Олимпиадный тренинг

Задача . D. Запросы на дереве


Хэнх — известный биолог. Он любит выращивать деревья и проводить эксперименты в своем собственном саду.

Однажды он получил дерево, состоящее из \(n\) вершин. Вершины пронумерованы от \(1\) до \(n\). Дерево с \(n\) вершинами — это неориентированный связный граф с \(n - 1\) ребрами. Первоначально Хэнх устанавливает значение каждой вершины равным \(0\).

Теперь Хэнх выполняет \(q\) запросов, каждых из которых имеет один из следующих типов:

  • Тип \(1\): Хэнх выбирает вершину \(v\) и целое число \(d\). Затем он выбирает некоторую вершину \(r\) полностью случайно, и для каждой вершины \(u\) такой, что путь от \(r\) до \(u\) проходит через \(v\), увеличивает значение в вершине \(u\) на \(d\).
  • Тип \(2\): Хэнх выбирает вершину \(v\) и считает математическое ожидание значения вершины \(v\).

Поскольку Хэнх биолог, а не математик, ему нужна ваша помощь.

Входные данные

Первая строка содержит два целых числа \(n\) и \(q\) (\(1 \leq n, q \leq 150\,000\)) — количество вершин в дереве Хэнха и количество запросов.

Каждая из следующих \(n - 1\) содержит два целых числа \(u\) и \(v\) (\(1 \leq u, v \leq n\)), которые обозначают, что есть ребро между вершинами \(u\) и \(v\). Гарантируется, что эти \(n-1\) ребра создают дерево.

Каждая из следующих \(q\) строк описывает запросы:

  • \(1\) \(v\) \(d\) (\(1 \leq v \leq n, 0 \leq d \leq 10^7\)), обозначают первый тип запроса.
  • \(2\) \(v\) (\(1 \leq v \leq n\)), обозначают второй тип запроса.

Гарантируется, что есть как минимум один запрос второго типа.

Выходные данные

Для каждого запроса второго типа выведите математическое ожидание.

Пусть \(M = 998244353\). Можно показать, что ответ может быть представлен в виде несократимой дроби \(\frac{p}{q}\), где \(p\) и \(q\) — целые числа, и \(q \not \equiv 0 \pmod{M}\). Выведите целое число, равное \(p \cdot q^{-1} \bmod M\). Другими словами, выведите такое целое число \(x\), что \(0 \le x < M\) и \(x \cdot q \equiv p \pmod{M}\).

Примечание

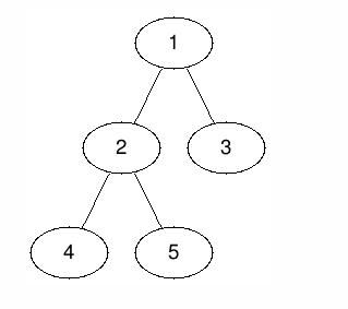
Рисунок ниже показывает дерево в примере.

Для первого запроса, где \(v = 1\) и \(d = 1\):

  • Если \(r = 1\), значения всех вершин увеличатся.
  • Если \(r = 2\), значения вершин \(1\) и \(3\) увеличатся.
  • Если \(r = 3\), значения вершин \(1\), \(2\), \(4\) и \(5\) увеличатся.
  • Если \(r = 4\), значения вершин \(1\) и \(3\) увеличатся.
  • Если \(r = 5\), значения вершин \(1\) и \(3\) увеличатся.

Поэтому математические ожидания вершин после первого запроса такие: (\(1, 0.4, 0.8, 0.4, 0.4\)).

Для второго запроса, где \(v = 2\) и \(d = 2\):

  • Если \(r = 1\), значения вершин \(2\), \(4\) и \(5\) увеличатся.
  • Если \(r = 2\), значения всех вершин увеличатся.
  • Если \(r = 3\), значения вершин \(2\), \(4\) и \(5\) увеличатся.
  • Если \(r = 4\), значения вершин \(1\), \(2\), \(3\) и \(5\) увеличатся.
  • Если \(r = 5\), значения вершин \(1\), \(2\), \(3\) и \(4\) увеличатся.

Поэтому математические ожидания вершин после второго запроса такие: (\(2.2, 2.4, 2, 2, 2\)).


Примеры
Входные данныеВыходные данные
1 5 12
1 2
1 3
2 4
2 5
1 1 1
2 1
2 2
2 3
2 4
2 5
1 2 2
2 1
2 2
2 3
2 4
2 5
1
199648871
399297742
199648871
199648871
598946614
199648873
2
2
2

time 5000 ms
memory 512 Mb
Правила оформления программ и список ошибок при автоматической проверке задач

Статистика успешных решений по компиляторам
 Кол-во
С++ Mingw-w645
Комментарий учителя