Олимпиадный тренинг

Задача . F. Сделай его двудольным!


Дан неориентированный граф, состоящий из \(n\) вершин, пронумерованных от \(1\) до \(n\). Вершина \(i\) имеет значение \(a_i\), все \(a_i\) попарно различны. Между вершинами \(u\) и \(v\) есть ребро, если либо \(a_u\) делит \(a_v\), либо \(a_v\) делит \(a_u\).

Найдите минимальное количество вершин, которое нужно удалить, чтобы граф стал двудольным. При удалении вершины удаляются все инцидентные ей ребра.

Входные данные

Каждый тест состоит из нескольких наборов входных данных. Первая строка каждого теста содержит одно целое число \(t\) (\(1 \le t \le 10^4\)) — количество наборов входных данных. Далее следует их описание.

Первая строка каждого набора содержит одно целое число \(n\) (\(1 \le n \le 5\cdot10^4\)) — количество вершин в графе.

Вторая строка каждого набора содержит \(n\) целых чисел, \(i\)-е число равно значению \(a_i\) (\(1 \le a_i \le 5\cdot10^4\)) \(i\)-й вершины. Все \(a_i\) различны.

Гарантируется, что сумма \(n\) по всем наборам входных данных не превосходит \(5\cdot10^4\).

Выходные данные

Для каждого набора входных данных выведите одно число — минимальное количество вершин, которое нужно удалить, чтобы граф стал двудольным.

Примечание

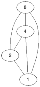
В первом примере удалив вершины со значениями \(1\) и \(2\) мы получим двудольный граф. Таким образом ответ \(2\). Невозможно удалить меньше \(2\) вершин и получить двудольный граф.

BeforeAfter
test case #1

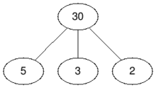
Во втором примере мы не должны удалять ни одну вершину, так как граф уже двудольный. Таким образом ответ \(0\).

BeforeAfter
test case #2

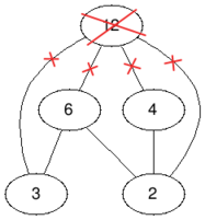
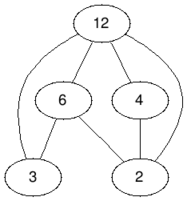
В третьем примере достаточно удалить вершину со значением \(12\), таким образом ответ \(1\).

BeforeAfter
test case #3

В четвертом примере мы удаляем вершины со значениями \(2\) и \(195\), значит ответ \(2\).

BeforeAfter
test case #4

Примеры
Входные данныеВыходные данные
1 4
4
8 4 2 1
4
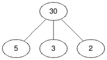
30 2 3 5
5
12 4 6 2 3
10
85 195 5 39 3 13 266 154 14 2
2
0
1
2

time 4000 ms
memory 512 Mb
Правила оформления программ и список ошибок при автоматической проверке задач

Статистика успешных решений по компиляторам
 Кол-во
С++ Mingw-w645
Комментарий учителя