Олимпиадный тренинг

Задача . E. Дерево коротких расстояний


Задано неориентированное дерево, состоящее из \(n\) вершин. Неориентированное дерево — это связный граф с \(n - 1\) ребром.

Ваша задача — добавить минимальное количество ребер таким образом, что длина кратчайшего пути из вершины \(1\) до любой другой вершины не превышает \(2\). Заметьте, что вы не можете добавлять петли и кратные ребра.

Входные данные

Первая строка входных данных содержит одно целое число \(n\) (\(2 \le n \le 2 \cdot 10^5\)) — количество вершин в дереве.

Следующие \(n - 1\) строк описывают ребра: ребро \(i\) задано как пара вершин \(u_i, v_i\) (\(1 \le u_i, v_i \le n\)). Гарантируется, что заданный граф является деревом. Гарантируется, что среди заданных ребер петли и кратные ребра отсутствуют.

Выходные данные

Выведите одно целое число — минимальное количество ребер, которое необходимо добавить, чтобы длина кратчайшего пути из вершины \(1\) до любой другой вершины не превышает \(2\). Заметьте, что вы не можете добавлять петли и кратные ребра.

Примечание

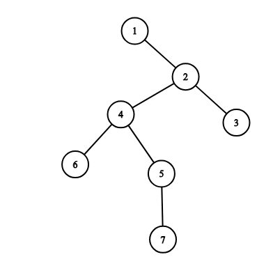
Дерево, соответствующее первому тестовому примеру: Ответ равен \(2\), вот несколько возможных ответов: \([(1, 5), (1, 6)]\), \([(1, 4), (1, 7)]\), \([(1, 6), (1, 7)]\).

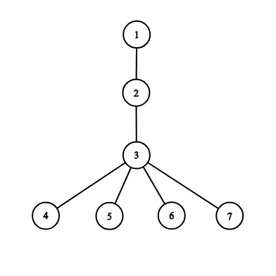
Дерево, соответствующее второму тестовому примеру: Ответ равен \(0\).

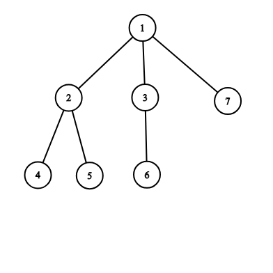
Дерево, соответствующее третьему тестовому примеру: Ответ равен \(1\), единственный способ достичь такого ответа — добавить ребро \((1, 3)\).


Примеры
Входные данныеВыходные данные
1 7
1 2
2 3
2 4
4 5
4 6
5 7
2
2 7
1 2
1 3
2 4
2 5
3 6
1 7
0
3 7
1 2
2 3
3 4
3 5
3 6
3 7
1

time 1000 ms
memory 256 Mb
Правила оформления программ и список ошибок при автоматической проверке задач

Статистика успешных решений по компиляторам
 Кол-во
С++ Mingw-w645
Комментарий учителя