Олимпиадный тренинг

Задача . E. Mashtali и деревья Hagh


Сегодня у Mashtali день рождения! Он получил в подарок от Haj Davood дерево Hagh!

Ориентированное дерево называется деревом Hagh, если:

  • Длина самого длинного ориентированного пути в нем равна ровно \(n\).
  • Каждая вершина имеет не более трех ребер, присоединенных к ней (исходящих и входящих вместе).
  • Назовем вершины \(u\) и \(v\) друзьями, если из одной из них есть ориентированный путь к другой. Для каждой пары вершин \(u\) и \(v\), которые не являются друзьями, должна существовать вершина \(w\), которая дружит и с \(u\), и с \(v\) (общий друг).

Открыв свой подарок, Mashtali обнаружил, что номера вершин с вершин исчезли.

Тогда он спросил себя: сколько существует различных непомеченных деревьев Hagh? Другими словами, сколько возможных деревьев он мог получить в подарок на день рождения?

На первый взгляд, число таких деревьев кажется бесконечным, поскольку нет никакого ограничения на количество вершин; но затем он решил задачу и доказал, что непомеченых деревьев Hagh есть всего конечное число!

Пораженный этим фактом, он поделился задачей с вами, чтобы вы тоже могли насладиться ее решением. Поскольку ответ может быть довольно большим, он попросил вас найти количество различных деревьев Hagh по модулю \(998244353\).

Здесь два дерева считаются различными, если они не изоморфны: если нет способа поставить в соответствие вершины одного дерева вершинам второго дерева так, чтобы ребрам первого ставились в соответствие ребра второго, с сохранением ориентации.

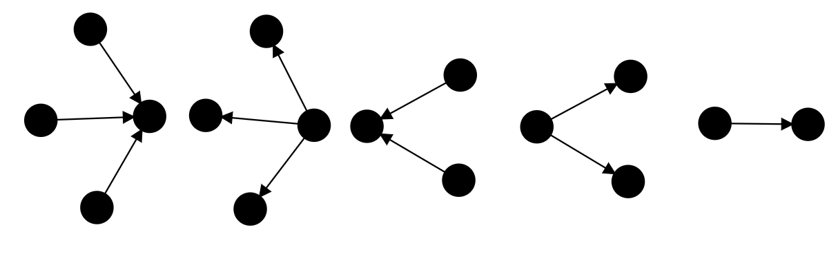
Некоторые примеры для \(n = 2\):

Ориентированные деревья \(D\) и \(E\) являются деревьями Hagh. \(C\) не является Hagh, потому что имеет вершину с \(4\) ребрами, присоединенными к ней. Деревья \(A\) и \(B\) не являются Hagh, потому что их самые длинные ориентированные пути не имеют длину \(n\). Также в \(B\) крайние левая и правая вершины не являются друзьями и не имеют общих друзей.
Входные данные

Первая строка ввода содержит единственное целое число \(n\) \((1 \le n \le 10^6)\).

Выходные данные

Выведите одно целое число, ответ на задачу Mashtali по модулю \(998244353\).

Примечание

Вот все пять деревьев Hagh для \(n = 1\):


Примеры
Входные данныеВыходные данные
1 1
5
2 2
31
3 344031
272040628

time 1000 ms
memory 256 Mb
Правила оформления программ и список ошибок при автоматической проверке задач

Статистика успешных решений по компиляторам
 Кол-во
С++ Mingw-w645
Комментарий учителя