Олимпиадный тренинг

Задача . G. Симмеtreeя


Киду подарили дерево из \(n\) вершин с корнем в вершине \(1\). Так как он очень любит симметричные объекты, Кид хочет узнать симметрично ли это дерево.

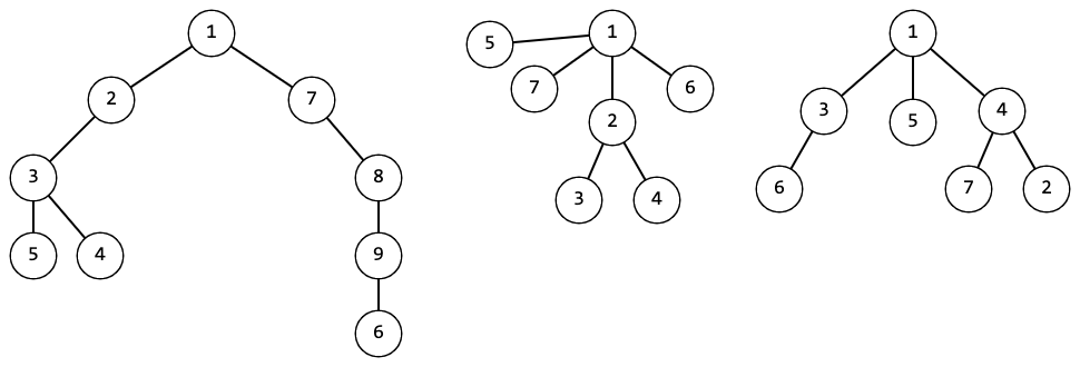
Например, деревья на картинке выше симметричны.
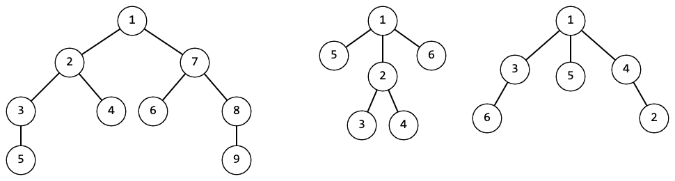
А деревья на этой картинке не симметричны.

Более формально, дерево является симметричным, если существует такой порядок детей, что:

  • Поддерево самого левого ребёнка корня является зеркальным отражением поддерева самого правого ребёнка;
  • поддерево второго слева ребёнка корня является зеркальным отражением поддерева второго справа ребёнка корня;
  • ...
  • если число детей корня нечётно, то поддерево среднего ребёнка должно быть симметрично.
Входные данные

Первая строка входных данных содержит единственное число \(t\) (\(1 \le t \le 10^4\)) — количество наборов входных данных в тесте.

Первая строка каждого набора содержит целое число \(n\) (\(1 \le n \le 2 \cdot 10^5\)) — количество вершин в дереве.

Следующие \(n-1\) строк содержат по два числа \(u\) и \(v\) (\(1 \le u, v \le n\), \(u \neq v\)) — номера вершин, соединённых ребром.

Гарантируется, что сумма \(n\) по всем наборам не превосходит \(2 \cdot 10^5\).

Выходные данные

Выведите \(t\) строк, каждая из которых является ответом на соответствующий набор входных данных. В качестве ответа выведите «YES», если данное дерево симметрично, и «NO» в противном случае.

Вы можете выводить ответ в любом регистре (например, строки «yEs», «yes», «Yes» и «YES» будут распознаны как положительный ответ).


Примеры
Входные данныеВыходные данные
1 6
6
1 5
1 6
1 2
2 3
2 4
7
1 5
1 3
3 6
1 4
4 7
4 2
9
1 2
2 4
2 3
3 5
1 7
7 6
7 8
8 9
10
2 9
9 10
2 3
6 7
4 3
1 2
3 8
2 5
6 5
10
3 2
8 10
9 7
4 2
8 2
2 1
4 5
6 5
5 7
1
YES
NO
YES
NO
NO
YES

time 2000 ms
memory 256 Mb
Правила оформления программ и список ошибок при автоматической проверке задач

Статистика успешных решений по компиляторам
 Кол-во
С++ Mingw-w643
Комментарий учителя