Олимпиадный тренинг

Задача . E. Соня и магазины


Соня очень любит мороженое. Она ест его даже во время соревнований по программированию. Поэтому, девочка решила, что хочет открыть свои собственные магазины мороженого.

Соня живет в городе, в котором всего \(n\) перекрестков и \(n-1\) улиц. Все улицы — двусторонние и соединяют пары перекрестков. С любого перекрестка можно попасть в любой другой перекресток в городе, пройдя по одной или более улиц. Мэрия позволяет открывать магазины только на перекрестках, девочка не может открывать магазины посреди улиц, между перекрестками.

У Сони есть ровно \(k\) друзей, которым она доверяет. Если она откроет магазин, один с её друзей должен там работать и смотреть, чтобы никто не ел мороженое не заплатив. Поскольку Соня не хочет пропускать важные соревнования по программированию, непосредственно в магазинах она работать не будет.

Соня хочет, чтобы все её магазины мороженого образовали простой путь длины \(r\) (\(1 \le r \le k\)), то есть были расположены в различных перекрёстках \(f_1, f_2, \dots, f_r\) и существовала улица между \(f_i\) и \(f_{i+1}\) для всех \(i\) от \(1\) до \(r-1\).

Девочка заботится о потенциальных покупателях, поэтому, она также хочет минимизировать максимальное расстояние от перекрестков до ближайшего магазина мороженого. Расстояние между двумя перекрестками \(a\) и \(b\) равно сумме длин всех улиц, которые нужно пройти, чтобы попасть с перекрестка \(a\) на перекресток \(b\). Таким образом, девочка хочет минимизировать

\(\)\max_{a} \min_{1 \le i \le r} d_{a,f_i}\(\),

где \(a\) принимает значение всевозможных \(n\) перекрёстков, \(f_i\) — перекресток с \(i\)-м магазином Сони, а \(d_{x,y}\) — расстояние между перекрестками \(x\) и \(y\).

Соня неуверенна, что сможет найти оптимальные местоположения магазинов, поэтому, просит вас помочь ей открыть не более \(k\) магазинов, которые образуют простой путь, и максимальное расстояние от произвольного перекрестка города до ближайшего магазина минимально.

Входные данные

Первая строка содержит два целых числа \(n\) и \(k\) (\(1\leq k\leq n\leq 10^5\)) — количество перекрестков и друзей соответственно.

Каждая из следующих \(n-1\) строк содержит три целых числа \(u_i\), \(v_i\) и \(d_i\) (\(1\leq u_i, v_i\leq n\), \(v_i\neq u_i\), \(1\leq d\leq 10^4\)) — перекрестки, которые соединяет улица и длина этой улицы. Гарантируется, что между любой парой перекрестков не более одной улицы. Гарантируется, что можно доехать из любого перекрестка в любой другой, двигаясь только по улицам.

Выходные данные

Выведите одно число — минимальное максимальное расстояние, которое нужно будет пройти, чтобы попасть с любого перекрестка до ближайшего магазина мороженого. Магазины Сони должны располагаться вдоль произвольного простого пути из перекрестков длины не более \(k\).

Примечание

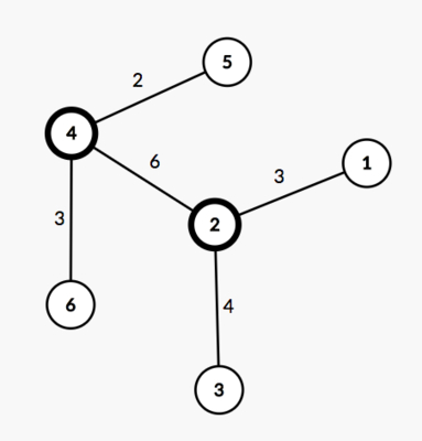
В первом примере можно выбрать путь 2-4, тогда ответ будет 4.

Первый пример.

Во втором примере можно выбрать путь 4-1-2, тогда ответ будет 7.

Второй пример.

Примеры
Входные данныеВыходные данные
1 6 2
1 2 3
2 3 4
4 5 2
4 6 3
2 4 6
4
2 10 3
1 2 5
5 7 2
3 2 6
10 6 3
3 8 1
6 4 2
4 1 6
6 9 4
5 2 5
7

time 2000 ms
memory 256 Mb
Правила оформления программ и список ошибок при автоматической проверке задач

Статистика успешных решений по компиляторам
 Кол-во
С++ Mingw-w645
Комментарий учителя