Олимпиадный тренинг

Задача . D. Дерево минимального диаметра


Вам дано дерево (неориентированный связный граф без циклов) и целое число \(s\).

Ваня хочет как-то поставить веса на всех ребрах дерева, так что все веса неотрицательные вещественные числа, которые в сумме дают \(s\). При этом он хочет, чтобы диаметр получившегося после расстановки весов дерева был как можно меньше. Диаметром будем называть максимальную сумму весов ребер, лежащих на пути между какими-то двумя вершинами дерева.

Найдите минимальный возможный диаметр, который мог у него получиться.

Входные данные

В первой строке даны два целых числа \(n\) и \(s\) (\(2 \leq n \leq 10^5\), \(1 \leq s \leq 10^9\)) — количество вершин в дереве и сумма весов ребер.

В каждой из следующих \(n−1\) строк через пробел записаны по два целых числа \(a_i\) и \(b_i\) (\(1 \leq a_i, b_i \leq n\), \(a_i \neq b_i\)) — номера вершин, соединенных ребром.

Гарантируется, что заданные ребра задают дерево.

Выходные данные

Выведите минимальный диаметр дерева, который мог получиться при какой-то расстановке неотрицательных весов на ребра этого дерева, которые в сумме дают \(s\).

Ваш ответ будет считаться правильным, если его абсолютная или относительная ошибка не будет превосходить \(10^{-6}\).

А именно: пусть ваш ответ равен \(a\), а ответ жюри \(b\). Ваш ответ будет засчитан, если \(\frac {|a-b|} {max(1, b)} \leq 10^{-6}\).

Примечание

В первом примере необходимо расставить веса так:

Легко видеть, что диаметр такого дерева будет равен \(2\). Можно доказать, что это минимально возможный диаметр, который можно получить, как-то расставив веса.

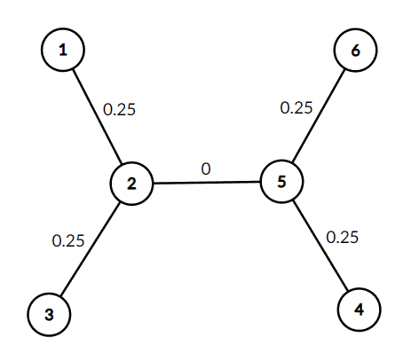
Вo втором примере необходимо расставить веса так:


Примеры
Входные данныеВыходные данные
1 4 3
1 2
1 3
1 4
2.000000000000000000
2 6 1
2 1
2 3
2 5
5 4
5 6
0.500000000000000000
3 5 5
1 2
2 3
3 4
3 5
3.333333333333333333

time 1000 ms
memory 256 Mb
Правила оформления программ и список ошибок при автоматической проверке задач

Статистика успешных решений по компиляторам
Комментарий учителя