Олимпиадный тренинг

Задача . E2. Рудольф и снежинки (сложная версия)


Это сложная версия задачи. Единственное отличие в том, что в этой версии \(n \le 10^{18}\).

Однажды зимним утром Рудольф задумчиво смотрел в окно и наблюдал за падающими снежинками. Он очень быстро заметил некоторую симметрию в конфигурации снежинок. И как истинный математик, Рудольф придумал математическую модель снежинки.

Он определил снежинку как неориентированный граф, строящийся по следующим правилам:

  • Изначально в графе одна единственная вершина.
  • Далее в граф добавляются ещё вершины. Исходная вершина соединяется ребрами с ещё \(k\) новыми вершинами (\(k > 1\)).
  • Каждая из вершин, соединённая только с одной другой вершиной, соединяется ребрами с ещё \(k\) новыми вершинами. Этот шаг нужно выполнить хотя бы один раз.

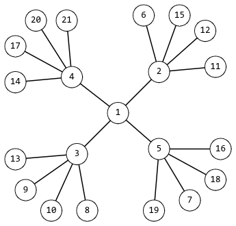
Минимальная снежинка для \(k = 4\) приведена на рисунке.

После некоторых математических изысканий Рудольф понял, что такие снежинки могут иметь далеко не любое число вершин. Помогите Рудольфу проверить, может ли существовать снежинка с \(n\) вершинами.

Входные данные

В первой строке входных данных содержится целое число \(t\) (\(1 \le t \le 10^4\)) — количество наборов входных данных в тесте.

Далее следуют описания наборов.

В первой строке набора содержится целое число \(n\) (\(1 \le n \le 10^{18}\)) — количество вершин, для которого нужно проверить существование снежинки.

Выходные данные

Выведите \(t\) строк, каждая из которых является ответом на соответствующий набор — «YES», если существует такое \(k > 1\), для которого можно построить снежинку с заданным количеством вершин; «NO» в противном случае.


Примеры
Входные данныеВыходные данные
1 9
1
2
3
6
13
15
255
10101
1000000000000000000
NO
NO
NO
NO
YES
YES
YES
YES
NO

time 2000 ms
memory 256 Mb
Правила оформления программ и список ошибок при автоматической проверке задач

Статистика успешных решений по компиляторам
 Кол-во
С++ Mingw-w644
Комментарий учителя