Олимпиадный тренинг

Задача . E. Разметка дерева расстояниями


Вам задано невзвешенное дерево из \(n\) вершин, пронумерованных от \(1\) до \(n\), и список из \(n-1\) целого числа \(a_1, a_2, \ldots, a_{n-1}\). Дерево — это связный неориентированный граф без циклов. Вы можете использовать каждый элемент списка, чтобы пометить одну из вершин дерева. Никакая вершина не должна быть помечена дважды. Вы можете пометить единственную оставшуюся непомеченной вершину любым целым числом.

Вершина \(x\) называется хорошей, если можно так пометить вершины, чтобы для каждой вершины \(i\) ее метка была равна расстоянию между \(x\) и \(i\). Расстояние между двумя вершинами \(s\) и \(t\) на дереве — это минимальное количество ребер на пути, который начинается в вершине \(s\) и заканчивается в вершине \(t\).

Найдите все хорошие вершины.

Входные данные

Первая строка содержит одно целое число \(n\) (\(2\le n\le 2\cdot 10^5\)) — число вершин в дереве.

Вторая строка содержит \(n - 1\) целое число \(a_1,a_2,\ldots,a_{n-1}\) (\(0\le a_i < n\)) — заданный список.

Затем следуют \(n−1\) строк. Каждая из них содержит два целых числа \(u\) и \(v\) (\(1\le u,v\le n\)), обозначающие ребро между вершинами \(u\) и \(v\). Гарантируется, что ребра образуют дерево.

Выходные данные

В первой строке выведите количество хороших вершин.

Во второй строке выведите номера всех хороших вершин в порядке возрастания.

Примечание

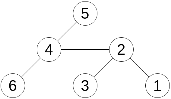
На рисунке ниже показано дерево для первого примера:

На рисунке ниже показаны две возможные разметки, такие что \(2\) — хорошая вершина (слева) и \(4\) — хорошая вершина (справа).

Квадрат под каждой вершиной означает ее метку. Черные квадраты содержат числа, которые были в данном списке, а единственный белый квадрат содержит единственное число, которого не было в данном списке.

Во втором примере единственной хорошей вершиной является вершина \(3\).

В третьем примере хороших вершин нет.


Примеры
Входные данныеВыходные данные
1
6
2 1 0 1 2
1 2
2 3
2 4
4 5
4 6
2
2 4
2
5
1 2 1 2
1 2
3 2
3 4
5 4
1
3
3
3
2 2
1 2
2 3
0

time 4000 ms
memory 256 Mb
Правила оформления программ и список ошибок при автоматической проверке задач

Статистика успешных решений по компиляторам
 Кол-во
С++3
Комментарий учителя