Олимпиадный тренинг

Задача . E. Компания


У компании \(X\) есть \(n\) сотрудников, пронумерованных от \(1\) до \(n\). У каждого сотрудника \(u\) есть его прямой начальник \(p_u\) (\(1 \le p_u \le n\)), кроме сотрудника \(1\), у которого начальника нет. Гарантируется, что значения \(p_i\) образуют дерево. Сотрудник \(u\) называется ответственным за сотрудника \(v\), если \(u\) является прямым начальником \(v\) или есть такой сотрудник \(w\), что \(w\) ответственен за \(v\), и \(u\) является прямым начальником \(w\). Любой сотрудник также считается ответственным за самого себя.

Также, для каждого сотрудника \(u\) мы определим его уровень \(lv(u)\) следующим образом:

  • \(lv(1)=0\)
  • \(lv(u)=lv(p_u)+1\) если \(u \neq 1\)

У компании есть \(q\) возможных планов на ближайшее будущее. При чём \(i\)-й из них задаётся двумя числа \(l_i\) и \(r_i\), означающими что в этом плане принимают участие все сотрудники в отрезке \([l_i, r_i]\) и только они. Чтобы всё прошло гладко, у плана должен быть проектный менеджер, который является ответственным за всех сотрудников в этом плане. Более формально, если сотрудник \(u\) выбирается как проектный менеджер \(i\)-го плана, то для каждого сотрудника \(v \in [l_i, r_i]\), \(u\) должен быть ответственен за \(v\). Заметим, что при этом не обязательно \(u\) сам должен находится в отрезке \([l_i, r_i]\). Также, \(u\) всегда выбирается таким образом, что \(lv(u)\) является максимально возможным (чем больше уровень, тем меньше компания может платить сотруднику).

До того как любой план начнёт выполняться, компания позволила JATC заглянуть в свои планы. С первого взгляда он заметил, что для каждого плана можно уменьшить количество вовлечённых в него сотрудников ровно на один без каких-либо проблем. Будучи жадной, компания спрашивает у JATC: какого же именно сотрудника надо выкинуть из плана, чтобы уровень менеджера проекта был максимально возможным? JATC уже выяснил ответ и теперь предлагает это сделать и вам.

Входные данные

Первая строка содержит два целых числа \(n\) и \(q\) (\(2 \le n \le 100\,000\), \(1 \le q \le 100\,000\)) — количество сотрудников и количество планов соответственно.

Вторая строка содержит \(n-1\) целых чисел \(p_2, p_3, \dots, p_n\) (\(1 \le p_i \le n\)), где \(p_i\) является прямым начальником сотрудника \(i\).

Гарантируется, что значения \(p_i\) задают ориентированное дерево с корнем в вершине \(1\).

Каждая из \(q\) следующих строк содержит два целых числа \(l_i\) и \(r_i\) (\(1 \le l_i<r_i \le n\)) — отрезок сотрудников, вовлечённых в соответствующий план.

Выходные данные

Выведите \(q\) строк по два целых числа в каждой — номер сотрудника, которого стоит выкинуть из соответствующего плана, и максимальный уровень менеджера проекта, который в таком случае получится.

Если существует несколько способов выбрать сотрудника, которого стоит выкинуть, выведите любого из них.

Примечание

В примере:

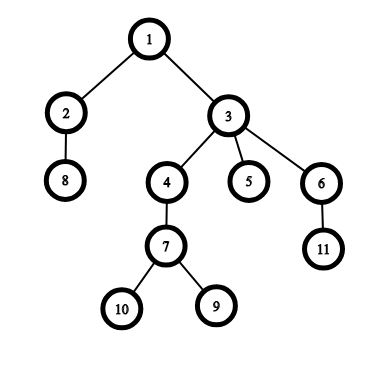
В первом запросе мы можем выбрать \(4\), \(5\) или \(6\) и менеджером проекта в таком случае будет \(3\).

Во втором запросе, если мы выберем любого сотрудника кроме сотрудника \(8\), то менеджером проекта будет сотрудник \(1\), если же мы выберем сотрудника \(8\), то проектным менеджером будет \(3\). Так как \(lv(3)=1 > lv(1)=0\), то оптимальным ответом будет выбрать сотрудника \(8\).

В третьем запросе, как бы мы ни выбирали сотрудника, проектным менеджером всегда окажется сотрудник \(1\).

В четвёртом запросе, если мы выберем \(9\) или \(10\), то менеджером проекта будет \(3\), если же мы выберем \(11\), то проектным менеджером окажется \(7\). Так как \(lv(7)=3>lv(3)=1\), то оптимальным ответом будет выбрать сотрудника \(11\).


Примеры
Входные данныеВыходные данные
1 11 5
1 1 3 3 3 4 2 7 7 6
4 6
4 8
1 11
9 11
8 11
4 1
8 1
1 0
11 3
8 1

time 2000 ms
memory 256 Mb
Правила оформления программ и список ошибок при автоматической проверке задач

Статистика успешных решений по компиляторам
 Кол-во
С++ Mingw-w645
Комментарий учителя