Олимпиадный тренинг

Задача . F. Вверх и вниз по дереву


Вам задано дерево из \(n\) вершин с корнем в вершине \(1\). Также на данном дереве расположена фишка. Первоначально фишка находится в корне дерева. Вы можете двигать фишку по ребрам дерева следующим образом: пусть текущая вершина с фишкой \(v\), тогда у вас есть два возможных хода:

  • спуститься к любому листу поддерева вершины \(v\);
  • если вершина \(v\) — лист, то подняться вверх по дереву не более чем \(k\) раз. Другими словами, если \(h(v)\) — глубина вершины \(v\) (глубина корня равна \(0\)), то вы можете передвинуть фишку в вершину \(to\) такую, что \(to\) — некоторый предок \(v\) и \(h(v) - k \le h(to)\).

В данной задаче считается, что корень не является листом (даже если его степень равна \(1\)). Посчитайте максимальное количество различных листов, которые вы сможете посетить одной последовательностью ходов.

Входные данные

В первой строке заданы два целых числа \(n\) и \(k\) (\(1 \le k < n \le 10^6\)) — количество вершин в дереве и ограничение на высоту подъема.

Вторая строка содержит \(n - 1\) целых чисел \(p_2, p_3, \dots, p_n\), где \(p_i\) — непосредственный родитель вершины \(i\).

Гарантируется, что входные данные задают дерево с корнем в вершине \(1\).

Выходные данные

Выведите единственное целое число — максимально возможное количество различных листов, которые вы сможете посетить одной последовательностью ходов.

Примечание

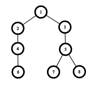
Граф из первого примера изображен ниже:

Один из возможных оптимальных обходов: \(1 \rightarrow 2 \rightarrow 1 \rightarrow 5 \rightarrow 3 \rightarrow 7 \rightarrow 4 \rightarrow 6\).

Граф из второго примера:

Один из возможных оптимальных обходов: \(1 \rightarrow 7 \rightarrow 5 \rightarrow 8\). Заметим, что невозможно добраться из вершины \(6\) в \(7\) или \(8\) и наоборот.


Примеры
Входные данныеВыходные данные
1 7 1
1 1 3 3 4 4
4
2 8 2
1 1 2 3 4 5 5
2

time 3000 ms
memory 256 Mb
Правила оформления программ и список ошибок при автоматической проверке задач

Статистика успешных решений по компиляторам
 Кол-во
С++ Mingw-w645
Комментарий учителя