Олимпиадный тренинг

Задача . D. Восстановление дерева


У Родокса есть дерево из \(n\) вершин, но он не помнит его структуру. Вершины дерева пронумерованы от \(1\) до \(n\).

Отрезок \([l,r]\) (\(1 \leq l \leq r \leq n\)) называется хорошим, если вершины \(l\), \(l + 1\), ..., \(r\) образуют связную компоненту в дереве Родокса. Иначе отрезок называется плохим.

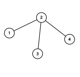
Например, для дерева на рисунке ниже только отрезок \([3,4]\) является плохим, а все остальные отрезки хорошие.

Для каждого из \(\frac{n(n+1)}{2}\) отрезков Родокс помнит, хорошим является этот отрезок, или плохим. Можете помочь ему восстановить дерево? Если существуют несколько решений, выведите любое из них.

Гарантируется, что существует хотя бы одно дерево, подходящее под описание Родокса.

Входные данные

Каждый тест состоит из нескольких наборов входных данных. В первой строке находится одно целое число \(t\) (\(1 \leq t \leq 1000\)) — количество наборов входных данных. Далее следует описание наборов входных данных.

Первая строка каждого набора входных данных содержит целое число \(n\) (\(1 \leq n \leq 2000\)) — количество вершин.

Далее следуют \(n\) строк. \(i\)-я из этих строк содержит строку \(good_i\) длины \(n+1-i\), состоящую из цифр 0 и 1. Если отрезок \([i,i+j-1]\) является хорошим, то \(j\)-й символ строки \(good_i\) равен 1, иначе \(j\)-й символ строки \(good_i\) равен 0.

Гарантируется, что существует хотя бы одно дерево, подходящее под данное описание. .

Гарантируется, что сумма значений \(n\) по всем наборам входных данных не превосходит \(2000\).

Выходные данные

Для каждого набора входных данных выведите \(n-1\) строку, описывающую ваше дерево.

В \(i\)-й из этих строк выведите два целых числа \(u_i\) и \(v_i\) (\(1 \leq u_i,v_i \leq n\)), означающие, что в дереве есть ребро между вершинами \(u_i\) и \(v_i\).

Если существуют несколько решений, выведите любое из них.

Примечание

Первый пример объяснен в условии.

Во втором примере одно из возможных деревьев следующее:

В третьем примере одно из возможных деревьев следующее:


Примеры
Входные данныеВыходные данные
1
3
4
1111
111
10
1
6
111111
11111
1111
111
11
1
12
100100000001
11100000001
1000000000
100000000
10010001
1110000
100000
10000
1001
111
10
1
1 2
2 3
2 4
1 2
2 3
3 4
4 5
5 6
2 3
6 7
10 11
2 4
6 8
10 12
1 4
5 8
9 12
5 12
2 12

time 3000 ms
memory 256 Mb
Правила оформления программ и список ошибок при автоматической проверке задач

Статистика успешных решений по компиляторам
 Кол-во
С++4
Комментарий учителя