Вам задано дерево, состоящее из \(n\) вершин. Деревом называется связный неориентированный граф с \(n-1\) ребром. Каждая вершина \(v\) этого дерева имеет свой цвет (\(a_v = 1\), если вершина \(v\) белая, и \(0\), если вершина \(v\) черная).
Вам нужно решить следующую задачу для каждой вершины \(v\): какую максимальную разницу между количеством белых вершин и количеством черных вершин вы можете получить, если выберете некоторое поддерево заданного дерева, которое содержит вершину \(v\)? Поддеревом дерева называется связный подграф заданного дерева. Более формально, если вы выберете поддерево, которое содержит \(cnt_w\) белых вершин и \(cnt_b\) черных вершин, вам нужно максимизировать \(cnt_w - cnt_b\).
Выходные данные
Выведите \(n\) целых чисел \(res_1, res_2, \dots, res_n\), где \(res_i\) — максимальная возможная разница между количеством белых и количеством черных вершин в некотором поддереве, которое содержит вершину \(i\).
Примечание
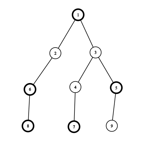
Первый тестовый пример представлен ниже:

Черные вершины выделены жирным.
Во втором тестовом примере лучшими поддеревьями для вершин \(2, 3\) и \(4\) являются вершины \(2, 3\) и \(4\) соответственно. И лучшим поддеревом для вершины \(1\) является поддерево, состоящее из вершин \(1\) и \(3\).
| № | Входные данные | Выходные данные |
|
1
|
9
0 1 1 1 0 0 0 0 1
1 2
1 3
3 4
3 5
2 6
4 7
6 8
5 9
|
2 2 2 2 2 1 1 0 2
|
|
2
|
4
0 0 1 0
1 2
1 3
1 4
|
0 -1 1 -1
|