . C. Сумма в бинарном дереве


Ване очень нравится математика. Однажды, когда он решал очередную задачу по математике, он придумал интересное дерево. Это дерево строится следующим образом.

Изначально в дереве есть только одна вершина с номером \(1\) — корень дерева. Затем, Ваня добавляет к ней двух детей, присваивая им последовательные номера — \(2\) и \(3\) соответственно. После этого, он будет добавлять детей к вершинам по возрастанию их номеров, начиная с \(2\), присваивая их детям минимальные не занятые номера. В итоге, у Вани получится бесконечное дерево с корнем в вершине \(1\), где каждая вершина будет иметь ровно два ребенка, а номера вершин будут расположены последовательно по слоям.

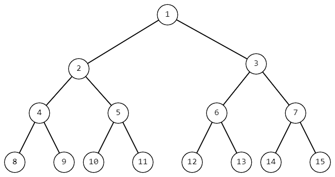
Часть дерева Вани.

Ване стало интересно, чему равна сумма номеров вершин на пути от вершины с номером \(1\) до вершины с номером \(n\) в таком дереве. Так как Ваня не любит считать, он попросил Вас помочь ему узнать эту сумму.

Входные данные

Первая строка входных данных содержит одно целое число \(t\) (\(1 \le t \le 10^4\)) — количество наборов входных данных.

Далее следует \(t\) строк — описание наборов входных данных. Каждая строка содержит одно целое число \(n\) (\(1 \le n \le 10^{16}\)) — номер вершины, для которой Ваня хочет посчитать сумму номеров вершин на пути от корня до этой вершины.

Выходные данные

Для каждого набора входных данных выведите одно целое число — искомую сумму.

Примечание

В первом наборе данных примера на пути от корня до вершины \(3\) лежат две вершины \(1\) и \(3\), для них сумма равна \(4\).

Во втором наборе данных примера на пути от корня до вершины с номером \(10\) лежат вершины \(1\), \(2\), \(5\), \(10\), сумма их номеров равна \(1+2+5+10 = 18\).


Примеры
Входные данныеВыходные данные
1 6
3
10
37
1
10000000000000000
15
4
18
71
1
19999999999999980
26

time 1000 ms
memory 256 Mb
Правила оформления программ и список ошибок при автоматической проверке задач

Статистика успешных решений по компиляторам
 Кол-во
С++ Mingw-w643
Комментарий учителя