Олимпиадный тренинг

Задача . Витрина


Зал супермаркета имеет форму прямоугольника размером M x N, в котором расставлены витрины размером 1 x 1. Стороны витрин параллельны стенам супермаркета, а расстояния от витрин до стен – целые числа.

В супермаркет привезли новую супервитрину размером K  x 1 и выгрузили в одном из углов супермаркета. Требуется передвинуть ее в противоположный угол супермаркета. При этом ее нельзя поворачивать, а можно лишь передвигать параллельно стенам супермаркета. Напишите программу, которая по плану супермаркета поможет определить, какое наименьшее количество витрин нужно убрать, чтобы передвинуть супервитрину.




Входные данные
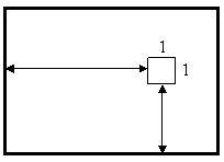
В первой строке вводятся три натуральных числа M, N и K (M, N ≤ 100, K ≤ M). Начальное и конечное расположение супервитрины такие, как указано на верхнем рисунке. В следующей строке записано целое неотрицательно число V – количество витрин (0 ≤ V ≤ N*M). В следующих V строках входных данных содержатся различные пары целых неотрицательных чисел, характеризующие положения витрин. Первое число (от 0 до M–1) – расстояние от левой стены супермаркета до витрины, второе (от 0 до N–1) – расстояние от нижней стены до витрины (см. нижний рисунок). Гарантируется, что там, где изначально поставили супервитрину, других витрин нет.

Выходные данные
В первой строке выведите минимальное количество витрин, которые необходимо убрать. Во второй строке выведите возможный маршрут передвижения супервитрины: одну строку из заглавных латинских букв, обозначающих следующее:

U – на 1 вверх,
D – на 1 вниз,
L – на 1 влево,
R – на 1 вправо.
Количество символов в строке не должно превышать N x M
.

Если возможных маршрутов несколько, то выведите любой из них.
Примеры
Входные данныеВыходные данные
1 10 10 5
0
0
RUURUURUURUURU
2 9 3 2
4
2 0
5 1
5 2
8 2
1
URRRDRRRRUU

time 1000 ms
memory 256 Mb
Правила оформления программ и список ошибок при автоматической проверке задач

Статистика успешных решений по компиляторам
 Кол-во
С++ Mingw-w641
Комментарий учителя