Олимпиадный тренинг

Задача . ОГЭ-09. Количество путей в графе (вариант СТ-01)


Задача

Темы:

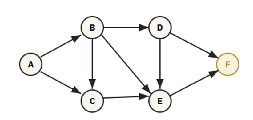
На схеме — дороги между городами A, B, C, D, E, F. Двигаться можно только по стрелкам. Сколько различных путей из A в F?


time 500 ms
memory 256 Mb
Правила оформления программ и список ошибок при автоматической проверке задач

Статистика успешных решений по компиляторам
Комментарий учителя