Олимпиадный тренинг

Задача . F. Li Hua и путь


У Li Hua есть дерево из \(n\) вершин и \(n-1\) рёбер. Вершины пронумерованы от \(1\) до \(n\).

Пара вершин \((u,v)\) (\(u < v\)) считается милой, если ровно одно из следующих двух утверждений истинно:

  • \(u\) является вершиной с минимальным индексом среди всех вершин на пути \((u,v)\).
  • \(v\) — вершина с максимальным индексом среди всех вершин на пути \((u,v)\).

Будет выполнено \(m\) операций. В каждой операции Li Hua выбирает целое число \(k_j\), затем вставляет в дерево вершину с номером \(n+j\), соединяющуюся с вершиной номер \(k_j\).

Он хочет подсчитать количество милых пар вершин до операций и после каждой операции.

Предположим, что вы Li Hua. Пожалуйста, решите эту задачу.

Входные данные

Первая строка содержит одно целое число \(n\) (\(2\le n\le 2\cdot 10^5\)) — количество вершин в дереве.

Следующие \(n-1\) строк содержат ребра дерева. В \(i\)-й строке записаны два целых числа \(u_i\) и \(v_i\) (\(1\le u_i,v_i\le n\); \(u_i\ne v_i\)) — соответствующее ребро. Данные рёбра образуют дерево.

Следующая строка содержит одно целое число \(m\) (\(1\le m\le 2\cdot 10^5\)) — количество операций.

Следующие \(m\) строк содержат операции — по одной операции в строке. В \(j\)-й операции содержится одно целое число \(k_j\) (\(1\le k_j < n+j\)) — вершина.

Выходные данные

Выведите \(m+1\) целых чисел — количество милых пар вершин до операций и после каждой операции.

Примечание

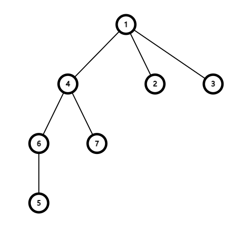
Начальное дерево показано на следующем рисунке:

Существует \(11\) милых пар — \((1,5),(2,3),(2,4),(2,6),(2,7),(3,4),(3,6),(3,7),(4,5),(5,7),(6,7)\).

Аналогично, мы можем посчитать милые пары после каждой операции, и результатами будут \(15\) и \(19\).


Примеры
Входные данныеВыходные данные
1 7
2 1
1 3
1 4
4 6
4 7
6 5
2
5
6
11
15
19

time 2000 ms
memory 256 Mb
Правила оформления программ и список ошибок при автоматической проверке задач

Статистика успешных решений по компиляторам
 Кол-во
С++ Mingw-w643
Комментарий учителя