Олимпиадный тренинг

Задача . E. Достижимость из столицы


В Берляндии \(n\) городов и \(m\) дорог, каждая из дорог соединяет пару городов. Дороги в Берляндии — односторонние.

Какое наименьшее количество новых дорог надо построить, чтобы из столицы Берляндии по дорогам стали достижимы все города страны?

Построенные новые дороги тоже будут односторонними.

Входные данные

В первой строке задано три целых числа \(n\), \(m\) и \(s\) (\(1 \le n \le 5000, 0 \le m \le 5000, 1 \le s \le n\)) — количество городов, количество дорог и номер столицы. Города пронумерованы от \(1\) до \(n\).

В следующих \(m\) строках заданы дороги: \(i\)-я дорога задается парой номеров соединяемых городов \(u_i\) и \(v_i\) (\(1 \le u_i, v_i \le n\), \(u_i \ne v_i\)). Для каждой пары городов \((u, v)\) может быть не более одной дороги из \(u\) в \(v\), но существование встречных дорог (из \(u\) в \(v\) и одновременно из \(v\) в \(u\)) допустимо. Все дороги в Берляндии — односторонние.

Выходные данные

Выведите одно целое число — минимальное количество дорог, которое необходимо построить, чтобы из города \(s\) стали достижимы все остальные города. Если во входных данных уже все города достижимы из \(s\), то выведите 0.

Примечание

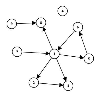
Первый пример изображен на следующем рисунке:

Для того, чтобы все города стали достижимы из \(s = 1\), можно добавить, например, дороги (\(6, 4\)), (\(7, 9\)), (\(1, 7\)).

Второй пример:

В этом примере можно добавить любую из дорог (\(5, 1\)), (\(5, 2\)), (\(5, 3\)), (\(5, 4\)), чтобы все остальные города стали достижимы из \(s = 5\).


Примеры
Входные данныеВыходные данные
1 9 9 1
1 2
1 3
2 3
1 5
5 6
6 1
1 8
9 8
7 1
3
2 5 4 5
1 2
2 3
3 4
4 1
1

time 2000 ms
memory 256 Mb
Правила оформления программ и список ошибок при автоматической проверке задач

Статистика успешных решений по компиляторам
 Кол-во
С++5
Комментарий учителя