Олимпиадный тренинг

Задача . D. Дерево минимальной высоты


У Монокарпа было дерево из \(n\) вершин с корнем в вершине \(1\). Он решил изучить алгоритм BFS (Поиск в ширину), и поэтому запустил BFS на своем дереве, стартуя с корня. Упрощенно, BFS можно описать следующим псевдокодом:

a = [] # порядок, в котором вершины обработались
q = Queue()
q.put(1) # кладем корень в конец очереди
while not q.empty():
k = q.pop() # достаем вершину из начала очереди
a.append(k) # кладем k в конец последовательности, описывающей порядок посещения вершин
for y in g[k]: # g[k] — это список всех детей вершины k, отсортированный в порядке возрастания
q.put(y)

Монокарп был так восхищен алгоритмом BFS, что в результате потерял свое дерево. К счастью, у него осталась последовательность вершин в порядке их посещения алгоритмом BFS (массив a из псевдокода). Монокарп знает, что каждая вершина была посещена ровно один раз (так как они кладутся и забираются из очереди ровно один раз). Также он знает, что все дети каждой вершины были просмотрены в порядке возрастания.

Монокарп понимает, что есть много деревьев (в общем случае) с одинаковым порядком посещения \(a\), поэтому даже не надеется восстановить свое дерево. Монокарпа устроит любое дерево минимально возможной высоты.

Высота дерева — это максимум среди глубин вершин дерева, и глубина вершины — это количество дуг на пути от корня до этой вершины. Например, глубина вершины \(1\) равна \(0\), так как она является корнем, а глубина любого из детей корня равна \(1\).

Помогите Монокарпу найти любое дерево с заданным порядком посещения \(a\) и минимальной высотой.

Входные данные

В первой строке задано единственное целое число \(t\) (\(1 \le t \le 1000\)) — количество наборов входных данных.

В первой строке каждого набора задано одно целое число \(n\) (\(2 \le n \le 2 \cdot 10^5\)) — количество вершин в дереве.

Во второй строке каждого набора заданы \(n\) целых чисел \(a_1, a_2, \dots, a_n\) (\(1 \le a_i \le n\); \(a_i \neq a_j\); \(a_1 = 1\)) — порядок посещения вершин алгоритмом BFS.

Гарантируется, что сумма \(n\) по всем наборам входных данных не превосходит \(2 \cdot 10^5\).

Выходные данные

Для каждого набора входных данных, выведите минимально возможную высоту дерева с заданным порядком обхода \(a\).

Примечание

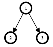
В первом наборе входных данных, есть только одно дерево с заданным порядком посещения:

Во втором наборе, также есть только одно дерево с заданным порядком посещения:

В третьем наборе, оптимальное дерево с заданным порядком посещения изображено ниже:


Примеры
Входные данныеВыходные данные
1 3
4
1 4 3 2
2
1 2
3
1 2 3
3
1
1

time 2000 ms
memory 256 Mb
Правила оформления программ и список ошибок при автоматической проверке задач

Статистика успешных решений по компиляторам
 Кол-во
С++ Mingw-w645
Комментарий учителя