Олимпиадный тренинг

Задача . F. Без одной вершины


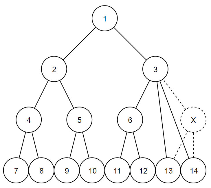
Дано целое число \(n\). Определим следующее дерево деревом McDic:

  1. Создадим полное бинарное дерево с \(2^{n} - 1\) вершинами. То есть дерево, где ровно одна вершина является корнем, все листы имеют одинаковую высоту (расстояние до корня) и все не листовые вершины имеют по два прямых потомка.
  2. Выберем любую некорневую вершину \(v\) из этого бинарного дерева.
  3. Удалим \(v\) из дерева и проведем ребра между предком \(v\) и прямыми потомками \(v\). Если у \(v\) нет потомков, тогда ребра не добавляются.

Дано дерево. Определите, является ли это дерево деревом McDic. Если да, найдите предка удаленной вершины.

Входные данные

Первая строка содержит одно целое число \(n\) (\(2 \le n \le 17\)).

\(i\)-я из следующих \(2^{n} - 3\) строк содержит два целых числа \(a_{i}\) и \(b_{i}\) (\(1 \le a_{i} \lt b_{i} \le 2^{n} - 2\)), которые значат, что существует ребро между \(a_{i}\) и \(b_{i}\). Гарантируется, что граф — дерево.

Выходные данные

Выведите две строки.

В первой строке выведите одно целое число — количество ответов. Если это дерево не является деревом McDic, то выведите \(0\).

Во второй строке выведите все возможные ответы в возрастающем порядке. Если это дерево не является деревом McDic, то ничего не выводите.

Примечание

В первом примере \(3\) — это единственный возможный ответ.

Во втором примере есть \(2\) возможных ответа.

В третьем примере дерево не является деревом McDic.


Примеры
Входные данныеВыходные данные
1 4
1 2
1 3
2 4
2 5
3 6
3 13
3 14
4 7
4 8
5 9
5 10
6 11
6 12
1
3
2 2
1 2
2
1 2
3 3
1 2
2 3
3 4
4 5
5 6
0

time 1000 ms
memory 256 Mb
Правила оформления программ и список ошибок при автоматической проверке задач

Статистика успешных решений по компиляторам
 Кол-во
С++ Mingw-w645
Комментарий учителя