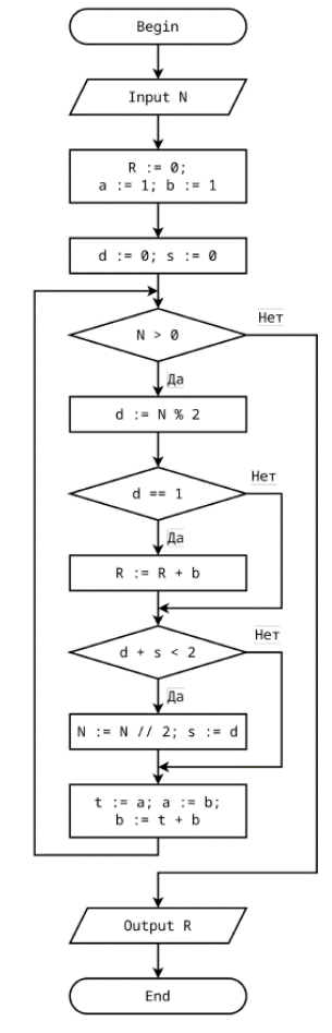
Дана блок-схема алгоритма:

Определите, какое число нужно подать на вход, чтобы в результате было выведено число 272? Если таких чисел несколько, укажите наибольшее из них.
Примечание: оператор A//B вычисляет частное от целочисленного деления A на B, оператор A%B вычисляет остаток от целочисленного деления A на B.