Олимпиадный тренинг

Задача . F. AB дерево


Kilani и Abd — соседи уже на протяжении 3000 лет, но пришел день и Kilani решил переехать. На прощание, Kilani решил дать Abd задачу, придуманную их общим соседом с таким же именем Abd.

Задача следующая:

Вам задано связное дерево с корнем в вершине \(1\).

Вам нужно назначить каждой вершине букву a или b таким образом, чтобы суммарное количество a было равно \(x\) и суммарное количество b было равно \(n - x\).

Определим строку для каждой вершины \(v\) дерева следующим образом:

  • если \(v\) — это корень, то строка — это одна буква, назначенная \(v\):
  • в противном случае, возьмем строку, полученную для родителя \(p_v\) вершины \(v\) и допишем к ней символ, назначенный \(v\).

Расставьте буквы на вершинах таким образом, чтобы минимизировать количество различных строк среди строк для всех вершин.

Входные данные

В первой строке заданы два целых числа \(n\) и \(x\) (\(1 \leq n \leq 10^5\); \(0 \leq x \leq n\)) — количество вершин в дереве и количество букв a.

Во второй строке заданы \(n - 1\) целых чисел \(p_2, p_3, \dots, p_{n}\) (\(1 \leq p_i \leq n\); \(p_i \neq i\)), где \(p_i\) — родитель вершины \(i\).

Гарантируется, что входные данные описывают связное дерево.

Выходные данные

В первой строке, выведите минимально возможное количество различных строк.

Во второй строке, выведите \(n\) символов, каждый из которых — либо a, либо b и \(i\)-й символ — это символ, назначенный \(i\)-й вершине.

Удостоверьтесь, что букв a ровно \(x\), а букв b ровно \(n - x\).

Если существует несколько ответов, выведите любой из них.

Примечание

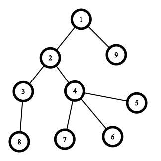
Дерево из примера изображено ниже:

После назначения букв каждой вершине (в соответствии с выходными данными), дерево выглядит следующим образом:

Строки для каждой вершины:

  • строка вершины \(1\): a
  • строка вершины \(2\): aa
  • строка вершины \(3\): aab
  • строка вершины \(4\): aab
  • строка вершины \(5\): aabb
  • строка вершины \(6\): aabb
  • строка вершины \(7\): aabb
  • строка вершины \(8\): aabb
  • строка вершины \(9\): aa

Множество различных строк равно \(\{\text{a}, \text{aa}, \text{aab}, \text{aabb}\}\), то есть количество различных строк равно \(4\).


Примеры
Входные данныеВыходные данные
1 9 3
1 2 2 4 4 4 3 1
4
aabbbbbba

time 2000 ms
memory 256 Mb
Правила оформления программ и список ошибок при автоматической проверке задач

Статистика успешных решений по компиляторам
 Кол-во
С++ Mingw-w645
Комментарий учителя