Олимпиадный тренинг

Задача . D. Неко и пранк


Неко играл в свои игрушки на заднем дворе дома Аки. Аки решил его разыграть и подбросил в его игрушки немного кошачей мяты. К сожалению он немного переборщил и случайно подбросил целый пакет мяты...

Неко понадобилось больше дня чтобы вернутся в нормальное состояние, после чего он рассказал, что увидел за это время много странных вещей, например он видел бор всех правильных скобочных последовательностей длины \(2n\).

Правильные скобочные последовательности определяются следующим образом:

  • Пустая последовательность является правильной скобочной последовательностью.
  • Если \(s\) является правильной скобочной последовательностью, то \((\,s\,)\) тоже является правильной скобочной последовательностью,
  • Если \(s\) и \(t\) образуют правильную скобочную последовательность, то \(st\) тоже является правильной скобочной последовательностью.

Например, строки «(())» и «()()» образуют правильную скобочную последовательность, а строки «)(» и «((» нет.

Аки затем придумал интересную задачку. Он хочет узнать чему равен размер максимального паросочетания (то есть множества рёбер с непересекающимися концами) в этом дереве? Так как ответ может быть достаточно большим, выведите его по модулю \(10^9 + 7\).

Входные данные

Единственная строка содержит одно целое число \(n\) (\(1 \le n \le 1000\)).

Выходные данные

Выведите одно число — размер наибольшего паросочетания в дереве. Так как ответ может быть достаточно большим, выведите его по модулю \(10^9 + 7\).

Примечание

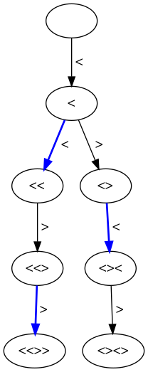
Картинки ниже иллюстрируют бор в первом и втором примере (для наглядности круглые скобки заменены на угловые). Максимальное паросочетание обозначено синим.

 

Примеры
Входные данныеВыходные данные
1 1
1
2 2
3
3 3
9

time 1000 ms
memory 256 Mb
Правила оформления программ и список ошибок при автоматической проверке задач

Статистика успешных решений по компиляторам
 Кол-во
С++ Mingw-w645
Комментарий учителя