Олимпиадный тренинг

Задача . D. Маша и красивое дерево


Девочка Маша гуляла в лесу и нашла полное бинарное дерево высоты \(n\) и перестановку \(p\) длины \(m=2^n\).

Полное бинарное дерево высоты \(n\) — это такое корневое дерево, что каждая вершина кроме листьев имеет ровно двух сыновей, а длина пути от корня до любого из листьев равна \(n\). Ниже на картинке изображено полное бинарное дерево для \(n=2\).

Перестановкой называется массив, состоящий из \(n\) различных целых чисел от \(1\) до \(n\). Например, [\(2,3,1,5,4\)] является перестановкой, а [\(1,2,2\)] не является (\(2\) встречается дважды), и [\(1,3,4\)] тоже не является перестановкой (\(n=3\), но в массиве есть \(4\)).

Пронумеруем \(m\) листьев этого дерева слева направо. В листе с номером \(i\) записано значение \(p_i\) (\(1 \le i \le m\)).

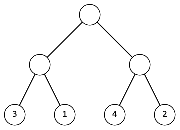
Например, если \(n = 2\), \(p = [3, 1, 4, 2]\), дерево будет выглядеть так:

Маша считает дерево красивым, если значения в его листьях упорядочены слева направо по возрастанию.

За одну операцию Маша может выбрать произвольную не являющуюся листом вершину дерева и поменять местами ее левого и правого сына (вместе с их поддеревьями).

Например, если Маша применит эту операцию к корню рассмотренного выше дерева, оно приобретет следующий вид:

Помогите Маше понять, сможет ли она за некоторое количество операций сделать дерево красивым. Если сможет, то выведите минимальное количество операций, чтобы сделать дерево красивым.

Входные данные

В первой строке дано число \(t\) (\(1 \le t \le 10^4\)) — количество наборов входных данных.

В каждом наборе входных данных в первой строке дано целое число \(m\) (\(1 \le m \le 262144\)), являющееся степенью двойки  — размер перестановки \(p\).

Во второй строке даны \(m\) целых чисел: \(p_1, p_2, \dots, p_m\) (\(1 \le p_i \le m\)) — перестановка \(p\).

Гарантируется, что сумма значений \(m\) по всем наборам входных данных не превосходит \(3 \cdot 10^5\).

Выходные данные

Для каждого набора входных данных в отдельной строке выведите минимальное возможное количество операций, за которое Маша сможет сделать дерево красивым или -1, если это невозможно.

Примечание

Рассмотрим первый тест.

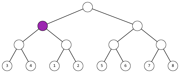
В первом наборе входных данных можно действовать так (фиолетовым цветом выделена вершина, к которой на текущем шаге применяется операция):

Можно показать, что нельзя сделать дерево красивым за меньшее число операций.

Во втором наборе входных данных можно показать, что нельзя сделать дерево красивым.

В третьем наборе входных данных дерево сразу является красивым.


Примеры
Входные данныеВыходные данные
1 4
8
6 5 7 8 4 3 1 2
4
3 1 4 2
1
1
8
7 8 4 3 1 2 6 5
4
-1
0
-1

time 2000 ms
memory 256 Mb
Правила оформления программ и список ошибок при автоматической проверке задач

Статистика успешных решений по компиляторам
 Кол-во
С++ Mingw-w645
Комментарий учителя