Вам дано дерево (связный граф без циклов), состоящее из \(n\) вершин. Дерево не является корневым — это просто неориентированный связный граф без циклов.
За один ход вы можете выбрать ровно \(k\) листьев (лист — это такая вершина, которая соединена только с одной другой вершиной), соединенных с одной и той же вершиной, и удалить их вместе с ребрами, инцидентными им. То есть вы выбираете такие листья \(u_1, u_2, \dots, u_k\), что существуют ребра \((u_1, v)\), \((u_2, v)\), \(\dots\), \((u_k, v)\), и удаляете эти листья вместе с этими ребрами.
Ваша задача — найти максимальное количество ходов, которое вы можете совершить, если вы будете удалять листья оптимально.
Вам необходимо ответить на \(t\) независимых наборов тестовых данных.
Выходные данные
Выведите ответ на каждый набор тестовых данных — максимальное количество ходов, которое вы можете совершить, если вы будете удалять листья оптимально.
Примечание
Картинка, соответствующая первому набору тестовых данных примера:

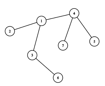
Здесь вы можете удалить вершины \(2\), \(5\) и \(3\) в течение первого хода и вершины \(1\), \(7\) и \(4\) в течение второго хода.
Картинка, соответствующая второму набору тестовых данных примера:

Здесь вы можете удалить вершины \(7\), \(8\) и \(9\) в течение первого хода, затем вершины \(5\), \(6\) и \(10\) в течение второго хода, и вершины \(1\), \(3\) и \(4\) в течение третьего хода.
Картинка, соответствующая третьему набору тестовых данных примера:

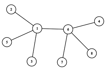
Здесь вы можете удалить вершины \(5\) и \(7\) в течение первого хода, затем вершины \(2\) и \(4\) в течение второго хода, и вершины \(1\) и \(6\) в течение третьего хода.
| № | Входные данные | Выходные данные |
|
1
|
4
8 3
1 2
1 5
7 6
6 8
3 1
6 4
6 1
10 3
1 2
1 10
2 3
1 5
1 6
2 4
7 10
10 9
8 10
7 2
3 1
4 5
3 6
7 4
1 2
1 4
5 1
1 2
2 3
4 3
5 3
|
2
3
3
4
|