Олимпиадный тренинг

Задача . G. Сколько путей?


Задан ориентированный граф \(G\), в котором допустимы петли (то есть рёбра из вершины в себя). В \(G\) отсутствуют кратные рёбра, то есть для каждой упорядоченной пары вершин \((u, v)\) существует не более одного ребра из \(u\) в \(v\). Вершины пронумерованы от \(1\) до \(n\).

Назовём путем из \(u\) в \(v\) такую последовательность рёбер, что:

  • вершина \(u\) является началом первого ребра пути;
  • вершина \(v\) является концом последнего ребра пути;
  • для любой пары соседних рёбер следующее ребро начинается с вершины, на которую заканчивается предыдущее ребро.

Дополнительно будем считать, что пустая последовательность рёбер — это путь из \(u\) в \(u\).

Для каждой вершины \(v\) выведите одно из четырёх значений:

  • \(0\), если не существует пути из \(1\) в \(v\);
  • \(1\), если существует ровно один путь из \(1\) в \(v\);
  • \(2\), если существует более одного пути из \(1\) в \(v\) и это число является конечной величиной;
  • \(-1\), если существует бесконечно много путей из \(1\) в \(v\).

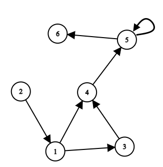
Рассмотрим пример, изображённый на рисунке.

Тогда:

  • ответ для вершины \(1\) равен \(1\): существует ровно один путь из \(1\) в \(1\) (путь длины \(0\));
  • ответ для вершины \(2\) равен \(0\): не существует пути из \(1\) в \(2\);
  • ответ для вершины \(3\) равен \(1\): существует ровно один путь из \(1\) в \(3\) (это ребро \((1, 3)\));
  • ответ для вершины \(4\) равен \(2\): существует более одного, но конечное число путей из \(1\) в \(4\) (два пути: \([(1, 3), (3, 4)]\) и \([(1, 4)]\));
  • ответ для вершины \(5\) равен \(-1\): существует бесконечно много путей из \(1\) в \(5\) (петля может быть использована в пути сколько угодно раз);
  • ответ для вершины \(6\) равен \(-1\): существует бесконечно много путей из \(1\) в \(6\) (петля может быть использована в пути сколько угодно раз).
Входные данные

В первой строке записано целое число \(t\) (\(1 \le t \le 10^4\)) — количество наборов входных данных в тесте. Далее заданы описания \(t\) наборов входных данных. Перед каждым из них в тесте содержится пустая строка.

В первой строке набора входных данных записаны два целых числа \(n\) и \(m\) (\(1 \le n \le 4 \cdot 10^5, 0 \le m \le 4 \cdot 10^5\)) — количество вершин и рёбер в графе, соответственно. Далее входные данные содержат \(m\) строк с описаниями рёбер. Каждая строка состоит из двух целых чисел \(a_i\), \(b_i\) (\(1 \le a_i, b_i \le n\)) — начало и конец \(i\)-го ребра. Вершины графа пронумерованы от \(1\) до \(n\). Заданный граф может содержать петли (допустимо \(a_i = b_i\)), но не может содержать кратных рёбер (недопустимо \(a_i = a_j\) и \(b_i = b_j\) для \(i \ne j\)).

Сумма значений \(n\) по всем наборам входных данных в тесте не превосходит \(4 \cdot 10^5\). Аналогично, сумма значений \(m\) по всем наборам входных данных в тесте не превосходит \(4 \cdot 10^5\).

Выходные данные

Выведите \(t\) строк. \(i\)-я строка должна содержать ответ на \(i\)-й набор входных данных — последовательность \(n\) целых чисел от \(-1\) до \(2\).


Примеры
Входные данныеВыходные данные
1
5

6 7
1 4
1 3
3 4
4 5
2 1
5 5
5 6

1 0

3 3
1 2
2 3
3 1

5 0

4 4
1 2
2 3
1 4
4 3
1 0 1 2 -1 -1
1
-1 -1 -1
1 0 0 0 0
1 1 2 1

time 4000 ms
memory 512 Mb
Правила оформления программ и список ошибок при автоматической проверке задач

Статистика успешных решений по компиляторам
 Кол-во
С++5
Комментарий учителя