Олимпиадный тренинг

Задача . E. Черепаха и пересекающиеся отрезки


Черепаха только что получила \(n\) отрезков и последовательность \(a_1, a_2, \ldots, a_n\). \(i\)-й отрезок представляет собой \([l_i, r_i]\).

Черепаха создаст неориентированный граф \(G\). Если отрезок \(i\) и отрезок \(j\) пересекаются, то Черепаха добавит неориентированное ребро между \(i\) и \(j\) с весом \(|a_i - a_j|\), для каждого \(i \ne j\).

Черепаха хочет, чтобы вы вычислили сумму весов рёбер минимального остовного дерева графа \(G\), или сообщили, что у графа \(G\) нет остовного дерева.

Мы говорим, что два отрезка \([l_1, r_1]\) и \([l_2, r_2]\) пересекаются тогда и только тогда, когда \(\max(l_1, l_2) \le \min(r_1, r_2)\).

Входные данные

Каждый тест содержит несколько тестовых случаев. Первая строка содержит количество тестов \(t\) (\(1 \le t \le 10^5\)). Далее следует описание тестов.

Первая строка каждого теста содержит одно целое число \(n\) (\(2 \le n \le 5 \cdot 10^5\)) — количество отрезков.

\(i\)-я из следующих \(n\) строк содержит три целых числа \(l_i, r_i, a_i\) (\(1 \le l_i \le r_i \le 10^9, 1 \le a_i \le 10^9\)) — \(i\)-й отрезок и \(i\)-й элемент последовательности.

Гарантируется, что сумма \(n\) по всем тестовым случаям не превышает \(5 \cdot 10^5\).

Выходные данные

Для каждого теста выведите одно целое число — сумму весов рёбер минимального остовного дерева графа \(G\). Если у графа \(G\) нет остовного дерева, выведите \(-1\).

Примечание

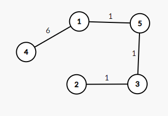
В первом тесте граф \(G\) выглядит следующим образом:

Одно из минимальных остовных деревьев \(G\) выглядит следующим образом:

Сумма весов рёбер минимального остовного дерева равна \(9\).

Во втором тесте граф \(G\) выглядит следующим образом:

\(G\) уже является деревом, и сумма весов дерева равна \(13\).

В третьем тесте граф \(G\) выглядит следующим образом:

В четвертом тесте граф \(G\) выглядит следующим образом:

Легко видеть, что \(G\) не связан, поэтому у \(G\) нет остовного дерева.


Примеры
Входные данныеВыходные данные
1 4
5
1 7 3
2 4 6
3 5 5
6 7 9
3 4 4
5
2 7 3
1 3 6
4 5 5
6 7 9
1 1 4
4
1 4 3
1 2 1
3 4 5
1 4 4
3
1 3 1
2 3 3
4 5 8
9
13
4
-1

time 5000 ms
memory 512 Mb
Правила оформления программ и список ошибок при автоматической проверке задач

Статистика успешных решений по компиляторам
 Кол-во
С++3
Комментарий учителя