Олимпиадный тренинг

Задача . B. Древесный массив


Вам задано дерево, состоящее из \(n\) вершин. По заданному дереву вы строите массив, отмечая вершины по одной.

Первоначально, когда еще не помечено ни одной вершины, вы выбираете вершину равновероятно по всем вершинам дерева и отмечаете ее.

После этого, пока еще остаются непомеченные вершины, вы выбираете и помечаете вершину равновероятно среди всех еще непомеченных, но связанных по ребру хотя бы с одной помеченной вершиной.

Можно доказать, что данный процесс пометит все вершины в дереве.

Финальный массив \(a\) — это список номеров вершин в порядке, в котором они были помечены.

Определите математическое ожидание количества инверсий в массиве, полученном на основе заданного дереве с помощью описанного выше алгоритма.

Количество инверсий в массиве \(a\) — это количество пар индексов \((i, j)\) таких, что \(i < j\) и \(a_i > a_j\). Например, в массиве \([4, 1, 3, 2]\) количество инверсий равно \(4\): \((1, 2)\), \((1, 3)\), \((1, 4)\), \((3, 4)\).

Входные данные

В первой строке задано одно целое число \(n\) (\(2 \le n \le 200\)) — количество вершин в дереве.

В следующих \(n - 1\) строках заданы по два целых числа \(x\) и \(y\) (\(1 \le x, y \le n\); \(x \neq y\)), означающие ребро между вершинами \(x\) и \(y\).

Гарантируется, что заданные ребра образуют дерево.

Выходные данные

Выведите математическое ожидание количества инверсий в построенном массиве по модулю \(10^9+7\).

Формально, пусть \(M = 10^9+7\). Можно показать, что ответ может быть представлен в виде несократимой дроби \(\frac{p}{q}\), где \(p\) и \(q\) — целые числа, и \(q \not \equiv 0 \pmod{M}\). Выведите целое число, равное \(p \cdot q^{-1} \bmod M\). Другими словами, выведите такое целое число \(x\), что \(0 \le x < M\) и \(x \cdot q \equiv p \pmod{M}\).

Примечание

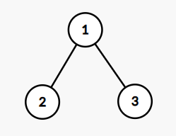
Изображение дерева из первого примера:

В первом примере получающиеся массивы почти фиксированы. Если первоначально выбрана вершина \(2\), то единственный возможный массив — это \([2, 1, 3]\) (\(1\) инверсия). Если первоначально выбрана вершина \(3\), то единственный возможный массив — это \([3, 1, 2]\) (\(2\) инверсии). Если первоначально выбрана вершина \(1\), то массивы \([1, 2, 3]\) (\(0\) инверсий) и \([1, 3, 2]\) (\(1\) инверсия) — это единственные варианты и они равновероятны. В результате математическое ожидание количества инверсий равно \(\frac{1}{3}\cdot 1 + \frac{1}{3} \cdot 2 + \frac{1}{3} \cdot (\frac{1}{2} \cdot 0 + \frac{1}{2} \cdot 1) = \frac{7}{6}\).

\(166666669 \cdot 6 = 7 \pmod {10^9 + 7}\), то есть ответ равен \(166666669\).

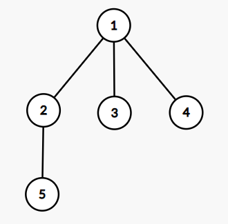
Изображение дерева из второго примера:

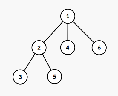
Изображение дерева из третьего примера:


Примеры
Входные данныеВыходные данные
1 3
1 2
1 3
166666669
2 6
2 1
2 3
6 1
1 4
2 5
500000009
3 5
1 2
1 3
1 4
2 5
500000007

time 2000 ms
memory 256 Mb
Правила оформления программ и список ошибок при автоматической проверке задач

Статистика успешных решений по компиляторам
 Кол-во
С++ Mingw-w642
Комментарий учителя