Войти
или
Зарегистрироваться
Маркетплейс
Курсы
Учебник
Учебник 2.0
ЕГЭ
ОГЭ
Олимпиады
Рубрикатор
Компилятор
Онлайн Компилятор
Компилятор Python с отладкой
Питон - Черепашка
Редактор HTML Code
SQLite Studio - работа с БД
Олимпиадный тренинг
Задача
.
9_1
Задача
Темы:
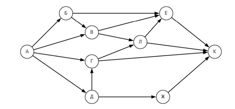
На рисунке – схема дорог, связывающих города А, Б, В, Г, Д, Е Ж, К и Л. По каждой дороге можно двигаться только в одном направлении, указанном стрелкой. Сколько существует различных путей из города А в город К.
1000
ms
256 Mb
Правила оформления программ и список ошибок при автоматической проверке задач
Статистика успешных решений по компиляторам
Комментарий учителя