Олимпиадный тренинг

Задача . D. Li Hua и дерево


У Li Hua есть дерево с \(n\) вершинами и \(n-1\) ребром. Корнем дерева является вершина \(1\). Каждая вершина \(i\) имеет важность \(a_i\). Обозначим размер поддерева как количество вершин в нем, а важность как сумму важности вершин в нем. Обозначим тяжелым сыном нелистовой вершины сына с наибольшим размером поддерева. Если таких вершин несколько, то тяжёлым сыном будет та, у которой индекс минимален.

Li Hua хочет выполнить \(m\) операций:

  • «1 \(x\)» (\(1\leq x \leq n\)) — вычислить важность поддерева, корнем которого является \(x\).
  • «2 \(x\)» (\(2\leq x \leq n\)) — повернуть тяжёлого сына поддерева \(x\) вверх. Формально, обозначим как \(son_x\) тяжелого сына \(x\), \(fa_x\) как отца \(x\). Он хочет удалить ребро между \(x\) и \(fa_x\) и добавить ребро между \(son_x\) и \(fa_x\). Гарантируется, что \(x\) не является корнем, но не гарантируется, что \(x\) не является листом. Если \(x\) является листом, проигнорируйте эту операцию.

Предположим, что вы Li Hua. Пожалуйста, решите эту задачу.

Входные данные

Первая строка содержит 2 целых числа \(n,m\) (\(2\le n\le 10^{5},1\le m\le 10^{5}\)) — количество вершин в дереве и количество операций.

Вторая строка содержит \(n\) целых чисел \(a_{1},a_{2},\ldots ,a_{n}\) (\(-10^{9}\le a_{i}\le 10^{9}\)) — важность каждой вершины.

Следующие \(n-1\) строк содержат рёбра дерева. В \(i\)-й строке записаны два целых числа \(u_i\) и \(v_i\) (\(1\le u_i,v_i\le n\), \(u_i\ne v_i\)) — соответствующее ребро. Данные рёбра образуют дерево.

Следующие \(m\) строк содержат операции — по одной операции в строке. \(j\)-я операция содержит два целых числа \(t_{j},x_{j}\) (\(t_{j}\in \{1,2\}\), \(1 \leq x_{j} \leq n\), \(x_{j}\neq 1\) если \(t_j = 2\)) — \(j\)-я операция.

Выходные данные

Для каждого запроса вида «1 \(x\)» выведите ответ в отдельной строке.

Примечание

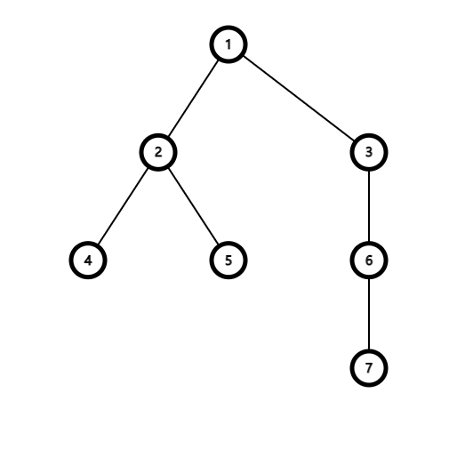
В первом примере:

Начальное дерево показано на следующем рисунке:

Важность поддерева \(6\) равна \(a_6+a_7=2\).

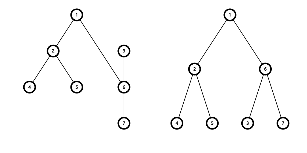
После поворота тяжелого сына вершины \(3\) (которым является \(6\)) вверх, дерево будет выглядеть следующим образом:

Важность поддерева \(6\) равна \(a_6+a_3+a_7=3\).

Важность поддерева \(2\) - \(a_2+a_4+a_5=3\).


Примеры
Входные данныеВыходные данные
1 7 4
1 1 1 1 1 1 1
1 2
1 3
2 4
2 5
3 6
6 7
1 6
2 3
1 6
1 2
2
3
3
2 10 14
-160016413 -90133231 -671446275 -314847579 -910548234 121155052 -359359950 83112406 -704889624 145489303
1 6
1 10
10 8
1 4
3 4
2 7
2 5
3 2
9 8
1 4
2 2
2 4
1 4
1 10
2 10
1 9
1 6
2 8
2 10
1 5
1 8
1 1
2 5
-2346335269
-314847579
-476287915
-704889624
121155052
-1360041415
228601709
-2861484545

time 2000 ms
memory 256 Mb
Правила оформления программ и список ошибок при автоматической проверке задач

Статистика успешных решений по компиляторам
 Кол-во
С++ Mingw-w643
Комментарий учителя